Распространенность факторов риска артериальной гипертензии у мужчин призывного возраста
- Авторы: Уваровская Б.В.1, Мельник М.В.2, Князева С.А.2
- 
							Учреждения: 
							- ГБУЗ «Городская клиническая больница №52» Департамента здравоохранения г. Москвы
- ФГАОУ ВО «Первый Московский государственный медицинский университет им. И.М. Сеченова» Минздрава России (Сеченовский Университет)
 
- Выпуск: Том 18, № 2 (2021)
- Страницы: 88-93
- Раздел: Оригинальная статья
- URL: https://journals.eco-vector.com/2075-082X/article/view/75627
- DOI: https://doi.org/10.26442/2075082X.2021.2.200845
- ID: 75627
Цитировать
Полный текст
Аннотация
Обоснование. Наблюдающиеся в настоящее время «омоложение» болезней системы кровообращения, рост заболеваемости артериальной гипертензией (АГ) и высокая смертность мужчин трудоспособного возраста в России представляют собой аспекты одной из главных медико-социальных проблем. Выявление факторов риска (ФР) развития АГ у молодых пациентов и выделение среди них групп наиболее высокого риска развития сердечно-сосудистых событий в их будущей взрослой жизни нацелены на предупреждение АГ, раннее начало лечения, увеличение ожидаемой продолжительности жизни, снижение смертности.
Цель. Изучить распространенность основных модифицируемых ФР, сопряженных с АГ, среди мужчин призывного возраста.
Материалы и методы. Проведены выявление ФР, их качественное, количественное описание, оценка и сравнительный анализ среди мужчин с нормальным и повышенным уровнем артериального давления разной степени.
Результаты. В контрольной группе без АГ 37,1% обследуемых не имели ни одного ФР, 48,6% имели по одному ФР, 14,3% составили лица с двумя ФР. Лиц с тремя и более ФР не выявлено. В исследуемой группе с АГ 27,0% пациентов не имели ни одного ФР, 37,4% имели по одному ФР, у 22,6% пациентов обнаружено два ФР, у 9,5% – три ФР и у 2,6% выявлено четыре ФР. Встречаемость каждого ФР в контрольной группе без АГ и в исследуемой группе с АГ в целом представлена следующим образом: избыточная масса тела/ожирение – 37,1 и 59,1%; курение – 34,3 и 38,3%; злоупотребление алкоголем – 0 и 2,6%; гиподинамия – 8,4 и 12,2%; гиперхолестеринемия – 2,9 и 20,9%; гипертриглицеридемия – 5,7 и 16,5%; гипергликемия – 5,7 и 5,2% соответственно.
Заключение. У молодых мужчин вне зависимости от уровня артериального давления широко распространены ФР. Более 60% мужчин призывного возраста без АГ имеют хотя бы один ФР. Среди всех управляемых ФР наибольшая частота встречаемости приходится на повышенную массу тела и курение. Избыточная масса тела или ожирение встречаются всегда у лиц с двумя и более ФР. Среди мужчин с АГ по сравнению с мужчинами без АГ чаще встречаются лица с ожирением, низкой физической активностью и нарушением липидного обмена. Выявление и оценка ФР позволят разрабатывать индивидуальную программу по их модификации, предупреждению развития АГ и выявлению заболевания на ранних стадиях.
Полный текст
Введение
На сегодняшний день распространенность артериальной гипертензии (АГ) в мире достигла 26%. Несмотря на все усилия медицинского сообщества, отмечается тенденция к ее дальнейшему росту, по прогнозам экспертов, до 29,2% к 2025 г. (с 972 млн до 1,56 млрд человек) [1]. Россия относится к странам с высокой частотой встречаемости АГ. В настоящее время в России распространенность АГ составляет 30–45% [2]. Существенный рост заболевания наблюдается среди пациентов мужского пола. Так, среди мужчин в возрасте от 25 до 65 лет распространенность АГ в некоторых регионах достигает 47% [3]. Эпидемиологическая ситуация в России, как и во всем мире, характеризуется еще и «омоложением» этой патологии среди населения [4–6]. В настоящее время заболеваемость АГ значительно выросла в возрастной группе от 20 до 29 лет [7]. Высокая смертность мужчин трудоспособного возраста в России является одной из главных медико-социальных проблем [8]. В этих условиях особую тревогу вызывает состояние здоровья мужчин призывного возраста (18–27 лет), которые определяют военный потенциал и безопасность страны. Согласно концепциям «Основных направлений реализации стратегии социального развития ВС РФ до 2020 года» [9], Федеральной целевой программы «Профилактика и лечение артериальной гипертонии в РФ (2002–2008 гг.)» [10], Федеральной целевой программы «Предупреждение и борьба с социально значимыми заболеваниями (2007–2011 гг.)», подпрограмма «Артериальная гипертония» [11], Государственной программы города Москвы «Развитие здравоохранения в городе Москве (Столичное здравоохранение)» на 2012–2016 гг. [12] перед медицинским сообществом стоят стратегические цели: снижение заболеваемости АГ, ранней инвалидизации и смертности трудоспособного населения; увеличение ожидаемой продолжительности жизни мужчин и улучшение ее качества при АГ. Для их достижения предусмотрено решение таких задач, как выявление АГ на ранних стадиях заболевания, внедрение в широкую практику алгоритмов диагностики и лечения АГ, предотвращение развития ранних осложнений и смерти, акцент на просвещении и поиск новых современных методов профилактики.
Согласно определению Р. Флетчера и соавт., «риск – это вероятность наступления какого-то неблагоприятного события». Понятие «фактор риска» (ФР) рассматривается как особенности организма или внешние воздействия, приводящие к увеличению степени развития определенного заболевания [13]. Это определение поддерживается и экспертами Всемирной организации здравоохранения, которые рассматривают ФР как какое-либо свойство или особенность человека, какое-либо воздействие на него, повышающее вероятность развития болезни [14]. В течение длительного времени в медицинском сообществе доминировала точка зрения о том, что ФР оказывают существенное влияние на заболеваемость и смертность от сердечной патологии среди пациентов пожилого возраста [15]. Лиц молодого возраста традиционно относили к группе низкого абсолютного сердечно-сосудистого риска. Однако результаты целого ряда исследований во всем мире за последние десятилетия выявили иную картину. Наблюдающееся «омоложение» болезней системы кровообращения требует пристального внимания на этапе раннего проведения первичной профилактики сердечно-сосудистых заболеваний. Выявление ФР развития АГ у молодых пациентов и выделение среди них групп наиболее высокого риска развития сердечно-сосудистых событий в их будущей взрослой жизни нацелены на предупреждение их появления, раннее начало лечения и, как следствие, увеличение ожидаемой продолжительности жизни, снижение смертности. Знание ФР, многие из которых являются управляемыми, их оценка и прогноз развития сердечно-сосудистых заболеваний у лиц молодого возраста открывают широкие возможности и перспективы в поиске и формировании стратегического подхода к организации оказания профилактической и медицинской помощи данной группе населения [16]. Найти точку отсчета и не пропустить время начала превентивных мер среди молодых людей – наиважнейшая задача, стоящая перед системой здравоохранения в разных странах.
В связи с изложенным исследование особенностей течения АГ у мужчин призывного возраста обусловлено требованием изучения клинических и патофизиологических проявлений данной патологии на ранних ее стадиях, необходимостью совершенствования методов диагностики, оптимизации мер профилактики. Наше исследование посвящено актуальной проблеме разработки эффективных методик ранней диагностики АГ и предупреждения развития сердечно-сосудистых событий у лиц молодого возраста (в частности мужчин призывного возраста), которой препятствует отсутствие у данных пациентов системного научного представления об особенностях проявлений АГ.
Объектом исследования является АГ у мужчин призывного возраста (18–27 лет).
Цель исследования – формирование более точного научного представления об АГ у молодых пациентов на основе изучения особенностей течения АГ у мужчин призывного возраста для ее ранней и дифференциальной диагностики. Одними из задач для достижения указанной цели являлись выявление и изучение распространенности ФР, сопряженных с уровнем артериального давления (АД), в подгруппах исследования.
Материалы и методы
Методологической основой исследования выступили наблюдение фактов и их качественное, количественное описание, систематизация полученных данных, обобщение и объяснение, что составило анализ, синтез, классификацию полученных сведений. Обработка эмпирических данных проводилась при помощи статистических пакетов прикладных программ IBM SPSS Statistics 21.0, Microsoft Excel 2010.
На основании среднего значения клинического (офисного) уровня АД были отобраны 150 мужчин в возрасте от 18 до 27 лет. Из них 35 человек с нормальным клиническим уровнем АД (<140/90 мм рт. ст.) вошли в контрольную группу (К-гр.) и 115 человек с повышенным клиническим уровнем АД (≥140/90 мм рт. ст.) вошли в исследуемую группу (И-гр.). Из общей численности пациентов И-гр. по уровню систолического АД и диастолического АД были сформированы 4 подгруппы:
- И1 – пациенты с АГ 1-й степени (140–159 и/или 90–99 мм рт. ст.), 52 человека;
- И2 – пациенты с АГ 2-й степени (160–179 и/или 100–109 мм рт. ст.), 46 человек;
- И3 – пациенты с АГ 3-й степени (≥180 и/или ≥110 мм рт. ст.), 7 человек;
- И4 – пациенты с изолированной систолической АГ (≥140 и <90 мм рт. ст.), 10 человек.
В ходе исследования проведены выявление и анализ основных модифицируемых ФР, таких как избыточная масса тела/ожирение (по индексу массы тела – ИМТ), гиперхолестеринемия, гипертриглицеридемия, гипергликемия, курение, употребление алкоголя, низкая физическая активность; изучена их распространенность в подгруппах исследования; проведен сравнительный анализ.
Результаты и обсуждение
При оценке массы тела рассчитаны средние значения ИМТ, составившего в К-гр. 24,405±0,649 кг/м2, что соответствует критериям нормальной массы тела, в И-гр. – в целом 28,158±0,494 кг/м2, что соответствует избыточной массе тела. При этом в К-гр. до 37,1% составляют лица с избыточной массой тела и ожирением. В подгруппах исследования с АГ доли лиц с избыточной массой тела и ожирением 1 и 2-й степени совокупно увеличивались прямо пропорционально и составили в И1 до 65,4%; в И2 – до 76,1%; в И3 – 100%, полностью вытеснив пациентов с нормальной массой тела. В И4 пациенты с предожирением и ожирением 1 и 2-й степени представлены в равной доле и суммарно заняли 40%. Ожирение 3-й степени среди всех исследуемых не выявлено. Достоверные различия выявлены по массе тела в И1 (р=0,03), И2 (р=0,000), И3 (р=0,006). Достоверными были также различия в этих подгруппах и по ИМТ (р≤0,001). Распределение пациентов по ИМТ представлено на рис. 1.
Рис. 1. Распределение по ИМТ в подгруппах исследования (%).
Fig. 1. Breakdown by Body Mass Index (BMI) in study subgroups (%).
Липидный обмен оценивался по показателям общего холестерина (ОХС) и триглицеридов (ТГ). Средние значения ОХС составили в К-гр. 3,943±0,1178 ммоль/л, в И-гр. в целом 4,393±0,0848 ммоль/л (р=0,119). Средние значения ТГ составили в К-гр. 0,884±0,0763 ммоль/л, в И-гр. в целом 1,188±0,0598 ммоль/л (р=0,068). По уровню ТГ отмечен рост его абсолютного значения во всех подгруппах исследования с АГ с максимальным значением в И3. Статистически значимые различия ТГ выявлены в И1 и И2 (р<0,05). Гиперхолестеринемия (ОХС>5,0 ммоль/л) и/или гипертриглицеридемия (ТГ>1,7 ммоль/л) зарегистрированы как среди пациентов с АГ, так и среди пациентов без АГ. При этом в К-гр. выявлено по одному случаю изолированной гипертриглицеридемии и сочетанной гипертриглицеридемии с гиперхолестеринемией. В подгруппах исследования И1–И4 по мере увеличения степени АГ отмечено нарастание доли как изолированной гиперхолестеринемии, так и комбинации с гипертриглицеридемией.
Оценка углеводного обмена проводилась по уровню гликемии венозной крови натощак. Это позволило выявить собственно гипергликемию и проанализировать различия между пациентами контрольной группы и исследуемых подгрупп. Гликемия 5,6–6,9 ммоль/л является ФР, не только определяющим тяжесть АГ и ее прогноз, но и влияющим на общий суммарный сердечно-сосудистый риск. В исследовании выявлено, что средний уровень гликемии в К-гр. и И-гр. в целом превышал должный для здоровых взрослых и составил 5,685±0,106 и 5,728±0,062 ммоль/л соответственно, не имея достоверно значимых различий по отношению друг к другу (р=0,492). Показатель гликемии в подгруппах с АГ был сопоставим с К-гр. без статистически значимых отличий. Отмечено, что уровень гликемии в диапазоне 5,6–6,9 ммоль/л выявлен у всех пациентов, включая К-гр., в 57,1% случаев, а в подгруппах И1, И2, И3, И4 в 44,2–41,3–71,4–70,0% случаев соответственно. Гипергликемия более 6,9 ммоль/л, расцениваемая как несомненное нарушение углеводного обмена, констатирована в К-гр. у 2 (5,7%) пациентов, в И1 – у 3 (5,8%) пациентов, в И2 – у 3 (6,5%) пациентов.
В табл. 1 приведены антропометрические данные, показатели липидного и углеводного обмена.
Таблица 1. Результаты антропометрии и основные показатели липидного, углеводного обмена в контрольной группе и исследуемых подгруппах
Table 1. Anthropometry results and main indicators of lipid, carbohydrate metabolism in control group and study subgroups
| Параметр | К-гр. (n=35) | И1 (n=52) | И2 (n=46) | И3 (n=7) | И4 (n=10) | ||||
| М±m/n (абс., %) | М±m/n (абс., %) | p | М±m/n (абс., %) | p | М±m/n (абс., %) | p | М±m/n (абс., %) | p | |
| Возраст, лет | 20,82±0,419 | 20,61±0,28 | 0,966 | 20,63±0,27 | 0,914 | 21,85±2,67 | 0,216 | 21,7±0,68 | 0,233 | 
| Рост, см | 180,71±1,231 | 179,67±0,90 | 0,906 | 180,56±1,03 | 0,826 | 180,28±1,88 | 0,794 | 178,7±3,25 | 0,663 | 
| Масса тела, кг | 80,25±2,888 | 89,11±2,33 | 0,003 | 94,98±3,07 | 0,000 | 95,28±2,52 | 0,006 | 82,6±6,00 | 0,433 | 
| ИМТ, кг/м2 | 24,40±0,649 | 27,62±0,743 | 0,001 | 29,08±0,804 | 0,000 | 29,52±1,192 | 0,000 | 25,710±1,549 | 0,206 | 
| ОХС, ммоль/л | 3,943±0,117 | 4,388±0,133 | 0,135 | 4,377±0,116 | 0,047 | 4,341±0,302 | 0,503 | 4,522±0,401 | 0,144 | 
| ТГ, ммоль/л | 0,884±0,076 | 1,098±0,071 | 0,039 | 1,349±0,110 | 0,002 | 1,059±0,258 | 0,306 | 1,007±0,186 | 0,401 | 
| Глюкоза плазмы, ммоль/л | 5,685±0,106 | 5,684±0,100 | 0,819 | 5,716±0,103 | 0,726 | 5,914±0,138 | 0,281 | 5,88±0,117 | 0,296 | 
В ходе исследования выявлен и изучен такой ФР, как курение, отличившийся высоким уровнем и явным превалированием по своей распространенности. Общая численность пациентов, указавших табакокурение хотя бы по 1 сигарете в день систематически, составила 37,3% от всех 150 обследованных лиц, распределившись в К-гр. и И-гр. в целом по 34,3 и 38,3% соответственно. Оценка курения проводилась посредством определения индекса курящего человека и индекса пачко-лет. Значения индекса курящего человека в К-гр. и И-гр. в целом не превышали 120, тогда как индекс пачко-лет не превышал 2,5. Эти данные не позволяют отнести исследуемых пациентов к «злостным курильщикам», но одновременно свидетельствуют о социальной значимости столь распространенного среди них пристрастия к табакокурению. Табакокурение, широко распространенное среди молодых мужчин, воспринимается как атрибут самоидентификации и принадлежности к взрослой общности, по сути являющееся проявлением подчинения стереотипу поведения в данной возрастной среде.
По результатам проведенного опроса в отношении употребления алкогольсодержащих напитков, регулярности их потребления в количестве, эквивалентном 10 г этанола, выявлено: 138 человек (92% всех участвовавших в исследовании) не отрицали факт употребления алкоголя хотя бы единожды в своей жизни. Однако регулярный прием 21 стандартной дозы и более алкоголя в неделю, расцениваемой как ответственный риск, согласно рекомендациям Всемирной организации здравоохранения, и соответствующей 2100 мл (3 бутылки по 0,7 л) сухого вина или 5250 мл (10–11 бутылок по 0,5 л) светлого пива, признали несколько человек в подгруппах исследования с АГ. В К-гр. таких лиц не было. Нужно отметить, что такое признание факта своего пристрастия к алкоголю и готовность это сообщить всецело зависят от личности, условий, обстоятельств и, на наш взгляд, не обладают достаточной диагностической и прогностической ценностью у молодых мужчин.
При оценке уровня физической активности проводился опрос о характере профессиональной деятельности, подвижных видах активности в период досуга, объеме ежедневной ходьбы. Доли лиц с физической инертностью в виде ходьбы менее 30 мин ежедневно в среднем темпе в подгруппах исследования с АГ составили от 10,0 до 14,3% с превалированием над К-гр. Данный показатель обусловлен образом жизни, отсутствием активного физического труда, загруженностью учебой, что является нерациональным для лиц самого активного периода жизни.
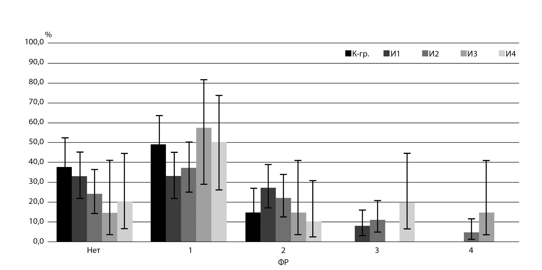
Анализ распространенности всех ФР показал, что в группе без АГ 37,1% обследуемых не имели ни одного ФР, 48,6% имели по одному ФР, 14,3% составили лица с двумя ФР, пациентов с тремя и более ФР не выявлено. В группе с АГ 27,0% пациентов не имели ни одного ФР, 37,4% пациентов имели по одному ФР, 22,6% пациентов были с двумя ФР, 9,5% пациентов – с тремя ФР, у 2,6% пациентов имелись четыре ФР (рис. 2).
Рис. 2. ФР в подгруппах сравнения.
Fig. 2. RFs in comparison subgroups.
Встречаемость каждого ФР в К-гр. и И-гр. в целом представлена следующим образом: избыточная масса тела/ожирение – 37,1 и 59,1%; курение – 34,3 и 38,3%; злоупотребление алкоголем – 0 и 2,6%; гиподинамия – 8,4 и 12,2%; гиперхолестеринемия – 2,9 и 20,9%; гипертриглицеридемия – 5,7 и 16,5%; гипергликемия – 5,7 и 5,2% соответственно (табл. 2).
Таблица 2. Распространенность ФР АГ у пациентов в подгруппах исследования (%)
Table 2. Prevalence of RFs of hypertension in patients in study subgroups (%)
| Параметры | К-гр. (n=35) | И1 (n=52) | И2 (n=46) | И3 (n=7) | И4 (n=10) | 
| Избыточная масса тела | 25,7 | 28,8 | 28,3 | 57,1 | 20,0 | 
| Ожирение | 11,4 | 36,5 | 43,5 | 42,9 | 20,0 | 
| Курение | 34,3 | 40,4 | 34,8 | 42,9 | 40,0 | 
| Злоупотребление алкоголем | – | 3,8 | 2,1 | – | – | 
| Гиподинамия | 8,4 | 11,5 | 13,0 | 14,3 | 10,0 | 
| Гиперхолестеринемия | 2,9 | 19,2 | 23,9 | 14,3 | 20,0 | 
| Гипертриглицеридемия | 5,7 | 9,6 | 23,9 | 14,3 | 20,0 | 
| Гипергликемия | 5,7 | 5,8 | 6,5 | – | – | 
Заключение
У молодых мужчин вне зависимости от уровня АД широко распространены ФР. Более 60% мужчин призывного возраста без АГ имеют хотя бы один ФР. Среди всех управляемых ФР наибольшая частота встречаемости приходится на повышенную массу тела и курение. Избыточная масса тела или ожирение встречается всегда у пациентов с двумя и более ФР. Среди мужчин с АГ по сравнению с мужчинами без АГ чаще встречаются лица с ожирением, низкой физической активностью и нарушением липидного обмена. Выявленная высокая распространенность ФР в К-гр. вызвала особый интерес и расширение траектории исследования с дополнительным анализом в данной группе. В последующем результаты изучения распространенности ФР в сочетании с полученными показателями АД по данным суточного мониторирования АД потребовали выделения в К-гр. двух подгрупп: лица с оптимальным, нормальным АД (<120–130/80–85 мм рт. ст.) и пациенты с высоким нормальным АД (130–139/85–89 мм рт. ст.). Акцент внимания на здоровье молодых мужчин с АД 130/80 мм рт. ст. и выше представляется целесообразным и актуальным в целях дальнейшего изучения развития АГ, особенностей ее течения, оценки кардиоваскулярного риска у молодых пациентов.
Оценить степень отрицательного влияния каждого ФР на состояние здоровья молодых мужчин и его непосредственный вклад в развитии АГ в данном исследовании не представлялось возможным. Большее значение имеет суммарный эффект нескольких ФР, оказываемый на уровень АД, что мы наблюдали в подгруппах исследования. Роль отдельно взятого ФР, даже при его изначальной второстепенности и незначительности, существенно возрастает при совместном одновременном взаимосвязанном воздействии ФР. В списке признаков, связанных с вероятностью развития сердечно-сосудистого заболевания, собственно АГ выступает самостоятельным, высоко значимым, ведущим ФР развития фатальных и нефатальных сердечно-сосудистых событий. Большинством членов-государств ЕС в Европейском парламенте в июне 2007 г. поддержана программа Европейской хартии по здоровью сердца, где определены показатели здоровья: полный отказ от курения, адекватная физическая нагрузка не менее 30 мин 5 раз в неделю, снижение АД, здоровое питание, отсутствие лишней массы тела, холестерин крови ниже 5 ммоль/л, нормальный метаболизм глюкозы [17]. В настоящее время реализуются основные мировые стратегии профилактической медицины: популяционная стратегия – модификация здорового образа жизни, составляющая 30–40% вклада в данной борьбе; стратегия высокого риска – скрининг ФР (20–30%); лечение – вторичная профилактика (40%) [18]. В целях снижения вероятности наступления какого-то неблагоприятного события необходимо управлять риском, воздействовать на риск-факторы. Первым шагом в этом направлении является оценка риска. Согласно рекомендациям Всемирной организации здравоохранения, для оценки риска важны идентификация опасности, т.е. выявление фактора, приводящего к неблагоприятному событию, заболеванию; характеристика риска, т.е. описание потенциально вредных для организма человека эффектов; оценка экспозиции, т.е. количественное выражение дозы признака в конкретной популяции, измеренное разными способами, методами [14]. Все попытки оценить качественно и количественно степень вероятности вредного эффекта, развития неблагоприятного события, определенного заболевания приводили к созданию так называемых рискометров – разных моделей, шкал, систем оценки рисков: Фрамингемская шкала, PROCAM, SCORE, QRISK, ОРИСКОН, разные онлайн-калькуляторы (ASCVD Risk Estimator Plus, New Zealand Data и др.). Все перечисленные шкалы имеют ограничения у лиц в возрасте 18–27 лет, в связи с чем не были применены в исследовании ни в одной группе. Оценка риска у молодых пациентов всегда составляла определенные сложности. У пациентов с низким абсолютным риском, как у вошедших в исследование, общепринято оценивать лишь относительный риск, представляющий собой отношение индивидуального риска к среднему его значению в популяции. Поэтому представляется целесообразным разработать модель оценочной карты и/или чек-листа для практического применения в работе с мужчинами призывного возраста при медицинском освидетельствовании в условиях объединенных (районных) военных комиссариатов с целью формирования индивидуальной программы ведения каждого конкретного пациента, организации четкой преемственности между военно-врачебной комиссией и медицинскими учреждениями. Выявление и оценка риск-факторов, изученных в работе, позволят разрабатывать индивидуальную программу по модификации ФР, предупреждению развития АГ и выявлению заболевания на ранних стадиях.
Конфликт интересов. Авторы заявляют об отсутствии конфликта интересов.
Conflict of interests. The authors declare no conflict of interest.
Об авторах
Басана Васильевна Уваровская
ГБУЗ «Городская клиническая больница №52» Департамента здравоохранения г. Москвы
							Автор, ответственный за переписку.
							Email: ubasana@mail.ru
				                	ORCID iD: 0000-0002-5879-7134
				                																			                								
канд. мед. наук, врач-терапевт ГБУЗ ГКБ №52
Россия, МоскваМария Валерьевна Мельник
ФГАОУ ВО «Первый Московский государственный медицинский университет им. И.М. Сеченова» Минздрава России (Сеченовский Университет)
														Email: ubasana@mail.ru
				                	ORCID iD: 0000-0001-8800-4628
				                																			                								
д-р мед. наук, проф. каф. медико-социальной экспертизы, неотложной и поликлинической терапии ФГАОУ ВО «Первый МГМУ им. И.М. Сеченова» (Сеченовский Университет)
Россия, МоскваСветлана Анатольевна Князева
ФГАОУ ВО «Первый Московский государственный медицинский университет им. И.М. Сеченова» Минздрава России (Сеченовский Университет)
														Email: ubasana@mail.ru
				                	ORCID iD: 0000-0001-5723-1633
				                																			                								
канд. мед. наук, доц. каф. медико-социальной экспертизы, неотложной и поликлинической терапии ФГАОУ ВО «Первый МГМУ им. И.М. Сеченова» (Сеченовский Университет)
Россия, МоскваСписок литературы
- Kearney PM, Whelton M, Reynolds K, et al. Global burden of hypertension: analysis of worldwide data. Lancet. 2005;365(9455):217-23. doi: 10.1016/S0140-6736(05)17741-1
- Муромцева Г.А., Концевая А.В., Константинов В.В., и др. Распространенность факторов риска неинфекционных заболеваний в российской популяции в 2012–2013 гг. Результаты исследования ЭССЕ-РФ. Кардиоваскулярная терапия и профилактика. 2014;13(6):4-11 [Muromtseva GA, Kontsevaya AV, Konstantinov VV, et al. The prevalence of non-infectious diseases risk factors in Russian population in 2012–2013 years. The results of ECVD-RF. Cardiovascular therapy and prevention. 2014;13(6):4-11 (in Russian)]. doi: 10.15829/1728-8800-2014-6-4-11
- Бойцов С.А., Баланова Ю.А., Шальнова С.А., и др. Артериальная гипертония среди лиц 25–64 лет: распространенность, осведомленность, лечение и контроль. По материалам исследования ЭССЕ. Кардиоваскулярная терапия и профилактика. 2014;13(4):4-14 [Boytsov SA, Balanova YuA, Shalnova SA, et al. Arterial hypertension among individuals of 25–64 years old: prevalence, awareness, treatment and control. By the data from ECCD. Cardiovascular therapy and prevention. 2014;13(4):4-14 (in Russian)]. doi: 10.15829/1728-8800-2014-4-4-14
- Gray L, Lee IM, Sesso HD, Batty GD. Blood pressure in early adulthood, hypertension in middle age, and future cardiovascular disease mortality: HAHS (Harvard Alumni Health Study). J Am Coll Cardiol. 2011;58(23):2396-403. doi: 10.1016/j.jacc.2011.07.045
- Оксенойт Г.К., Никитина С.Ю., Андреев Е.М., и др. Демографический ежегодник России. 2017: Стат. сб./Росстат. М., 2017 [Oksenoit GK, Nikitina SYu, Andreev EM, et al. The Demographic Yearbook of Russia. 2017: Statistical handbook/Rosstat. Moscow, 2017 (in Russian)].
- Александров А.А., Кисляк О.А., Леонтьева И.В. от имени экспертов. Клинические рекомендации. Диагностика, лечение и профилактика артериальной гипертензии у детей и подростков. Системные гипертензии. 2020;17(2):7-35 [Aleksandrov AA, Kisliak OA, Leontyeva IV. Clinical guidelines on arterial hypertension diagnosis, treatment and prevention in children and adolescents. Systemic Hypertension. 2020;17(2):7-35 (in Russian)]. doi: 10.26442/2075082X.2020.2.200126
- Оганов Р.Г., Масленникова Г.Я. Демографическая ситуация и сердечно-сосудистые заболевания в России: пути решения проблем. Кардиоваскулярная терапия и профилактика. 2007;6(8):7-14 [Oganov RG, Maslennikova GY. Demographic situation and cardiovascular disease in Russia: problem scope and possible solutions. Cardiovascular therapy and prevention. 2007;6(8):7-14 (in Russian)].
- Чазова И.Е., Ощепкова Е.В. Опыт борьбы с сердечно-сосудистыми заболеваниями в России. Аналитический вестник. 2015;44(597):4-8 [Chazova IE, Oshchepkova EV. Opyt bor’by s serdechno-sosudistymi zabolevaniiami v Rossii. Analiticheskii vestnik. 2015;44(597):4-8 (in Russian)].
- Шаппо В.В., Приезжева Е.Г., Фисун А.Я., Бояринцев В.В., и др. Основные направления реализации стратегии социального развития Вооруженных сил Российской Федерации до 2020 года. Военно-медицинский журн. 2008;329(6):4-10 [Shappo VV, Priezzheva EG, Fisun AYa, Boyarintsev VV, et al. Main directions of realization of strategy of social development of the Armed Forces of Russian Federation up to 2020th year. Voenno-meditsinskii zhurn. 2008;329(6):4-10 (in Russian)].
- Федеральная целевая программа «Профилактика и лечение артериальной гипертонии в РФ (2002–2008 гг.)» (Постановление Правительства РФ №540 от 17 июля 2001 г.) [Federal’naia tselevaia programma “Profilaktika i lechenie arterial’noi gipertonii v RF (2002–2008 gg.)” (Postanovlenie Pravitel’stva №540 ot 17 iiulia 2001 g.) (in Russian)].
- Федеральная целевая программа «Предупреждение и борьба с социально значимыми заболеваниями (2007–2011 гг.)» (Постановление Правительства РФ №280 от 10 мая 2007 г.), подпрограмма «Артериальная гипертония» [Federal’naia tselevaia programma “Preduprezhdenie i bor’ba s sotsial’no znachimymi zabolevaniiami (2007–2011 gg.)” (Postanovlenie Pravitel’stva RF №280 ot 10 maia 2007 g.), podprogramma “Arterial’naia gipertoniia” (in Russian)].
- Государственная программа города Москвы «Развитие здравоохранения в городе Москве (Столичное здравоохранение)» на 2012–2016 гг. Режим доступа: http://dgp132-mos.ru/docs/zdravookhranenie.pdf. Ссылка активна на 22.04.2021 [Gosudarstvennaia programma “Razvitie zdravookhraneniia v gorode Moskve (Stolichnoe zdravookhranenie)” na 2012–2016 gg. Available at: http://dgp132-mos.ru/docs/zdravookhranenie.pdf. Accessed: 22.04.2021 (in Russian)].
- Флетчер Р., Флетчер С., Вагнер Э. Клиническая эпидемиология. Основы доказательной медицины. М.: Медиа Сфера, 1998 [Fletcher R, Fletcher S, Vagner E. Clinical epidemiology. Fundamentals of evidence-based medicine. Moscow: Media Sfera, 1998 (in Russian)].
- ВОЗ. Вопросы здравоохранения. Факторы риска. Режим доступа: http://www.who.int/topics/risk_factors/. Ссылка активна на 22.04.2021 [VOZ. Voprosy zdravookhraneniia. Faktory riska. Available at: http://www.who.int/topics/risk_factors/. Accessed: 22.04.2021 (in Russian)].
- Staessen JA, Wang JG, Thijs L. Cardiovascular prevention and blood pressure reduction: a quantitative overview updated until 1 March 2003. J Hypertens. 2003;21(6):1055-76. doi: 10.1097/00004872-200306000-00002
- Оганов Р.Г., Масленникова Г.Я. Стратегии профилактики сердечно-сосудистых заболеваний в Российской Федерации. Клиническая медицина. 2012;3:4-7 [Oganov RG, Maslennikova GIa. Strategii profilaktiki serdechno-sosudistykh zabolevanii v Rossiiskoi Federatsii. Klinicheskaia meditsina. 2012;3:4-7 (in Russian)].
- O’Kelly S, Rydén LL. The political power of heart doctors: with the European Heart Health Charter towards a European policy on cardiovascular disease. Eur J Cardiovasc Prev Rehabil. 2009;16(Suppl. 2):S58-S60. doi: 10.1097/01.hjr.0000359239.52185.6a
- ВОЗ. План действий по глобальной стратегии профилактики неинфекционных заболеваний и борьбы с ними на 2013–2020 гг. Режим доступа: https://www.who.int/nmh/publications/ncd-action-plan/en/. Ссылка активна на 22.04.2021 [VOZ. Plan deistvii po global’noi strategii profilaktiki neinfektsionnykh zabolevanii i bor’by s nimi na 2013–2020 gg. Available at: https://www.who.int/nmh/publications/ncd-action-plan/en/. Accessed: 22.04.2021 (in Russian)].
 
				
			 
						 
					 
						 
				
 
  
  
  Отправить статью по E-mail
			Отправить статью по E-mail 




