Speckle-tracking echocardiography in 3D mode in assessing the deformation of the myocardium and identifying subclinical cardiotoxicity during chemotherapy in breast cancer patients with arterial hypertension
- Authors: Avalyan A.A.1, Saidova M.A.1, Oshchepkova E.V.1, Chazova I.E.1
-
Affiliations:
- National Medical Research Center for Cardiology
- Issue: Vol 17, No 3 (2020)
- Pages: 42-47
- Section: Original Article
- URL: https://journals.eco-vector.com/2075-082X/article/view/43901
- DOI: https://doi.org/10.26442/2075082X.2020.3.200334
- ID: 43901
Cite item
Full Text
Abstract
Aim. To study the possibilities of speckle-tracking echocardiography (STE) in 3D mode in assessing the strain of the myocardium and identifying subclinical cardiotoxicity during anthracycline-containing chemotherapy in breast cancer patients with arterial hypertension.
Materials and methods. The study included 47 patients with triple negative breast cancer (BC) with AH and normotension. All patients underwent transthoracic echocardiography with an assessment of the left ventricular (LV) ejection fraction, also used STE in three-dimensional mode with an assessment of global longitudinal (GLS), circular (GCS), radial (GRS) strain and a new strain parameter – strain area (GAS).
Results. In patients with BC for a more accurate assessment of LV systolic function, it is advisable to use 3D echocardiography. In BC patients with AH, the initial parameters of LV strain were statistically significantly worse than in patients with normotension and further deterioration was observed after chemotherapy. To determine the sensitivity and specificity of the strain parameters from the 3D-STE data, an ROC analysis was performed. The most diagnostically significant parameter of strain, as a marker of cardiotoxicity, was the global area strain (GAS), which with a cut-off value ≥-14.0% showed a sensitivity equal to 81.5% and a specificity of 73.3%, but the value this parameter of LV deformation requires further study.
Conclusion. In BC patients with AH and normotension it is advisable to use the STE in 3D mode to analyze the strain and systolic function of the LV during antitumor treatment. The method is promising for identifying subclinical cardiotoxicity, but further research is needed to develop diagnostic criteria.
Full Text
Введение
В мире за последние 30 лет выживаемость больных с некоторыми видами рака существенно улучшилась благодаря применению эффективных методов лечения. Вместе с тем противоопухолевое лечение (современная химиотерапия – ХТ, лучевая терапия) может оказывать кардиотоксические эффекты (непосредственные и/или отдаленные), способствуя развитию/обострению сердечно-сосудистых заболеваний (ССЗ), тем самым ухудшая прогноз онкологических больных [1, 2]. Создано и развивается новое междисциплинарное направление в медицине – кардиоонкология с целью объединения усилий онкологов и кардиологов для разработки мер по улучшению выживаемости онкологических больных. Одна из задач кардиоонкологии – раннее выявление кардиотоксических эффектов противоопухолевой терапии с целью профилактики развития тяжелых ССЗ, ухудшающих прогноз онкологических больных [3]. Пациенты с онкологическими заболеваниями, особенно пожилого возраста, часто имеют сопутствующие заболевания: артериальную гипертонию (АГ), сахарный диабет, ожирение, хроническую сердечную недостаточность и другие, что также влияет на их выживаемость. Риск развития сердечно-сосудистых осложнений при противоопухолевом лечении также зависит от вида терапии и продолжительности лечения [4]. Кардиотоксичность – собирательный термин, включающий в себя все нежелательные явления со стороны сердечно-сосудистой системы, возникшие на фоне или после противоопухолевого лечения. Кардиотоксичность может варьировать от субклинической дисфункции миокарда левого желудочка (ЛЖ) до тяжелой сердечной недостаточности с фатальным исходом. Период субклинического поражения миокарда ЛЖ не проявляется симптомами и не выявляется традиционным методом эхокардиографии (ЭхоКГ) [5, 6].
Установлены факторы риска кардиотоксичности, к которым относятся: лечение антрациклинами, в том числе и в анамнезе; возраст старше 75 и младше 10 лет; облучение средостения (в анамнезе); курение (даже у прекративших курить); лечение комбинацией трастузумаба с антрациклинами (в анамнезе); повышенные уровни биомаркеров до ХТ; исходно сниженная фракция выброса (ФВ) ЛЖ<50%; АГ, существовавшая у больного до или возникшая во время противоопухолевого лечения; сахарный диабет [7]. АГ является одним из наиболее распространенных ССЗ как в России, так и во всем мире [8]. В ряде исследований продемонстрировано, что наличие АГ у онкологического больного или ее развитие в процессе лечения (индуцированная ХТ АГ) повышает риск развития кардиотоксичности при ХТ [9–11].
Для выявления кардиотоксичности используют инструментальные и лабораторные методы исследования. Среди инструментальных методов рекомендовано применять трансторакальную ЭхоКГ с определением систолической функции сердца (ФВ ЛЖ по методу Simpson’s biplane) [5–7]. Согласно рекомендациям Европейского общества кардиологов (2016 г.) степень снижения ФВ ЛЖ>10% от исходного уровня и величина ФВ ЛЖ<50% – критерии кардиотоксичности [5]. Однако ФВ ЛЖ недостаточно чувствительна для выявления ранних нарушений сократительной функции миокарда [5–7], в связи с чем в последнее время большое внимание уделяется новым эхокардиографическим технологиям – спекл-трекинг ЭхоКГ (СТЭ) в двумерном и трехмерном режимах (2D и 3D Speckle tracking imaging), оценивающим деформационные свойства миокарда ЛЖ [7, 12]. Двумерный режим СТЭ уже зарекомендовал себя в выявлении субклинической кардиотоксичности [5, 7, 11]. Наши собственные исследования с применением метода 2D-СТЭ показали исходно сниженные деформационные свойства миокарда у больных раком молочной железы (РМЖ) с АГ и статистически значимо более выраженные их нарушения после проведения антрациклинсодержащей ХТ по сравнению с больными РМЖ с нормотензией, что подтверждает факт, что АГ является фактором риска развития кардиотоксичности [5, 11].
В отличие от двумерного 3D-режим СТЭ недостаточно изучен, имеются лишь единичные работы по применению этого метода в выявлении кардиотоксичности. Отличительной особенностью этого режима считается одновременная оценка всех параметров деформации миокарда ЛЖ [глобальная продольная (global longitudinal strain – GLS), циркулярная (global circumferential strain – GCS) и радиальная (global radial strain – GRS)], что значительно упрощает процедуру оценки деформации [13, 14], также с помощью данной технологии определяется новый параметр деформации – global area strain (GAS). Предполагается, что трехмерный режим СТЭ позволит провести более полный анализ состояния функции ЛЖ у больных РМЖ при проведении ХТ [13, 14].
Цель – изучить возможности технологии СТЭ в режиме 3D в оценке деформационных свойств миокарда и выявлении субклинической кардиотоксичности при антрациклинсодержащей ХТ у больных РМЖ с АГ.
Материалы и методы
В исследование включены больные тройным негативным РМЖ (n=47) среднего возраста 46,8±3,4 года. Постановка диагноза РМЖ, выбор и проведение противоопухолевого лечения выполнялись в ФГБУ «НМИЦ онкологии им. Н.Н. Блохина» Минздрава России. Больные РМЖ получали комбинированную ХТ антрациклинами (доксорубицин), таксанами (паклитаксел) и производными платины (цисплатин) в течение 8 нед. Оценка состояния сердечно-сосудистой системы (клинический осмотр, измерение АД по методу Короткова, при необходимости корректировка и подбор антигипертензивной терапии у больных РМЖ с АГ, электрокардиография, трансторакальная ЭхоКГ, СТЭ в двумерном и трехмерном режимах) до и после ХТ проводилась в ИКК им. А.Л. Мясникова ФГБУ «НМИЦ кардиологии» Минздрава России. Среди антигипертензивных препаратов назначались ингибиторы ангиотензинпревращающего фермента/блокаторы рецепторов ангиотензина II; b-адреноблокаторы; антагонисты кальция или диуретики в виде монотерапии, но у большинства больных РМЖ с АГ – их комбинации.
Для анализа деформационных свойств миокарда ЛЖ по данным 3D-СТЭ до и после противоопухолевого лечения все больные РМЖ (n=47) разделены на 2 группы: в основную (1-ю) вошли 20 больных АГ, в группу сравнения (2-ю) включены 27 больных, у которых не имелось указания на АГ в анамнезе, и при физикальном обследовании кардиологом фиксировался нормальный уровень АД.
ЭхоКГ проводилась на ультразвуковом аппарате Vivid E9 (GE Healthcare, США) с использованием матричного секторного фазированного датчика M5S для записи изображений в 2D-режиме и датчика 4V-D – в 3D-режиме. Исследование выполнялось в горизонтальном положении больного на левом боку. Для оценки глобальной систолической функции ЛЖ определялась ФВ ЛЖ из апикальной позиции в режиме четырех и двух камер по методу Simpson’s biplane. Снижение ФВ ЛЖ>10% от исходного уровня считалось признаком развития кардиотоксичности на фоне проведения ХТ.
Для оценки деформационных свойств (GLS, GCS, GRS, GAS) миокарда ЛЖ в трехмерном режиме применялся метод СТЭ. Запись трехмерных изображений осуществлялась с использованием матричного датчика 4V-D с частотой кадров 25–50 в секунду из апикальной 4-камерной позиции с задержкой дыхания на выдохе. Далее проводился количественный анализ трехмерных изображений на рабочей станции EchoPac PC (GE Healthcare, США) с использованием программы 4D AutoLVQ. В процессе обработки исследователь в ручном режиме выполнял выравнивание границ эндокарда в конце диастолы и в конце систолы, после чего получал результаты измерения конечно-диастолического и конечно-систолического объемов ЛЖ, ФВ ЛЖ. Далее программное обеспечение автоматически представляло топографию всех 17 проанализированных сегментов ЛЖ в виде так называемого «бычьего глаза», в которой рассчитаны значения GLS, GСS, GRS и GAS.
На сегодняшний день нет общепринятых нормативов для показателей деформации в режиме 3D-СТЭ. Относительно диагностического критерия кардиотоксичности для показателя GLS в двумерном режиме СТЭ, согласно Международному консенсусу кардиоонкологов, обобщивших опыт исследований, которые проведены в 2015–2018 гг., рекомендовано принимать его снижение 12% и более от исходных значений [7]. В данной работе и для 3D-СТЭ использовался этот критерий для выявления кардиотоксичности.
Статистический анализ данных
Статистическая обработка данных проводилась с помощью пакета программ Statistica, версия 10 (StatSoft, США) и Medcalc, версия 5,0. Для параметров, имеющих нормальное распределение, результаты представлены как М±Std, для параметров, имеющих распределение, отличное от нормального, – в виде медианы (Ме) с 25 и 75-м процентилями (нижний и верхний квартили). Статистически значимыми считались различия при p<0,05. При нормальном распределении между собой данные сравнивались с помощью критерия Стьюдента. Если выборки не соответствовали нормальному распределению, использовали U-тест по методу Манна–Уитни и критерий Вилкоксона.
Оценка корреляционных связей осуществлялась с использованием непараметрического рангового коэффициента Спирмена. Для оценки диагностической значимости параметров как маркеров субклинической кардиотоксичности применялся ROC-анализ.
Результаты
У всех больных РМЖ ФВ ЛЖ до ХТ как по данным двумерной, так и по данным трехмерной ЭхоКГ находилась в пределах нормальных значений. Так, в среднем по группе больных РМЖ с АГ ФВ ЛЖ до ХТ по данным 2D-ЭхоКГ составила 64,6% [60, 9; 68, 2], по данным 3D-ЭхоКГ – 62,8% [60, 2; 63, 6], а у больных РМЖ с нормотензией – 66,3% [63, 3; 69, 0] и 62,9% [61, 3; 65, 3] соответственно. После ХТ у всех больных РМЖ отмечалось статистически значимое снижение ФВ ЛЖ по данным обоих режимов ЭхоКГ, однако средние ее значения оставались в пределах нормальных показателей: у больных АГ – 59,0% [55, 3; 65, 9] и 54,7% [54, 4; 56, 0], а у больных с нормотензией – 61,8% [58, 8; 64, 1] и 60,2% [57, 5; 62, 2] соответственно по данным 2D- и 3D-ЭхоКГ.
Следует отметить, что после ХТ в целом по всей группе больных РМЖ диагностическое снижение ФВ ЛЖ (более 10% от исходного уровня) в 4 раза чаще выявлялось при применении трехмерной ЭхоКГ по сравнению с двумерной. Проведенный ROC-анализ в отношении выявления кардиотоксичности у больных РМЖ показал более высокую диагностическую ценность определения ФВ ЛЖ по данным 3D-ЭхоКГ по сравнению с 2D-ЭхоКГ (табл. 1, рис. 1, 2).
Таблица 1. Диагностическая ценность ФВ ЛЖ по данным двумерной и трехмерной ЭхоКГ в отношении кардиотоксичности Table 1. Diagnostic value of LVEF according to the data of two-dimensional and three-dimensional EchoCG in relation to cardiotoxicity | |||||
Показатель | Отрезное значение | Чувствительность, % | Специфичность, % | Площадь под кривой | 95% ДИ |
ФВ ЛЖ (2D) | ≤58,2 | 43,2 | 79,3 | 0,63 | 0,528–0,730 |
ФВ ЛЖ (3D) | ≤56,7 | 81,0 | 80,0 | 0,82 | 0,676–0,924 |
Рис. 1. Диагностическая значимость ФВ ЛЖ по данным 2D-ЭхоКГ как маркера кардиотоксичности у больных РМЖ. Чувствительность составила 43,2%, специфичность – 79,3%.
Рис. 2. Диагностическая значимость ФВ ЛЖ по данным 3D-ЭхоКГ как маркера кардиотоксичности у больных РМЖ. Чувствительность составила 81,0%, специфичность – 80,0%.
При оценке деформационных свойств миокарда ЛЖ по данным 3D-СТЭ выявлено, что у больных РМЖ с АГ показатели деформации ЛЖ (GLS) до ХТ были статистически значимо ниже аналогичных показателей больных РМЖ с нормотензией (табл. 2).
Таблица 2. Деформационные свойства ЛЖ по данным 3D-СТЭ у больных РМЖ с АГ и нормотензией исходно и после антрациклинсодержащей ХТ Table 2. LV deformation properties according to 3D-STE data in BC patients with AH and normotension before and after anthracycline-containing CT | ||||||||
Показатель | Больные РМЖ с АГ (n=20) | Больные РМЖ с нормотензией (n=27) | Значение р | |||||
до ХТ | после ХТ | до ХТ | после ХТ | р1–2 | р3–4 | р1–3 | р2–4 | |
1 | 2 | 3 | 4 | |||||
GLS, % (абс. показатели) | -9,0 [-10,5; -7,0] | -6,0 [-7,5; -5,0] | -13,5 [-15,0; -12,0] | -10,0 [-12,0; -7,0] | <0,001 | <0,001 | <0,001 | <0,001 |
Динамика (D%) | 23,7 ±4,2 | 20,1±3,6 | нд | |||||
GСS, % (абс. показатели) | -8,0 [-11,0; -6,5] | -6,0 [-8,0; -5,5] | -14,0 [-15,3; -10,0] | -10,0 [-12,0; -8,0] | <0,001 | <0,001 | <0,001 | <0,001 |
Динамика (D%) | 12,2±7,0 | 12, 7±5,9 | нд | |||||
GRS, % (абс. показатели) | <0,001 | <0,001 | <0,001 | <0,001 | ||||
Динамика (D%) | 9,9±7,5 | 10,6±3,7 | нд | |||||
GAS, % (абс. показатели) | -16,0 [-18,0; -14,0] | -12,0 [-14,5; -10,5] | -24,0 [-25,0; -20,0] | -17,0 [-20,0; -14,0] | <0,001 | <0,001 | <0,001 | <0,001 |
Динамика (D%) | 21,2±3,8 | 17,9±2,6 | 0,04 | |||||
Примечание. Данные представлены в виде медианы [нижний квартиль; верхний квартиль]; *p<0,05. | ||||||||
После ХТ у больных РМЖ как с АГ, так и с нормотензией отмечалось статистически значимое снижение всех параметров деформации (см. табл. 2).
Показатель GAS у больных РМЖ с АГ исходно статистически значимо хуже, чем у больных с нормотензией. После ХТ в обеих исследуемых группах отмечалось статистически значимое снижение этого показателя и более выраженное у больных РМЖ с АГ (см. табл. 2, рис. 3). Степень снижения показателя GAS статистически значимо больше у больных РМЖ с АГ.
Рис. 3. Технология СТЭ в трехмерном режиме. Представлено кардиотоксическое воздействие ХТ в виде снижения параметров деформации (изменение цветового и числового значений деформации) у больной РМЖ после антрациклинсодержащей ХТ.
В исследовании также проведена оценка показателя GLS ЛЖ в двумерном режиме СТЭ, результаты которой подробно представлены в наших предыдущих публикациях [11]. Снижение показателя GLS по данным 3D-СТЭ³12% от исходных значений наблюдалось у 45,0% (n=9) больных АГ и 33,3% (n=9) с нормотензией.
На следующем этапе работы выполнен корреляционный анализ между показателем GLS по данным 2D-СТЭ с показателем GLS и GAS в режиме 3D-СТЭ, который выявил статистически значимые корреляционные связи в обеих группах (табл. 3).
Таблица 3. Корреляционные связи показателя GLS в двумерном режиме СТЭ с показателями деформации в трехмерном режиме СТЭ у больных РМЖ с АГ и нормотензией после ХТ Table 3. Correlation relationships of the GLS indicator in the two-dimensional STE mode with the deformation indexes in the three-dimensional STE mode in BC patients with AH and normotension after CT | ||||
GLS в двумерном режиме СТЭ (2D-СТЭ) | ||||
Больные РМЖ с АГ | Больные РМЖ с нормотензией | |||
r | р | r | р | |
GLS (3D-СТЭ) | 0,57 | <0,05 | 0,61 | <0,05 |
GAS (3D-СТЭ) | 0,57 | <0,05 | 0,62 | <0,05 |
Корреляционный анализ Spearman rank R. | ||||
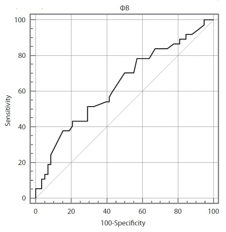
Для определения чувствительности и специфичности параметров деформации по данным 3D-СТЭ осуществлен ROC-анализ (табл. 4). Наиболее диагностически значимым параметром деформации как маркера кардиотоксичности оказался новый показатель GAS, который при отрезном значении ≥-14,0% показал чувствительность, равную 81,5%, и специфичность – 73,3% (площадь под кривой составила 0,78; 95% доверительный интервал – ДИ 0,624–0,892; р<0,05); рис. 4.
Таблица 4. Диагностическая ценность параметров деформации по данным трехмерного режима СТЭ Table 4. Diagnostic value of deformation indexes according to the 3D STE mode | |||||
Показатель | Отрезное значение | Чувствительность, % | Специфичность, % | Площадь под кривой | 95% ДИ |
GLS (3D-СТЭ) | ≥-10,0 | 74,4 | 85,7 | 0,827 | 0,676–0,926 |
GCS (3D-СТЭ) | ≥-11,0 | 78,3 | 66,7 | 0,779 | 0,622–0,893 |
GRS (3D-СТЭ) | ≤23,0 | 71,4 | 65,0 | 0,746 | 0,586–0,869 |
GAS (3D-СТЭ) | ≥-14,0 | 81,5 | 73,3 | 0,78 | 0,624–0,892 |
Рис. 4. Диагностическая значимость показателя GAS как маркера субклинической кардиотоксичности у больных РМЖ.
Обсуждение
В последние годы достигнуты существенные успехи в лечении РМЖ [3, 5]. Так, по данным А. Jemal и соавт., в США 5-летняя выживаемость при РМЖ увеличилась с 79% в 1990 г. до 88% в 2012 г. [15]. Однако противоопухолевые препараты обладают кардиотоксичностью. Таким образом, поиск методов для раннего выявления кардиотоксических эффектов противоопухолевых препаратов является одной из приоритетных задач кардиоонкологии [3].
В общепринятой практике врача для выявления кардиотоксических эффектов противоопухолевой терапии проводится оценка ФВ ЛЖ по методу Simpson’s biplane [5]. Выполненное исследование выявило более низкие показатели ФВ ЛЖ в трехмерном режиме по сравнению с аналогичными показателями, полученными при двумерном режиме ЭхоКГ, у больных РМЖ после ХТ. ROC-анализ подтвердил более высокую диагностическую ценность определения ФВ ЛЖ в трехмерном режиме по сравнению с 2D-ЭхоКГ в выявлении субклинической кардиотоксичности. Таким образом, для более точной оценки систолической функции миокарда ЛЖ у больных РМЖ после ХТ целесообразно использовать метод 3D-ЭхоКГ. Эти результаты согласуются с данными других исследователей [13, 16].
Но, как показал ряд исследований, ФВ ЛЖ недостаточно чувствительна для выявления ранних субклинических нарушений сократительной функции миокарда [5, 17]. В связи с этим в данной работе проведен поиск возможности использования показателей, характеризующих деформационные свойства миокарда, с применением современного инновационного метода СТЭ в трехмерном режиме для выявления субклинической кардиотоксичности. Параметры деформации у больных РМЖ с АГ до ХТ были статистически значимо хуже аналогичных параметров больных с нормотензией. После ХТ у больных РМЖ отмечалось статистически значимое снижение всех параметров, характеризующих деформационные свойства всех волокон миокарда ЛЖ (продольные, циркулярные, радиальные), что укладывается в механизм токсического действия ХТ, особенно доксорубицина, повреждающей кардиомиоциты. Корреляционный анализ между показателем GLS по данным 2D-СТЭ с показателями деформации в 3D-СТЭ (GLS, GAS) выявил статистически значимые корреляционные связи.
Согласно современным рекомендациям диагностическим критерием развития субклинической кардиотоксичности считается снижение показателя GLS (по данным 2D-СТЭ) 12,0% и более [7]. В связи с тем, что для 3D-СТЭ на сегодняшний день не разработан критерий кардиотоксичности, в данной работе за диагностический критерий кардиотоксичности использовался этот же количественный критерий. Снижение показателя GLS (по данным 3D-СТЭ) наблюдалось в 1,5 раза чаще у больных РМЖ с АГ, чем у пациентов с нормотензией. Отсутствие статистически значимых различий, возможно, связано с небольшой выборкой больных и применяемыми различными кумулятивными дозами (высокими и более низкими) доксорубицина. Выбор дозировки определялся наличием и распространенностью метастатического процесса, что имело место как у больных АГ, так и с нормотензией. В предыдущей работе нами показано, что риск развития кардиотоксичности выше у больных, которым назначалась более высокая кумулятивная доза доксорубицина [11].
В работе изучен новый показатель деформации – GAS, отражающий суммарную региональную и глобальную деформацию миокарда ЛЖ [13, 18]. До лечения этот показатель, аналогично остальным параметрам деформации, у больных РМЖ с АГ хуже по сравнению с больными РМЖ с нормотензией. После ХТ регистрировалось достоверное снижение показателя GAS у всех больных РМЖ, более выраженное у пациентов с РМЖ и АГ. ROC-анализ установил высокую диагностическую ценность показателя GAS в выявлении ранней субклинической кардиотоксичности у больных РМЖ. Эти результаты согласуются с данными других исследований, на основании которых заключается, что показатель GAS может быть использован для выявления ранней субклинической кардиотоксичности [14, 18]. В исследовании J. Chen и соавт. продемонстрирована высокая диагностическая ценность показателя GAS с чувствительностью 81,9% и специфичностью 80,3% в выявлении кардиотоксичности [19]. В исследовании P. Reant и соавт. показано, что показатель GAS отражает систолическую дисфункцию миокарда ЛЖ [20].
Следует подчеркнуть, что оценка параметров деформации (продольная, циркулярная, радиальная) при использовании режима 3D-СТЭ проводится достаточно быстро, в отличие от метода 2D-СТЭ, который является более трудоемким. Еще одним преимуществом 3D-СТЭ считается оценка нового параметра деформации – GAS, которая отражает суммарную деформацию всех волокон миокарда.
В данной работе не проводилась оценка воспроизводимости технологии СТЭ в трехмерном режиме. В единичных работах показана высокая внутриоператорская и межоператорская воспроизводимость этой технологии в оценке деформации миокарда ЛЖ [20, 21].
Заключение
У больных РМЖ как с АГ, так и с нормотензией целесообразно применение метода СТЭ в режиме 3D для анализа деформационных свойств и систолической функции ЛЖ при проведении противоопухолевого лечения. Метод перспективен для выявления субклинической кардиотоксичности, но нужны дальнейшие исследования по разработке диагностических критериев.
About the authors
Ani A. Avalyan
National Medical Research Center for Cardiology
Author for correspondence.
Email: ani_avalian@mail.ru
ORCID iD: 0000-0003-0442-4495
Res. Assist., National Medical Research Center for Cardiology
Russian Federation, MoscowMarina A. Saidova
National Medical Research Center for Cardiology
Email: ani_avalian@mail.ru
ORCID iD: 0000-0002-3233-1862
D. Sci. (Med.), Prof., National Medical Research Center for Cardiology
Russian Federation, MoscowElena V. Oshchepkova
National Medical Research Center for Cardiology
Email: ani_avalian@mail.ru
ORCID iD: 0000-0002-3253-0669
D. Sci. (Med.), Prof., National Medical Research Center for Cardiology
Russian Federation, MoscowIrina E. Chazova
National Medical Research Center for Cardiology
Email: c34h@yandex.ru
ORCID iD: 0000-0002-9822-4357
D. Sci. (Med.), Prof., Acad. RAS, National Medical Research Center of Cardiology
Russian Federation, MoscowReferences
- Unitt C, Montazeri K, Tolaney S, Moslehi J. Cardiology patient page: breast cancer chemotherapy and your heart. Circulation 2014; 129 (25): 680–2.
- Florescu M, Cinteza M, Vinereanu D. Chemotherapy-induced Cardiotoxicity. Maedica – J Clin Med 2013; 8 (1): 59–67.
- Yuand Jones. Breast cancer treatment-associated cardiovascular toxicity and effects of exercise countermeasures. Cardio-Oncol 2016; 2: 1–15.
- Force T, Kolaja KL. Cardiotoxicity of kinase inhibitors: the prediction and translation of preclinical models to clinical outcomes. Nat Rev Drug Dis 2011; 10: 111–26.
- Zamorano JL, Lancellotti P, Rodriguez Muñoz D et al. 2016 ESC Position Paper on cancer treatment and cardiovascular toxicity developed under the auspices of the ESC Committee for Practice Guidelines. Eur Heart J 2016; 37: 2768–801.
- Чазова И.Е., Тюляндин С.А., Виценя М.В. и др. Руководство по диагностике, профилактике и лечению сердечно-сосудистых осложнений противоопухолевой терапии. Часть I. Системные гипертензии. 2017; 14 (3): 6–20. [Chazova I.E., Tiuliandin S.A., Vitsenia M.V. et al. Guidelines for the diagnosis, prevention and treatment of cardiovascular complications of anticancer therapy. Part I. Systemic Hypertension. 2017; 14 (3): 6–20 (in Russian).]
- Curigliano G еt al. Management of cardiac disease in cancer patients throughout oncological treatment: ESMO consensus recommendations. Ann Oncol 2020; 31: 171–90.
- Чазова И.Е., Жернакова Ю.В., Ощепкова Е.В. и др. Распространенность факторов риска сердечно-сосудистых заболеваний в российской популяции больных артериальной гипертонией. Кардиология. 2014; 10: 4–12. [Chazova I.E., Zhernakova Iu.V., Oshchepkova E.V. et al. Rasprostranennost’ faktorov riska serdechno-sosudistykh zabolevanii v rossiiskoi populiatsii bol’nykh arterial’noi gipertoniei. Kardiologiia. 2014; 10: 4–12 (in Russian).]
- Curigliano G, Cardinale D, Dent S et al. Cardiotoxicity of Anticancer Treatments: Epidemiology, Detection, and Management. CA Cancer J Clin 2016; 66: 309–25.
- Ranpura V, Pulipati B, Chu D et al. Increase risk of high-grade hypertension with bevacizumab in cancer patients: a meta-analysis. Am J Hypertens 2010; 23 (5): 460–8.
- Авалян А.А., Ощепкова Е.В., Саидова М.А. и др. Оценка субклинической кардиотоксичности антрациклинсодержащей химиотерапии рака молочной железы в зависимости от кумулятивной дозы доксорубицина и исходного уровня артериального давления. Системные гипертензии. 2018; 15 (4): 59–64. [Avalian A.A., Oshchepkova E.V., Saidova M.A. et al. Evaluation of subclinical cardiotoxicity of anthracycline-containing chemotherapy for breast cancer depending on the cumulative dose of doxorubicin and the initial blood pressure level. Systemic Hypertension. 2018; 15 (4): 59–64 (in Russian).]
- Mondillo S, Galderisi M, Mele D et al. Speckle-Tracking Echocardiography: A New Technique for Assessing Myocardial Function. J Ultrasound Med 2011; 30: 71–8.
- Ciro Santorol et al. 2D and 3D strain for detection of subclinical anthracycline cardiotoxicity in breast cancerpatients: a balance with feasibility. Eur Heart J Cardiovasc Imag 2017; p. 1–7.
- Fei-Yan Song, Jing Shi, Ye Guo et al. Assessment of biventricular systolic strain derived from the two-dimensional and three-dimensional speckle tracking echocardiography in lymphoma patients after anthracycline therapy. Int J Cardiovasc Imag 2017; 33 (6): 857–68.
- Jemal A, Ward E, Hao Y et al. Trends in the leading causes of death in the United States, 1970–2002. JAMA 2005; 294: 1255–9.
- Dorosz JL, Lezotte DC, Weitzenkamp DA et al. Performance of 3-dimensional echocardiography in measuring left ventricular volumes and ejection fraction: a systematic review and meta-analysis. J Am Coll Cardiol 2012; 59 (20): 1799–808.
- Cardinale D, Colombo A, Lamantia G et al. Anthracycline-induced cardiomyopathy: Clinical relevance and response to pharmacologic therapy. JACC 2010; 55 (3): 213–20.
- Kleijn SA, Aly MF, Terwee CB et al. O. Three-dimensional speckle tracking echocardiography for automatic assessment of global and regional left ventricular function based on area strain. J Am Soc Echocardiogr 2011; 24: 314–21.
- Chen J et al. Early Detection of Cardiotoxicity by 3D Speckle Tracking Imaging of Area Strain in Breast Cancer Patients Receiving Chemotherapy. Еchocardiography 2019; 36 (9): 1682–8. doi: 10.1111/echo.14467
- Reant P, Barbot L, Touche C et al. Evaluation of global left ventricular systolic function using three-dimensional echocardiography speckle-tracking strain parameters. J Am Soc Echocardiogr 2011; 25 (1): 68–79.
- Gregorova Z, Meluzin J, Stepanova R. Longitudinal, circumferential and radial systolic left ventricular function in patients with heart failure and preserved ejection fraction. Biomed Pap Med Fac Univ Palacky Olomouc Czech Repub 2016; 160 (3): 385–92.
Supplementary files











