Пути улучшения отдаленных результатов лечения больных с фибрилляцией предсердий неклапанной этиологии, перенесших эмболию магистральных артерий конечностей
- Авторы: Сотников А.В.1, Мельников М.В.1, Пышный М.В.1, Семенюта В.В.2
-
Учреждения:
- Северо-Западный государственный медицинский университет им. И.И. Мечникова
- Республиканский клинико-диагностический центр Министерства здравоохранения Удмуртской Республики
- Выпуск: Том 3, № 4 (2023)
- Страницы: 21-31
- Раздел: Оригинальные исследования
- URL: https://journals.eco-vector.com/cardar/article/view/625527
- DOI: https://doi.org/10.17816/cardar625527
- ID: 625527
Цитировать
Аннотация
Актуальность. У больных с фибрилляцией предсердий системные тромбоэмболические осложнения существенно ухудшают отдаленный прогноз. Общепринятой системы, определяющей дальнейшую тактику лечения больных с фибрилляцией предсердий неклапанной этиологии, перенесших эмбологенную артериальную непроходимость, в настоящее время нет.
Цель — оценить эффективность проводимого лечения пациентов с фибрилляцией предсердий неклапанной этиологии, перенесших эмболию магистральных артерий конечностей.
Материалы и методы. За период с 1991 по 2022 год в отделении сердечно-сосудистой хирургии № 1 (ангиохирургия) СЗГМУ им. И.И. Мечникова оказана экстренная помощь 1816 больным с эмболиями магистральных артерий конечностей. У 1425 больных (78,5 %) основным эмбологенным заболеванием была фибрилляция предсердий неклапанной этиологии. В отдаленном периоде после выписки из отделения удалось проследить судьбу 216 пациентов и установить причину смерти у 106 пациентов. Основными причинами смерти в отдаленные сроки стали декомпенсация хронических заболеваний сердечно-сосудистой системы у 73,6 % больных и рецидивы системных тромбоэмболических осложнений у 21,7%. С 2012 года в клинике внедрен комплекс мер, направленных на компенсацию хронической сердечно-сосудистой патологии и предупреждение рецидивов системных тромбоэмболических осложнений. Весь комплекс мер проводился в текущую госпитализацию после устранения угрожающих жизни осложнений, связанных с острой ишемией конечности, и стабилизации общего состояния пациентов. Они составили основную группу (n = 50). Контрольную группу (n = 166) составили пациенты с эмбологенной артериальной непроходимостью, выписанные до 2012 г. Лечение кардиальной патологии после перенесенной эмбологенной артериальной непроходимости они получали амбулаторно в поликлинике по месту жительства. Проведен сравнительный анализ показателей общей выживаемости. Оценка функции выживаемости проводилась по методу Каплана – Мейера.
Результаты. В контрольной группе отдаленная выживаемость была низкой, медиана средней продолжительности жизни составила 24 мес. после выписки. В основной группе отдаленная выживаемость значительно улучшилась, медиана средней продолжительности жизни увеличилась и за период наблюдения достигнута не была. Различия общей выживаемости, оцененные с помощью теста отношения правдоподобия, были статистически значимы (р = 0,001). При оценке групп сравнения риск наступления летального исхода в основной группе был ниже в 2,2 раза по сравнению с контрольной группой на каждый месяц наблюдения (р = 0,003).
Заключение. Внедренный в отделении сердечно-сосудистой хирургии № 1 (ангиохирургии) СЗГМУ им. И.И. Мечникова за последнее десятилетие комплекс мер по лечению пациентов с фибрилляцией предсердий неклапанной этиологии, госпитализированных с эмбологенной артериальной непроходимостью, показал свою эффективность и достоверно (р = 0,003) улучшил выживаемость пациентов с отдаленные сроки после выписки из нашего стационара.
Полный текст
Фибрилляция предсердий (ФП) неклапанной этиологии представляет собой широко распространенное состояние среди лиц пожилого и старческого возраста в Российской Федерации [1]. При этом развитие системных тромбоэмболических осложнений (СТЭО) существенно ухудшает как ближайший, так и отдаленный прогноз для пациента с ФП. Эмболии магистральных артерий конечностей по частоте занимают 2-е место после кардиоэмболических инсультов в структуре СТЭО [2]. Выживаемость пациентов после перенесенной эмбологенной артериальной непроходимости крайне низка [3]. Основные причины высокой летальности в отдаленные сроки изучены недостаточно. Общепринятая система, определяющая дальнейшую тактику лечения больных с ФП неклапанной этиологии, перенесших эмбологенную артериальную непроходимость (ЭАН), в настоящее время отсутствует.
Цель — оценить эффективность комплекса мер лечения пациентов с ФП неклапанной этиологии, перенесших эмбологенную артериальную непроходимость.
МАТЕРИАЛЫ И МЕТОДЫ
В период с 1991 по 2022 год в отделении сердечно-сосудистой хирургии № 1 Клиники Петра Великого Северо-Западного государственного медицинского университета им. И.И. Мечникова проходило лечение 1816 пациентов с эмбологенной артериальной непроходимостью, у 1425 (78,5 %) из них острая ишемия конечности развилась на фоне ФП предсердий неклапанной этиологии. Сбор, накопление и компьютерную обработку клинического материала производили при помощи оригинальной программы «Научный архив врача — DSM», разработанной в СЗГМУ им. И.И. Мечникова и зарегистрированной в «Реестре программ для ЭВМ» Федеральной службы по интеллектуальной собственности, патентам и товарным знакам (Свидетельство об официальной регистрации программы для ЭВМ № 2004611296 от 26 мая 2004 года).
Клиническая характеристика пациентов отражена в таблице 1.
Таблица 1. Клиническая характеристика больных с фибрилляцией предсердий неклапанной этиологии, госпитализированных в отделении сердечно-сосудистой хирургии №1 (ангиохирургии) СЗГМУ им. И. И. Мечникова с эмбологенной артериальной непроходимостью
Table 1. Clinical characteristics of patients with AF of non-valvular etiology hospitalized at our clinic with acute limb ischemia due to embolism
Показатели | Категории | Кол-во наблюдений (n = 1425) | Доля, % | 95 % доверительный интервал |
Пол | Женщины | 968 | 67,9 | 65,4–70,3 |
Мужчины | 457 | 32,1 | 29,7–34,6 | |
Возраст, лет | 30–39 | 3 | 0,2 | 0,0–0,6 |
40-49 лет | 36 | 2,5 | 1,8–3,5 | |
50-59 лет | 128 | 9,0 | 7,5–10,6 | |
60-69 лет | 314 | 22,0 | 19,9–24,3 | |
70-79 лет | 518 | 36,4 | 33,8–38,9 | |
старше 80 лет | 426 | 29,9 | 27,5–32,3 | |
Степень острой ишемии конечности (по И.И. Затевахину [4]) | I | 470 | 33,0 | 30,5–35,5 |
IIа | 480 | 33,7 | 31,2–36,2 | |
IIб | 277 | 19,4 | 17,4–21,6 | |
IIв | 99 | 6,9 | 5,7–8,4 | |
IIIа | 9 | 0,6 | 0,3–1,2 | |
IIIб | 90 | 6,3 | 5,1–7,7 | |
Сроки ишемии конечности до госпитализации | До 6 ч | 447 | 31,4 | 29,0–33,8 |
6–12 ч | 563 | 39,5 | 37,0–42,1 | |
12–24 ч | 150 | 10,5 | 9,0–12,2 | |
24–48 ч | 73 | 5,1 | 4,0–6,4 | |
Свыше 48 ч | 192 | 13,5 | 11,7–15,4 | |
Фибрилляция предсердий | Пароксизмальная или персистирующая форма | 470 | 33,0 | 30,5–35,5 |
Постоянная форма | 939 | 65,9 | 63,4–68,4 | |
Постоянная форма, ПЭКС | 16 | 1,1 | 0,6–1,6 | |
Ишемическая болезнь сердца | Хроническая ИБС без упоминания об инфаркте миокарда в анамнезе | 669 | 46,9 | 44,8–49,1 |
Постинфарктный кардиосклероз | 205 | 14,4 | 12,6–16,3 | |
Острый период инфаркта миокарда | 43 | 3,0 | 2,2–4,0 | |
Показатели | Категории | Кол-во наблюдений (n = 1425) | Доля, % | 95 % доверительный интервал |
Артериальная гипертензия | I степень | 77 | 5,4 | 4,3–6,7 |
II степень | 1223 | 85,8 | 83,9–87,6 | |
III степень | 125 | 8,8 | 7,4–10,4 | |
Недостаточность кровообращения | Не выражена | 59 | 4,1 | 3,2–5,3 |
2 стадия | 1291 | 90,6 | 89,0–92,1 | |
3 стадия | 75 | 5,3 | 4,2–6,6 | |
Сопутствующее заболевание | Атеросклероз периферических артерий | 256 | 18,0 | 16,0–20,1 |
Сахарный диабет | 283 | 19,9 | 17,8–22,0 | |
Хронические неспецифические заболевания легких | 229 | 16,1 | 14,2–18,1 | |
Хронические болезни почек и/или печени | 63 | 4,4 | 3,4–5,6 | |
Прочие | 23 | 1,6 | 1,0–2,4 | |
Острые нарушения артериального кровоснабжения в анамнезе | Острое нарушение мозгового кровообращения | 179 | 12,6 | 10,9–14,4 |
Эмбологенная артериальная непроходимость | 126 | 8,8 | 7,5–10,4 |
Примечание: ИБС — ишемическая болезнь сердца; ПЭКС — постоянный электрокардиостимулятор; ФП — фибрилляция предсердий.
Note: IHD — ischemic heart disease; PPM — permanent pacemaker; AF — atrial fibrillation.
Среди госпитализированных с ЭАН на фоне ФП преобладали женщины (67,9 %), а 88,3 % пациентов были пожилого и старческого возраста. Все пациенты поступили в экстренном порядке с клинической картиной острой ишемии конечности (ОИК). Градация степени ишемии проводилась по классификации И.И. Затевахина и соавт. (2002). Выраженность проявлений ОИК при поступлении в клинику была различной. С не угрожающей ишемией конечности (I степени) госпитализированы 470 (33,0 %) пациентов. Клинические проявления ОИК ограничивались болью и парестезиями в ишемизированной конечности. С проявлениями угрожающей острой ишемии конечности (IIA–IIВ степени) госпитализированы большинство — 856 (60,1 %) пациентов. В клинической картине помимо боли преобладали сенсорные и двигательные нарушения в ишемизированной конечности в виде пареза или паралича. Наиболее тяжелое состояние было у 99 (6,9 %) пациентов, поступивших с необратимой острой ишемией (IIIа и IIIб) в виде дистальной или тотальной контрактуры конечности. У 588 (41,3 %) пациентов была острая ишемия верхней конечности, у 803 (56,3%) пострадали нижние конечности, из них при эмболии бифуркации аорты у 27 (1,9 %) пациентов острая ишемия затрагивала обе нижние конечности. Множественная эмболия с одномоментным поражением 2 или 3 артериальных бассейнов конечностей диагностирована у 34 (2,4%) больных.
У всех больных, включенных в настоящее исследование, ведущей причиной в развитии эмбологенной артериальной непроходимости была ФП. Пароксизмальная или персистирующая форма ФП была выявлена у 470 (33,0 %) пациентов, а постоянная форма ФП — у 939 (65,9 %), при этом 16 из них был ранее имплантирован постоянный электрокардиостимулятор.
Фоновая кардиальная патология, ассоциированная с развитием ФП, у большинства пациентов была в виде гипертонической болезни, ишемической болезни сердца (ИБС) и атеросклеротического кардиосклероза. Артериальная гипертензия I степени выявлена только у 77 (5,4 %) больных, у большинства — 1223 (85,8 %) пациентов — II степени. Тяжесть артериальной гипертензии коррелировала с тяжестью хронической сердечной недостаточности (ХСН). У большинства пациентов (1291 наблюдений (90,6 %)) клинические проявления соответствовали IIа–IIб стадии хронической сердечной недостаточности (ХСН). Другие предрасполагающие факторы развития ФП включали ИБС в виде стабильной стенокардии напряжения без упоминания об остром инфаркте миокарда (ОИМ) в анамнезе у 669 (46,9 %) больных, постинфарктного кардиосклероза у 205 (14,4 %) больных или острого периода инфаркта миокарда у 43 (3,0 %) больных. Немалое значение в развитии ФП у ряда больных сыграла сопутствующая некардиальная патология — сахарный диабет у 283 (19,9 %) и хронические неспецифические заболевания легких у 229 (16,1 %) госпитализированных. ОИК возникла на фоне существующей хронической артериальной недостаточности 2 стадии, обусловленной периферическим атеросклерозом, у 256 (18,0 %) больных.
Интегральной характеристикой изучаемой группы пациентов была оценка их по шкале CHA2DS2-Vasc [5]. Более 97 % больных имели высокий и крайне высокий риск развития СТЭО (табл. 2).
Таблица 2. Значения баллов по шкале CHA2DS2-Vasc у госпитализированных в отделение сердечно-сосудистой хирургии № 1 (ангиохирургии) СЗГМУ им. И. И. Мечникова пациентов с эмбологенной артериальной непроходимостью
Table 2. Values of CHA2DS2-Vasc scores in patients hospitalized at our clinic with acute limb ischemia due to embolism
Значение по шкале CHA2DS2-Vasc | Кол-во наблюдений (n = 1425) | Доля, % | 95 % доверительный интервал |
2 балла | 5 | 0,4 | 0,1–0,8 |
3 балла | 31 | 2,2 | 1,5–3,1 |
4 балла | 151 | 10,6 | 9,0–12,3 |
5 баллов | 290 | 20,4 | 18,3–22,5 |
6 баллов | 385 | 27,0 | 24,7–29,4 |
7 баллов | 380 | 26,7 | 24,4–29,0 |
8 баллов | 158 | 11,1 | 9,5–12,8 |
9 баллов | 25 | 1,8 | 1,1–2,6 |
Примечание: CHA2DS2-Vasc — шкала оценки риска системных тромбоэмболических осложнений у больных с фибрилляцией предсердий [5].
Note: CHA2DS2-Vasc is a scale for assessing the risk of systemic thromboembolic complications in patients with atrial fibrillation [5].
Приверженность госпитализированных за последние 10 лет в отделение сердечно-сосудистой хирургии № 1 (ангиохирургии) СЗГМУ им. И. И. Мечникова пациентов назначенной на догоспитальном этапе пероральной антикоагулятной терапии составила около 12 %. В более ранних наблюдениях системная антитромботическая терапия у поступивших с ЭАН пациентов ограничивалась приемом ацетилсалициловой кислоты.
Врачебная тактика по отношению к ОИК в отделении сердечно-сосудистой хирургии № 1 (ангиохирургии) СЗГМУ им. И.И. Мечникова в подавляющем большинстве случаев включала открытое хирургическое лечение, направленное на восстановление артериального кровоснабжения конечности. В экстренном порядке оперирован 1241 (87,1 %) пациент, в сроки до 24 ч от момента поступления — еще 74 (5,2 %). Оперативная активность составила 92,3 %. У 1239 (86,9 %) выполнена реваскуляризация конечности в виде прямой или непрямой эмболэктомии баллонным катетером. У 76 (5,8 %) больных вследствие необратимой ишемии проведена первичная ампутация конечности в пределах хорошо кровоснабжаемых тканей.
Результатом реваскуляризирующего вмешательства стало восстановление магистрального артериального кровоснабжения у 892 (65,5 %) больных, полный регресс острой ишемии конечности и восстановление периферического пульса. У 333 (25,3 %) пациентов в результате операции артериальное кровоснабжение конечности было компенсировано без восстановления пульсации артерий в дистальном отделе конечности. Только у 14 (1,0 %) больных после вмешательства требуемая перфузия конечности не была восстановлена. У 73 (5,1 %) с не угрожающей ОИК (I степени) компенсация артериального кровоснабжения была достигнута при консервативном лечении. Госпитальная летальность составила 12,2 %, умерли 174 пациента. Основными причинами госпитальной смерти стали исходное терминальное состояние у 37 (2,6 %) и осложнения послеоперационного периода в виде ишемической интоксикации, декомпенсации исходной кардиальной и другой сопутствующей патологии, рецидивов СТЭО — у 137 (9,6%) больных. Выписать с сохраненной конечностью удалось 1183 (83 %) больных.
Для анализа отдаленных результатов лечения были доступны 216 пациентов. Срок наблюдения составил от 1 года до 12 лет. Причины смерти в отдаленные сроки наблюдения удалось установить у 106 пациентов, среди них декомпенсация хронической сердечной недостаточности у 52 (49,1 %), острый инфаркт миокарда у 26 (24,5 %), повторные СТЭО у 23 (21,7 %), прочие причины у 5 (4,7 %) (рис. 1). Обобщая причины высокой отдаленной летальности больных, выписанных из отделения сердечно-сосудистой хирургии № 1 (ангиохирургии) СЗГМУ им. И.И. Мечникова после лечения по поводу эмбологенной артериальной непроходимости, можно констатировать, что ведущими звеньями танатогенеза в отдаленные сроки стали декомпенсация хронических заболеваний сердечно-сосудистой системы у 73,6 % пациентов и рецидивы системных тромбоэмболических событий у 21,7 % больных.
Рис. 1. Основные причины смерти пациентов с ФП в отдаленные сроки, выписанных из отделения сердечно-сосудистой хирургии № 1 (ангиохирургии) СЗГМУ им. И. И. Мечникова после лечения по поводу эмбологенной артериальной непроходимости. ОИМ — острый инфаркт миокарда; СТЭО — системные тромбоэмболические осложнения; ФП — фибрилляция предсердий; ХСН — хроническая сердечная недостаточность
Fig. 1. The main causes of death of patients with AF in the long term follow-up discharged from our clinic after treatment for acute limb ischemia due to embolism. AMI — acute myocardial infarction; STEC — systemic thromboembolic events; AF — atrial fibrillation; CHF — chronic heart failure
Статистический анализ проводился с использованием программы StatTech v. 4.0.4 (ООО «Статтех», Россия).
До 2012 года в отделении сердечно-сосудистой хирургии № 1 (ангиохирургии) СЗГМУ им. И. И. Мечникова после устранения угрожающих жизни осложнений, связанных с острой ишемией конечности, и стабилизации общего состояния пациенты на 5–7-е сутки в подавляющем большинстве наблюдений выписывались на амбулаторное лечение под наблюдение терапевта по месту жительства. Доступные для контакта в отдаленные сроки после выписки пациенты (n = 166) составили контрольную группу (КГ) наблюдения.
Включение в штат отделения в 2012 году должности терапевта-кардиолога позволило реализовать основную часть реабилитации — кардиологическую. С 2012 года у пациентов основной группы (ОГ) кардиолог отделения сердечно-сосудистой хирургии № 1 (ангиохирургии) стал непосредственно осуществлять подбор и назначение антикоагулянтной, гипотензивной и кардиотропной терапии согласно действующим клиническим рекомендациям, координировать лечение сопутствующей некардиальной патологии, решать вопрос о дальнейшей стратегии лечения ФП («ритм-контроль» или «контроль частоты») и определять показания для консультации аритмолога, верифицировать ишемию миокарда и определять показания для выполнения коронарографии, необходимость и сроки реваскуляризации миокарда, устанавливать значимость структурной патологии сердца и определять показания для консультации кардиохирурга, определять показания для альтернативных способов профилактики СТЭО в виде имплантации окклюдера ушка ЛП. Доступные для контакта в отдаленные сроки после выписки из отделения сердечно-сосудистой хирургии № 1 (ангиохирургии) СЗГМУ им. И.И. Мечникова больные, выписанные после 2012 года, были включены в ОГ (n = 50).
Дизайн исследования в ОГ носил поперечный обсервационный характер. В КГ проведен ретроспективный анализ.
РЕЗУЛЬТАТЫ
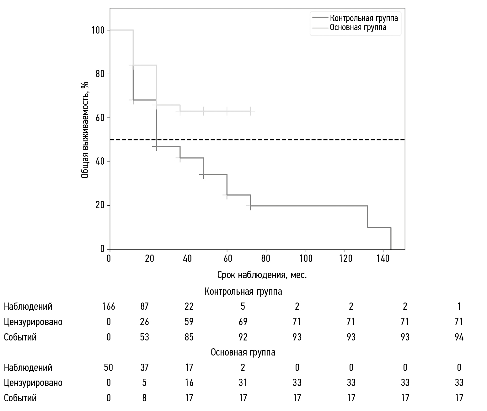
Проведен анализ общей выживаемости у исследуемых в зависимости от групп сравнения. Оценка функции выживаемости пациентов проводилась по методу Каплана — Мейера (рис. 2).
Рис. 2. Кривая общей выживаемости в зависимости от групп сравнения
Fig. 2. The overall survival curve depending on the comparison groups
Анализ показал, что 75-й процентиль продолжительности жизни в КГ составил 12 [12–12] мес. от начала наблюдения, медиана — 24 [24–48] мес., а 25-й процентиль — 60 [48–144] мес. В ОГ 75-й процентиль продолжительности жизни составил 24 [12 — ∞] мес., а медиана и 25-й процентиль за весь срок наблюдения не были достигнуты (см. рис. 2). Различия общей выживаемости, оцененные с помощью теста отношения правдоподобия, были статистически значимы (p = 0,001).
Для определения ключевых факторов, оказавших влияние на риск летального исхода, проведен многофакторный регрессионный анализ пропорциональных рисков Кокса. В результате многофакторного пошагового отбора только фактор отношения к группе оказался статистически значимо связанным с наступлением события. Итоговая модель пропорциональных рисков имела следующий вид:
hi(t) = hо(t) × exp(–0,801 × X Гр. срав. : ОГ)
где hi(t) — прогнозируемый риск умершего для i-го элемента наблюдения (в %); hо(t) — базовый риск умершего за определенный временной период t (в %); XГр. срав. : ОГ — XГруппы сравнения : Основная группа (таблица 3, рис. 3).
Таблица 3. Значения базового риска смерти для разных временных периодов для общей выборки пациентов
Table 3. Values of the basic risk of death for different periods for the general sample of the patients
Временные периоды, мес. | Значения базового риска hо(t), % |
12 | 32,37 |
24 | 66,15 |
36 | 76,907 |
48 | 90,406 |
60 | 110,965 |
72 | 127,921 |
132 | 177,921 |
144 | 277,921 |
Рис. 3. Кривая базового риска смерти на весь период наблюдения для общей выборки пациентов
Fig. 3. The curve of the basic risk for the entire follow-up period for the general sample of the patients
Относительный риск для ОГ составил 0,449 [0, 267–0, 755], р = 0,003. Соответственно, риск наступления летального исхода в ОГ был в 2,227 раза ниже, чем в КГ, на каждый месяц наблюдения. Это эквивалентно снижению риска летального исхода в 26,7 раз на каждый год с начала лечения.
ОБСУЖДЕНИЕ
Полученные в настоящем исследовании результаты показали преимущества разработки схемы дальнейшего консервативного лечения больных с ФП, перенесших ЭАН, в текущую госпитализацию по сравнению с реабилитацией, проводившейся на поликлиническом этапе.
Исследование носило поперечный обсервационный характер, поэтому полного охвата выписанных пациентов не ожидалось. Изучаемые пациенты в большинстве были старческого возраста и низкого социального статуса, поэтому даже к концу 1-го года контакт с большей частью из них был затруднен. Представлены данные наиболее комплаентных пациентов, но даже на основании этих результатов можно констатировать, что достоверно увеличилась выживаемость больных в отдаленные сроки наблюдения. Непосредственные причины смерти больных в отдаленном периоде в подавляющем большинстве устанавливались со слов родственников, поскольку большинство пациентов умерли дома или в различных стационарах города. Более чем две трети смертей были следствием декомпенсации хронических заболеваний сердечно-сосудистой системы, а у четверти пациентов внезапная грубая неврологическая симптоматика свидетельствовала о рецидиве СТЭО (см. рис. 1).
Опыт отделения сердечно-сосудистой хирургии № 1 (ангиохирургии) СЗГМУ им. И.И. Мечникова свидетельствует о крайне низкой приверженности госпитализированных с ЭАН пациентов пожизненной пероральной антикоагулянтной терапии, которая должна была проводиться в амбулаторных условиях. Среди поступивших к нам с ЭАН общая приверженность этому виду лечения составила всего лишь около 12 %. Более того, последнее десятилетие эта тенденция не меняется к лучшему. Нередко отсутствие антикоагулянтной терапии было связано с недостаточной информированностью пациента о рисках, связанных с ФП, либо аритмия была впервые выявлена уже на госпитальном этапе. Отсутствие постоянной антикоагуляции могло стать одним из основных факторов развития ЭАН. Низкая приверженность терапии пероральными антикоагулянтами среди пациентов с ФП, госпитализированных в стационары по поводу СТЭО, неоднократно была отмечена среди поступивших как с эмболиями магистральных артерий [6], так и с острым нарушением мозгового кровообращения (ОНМК). Так, среди пациентов с ФП, госпитализированных по поводу ОНМК в 2014–2015 годах, постоянно принимали антикоагулянты регулярно и в адекватной дозе от 6,9 до 17,5 % [7].
Нормализация этого вида лечения критически важна для наших пациентов, учитывая профиль в баллах по шкале CHA2DS2-Vasc (см. табл. 2). Подбор и назначение перорального антикоагулянта для пожизненного приема должен быть выполнен в текущую госпитализацию, непосредственно после реваскуляризации конечности и стабилизации состояния еще на этапе стационарного лечения. Основными пероральными препаратами у пациентов с ФП в настоящее время являются непрямые антикоагулянты (варфарин) и препараты группы новых оральных антикоагулянтов (НОАК). Согласно современным клиническим рекомендациям, антикоагулянты НОАК представляют собой препараты выбора у пациентов с ФП неклапанной этиологии для профилактики СТЭО, однако назначение варфарина тоже может рассматриваться [8]. В отделении сердечно-сосудистой хирургии № 1 (ангиохирургии) СЗГМУ им. И.И. Мечникова пациентам ОГ в ранние периоды (2011–2016 годы) НОАК назначали в каждом третьем случае, в остальных подбирали дозу варфарина по международному нормализованному отношению (МНО). Последние годы НОАК назначают большинству больных, а назначение непрямых антикоагулянтов стало исключением.
Приверженность пациентов терапии антикоагулянтами в отдаленные сроки после перенесенной ЭАН и выписки из отделения сердечно-сосудистой хирургии № 1 (ангиохирургии) СЗГМУ им. И.И. Мечникова стала значительно выше, чем до госпитализации, чему способствовало регулярное динамическое диспансерное наблюдение больных ангиохирургом и кардиологом в рамках настоящего исследования. За период наблюдения в ОГ средняя приверженность этому назначенному при выписке виду лечения среди пациентов, доступных контакту, составила 52,0 % (26 пациентов). Основными группами принимаемых препаратов стали НОАК. Рецидивов госпитализаций с ЭАН в отделение сердечно-сосудистой хирургии № 1 (ангиохирургии) СЗГМУ им. И.И. Мечникова у больных ОГ за последние 10 лет не было. Среди вновь поступивших снижения частоты рецидивов ЭАН при госпитализации нами не отмечено (26 пациентов ОГ (8,8 %) против 100 больных КГ (8,8 %)).
Несмотря на удобства применения препаратов НОАК, варфарин может иметь преимущества в терапии ряда пациентов после перенесенной ЭАН. Основным из них является в первую очередь низкая стоимость (на порядки меньше, чем препараты НОАК), что позволяет пациентам старческого возраста даже с низким достатком обеспечить себя этим препаратом в случае трудностей с бесплатным обеспечением НОАК. Второе преимущество — постоянная доступность варфарина в аптеках различных регионов России, поскольку он производится в нашей стране. И наконец, при всей безопасности использования НОАК еще одним, на наш взгляд, недостатком можно считать отсутствие доступного метода контроля за регулярностью их приема. При детальном расспросе больных, принимавших НОАК, были неоднократно выявлены факты погрешностей в регулярности приема, что, в свою очередь, могло сказаться на итоговой эффективности. За все годы наблюдений мы встретили только 1 больного, у которого ЭАН возникла при приеме варфарина на фоне целевых значений МНО. Таким образом, выбор антикоагулянтного препарата для пожизненного приема у больных с ФП, перенесших ЭАН, требует дифференцированного подхода.
Следующим обязательным звеном лечения пациентов с ФП, перенесших ЭАН, является нормализация уровня артериального давления. Этот компонент терапии также должен быть определен и реализован в текущую госпитализацию сразу после стабилизации состояния пациента. Данные нашего исследования свидетельствуют, что гипертонической болезнью (ГБ) страдали все госпитализированные пациенты, причем начальными формами в виде артериальной гипертензии (АГ) I степени только 5,4 % больных. У остальных верифицирована АГ II и III степени. Широкая распространенность ГБ среди пациентов с ФП неклапанной этиологии в РФ подтверждается данными литературы [1]. Это подчеркивает ведущую роль хронической АГ в развитии ФП. Неконтролируемая АГ у больных с ФП приводит к увеличению частоты развития ХСН, увеличению риска СТЭО и повышает риск кровотечений на фоне пожизненного приема пероральных антикоагулянтов [9]. Поэтому подбор эффективной антигипертензивной терапии на этапе стационарной реабилитации после перенесенной ЭАН, помимо подбора пероральных антикоагулянтов, также критически важен. Неоднократные исследования подтвердили улучшение отдаленной выживаемости пациентов с ФП на фоне достижения артериальной нормотензии [10, 11].
Немаловажным являлся также подбор кардиотропной терапии для компенсации проявлений ХСН согласно действующим клиническим рекомендациям. Оптимизация этого вида лечения в текущую госпитализацию, как показали результаты в ОГ, имела преимущества по сравнению с отсроченным назначением. Актуальность этого вида лечения для пациентов была обусловлена большой распространенностью ХСН высоких функциональных классов среди госпитализированных. У 90,6 % больных проявления хронической недостаточности кровообращения были на уровне IIа–IIб стадии, а у 5,3 % — III стадии. Помимо значительного ограничения физической активности и снижения качества жизни, декомпенсация ХСН стала ведущей причиной смерти в отдаленные сроки после выписки почти у половины больных. Согласно действующим клиническим рекомендациям, состав препаратов для оптимальной медикаментозной терапии ХСН должен включать препараты групп ингибиторов ангиотензин-превращающего фермента, бета-блокаторов, антагонистов минералокортикоидных рецепторов, дапаглифлозин [12]. Эффективная медикаментозная терапия улучшает показатели отдаленной выживаемости у больных с ФП (исследования CHARM 2006, ANTIPAF 2012, GISSI-AF 2009, EMPHASIS-HF 2012). Также она направлена на нормализацию коронарного кровообращения при хронических формах ИБС. Пациентов с хронической ИБС без упоминания об инфаркте миокарда в анамнезе в изучаемой группе было 46,9 %, а с постинфарктным кардиосклерозом — еще 14,4 %.
Помимо оптимизации антикоагулянтной и кардиотропной терапии, больные с ФП, перенесшие ЭАН, в текущую госпитализацию нуждались в компенсации сопутствующей патологии, в первую очередь сахарного диабета (СД). Неслучайно в рекомендованный состав оптимальной медикаментозной терапии для лечения пациентов с ХСН входит сахароснижающий препарат дапаглифлозин даже при отсутствии СД, класс рекомендаций I, уровень доказательности А [12]. Следует напомнить, что распространенность СД среди госпитализированных составила 19,9 %. Увеличение риска тромботических осложнений при СД связано с повышением уровня факторов свертывания крови и угнетением фибринолиза, которое наблюдается при хронической гипергликемии [13]. Строгий контроль уровня глюкозы и достижение стойкой нормогликемии способны снизить риск СТЭО у больных с ФП [14].
При рассмотрении стратегии лечения ФП («контроль ритма» или «контроль частоты») после перенесенной ЭАН подавляющее большинство пациентов нуждалось в стратегии «контроль частоты», т. е. достижении нормосистолии без попыток восстановления синусового водителя ритма. Это обусловлено тем, что, с одной стороны, большая часть больных была старческого возраста (66,3 % — старше 70 лет), с другой стороны, у 67,0 % ФП имела постоянную форму. Целесообразность выбора стратегии «контроль ритма» при таком сочетании вызывала сомнения. В ряде случаев пароксизмальной ФП и высокой ожидаемой продолжительности жизни была выбрана тактика «контроль ритма», однако эти наблюдения были единичны, поэтому выводы об отдаленной эффективности требуют накопления материала.
Перспективным направлением, которое может внести положительный вклад в улучшение отдаленной выживаемости пациентов с ФП, перенесших ЭАН, у пациентов ОГ выглядит эндоваскулярная имплантация окклюдера ушка ЛП. Эта процедура не уступает по эффективности варфарину в плане предупреждения СТЭО у пациентов с противопоказаниями к назначению пероральных антикоагулянтов, как было показано в исследовании PROTECT AF [15]. В отделении сердечно-сосудистой хирургии № 1 (ангиохирургии) СЗГМУ им. И.И. Мечникова эндоваскулярная имплантация окклюдеров ушка ЛП выполняется с 2019 года. Отдаленные результаты этого вида лечения у больных, перенесших эмбологенную артериальную непроходимость, в настоящее время изучаются.
Оптимизация консервативного лечения в текущую госпитализацию у больных с ФП, перенесших ЭАН, позволила улучшить отдаленную выживаемость. Ведущую роль, на наш взгляд, сыграла нормализация антикоагулянтной терапии. Однако клиническую роль остальных звеньев переоценить невозможно. Относительно небольшое количество доступных наблюдению пациентов в отдаленные сроки не позволило выделить среди этих звеньев наиболее важные, поэтому планируется продолжить исследования в данном направлении. Основной задачей данной работы было оценить влияние оптимизации кардиотропной терапии у больных с ЭАН в текущую госпитализацию на отдаленную выживаемость. Нам не встретилось в доступной литературе публикаций, посвященных перспективам улучшения отдаленных результатов лечения больных с ФП неклапанной этиологии, перенесших ЭАН.
ЗАКЛЮЧЕНИЕ
Отсутствие общепринятой системы, определяющей дальнейшую тактику лечения больных с ФП неклапанной этиологии, которые перенесли ЭАН, снижает показатели отдаленной выживаемости. Оптимизация консервативного лечения на этапе реабилитации после ЭАН в текущую госпитализацию позволила достичь ежемесячного снижения риска летального исхода в 2,2 раза (р = 0,003).
ДОПОЛНИТЕЛЬНАЯ ИНФОРМАЦИЯ
Конфликт интересов. Авторы декларируют отсутствие явных и потенциальных конфликтов интересов, связанных с публикацией настоящей статьи.
Источник финансирования. Авторы заявляют об отсутствии внешнего финансирования при проведении исследования.
Об авторах
Артем Владимирович Сотников
Северо-Западный государственный медицинский университет им. И.И. Мечникова
Автор, ответственный за переписку.
Email: artem.sotnikov@szgmu.ru
ORCID iD: 0000-0003-1831-7025
SPIN-код: 4033-1083
канд. мед. наук, врач сердечно-сосудистый хирург, Северо-Западный государственный медицинский университет им. И.И. Мечникова
Россия, Санкт-ПетербургМихаил Викторович Мельников
Северо-Западный государственный медицинский университет им. И.И. Мечникова
Email: memivik@yandex.ru
ORCID iD: 0000-0003-2215-3369
SPIN-код: 3735-4266
д-р мед. наук
Россия, Санкт-ПетербургМихаил Владимирович Пышный
Северо-Западный государственный медицинский университет им. И.И. Мечникова
Email: pyshnyymv@yandex.ru
ORCID iD: 0000-0001-6432-124X
SPIN-код: 9367-6575
канд. мед. наук
Россия, Санкт-ПетербургВячеслав Владимирович Семенюта
Республиканский клинико-диагностический центр Министерства здравоохранения Удмуртской Республики
Email: semenyuta0@gmail.com
ORCID iD: 0000-0002-9402-3179
SPIN-код: 9798-7616
врач сердечно-сосудистый хирург
Россия, ИжевскСписок литературы
- Шляхто Е.В., Ежов А.В., Зенин С.А., и др. Кинический портрет пациента с фибрилляцией предсердий в Российской Федерации. Данные глобального регистра GLORIA AF // Российский кардиологический журнал. 2017. Т. 22, № 9. С. 21–27. EDN: ZIBDLB doi: 10.15829/1560-4071-2017-9-21-27
- Menke J., Lüthje L., Kastrup A., Larsen J. Thromboembolism in atrial fibrillation // Am J Cardiol. 2010. Vol. 105, N. 4. Р. 502–510. doi: 10.1016/j.amjcard.2009.10.018
- Мельников М.В., Сотников А.В., Мельников В.М., Папава Г.Д. Продолжительность жизни больных, перенесших эмболии аорты и магистральных артерий конечностей // Ангиология и сосудистая хирургия. 2018. Т. 24, № 3. С. 26–31 EDN: LYPVYT
- Затевахин И.И., Цициашвили М.Ш., Золкин В.Н. Острая артериальная непроходимость. Клиническая классификация и тактика лечения // Ангиология и сосудистая хирургия. 2002. Т. 8, № 2. С. 74–77.
- Lip G.Y., Nieuwlaat R., Pisters R., et al. Refining clinical risk stratification for predicting stroke and thromboembolism in atrial fibrillation using a novel risk factor-based approach: the euro heart survey on atrial fibrillation // Chest. 2010. Vol. 137, N. 2. P. 263–272. doi: 10.1378/chest.09-1584
- Kempe K., Starr B., Stafford J.M., et al. Results of surgical management of acute thromboembolic lower extremity ischemia // J Vasc Surg. 2014. Vol. 60, N. 3. P. 702–707. doi: 10.1016/j.jvs.2014.03.273
- Золотовская И.А., Давыдкин И.Л., Дупляков Д.В. Антикоагулянтная терапия у пациентов с фибрилляцией предсердий, перенесших кардиоэмболический инсульт: оценка приверженности к антикоагулянтной терапии в реальной клинической практике (результаты когортного исследования «Аполлон») // Российский кардиологический журнал. 2017. Т. 147, № 7. С. 105–110. EDN: ZDEBWJ doi: 10.15829/1560-4071-2017-7-105-110
- Аракелян М. Г., Бокерия Л. А., Васильева Е.Ю., и др. Фибрилляция и трепетание предсердий. Клинические рекомендации 2020 // Российский кардиологический журнал. 2021. Т. 26, № 7. C. 190–260. EDN: FUZAAD doi: 10.15829/1560-4071-2021-4594
- Vemulapalli S., Inohara T., Kim S., et al. Blood pressure control and cardiovascular outcomes in patients with atrial fibrillation (from the ORBIT-AF Registry) // Am J Cardiol. 2019. Vol. 123, N. 10. P. 1628–1636. doi: 10.1016/j.amjcard.2019.02.010
- Ishii M., Ogawa H., Unoki T., et al. Relationship of hypertension and systolic blood pressure with the risk of stroke or bleeding in patients with atrial fibrillation: the Fushimi AF Registry // Am J Hypertens. 2017. Vol. 30, N. 11. P. 1073–1082. doi: 10.1093/ajh/hpx094
- Proietti M., Romiti G.F, Olshansky B., Lip G.Y.H. Systolic blood pressure visit-to-visit variability and major adverse outcomes in atrial fibrillation: The AFFIRM Study (Atrial Fibrillation Follow-Up Investigation of Rhythm Management) // Hypertension. 2017. Vol. 70, N. 5. P. 949–958 doi: 10.1161/HYPERTENSIONAHA.117.10106
- McDonagh T., Metra M., Adamo N., и др. 2021 Рекомендации ESC по диагностике и лечению острой и хронической сердечной недостаточности // Российский кардиологический журнал. 2023. Т. 28, № 1. 5168. EDN: SJMIKK doi: 10.15829/1560-4071-2023-5168
- O'Hara A., Pozin J., Darki A., et al. Glycemic control and plasma levels of pro-inflammatory and pro-thrombotic biomarkers in diabetic patients presenting with acute pulmonary embolism // Clin Appl Thromb Hemost. 2023. Vol. 29. P. 10760296231165058. doi: 10.1177/10760296231165058
- Papazoglou A.S., Kartas A., Moysidis D.V., et al. Glycemic control and atrial fibrillation: an intricate relationship, yet under investigation // Cardiovasc Diabetol. 2022. Vol. 21, N. 1. P. 39. doi: 10.1186/s12933-022-01473-0
- Reddy V. Y., Sievert H., Halperin J., et al. Percutaneous left atrial appendage closure vs warfarin for atrial fibrillation: a randomized clinical trial // JAMA. 2014. Vol. 312, N. 19. P. 1988–1998. doi: 10.1001/jama.2014.15192
Дополнительные файлы






