Использование индекса медленного проведения в дифференциальной диагностике аритмий с широкими комплексами QRS и формой блокады левой ножки пучка Гиса
- Авторы: Чмелевский М.П.1, Буданова М.А.1, Трешкур Т.В.1
-
Учреждения:
- Национальный медицинский исследовательский центр им. В.А. Алмазова Минздрава России
- Выпуск: Том 2, № 3 (2022)
- Страницы: 49-59
- Раздел: Оригинальные исследования
- URL: https://journals.eco-vector.com/cardar/article/view/112593
- DOI: https://doi.org/10.17816/cardar112593
- ID: 112593
Цитировать
Аннотация
Актуальность. Дифференциальная диагностика аритмий с широкими комплексами QRS является одной из сложнейших задач в практической аритмологии. В связи со сложностью выявления волн предсердной активности на ЭКГ часто используется подход, основанный на анализе формы комплекса QRS. Учитывая выраженную вариабельность формы QRS и сложность объективной оценки, было предложено оценивать на ЭКГ скорость распространения возбуждения по миокарду желудочков на основе так называемого индекса медленного проведения — соотношения амплитуд начальной и конечной частей комплекса QRS. Однако одним из существенных ограничений данного алгоритма является необходимость не только искать отведения с формой широкого комплекса по типу RS, но и произвольно выбирать такое отведение при наличии нескольких похожих, что может приводить к противоречивым результатам.
Цель исследования — изучение возможности использования индекса медленного проведения для дифференциальной диагностики аритмий с широкими комплексами QRS и формой блокады левой ножки пучка Гиса (ЛНПГ) во всех 12 отведениях ЭКГ с последующей оценкой его диагностической значимости.
Материалы и методы. В исследование было включено 280 одиночных преждевременных широких комплексов QRS с формой блокады ЛНПГ, выявленных при односуточном и многосуточном мониторировании ЭКГ у случайно выбранных 28 пациентов. У 14 больных регистрировались предсердные экстрасистолы и у 14 — желудочковые экстрасистолы во время синусового ритма. Для качественной и количественной оценки диагностической значимости использовался ROC-анализ с определением информативности диагностического теста на основании чувствительности (ЧВ), специфичности (СП) и диагностической точности (ДТ).
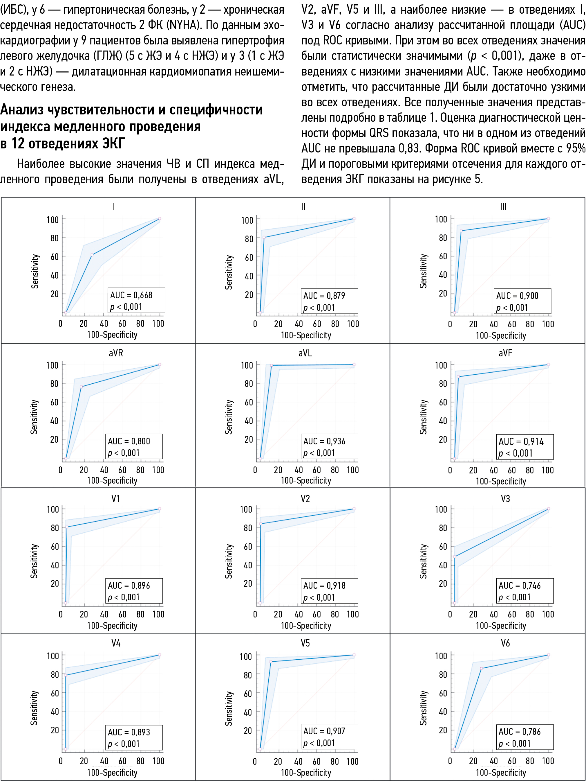
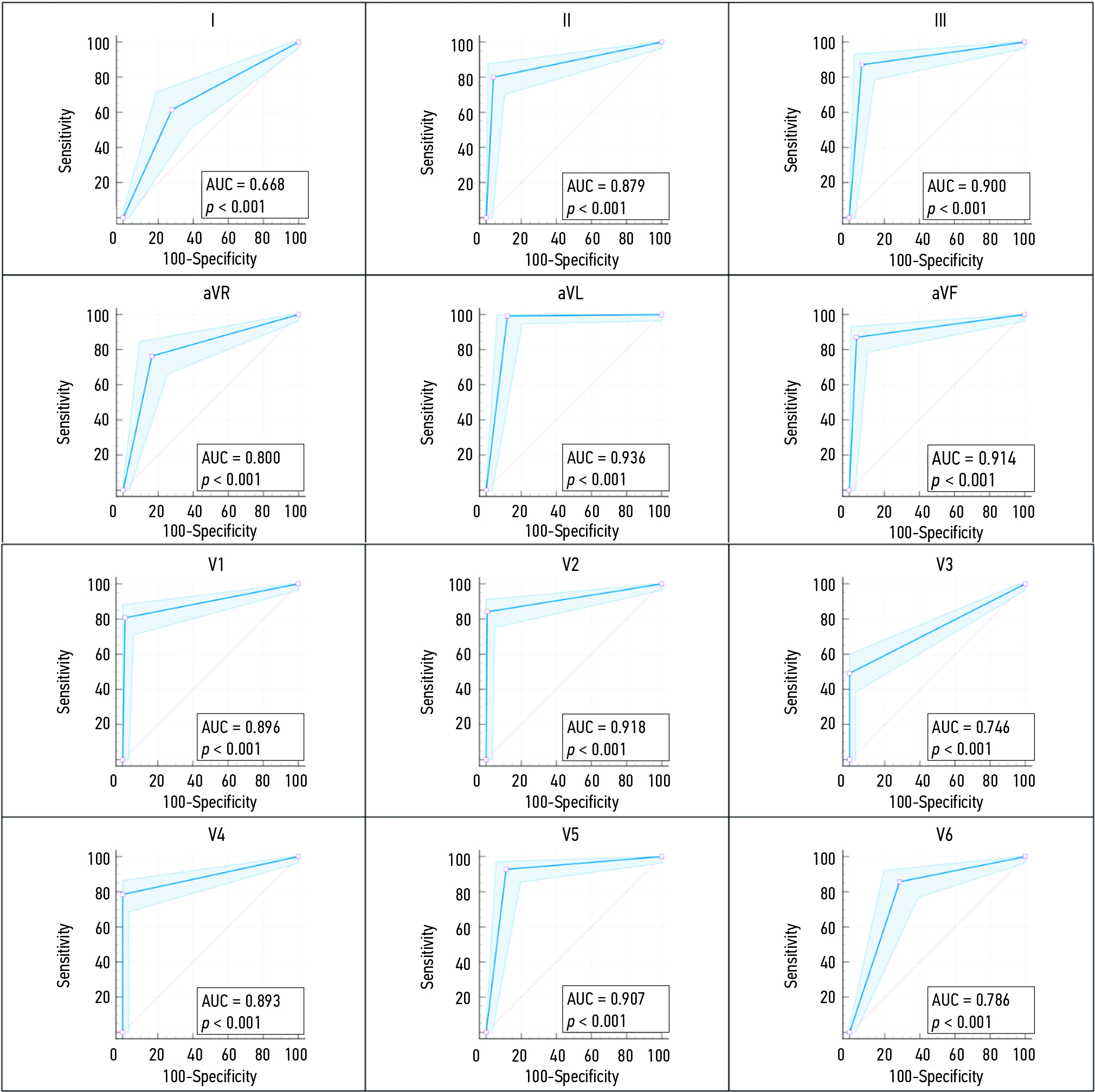
Результаты. Наиболее высокие значения ЧВ и СП индекса медленного проведения для широких комплексов QRS были получены в отведениях aVL, V2, aVF, V5 и III, а наиболее низкие — в отведениях I, V3 и V6 согласно анализу рассчитанной площади (AUC) под ROC кривыми (p < 0,001 для всех отведений).
Заключение. В проведенном исследовании была показана принципиальная возможность использования индекса медленного проведения для дифференциальной диагностики аритмий с широкими комплексами QRS и формой блокады ЛНПГ в любом отведении ЭКГ.
Полный текст
ВВЕДЕНИЕ
Дифференциальная диагностика аритмий с широкими комплексами QRS является одной из сложнейших научных и практических задач в электрокардиологии и неинвазивной аритмологии. На протяжении более 60 лет эта проблема остается до конца не решенной, но очень актуальной: кардиологи и специалисты по функциональной диагностике постоянно сталкиваются с необходимостью дифференцирования тахиаритмий с широкими QRS в повседневной практической работе, так как грамотный анализ в большинстве случаев является фактором, определяющим успешную лечебную тактику [1, 2].
Основным принципом дифференциальной диагностики аритмий с широкими комплексами QRS является анализ электрокардиограммы (ЭКГ) с выявлением волн предсердной активности и детальной оценкой их соотношения с комплексом QRS. Однако в большинстве случаев невозможно четко визуализировать волны P на поверхностной ЭКГ в связи с их малой амплитудой и частым расположением в интервале ST-T при появлении преждевременных желудочковых комплексов. К тому же в ряде случае может наблюдаться трепетание или фибрилляция предсердий, когда невозможно достоверно определить, какие именно волны предсердной электрической активности проводятся к желудочкам сердца.
Во всех этих случаях приходится использовать иной принцип, основанный на анализе формы широких комплексов QRS. Множество научных групп разрабатывали и предлагали большое количество так называемых морфологических критериев и различных алгоритмов для дифференциальной диагностики аритмий с широкими комплексами QRS [3]. Большинство из них основаны на оценке амплитудных и временных параметров широких комплексов QRS в грудных отведениях V1 и V6 [4–7]. При этом последующие работы других авторов показали их невысокую диагностическую точность [8]. Причинами этого, по всей видимости, являются высокая степень субъективности оценки формы широких QRS разными исследователями, а также достаточно разнородность групп пациентов, у части которых могли наблюдаться структурные изменения сердца. Наличие рубцовых или выраженных фиброзных изменений миокарда приводит к значительному изменению хода возбуждения по миокарду желудочков и, соответственно, к резкому снижению диагностических возможностей этих алгоритмов [9]. Кроме этого, достаточно важным фактором является значительная разница в индивидуальных анатомических соотношениях торса и положения сердца в грудной клетке исследованных пациентов, что, в свою очередь, также оказывает значительное влияние на форму комплексов QRS.
Одним из подходов, призванных решить эти проблемы, является оценка на ЭКГ скорости распространения возбуждения по миокарду желудочков на основе соотношения амплитуд начальной и конечной части комплекса QRS. Так, в 2006 году А.Vereckei et al. предложили использовать так называемый индекс медленного проведения для дифференциальной диагностики аритмий с широкими комплексами QRS [10]. Индекс медленного проведения — это соотношение абсолютных значений суммарной амплитуды комплекса QRS за первые и последние 40 мс, которое рассчитывается в отдельно взятом отведении ЭКГ. Если полученное значение составляет менее 1, то считается, что широкий QRS комплекс имеет желудочковое происхождение, а если более 1, то суправентрикулярное (рис. 1). Результаты оценки диагностической значимости предложенного критерия показали достаточно хорошие результаты: чувствительность (ЧВ) — 88,2% и специфичность (СП) — 81,9% [10].
Рис. 1. Методика определения амплитуд в течение начальных (Vi = X mV) и конечных (Vt = Y mV) 40 мс комплекса QRS и расчет индекса медленного проведения (Vi / Vt = X / Y)
При этом надо отметить, что особенностью использования данного индекса является необходимость выбора отведения ЭКГ с формой широкого комплекса по типу RS согласно оригинальной концепции авторов предложенного критерия. Однако в этом заключается одно из существенных ограничений данного алгоритма: необходимость не только специально искать отведения с формой широкого комплекса по типу RS, но и произвольно выбирать одно из таких отведений при наличии нескольких похожих, что может приводить к противоречивым результатам. В то же время отсутствие формы комплекса по типу RS приводит к невозможности использования индекса медленного проведения в практической работе.
Цель работы — явилось изучение возможности использования данного критерия для дифференциальной диагностики аритмий с широкими комплексами QRS и формой блокады левой ножки пучка Гиса (ЛНПГ) во всех 12 отведениях ЭКГ с последующей оценкой полученных значений его диагностической значимости.
МАТЕРИАЛЫ И МЕТОДЫ
Регистрация данных
В исследование было включено 280 одиночных преждевременных широких комплексов QRS с формой блокады ЛНПГ, выявленных при односуточном и многосуточном мониторировании ЭКГ у случайно выбранных 28 пациентов, находящихся на стационарном лечении в ФГБУ «НМИЦ им. В.А. Алмазова» МЗ РФ с 2010 по 2019 г. Регистрация ЭКГ проводилась при использовании стандартных фильтров изолинии, 35 Гц, 50 Гц и записи с частотой дискретизации 257 Гц (ЗАО «ИНКАРТ», Россия). У всех пациентов были исключены признаки дополнительных путей проведения или исходной блокады ножки пучка Гиса. Верификация диагноза желудочковых или наджелудочковых аритмий проводилась экспертами (врачами-кардиологами и специалистами функциональной диагностики) на основе сопоставления ЭКГ данных с результатами эндокардиального электрофизиологического исследования, а также детального анализа соотношения предсердного и желудочкового ритмов при условии четкой визуализации волн P перед преждевременными широкими комплексами QRS на поверхностной и внутрипищеводной ЭКГ. У 14 больных регистрировались предсердные экстрасистолы и у 14 — желудочковые во время синусового ритма. Примеры ЭКГ пациентов с ЖА и НЖА с формой комплекса по типу блокады ЛНПГ представлены на рисунках 2 и 3 соответственно.
Рис. 2. Пример ЭКГ пациента с наджелудочковыми экстрасистолами и аберрантным проведением по типу блокады левой ножки пучка Гиса
Рис. 3. Пример ЭКГ пациента с желудочковыми экстрасистолами с формой блокады левой ножки пучка Гиса
ОБРАБОТКА ДАННЫХ
Для всех широких комплексов QRS (n = 280) в каждом из 12 отведений автоматически с помощью программного обеспечения «KTResult 3» (ЗАО «ИНКАРТ», Россия) определялись границы комплекса QRS. Правильность их автоматического определения проверял эксперт (врач функциональной диагностики) с последующей коррекцией при необходимости. Полученные амплитудно-временные параметры за первые и последние 40 мс всех QRS комплексов экспортировались из программы «KTResult 3» в текстовом формате с помощью специально созданного программного обеспечения на базе среды быстрой разработки приложений Embarcadero RAD Studio v.10.2 (Idera Inc, USA) и импортировались в электронные таблицы Microsoft Exel (Microsoft Corp. США, 2016). После этого проводился расчет отношения абсолютных значений суммарных амплитуд комплексов QRS за первые и последние 40 мс в каждом отдельно взятом отведении ЭКГ. Для монофазных комплексов использовались абсолютные значения отклонений по амплитуде. При наличии двух- или трехфазного комплекса в течение начальных или конечных 40 мс использовалась сумма амплитуд этих отклонений. Методика и пример определения амплитуд и расчета индекса медленного проведения показаны на рисунке 4.
Рис. 4. Пример расчета индекса медленного проведения (Vi /Vt). Voltage (µV) — амплитуда ЭКГ (мкВ), time (ms) — время (мс)
СТАТИСТИЧЕСКИЙ АНАЛИЗ
На первом этапе проводилась оценка характера распределения полученных в исследовании данных с использованием гистограмм и нормальных вероятностных графиков, а также с помощью критерия Шапиро — Уилка [11] в модификации Ройстона [12] и обобщенного теста Д’Агостино — Пирсона [13]. Исходно значения p < 0,05 принимались статистически значимыми. Все полученные данные значимо отличались от нормального распределения, поэтому в дальнейшем использовались непараметрические методы анализа.
На втором этапе проводился ROC-анализ [14, 15] для качественной и количественной оценки диагностической значимости характерных для желудочковых (ЖЭ) и наджелудочковых (НЖЭ) экстрасистол показателей индекса медленного проведения. ROC кривые строились отдельно для каждого показателя с последующим подробным анализом их формы. Оценка площади под кривыми (AUC — Area Under Curve) и их сравнение проводились на основании значений стандартной ошибки, рассчитанной по методике Хэнли и Макнила [16, 17] и точного 95% доверительного интервала (ДИ) на основе биноминального распределения [18]. Заключение об информативности диагностического теста принималось на основании рассчитанных значений ЧВ, СП и диагностической точности (ДТ). Оценка полученных уровней ЧВ, СП и ДТ выполнялась с их 95% ДИ, рассчитанными на основе биномиального распределения по методу Клоппера — Пирсона [19, 20].
С учетом того, что в данной работе проводилась одновременная проверка большого числа гипотез на одном и том же наборе исходных данных, вероятность сделать неверное заключение в отношении хотя бы одной из гипотез значительно превысила изначально принятый уровень значимости (p < 0,05). В связи с этим для коррекции полученных значений на множественное тестирование использовалась поправка Бонферрони [21], и окончательно статистически значимыми принимались значения p < 0,001. Статистический анализ проводился с использованием программ Statistica v.12 (Statsoft Inc., США), SPSS v.23 (IBM Corp., США) и MedCalc Statistical Software v.20.115 (MedCalc Software Ltd, Бельгия).
РЕЗУЛЬТАТЫ
Клинические характеристики исследованной группы пациентов
Возраст всех больных составил от 10 до 76 лет (медиана — 43 года), среди них — 17 мужчин (61%). У 3 пациентов была диагностирована ишемическая болезнь сердца (ИБС), у 6 — гипертоническая болезнь, у 2 — хроническая сердечная недостаточность 2 ФК (NYHA). По данным эхокардиографии у 9 пациентов была выявлена гипертрофия левого желудочка (ГЛЖ) (5 с ЖЭ и 4 с НЖЭ) и у 3 (1 с ЖЭ и 2 с НЖЭ) — дилатационная кардиомиопатия неишемического генеза.
Анализ чувствительности и специфичности индекса медленного проведения в 12 отведениях ЭКГ
Наиболее высокие значения ЧВ и СП индекса медленного проведения были получены в отведениях aVL, V2, aVF, V5 и III, а наиболее низкие — в отведениях I, V3 и V6 согласно анализу рассчитанной площади (AUC) под ROC кривыми. При этом во всех отведениях значения были статистически значимыми (p < 0,001), даже в отведениях с низкими значениями AUC. Также необходимо отметить, что рассчитанные ДИ были достаточно узкими во всех отведениях. Все полученные значения представлены подробно в таблице 1. Оценка диагностической ценности формы QRS показала, что ни в одном из отведений AUC не превышала 0,83. Форма ROC кривой вместе с 95% ДИ и пороговыми критериями отсечения для каждого отведения ЭКГ показаны на рисунке 5.
Таблица 1. Диагностические характеристики (ЧВ, СП и AUC c 95% ДИ) индекса медленного проведения в 12 отведениях ЭКГ
Отведение | ЧВ (95% ДИ), % | СП (95% ДИ), % | AUC (95% ДИ) |
I | 61,4 (53–70) | 72,1 (64–79) | 0,67 (0,61–0,72) |
II | 80,0 (72–86) | 95,7 (91–98) | 0,88 (0,83–0,91) |
III | 87,1 (80–92) | 92,9 (87–97) | 0,90 (0,86–0,93) |
aVR | 76,4 (69–83) | 83,6 (76–89) | 0,80 (0,75–0,85) |
aVL | 99,3 (96–100) | 87,9 (81–93) | 0,94 (0,90–0,96) |
aVF | 87,1 (80–92) | 95,7 (91–98) | 0,91 (0,88–0,94) |
V1 | 80,7 (73–87) | 98,6 (95–100) | 0,90 (0,86–0,93) |
V2 | 84,3 (77–90) | 99,3 (96–100) | 0,92 (0,88–0,95) |
V3 | 49,3 (41–58) | 100 (97–100) | 0,75 (0,69–0,80) |
V4 | 78,6 (71–85) | 100 (97–100) | 0,89 (085–0,93) |
V5 | 92,9 (87–97) | 88,6 (82–93) | 0,91 (0,87–0,94) |
V6 | 85,7 (79–91) | 71,4 (63–79) | 0,79 (0,73–0,83) |
Рис. 5. ROC кривые с 95% ДИ (голубой цвет), характеризующие диагностическую ценность индекса медленного проведения в 12 отведениях ЭКГ. Пороговые критерии отсечения показаны круглым красным маркером на каждой ROC кривой. По оси Y — чувствительность (Sensitivity), по оси X — 100% специфичность (100-Specificity). Площадь под кривой (AUC) и соответствующий ей уровень значимости (р) показаны на каждом графике в правом нижнем углу
Анализ диагностической точности индекса медленного проведения в 12 отведениях ЭКГ
Оценка диагностической точности индекса медленного проведения показала, что ни в одном из отведений полученные значения не превышали 94%. Визуальное сопоставление диагностической точности индекса медленного проведения в разных отведениях ЭКГ показало, что наибольшую информативность в дифференциальной диагностике имели отведения aVL, V2, aVF, V5 и III по степени уменьшения их ценности (рис. 6). Также необходимо отметить, что диапазон 95% ДИ для значений диагностической точности был сравнительно узким для индекса медленного проведения в каждом отведении ЭКГ.
Рис. 6. Линейная диаграмма диагностической точности (ДТ) индекса медленного проведения с 95% доверительными интервалами (ДИ) для 12 отведений ЭКГ. Accuracy (ACC) – диагностическая точность (ДТ), LB-UB (lower bound-upper bound) – нижняя и верхняя границы 95% ДИ
ОБСУЖДЕНИЕ
Основные результаты
В проведенном исследовании была изучена возможность использования индекса медленного проведения для дифференциальной диагностики аритмий с широкими комплексами QRS с формой блокады ЛНПГ во всех 12 ЭКГ отведениях с последующей оценкой рассчитанных значений диагностической значимости. Полученные результаты показали принципиальную возможность использовать данный критерий в любом отведении ЭКГ без необходимости поиска бифазного широкого комплекса с формой по типу RS. Кроме этого, рассчитанные результаты диагностической точности показали высокие уровни ЧВ и СП индекса медленного проведения в отведениях II, III, aVL, aVF, V1, V2, V4, V5 (8 из 12). Данные факты подтверждаются тем, что во всех отведениях рассчитанные значения площади (AUC) под ROC кривыми были статистически значимыми (p < 0,001), даже в отведениях с низкими значениями AUC.
Визуальное сравнение полученных результатов диагностической точности индекса медленного проведения во всех отведениях показало значительное преимущество использования этого критерия в 8 вышеперечисленных отведениях, в то время как только в 4 отведениях (I, aVR, V3, V6) ДТ была ниже.
Анализ диагностической ценности индекса медленного проведения и оценка результатов в связи с ранее опубликованными данными
Анализ формы широких комплексов QRS для дифференциальной диагностики желудочковых и суправентрикулярных аритмий представляется нам более актуальным, чем анализ соотношения предсердного и желудочкового ритмов, по целому ряду причин. Во-первых, в большинстве случаев невозможно выявить наличие АВ диссоциации вследствие малой амплитуды предсердных волн P на ЭКГ, что делает этот критерий крайне трудноиспользуемым в клинической практике. Во-вторых, даже при обнаружении волн предсердной активности требуется дальнейший детальный анализ соотношений предсердного и желудочкового ритма. Наконец, чаще всего у врачей просто нет необходимого времени для поиска предсердных волн на ЭКГ и подробного анализа ЭКГ. В то же время необходимо отметить, что анализ амплитудно-временных характеристик широких комплексов также представляется весьма сложной задачей. Причина заключается в обилии предложенных критериев и алгоритмов, большинство из которых учитывает только один или несколько морфологических критериев широких комплексов QRS.
Встречающиеся в доступной нам литературе критерии дифференциальной диагностики при форме широких комплексов в виде блокады ЛНПГ ранее были описаны в основном для продолжительности комплекса QRS или для отведений V1, V2, V6 [7, 22, 23], редко для отведений I, AVF [24] и не описаны для отведений V3–V4. Значительную распространенность получили такие критерии как продолжительность R > 30 мс, зазубренность или вырезка нисходящей части зубца S, расстояние от начала комплекса QRS до максимального пика зубца S ≥ 70 мс в отведениях V1, V2 или наличие любого зубца Q в отведении V6, которые по данным ряда исследований имели высокую диагностическую точность [7, 22–24]. Так, по результатам K.E. Kindall, J. Brown, M.E. Josephson они позволяли дифференцировать ЖТ от СВТ с точностью 96–100% [23], а по данным M.J. Griffith, M.A de Belder. точность составила только 74% (86% — для пациентов с ИБС и 60% — без ИБС) [24]. Однако отдельного крупного исследования по оценке их точности для аритмий с формой комплекса в виде блокады ЛНПГ не проводилось, а для аритмий c любой формой QRS диагностическая точность составила только 73% для отведения AVF и 60% для отведения I [24].
Сложность разработки критериев дифференциальной диагностики аритмий с широкими комплексами QRS связана с разными причинами. Исходно на характеристики ЭКГ в значительной степени влияют множество факторов: положение сердца в грудной клетке, характеристика проводимости миокарда и окружающих тканей, электрический потенциал скелетной мускулатуры, а также характеристики переходного сопротивления между поверхностью кожи и регистрирующими электродами, которые могут значительно изменяться в результате их смещения и ухудшения контакта. Все эти факторы могут в значительной степени влиять на форму комплексов QRS, поэтому их вариабельность может быть очень выражена даже в рамках записи длительной ЭКГ у одного пациента. В связи с этим корректный выбор критериев, основанных на анализе амплитудно-временных параметров QRS, приобретает очень важное значение. Среди всех предложенных в настоящее время критериев дифференциальной диагностики аритмий с широкими комплексами QRS индекс медленного проведения, с нашей точки зрения, наиболее корректно подходит для описания сложного процесса хода возбуждения по миокарду желудочков. Однако значительным недостатком этого индекса является необходимость использования его только в отведениях с бифазной или трехфазной формой широкого комплекса, чаще всего по типу RS, что значительно затрудняет диагностику. Вместе с тем в оригинальных работах авторов данного критерия мы не смогли найти четкое объяснение такой необходимости. При этом сами авторы чуть позже предложили использовать этот критерий только в отведении aVR [25]. Очевидно, что в практической работе при возникновении необходимости использовать индекс медленного проведения для дифференциальной диагностики желудочковых и суправентрикулярных аритмий с широкими комплексами QRS желательно иметь какие-либо данные, подтверждающие возможность использования любых отведений ЭКГ, подходящих для анализа с точки зрения специалиста.
В данной работе было показано, что диагностическая значимость индекса медленного проведения не имеет прямой зависимости от выбора отведения с бифазной или трехфазной формой широкого комплекса QRS. Более того, в большинстве отведений использование индекса медленного проведения показало высокие уровни ЧВ, СП и ДТ. Детальный анализ рассчитанных ROC кривых показал наличие относительно узких 95% ДИ, что косвенно может говорить о низкой вариабельности показателей диагностической ценности и также свидетельствовать в пользу их робастности.
Необходимо отметить, что проведенное нами исследование показало возможность использования индекса медленного проведения в группе пациентов с широкими комплексами и формой блокады ЛНПГ, когда особенно сложно проводить дифференциальную диагностику из-за обилия и трудности использования других морфологических критериев [26].
Безусловно, полученные результаты не могут считаться выявленной строгой закономерностью и требуют дополнительного исследования и проверки на отдельной значительно большей группе пациентов без структурных изменений миокарда.
Оценка репрезентативности и ограничения проведенного исследования
В проведенном исследовании было проанализировано относительно небольшое число случаев аритмий с широкими комплексами QRS, поэтому результаты могут быть высокоспецифичными для изученной группы пациентов. Вместе с тем использование непараметрического ROC анализа с расчетом 95% ДИ значительно повышает робастность полученных результатов.
Необходимо отметить, что возможные погрешности автоматического измерения ЭКГ и потенциальные ошибки регистрации, связанные с артефактами записи, могут повлиять на результаты, что вместе с небольшим размером выборки можно считать ограничениями данного исследования.
В то же время согласованность и систематичность проведенного исследования в отношении использованных методов анализа значительно увеличивает надежность и повышает репрезентативность полученных результатов.
ЗАКЛЮЧЕНИЕ
В проведенном исследовании была показана принципиальная возможность использования индекса медленного проведения для дифференциальной диагностики аритмий с широкими комплексами QRS в любом отведении ЭКГ. В группе пациентов с формой по типу блокады ЛНПГ наилучшие результаты диагностической точности данного индекса были получены в отведениях II, III, aVL, aVF, V1, V2, V4, V5.
Таким образом, в ходе выполненного исследования было показано, что использование индекса медленного проведения в разных отведениях ЭКГ не зависит от формы комплекса QRS, а также не только дополняет, но и может значительно улучшить качество дифференциальной диагностики ЖЭ и НЖЭ с аберрантным проведением по типу блокады ЛНПГ. В связи с небольшой величиной исследованной выборки полученные результаты требуют проверки на более многочисленной группе пациентов с разной формой широких эктопических комплексов в виде блокады ЛНПГ при различной локализации фокуса желудочковых аритмий и с учетом информации о наличии структурных изменений сердца.
Проведенное исследование также продемонстрировало важность всестороннего подхода к анализу формы комплекса QRS и необходимость последовательного детального анализа различных критериев дифференциальной диагностики аритмий с широкими комплексами QRS.
ДОПОЛНИТЕЛЬНАЯ ИНФОРМАЦИЯ
Конфликт интересов. Авторы заявляют об отсутствии потенциального конфликта интересов.
Источник финансирования. Исследование выполнено при финансовой поддержке Государственного задания Министерства здравоохранения Российской Федерации (номер регистрации ЕГИСУ НИОКТР АААА-А20-120092490042-7).
Об авторах
Михаил Петрович Чмелевский
Национальный медицинский исследовательский центр им. В.А. Алмазова Минздрава России
Автор, ответственный за переписку.
Email: boxmch@gmail.com
ORCID iD: 0000-0002-8985-4437
SPIN-код: 6445-1447
Scopus Author ID: 56318896700
ResearcherId: M-4796-2015
старший научный сотрудник, НИЛ электрокардиологии
Россия, Санкт-ПетербургМаргарита Александровна Буданова
Национальный медицинский исследовательский центр им. В.А. Алмазова Минздрава России
Email: budanovamargarita@gmail.com
ORCID iD: 0000-0002-7189-8773
SPIN-код: 1890-7821
Scopus Author ID: 57192640888
ResearcherId: AAG-6964-2021
старший научный сотрудник, НИЛ электрокардиологии
Россия, Санкт-ПетербургТатьяна Васильевна Трешкур
Национальный медицинский исследовательский центр им. В.А. Алмазова Минздрава России
Email: meinetvt@mail.ru
ORCID iD: 0000-0002-7976-5588
SPIN-код: 4029-8204
Scopus Author ID: 6602364495
ResearcherId: AAD-5675-2022
кандидат медицинских наук, доцент, заведующий НИЛ электрокардиологии
Россия, Санкт-ПетербургСписок литературы
- Abedin Z. Differential diagnosis of wide QRS tachycardia: A review // Journal of arrhythmia. 2021. 37. № 5. С. 1162–1172. doi: 10.1002/joa3.12599.
- Медведев М.М. Дифференциальная диагностика тахикардий с широкими комплексами QRS: от «классических» признаков к первым алгоритмам // Вестник аритмологии. 2019. 26. № 3. С. 48–56. doi: 10.35336/VA-2019-3-48-56.
- Alzand B.S.N., Crijns H.J.G.M. Diagnostic criteria of broad QRS complex tachycardia: decades of evolution // Europace : European pacing, arrhythmias, and cardiac electrophysiology : journal of the working groups on cardiac pacing, arrhythmias, and cardiac cellular electrophysiology of the European Society of Cardiology. 2011. 13. № 4. С. 465–472. doi: 10.1093/europace/euq430.
- Brugada P., Brugada J., Mont L., Smeets J., Andries E. W. A new approach to the differential diagnosis of a regular tachycardia with a wide QRS complex // Circulation. 1991. 83. № 5. С. 1649–1659. doi: 10.1161/01.cir.83.5.1649.
- Kim M., Kwon C.H., Lee J.H., Hwang K.W., Choi H.O., Kim Y.-G., Lee K.-N., Ahn J., Park H.-S., Nam G.-B. Right bundle branch block-type wide QRS complex tachycardia with a reversed R/S complex in lead V6: Development and validation of electrocardiographic differentiation criteria // Heart rhythm. 2021. 18. № 2. С. 181–188. doi: 10.1016/j.hrthm.2020.08.023.
- Chen Q., Xu J., Gianni C., Trivedi C., Della Rocca D.G., Bassiouny M., Canpolat U., Tapia A.C., Burkhardt J. D., Sanchez J.E., Hranitzky P., Gallinghouse G.J., Al-Ahmad A., Horton R., Di Biase L., Mohanty S., Natale A. Simple electrocardiographic criteria for rapid identification of wide QRS complex tachycardia: The new limb lead algorithm // Heart rhythm. 2020. 17. № 3. С. 431–438. doi: 10.1016/j.hrthm.2019.09.021.
- Drew B.J., Scheinman M.M. ECG Criteria to Distinguish Between Aberrantly Conducted Supraventricular Tachycardia and Ventricular Tachycardia:Practical Aspects for the Immediate Care Setting // Pacing and Clinical Electrophysiology. 1995. 18. № 12. С. 2194–2208. doi: 10.1111/j.1540-8159.1995.tb04647.x.
- May A.M., Brenes-Salazar J.A., DeSimone C.V., Vaidya V.R., Ternus B.W., Hodge D. O., Lin G., Mulpuru S. K., Deshmukh A.J., Noseworthy P.A., Brady P.A. Electrocardiogram algorithms used to differentiate wide complex tachycardias demonstrate diagnostic limitations when applied by non-cardiologists // Journal of electrocardiology. 2018. 51. № 6. С. 1103–1109. doi: 10.1016/j.jelectrocard.2018.09.015.
- Медведев М. М., Парижский А. Б. Почему «не работают» электрокардиографические алгоритмы дифференциальной диагностики тахикардий с широкими комплексами QRS // Вестник аритмологии. 2020. 27. № 2. С. 54–66. doi: 10.35336/VA-2020-2-54-66.
- Vereckei A., Duray G., Szenasi G., Altemose G.T., Miller J.M. Application of a new algorithm in the differential diagnosis of wide QRS complex tachycardia // European heart journal. 2007. 28. № 5. С. 589–600. doi: 10.1093/eurheartj/ehl473.
- Shapiro S.S., Wilk M.B. An Analysis of Variance Test for Normality (Complete Samples) // Biometrika. 1965. 52. 3/4. С. 591. doi: 10.2307/2333709.
- Royston P.A Toolkit for Testing for Non-Normality in Complete and Censored Samples // Journal of the Royal Statistical Society. Series D (The Statistician). 1993. 42. № 1. С. 37–43.
- Sheskin D. Handbook of parametric and nonparametric statistical procedures. 5-e изд. Boca Raton: CRC Press, 2011. xxxix,1886.
- Metz C.E. Basic principles of ROC analysis // Seminars in nuclear medicine. 1978. 8. № 4. С. 283–298. doi: 10.1016/s0001-2998(78)80014-2.
- Zweig M. H., Campbell G. Receiver-operating characteristic (ROC) plots: a fundamental evaluation tool in clinical medicine // Clinical chemistry. 1993. 39. № 4. С. 561–577.
- Hanley J.A., McNeil B.J. The meaning and use of the area under a receiver operating characteristic (ROC) curve // Radiology. 1982. 143. № 1. С. 29–36. doi: 10.1148/radiology.143.1.7063747.
- Hanley J.A., Hajian-Tilaki K.O. Sampling variability of nonparametric estimates of the areas under receiver operating characteristic curves: an update // Academic Radiology. 1997. 4. № 1. С. 49–58. doi: 10.1016/s1076-6332(97)80161-4.
- Hilgers R.A. Distribution-free confidence bounds for ROC curves // Methods of information in medicine. 1991. 30. № 2. С. 96–101.
- Clopper C.J., Person E. S. The use of confidence or fiducial limits illustrated in the case of the binomial // Biometrika. 1934. 26. № 4. С. 404–413. doi: 10.1093/biomet/26.4.404.
- Krishnamoorthy K., Peng J. Some Properties of the Exact and Score Methods for Binomial Proportion and Sample Size Calculation // Communications in Statistics - Simulation and Computation. 2007. 36. № 6. С. 1171–1186. doi: 10.1080/03610910701569218.
- Dunn O.J. Multiple Comparisons among Means // Journal of the American Statistical Association. 1961. 56. № 293. С. 52–64. doi: 10.1080/01621459.1961.10482090.
- Wellens H.J., Brugada P., Wellens H.J., Brugada P. Diagnosis of ventricular tachycardia from the 12-lead electrocardiogram // Diagnosis of Ventricular Tachycardia from the 12-Lead Electrocardiogram // Cardiology clinics. 1987. 5. № 3. С. 511–525. doi: 10.1016/s0733-8651(18)30538-1.
- Kindwall K.E., Brown J., Josephson M.E. Electrocardiographic criteria for ventricular tachycardia in wide complex left bundle branch block morphology tachycardias // The American journal of cardiology. 1988. 61. № 15. С. 1279–1283. doi: 10.1016/0002-9149(88)91169-1.
- Griffith J.M., Belder A.M. de, Linker J.N., Ward D.E., Camm A. John, Griffith M.J., Belder M.A. de, Linker N.J., WARD D.E., Camm A.J. Multivariate analysis to simplify the differential diagnosis of broad complex tachycardia // British Heart Journal. 1991. 66. № 2. С. 166–174. doi: 10.1136/hrt.66.2.166.
- Vereckei A., Duray G., Szénási G., Altemose G.T., Miller J.M. New algorithm using only lead aVR for differential diagnosis of wide QRS complex tachycardia // Heart rhythm. 2008. 5. № 1. С. 89–98. doi: 10.1016/j.hrthm.2007.09.020.
- Griffith M.J., Belder M.A. de, Linker N.J., Ward D.E., Camm A.J. Difficulties in the use of electrocardiographic criteria for the differential diagnosis of left bundle branch block pattern tachycardia in patients with a structurally normal heart // European heart journal. 1992. 13. № 4. С. 478–483. doi: 10.1093/oxfordjournals.eurheartj.a060200.
Дополнительные файлы








