Контраст-ассоциированное острое повреждение почек у пациентов с артериальной гипертензией и стабильной ишемической болезнью сердца
- Авторы: Миронова О.Ю.1, Фомин В.В.1
-
Учреждения:
- ФГАОУ ВО «Первый Московский государственный медицинский университет им. И.М. Сеченова» Минздрава России (Сеченовский Университет)
- Выпуск: Том 17, № 3 (2020)
- Страницы: 48-52
- Раздел: Оригинальная статья
- URL: https://journals.eco-vector.com/2075-082X/article/view/43906
- DOI: https://doi.org/10.26442/2075082X.2020.3.200337
- ID: 43906
Цитировать
Полный текст
Аннотация
Актуальность. Одним из наиболее распространенных сочетаний заболеваний в практике врача-кардиолога являются сочетание ишемической болезни сердца (ИБС) и артериальной гипертензии (АГ). Введение контраста в ряде случаев может увеличивать риск развития острого повреждения почек, особенно у больных с коморбидностью. Влияние введения йодсодержащего контрастного вещества на риск развития контраст-ассоциированного острого повреждения почек (КА-ОПП) у больных с ИБС и АГ изучено в нашем исследовании.
Материалы и методы. В проспективное открытое наблюдательное когортное исследование (ClinicalTrials.gov ID NCT04014153) включены 863 пациента со стабильной ИБС и АГ и показаниями к проведению исследований с внутриартериальным введением контрастного вещества. КА-ОПП определяли при повышении уровня сывороточного креатинина (СК) на 25% и больше от исходного либо на 0,5 мг/дл (44 мкмоль/л) и более от исходного через 48 ч после введения контраста внутриартериально. Первичной конечной точкой считали развитие контраст-индуцированного острого повреждения почек в соответствии с критериями KDIGO (Kidney Disease: Improving Global Outcomes).
Результаты. Сахарный диабет, ожирение и гиперурикемия при проведении анализа таблиц сопряженности не продемонстрировали статистически значимого влияния на риск развития КА-ОПП в отличие от протеинурии. В разработанную логистическую регрессионную модель с площадью под кривой 0,7638 (p<0,0001, 95% доверительный интервал 0,713–0,815) вошли такие факторы риска, как возраст, масса тела, индекс массы тела, женский пол, наличие сердечной недостаточности, протеинурии, артериальной гипертензии, анемии и исходный уровень СК. При этом статистически значимыми были наличие протеинурии, исходный уровень СК и объем контраста.
Заключение. Частота развития КА-ОПП составила 12,6%. У пациентов с АГ и стабильной ИБС статистически значимыми факторами риска развития КА-ОПП являются протеи- нурия, исходный уровень СК и объем введенного контрастного вещества.
Полный текст
Введение
Контраст-ассоциированное острое повреждение почек (КА-ОПП), развивающееся вследствие введения йодсодержащих контрастных веществ, изучается на протяжении многих лет у больных с ишемической болезнью сердца (ИБС) [1]. Как известно, артериальная гипертензия (АГ) является фактором риска и прогрессирования атеросклероза и ИБС. Однако в настоящее время группа пациентов с сочетанием АГ и ИБС, которым планируется введение контрастного вещества (КВ) внутриартериально, изучена недостаточно.
С увеличением возраста пациентов, как правило, увеличивается и количество сопутствующих заболеваний, что также вносит свой вклад в увеличение риска развития КА-ОПП. Оценить вероятность развития КА-ОПП у больных с различным сочетанием факторов риска на фоне стабильной ИБС и АГ стало одной из задач нашего исследования. Определить наиболее уязвимую группу пациентов крайне важно для практикующих врачей перед проведением чрескожных коронарных вмешательств с введением КВ. Это позволит своевременно проводить профилактику столь грозного осложнения, которое можно потенциально предотвратить.
Материалы и методы
Нами включены пациенты, госпитализированные в отделение неотложной кардиологии ФГБУ «НМИЦ кардиологии» в 2012–2013 гг. со стабильной ИБС и АГ, находящиеся на оптимальной медикаментозной терапии и имеющие показания к проведению исследований с внутриартериальным введением йодсодержащих КВ, пациенты отдела артериальной гипертонии ФГБУ «НМИЦ кардиологии» и клиники факультетской терапии им. В. Н. Виноградова ФГАОУ ВО «Первый МГМУ им. И.М. Сеченова», находившиеся на стационарном лечении в 2017 г., соответствующие критериям включения в исследование.
Работа являлась открытым проспективным наблюдательным когортным клиническим исследованием. Протокол зарегистрирован на сайте clinicaltrials.gov под номером NCT04014153.
КА-ОПП в соответствии с рекомендациями Kidney Disease: Improving Global Outcomes (KDIGO) [2] по острому повреждению почек определяли как повышение уровня сывороточного креатинина (СК) более чем на 44 мкмоль/л (0,5 мг/дл) или на 25% от исходного в течение 48 ч после введения КВ. Уровень креатинина определен всем больным до введения контраста и через 48 ч, а также некоторым пациентам – перед выпиской из стационара. Скорость клубочковой фильтрации (СКФ) определялась по формуле CKD-EPI.
АГ определялась в соответствии с рекомендациями Европейского общества кардиологов 2018 г. [3] как повышение систолического АД³140 мм рт. ст. и/или диастолического АД³90 мм рт. ст. при офисном измерении.
Протеинурией считали выявление белка в общем анализе мочи свыше 150 мг.
В ходе проведения исследования отобраны 863 пациента со стабильной ИБС и АГ, получавших оптимальную медикаментозную терапию и имеющих показания к проведению КАГ с возможным последующим проведением коронарной ангиопластики.
Клиническая характеристика всех пациентов, данные которых мы проанализировали, представлена в табл. 1. Большую часть пациентов составили лица мужского пола (70%) 62,44±10,5 года с избыточной массой тела (индекс массы тела – ИМТ 29,5±5,7 кг/м2).
Таблица 1. Клиническая характеристика всех больных, включенных в исследование Table 1. Clinical characteristics of all the patients enrolled in the study. | ||
Характеристика | Число больных | |
абс. | % | |
Возраст, лет | 62,44±10,5 | |
Мужской пол | 604 | 70 |
Масса тела, кг | 85,9±16,4 | |
ИМТ, кг/м2 | 29,5±5,7 | |
Реакция на йод в анамнезе | 7 | 0,1 |
Аллергия в анамнезе | 91 | 10,5 |
Бронхиальная астма | 22 | 2,5 |
Заболевания почек | 132 | 15,3 |
Операции на почках | 14 | 1,6 |
Анемия | 74 | 8,6 |
Сердечная недостаточность | 64 | 7,4 |
СД | 201 | 23,3 |
Гиперурикемия | 31 | 3,6 |
Объем контраста, мл | 208,1±96,2 | |
Всего больных | 863 | 100 |
Примечание. Гиперурикемия – состояние, сопровождающееся повышением уровня мочевой кислоты выше 7 мг/дл (416 мкмоль/л); для массы тела и ИМТ данные представлены в формате среднее ± стандартное отклонение. Note. Hyperuricemia – the level of uric acid is higher than 7 mg/dl (416 mkmol/l); for weight and BMI the results are shown as M±SD. | ||
Все пациенты подписывали информированное согласие. Всем включенным больным с хронической ИБС и АГ до проведения исследования или вмешательства с внутриартериальным введением КВ проводились общеклиническое обследование, рентгенография грудной клетки, регистрировалась электрокардиограмма, выполнялись трансторакальная эхокардиография, общий, биохимический анализ крови, коагулограмма.
В табл. 2 представлена характеристика потенциально нефротоксичных препаратов, принимаемых пациентами и потенциально способными увеличить риск развития КА-ОПП. Пациентов, получавших аминогликозиды, в нашей выборке не было.
Таблица 2. Характеристика потенциально нефротоксичных лекарственных средств, получаемых пациентами Table 2. Characteristics of potentially nephrotoxic drugs prescribed to the patients | ||
Препарат | Число больных | |
абс. | % | |
Метформин | 105 | 12,2 |
b-Адреноблокаторы | 797 | 92,4 |
Нестероидные противовоспалительные средства | 30 | 3,5 |
Циклоспорин | 1 | 0,1 |
Первичной конечной точкой в исследовании считали развитие КА-ОПП.
Статистическая обработка материала и построение графиков проводились с использованием Prism 8 for macOS (version 8.4.2; Калифорния, США).
Описательная часть статистического анализа включала в себя определение средних значений и стандартного отклонения, 95% доверительных интервалов (ДИ) с расчетом отношения шансов (ОШ), абсолютными и относительными частотами (в процентах). Количественные переменные описывались числом пациентов, процентным отношением, средним арифметическим значением (М), стандартным отклонением от среднего арифметического значения (D), 25 и 75-м процентилями, медианой в зависимости от количества наблюдений. Качественные переменные описывались абсолютными и относительными частотами (процентами), вычислением ОШ. Различия считались статистически значимыми при уровне ошибки p<0,05.
Для проведения анализа данных таблиц сопряженности использовался точный тест Фишера, учитывая небольшой объем данных в некоторых группах. Для количественных переменных проводился тест на нормальность распределения. Нормальность распределения количественных переменных определялась с использованием теста Колмогорова–Смирнова.
Логистический регрессионный анализ выполнен с использованием метода наименьших квадратов.
Для определения наиболее значимых факторов риска выполнен логистический регрессионный анализ с анализом ROC-кривых и площади под кривой (area under the curve – AUC). При значении р<0,05 нулевая гипотеза отвергалась, а модель признавалась корректной. Также вычисляли значение псевдо-R-квадрата по Тьюру и МакФаддену для оценки точности предсказания полученной модели. Гипотеза тестировалась по Хосмеру–Лемешеву и логарифмическому отношению правдоподобия.
Построена логистическая регрессионная модель с целью определить сочетание наиболее значимых факторов риска, влияющих на риск развития КА-ОПП.
Результаты
КА-ОПП развилось у 109 (12,6%) пациентов в соответствии с определением, учитывающим повышение уровня СК на 25% и более от исходного. Также проведен дополнительный анализ частоты КА-ОПП по абсолютным значениям прироста уровня СК. Частота КА-ОПП при использовании определения с учетом абсолютного прироста значений показателя (на 44 мкмоль/л) составила 14 (1,6%) случаев. Таким образом, использование определения, учитывающего прирост СК по абсолютному значению, позволяет выявить примерно в 10 раз меньше случаев поражения почек после введения КВ, и пренебрегать этим расчетом нельзя.
Сахарный диабет (СД) считается фактором риска развития острого повреждения почек. Однако для поражения, связанного с введением КВ, данные противоречивы. Порой не представляется возможным статистически достоверно независимо оценить влияние СД, других имеющихся метаболических нарушений и приема потенциально нефротоксичных препаратов, таких как метформин.
По данным, полученным в нашей выборке пациентов с сочетанием стабильной ИБС и АГ, СД не являлся статистически значимым (ОШ 1,227, 95% ДИ 0,78–1,94, р=0,397) фактором риска развития КА-ОПП (рис. 1, табл. 3).
Рис. 1. КА-ОПП у пациентов с СД и без него.
Таблица 3. КА-ОПП у пациентов с СД и без него Table 3. CA-AKI in patients with and without diabetes mellitus | ||
Характеристика | КА-ОПП | Без КА-ОПП |
СД, n (%) | 29 (14,4) | 172 (85,6) |
Без СД, n (%) | 80 (12) | 582 (88) |
Ожирение, являющееся одним из компонентов метаболического синдрома, продолжает изучаться и как фактор риска КА-ОПП. Однако, как и в случае с СД, наличие сопутствующих заболеваний может вносить свой вклад в вероятность развития КА-ОПП. Ожирение не являлось статистически значимым (ОШ 0,989, 95% ДИ 0,655–1,475, р>0,999) фактором риска развития КА-ОПП у больных АГ и стабильной ИБС по нашим данным (табл. 4).
Таблица 4. КА-ОПП у пациентов с ожирением и без него Table 4. CA-AKI in patients with and without obesity | ||
Характеристика | КА-ОПП | Без КА-ОПП |
Ожирение, n (%) | 50 (12,6) | 348 (87,4) |
Без ожирения, n (%) | 59 (12,7) | 406 (87,3) |
Примечание. Ожирение – ИМТ составлял ≥30 кг/м2. Note. Obesity – the BMI>30 kg/m2. | ||
Гиперурикемия в настоящее время встречается все чаще, особенно в группе пациентов с АГ. Обсуждается возможность включения этого фактора риска в качестве одного из компонентов метаболического синдрома. Сочетание АГ и метаболических нарушений существенно ухудшает прогноз пациентов.
В связи с этим проанализированы данные о влиянии гиперурикемии на первичную конечную точку, КА-ОПП (табл. 5). Однако отмечалась тенденция к более редкому развитию КА-ОПП у больных, страдающих гиперурикемией (ОШ 0,467, 95% ДИ 0,11–1,85, р=0,41).
Таблица 5. КА-ОПП у пациентов с гиперурикемией и без нее Table 5. CA-AKI in patients with and without hyperuricemia | ||
Характеристика | КА-ОПП | Без КА-ОПП |
Гиперурикемия, n (%) | 2 (6,45) | 29 (93,55) |
Без гиперурикемии, n (%) | 107 (12,9) | 725 (87,1) |
Как известно, протеинурия является распространенным проявлением поражения почек у больных АГ. В связи с этим мы решили выяснить, влияет ли этот фактор на вероятность развития КА-ОПП у больных АГ и стабильной ИБС (табл. 6). Число больных с протеинурией, у которых впоследствии развивалось КА-ОПП, было в 2 раза выше, чем без нее. Однако полученные данные не достигали статистической значимости при проведении анализа таблицы сопряженности (ОШ 2,181, 95% ДИ 0,86–5,03, р=0,089).
Таблица 6. КА-ОПП у пациентов с протеинурией и без нее Table 6. CA-AKI in patients with and without proteinuria | ||
Характеристика | КА-ОПП | Без КА-ОПП |
Протеинурия, n (%) | 7 (23,3) | 23 (76,7) |
Без протеинурии, n (%) | 102 (12,2) | 731 (87,8) |
Для определения наиболее значимых прогностических факторов риска развития КА-ОПП на основании полученных данных разработана логистическая регрессионная модель.
Данные о всех факторах риска, включенных в нее, представлены в табл. 7.
Таблица 7. Факторы риска, вошедшие в логистическую регрессионную модель Table 7. Risk factors included in logistic regression model | |||
Переменная | ОШ | 95% ДИ | р |
Возраст | 1,012 | 0,9887–1,036 | 0,3251 |
Масса тела | 0,9777 | 0,9544–1,001 | 0,0622 |
ИМТ | 1,032 | 0,972–1,089 | 0,2441 |
Женский пол | 0,6123 | 0,3455–1,075 | 0,0893 |
Аллергия | 1,043 | 0,4923–2,053 | 0,9063 |
Хроническая сердечная недостаточность | 1,054 | 0,4099–2,404 | 0,9066 |
СД | 1,013 | 0,598–1,673 | 0,9607 |
Заболевания почек | 0,7682 | 0,3706–1,474 | 0,4507 |
Протеинурия | 3,645 | 1,233–9,814 | 0,0133 |
Анемия | 1,775 | 0,803–3,693 | 0,1377 |
Гиперурикемия | 0,8146 | 0,1213–3,172 | 0,7963 |
СК исходный | 0,9515 | 0,9366–0,9656 | <0,0001 |
Объем контраста | 1,003 | 1,001–1,005 | 0,0132 |
Примечание. Анемия – уровень гемоглобина у мужчин ниже 13 г/дл и 12 г/дл – у женщин, гиперурикемия – состояние, сопровождающееся повышением уровня мочевой кислоты выше 7 мг/дл (416 мкмоль/л). Note. Anemia – the level pf Hb lower 13 g/dl in males and 12 g/dl in females, hyperuricemia – the level of uric acid is higher than 7 mg/dl (416 mkmol/l). | |||
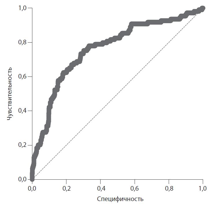
На рис. 2 изображена ROC-кривая модели логистической регрессии. В качестве зависимой переменной принималось КА-ОПП в соответствии с определением KDIGO. AUC составила 0,7638 (p<0,0001, 95% ДИ 0,713–0,815). 88,06% случаев верно классифицированы с учетом разработанной модели. Прогностичность отрицательного результата составила 88,07%, а прогностичность положительного – 87,5%. Модель включала следующие факторы риска: возраст, масса тела, ИМТ, женский пол, наличие сердечной недостаточности, протеинурии, АГ, анемии и исходный уровень СК. При этом из всех перечисленных факторов в логистической регрессионной модели статистически значимыми (p<0,05) стали наличие протеи- нурии, исходный уровень СК и объем контраста.
Рис. 2. ROC-кривая логистической регрессионной модели.
Обсуждение
АГ является независимым фактором риска развития КА-ОПП [4]. Именно поэтому в проведенном нами исследовании решили выделить и проанализировать группу пациентов с АГ и стабильной ИБС и другими факторами риска. Сочетание ИБС и АГ является одним из наиболее частых, встречающихся в практике врача-кардиолога. Сопутствующие метаболические нарушения в ряде случаев могут приводить к заметному увеличению риска развития КА-ОПП. Именно поэтому практикующему врачу крайне важно правильно определять степень риска проведения вмешательства, сопровождающегося внутриартериальным введением КВ, при этом не прибегая к консервативной тактике ведения пациентов, прогноз и качество жизни которых могут улучшиться после проведения эндоваскулярных вмешательств.
Частота развития КА-ОПП в нашей выборке составила 12,6%, что соответствует данным, приводимым другими исследователями [5–7]. Однако важно обратить внимание, что гетерогенность определений КА-ОПП затрудняет анализ эпидемиологических данных. Так, при использовании определения с учетом абсолютного прироста значений показателя (на 44 мкмоль/л) частота КА-ОПП в нашем исследовании составила 14 случаев (1,6%), что почти в 10 меньше, чем в случае оценки относительного прироста СК от исходного уровня. Именно поэтому столь важно оценивать в первые 48 ч динамику уровня креатинина у пациентов со стабильной ИБС и АГ, которым проводится плановое вмешательство с внутриартериальным введением КВ.
По мере роста в популяции числа пожилых пациентов увеличивается и число больных с сопутствующими заболеваниями и метаболическими нарушениями. Однако, например, влияние СД на риск развития КА-ОПП по-прежнему является не до конца изученным. Использование потенциально нефротоксичного препарата метформин многими пациентами с СД вносит свой вклад в трудность интерпретации результатов. Как известно, этот препарат должен быть отменен за 48 ч до предполагаемого проведения исследования с внутриартериальным введением КВ. Хотя риск развития лактатацидоза очень низок и в основном связан с основным заболеванием, лактатацидоз, ассоциированный с метформином, может развиваться у больных с КА-ОПП [8].
К сожалению, на момент включения пациентов в исследование сведений о потенциальной нефротоксичности ингибиторов ангиотензинпревращающего фермента и блокаторов рецептора к ангиотензину II было мало, поэтому анализ влияния этих препаратов на первичную конечную точку не проводился. Однако смело можно утверждать, что в популяции пациентов с АГ и стабильной ИБС подавляющее большинство принимали какой-либо из препаратов этой группы. По-видимому, для оценки их влияния на риск развития КА-ОПП требуется проведение исследований с тщательным подбором групп пациентов как с АГ, так и без АГ.
Учитывая, что KDIGO планирует включать КА-ОПП в раздел новых рекомендаций вместе с ОПП, индуцированным другими нефротоксичными препаратами и средствами, требуется проведение дальнейших более крупных исследований в этом направлении вместе с клиническими фармакологами.
В нашей работе СД, ожирение и гиперурикемия как факторы риска КА-ОПП не продемонстрировали своей значимости, в отличие от протеинурии. При этом в нашу выборку пациентов со значимым снижением СКФ (ниже 45 мл/мин/1,73 м2) не включали. Хроническая болезнь почек является известным независимым фактором риска развития КА-ОПП. Так, анализ данных 985 737 больных, которым проводили чрескожное коронарное вмешательство, подтвердил, что тяжелая хроническая болезнь почек (рСКФ<30 мл/мин/1,73 м2) являлась мощнейшим независимым фактором риска КА ОПП [9]. Однако в работе использовались критерии AKIN, а не KDIGO.
Проведенный логистический регрессионный анализ подтвердил значимость протеинурии и исходного уровня СК как факторов риска. Также в разработанной нами модели статистически значимым фактором риска стал объем контраста. При этом важно отметить, что до сих пор не определен безопасный объем КВ, который может быть введен пациенту, особенно больным с несколькими сопутствующими заболеваниями и факторами риска. Высказано предположение, что объем КВ необходимо ограничивать объемом, не превышающим в 2,5 раза исходную рСКФ [10, 11]. Однако всем известна погрешность, связанная с использованием рСКФ, а не истинной СКФ, у исследуемой нами группы пациентов. Требуется проведение дальнейших многоцентровых рандомизированных исследований с четкими критериями включения.
Заключение
Частота развития КА-ОПП в нашей выборке составила 12,6% при использовании определения, учитывающего повышение уровня СК на 25% и более от исходного. Частота КА-ОПП была почти в 10 раз меньше в случае анализа прироста уровня креатинина на 44 мкмоль/л от исходного, что доказывает важность использования принятых в 2012 г. критериев KDIGO, учитывающих как абсолютный, так и относительный прирост показателя после введения КВ. В разработанную логистическую регрессионную модель с AUC 0,7638 (p<0,0001, 95% ДИ 0,713–0,815) вошли такие факторы риска, как возраст, масса тела, ИМТ, женский пол, наличие сердечной недостаточности, протеинурии, АГ, анемии и исходный уровень СК. При этом статистически значимыми были наличие протеинурии, исходный уровень СК и объем контраста.
Об авторах
Ольга Юрьевна Миронова
ФГАОУ ВО «Первый Московский государственный медицинский университет им. И.М. Сеченова» Минздрава России (Сеченовский Университет)
Автор, ответственный за переписку.
Email: mironova_o_yu@staff.sechenov.ru
ORCID iD: 0000-0002-5820-1759
канд. мед. наук, доц. каф. факультетской терапии №1 Института клинической медицины им. Н.В. Склифосовского ФГАОУ ВО «Первый МГМУ им. И.М. Сеченова» (Сеченовский Университет)
Россия, МоскваВиктор Викторович Фомин
ФГАОУ ВО «Первый Московский государственный медицинский университет им. И.М. Сеченова» Минздрава России (Сеченовский Университет)
Email: mironova_o_yu@staff.sechenov.ru
ORCID iD: 0000-0002-2682-4417
чл.-кор. РАН, д-р мед. наук, проф., проректор по клинической работе и дополнительному профессиональному образованию, зав. каф. факультетской терапии №1 Института клинической медицины им. Н.В. Склифосовского ФГАОУ ВО «Первый МГМУ им. И.М. Сеченова» (Сеченовский Университет)
Россия, МоскваСписок литературы
- Mehran R, Dangas GD, Weisbord SD. Contrast-Associated Acute Kidney Injury. N Engl J Med 2019; 380 (22): 2146–55. doi: 10.1056/NEJMra1805256
- KDIGO Clinical Practice Guideline for Acute Kidney Injury. Kidney Int Suppl 2012; 2 (1): 3. https://linkinghub.elsevier.com/retrieve/pii/S2157171615310406
- Williams B, Mancia G, De Backer G et al. 2018 Guidelines for the Management of Arterial Hypertension: The Task Force for the Management of Arterial Hypertension of the European Society of Hypertension (ESH) and of the European Society of Cardiology (ESC). J Hypertens 2018; 25 (6): 1105–87.
- Conen D, Buerkle G, Perruchoud AP et al. Hypertension is an independent risk factor for contrast nephropathy after percutaneous coronary intervention. Int J Cardiol 2006; 110 (2): 237–41.
- Toprak O, Cirit M, Yesil M et al. Metabolic syndrome as a risk factor for contrast-induced nephropathy in non-diabetic elderly patients with renal impairment. Kidney Blood Press Res 2006; 29 (1): 2–9.
- McCullough PA. Contrast-Induced Acute Kidney Injury. Crit Care Nephrol Third Ed 2017; 282–8.
- Pistolesi V, Regolisti G, Morabito S et al. Contrast medium induced acute kidney injury: a narrative review. J Nephrol 2018; 31 (6): 797–812. doi: 10.1007/s40620-018-0498-y
- Van der Molen AJ, Reimer P, Dekkers IA et al. Post-contrast acute kidney injury. Part 2: risk stratification, role of hydration and other prophylactic measures, patients taking metformin and chronic dialysis patients. Eur Radiol 2018; 28 (7): 2856–69.
- Tsai TT, Patel UD, Chang TI et al. Contemporary incidence, predictors, and outcomes of acute kidney injury in patients undergoing percutaneous coronary interventions: Insights from the NCDR cath-PCI registry. JACC Cardiovasc Interv 2014; 7 (1): 1–9.
- Andò G, De Gregorio C, Morabito G et al. Renal function-adjusted contrast volume redefines the baseline estimation of contrast-induced acute kidney injury risk in patients undergoing primary percutaneous coronary intervention. Circ Cardiovasc Interv 2014; 7 (4): 465–72.
- Gurm HS, Dixon SR, Smith DE et al. Renal function-based contrast dosing to define safe limits of radiographic contrast media in patients undergoing percutaneous coronary interventions. J Am Coll Cardiol 2011; 58 (9): 907–14. doi: 10.1016/j.jacc.2011.05.023







