Гериатрическая реабилитация пациентов c синдромом старческой астении: промежуточные результаты открытого проспективного исследования «ПОСТСКРИПТУМ»
- Авторы: Ткачева О.Н.1, Рунихина Н.К.1, Малая И.П.1, Юсупов А.Р.2, Шарашкина Н.В.1, Остапенко В.С.1, Котовская Ю.В.1, Мхитарян Э.А.1, Арефьева М.С.1, Попов Е.Е.1, Эсенбекова Э.Э.1
-
Учреждения:
- ФГАОУ ВО «Российский национальный исследовательский медицинский университет им. Н.И. Пирогова» Минздрава России
- ГБУ города Москвы, пансионат «Никольский парк» Департамента труда и социальной защиты населения города Москвы
- Выпуск: Том 23, № 6 (2024)
- Страницы: 8-18
- Раздел: Статьи
- Статья опубликована: 03.12.2024
- URL: https://journals.eco-vector.com/2078-1962/article/view/635581
- DOI: https://doi.org/10.38025/2078-1962-2024-23-6-8-18
- ID: 635581
Цитировать
Полный текст
Аннотация
ВВЕДЕНИЕ. Внедрение в практику дополнительного этапа реабилитации у пожилых пациентов с различной степенью выраженности старческой астении способствует восстановлению функциональной независимости пациентов, снижению частоты повторных госпитализаций и уровня смертности. Для более широкой интеграции моделей гериатрической помощи в клиническую практику необходимы дополнительные исследования в Российской Федерации.
ЦЕЛЬ. Оценка влияния гериатрической реабилитации на уровень функциональной активности у пациентов со старческой астенией.
МАТЕРИАЛЫ И МЕТОДЫ. Многоцентровое проспективное исследование эффективности индивидуальных 21-дневных программ гериатрической реабилитации, основанных на комплексной гериатрической оценке, для пациентов 60 лет и старше с синдромом старческой астении.
РЕЗУЛЬТАТЫ И ОБСУЖДЕНИЕ. В популяцию анализа включены 483 пациента, из которых 84,2 % (n = 390) женщины, средний возраст составил 78,6 ± 7,7 лет. Пациентов распределили в три группы: старческой астении (n = 171; 36 %), преастении (n = 291; 60 %) и «крепкие» (n = 21; 4 %). Улучшение гериатрического статуса отмечено во всех группах. Максимальные изменения зарегистрированы у пациентов со старческой астенией: увеличились сумма баллов краткой батареи тестов физического функционирования, индекс Бартел, сумма баллов по шкале МОСА; уменьшились сумма баллов по шкале GDS-15 и индекс тяжести инсомнии, улучшились самооценка боли по визуально-аналоговой шкале и показатели динамометрии.
ЗАКЛЮЧЕНИЕ. Многокомпонентная интервенция, основанная на комплексной гериатрической оценке, ассоциирована с улучшением функционального, физического и когнитивного статусов пожилых пациентов уже через 3 недели после начала вмешательства.
Полный текст
ВВЕДЕНИЕ
Современная демографическая ситуация характеризуется ростом продолжительности жизни и доли пожилых людей в общей численности населения [1], что закономерно ведет к росту потребности в диагностических, терапевтических и реабилитационных мероприятиях и разработке стратегий поддержки ослабленных пожилых пациентов. Даже при наличии мультиморбидности и гериатрических синдромов пожилые пациенты в большинстве случаев имеют потенциал для улучшения клинических и/или функциональных результатов [2].
Одним из перспективных направлений является гериатрическая реабилитация (ГР), представляющая собой комплекс мультидисциплинарных вмешательств, направленных на оптимизацию функциональных возможностей пожилых людей с физическими, когнитивными или социальными ограничениями [3]. Такой подход позволяет оптимизировать функциональные резервы пациентов для сохранения независимости от посторонней помощи и улучшения адаптации к окружающей среде [4]. Реабилитация пациентов с синдромом старческой астении (СА) может проводиться в стационарных или амбулаторных условиях, при этом подходы различаются в зависимости от имеющихся ресурсов [5]. Особенность пожилых пациентов заключается в необходимости цель- и пациент-ориентированного подхода с активным вовлечением в реабилитационные мероприятия не только пациента, но и ухаживающих лиц [6]. Хронологический возраст, когнитивные расстройства и экономический статус сами по себе не должны ограничивать возможность проведения ГР [7]. Индивидуальные программы вмешательств необходимо адаптировать к конкретным потребностям пожилого пациента с учетом каждого домена комплексной гериатрической оценки (КГО) — физического здоровья, функционального, психоэмоционального и социального статусов.
Исследование ПОСТСКРИПТУМ — протокол гериатрической реабилитации при старческой астении у пациентов в возрасте 60 лет и старше в пансионатах и стационарных социальных учреждениях г. Москвы (многоцентровое проспективное исследование) — спланировано с целью изучения влияния ГР на функциональный, когнитивный, психологический и физический статус пациентов в возрасте 60 лет и старше вне зависимости от сопутствующих заболеваний.
Вторичными целями исследования являются оценка динамики отдельных параметров и предикторов эффективности ГР, оценка динамики качества жизни пациента до включения в программу и на момент ее завершения.
ЦЕЛЬ
Основной целью исследования ПОСТСКРИПТУМ является оценка влияния ГР на уровень функциональной активности у пациентов с СА.
МАТЕРИАЛЫ И МЕТОДЫ
Исследование ПОСТСКРИПТУМ выполнено на базе ГБУ г. Москвы пансионата «Никольский парк» и ОСП «Российский геронтологический научно-клинический центр» ФГАОУ ВО «Российский национальный исследовательский медицинский университет им. Н.И. Пирогова» Минздрава России. Исследование спланировано как проспективное многоцентровое нерандомизированное исследование в одной группе. Подробное описание протокола исследования опубликовано ранее [8].
Участники исследования
В исследование скринировано 506 пациентов, последовательно поступивших в пансионат для реабилитации и соответствующих критериям отбора. До начала процедур все пациенты были ознакомлены с информацией об исследовании и предоставили письменное согласие на участие. На этапе скрининга 23 пациента отказались от участия. Таким образом, в исследование включено 483 пациента. Еще 21 пациент выбыл из исследования до визита 2 (рис. 1).
Рис. 1. Схема включения пациентов в исследование
Fig. 1. The scheme of inclusion of patients in the study
Примечание: * — досрочное выбывание по семейным обстоятельствам (n = 14), острое респираторное заболевание (n = 5), отказ пациента (n = 2).
Note: * — early withdrawal for family reasons (n = 14), acute respiratory illness (n = 5), patient refusal (n = 2).
В популяцию анализа включены 483 пациента, выполнивших процедуры визита 1, из которых 84,2 % женщины (n = 390), средний возраст составил 78,6 ± 7,7 лет, включая 37 (8,01 %) долгожителей. В соответствии с алгоритмом диагностики СА всем пациентам проведены скрининг по опроснику «Возраст не помеха» и оценка результатов краткой батареи тестов физического функционирования (КБТФФ), по результатам которых пациенты были распределены на три группы: СА, преастении и «крепкие» пациенты.
Пациентов, у которых было менее 3 баллов по шкале «Возраст не помеха» и 10–12 баллов по КБТФФ, относили к группе «крепких»; при результате КБТФФ 8–9 баллов — в группу преастении, а при результате 7 и менее баллов — в группу СА.
При наличии 3–4 баллов по опроснику «Возраст не помеха» пациентов распределяли в группу астении и преастении в зависимости от результата КБТФФ: ≥ 8 баллов по КБТФФ относили в группу преастении и < 7 — в группу СА.
Пациентов с результатом 5 и более баллов по опроснику «Возраст не помеха» стратифицировали в группу СА независимо от результата КБТФФ.
Предварительное распределение пациентов по группам выполнено на основании скрининговых тестов. В дальнейшем всем пациентам выполнена КГО.
Процедуры исследования
Пациентам, подписавшим информированное согласие на участие в исследовании и соответствовавшим критериям отбора, проведена КГО с оценкой основных доменов: физическое здоровье, функциональный, психоэмоциональный и социальный статусы.
Длительность активного вмешательства составила 21 день. Для контроля эффективности программы ГР проводили КГО сразу после завершения программы (визит 2) и дополнительно через 12 месяцев (визит 4). Через 6 месяцев после завершения программы проводили телефонный контакт (визит 2). В данной статье представлены результаты промежуточного анализа результатов через 21 день после начала вмешательства.
Статистический анализ
Статистическая обработка данных выполнена с использованием программы NCSS 2023 Statistical Software (NCSS, LLC. Kaysville, Utah, USA (https://www.ncss.com/software/ncss/)). Соответствие вида распределения количественных переменных нормальному (гауссову) распределению проанализировано при помощи одновыборочного критерия Колмогорова — Смирнова. При нормальном распределении данных результаты представлены как M ± SD, где M — среднее, SD — стандартное отклонение; при распределении, отличном от нормального, как Ме (25 %; 75 %), где Ме — медиана, 25 % и 75 % — 25-й и 75-й процентили. Качественные порядковые переменные представлены как Ме [25 %; 75 %]. При одинаковых значениях медианы для наглядности результаты представлены одновременно в виде Ме (25 %; 75 %) и M ± SD. Межгрупповые сравнения проводились с использованием дисперсионного анализа (ANOVA), критериев Манна — Уитни, Крускала — Уоллиса, χ2 Пирсона и двустороннего точного теста Фишера. Динамику показателей оценивали с помощью критерия Вилкоксона. Статистически значимыми считались различия при двустороннем значении p < 0,05.
РЕЗУЛЬТАТЫ И ОБСУЖДЕНИЕ
В соответствии с описанным выше алгоритмом всех пациентов распределили на три группы: СА (n = 171; 36 %), преастении (n = 291; 60 %) и «крепкие» пациенты (n = 21; 4 %) (рис. 2).
Рис. 2. Распределение пациентов по группам
Fig. 2. Patients’ distribution into the groups
Распределение пациентов по результатам опросника «Возраст не помеха» и КБТФФ, а также схема распределения по группам представлены в таблице 1.
Таблица 1. Распределение пациентов по результатам опросника «Возраст не помеха» и краткой батарее тестов физического функционирования
Table 1. Patients’ distribution by the questionnaire "Vozrast ne pomekha" and Short Physical Performance Battery
Исходные характеристики каждой группы пациентов представлены в таблице 2.
Таблица 2. Исходные клинико-анамнестические характеристики группы
Table 2. Baseline clinical and anamnestic parameters of the group
Группы | |||||
Показатель / Parameter | Все пациенты / All patients (n = 483) | Астения / Frailty (n = 171) | Преастения / Prefrailty (n = 291) | Крепкие / Robust (n = 21) | p |
Женский пол / Female gender, n (%) | 398 (84,2 %) | 139 (81,3 %) | 242 (83,2 %) | 17 (81 %) | 0,86 |
Возраст, годы / Age, years (M ± SD) | 78,6 ± 7,67 | 80,3 ± 7,91 | 77,62 ± 7,47 | 78,19 ± 6,19 | 0,001 |
Индекс массы тела, кг/м2 / Body mass index, kg/m2 (M ± SD) | 29,2 ± 5,3 | 29,6 ± 5,96 | 29,04 ± 4,97 | 27,23 ± 3,43 | 0,13 |
Семейный статус / Family status | |||||
Женат / Married, n (%) | 138 (28,8 %) | 42 (24,9 %) | 88 (30,3 %) | 8 (38,1 %) | 0,01 |
Вдовец / Widower, n (%) | 257 (53,5 %) | 107 (63,3 %) | 140 (48,3 %) | 10 (47,6 %) | |
В разводе / Divorced, n (%) | 46 (9,6 %) | 9 (5,3 %) | 37 (12,8 %) | 0 (0 %) | |
Физическая активность / Physical activity | |||||
< 150 минут в неделю / < 150 minutes per week, n (%) | 128 (26,6 %) | 58 (33,9 %) | 65 (22,4 %) | 5 (23,8 %) | 0,03 |
Уровень образования / Education Level | |||||
Высшее / High, n (%) | 350 (72,8 %) | 117 (68,8 %) | 215 (74,1 %) | 18 (85,7 %) | 0,39 |
Средне-специальное / secondary professional, n (%) | 110 (22,9 %) | 43 (25,3 %) | 64 (22,1 %) | 3 (14,3 %) | |
Среднее / Secondary, n (%) | 21 (4,3 %) | 10 (5,9 %) | 11 (3,8) | 0 | |
Хронические заболевания / Chronic diseases | |||||
Артериальная гипертензия / Arterial hypertension, n (%) | 442 (93,1 %) | 160 (95,2 %) | 261 (91,3 %) | 21 (100 %) | 0,13 |
Хроническая сердечная недостаточность / Chronic heart failure, n (%) | 299 (62,9 %) | 117 (69,6 %) | 167 (58,4 %) | 15 (71,4 %) | 0,04 |
Ишемическая болезнь сердца / Coronary heart disease, n (%) | 260 (54,7 %) | 113 (67,3 %) | 134 (46,9 %) | 13 (61,9 %) | 0,0001 |
Сахарный диабет / Diabetes mellitus, n (%) | 91 (19,2 %) | 35 (20,8 %) | 50 (17,5 %) | 6 (28,6 %) | 0,36 |
Острое нарушение мозгового кровообращения в анамнезе / Stroke history, n (%) | 52 (10,9 %) | 29 (17,3 %) | 23 (8 %) | 0 (0 %) | 0,003 |
Инфаркт миокарда в анамнезе / Myocardial infarction history, n (%) | 46 (9,7 %) | 16 (9,5 %) | 28 (9,8 %) | 2 (9,5 %) | 0,99 |
В сравнении с другими группами пациенты с СА были старше (средний возраст составил 80,3 ± 7,91 лет) и отличались более низким уровнем физической активности: примерно треть пациентов (33,9 %) уделяли физической активности менее 150 минут в неделю. В этой группе было наибольшее количество вдовых пациентов (63,3 %), тогда как в браке состояли только 24,9 %. Все три группы были сопоставимы по индексу массы тела, уровню образования и распределению мужчин и женщин.
Наиболее распространенными заболеваниями во всех группах наблюдения были артериальная гипертензия (93,1 %), хроническая сердечная недостаточность (62,9 %) и ишемическая болезнь сердца (54,7 %).
Все пациенты принимали участие в адаптированных индивидуальных программах ЛФК, мероприятиях по расширению двигательной активности и групповых занятиях по когнитивному тренингу. Каждому участнику проведена коррекция полипрагмазии (по показаниям), консультация психолога, даны рекомендации по питанию с учетом основных и сопутствующих заболеваний.
Эффективность программы реабилитации пожилых пациентов была проанализирована у 462 пациентов, завершивших процедуры двух визитов.
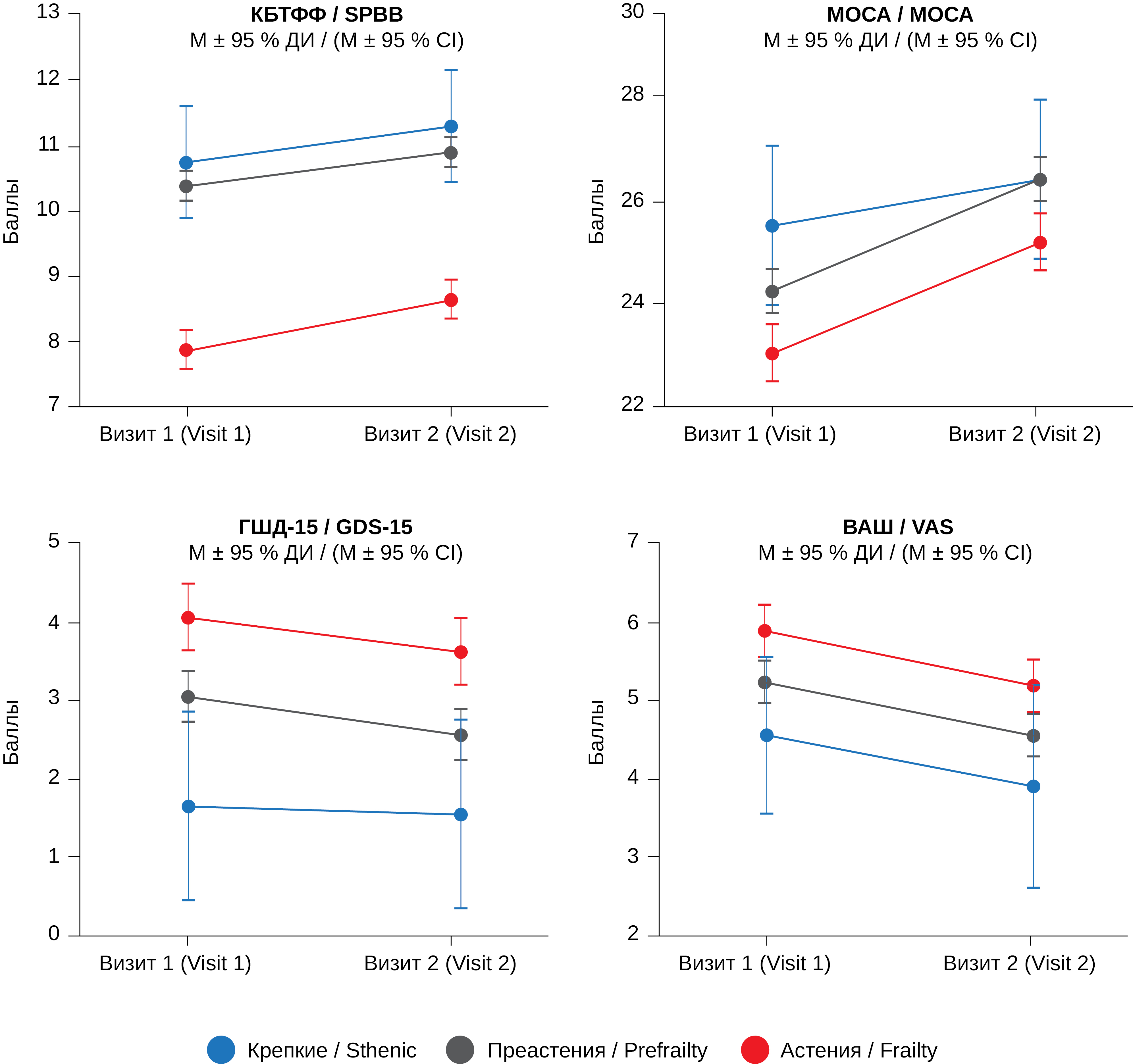
Динамика показателей КГО после 21-дневнего курса ГР представлена в таблице 3. Улучшение гериатрического статуса отмечено во всех трех группах (рис. 3), однако наиболее выраженные изменения зарегистрированы у пациентов с СА. Так, в этой группе увеличились сумма баллов КБТФФ, индекс Бартел, сумма баллов по шкале МОСА; уменьшились сумма баллов по шкале GDS-15 и индекс тяжести инсомнии, улучшились самооценка боли по визуально-аналоговой шкале оценки болевого синдрома (ВАШ) и показатели динамометрии. В группе преастении наблюдалась аналогичная динамика показателей КГО за исключением индекса Бартел. У крепких пациентов отмечено улучшение показателей динамометрии и увеличение суммы баллов по шкале МОСА.
Рис. 3. Динамика показателей гериатрического статуса через 21 день программы гериатрической реабилитации
Fig. 3. Dynamics of Geriatric status parameters after 21 days-programm of Geriatric Rehabilitation
Таблица 3. Динамика показателей гериатрического статуса через 21 день после начала программы гериатрической реабилитации
Table 3. Dynamics of geriatric status indicators 21 days after the start of the Geriatric rehabilitation program
Астения / Frailty | Преастения / Prefrailty | Крепкие / Robust | |||||||
Параметр / Parameter | Визит 1 / Visit 1(n = 171) | Визит 2 / Visit 2(n = 161) | p | Визит 1 / Visit 1 (n = 291) | Визит 2 / Visit 2 (n = 281) | p | Визит 1 / Visit 1 (n = 21) | Визит 2 / Visit 2 (n = 20) | p |
Возраст, годы / Age, years M ± SD | 76,96 ± 15,75 | 77,13 ± 15,81 | > 0,05 | 75 ± 14,26 | 75,11 ± 14,02 | > 0,05 | 71,15 ± 10,08 | 71,3 ± 10,15 | > 0,05 |
Индекс массы тела кг/м2 / Body mass Index, kg/m2 M ± SD | 29,6 ± 5,96 | 29,61 ± 5,99 | > 0,05 | 29,04 ± 4,97 | 29,1 ± 4,89 | > 0,05 | 27,23 ± 3,43 | 27,31 ± 3,48 | > 0,05 |
Динамометрия, кг / Dynamometry, kg Me (IQR) | 15 [11; 2] | < 0,05 | 18 [14; 21] | 18 [15; 22] | < 0,05 | < 0,05 | |||
КБТФФ, баллы / SPPB, score, Me (IQR) M ± SD | 9 [7; 11] | < 0,001 | 11 [9; 12] 10,45 ± 1,38 | 11 [10; 12] 10,95 ± 1,29 | < 0,001 | 11 [10; 12] | 12 [11; 12] | 0,06 | |
IADL, баллы / IADL, score Me (IQR) | 25 [23; 27] | > 0,05 | 27 [26; 27] | 27 [26; 27] | > 0,05 | 27 [27; 27] | 27 [27; 27] | > 0,05 | |
Индекс Бартел, баллы / Bartel Index, score Me (IQR) M ± SD | 95 [90; 100] 92,56 ± 8,33 | 95 [90; 100] 93,2 ± 8,05 | 0,001 0,003 | 100 [95; 100] | 100 [95; 100] | 0,12 | 100 [100; 100] | 100 [100; 100] | 0,32 |
GDS-15, баллы / GDS-15, score Me (IQR) M ± SD | 3 [2; 6] 4,06 ± 3,09 | 3 [1; 5] 3,64 ± 2,94 | 0,002 0,006 | 2 [1; 5] 3,03 ± 2,73 | 2 [1; 4] 2,55 ± 2,55 | < 0,001 | 1 [0; 2] | 1 [0; 2] | 0,88 |
Индекс тяжести инсомнии, баллы / Insomnia Severity Index, score Me (IQR) | 9 [6; 12] | < 0,001 | 8 [4; 13] | 7 [4; 11] | < 0,001 | 0,42 | |||
MNA, баллы / MNA, score Me (IQR) | 0,21 | 0,22 | 0,14 | ||||||
MOCA, баллы / MOCA, score Me (IQR) | 23 [21; 26] | 26 [22; 28] | < 0,001 | 25 [22; 27] | 27 [25; 29] | < 0,001 | 0,03 | ||
ВАШ, баллы / VAS, score Me (IQR) | 6 [4; 7] | 6 [4; 6] | < 0,05 | 5 [4; 6] | 5 [3; 6] | < 0,05 | 5 [3; 6] | > 0,05 | |
EQ-5D, баллы / EQ-5D, score Me (IQR) | 4 [3; 5] | > 0,05 | 2 [1; 3] | 2 [1; 3] | > 0,05 | 2 [1; 25] | > 0,05 | ||
Примечание: IADL — шкала оценки инструментальной деятельности в повседневной жизни, GDS-15 –– гериатрическая шкала депрессии-15, MNA — краткая шкала оценки питания, MOCA — Монреальская шкала оценки когнитивных функций, EQ-5D — опросник качества жизни. Note: IADL — Instrumental Activities of Daily Living, GDS-15 — Geriatric Depression Scale-15, MNA — Mini Nutritional Assessment, MOCA — Montreal Cognitive Assessment, EQ-5D — European Quality of Life Questionnaire. | |||||||||
ПОСТСКРИПТУМ — первое исследование ГР в Российской Федерации. Особенностью исследования является отбор пациентов, имеющих показания к ГР вне зависимости от имеющихся заболеваний и их тяжести. Впервые популяция исследования включала мультиморбидных пациентов с разнообразными нозологиями, синдромом СА и другими гериатрическими синдромами. Так как синдром СА, будучи тесно связан с мультиморбидностью, в ряде случаев может стать самостоятельной причиной функциональных нарушений [6], при составлении протокола исследования, выборе популяции исследования и реабилитационных программ основной фокус был направлен именно на показатели гериатрического статуса, а не на конкретную соматическую патологию и/или острую ситуацию (стресс, хирургическое вмешательство и др.).
В рутинной клинической практике в процессе лечения основного и/или сопутствующих заболеваний врачи часто недооценивают значение снижения показателей физического функционирования, гериатрических синдромов, включая СА, нарушений эмоционального статуса и других гериатрических синдромов. В целом ряде исследований показано, что введение комплексной мультидоменной ГР на этапе госпитализации пациентов и далее на амбулаторном этапе после выписки может быть эффективным при лечении пациентов с различными острыми/подострыми состояниями [9–11]. Однако в большинстве исследований речь в первую очередь идет о коррекции физической активности. Так, в исследовании Kitzman D.W. et al. показано, что в популяции пациентов пожилого и старческого возраста, госпитализированных в связи с декомпенсацией хронической сердечной недостаточности, введение ранней многокомпонентной физической реабилитации значительно улучшало исходы и ускоряло восстановление в сравнении со стандартным подходом [12]. В исследовании Vluggen T.P.M.M. et al. продемонстрирована эффективность ГР в раннем периоде после инсульта [13]. В других исследованиях представлены результаты успешной реабилитации пожилых пациентов с ревматоидным артритом [9], хронической обструктивной болезнью легких [14] и хронической сердечной недостаточностью [12, 15]. Большой пул исследований посвящен реабилитации пожилых пациентов в постоперационный период [16].
В нашем исследовании мы показали, что комплексный подход является эффективным для пациентов с СА вне зависимости от сопутствующих заболеваний. Уже через 3 недели проведения комплексной ГР зарегистрировано улучшение не только показателей физической активности (результаты КБТФФ и динамометрии), но и показатель оценки когнитивного (динамика балла по шкале МОСА) и эмоционального статуса (уменьшились сумма баллов по шкале GDS-15 и индекс тяжести инсомнии), улучшились самооценка боли по ВАШ. В группе астении также наблюдалась положительная динамика индекса Бартел. В группе «крепких» пациентов также отмечено улучшение целого ряда показателей, однако динамика была менее выраженной, чем в группе астении. Это, возможно, связано с тем, что выбранные методы оценки исходно были на более высоком уровне и часто соответствовали норме.
Хотелось бы отметить, что в доступных в настоящее время исследованиях с применением технологий ГР чаще всего используются долгосрочные программы длительностью 3–6 месяцев и более [16–21]. Отличием нашей работы является проведение краткосрочной 21-дневной программы реабилитации с последующим наблюдением. Уже при такой длительности ГР удалось показать положительное влияние на функциональный статус пациентов даже в течение такого короткого срока. Кратковременность программ делает их более доступными, что особенно важно для пациентов гериатрического профиля с учетом социальных аспектов, часто имеющейся зависимости от посторонней помощи и других обстоятельств, затрудняющих многократное посещение реабилитационных центров.
Зарегистрированные в нашем исследовании повышение физического функционирования пожилых пациентов (увеличение скорости ходьбы, количества и скорости подъемов со стула по тестам КБТФФ, показателей динамометрии) свидетельствуют о возможности повышения мышечной силы в пожилом и старческом возрасте в довольно короткие сроки.
В результате выполнения программы ГР в нашем исследовании отмечено снижение выраженности болевого синдрома без добавления медикаментозной терапии. Важность немедикаментозных методов терапии болевого синдрома отмечена в рекомендациях Международного общества по изучению остеоартроза, где было показано, что эффект от аэробных физических нагрузок выше, чем эффект от приема нестероидных противовоспалительных препаратов [11]. Добавление физических нагрузок позволяет повысить безопасность лечения путем снижения дозы и/или кратности приема фармакотерапии.
Учитывая, что в нашем исследовании не было пациентов с тяжелой СА, мы предполагаем, что показанная эффективность исследуемых программ подтверждает обратимость СА именно при нетяжелых формах и в первую очередь должна проводиться у пациентов этой группы.
В нашем исследовании есть ряд ограничений, в частности, отсутствие группы контроля и рандомизации. Исследование проводили в гериатрическом центре, куда поступают только пациенты, способные к самообслуживанию в условиях такого учреждения. Таким образом, представленная выборка была несколько ограничена дополнительно к заранее определенным критериям включения и невключения.
По завершении 21-дневных реабилитационных мероприятий всем участникам были выданы рекомендации по продолжению программ на амбулаторном этапе с целью поддержания и улучшения достигнутых результатов. Анализ результатов последующих визитов будет представлен в более поздних публикациях.
ЗАКЛЮЧЕНИЕ
ПОСТСКРИПТУМ — первое российское исследование эффективности ГР, основанной на результатах КГО у пациентов с СА. Полученные результаты свидетельствуют об эффективности краткосрочных индивидуальных программ ГР у пациентов с различной степенью выраженности синдрома СА. Дальнейшее изучение ГР с целью внедрения таких программ в повседневную практику можно считать одной из приоритетных задач гериатрической медицины.
ДОПОЛНИТЕЛЬНАЯ ИНФОРМАЦИЯ
Вклад авторов. Все авторы подтверждают соответствие своего авторства согласно международным критериям ICMJE (все авторы внесли существенный вклад в разработку концепции, проведение исследования и подготовку статьи, прочли и одобрили финальную версию перед публикацией). Наибольший вклад распределен следующим образом: Ткачева О.Н. — научное обоснование, методология, руководство проектом; Рунихина Н.К. — научное обоснование, методология, руководство проектом, анализ данных, проверка и редактирование рукописи; Малая И.П. — курирование проекта, проверка и редактирование рукописи, анализ данных; Юсупов А.Р. — проведение исследования; Шарашкина Н.В. — проведение исследования; Остапенко В.С. — проведение исследования; Котовская Ю.В. — научное обоснование, методология; Мхитарян Э.А. — методология; Арефьева М.С. — проведение исследования, написание черновика рукописи; Попов Е.Е. — проведение исследования, верификация данных, написание черновика рукописи; Эсэнбекова Э.Э. — проведение исследования.
Источники финансирования. Данное исследование не было поддержано никакими внешними источниками финансирования.
Конфликт интересов. Ткачева О.Н. — директор ОСП «Российский геронтологический научно-клинический центр». Остальные авторы заявляют отсутствие конфликта интересов.
Информированное согласие. Авторы получили письменное согласие пациентов на публикацию всей соответствующей медицинской информации, включенной в рукопись.
Доступ к данным. Данные, подтверждающие выводы этого исследования, можно получить по обоснованному запросу у корреспондирующего автора.
ADDITIONAL INFORMATION
Author Contributions. All authors confirm their authorship according to the international ICMJE criteria (all authors contributed significantly to the conception, study design and preparation of the article, read and approved the final version before publication). Special contributions: Tkacheva O.N. — conceptualization, methodology, supervision, project administration; Runikhina N.K. — conceptualization, methodology, project administration, formal analysis, writing, review and editing; Malaya I.P. — data curation, formal analysis, writing — review and editing; Yusupov A.R. — investigation; Sharashkina N.V. — investigation; Ostapenko V.S. — investigation; Kotovskaya Yu.V. — conceptualization, methodology; Mkhitaryan E.A. — methodology; Arefieva M.S. — investigation, writing — original draft; Popov E.E. — investigation, writing — original draft; Esenbekova E.E. — investigation.
Funding. This study was not supported by any external funding sources.
Disclosure. Tkacheva O.N. — Director of Russian Gerontological Research and Clinical Centre.
Informed Consent for Publication. Written consent was obtained from the patient for publication of relevant medical information.
Data Access Statement. The data that support the findings of this study are available on reasonable request from the corresponding author.
Об авторах
Ольга Н. Ткачева
ФГАОУ ВО «Российский национальный исследовательский медицинский университет им. Н.И. Пирогова» Минздрава России
Email: malaya_ip@rgnkc.ru
ORCID iD: 0000-0002-4193-688X
доктор медицинских наук, профессор, директор
Россия, МоскваНадежда К. Рунихина
ФГАОУ ВО «Российский национальный исследовательский медицинский университет им. Н.И. Пирогова» Минздрава России
Email: malaya_ip@rgnkc.ru
ORCID iD: 0000-0001-5272-0454
доктор медицинских наук, заместитель директора по гериатрической работе
Россия, МоскваИрина П. Малая
ФГАОУ ВО «Российский национальный исследовательский медицинский университет им. Н.И. Пирогова» Минздрава России
Email: malaya_ip@rgnkc.ru
ORCID iD: 0000-0001-5964-5725
кандидат медицинских наук, заведующий лабораторией клинической фармакологии и фармакотерапии
Россия, МоскваАльберт Р. Юсупов
ГБУ города Москвы, пансионат «Никольский парк» Департамента труда и социальной защиты населения города Москвы
Email: malaya_ip@rgnkc.ru
кандидат медицинских наук, директор
Россия, ЗеленоградНаталья В. Шарашкина
ФГАОУ ВО «Российский национальный исследовательский медицинский университет им. Н.И. Пирогова» Минздрава России
Email: malaya_ip@rgnkc.ru
ORCID iD: 0000-0002-6465-4842
кандидат медицинских наук, заведующий лабораторией общей гериатрии
Россия, МоскваВалентина С. Остапенко
ФГАОУ ВО «Российский национальный исследовательский медицинский университет им. Н.И. Пирогова» Минздрава России
Email: malaya_ip@rgnkc.ru
ORCID iD: 0000-0003-1222-3351
кандидат медицинских наук, заведующий отделением гериатрической терапии
Россия, МоскваЮлия В. Котовская
ФГАОУ ВО «Российский национальный исследовательский медицинский университет им. Н.И. Пирогова» Минздрава России
Email: kotovskaya@bk.ru
ORCID iD: 0000-0002-1628-5093
доктор медицинских наук, профессор, заместитель директора по научной работе
Россия, МоскваЭлен А. Мхитарян
ФГАОУ ВО «Российский национальный исследовательский медицинский университет им. Н.И. Пирогова» Минздрава России
Email: malaya_ip@rgnkc.ru
ORCID iD: 0000-0003-2597-981X
кандидат медицинских наук, доцент кафедры болезней старения, заведующий лабораторией нейрогериатрии
Россия, МоскваМария С. Арефьева
ФГАОУ ВО «Российский национальный исследовательский медицинский университет им. Н.И. Пирогова» Минздрава России
Email: malaya_ip@rgnkc.ru
ORCID iD: 0000-0001-5869-0233
младший научный сотрудник лаборатории общей гериатрии
Россия, МоскваЕвгений Е. Попов
ФГАОУ ВО «Российский национальный исследовательский медицинский университет им. Н.И. Пирогова» Минздрава России
Email: malaya_ip@rgnkc.ru
ORCID iD: 0000-0001-9666-9224
младший научный сотрудник лаборатории общей гериатрии
Россия, МоскваЭлнура Э. Эсенбекова
ФГАОУ ВО «Российский национальный исследовательский медицинский университет им. Н.И. Пирогова» Минздрава России
Автор, ответственный за переписку.
Email: malaya_ip@rgnkc.ru
ORCID iD: 0000-0003-4227-2082
гериатр
Россия, МоскваСписок литературы
- Федеральная служба государственной статистики (Росстат). Численность населения Российской Федерации по полу и возрасту на 1 января 2022 года (статистический бюллетень). Москва. 2022. Доступно на: https://rosstat.gov.ru/storage/mediabank/Bul_chislen_nasel-pv_01-01-2022.pdf (Дата обращения 10.08.2024). [Federal'naya sluzhba gosudarstvennoj statistiki (Rosstat). CHislennost' naseleniya Rossijskoj Federacii po polu i vozrastu na 1 yanvarya 2022 goda (statisticheskij byulleten'). Moskva. 2022. Dostupno na: https://rosstat.gov.ru/storage/mediabank/Bul_chislen_nasel-pv_01-01-2022.pdf (Accessed 10.08, 2024) (In Russ.).]
- Billot M., Calvani R., Urtamo A., et al. Preserving mobility in older adults with physical frailty and sarcopenia: opportunities, challenges, and recommendations for physical activity interventions. Clin. Interv. Aging. 2020; 15; 1675–1690. https://doi.org/10.2147/CIA.S253535
- Grund S., Gordon, A.L., van Balen R., et al. European consensus on core principles and future priorities for geriatric rehabilitation: consensus statement. Eur Geriatr Med. 2020; 11(2): 233–238. https://doi.org/10.1007/s41999-019-00274-1
- Иванова Г.Е., Мельникова Е.В., Белкин А.А. и др. Как организовать медицинскую реабилитацию? Вестник восстановительной медицины. 2018; 2(84): 2–12. [Ivanova G.E., Melnikovа E.V., Belkin A.A., et al. How to Organize Medical Rehabilitation? Bulletin of Rehabilitation Medicine. 2018; 2(84): 2–12. (In Russ.).]
- van Balen R., Gordon A.L., Schols J.M.G.A., et al. What is geriatric rehabilitation and how should it be organized? A Delphi study aimed at reaching European consensus. Eur Geriatr Med. 2019; 10(6): 977–987. https://doi.org/10.1007/s41999-019-00244-7
- Ткачева О.Н., Котовская Ю.В., Рунихина Н.К. и др. Клинические рекомендации «Старческая астения». Российский журнал гериатрической медицины. 2020; 1: 11–46. https://doi.org/10.37586/2686-8636-1-2020-11-46 [Tkacheva O.N., Kotovskaya Yu.V., Runikhina N.K., et al. Clinical guidelines on frailty. Russian Journal of Geriatric Medicine. 2020; 1: 11–46. https://doi.org/10.37586/2686-8636-1-2020-11-46 (In Russ.).]
- McGilton K.S., Vellani S., Zheng N., et al. Healthcare professionals’ perspectives on rehabilitating persons with cognitive impairment. Dementia (London). 2021; 20(5): 1772–1790. https://doi.org/10.1177/1471301220969615
- Ткачева О.Н., Рунихина Н.К., Малая И.П. и др. Протокол клинического исследования ПОСТСКРИПТУМ: ПрОтокол гериатричеСкой реабилиТации при СтарчесКой астении у пациентов в возРасте 60 лет И старше в Пансионатах и сТационарных социальных Учреждениях г. Москвы. Многоцентровое проспективное исследование. Российский журнал гериатрической медицины. 2023; 1(13): 54–62. https://doi.org/10.37586/2686-8636-1-2023-54-62 [Tkacheva O.N., Runikhina N.K., Malaya I.P., et al. POSTSCRIPTUM: Protocol of Geriatric Rehabilitation in Patients Aged 60 Years and Older Living in Moscow Boarding houses or Nursing homes. Protocol of Multicentral Prospective Study. Russian Journal of Geriatric Medicine. 2023; 1(13): 54–62. https://doi.org/10.37586/2686-8636-1-2023-54-62 (In Russ.).]
- Onishi A., Torii M., Hidaka Y., et al. Efficacy of personalized exercise program on physical function in elderly patients with rheumatoid arthritis at high risk for sarcopenia: study protocol for a randomized controlled trial. BMC Musculoskelet Disord. 2023; 24(1): 280. https://doi.org/10.1186/s12891-023-06185-4
- Bernabei R., Landi F., Calvani R., et al. Multicomponent intervention to prevent mobility disability in frail older adults: randomised controlled trial (SPRINTT project). BMJ. 2022; 377: e068788. https://doi.org/10.1136/bmj-2021-068788
- Metzelthin S.F., van Rossum E., de Witte L.P., et al. Effectiveness of interdisciplinary primary care approach to reduce disability in community dwelling frail older people: cluster randomised controlled trial. BMJ. 2013; 347: f5264. https://doi.org/10.1136/bmj.f5264
- Kitzman D.W., Whellan D.J., Duncan P., et al. Physical Rehabilitation for Older Patients Hospitalized for Heart Failure. N. Engl. J Med. 2021; 385(3): 203–216. https://doi.org/10.1056/NEJMoa2026141
- Vluggen T.P.M.M., van Haastregt J.C.M., Tan F.E., et al. Effectiveness of an integrated multidisciplinary geriatric rehabilitation programme for older persons with stroke: a multicentre randomised controlled trial. BMC Geriatr. 2021; 21(1): 134. https://doi.org/10.1186/s12877-021-02082-4
- Wang T., Mao L., Wang J., et al. Influencing Factors and Exercise Intervention of Cognitive Impairment in Elderly Patients with Chronic Obstructive Pulmonary Disease. Clin Interv Aging. 2020; 15: 557–566. https://doi.org/10.2147/CIA.S245147
- Nagatomi Y., Ide T., Higuchi T., et al. Home-based cardiac rehabilitation using information and communication technology for heart failure patients with frailty. ESC Heart Fail. 2022; 9(4): 2407–2418. https://doi.org/10.1002/ehf2.13934
- Арефьева М.С., Ерусланова К.А., Рунихина Н.К. и др. Реабилитационные программы для хирургических пациентов пожилого возраста в послеоперационном периоде. Российский журнал гериатрической медицины. 2023; 16(4): 261–272. https://doi.org/10.37586/2686-8636-4-2023-261-272 [Arefieva M.S., Eruslanova K.A., Runikhina N.K., et al. Rehabilitation Programs for Older Surgical Patients in the Postoperative Period. Russian Journal of Geriatric Medicine. 2023; 16(4): 261–272. https://doi.org/10.37586/2686-8636-4-2023-261-272 (In Russ.).]
- Stathi A., Withall J., Greaves C.J., et al. A community-based physical activity intervention to prevent mobility-related disability for retired older people (REtirement in ACTion (REACT)): study protocol for a randomised controlled trial. Trials. 2018; 19(1): 228. https://doi.org/10.1186/s13063-018-2603-x
- Bao M., Chao J., Zhang N., et al. The association between the Short Physical Performance Battery and longitudinal trajectories of depressive symptoms among Chinese older adults. Psychogeriatrics. 2023; 23(6): 1027–1035. https://doi.org/10.1111/psyg.13023
- Venegas-Sanabria L.C., Cavero-Redondo I., Martínez-Vizcaino V., et al. Effect of multicomponent exercise in cognitive impairment: a systematic review and meta-analysis. BMC Geriatr. 2022; 22(1): 617. https://doi.org/10.1186/s12877-022-03302-1
- Giné-Garriga M., Roqué-Fíguls M., Coll-Planas L., et al. Physical exercise interventions for improving performance-based measures of physical function in community-dwelling, frail older adults: a systematic review and meta-analysis. Arch Phys Med Rehabil. 2014; 95(4): 753–769.e3. https://doi.org/10.1016/j.apmr.2013.11.007
- Pahor M., Guralnik J.M., Ambrosius W.T, et al. Effect of structured physical activity on prevention of major mobility disability in older adults: the LIFE study randomized clinical trial. JAMA. 2014; 311(23): 2387–2396. https://doi.org/10.1001/jama.2014.5616
Дополнительные файлы







