Evaluation of the efficiency of outpatient care provided by medical institutions of the region: DEA – meтhоd
- Authors: Kutyshkin A.V.1, Shulgin O.V.1
-
Affiliations:
- Nizhnevartovsk State University
- Issue: 2024: Pogonyshev DA, editor. Culture, science, education: problems and prospects: proceedings of the XI International Scientific and Practical Conference (Nizhnevartovsk, 9-10 November 2023)
- Pages: 302-309
- Section: Секция 7. Передовые исследования в математических и физических науках
- URL: https://journals.eco-vector.com/kultura_nvsu2023/article/view/630944
- DOI: https://doi.org/10.36906/KSP-2023/42
- ID: 630944
Cite item
Full Text
Abstract
The paper presents estimates of the effectiveness of the provision of medical services on an outpatient basis by medical institutions of the Khanty-Mansiysk Autonomous Okrug – Yugra for the period from 2016 to 2020 based on data envelopment analysis (DEA method). An input- oriented DEA, a model with a variable scale of returns, was used to evaluate the coefficient of medical effectiveness (CME). The ranking of medical institutions in KhMAO – Yugra according to the calculated СME was compared with the ranking carried out by the taxonomic indicator method. The results of using the latter do not contradict the results of the DEA method.
Full Text
Результативность и эффективность деятельности медицинских/лечебно- профилактических учреждений (МУ, ЛПУ) и их подразделений принято оценивать по следующим основным направлениям [2; 4]:
- медицинские показатели: объемы медицинской помощи, оказанной потребителям по видам услуг, отдельным направлениям и т.п.;
- социальные показатели: смертность, рождаемость, средняя продолжительность жизни, заболеваемость, удовлетворенность населения качеством медицинской помощи.
- экономические показатели: затраты на оказание врачебных услуг, удельный вес расходов на оплату отдельных видов медицинской помощи, отдельные индикаторы использования финансовых средств.
Для оценки непосредственно медицинской эффективности функционирования МУ в настоящее время используются следующие подходы/методы. Чаще всего используется индикативный подход, использующий определенный набор индикаторов в виде относительных моментных величин [2; 4] и их различных комбинации [9]. Реже применяются методы статистического анализа, начиная от построения многофакторных регрессионных моделей, характеризующих динамику показателей медицинской эффективности в зависимости от показателей оснащенности и финансирования МУ [1], и заканчивая моделями многомерного/кластерного анализа, ранжирующими выбранные МУ по набору показателей, которые отражают результаты их функционирования [7].
В последнее время расширяется использование непараметрических методов оценки медицинской эффективности МУ таких, как оболочечный анализ данных (Data Envelopment Analysis, DEA - метод) [3; 8; 11], характеризующих деятельность МУ. В рамках DEA – метода исследуемые МУ объединяются в группу производственных объектов (ПО), характеризующихся однородностью условий функционирования, способов производства и используемых при этом средств производства. Оценка медицинской эффективности МУ осуществляется внутри группы по сравнению с ее членами. При этом DEA – метод для описания функционирования ПО использует самую простую модель системного анализа – модель «вход-выход», что не требует идентификации функциональных связей между выходными и входными показателями. Это создает определенные трудности в определении для ПО наборов этих показателей. Кроме того, присутствуют ограничения на количество анализируемых ПО по отношению к количеству входных и выходных показателей. Ко всему прочему DEA – метод не ориентирован на идентификацию самого эффективного для сформированного перечня входных и выходных показателей ПО и определяет только расположение членов группы относительно границы производственных возможностей (ГПВ). Однако, это позволяет рекомендательно рассчитывать целевые значения входных показателей, достижение которых недостаточно эффективными ПО позволит им существенно повысить значение эффективности функционирования [5; 10]. Т. е. DEA – метод можно рассматривать также как своего рода бечмаркинг для реализации лучших практик производственной деятельности в сформированной группе ПО.
Целью данного исследования является оценка медицинской эффективности функционирования амбулаторно-поликлинических подразделений медицинских учреждений
Ханты-Мансийского автономного округа – Югра (ХМАО-Югра) за период с 2016 г. по 2020 г. и определение для наименее эффективных из них целевых значений входных показателей.
Методы и материалы.
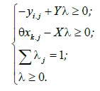
Методом исследования является оболочечный анализ данных (Data Envelopment Analysis, DEA – метод) [5; 10; 11], который основан на использовании метода линейного программирования и предназначен для оценки производственной или технологической эффективности однородных производственных объектов – ПО (DMU – Decision Making Units), объединенных в группу. МУ региона можно, прежде всего, объединять в группы ПО с учетом административной классификации [3]. При рассмотрении же МУ, как организационно- технической системы, состоящей их определенного перечня функциональных подсистем и элементов, можно выделить типовые подразделения по признаку условий оказания медицинской помощи – амбулаторно-поликлинические подразделения (АПП) и подразделения, оказывающие медицинскую помощь в стационарных условиях. Использование выделенного признака дает возможность рассматривать все АПП региональных МУ, как однородные ПО (DMU), объединенные в одну группу. Каждый ПО (DMU) (j = 1, …, N) имеет M «выходов» (yi.j, i = 1,.., M) и N «входов» (xk.j, k = 1,.., K). Для количественной оценки производственной, в данном случае, медицинской эффективности функционирования рассматриваемых ПО использовалась вход-ориентированная DEA – модель с переменным эффектом масштаба отдачи – BCC – модель (Banker – Charnes – Cooper) [5; 10], имеющая в двойственной форме следующий вид:
Здесь θ – скаляр; Y – матрица [M ´ N ] выходных показателей yi.j; X – матрица [K ´ N ]
входных показателей xk.j; λ – вектор констант размерности N ´1.
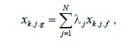
Результатом решения (1) являются значения показателя/коэффициент медицинской эффективности θj (КМЭ) функционирования j-ого DMU (0 ≤ θj ≤ 1), которые характеризуют удаленность DMUj от параллельно формируемой границы производственных возможностей (ГПВ) для данной группы DMU при принятом для них наборе входных и выходных показателей. При расчетном значении θj = 1 считается, что j-ый ПО группы функционирует с максимальной эффективностью и располагается на ГПВ. Если же 0 ≤ θj ≤ 1, то считается, что такой ПО функционирует недостаточно эффективно в контексте проводимого анализа. Для таких ПО, как отмечалось ранее, рассчитываются целевые значения входных показателей xk.j.g, при обеспечении достижения которых данные ПО будут функционировать с максимальной производственной эффективностью (θj = 1). Для расчета xk.j.g используются значения входных показателей ПО «объектов – лидеров» группы, которые выбираются по максимальны значениям расчетных весовых коэффициентов λj (если j-ый ПО группы не является ее «объектом – лидером», то λj = 0) [5; 10]:
где xk.j.f – фактические значения k – го входного показателя j – ого DMU группы.
В качестве входных (xk.j, K = 4) и выходных (yi.j, M = 1) показателей, характеризующих функционирование рассматриваемых ПО – АПП МУ региона (j = 1, …, 22), были приняты следующие величины, фиксируемые действующей государственной системой медицинской статистики и публикуемые в открытых источниках (https://clck.ru/38dRY9):
xj – количество врачей (человек), оказывающих медицинские услуги в амбулаторных условиях, на 1000 чел. населения района или муниципального образования;
–x2.j – количество среднего медицинского персонала (человек), оказывающих медицинские услуги в амбулаторных условиях, на 1000 чел. населения района или муниципального образования;
xj – обеспеченность (посещений) амбулаторно-поликлиническими учреждениями на 10000 человек населения района или муниципального образования;
xj – среднее число посещений врача АПП МУ в год на 10000 жителей человек населения района или муниципального образования;
yj – заболеваемость по всем причинам жителей района или муниципального образования с временной утратой трудоспособности всего на 10000 населения.
В перечень входных показателей не включен такой показатель, как площади медицинских учреждений, используемых для оказания медицинских услуг в амбулаторных и стационарных условиях, т.к. эти данные в открытых источниках эпизодически стали публиковаться только с 2020 г. Ограничение на соотношение количества ПО и количества входных и выходных показателей имеющее следующий вид [10]:
которое при принятых значениях N, M, K выполняется, и это позволяет при оценке значений θj (1) использовать схему «временного среза» [3; 8]. Для решения (1) и соответственно оценки значений θj, xk.j.g (2) использовался программный продукт MaxDEA 8 Basic (https://clck.ru/32k3f7).
Вместе с тем небезынтересно сопоставить ранжирование исследуемых ПО, сформированное на основании расчетных значений θj, с результатами их ранжирования на основе достаточно известного статистического метода – метода таксономического показателя (ТП) [6]. Этот метод позволяет осуществлять ранжирование объектов по разнородным признакам на основе расчета их взаимного расположения в многомерном преобразованном пространстве данных признаков. При расчете классического таксономического показателя TKj объектов – ПО выполняются следующие процедуры [6]:
-нормированиепризнаков ПО, т. е. входных (xj) и выходных показателей (yi.j), при этом при этом принятое разделение показателей не учитывается и им назначается единое обозначение zlj ( l = 1, …, L; L = K + M):
где xavr.k, yavr.i - средние значение k - го входного и i – го выходного показателей для рассматриваемых ПО; σk , σi - среднеквадратические отклонения значений k - го входного и i
-го выходного показателей соответственно.
-осуществляется выбор «верхнего полюса» для группы ПО - P0 (z01, z02, …., z0L):
Здесь S – множество «стимуляторов» - исходных показателей, изменение значений которых положительно сказывается на динамике результирующего показателя.
- рассчитывается таксономический показатель TKlj объектов относительно «верхнего полюса»:
где f – постоянная (f > 0), значение которой выбирается так, чтобы выполнялось условие: 0 ≤ TKlj ≤ 1.
Как правило, значения f выбирают из интервала 2 ≤ f ≤ 3. Чем ближе TKlj (3) к «1», тем выше уровень исследуемого признака j – объекта, т. е. в рассматриваемой ситуации выше медицинская эффективность функционирования АПУ МУ региона. Таким образом, сопоставляя ранжирование АПУ МУ региона на основе значений θj (1) и ранжирование на основе TKlj (3) можно на качественном уровне оценить корректность использования DEA – метода. Это, в свою очередь, подтверждает выбор «объекта-лидера» для рассматриваемой группы ПО, т.е. реализацию ключевой процедуры бенчмаркинга.
Результаты и обсуждение.
Исходные значения входных (xk.j) и выходных (yi.j) показателей, размещенных на сайте Департамента Здравоохранения ХМАО-Югра (https://clck.ru/38dRY9) в данной работе не приводятся из-за ограничений по ее объему. Выбор временного интервала исследования обусловлен тем, что только с 2016 г. в открытых источниках стали публиковать данные о численности медицинского персонала, оказывающего медицинские услуги в амбулаторных и стационарных условиях.
В таблице 1 для АПП МУ ХМАО-Югра совместно приведены расчетные значения коэффициента медицинской эффективности θj и таксономического показателя TKlj за период с 2016 г. по 2020 г.
На основании расчетных значений θj за период с 2016 г. по 2020 г. среди АПП МУ ХМАО-Югра можно выделить следующие подгруппы:
- Стабильно высокий устойчивый уровень эффективности функционирования (θj ≥ 0,84…0,85) – 44% от общей численности учреждений;
- Недостаточно эффективные АПП МУ
-с повышательным трендом значений θj – 13,6%;
-с понижательным трендом значений θj – 22,7%;
-с показателями эффективности θj характеризующимися большой волатильностью – 31,7%.
Таблица 1
Расчетные значения коэффициентов (θj) и TKlj для АПП МУ ХМАО-Югра за 2016–2020 гг.
j | Территориально- административная принадлежность АПП МУ | Год | |||||||||
2016 | 2017 | 2018 | 2019 | 2020 | |||||||
θj | TKlj | θj | TKlj | θj | TKlj | θj | TKlj | θj |
TKlj | ||
1 | Белоярский район | 0,923 | 0,780 | 0,913 | 0,769 | 0,822 | 0,702 | 0,644 | 0,542 | 0,829 | 0,835 |
2 | Березовский район | 0,728 | 0,563 | 0,789 | 0,555 | 0,693 | 0,556 | 0,763 | 0,642 | 0,556 | 0,472 |
3 | Кандинский район | 0,889 | 0,693 | 0,644 | 0,706 | 0,620 | 0,682 | 0,594 | 0,623 | 0,766 | 0,615 |
4 | Нефтеюганский район | 1 | 0,787 | 0,831 | 0,851 | 0,848 | 0,842 | 0,865 | 0,842 | 0,856 | 0,807 |
5 | Нижневартовский район | 0,894 | 0,844 | 0,825 | 0,83 | 0,728 | 0,651 | 0,587 | 0,513 | 0,906 | 0,893 |
6 | Октябрьский район | 1 | 0,670 | 1 | 0,926 | 1 | 0,903 | 1 | 0,931 | 1 | 0,903 |
7 | Советский район | 0,689 | 0,561 | 0,540 | 0,688 | 1 | 0,861 | 0,710 | 0,714 | 0,555 | 0,563 |
6 | Сургутский район | 1 | 0,847 | 1 | 0,968 | 1 | 0,969 | 1 | 0,943 | 1 | 0,980 |
9 | Ханты- Мансийский район |
1 |
0,915 |
1 |
0,939 |
1 |
0,938 |
1 |
0,910 |
1 |
0,939 |
10 | г. Когалым | 0,851 | 0,698 | 0,724 | 0,762 | 0,904 | 0,758 | 0,757 | 0,748 | 1 | 0,977 |
11 | г. Лангепас | 0,985 | 0,764 | 0,920 | 0,872 | 1 | 0,784 | 0,894 | 0,798 | 0,903 | 0,880 |
12 | г. Мегион | 0,803 | 0,567 | 0,936 | 0,854 | 0,927 | 0,811 | 0,820 | 0,769 | 0,702 | 0,649 |
13 | г. Нягань | 0,666 | 0,514 | 0,625 | 0,442 | 0,642 | 0,511 | 1 | 0,880 | 0,841 | 0,827 |
14 | г. Покачн | 0,648 | 0,416 | 0,865 | 0,614 | 0,986 | 0,847 | 0,909 | 0,643 | 0,921 | 0,887 |
15 | г. Пыть-Ях | 1 | 0,616 | 1 | 0,873 | 1 | 0,84 | 1 | 0,899 | 1 | 0,987 |
16 | г. Радужный | 1 | 0,818 | 0,894 | 0,837 | 0,882 | 0,761 | 0,878 | 0,819 | 0,849 | 0,822 |
17 | г. Урай | 1 | 0,665 | 0,660 | 0,647 | 0,684 | 0,641 | 0,645 | 0,645 | 0,652 | 0,604 |
18 | г. Югорск | 1 | 0,754 | 0,779 | 0,744 | 0,747 | 0,723 | 0,712 | 0,730 | 0,644 | 0,605 |
19 | г. Нефтеюганск | 1 | 0,830 | 0,924 | 0,895 | 0,897 | 0,837 | 0,843 | 0,846 | 0,862 | 0,848 |
20 | г. Нижневартовск | 0,884 | 0,680 | 0,899 | 0,717 | 0,858 | 0,816 | 0,819 | 0,719 | 0,773 | 0,737 |
21 | г. Сургут | 1 | 0,702 | 0,637 | 0,665 | 0,657 | 0,605 | 0,685 | 0,649 | 0,783 | 0,720 |
22 | г. Ханты- Мансийск | 0,982 | 0,591 | 0,477 | 0,31 | 0,471 | 0,355 | 0,655 | 0,452 | 0,596 | 0,397 |
Таксономический показатель TKlj (таблица 1) в основном имеет меньшие значения, чем θj, что обусловлено спецификой его расчета, опирающегося на выбор виртуального объекта – эталона группы, значения показателей которого одновременно могут и не реализоваться на практике. Вместе с тем, значения θj и TKlj показывают, что ранжирование рассматриваемых ПО с использованием этих критериев в целом достаточно хорошо согласуется. Это можно рассматривать, как дополнительное обоснование актуальности оценки «целевых значений» входных показателей xk.j.g (2) для недостаточно эффективных АПП МУ. В качестве примера в таблице 2 приведены расчетные значения xk.j.g для АПП МУ Березовского района и г. Ханты- Мансийска, которые недостаточно эффективно функционируют при принятом перечне входных и выходных показателей.
Таблица 2
Целевые расчетные xk.j.g и фактические xk.j.f значения входных показателей для АПП МУ Березовского района и г. Ханты-Мансийска за период с 2016 г. по 2020 г.
Обозначение входного показателя | Год | ||||
2016 | 2017 | 2018 | 2019 | 2020 | |
Березовский район | |||||
x1.j.f | 24,32 | 29,88 | 30,33 | 29,06 | 27,70 |
x1.j.g | 20,91 | 22,98 | 19,15 | 19,62 | 16,39 |
x2.j.f | 67,89 | 86,2 | 84,87 | 82,66 | 82,61 |
x2.j.g | 60,29 | 67,98 | 58,83 | 60,83 | 60,18 |
x3.j.f | 324,9 | 392,5 | 412,7 | 412,3 | 411,9 |
x3.j.g | 246,43 | 238,87 | 258,71 | 243,61 | 208,92 |
x4.j.f | 103 000 | 102 000 | 98 040 | 91 000 | 147 000 |
x4.j.g | 69 868 | 80 431 | 73 485 | 69 469 | 79 277 |
г. Ханты-Мансийск | |||||
x1.j.f | 64,31 | 69,55 | 64,49 | 64,16 | 65,58 |
x1.j.g | 54,87 | 55,91 | 52,26 | 53,18 | 54,86 |
x2.j.f | 120,9 | 121,9 | 110,46 | 110,30 | 105,92 |
x2.j.g | 84,44 | 88,5 | 61,58 | 69,40 | 66,49 |
x3.j.f | 299,3 | 299,3 | 292,3 | 304,9 | 317,5 |
x3.j.g | 211 | 242,8 | 236,48 | 239,77 | 236,12 |
x4.j.f | 161 000 | 164 000 | 191 820 | 192 000 | 131 000 |
x4.j.g | 133 000 | 136 530 | 130 114 | 120 714 | 104 451 |
Сопоставление значений xk.j.f и xk.j.g позволяет сделать заключение, что в АПП МУ Березовского района и г. Ханты-Мансийска присутствуют существенные резервы используемых ресурсов – входных показателей, как и у значительной части АПП МУ региона. Определены с использованием оболочечного анализа данных расчетные значения коэффициентов эффективности оказания медицинских услуг в амбулаторных условиях лечебно-профилактическими учреждениями ХМАО-Югра за период с 2016 г. по 2020 г. Для медицинских учреждений с недостаточно высоким значениями коэффициентов эффективности определены целевые значения входных показателей – используемых ресурсов, достижение которых в результате возможных управленческих решений позволит существенно повысить медицинскую эффективность функционирования данных учреждений. Ранжирование медицинских учреждений округа по выбранного перечню признаков, основанное на расчетных значениях коэффициента медицинской эффективности, достаточно хорошо согласуется с их ранжированием, сформированным на основе использования хорошо известного статистического метода – метода таксономического показателя. Это говорит о целесообразности использования оболочечного анализа данных для решения подобного рода задач.
About the authors
A. V. Kutyshkin
Nizhnevartovsk State University
Author for correspondence.
Email: uni@nvsu.ru
ORCID iD: 0000-0003-3226-0360
Doctor of Technical Sciences
Russian Federation, NizhnevartovskO. V. Shulgin
Nizhnevartovsk State University
Email: uni@nvsu.ru
ORCID iD: 0000-0002-1989-3975
Candidate of Economic Sciences
Russian Federation, NizhnevartovskReferences
- Зурнаджьянц Ю.А. Использование статистических методов в анализе экономической эффективности деятельности медицинских учреждений // Современные проблемы науки и образования. 2012. №1. https://clck.ru/37pk8C
- Курнакина Н.В. Методика комплексной оценки эффективности деятельности медицинской организации за год // Инновации и инвестиции. 2017. № 2. С. 137-140.
- Кутышкин А.В., Шульгин О.В. Использование непараметрического анализа данных для оценки эффективности муниципальных медицинских учреждений региона // Вестник Южно-Уральского государственного университета. Серия: Компьютерные технологии, управление, радиоэлектроника. 2023. Т. 23. № 1. С. 57-66.
- Леонов С.А., Сон И.М., Савина А.А., Зайченко Н.М. Руководство по анализу основных статистических показателей состояния здоровья населения и деятельности медицинских организаций. Москва. 2015. 49 с.
- Моргунов Е.П., Моргунова О.Н. Краткое описание метода Data Envelopment Analysis https://clck.ru/37pkje.
- Надтока Т.Б., Виноградов А.Г. Многомерное оценивание уровня социально- экономического развития предприятия // БизнесИнформ. 2014. №1. С. 184-191.
- Рапаков Г.Г., Банщиков Г.Т., Горбунов В.А., Харахнин К.А., Ревелев И.М. Применение компьютерного моделирования при оценке показателей эффективности регионального здравоохранения на основе метода статистического анализа данных // Вестник Череповецкого государственного университета. 2019. № 2 (89). С. 56-68.
- Селамзаде Ф.Д. Оценка эффективности системы здравоохранения Российской Федерации с помощью оболочечного анализа данных: на примере республик // GLOBUS: экономика и юриспруденция. 2021. Том 7. № 1(41). С. 7-20.
- Яшина Н.И., Хансуварова Е.А., Яшин К.С. Разработка методических аспектов оценки эффективности деятельности лечебно-профилактических учреждений// Управленец. 2016. № 4(62). С. 26-33.
- Cheng G. Data Envelopment Analysis: Methods and MaxDEA Software. Intellectual Property Publishing House Co. Ltd. Beijing. 2014. 275 р.
- Cooper W.W., Seiford L.M., Tone K. Data Envelopment Analysis: A Comprehensive Text with Models, Applications, References, and DEA-Solver Software. Boston: Kluwer Academic Publishers, 2000. 318 p.
Supplementary files







