Медикаментозная терапия артериальной гипертонии: оценка базовых знаний врачей терапевтического профиля. Финальные результаты проекта PHYSTARH
- Авторы: Бонцевич Р.А.1, Вовк Я.Р.1, Гаврилова А.А.1, Кириченко А.А.2, Кроткова И.Ф.2, Космачева Е.Д.3,4, Компаниец О.Г.3, Прозорова Г.Г.5, Невзорова В.А.6, Мартыненко И.М.6, Кетова Г.Г.7, Барышева В.О.8, Максимов М.Л.9, Осипова О.А.1
-
Учреждения:
- ФГАОУ ВО «Белгородский государственный национальный исследовательский университет»
- ФГБОУ ДПО «Российская медицинская академия непрерывного профессионального образования» Минздрава России
- ФГБОУ ВО «Кубанский государственный медицинский университет» Минздрава России
- ГБУЗ «Научно-исследовательский институт – Краевая клиническая больница №1 им. проф. С.В. Очаповского» Минздрава Краснодарского края
- ФГБОУ ВО «Воронежский государственный медицинский университет им. Н.Н. Бурденко» Минздрава России
- ФГБОУ ВО «Тихоокеанский государственный медицинский университет» Минздрава России
- ФГБОУ ВО «Южно-Уральский государственный медицинский университет» Минздрава России
- ФГБУ «Национальный медицинский исследовательский центр эндокринологии» Минздрава России
- Казанская государственная медицинская академия – филиал ФГБОУ ДПО «Российская медицинская академия непрерывного профессионального образования» Минздрава России
- Выпуск: Том 18, № 2 (2021)
- Страницы: 80-87
- Раздел: Оригинальная статья
- URL: https://journals.eco-vector.com/2075-082X/article/view/75623
- DOI: https://doi.org/10.26442/2075082X.2021.2.200884
- ID: 75623
Цитировать
Полный текст
Аннотация
Обоснование. Артериальная гипертония (АГ) – мультифакториальное заболевание, сопровождающееся повышением систолического и/или диастолического артериального давления выше установленных значений. Неконтролируемость артериального давления может стать причиной разных осложнений, которые с высокой вероятностью приведут либо к инвалидизации пациента, либо к летальному исходу.
Цель. Оценить соответствие актуальным клиническим рекомендациям уровня знаний врачей в разных центрах России в вопросах лечения АГ.
Материалы и методы. Анализ результатов анонимного проспективного опроса (анкетирования) в рамках многоцентрового исследования PHYSTARH (полное название проекта – Physicians’ and undergraduates’ knowledge in arterial hypertension treatment) по оценке уровня базовых знаний и фармакотерапевтических предпочтений врачей терапевтического профиля по АГ.
Результаты. В исследовании в 2017–2019 гг. приняли участие 425 врачей терапевтического профиля из 9 регионов России: Белгородской, Воронежской, Липецкой и Челябинской областей, Москвы, Краснодарского и Приморского краев, республик Адыгея и Татарстан. В ходе анализа были выявлены недостаточно высокие результаты знаний специалистов в вопросах лечения АГ. Менее 1/2 респондентов правильно ответили на вопросы, требующие указать комбинированную терапию как лечебное вмешательство, при котором эффективность снижения артериального давления становится примерно в 5 раз больше, чем при удвоении дозы исходного препарата, фармакологическую группу препарата к предложенному варианту (метилдопа), определить показание к применению ацетилсалициловой кислоты у пациентов с АГ, подобрать оптимальную антигипертензивную терапию к предложенным клиническим ситуациям, указать абсолютно противопоказанные к назначению препараты при беременности и хронической обструктивной болезни легких.
Заключение. Установлена необходимость проведения дополнительных образовательных мероприятий среди врачей терапевтического профиля для улучшения качества знаний по базовым аспектам терапии АГ, так как значимое количество ключевых вопросов по теме вызывает трудности у респондентов.
Полный текст
Введение
Артериальная гипертония (АГ) – мультифакториальное заболевание с генетической предрасположенностью, сопровождающееся повышением систолического и/или диастолического артериального давления (АД) выше установленных значений (систолическое АД>140 мм рт. ст., диастолическое АД>90 мм рт. ст.) [1].
Ежегодно гипертония диагностируется впервые у 37 млн человек [2]. Эта патология является сопутствующей более чем у 85% пациентов с заболеваниями сердца [3]. По данным Всемирной организации здравоохранения, преждевременная смерть, связанная с АГ, регистрируется в 7,6 млн случаев [4].
Актуальность гипертонии связана, во-первых, с трудностями ее диагностики на ранних стадиях (частое бессимптомное течение), во-вторых, с проблемами контроля уже выявленной гипертонии (в РФ лишь 53,5% женщин и 41,4% мужчин лечатся эффективно, достигая целевых значений) [5].
Неконтролируемость АД впоследствии может стать причиной разных осложнений (цереброваскулярных, сердечно-сосудистых, почечных), которые определенно приведут либо к инвалидизации пациента, либо к летальному исходу.
Для решения данной проблемы необходимо наличие хорошо подготовленного в этом направлении медицинского персонала, который сможет своевременно диагностировать данную патологию и правильно подобрать соответствующее лечение с учетом индивидуальных особенностей пациента.
Цель исследования – определить уровень базовых знаний врачей терапевтического профиля и их соответствие актуальным клиническим рекомендациям в вопросах лечения АГ в разных регионах России.
Материалы и методы
В рамках многоцентрового исследования PHYSTARH (полное название проекта – Physicians’ and undergraduates’ knowledge in arterial hypertension treatment) представлены результаты анонимного проспективного опроса (2017–2019 гг.) по оценке уровня знаний врачей терапевтического профиля в вопросах диагностики и лечения АГ.
Для исследования была разработана оригинальная анкета, основанная на клинических рекомендациях Европейского кардиологического общества 2013 г. [6]. В связи со значительными изменениями в клинических рекомендациях Европейского кардиологического общества в 2018 г. и Российского кардиологического общества в 2019 г. I этап проекта завершен в сентябре 2019 г. Анкета претерпела соответствующие изменения, был запущен II этап исследования (набор данных проходит в настоящий момент).
Анкета исследования содержала вопросы с предложенными вариантами ответов, а также вопросы, где респонденту предлагалось написать ответ самостоятельно. При подсчете результатов, в зависимости от степени полноты, относили к «неверным» ответы, получившие от 0 до 0,5 балла включительно, к «верным» – от 0,5 до 1. Следовательно, при всех верных ответах максимальный средний балл составлял 1,0. Среднее значение совокупности верных, частично верных и неверных ответов характеризовалось как «средний уровень полноты ответа» (СПО), эквивалентное понятие – «средний уровень правильности ответов».
Врачам было предложено отметить, первично или повторно для них прохождение анкеты, также они указывали специальность, категорию и стаж работы. Для получения независимых результатов без влияния фактора возможной оценки фамилию и имя респонденты не указывали.
Отдельно оценивались средние значения каждого респондента, средние значения по отдельным вопросам, средние значения по всей анкете. При отсутствии ответа на «написательный» вопрос респонденту начислялось 0 баллов. В работе проанализированы ответы на вторую часть вопросов анкеты (результаты анализа ответов первой части анкеты опубликованы в журнале «Системные гипертензии» [7]), посвященную лечению АГ; они представлены ниже без вариантов ответов (в оригинальной анкете данные вопросы представлены под номерами 13–21):
- Указать лечебное вмешательство (действие), при котором доказано, что эффективность снижения АД становится примерно в 5 раз больше, чем при удвоении дозы исходно применяемого препарата.
- Дописать группу препарата к предложенным вариантам [пример: каптоприл – ингибитор ангиотензинпревращающего фермента (ИАПФ)]: метопролол, периндоприл, нифедипин, индапамид, верапамил, лозартан, алискирен, метилдопа, торасемид.
- Указать показание к применению ацетилсалициловой кислоты (АСК) у пациентов с АГ.
- Выбрать нерациональные комбинации препаратов среди предложенных вариантов.
- Указать, при каком из указанных диагнозов (состояний) будет рациональна стартовая комбинированная терапия АГ.
- Выбрать рациональный подход к предложенной клинической ситуации: пациент М., 37 лет, диагноз «гипертоническая болезнь (ГБ) I стадии, 2-й степени, риск 3».
- Выбрать рациональный подход к предложенной клинической ситуации: пациент К., 53 года, диагноз «ГБ II стадии, 1-й степени, риск 2*».
- Выбрать оптимальный препарат для купирования неосложненного гипертонического криза (ГК).
- Отметить абсолютные противопоказания к назначению препаратов. Список препаратов: эналаприл, верапамил, бисопролол, гипотиазид, торасемид; список состояний: беременность, подагра, атриовентрикулярная (АВ) блокада 2-й степени, синдром Вольфа–Паркинсона–Уайта, хроническая обструктивная болезнь легких (ХОБЛ).
Все результаты вносились в электронную базу данных и обрабатывались с помощью прикладных программ Microsoft Excel, IBM SPSS Statistics 26.
Анализ на нормальность распределения проведен с помощью критерия Шапиро–Уилка. Качественные переменные обрабатывались с помощью произвольных таблиц сопряженности с использованием критерия χ2 Пирсона (в случаях, когда значения ожидаемых чисел <5 более чем в 20% ячеек, был применен точный критерий Фишера). Значимость различий фиксировалась при уровне двустороннего р<0,05 с учетом поправки Бенджамини–Хохберга для множественных сравнений. Для оценки силы связи между категориальными признаками был использован критерий V Крамера (интерпретация значений согласно рекомендациям Rea и Parker) [8]. С целью обнаружения внутригрупповых различий, при условии достижения статистической значимости в ходе I этапа множественного анализа, на следующем применяли post-hoc анализ. Центры с малым количеством респондентов (Липецк, Челябинск) были исключены из сравнительного анализа для корректного подсчета статистической значимости, а данные по Республике Адыгея, в связи с территориальной близостью и координированием анкетирования на единой базе, были объединены в один общий центр с данными Краснодарского края.
Выявление статистической разницы среди центров для вопросов с количественными данными произведено с использование непараметрического аналога дисперсионного анализа – критерия Краскела–Уоллиса с коррекцией уровня значимости р с учетом поправки Бонферрони при апостериорных парных сравнениях исследуемых центров между собой (статистическая значимость различий фиксировалось при р<0,05). Для расчета доверительных интервалов (ДИ) применялся метод Клоппера–Пирсона.
Следует отметить, что данная методика оценки знаний является относительной, она создана для настоящего исследования и не может полноценно отразить реальный уровень знаний респондентов в отдельных регионах. В связи с этим исходя из этических соображений центры в статье обезличены и обозначены как «центр 1», «центр 2» и т.д.
Результаты
В исследовании участвовали 425 врачей терапевтического профиля из 9 городов/регионов России (34% из Белгородской области, 21% из Москвы, 19% из Краснодарского края, в том числе 2% из Республики Адыгея, 11% из Воронежа, 7% из Приморского края, 4% из Татарстана, по 2% из Липецка и Челябинска), которые были проанкетированы в 2017–2019 гг.
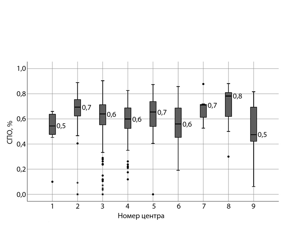
Средний уровень верных ответов по вопросам второй части анкеты составил 60% (от 54 до 64% в разных центрах, р<0,01). Уровень правильных ответов по анализируемым вопросам варьирует от 16 до 92% среди всех респондентов и от 4 до 97% в разных центрах.
Минимальный уровень правильных ответов наблюдался в следующих вопросах:
- лечебное вмешательство, при котором эффективность снижения АД становится примерно в 5 раз больше, чем при удвоении дозы исходного препарата – 34%, ДИ 29,1–38,5% (от 26,5 до 55% в разных центрах, р>0,05);
- указание группы препарата к предложенному варианту (метилдопа) – 26%, ДИ 22,2–30,8% (от 12 до 52%, р<0,01);
- показание к применению АСК у пациентов с АГ – 37%, ДИ 31,9–41,5% (от 25 до 47,5%, р<0,05);
- выбор диагноза, при котором рациональна стартовая комбинированная терапия АГ – 16%, ДИ 11,9–21,4% (от 4 до 30%, р>0,05);
- выбор рационального подхода в терапии для пациента 37 лет с диагнозом «ГБ I стадии, 2-й степени, риск 3» – 37%, ДИ 32,5–42,3% (от 33,5 до 52%, р>0,05) и для пациента 53 лет с диагнозом «ГБ II стадии, 1-й степени, риск 2» – 26%, ДИ 22,05–30,9% (от 17 до 39%, р>0,05);
- выбор абсолютных противопоказаний к назначению препаратов: беременность – 39%, ДИ 34,8–44,3% (от 31 до 56,5%, р<0,01); ХОБЛ – 27%, ДИ 23,1–31,8% (от 4 до 40%, р<0,01).
Максимальный уровень правильных ответов был отмечен при указании группы препарата к предложенному варианту: метопролол – 92%, ДИ 88,7–94,2% (от 87 до 97% в разных центрах, р>0,05); периндоприл – 91%, ДИ 88,2–93,8% (от 87 до 95%, р>0,05); торасемид – 91%, ДИ 87,7–93,4% (от 88 до 97%, р>0,05).
На рис. 1 приведен СПО респондентов на вопросы второй части анкеты в разных центрах.
Рис. 1. СПО респондентов на вопросы второй части анкеты во всех исследуемых центрах.
Fig. 1. Distribution of the average level of correct answers to the questions of the second part of the questionnaire in all research centers.
В табл. 1 приведены результаты сравнения степени правильности ответов на вопросы №1, 3–8 в зависимости от исследуемого центра.
Таблица 1. Результаты сравнения степени правильности ответов в исследуемых центрах (вопросы №1, 3–8)
Table 1. Results of comparing the degree of correctness of answers in different centers (questions №1, 3–8)
Исследуемый центр*, абс. (%) | ||||||
1 | 2 | 3 | 4 | 5 | 6 | |
4 (23,5) | 22 (30,6) | 49 (50,9) | 31 (32) | 16 (55,2) | 18 (39,1) | |
7 (41,2) | 22 (28,9) | 43 (31,6) | 40 (44,4) | 10 (35,7) | 8 (17,4) | |
2 (12,5) | 35 (48,6) | 51 (37,2) | 21 (24,7) | 2 (6,9) | 15 (32,6) | |
3 (17,6) | 6 (10,3) | 10 (17,5) | 4 (6,8) | 3 (10,7) | 2 (4,3) | |
6 (37,5) | 28 (38,9) | 45 (33,3) | 28 (32,9) | 14 (48,3) | 17 (37,0) | |
3 (18,8) | 16 (22,5) | 34 (25) | 27 (32,9) | 5 (17,2) | 9 (19,6) | |
13 (76,5) | 64 (87,7) | 110 (79,1) | 69 (78,4) | 18 (62,1) | 35 (76,1) | |
Примечание. В связи с особенностями данных вопросы №2 и 9 проанализированы и представлены отдельно в разделе «Обсуждение». *Здесь и далее в табл. 2 и 3: за исключением центров с малым количеством респондентов (см. раздел «Материалы и методы»). **Различия показателей статистически значимы (p<0,05). | ||||||
Обсуждение
Первый вопрос анкеты был посвящен медицинскому вмешательству, при котором доказано, что эффективность снижения АД становится примерно в 5 раз больше, чем при удвоении дозы исходно применяемого препарата. Таким вмешательством является применение комбинированной терапии [5]. Правильно ответили на вопрос 34% врачей, ДИ 29,1–38,5% (от 26,5 до 55% в разных центрах, р=0,244).
Во 2-м вопросе врачам необходимо было дописать группу препарата к предложенным вариантам. Средний уровень правильных ответов на вопрос составил 79%, ДИ 74,8–82,8% (от 72 до 87% в разных центрах, p<0,001). Правильно определили группу для:
- метопролола (β-адреноблокатор – β-АБ) 92% врачей, ДИ 88,7–94,2% (от 87 до 97%, р=0,603);
- периндоприла (ИАПФ) – 91%, ДИ 88,2–93,8% (от 87 до 95%, р=0,682);
- нифедипина (блокатор кальциевых каналов) – 89%, ДИ 86,1–92,2% (от 85 до 95%, р=0,336);
- индапамида (диуретик) – 89%, ДИ 86,1–92,2% (от 85 до 97%, р=0,384);
- верапамила (блокатор кальциевых каналов) – 88%, ДИ 84,5–90,9% (от 82 до 92%, р=0,558);
- лозартана (блокатор рецепторов ангиотензина II – БРА) – 87%, ДИ 83,5–90,1% (от 78 до 94%, р=0,037);
- алискирена (ингибитор ренина) – 54%, ДИ 49,1–58,8% (от 41 до 76%, р=0,0003);
- метилдопы (α-адреномиметик) – 26%, ДИ 22,2–30,8% (от 12 до 52%, р<0,0001);
- торасемида (диуретик) – 91%, ДИ 87,7–93,4% (от 88 до 97%, р=0,497).
В табл. 2 представлен уровень ответов врачей среди исследуемых центров на данный вопрос.
Отмечаются статистически значимые различия уровня средних ответов в исследуемых центрах (p<0,001). При апостериорных парных сравнениях исследуемых центров выявлены различия между ответами респондентов из центра 2 и оставшихся центров, а также между центром 1 и 5 (рис. 2).
Рис. 2. Уровни ответов в исследуемых центрах на вопрос о принадлежности АГП к фармакологическим группам.
Fig. 2. Response levels of the centers to the question about groups of antihypertensive drugs.
Рис. 3. Корректность ответов на вопрос об абсолютно противопоказанных препаратах при беременности (%).
Fig. 3. Correctness of answers to the question about absolutely contraindicated drugs for pregnancy (%).
Применение АСК в низких дозах целесообразно лишь у пациентов с контролируемой АГ при перенесенном инфаркте миокарда, ишемическом инсульте или транзиторных ишемических атаках (но при отсутствии риска кровотечения), а также у пациентов с нарушением функции почек или высоким сердечно-сосудистым риском [6, 9–11]. Правильно выбрали показания к назначению АСК 37% врачей, ДИ 31,9–41,5% (от 25 до 47,5% в разных центрах, р=0,036). Значительная часть ошибочных ответов связана с убеждением большинства респондентов в необходимости назначения АСК с профилактической целью при любом уровне АГ.
Анализ современных исследований [12] показал значительные преимущества комбинированной терапии АГ перед монотерапией даже при увеличении дозы исходного препарата. Фармакологическое и физиологическое взаимодействие нескольких препаратов с разным механизмом действия приводит, как правило, к усилению антигипертензивного эффекта и подавлению взаимных побочных эффектов [9]. Комбинации антигипертензивных препаратов (АГП) делятся на эффективные, возможные и рациональные. Описанные преимущества присущи только рациональным комбинациям [13, 14]. К ним относятся: ИАПФ + диуретик; БРА + диуретик; ИАПФ + антагонисты кальция (АК); БРА+АК; дигидропиридиновый АК+β-АБ; АК + диуретик; β-АБ + диуретик.
В 4-м вопросе респондентам необходимо было выбрать нерациональные комбинации АГП из предложенных вариантов: спиронолактон и ИАПФ; тиазидные диуретики и АК; БРА и ИАПФ; БРА и АК; β-АБ и недигидропиридиновые АК. Тиазидные диуретики и АК, БРА и АК являются рациональными комбинациями. Спиронолактон и ИАПФ могут использоваться вместе при резистентной АГ [15–17], при АГ и хронической сердечной недостаточности со сниженной фракцией выброса, при АГ и фибрилляции предсердий. Однако эта комбинация противопоказана пациентам со скоростью клубочковой фильтрации ≤30 мл/мин и концентрацией калия в плазме ≥5 ммоль/л из-за риска гиперкалиемии. В проводимом анкетировании нерациональными считались следующие комбинации АГП: БРА и ИАПФ; β-АБ и недигидропиридиновый АК. Правильно выбрали данные варианты ответов 56% респондентов, ДИ 50,8–60,7% (от 41 до 64% в разных центрах, р=0,001).
Таблица 2. Уровень ответов врачей в исследуемых центрах на вопрос о принадлежности АГП к фармакологическим группам
Table 2. The level of doctors’ responses among the centers to the question about groups of antihypertensive drugs
Исследуемый центр* | Вопрос №2 | p | |
Me | Q1–Q3 | ||
1 | 0,78 | 0,55–0,89 | <0,001 p1–5=0,029 p1,2<0,001 p2–4<0,001 p2,3<0,001 p2–6=0,002 p2–5=0,045 |
2 | 0,89 | 0,88–1,00 | |
3 | 0,89 | 0,77–0,89 | |
4 | 0,78 | 0,77–0,88 | |
5 | 0,89 | 0,77–1,0 | |
6 | 0,89 | 0,77–0,89 | |
В 5-м вопросе были предложены 3 клинические ситуации: пациенты с I–II стадиями ГБ, 1 и 2-й степенью АГ и риском 2 или 3. Респондентам требовалось выбрать ситуацию, когда будет рациональна стартовая комбинированная терапия. В соответствии с клиническими рекомендациями 2013 г. решающим критерием для этого являлась выраженность риска сердечно-сосудистых осложнений [6]. Отмечаем, что в 2019 г. стратегия изменилась. Теперь стартовая комбинированная терапия показана во всех случаях, кроме следующих ситуаций: низкий риск и АГ 1-й степени, очень пожилые пациенты (старше 80 лет) или ослабленные лица [9, 18].
Правильно ответили на вопрос, выбрав клиническую ситуацию с ориентацией на «риск сердечно-сосудистых осложнений», а не «стадию» или «степень АД», 16% врачей, ДИ 11,9–21,4% (от 4 до 30% в разных центрах, р=0,23).
Далее респондентам была дана следующая клиническая ситуация: больной М., 37 лет, ГБ I стадии, 2-й степени, риск 3. Согласно клиническим рекомендациям 2013 г. (а также 2019 и 2020 гг.) оптимальным подходом для данного случая будут комбинированная стартовая терапия (двухкомпонентным лекарственным средством), коррекция дозы/схемы лечения при необходимости через 2 нед [6, 9, 18]. Выбрали данный вариант лечения 37% респондентов, ДИ 32,5–42,3% (от 33,5 до 52%, р=0,701).
Для следующей клинической ситуации (больной К., 53 года, ГБ II стадии, 1-й степени, риск 2) оптимальным подходом, согласно клиническим рекомендациям 2013 г. [6], является монотерапия с коррекцией дозы/схемы лечения при необходимости через 2 нед. Выбрали данный ответ 26% врачей, ДИ 22,05–30,9% (от 17 до 39%, р=0,473). Однако, согласно актуальным клиническим рекомендациям, в данной ситуации необходимы комбинированная стартовая терапия (двухкомпонентным лекарственным средством), коррекция дозы/схемы лечения при необходимости через 2 нед [18].
ГК – остро возникшее состояние, сопровождающееся повышением АД до высоких значений (>180/120 мм рт. ст.), появлением соответствующей симптоматики, требующее срочного контролируемого снижения АД для предупреждения поражения органов-мишеней. Согласно клиническим рекомендациям 2013 г., ГК может быть неосложненным (без поражения органов-мишеней) и осложненным (с поражением органов-мишеней) [6]. Клинические рекомендации 2019 и 2020 гг. гласят, что термин «неосложненный ГК» не рекомендован к использованию, так как данное состояние может быть купировано в амбулаторных условиях путем назначения пероральных АГП в соответствии со стандартным алгоритмом [9, 18]. Для этой группы пациентов необходимо назначение препаратов с относительно быстрым и коротким действием: каптоприл, как альтернатива – нифедипин, моксонидин, клонидин, пропранолол.
Для купирования неосложненного ГК правильно выбрали каптоприл 86% врачей, ДИ 82–89,1% (от 77 до 92% в разных центрах, р=0,122).
Следующий вопрос был посвящен абсолютным противопоказаниям к назначению препаратов: эналаприл, верапамил, бисопролол, гипотиазид, торасемид.
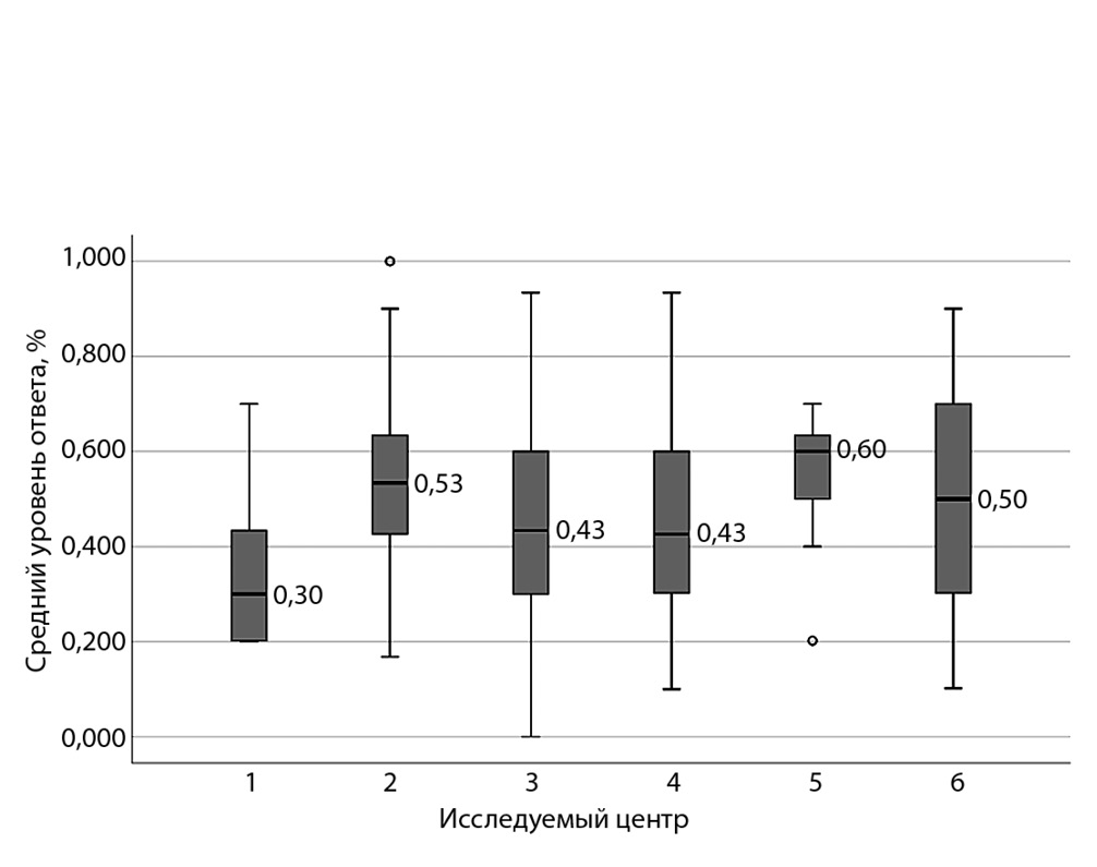
Беременность – особое состояние, при котором назначение некоторых АГП ограничено в связи с возможностью причинения вреда плоду. Так, при беременности абсолютно противопоказано назначение эналаприла и торасемида [19, 20]. СПО на вопрос составил 39%, ДИ 34,8–44,3% (от 31 до 56,5% в разных центрах, р=0,008). При этом два правильных варианта ответа выбрали лишь 10% опрошенных, 73% респондентов ответили частично верно. Правильно определили только один вариант ответа 30% респондентов (29% – эналаприл, 0,7% – торасемид), а 13% указали несколько вариантов ответа, в структуре каждого из которых содержание правильных ответов преобладало (рис. 3). Указали «гипотиазид» вместе с двумя правильными вариантами ответов 10% респондентов; 15% выбрали все предложенные варианты.
Подагра – заболевание, связанное с нарушением обмена мочевой кислоты. Тиазидные диуретики противопоказаны при данном состоянии, так как повышают уровень мочевой кислоты в крови [19]. Только 28% респондентов верно ответили, что гидрохлоротиазид абсолютно противопоказан при подагре. Считают противопоказанным торасемид 8% врачей, а 41% – абсолютно противопоказанными и гидрохлоротиазид, и торасемид. СПО на вопрос составил 50%, ДИ 45–54,7% (от 42 до 67% в разных центрах, р=0,054).
АВ-блокада – это разновидность сердечных брадиаритмий, при которой происходит нарушение проведения электрического импульса от предсердий к желудочкам. В зависимости от степени задержки проведения импульса АВ-блокады подразделяют на неполные (1 и 2-й степени) и полную (3-й степени). Недигидропиридиновые блокаторы кальциевых каналов, а также β-АБ противопоказаны при АВ-блокадах 2 и 3-й степени, так как они замедляют частоту сердечных сокращений и усугубляют данную аритмию [19]. Правильно выбрали при АВ-блокаде 2-й степени в качестве абсолютно противопоказанных препаратов верапамил и бисопролол 46% врачей. Выбрали только один из правильных вариантов 34% респондентов (9% – верапамил, 26% – бисопролол), а 6% респондентов указали несколько вариантов ответа, в структуре каждого из которых содержание правильных ответов преобладало. СПО на вопрос составил 67%, ДИ 67,5–71,6% (от 62 до 82% в разных центрах, р=0,205).
АК абсолютно противопоказаны при синдроме Вольфа–Паркинсона–Уайта. Эти препараты способны улучшить проводимость нервного импульса, включая дополнительный пучок Кента, что может привести к фибрилляции желудочков и трепетанию предсердий [19]. Всего 44% врачей верно определили противопоказанный при этом синдроме верапамил, 10% респондентов ошибочно считают противопоказанным бисопролол и 21% врачей считают оба препарата противопоказанными. СПО на вопрос составил 55%, ДИ 50,9–60,15% (от 43 до 82% в разных центрах, р=0,003).
В предложенном списке препаратов нет ни одного, который был бы абсолютно противопоказан при ХОБЛ [19, 21]. Правильно ответили на данный вопрос 27% врачей, ДИ 23,1–31,8% (от 4 до 40% в разных центрах, р=0,001).
В табл. 3 представлен уровень ответов врачей среди исследуемых центров на вопрос об абсолютных противопоказаниях к назначению АГП.
Таблица 3. Абсолютные противопоказания к назначению АГП: уровень ответов врачей в участвующих центрах
Table 3. Absolute contraindications for the appointment of antihypertensive drugs: the level of doctors’ responses at participating centers
Исследуемый центр* | Вопрос №9 | p | |
Me | Q1–Q3 | ||
1 | 0,3 | 0,2–0,43 | 0,001 p1,2<0,001 p1–3=0,019 p1–4=0,035 p1–5<0,001 p1–6=0,001 p2–4=0,004 p4–6=0,029 p4,5=0,009 p3–6=0,038 p2,3=0,005 p3–5=0,012 |
2 | 0,53 | 0,43–0,63 | |
3 | 0,43 | 0,3–0,6 | |
4 | 0,43 | 0,3–0,6 | |
5 | 0,6 | 0,5–0,63 | |
6 | 0,5 | 0,3–0,7 | |
Отмечаются статистически значимые различия уровня средних ответов в исследуемых центрах (p=0,001). Апостериорные парные сравнения определили различия между ответами респондентов из центра 1 и оставшихся центров, что дает основание предположить наиболее низкий уровень знаний в данной группе респондентов (рис. 4).
Рис. 4. Уровни ответов исследуемых центров на вопросы об абсолютных противопоказаниях к назначению АГП.
Fig. 4. The levels of surveyed centers’ knowledge to the question of absolutely contraindicated antihypertensive drugs.
Заключение
Установлено, что врачи терапевтического профиля обладают недостаточным уровнем знаний в базовых вопросах терапии АГ. Наибольшие трудности у респондентов вызвали вопросы о существенном превосходстве комбинированной терапии в сравнении с наращиванием дозы исходного препарата; знании фармацевтических групп некоторых препаратов (метилдопа); показаниях к применению АСК у пациентов с АГ; выборе оптимальной терапии к предложенным типовым клиническим ситуациям и абсолютно противопоказанных к назначению препаратах при беременности и ХОБЛ.
В связи с этим авторы предполагают, что существует необходимость проведения дополнительных образовательных мероприятий и оптимизации «рутинных» режимов фармакотерапии АГ, «вошедших в привычку» у практикующих специалистов.
Конфликт интересов. Авторы заявляют об отсутствии конфликта интересов. Исследование проводилось без участия спонсоров. По результатам исследования получено свидетельство о государственной регистрации базы данных**.
Conflict of interests. The authors declare no conflict of interest. The study was conducted without sponsorship. We received a certificate of state registration of the database based on the results of the study.
*Авторы отмечают, что по обновленным клиническим рекомендациям Европейского кардиологического общества (с 2018 г.) и Российского кардиологического общества (с 2019 г.) в данной ситуации при ГБ II стадии риск будет не ниже 3.
****Свидетельство о государственной регистрации базы данных №2020620700, Российская Федерация. Артериальная гипертензия: определение, классификация, диагностика и лечение – уровень знаний врачей. Бонцевич Р.А., Вовк Я.Р., Гаврилова А.А.; правообладатель ФГАОУ ВО «Белгородский государственный национальный исследовательский университет». №2020620700; заявл. 15.04.2020; зарегистр. 21.04.2020.
Об авторах
Роман Александрович Бонцевич
ФГАОУ ВО «Белгородский государственный национальный исследовательский университет»
Автор, ответственный за переписку.
Email: dr.bontsevich@gmail.com
ORCID iD: 0000-0002-9328-3905
канд. мед. наук, доц., доц. каф. фармакологии и клин. фармакологии НИУ БелГУ, врач-терапевт, пульмонолог, клин. фармаколог
Россия, БелгородЯна Руслановна Вовк
ФГАОУ ВО «Белгородский государственный национальный исследовательский университет»
Email: dr.bontsevich@gmail.com
ORCID iD: 0000-0002-7741-9745
аспирант каф. фармакологии и клин. фармакологии НИУ БелГУ, врач-терапевт
Россия, БелгородАнна Андреевна Гаврилова
ФГАОУ ВО «Белгородский государственный национальный исследовательский университет»
Email: dr.bontsevich@gmail.com
ORCID iD: 0000-0002-4335-5165
аспирант каф. фармакологии и клин. фармакологии НИУ БелГУ, врач-терапевт
Россия, БелгородАндрей Аполлонович Кириченко
ФГБОУ ДПО «Российская медицинская академия непрерывного профессионального образования» Минздрава России
Email: dr.bontsevich@gmail.com
ORCID iD: 0000-0001-8364-7472
д-р мед. наук, проф. каф. терапии и полиморбидной патологии ФГБОУ ДПО РМАНПО
Россия, МоскваИрина Федоровна Кроткова
ФГБОУ ДПО «Российская медицинская академия непрерывного профессионального образования» Минздрава России
Email: dr.bontsevich@gmail.com
ORCID iD: 0000-0002-9597-1648
канд. мед. наук, доц., каф. терапии и полиморбидной патологии ФГБОУ ДПО РМАНПО
Россия, МоскваЕлена Дмитриевна Космачева
ФГБОУ ВО «Кубанский государственный медицинский университет» Минздрава России; ГБУЗ «Научно-исследовательский институт – Краевая клиническая больница №1 им. проф. С.В. Очаповского» Минздрава Краснодарского края
Email: dr.bontsevich@gmail.com
ORCID iD: 0000-0001-8600-0199
д-р мед. наук, зав. каф. терапии №1 ФГБОУ ВО КубГМУ, зам. глав. врача по мед. части ГБУЗ НИИ – ККБ №1, гл. кардиолог Краснодарского края
Россия, Краснодар; КраснодарОльга Геннадьевна Компаниец
ФГБОУ ВО «Кубанский государственный медицинский университет» Минздрава России
Email: dr.bontsevich@gmail.com
ORCID iD: 0000-0001-9449-9241
канд. мед. наук, доц. каф. терапии №1 ФГБОУ ВО КубГМУ
Россия, КраснодарГалина Гаральдовна Прозорова
ФГБОУ ВО «Воронежский государственный медицинский университет им. Н.Н. Бурденко» Минздрава России
Email: dr.bontsevich@gmail.com
ORCID iD: 0000-0001-8675-1590
д-р мед. наук, проф. каф. терапевтических дисциплин Института дополнительного образования ФГБОУ ВО «ВГМУ им. Н.Н. Бурденко»
Россия, ВоронежВера Афанасьевна Невзорова
ФГБОУ ВО «Тихоокеанский государственный медицинский университет» Минздрава России
Email: dr.bontsevich@gmail.com
ORCID iD: 0000-0002-0117-0349
д-р мед. наук, проф., дир. Института терапии и инструментальной диагностики ФГБОУ ВО ТГМУ
Россия, ВладивостокИрина Михайловна Мартыненко
ФГБОУ ВО «Тихоокеанский государственный медицинский университет» Минздрава России
Email: dr.bontsevich@gmail.com
ORCID iD: 0000-0002-5181-0279
канд. мед. наук, доц. Института терапии и инструментальной диагностики ФГБОУ ВО ТГМУ
Россия, ВладивостокГалина Григорьевна Кетова
ФГБОУ ВО «Южно-Уральский государственный медицинский университет» Минздрава России
Email: dr.bontsevich@gmail.com
ORCID iD: 0000-0002-4678-6841
д-р мед. наук, проф. каф. поликлинической терапии и клин. фармакологии ФГБОУ ВО ЮУГМУ
Россия, ЧелябинскВалерия Олеговна Барышева
ФГБУ «Национальный медицинский исследовательский центр эндокринологии» Минздрава России
Email: dr.bontsevich@gmail.com
ORCID iD: 0000-0001-7762-7854
канд. мед. наук, врач – клин. фармаколог ФГБУ «НМИЦ эндокринологии»
Россия, МоскваМаксим Леонидович Максимов
Казанская государственная медицинская академия – филиал ФГБОУ ДПО «Российская медицинская академия непрерывного профессионального образования» Минздрава России
Email: dr.bontsevich@gmail.com
ORCID iD: 0000-0002-8979-8084
д-р мед. наук, проф., зав. каф. клин. фармакологии и фармакотерапии КГМА – филиала ФГБОУ ДПО РМАНПО
Россия, КазаньОльга Александровна Осипова
ФГАОУ ВО «Белгородский государственный национальный исследовательский университет»
Email: dr.bontsevich@gmail.com
ORCID iD: 0000-0002-7321-6529
д-р мед. наук, проф. каф. госпитальной терапии Медицинского института НИУ БелГУ
Россия, БелгородСписок литературы
- Задионченко В.С., Шехян Г.Г., Ялымов А.А., Щикота А.М. Принципы выбора медикаментозной терапии артериальной гипертонии. Consilium Medicum. 2017;19(10):33-8 [Zadionchenko VS, Shekhyan GG, Yalymov AA, Shchikota AM. Principles of drug therapy of arterial hypertension. Consilium Medicum. 2017;19(10):33-8 (in Russian)]. doi: 10.26442/2075-1753_19.10.33-38
- Кобалава Ж.Д., Троицкая Е.А., Колесник Э.Л. Современные рекомендации по артериальной гипертонии: согласованные и несогласованные позиции. Рациональная фармакотерапия в кардиологии. 2019;15(1):105-14 [Kobalava ZhD, Troitskaya EA, Kolesnik EL. New guidelines on management of arterial hypertension: key similarities and differences. Rational Pharmacotherapy in Cardiology. 2019;15(1):105-14 (in Russian)]. doi: 10.20996/1819-6446-2019-15-1-105-114
- Lawes CMM, Hoorn SV, Rodgers A. Global burden of blood-pressure-related disease, 2001. Lancet. 2008;371(9623):1513-8. doi: 10.1016/S0140-6736(08)60655-8
- Бойцов С.А., Баланова Ю.А., Шальнова С.А., и др. Артериальная гипертония среди лиц 25–64 лет: распространенность, осведомленность, лечение и контроль. По материалам исследования ЭССЕ. Кардиоваскулярная терапия и профилактика. 2014;13(4):4-14 [Boytsov SA, Balanova YuA, Shalnova SA, et al. Arterial hypertension among individuals of 25–64 years old: prevalence, awareness, treatment and control. By the data from ECCD. Cardiovascular Therapy and Prevention. 2014;13(4):4-14 (in Russian)]. doi: 10.15829/1728-8800-2014-4-4-14
- Wald DS, Law M, Morris JK, et al. Combination therapy versus monotherapy in reduction blood pressure: meta-analysis on 11,000 participants from 42 trials. Am J Med. 2009;122(3):290-300. doi: 10.1016/j.amjmed.2008.09.038
- Mancia G, Fagard R, Narkiewicz K, et al.; Task Force Members. 2013 ESH/ESC guidelines for the management of arterial hypertension: the Task Force for the management of arterial hypertension of the European Society of Hypertension (ESH) and of the European Society of Cardiology (ESC). J Hypertens. 2013;31(7):1281-357. doi: 10.1097/01.hjh.0000431740.32696.cc
- Бонцевич Р.А., Вовк Я.Р., Гаврилова А.А., и др. Этиопатогенез, диагностика и подходы к лечению артериальной гипертонии: оценка базовых знаний врачей терапевтического профиля. Финальные результаты проекта PHYSTARH. Системные гипертензии. 2021;18(1):25-30 [Bontsevich RA, Vovk YaR, Gavrilova AA, et al. Etiopathogenesis, diagnosis, and approaches to the treatment of arterial hypertension: an assessment of the physicians’ basic knowledge. Final results of the PHYSTARH project. Systemic Hypertension. 2021;18(1):25-30 (in Russian)]. doi: 10.26442/2075082X.2021.1.200346
- Гржибовский А.М., Иванов С.В., Горбатова М.А. Анализ номинальных и ранговых переменных данных с использованием программного обеспечения Statistica и SPSS. Наука и здравоохранение. 2016;6:5-39 [Grjibovski AM, Ivanov SV, Gorbatova MA. Analysis of nominal and ordinal data using Statistica and SPSS software. Nauka i zdravookhranenie. 2016;6:5-39 (in Russian)].
- Чазова И.Е., Жернакова Ю.В. от имени экспертов. Клинические рекомендации. Диагностика и лечение артериальной гипертонии. Системные гипертензии. 2019;16(1):6-31 [Chazova IE, Zhernakova YuV on behalf of the experts. Clinical guidelines. Diagnosis and treatment of arterial hypertension. Systemic Hypertension. 2019;16(1):6-31 (in Russian)]. doi: 10.26442/2075082X.2019.1.190179
- Baigent C, Blackwell L, Collins R, et al. Aspirin in the primary and secondary prevention of vascular disease: collaborative meta-analysis of individual participant data from randomised trials. Lancet. 2009;373(9678):1849-60. doi: 10.1016/S0140-6736(09)60503-1
- Jardine MJ, Ninomiya T, Perkovic V, et al. Aspirin is beneficial in hypertensive patients with chronic kidney disease: a post-hoc subgroup analysis of a randomized controlled trial. J Am Coll Cardiol. 2010;56(12):956-65. doi: 10.1016/j.jacc.2010.02.068
- Mancia G, De Backer G, Dominiczak A, et al. 2007 Guidelines for the Management of Arterial Hypertension: The Task Force for the Management of Arterial Hypertension of the European Society of Hypertension (ESH) and of the European Society of Cardiology (ESC). J Hypertens. 2007;25(6):1105-87. doi: 10.1097/HJH.0b013e3281fc975a
- Kharina VI, Berezhnova TA. Evaluation of the effectiveness of pharmacotherapy for brain and heart diseases by monitoring the effects of drugs. Research Results in Pharmacology. 2020;6(2):43-55. doi: 10.3897/rrpharmacology.6.52300
- Прибылов С.А., Шабанов Е.А., Алиуллин Р.В., и др. Эндотелиопротекторные и гемодинамические эффекты сартанов при сочетании артериальной гипертензии, ишемической болезни сердца и хронической обструктивной болезни легких. Актуальные проблемы медицины. 2011;16(111). Режим доступа: https://cyberleninka.ru/article/n/endotelioprotektornye-i-gemodinamicheskie-effekty-sartanov-pri-sochetanii-arterialnoy-gipertenzii-ishemicheskoy-bolezni-serdtsa-i. Ссылка активна на 31.03.2021 [Pribylov SA, Shabanov EA, Aliullin RV, et al. Endothelioprotective and hemodynamic effects of sartans in conjunction with arterial hypertension, coronary heart disease and chronic obstructive pulmonary disease. Actual Problems of Medicine. 2011;16(111). Available at: https://cyberleninka.ru/article/n/endotelioprotektornye-i-gemodinamicheskie-effekty-sartanov-pri-sochetanii-arterialnoy-gipertenzii-ishemicheskoy-bolezni-serdtsa-i. Accessed: 31.03.2021 (in Russian)].
- Williams B, MacDonald TM, Morant S, et al.; British Hypertension Society’s PATHWAY Studies Group. Spironolactone versus placebo, bisoprolol, and doxazosin to determine the optimal treatment for drug-resistant hypertension (PATHWAY-2): a randomised, double-blind, crossover trial. Lancet. 2015;386(10008):2059-68. doi: 10.1016/s0140-6736(15)00257-3
- Liu L, Xu B, Ju Y. Addition of spironolactone in patients with resistant hypertension: a meta-analysis of randomized controlled trials. Clin Exp Hypertens. 2017;39(3):257-63. doi: 10.1080/10641963.2016.1246564
- Wang C, Xiong B, Huang J. Efficacy and Safety of Spironolactone in Patients with Resistant Hypertension: A Meta-analysis of Randomised Controlled Trials. Heart Lung Circ. 2016;25(10):1021-30. doi: 10.1016/j.hlc.2016.02.016
- Кобалава Ж.Д., Конради А.О., Недогода С.В., и др. Артериальная гипертензия у взрослых. Клинические рекомендации 2020. Российский кардиологический журнал. 2020;25(3):3786 [Kobalava ZhD, Konradi AO, Nedogoda SV, et al. Arterial hypertension in adults. Clinical guidelines 2020. Russian Journal of Cardiology. 2020;25(3):3786 (in Russian)]. doi: 10.15829/1560-4071-2020-3-3786
- Bontsevich R, Chernykh A, Leonova A, et al. Physicians’ and undergraduates’ knowledge of drugs contraindicated for AH treatment. Eur J Clin Pharmacol. 2019;75(Suppl. 1):S28 (EACPT-1241). The Abstracts: 14th Congress of the European Association for Clinical Pharmacology and Therapeutics (EACPT). 29 June – 2 July 2019, Stockholm, Sweden. doi: 10.1007/s00228-019-02685-2
- Bontsevich RA, Severinova OV, Chukhareva NA, et al. The successful clinical case of a severe arterial hypertension management during preconception and pregnancy. Indo Am J P Sci. 2018;5(10):10396-400. doi: 10.5281/zenodo.1467395
- Leonova A, Bontsevich R, Chernykh A, et al. Assessment of physicians’ and senior medical students’ knowledge of antihypertensive drugs contraindications in COPD patients treatment. Eur J Clin Pharmacol. 2019;75(Suppl. 1):S28 (EACPT-1263). The Abstracts: 14th Congress of the European Association for Clinical Pharmacology and Therapeutics (EACPT). 29 June – 2 July 2019, Stockholm, Sweden. doi: 10.1007/s00228-019-02685-2
Дополнительные файлы







