Частота и особенности течения сердечно-сосудистых заболеваний при спондилоартритах
- Авторы: Самигуллина Р.Р.1, Мазуров В.И.1,2, Василенко Е.А.2, Трофимов Е.А.1
-
Учреждения:
- Северо-Западный государственный медицинский университет им. И.И. Мечникова
- Санкт-Петербургский государственный университет
- Выпуск: Том 3, № 4 (2023)
- Страницы: 33-44
- Раздел: Оригинальные исследования
- URL: https://journals.eco-vector.com/cardar/article/view/624781
- DOI: https://doi.org/10.17816/cardar624781
- ID: 624781
Цитировать
Аннотация
Актуальность. Известно, что для спондилоартритов характерно сочетание с разнообразными коморбидными состояниями, в первую очередь заболеваниями сердечно-сосудистой системы. Учитывая высокую значимость раннего выявления рисков сердечно-сосудистых заболеваний у данной категории пациентов, необходима дальнейшая разработка дополнительных высокоинформативных маркеров их диагностики для проведения своевременной профилактики, что является одной из приоритетных задач для врачей многих терапевтических специальностей.
Цель — изучить структуру коморбидной патологии и оценить частоту сердечно-сосудистых заболеваний у пациентов с анкилозирующим спондилитом, псориатическим артритом и псориатическим спондилоартритом, а также провести сравнительный анализ встречаемости кардиоваскулярной патологии при различных формах спондилоартритов.
Материалы и методы. В исследование были включены 153 пациента с достоверным диагнозом спондилоартрит. Пациенты были разделены на 3 группы в зависимости от характера поражения опорно-двигательного аппарата: анкилозирующий спондилит (n = 53), псориатический артрит (n = 40) и псориатический спондилоартрит (n = 60). Все пациенты получали терапию ингибиторами ФНО-альфа. Структура коморбидной патологии оценивалась при помощи индексов Charlson и CIRS-G по Miller. Модифицированная шкала SCORE (Systematic COronary Risk Evaluation), шкала Рейнольдса (Reynolds Risk Score), модифицированная шкала QRISK3 использовались для оценки сердечно-сосудистых событий.
Результаты. Различные сопутствующие заболевания встречались у большинства обследованных пациентов со спондилоартритом (72 %), у более чем половины отмечалась полиморбидная патология. Среди коморбидных состояний преобладали заболевания сердечно-сосудистой системы (63 %), желудочно-кишечного тракта (53 %) и эндокринной системы (46 %). Артериальная гипертензия чаще встречалась у пациентов с псориатическим артритом и псориатическим спондилоартритом, а нарушение проводимости у пациентов с анкилозирующим спондилитом. Большинство пациентов имели 2 и 3 степень согласно шкалам SCORE и Рейнольдса. Более половины пациентов с псориатическим артритом и псориатическим спондилоартритом имели 3 и 4 степень риска, тогда как менее трети пациентов с анкилозирующим спондилитом имели 3 и 4 степень риска. Средние значения QRISK были достоверно выше у пациентов с псориатическим артритом и псориатическим спондилоартритом, чем у пациентов с анкилозирующим спондилитом. Ожирение и дислипидемия чаще встречались у пациентов с псориатическим артритом и псориатическим спондилоартритом. 10-летняя выживаемость была достоверно выше у пациентов с анкилозирующим спондилитом и псориатическим артритом, чем в группе больных с псориатическим спондилоартритом.
Заключение. При обследовании пациентов с псориатическим артритом целесообразно проводить не только оценку активности псориатического артрита и структурного прогрессирования в суставах, но и сопутствующих заболеваний с целью выбора наиболее оптимального лечения.
Полный текст
ВВЕДЕНИЕ
Спондилоартриты (СпА) — группа хронических воспалительных заболеваний позвоночника, суставов, энтезисов, характеризующаяся общими клиническими, рентгенологическими и генетическими особенностями. К СпА относятся анкилозирующий спондилит (АС), в том числе нерентгенологический аксиальный СпА (аксСпА), псориатический артрит (ПсА), реактивный артрит, СпА, связанный с воспалительным заболеванием кишечника и увеитами, а также недифференцированный СпА. Все эти заболевания достаточно часто ассоциированы с молекулой MHC I класса HLA-B27 и имеют несколько характерных клинических признаков, таких как воспалительная боль в спине, периферический артрит, энтезит, дактилит, а также внесуставные проявления — передний увеит, псориаз (ПСО) и воспалительные заболевания кишечника [1]. Воспалительный процесс в суставах и энтезисах влечет за собой прогрессивное структурное поражение опорно-двигательного аппарата и, как следствие, снижение качества жизни и быстрого наступления инвалидизации.
В терапии СпА, как и многих других ревматических заболеваний, основополагающим подходом является стратегия «treat-to-target» (лечение до достижения цели), в основе которой лежит стремление к достижению ремиссии или низкой активности основного заболевания. В арсенале ревматологов имеется большое количество препаратов, выбор которых зависит от формы и стадии СпА. В перечень этих лекарственных средств входят нестероидные противовоспалительные препараты (НПВП), базисные противовоспалительные препараты (БПВП), генно-инженерные биологические препараты (ГИБП) и ингибиторы JAK-киназ (ингибиторы «малых» молекул) [2].
Учитывая, что НПВП используются как базисные средства при лечении аксСпА, требующие длительного применения, необходим тщательный контроль за побочными эффектами, связанными как с поражением желудочно-кишечного тракта (ЖКТ), так и сердечно-сосудистой (СС) системы [3, 4]. Также у пациентов со СпА часто встречаются сопутствующие сердечно-сосудистые заболевания (как проявления мультиморбидности), оказывающие существенное влияние на качество и продолжительность их жизни [5]. Пролонгированный прием НПВП даже в минимальных дозах может быть противопоказан пациентам с повышенным риском развития значимых сердечно-сосудистых событий (ССС) и заболеваниями верхних отделов ЖКТ, воспалительными заболеваниями кишечника (ВЗК) [6, 7]. Многочисленные статьи свидетельствуют о связи СС риска и приема НПВП. Однако в недавних публикациях по оценке влияния долгосрочного применения НПВП на риск развития серьезных ССС (MACE) в течение 8 лет наблюдений у пациентов с АС (n = 22 929) демонстрируется низкая ассоциация ССС с применением НПВП. Факторами риска развития MACE были отмечены такие коморбидные состояния, как артериальная гипертензия (АГ), сахарный диабет (СД), дислипидемия и атеросклероз сосудов верхних конечностей [8].
Исследования последних лет показали, что продолжительность жизни пациентов, страдающих СпА, в среднем на 5–7 лет меньше по сравнению с популяцией, а общая смертность превышает популяционную в 1,6–1,9 раза, при этом летальность от СС заболеваний в данной группе пациентов выше популяционной на 20–40 % [9].
Продолжаются дискуссии о наиболее информативных стандартизованных критериях оценки СС риска у пациентов со СпА, а также особенностях течения СС заболеваний.
Цель — изучить структуру коморбидной патологии и оценить частоту сердечно-сосудистых заболеваний у пациентов с анкилозирующим спондилитом, псориатическим артритом и псориатическим спондилоартритом, а также провести сравнительный анализ встречаемости кардиоваскулярных заболеваний в различных группах спондилоартритов.
МАТЕРИАЛЫ И МЕТОДЫ
В исследование были включены 153 пациента с достоверным диагнозом СпА. Пациенты были разделены на 3 группы в зависимости от характера поражения опорно-двигательного аппарата: АС, соответствующий модифицированным Нью-Йоркским критериям для анкилозирующего спондилита (1984) (n = 53); ПсА, отвечающие критериям CASPAR (Classification criteria of Psoriatic Arthritis, 2006) (n = 40); ПсСпА, одновременно отвечающие модифицированным Нью-Йоркским критериям для АС и критериям CASPAR для ПсА (n = 60). Группы были сопоставимы по полу и возрасту. Пациенты, имеющие воспалительное заболевание кишечника, не были включены в исследование.
Пациенты с АС или ПсСпА, включенные в исследование, получали генно-инженерный биологический препарат из группы ингибиторов фактора некроза опухоли альфа (иФНО-α) с возможной комбинацией с НПВП. Больные ПсА получали ингибиторы ФНО-α в сочетании с БПВП (метотрексат, сульфасалазин или лефлуномид).
Всем пациентам проводилась оценка клинико-лабораторных показателей, активности СпА (BASDAI, ASDAS СРБ, DAPSA, DAS28 СРБ), а также функционального статуса СпА BASFI.
Всем пациентам на момент включения в исследование была выполнена оценка коморбидных состояний, степени тяжести и риска возникновения значимых ССС (индексы Charlson и CIRS-G по Miller). Для оценки 10-летнего риска развития значимых ССС использовались модифицированная шкала SCORE (Systematic Coronary Risk Evaluation), шкала Рейнольдса (Reynolds Risk Score), модифицированная шкала QRISK3. Интерпретация результатов показателей индекса SCORE, шкалы Рейнольдса, индекса QRISK3 проводилась согласно рекомендациям Европейского общества кардиологов. Риск < 1 % считается низким, в пределах ≥ 1 до 5 % — умеренным, ≥ 5 до 10 % — высоким, ≥ 10 % — очень высоким.
Статистическая обработка данных исследования проводилась при помощи пакета прикладных статистических программ R версии 3.4.1 (R CoreTeam (2017). R: A language and environment for statistical computing. R Foundation for statistical Computing, Вена, Австрия) с графическим интерфейсом пользователя jamovi и пакетов jmv (Ravi Selker, Jonathon Love and Damian Dropmann (2018). Jmv: The ‘jamovi’ Analyses. Версия 0.9.5.0).
Все пациенты подписали форму информированного согласия на участие в исследовании. Данные о пациентах обрабатывались в обезличенном виде. Исследование было одобрено комитетом по этике ФГБОУ ВО СЗГМУ им. И.И. Мечникова Минздрава России (протокол № 12 от 06.12.2022).
РЕЗУЛЬТАТЫ
Среди пациентов, включенных в исследование, незначительно преобладали мужчины (55%). Средний возраст составлял 46,7 ± 12,5 лет, длительность заболевания — 11,3 ± 8,1 лет. Ассоциацию с HLA-B27 имели 73 (47,7 %) участника. Среди внеаксиальных проявлений СпА были отмечены энтезиты — у 93 (60,8 %), дактилиты — у 57 (37,2 %), кокситы — у 26 (17,0 %) пациентов. Внескелетные проявления в варианте увеита выявлены у 20 (13,1 %) обследованных. Большинство пациентов (67 %) имели низкую степень активности СпА, согласно BASDAI, на момент включения в исследование. В исследованных группах пациентов имелись достоверные отличия по наличию дактилитов, энтезитов, кокситов, псориатической ониходистрофии, обнаружению носительства HLA-B27 (p < 0,01). При сопоставлении результатов в группах было установлено, что носительство HLA-B27 и сакролиит наиболее часто встречались у пациентов с АС. При этом средние показатели активности BASDAI были выше у пациентов с ПсСпА, чем у пациентов с АС и ПсА. Согласно ASDAS с использованием высокочувствительного С-реактивного белка (СРБ), 21,5 % больных на момент включения в исследование имели очень высокую активность заболевания, 29,6 % — высокую активность, 28,5 % — умеренную и 20,4 % исходно были в клинической и лабораторной ремиссии. Более высокие показатели ASDAS также отмечались в группе пациентов с ПсСпА. Все пациенты получали терапию иФНО-α. Пациенты с АС в большинстве случаев имели опыт применения одного ГИБП, тогда как треть пациентов с ПсА и ПсСпА получали терапию 2 и более ГИБП.
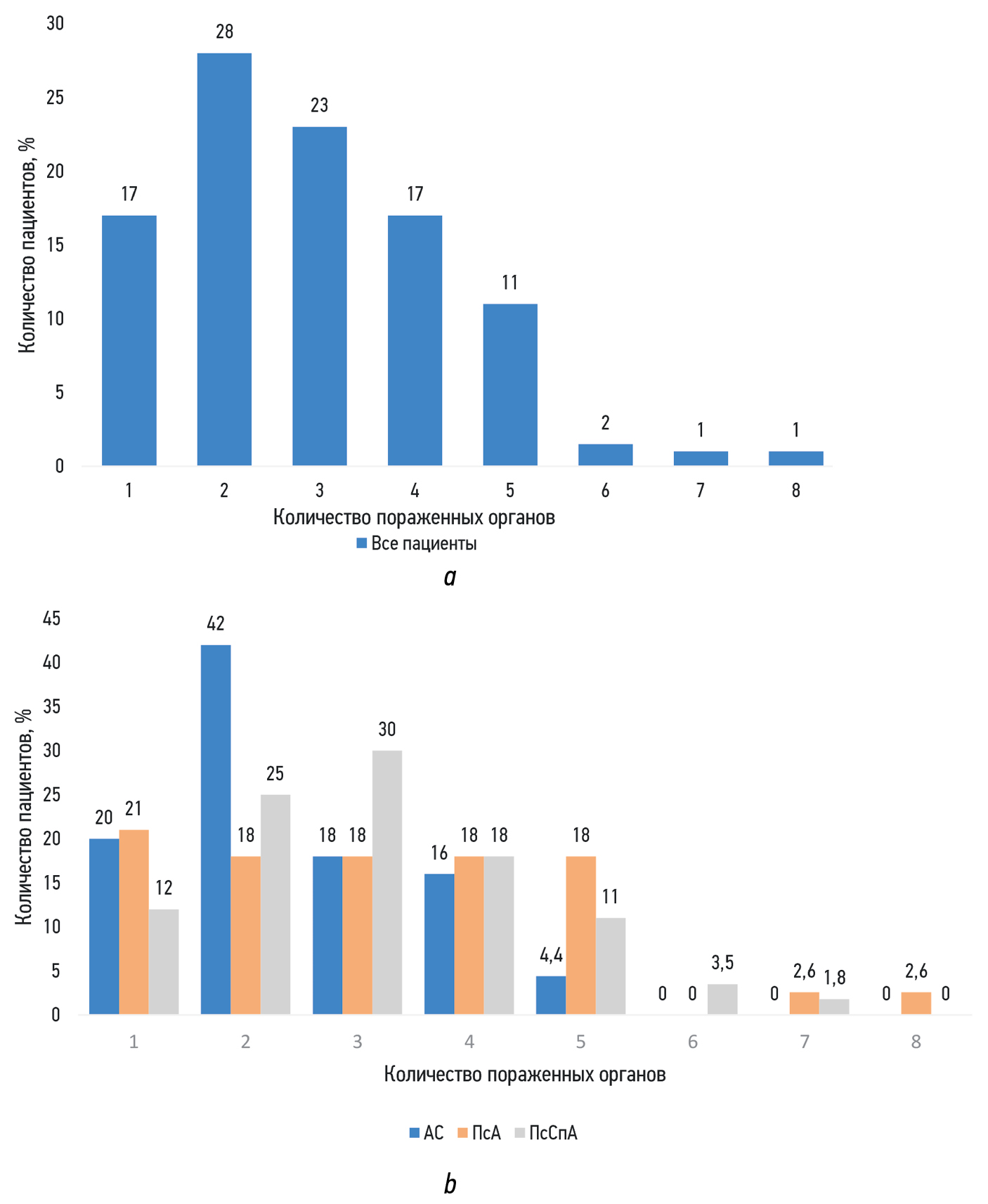
Различные сопутствующие заболевания встречались у большинства обследованных пациентов (72 %), наиболее часто — патология СС системы (63 %), ЖКТ (53 %) и эндокринной системы (46 %). Согласно CIRS-G по Miller, для большинства пациентов был характерным полиморбидный спектр поражений (56,5%). Поражение 5 органов и более имели 23,2 % больных с ПсА и 16,3 % больных с ПсСпА, тогда как у пациентов с АС поражение 5 органов имели лишь 4,6 % больных (рис. 1). Средняя сумма баллов CIRS-G была достоверно ниже в группе пациентов с АС по сравнению с ПсА и ПсСпА (соответственно 4,22; 5,5; 5,67; p = 0,013).
Рис. 1. Количество пораженных органов и систем при оценке с помощью индекса CIRS-G по Miller у всех пациентов (а) и в зависимости от группы (b) АС — анкилозирующий спондилит; ПсА — псориатический артрит; ПсСпА — псориатический спондилоартрит
Fig. 1. Affected organs and systems according to the CIRS-G by Miller in all patients (а) and by group (b). AS — ankylosing spondylitis; PsA — psoriatic arthritis; PSpA — psoriatic spondyloarthritis
Таблица 1. Клиническая характеристика пациентов на момент включения в исследование, n = 153
Table 1. Baseline clinical characteristics of patients (n = 153)
Исследуемые показатели | АС (n = 53) | ПсА (n = 40) | ПсСпА (n = 60) |
Мужской пол, n (%) | 31 (58,5) | 21 (52,5) | 32 (53,3) |
Средний возраст на момент включения, года, М ± s | 44,3 ± 11,9 | 48,8 ± 13,3 | 47,4 ± 12,4 |
Длительность заболевания, годы, М ± s | 9,9 ± 8,3 | 13,2 ± 8,1 | 11,2 ± 7,9 |
Сакроилиит, n (%) | 52 (98) | 26 (65) | 50 (83) |
Дактилит, n (%) | 5 (9,4) | 21 (52,5) | 31 (51,7) |
Энтезиты, n (%) | 20 (37,7) | 25 (62,5) | 48 (80,0) |
Коксит, n (%) | 6 (11,3) | 4 (10,0) | 16 (26,7) |
Увеит, n (%) | 11 (20,8) | 4 (10,0) | 5 (8,3) |
Носительство HLA-B27, n (%) | 42 (79,2) | 10 (25,0) | 21 (35,0) |
BASDAI, балл (M ± SD) | 2,9 ± 1,9 | 3,0 ± 1,7 | 3,7 ± 2,0 |
ASDAS-СРБ, балл (M ± SD) | 2,0 ± 0,9 | 2,0 ± 0,98 | 2,4 ± 1,1 |
Длительность терапии всеми ГИБП | 4,0 (1,0–6,0) | 5,0 (2,0–8,2) | 3,0 (2,0–5,0) |
Длительность терапии последней ГИБП | 3,0 (1,0–6,0) | 2,8 (2,0–5,0) | 2,0 (1,0–4,0) |
Примечание: АС — анкилозирующий спондилит; ПсА — псориатический артрит; ПсСпА — псориатический спондилоартрит; ГИБП — генно-инженерные биологические препараты; СРБ — С-реактивный белок; BASDAI — Bath Ankylosing Spondylitis Disease Activity Index; ASDAS — Ankylosing Spondylitis Disease Activity Score.
Note: AS — ankylosing spondylitis; PsA — psoriatic arthritis; PSpA — psoriatic spondyloarthritis; GEBD — genetically engineered biological drugs; CRP — C-reactive protein; BASDAI — Bath Ankylosing Spondylitis Disease Activity Index; ASDAS — Ankylosing Spondylitis Disease Activity Score.
При анализе коморбидных состояний акцент был сделан на CC заболевания (табл. 2). Наиболее часто встречающейся патологией CCC была гипертоническая болезнь — у 50 % пациентов. Примечательно, что пациенты с ПсА и ПсСпА чаще страдали артериальной гипертензией. Ишемическая болезнь сердца (ИБС) встречалась примерно с одинаковой частотой (13, 12, 8,3 % соответственно) во всех группах. Инфаркт миокарда был зарегистрирован у 8 пациентов. При этом только у пациентов с АС инфаркт миокарда развился на фоне лечения иФНО-α — через 1, 8 и 10 лет от начала терапии, тогда как остальные пациенты перенесли инфаркт миокарда до начала лечения иФНО-α. Коронарография и/или стентирование было выполнено 7 (4,6 %) пациентам, аортокоронарное шунтирование — 1 пациенту. Нарушение проводимости встречалось на 10 % чаще у пациентов с АС (28 %) по сравнению с пациентами с ПсА (18 %) и ПсСпА (18 %). Число нарушений ритма сердца было сопоставимо во всех группах и встречалось у каждого 10-го пациента, наиболее частые формы – синусовая тахикардия и экстраcистолия. Хроническая сердечная недостаточность преобладала в группе пациентов с ПсА. Острое нарушение кровообращения имели в анамнезе 1 пациент с ПсА и 3 пациента с ПсСпА.
Таблица 2. Структура сердечно-сосудистой патологии у пациентов исследуемых групп
Table 2. Cardiovascular diseases in patients with AS, PsA, and PsSpA
Заболевания сердечно-сосудистой системы | Все пациенты (n = 153) | АС (n = 53) | ПсА (n = 40) | ПсСпА (n = 60) |
Артериальная гипертензия, n (%) | 76 (49,7) | 20 (37,7) | 25 (62,5) | 31 (51,7) |
Степень 1 | 54 (35,2) | 14 (26,4) | 18 (45) | 22 (36,7) |
Степень 2 | 16 (10,5) | 4 (7,6) | 6 (15) | 6 (10) |
Степень 3 | 6 (3,9) | 2 (3,8) | 1 (0) | 3 (5) |
Ишемическая болезнь сердца, n (%) | 17 (11,1) | 7 (13) | 5 (12) | 5 (8,3) |
Стенокардия напряжения функциональный класс 1–2, n (%) | 13 (8,5) | 5 (9,4) | 4 (10) | 4 (6,8) |
Острый инфаркт миокарда n (%) | 8 (5,2) | 3 (2,0) | 3 (7,5) | 2 (3,3) |
Фибрилляция предсердий, n (%) | 4 (2,6) | 2 (3,8) | 1 (2,5) | 1 (1,7) |
Нарушение ритма, n (%) | 16 (10,4) | 6 (11) | 5 (12,5) | 5 (8,3) |
Хроническая сердечная недостаточность, n (%) | 14 (9,1) | 3 (5,7) | 6 (15) | 5 (8,5) |
Стадия I, n (%) | 3 (0,5) | 1 (2) | 2 (5) | 0 (0) |
Стадия IIА, n (%) | 11 (7,2) | 2 (3,8) | 5 (12,5) | 4 (6,7) |
Примечание: АС — анкилозирующий спондилит; ПсА — псориатический артрит; ПсСпА — псориатический спондилоартрит.
Note: AS — ankylosing spondylitis; PsA — psoriatic arthritis; PSpA — psoriatic spondyloarthritis.
Примечательно, что 29 % всех обследованных больных имели дислипидемию. Дислипидемия достоверно чаще регистрировалась у пациентов с ПсА и ПсСпА по сравнению с пациентами с АС (табл. 3). Показатели липидного обмена были сопоставимы у пациентов с ПсА и ПсСпА. При этом средние концентрации холестерина, липопротеинов низкой плотности (ЛПНП), соотношение холестерин/ЛПВП были достоверно выше у пациентов с ПсА и ПсСпА, чем у пациентов с АС.
Таблица 3. Показатели липидного обмена у пациентов исследуемых групп
Table 3. Lipid metabolism parameters in patients with AS, PsA, and PsSpA
Показатели липидного обмена | АС(n = 53) | ПсА (n = 40) | ПсСпА (n = 60) | Значение p |
Дислипидемия, n (%) | 10 (19) | 19 (48) | 31 (52) | 0,001 |
Холестерин, ммоль/л, Ме [25%; 75%] | 4,53 (4,13;5,23) | 5,50 (5,00; 6,30) | 5,80 (4,98; 6,33) | 0,001 |
ЛПВП, ммоль/л, Ме [25%; 75%] | 1,70 (1,58; 1,85) | 1,72 (1,52; 1,90) | 1,70 (1,39; 1,90) | 0,6 |
ЛПНП, ммоль/л, Ме [25%; 75%] | 2,55 (2,00; 3,04) | 2,89 (2,40; 3,62) | 2,89 (2,10; 3,61) | 0,023 |
Холестерин/ЛПВП, ммоль/л, Ме [25%; 75%] | 2,69 (2,47; 3,20) | 3,33 (2,88; 3,71) | 3,21 (2,87; 4,04) | 0,001 |
Примечание: АС — анкилозирующий спондилит; ПсА — псориатический артрит; ПсСпА — псориатический спондилоартрит; ЛПНП — липопротеины низкой плотности; ЛПВП — липопротеины высокой плотности.
Note: AS — ankylosing spondylitis; PsA — psoriatic arthritis; PSpA — psoriatic spondyloarthritis; LDL — low density lipoproteins; HDL — high density. lipoproteins.
В ходе сравнительного анализа распределения степеней ожирения между группами пациентов с АС, ПсА и ПсСпА выявлены статистически значимые различия (р < 0,001) (табл. 4). Чаще ожирением страдали пациенты с ПсА и ПсСпА, большинство из которых имели 1 или 2 степень ожирения.
Таблица 4. Распределение степени ожирения в исследуемых группах пациентов
Table 4. Obesity grades in the study groups
Степень ожирения | АС, n (%) | ПсА, n (%) | ПсСпА, n (%) | Значение p |
0 | 34 (64) | 8 (20) | 14 (23) | < 0,001 |
1 | 13 (25) | 15 (38) | 23 (38) | |
2 | 3 (5,7) | 10 (25) | 15 (25) | |
3 | 2 (3,8) | 5 (12) | 5 (8,3) | |
4 | 1 (1,9) | 2 (5,0) | 3 (5,0) |
Примечание: АС — анкилозирующий спондилит; ПсА — псориатический артрит; ПсСпА — псориатический спондилоартрит.
Note: AS — ankylosing spondylitis; PsA — psoriatic arthritis; PSpA — psoriatic spondyloarthritis.
Для оценки уровня СС риска были использованы индекс SCORE, шкалы Рейнольдса (RRS) и модификации шкалы QRISK. Средние значения показателя SCORE были выше у пациентов с ПсПсА — 1,98 (0,75; 3,28) балла, чем у пациентов с АС — 1,59 (0,74; 3,61) балла и с ПсА — 1,73 (1,18; 4,36) балла, однако достоверных различий не обнаружено, в том числе при пересчете SCORE для ревматологических пациентов (× 1,5). Большинство пациентов имели 2 и 3 степень SCORE — 48 и 28 % соответственно. Статистически достоверных различий между группами пациентов обнаружено не было.
Средние значения шкалы Рейнольдса для пациентов с АС, ПсА и ПсПсА составили 2,0, 3,0 и 4,0 балла соответственно. Большинство пациентов имели 2 и 3 степень риска согласно шкале Рейнольдса.
Достоверные различия между группами обнаружены при использовании шкалы QRISK (табл. 5). Более половины пациентов с ПсА и ПсСпА имели 3 (49,8 и 30 % соответственно) и 4 (12 и 20% соответственно) степень риска, — тогда как менее трети пациентов с АС имели 3 (15%) и 4 (14%) степень риска. Средние значения QRISK были достоверно выше у пациентов с ПсА и ПсСпА, чем у пациентов с АС (соответственно 6,12; 6,81; 3,8; p = 0,002), что свидетельствует о том, что пациенты с ПсА и ПсСпА потенциально имеют более высокие риски СС событий по сравнению с пациентами с АС.
Таблица 5. Показатели шкалы QRISK у пациентов исследуемых групп
Table 5. QRISK scores in patients with ankylosing spondylitis, psoriatic arthritis, and psoriatic spondyloarthritis
Группа пациентов | Степень риска | Значение р | |||
1 | 2 | 3 | 4 | ||
АС, n (%) | 19 (51) | 9 (24) | 4 (15) | 5 (14) | 0,002 |
ПсА, n (%) | 4 (15) | 6 (23) | 13 (49,8) | 3 (12) | |
ПсСпА, n (%) | 7 (16) | 15 (34) | 13 (30) | 9 (20) | |
Примечание: АС — анкилозирующий спондилит; ПсА — псориатический артрит; ПсСпА — псориатический спондилоартрит.
Note: AS — ankylosing spondylitis; PsA — psoriatic arthritis; PSpA — psoriatic spondyloarthritis.
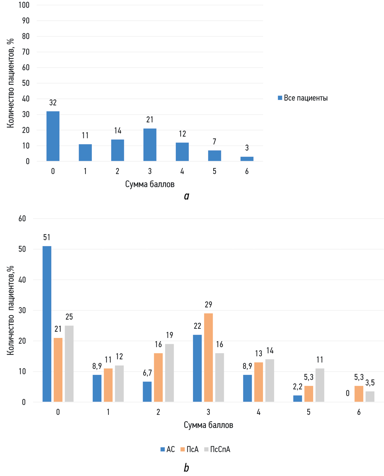
Проведена оценка коморбидной патологии и прогностическая 10-летняя выживаемость при помощи опросника Charlson (рис. 2). Пациенты с ПсА и ПсСпА имели большее количество баллов, чем пациенты с АС, что влияло на показатели выживаемости. Таким образом, 10-летняя выживаемость была достоверно выше у пациентов с АС и ПсА по сравнению с пациентами с ПсСпА (соответственно 78; 78 и 54 %, p = 0,008).
Рис. 2. Распределение пациентов с СпА в зависимости от распространенности сопутствующей патологии: a — для всех пациентов; b — по группам пациентов. АС — анкилозирующий спондилит; ПсА — псориатический артрит; ПсСпА — псориатический спондилоартрит
Fig. 2. Distribution of AS patients depending on the incidence of comorbidities in all patients (a) and by group (b). AS — ankylosing spondylitis; PsA — psoriatic arthritis; PSpA — psoriatic spondyloarthritis
Полученные данные свидетельствуют о том, что пациенты с ПсСпА имеют более отягощенный коморбидный фон, чем пациенты с АС и ПсА, что сказывается на прогностической 10-летней выживаемости, значимо снижая ее в группе пациентов, страдающих ПсСпА.
ОБСУЖДЕНИЕ
При изучении профиля коморбидных состояний у пациентов с различными формами СпА выявлено, что 72 % пациентов имели как минимум 1 сопутствующее заболевание. Наиболее часто встречались заболевания СС системы, составившие 63 %, на втором месте заболевания ЖКТ — 53 %. Частота коморбидных состояний в исследуемой когорте пациентов была выше, чем у пациентов из крупных когортных исследований.
При анализе 3379 пациентов со СпА как минимум 1 коморбидное состояние зарегистрировано у 51 % больных, 3 и более коморбидных состояния — у 9 % больных. Индекс коморбидности при ревматических заболеваниях (RDCI) был ассоциирован с высокими показателями BASFI, низкими показателями качества жизни (EuroQol), меньшими показателями трудовой занятости. Наиболее частыми сопутствующими заболеваниями были артериальная гипертензия (33 %), остеопороз (13 %) и заболевания ЖКТ (12 %) [10].
В британском регистре пациентов с аксСпА (n = 2043) 44 % больных имели как минимум 1 сопутствующее заболевание. Сопутствующие заболевания чаще регистрировались в более старшей возрастной группе пациентов и у пациентов с более низким уровнем образования. Количество курящих пациентов оказалось выше в группе пациентов с сопутствующими заболеваниями (соответственно 63 и 50 %). Пациенты с сопутствующими заболеваниями имели более высокие показатели активности заболевания, но не лабораторных маркеров воспаления. Каждое сопутствующее заболевание увеличивало индекс BASDAI на 0,4 единицы, боль в спине — на 0,53 единицы. Депрессия, сердечная недостаточность и язвенная болезнь были ассоциированы с более высокой активностью заболевания [11].
Наиболее часто выявляемой кардиоваскулярной патологией в нашей группе обследуемых явились АГ (50 %), ИБС (11 %) и нарушения проводимости (22 %). Среди заболеваний ЖКТ чаще наблюдались хронический ассоциированный с Helicobacter pylori гастрит (37 %), ГЭРБ (21 %) и язвенная болезнь желудка и двенадцатиперстной кишки (10 %).
При сравнительной оценке 3 групп заболевания ССС и дислипидемия чаще встречались в группах с ПСО, при этом АГ, ИБС, СД 2 типа, дислипидемия, ожирение достоверно чаще наблюдались у пациентов с ПсСпА.
Многочисленные исследования демонстрируют, что пациенты с ПсА чаще имеют АГ, СД 2 типа, ожирение, дислипидемию и, как следствие, метаболический синдром. Резистентность к инсулину связана с развитием ПсА [5, 8, 21, 22].
В дополнение к тому, что псориаз ассоциирован с нарушением липидного обмена и ожирением, обнаружено, что ингибирование ФНО-α может приводить к индуцированию адипогенеза и способствовать увеличению веса пациентов [12].
При оценке индекса коморбидности CIRS-G по Miller установлено, что большинство пациентов имели поражение от 2 до 4 органов и систем. Среднее значение индекса Charlston составило 1,99 ± 1,77, а средняя доля 10-летней выживаемости — 80,6 ± 24,0 %.
В исследовании С. Ballegaard et al. [13] было установлено, что ожирение, АГ и индекс коморбидности Чарлстона ≥ 1 были прогностическими факторами для низкой эффективности лечения ПсА.
Особое внимание в исследовании было уделено определению уровня СС риска. На данный момент ни в одну из стандартизированных шкал расчета СС риска в оцениваемые параметры не входит наличие такой патологии, как спондилоартриты.
При исследовании индексов СС риска у обследованных пациентов наивысшие значения показателей индексов SCORE, QRISK3 и шкалы Рейнольдса были в группе ПсСпА. Более информативным оказался индекс QRISK3, меньшие значения получили показатели индекса SCORE и шкалы Рейнольдса.
Показатели СС риска у пациентов в когорте младше 40 лет оценивались при помощи единственного возможного для использования индекса QRISK3. Обращает на себя внимание, что 18 % пациентов имели средний или высокий риск возникновения значимых ССС. Показатели QRISK3 были достоверно выше в группе ПсА и ПсСпА по сравнению с АС (соответственно 6,2; 4,6; 0,7; p = 0,002), что свидетельствует о том, что пациенты с ПсА и ПсСпА потенциально имеют более высокие риски ССС по сравнению с пациентами с АС.
Согласно опроснику Charlson, 10-летняя выживаемость была наиболее высокой в группах АС и ПсА (74 %), а самой низкой — у пациентов с ПсСпА (54 %).
В когортном исследовании 463 пациентов с аксСпА оценивались риски развития ССС. В течение 12 (7–19) лет наблюдения 12 (2,6 %) пациентов скончались, из которых ССС стали причиной смерти в 5 случаях (1,1 %). У 61 (13,2 %) развились нефатальные ССС, из которых ИБС 29,5 %, инфаркт микоарда 13,1 %, транзиторные ишемические атаки 4,9 %, инсульт 23 %, сердечная недостаточность 24,6 %. Пациенты с развившимися ССС были старше, имели больше традиционных факторов развития ССС, чаще принимали статины, антигипертензивные препараты и ацетилсалициловую кислоту, имели более высокие значения BASDAI, СОЭ, СРБ. Среди 61 пациентов с развившимися ССС к группе высокого риска, согласно шкалам FRS, SCORE и QRISK3, относились соответственно 8,2; 11,5; 1,8 % пациентов. Нарастание активности заболевания и высокие значения BASDAI (≥ 4 и более) ассоциировались с повышенным риском развития ССС. Связи между применяемым лечением и риском развития ССС обнаружено не было [14].
У 23 из 295 (7,8%) пациентов первое ССС развилось в течение 10 лет наблюдения, что было достоверно ассоциировано с высоким уровнем СРБ и высоким уровнем BASDAI (> 4) [15].
Во французском когортном исследовании пациентов со СпА развитие ССС было ассоциировано с СД 2 типа, АГ, дислипидемией, атеросклерозом, тогда как риск развития ССС был достоверно ниже у пациентов, получавших терапию НПВП и иФНО-α, но не блокаторов интерлейкина 17 (ИЛ-17) [16].
Таким образом, ранее проведенные исследования демонстрируют, что высокий уровень активности заболевания ассоциирован с риском развития ССС, что подчеркивает необходимость своевременной и адекватной терапии спондилоартритов.
В ходе исследования 3 пациента с АС перенесли инфаркт миокарда на фоне лечения иФНО-α. Несмотря на то, что контроль воспаления с помощью иФНО-α может быть полезен для снижения СС риска, ранее проведенное исследование свидетельствует об отсутствии специфического для иФНО-α снижения СС заболеваний у пациентов с аксСпА [17].
Весьма полезным с практической точки зрения является исследование испанских коллег, которые разработали чек-лист для оценки коморбидных состояний у пациентов с аксСпА как для врачей, так и для пациентов. В него включена оценка сопутствующих заболеваний: СС системы, ЖКТ, почек, легких; оценка образа жизни, вакцинальный статус, риск инфекционных заболеваний, аффективных расстройств, остеопороза и риск перелома. Для врачей разработан перечень «практик, которых следует избегать» [18].
В 2022 году опубликованы рекомендации ASAS-EULAR по лечению аксСпА [19], где сформулированы 2 новые и 2 обновленные рекомендации по сравнению с версией 2016 года [20]. Две новые рекомендации учитывают наличие сопутствующих заболеваний. Так при наличии в анамнезе рецидивирующего увеита или ВЗК предпочтительнее использование моноклональных антител к рецепторам ФНО-α, при наличии псориаза — блокаторов инерлейкина 17. При отсутствии ответа на лечение рекомендовано рассмотреть наличие сопутствующих заболеваний.
ЗАКЛЮЧЕНИЕ
Можно полагать, что при обследовании пациентов со СпА целесообразно проведение скрининга на выявление факторов риска и заболеваний CC системы. Выявление рисков и уже имеющихся заболеваний поможет определить дальнейшую тактику ведения и коррекции в зависимости от активности не только основного заболевания, но и коморбидного. Реализация мультидисциплинарного подхода в лечении пациентов с СпА позволит облегчить бремя ревматического заболевания и улучшить прогноз хронических неинфекционных заболеваний, а также качества жизни.
ДОПОЛНИТЕЛЬНАЯ ИНФОРМАЦИЯ
Вклад авторов. Все авторы внесли существенный вклад в подготовку статьи, прочли и одобрили финальную версию перед публикацией.
Вклад каждого автора. Р.Р. Самигуллина — хроматографическое исследование, сбор и обработка материалов, анализ полученных данных, написание текста, обзор литературы, внесение окончательной правки, В.И. Мазуров — концепция и дизайн исследования, написание текста, обзор литературы, внесение окончательной правки, Е.А. Василенко — сбор и обработка материалов, анализ полученных данных, обзор литературы, Е.А. Трофимов — анализ полученных данных, обзор литературы.
Раскрытие потенциального конфликта интересов авторов. Авторы заявляют об отсутствии потенциального конфликта интересов, требующего раскрытия в данной статье.
Заключение этического комитета. Протокол исследования был одобрен локальным этическим комитетом ФГБОУ ВО СЗГМУ им. И.И. Мечникова Минздрава России (№ 12 от 06.12.2022).
Источник финансирования. Авторы заявляют об отсутствии внешнего финансирования при проведении исследования.
Об авторах
Рузана Рамиловна Самигуллина
Северо-Западный государственный медицинский университет им. И.И. Мечникова
Автор, ответственный за переписку.
Email: dr.samigullina@yandex.ru
ORCID iD: 0000-0002-6341-3334
SPIN-код: 6590-4637
Scopus Author ID: 57220224324
ассистент кафедры терапии, ревматологии, экспертизы временной нетрудоспособности и качества медицинской помощи им. Э.Э. Эйхвальда Северо-Западного государственного медицинского университета имени И.И. Мечникова
Россия, Санкт-ПетербургВадим Иванович Мазуров
Северо-Западный государственный медицинский университет им. И.И. Мечникова; Санкт-Петербургский государственный университет
Email: maz.nwgmu@yandex.ru
ORCID iD: 0000-0002-0797-2051
SPIN-код: 6823-5482
академик РАН, заслуженный деятель науки Российской Федерации, д-р мед. наук, профессор
Россия, Санкт-Петербург; Санкт-ПетербургЕлизавета Алексеевна Василенко
Санкт-Петербургский государственный университет
Email: md.vasilenkoea@gmail.com
ORCID iD: 0000-0003-2153-5429
SPIN-код: 8065-5025
канд. мед. наук
Россия, Санкт-ПетербургЕвгений Александрович Трофимов
Северо-Западный государственный медицинский университет им. И.И. Мечникова
Email: Evgeniy.trofimov@szgmu.ru
ORCID iD: 0000-0003-3236-4485
SPIN-код: 4358-1663
д-р мед. наук, доцент
Россия, Санкт-ПетербургСписок литературы
- Мазуров В.И., Василенко Е.А., Трофимов Е.А., и др. Лечение больных анкилозирующим спондилитом — данные реальной клинической практики // РМЖ. 2019. Т. 27, № 12. С. 37–40. EDN: AWVKEX
- Liew J.W., Dubreuil M. Treat to target in axial spondyloarthritis: pros, cons, and future directions // Rheum Dis Clin North Am. 2020. Vol. 46, N. 2. P. 343–356. doi: 10.1016/j.rdc.2020.01.011
- Каратеев А.Е, Насонов Е.Л., Яхно Н.Н., и др. Клинические рекомендации «Рациональное применение нестероидных противовоспалительных препаратов (НПВП) в клинической практике» // Современная ревматология. 2015. № 1. С. 4–23. EDN: TLJUPZ doi: 10.14412/1996-7012-2015-1-4-23 3
- Гaйдукова И.З., Мазуров В.И., Инамова О.В., и др. Спондилоартриты: изменения в терминологии, классификации и диагностических подходах — от В.М. Бехтерева до наших дней // Терапия. 2019. Т. 5, № 8(34). С. 118–130. EDN: DGFNV doi: 10.18565/therapy.2019.8.118-130
- Zhao S.S., Robertson S., Reich T., et al. Prevalence and impact of comorbidities in axial spondyloarthritis: systematic review and meta-analysis // Rheumatology (Oxford). 2020. Vol. 59, N. Suppl 4. P. iv47–iv57. doi: 10.1093/rheumatology/keaa246
- Lanas A., Boers M., Nuevo J. Gastrointestinal events in at-risk patients starting non-steroidal anti- inflammatory drugs (NSAIDs) for rheumatic diseases: the EVIDENCE study of European routine practice // Annals of the Rheumatic Diseases. 2015. Vol. 74, N. 4. Р. 675–681. doi: 10.1136/annrheumdis-2013-204155
- Lanza F.L., Chan F.K., Quigley E.M. Practice parameters committee of the American College of gastroenterology. Guidelines for prevention of NSAID-related ulcer complications // Am J Gastroenterol. 2009. 104, N. 3. Р. 728–738. doi: 10.1038/ajg.2009.115
- Fakih O., Desmarets M., Martin B., et al. Impact of NSAIDs on 8-year cumulative incidence of major cardiovascular events in patients with ankylosing spondylitis: a nationwide study // Rheumatology (Oxford). 2023. Vol. 62, N. 10. P. 3317–3322. doi: 10.1093/rheumatology/kead072
- Ребров А.П., Гайдукова И.З., Поддубный Д.А. Кардиоваскулярная патология у больных анкилозирующим спондилитом // Научно-практическая ревматология. 2012. Т. 51, № 2. С. 100–105. doi: 10.14412/1995-4484-2012-1281
- Nikiphorou E., Ramiro S., van der Heijde D., et al. Association of comorbidities in spondyloarthritis with poor function, work disability, and quality of life: results from the assessment of spondyloarthritis international society comorbidities in spondyloarthritis study // Arthritis Care Res (Hoboken). 2018. Vol. 70, N. 8. P. 1257–1262. doi: 10.1002/acr.23468
- Zhao S.S., Jones G.T., Macfarlane G.J., et al. Association between comorbidities and disease activity in axial spondyloarthritis: results from the BSRBR-AS // Rheumatology (Oxford). 2021. Vol. 60, N. 7. P. 3189–3198. doi: 10.1093/rheumatology/keaa768
- Mazhar F., Battini V., Pozzi M., et al. Changes in anthropometric parameters after anti-TNFα therapy in inflammatory bowel disease: a systematic review and meta-analysis // Bio Drugs. 2020. Vol. 34, N. 5. P. 649–668. doi: 10.1007/s40259-020-00444-9
- Ballegaard C., Skougaard M., Guldberg-Møller J., et al. Comorbidities, pain and fatigue in psoriatic arthritis, psoriasis and healthy controls: a clinical cohort study // Rheumatology (Oxford). 2021. Vol. 60, N. 7. P. 3289–3300. doi: 10.1093/rheumatology/keaa780
- Shi L.H., Lam S.H., So H., et al. High inflammatory burden predicts cardiovascular events in patients with axial spondyloarthritis: a long-term follow-up study // Ther Adv Musculoskelet Dis. 2022. Vol. 14. P. 1759720X221122401. doi: 10.1177/1759720X221122401
- Navarini L., Currado D., Marino A., et al. Persistence of C-reactive protein increased levels and high disease activity are predictors of cardiovascular disease in patients with axial spondyloarthritis // Sci Rep. 2022. Vol. 12, N. 1. P. 7498. doi: 10.1038/s41598-022-11640-8
- Fakih O., Desmarets M., Martin B., et al. Impact of NSAIDs on 8-year cumulative incidence of major cardiovascular events in patients with ankylosing spondylitis: a nationwide study // Rheumatology (Oxford). 2023. Vol. 62, N. 10. P. 3317–3322. doi: 10.1093/rheumatology/kead072
- Kwon O.C., Park M.C. Effect of tumor necrosis factor inhibitors on risk of cardiovascular disease in patients with axial spondyloarthritis // Arthritis Res Ther. 2022. Vol. 24, N. 1. P. 141. doi: 10.1186/s13075-022-02836-4
- González C., Curbelo Rodríguez R., Torre-Alonso J.C., et al. Recommendations for the management of comorbidity in patients with axial spondyloarthritis in clinical practice // Reumatol Clin (Engl Ed). 2018. Vol. 14, N. 6. P. 346–359. doi: 10.1016/j.reuma.2017.03.011
- Ramiro S., Nikiphorou E., Sepriano A., et al. ASAS-EULAR recommendations for the management of axial spondyloarthritis: 2022 update // Ann Rheum Dis. 2023. Vol. 82, N. 1. P. 19–34. doi: 10.1136/ard-2022-223296
- Van der Heijde D., Ramiro S., Landewé R., et al. 2016 Update of the ASAS-EULAR Management recommendations for axial spondyloarthritis // Ann Rheum Dis. 2017. Vol. 76, N. 6. P. 978–991. doi: 10.1136/annrheumdis-2016-210770
- Verhoeven F., Prati C., Demougeot C., Wendling D. Cardiovascular risk in psoriatic arthritis, a narrative review // Joint Bone Spine. 2020. Vol. 87, N. 5. P. 413–418. doi: 10.1016/j.jbspin.2019.12.004
- Atzeni F., Gerratana E., Masala I.F., et al. Psoriatic arthritis and metabolic syndrome: is there a role for disease modifying anti-rheumatic drugs? // Front Med (Lausanne). 2021. Vol. 8. P. 735150. doi: 10.3389/fmed.2021.735150
Дополнительные файлы





