Изучение циклизации гоминально-алифатических соединений на примере калиевой соли динитроэтанола в водных растворах галогенводородов
- Авторлар: 1, 1, 1, 1, 1
-
Мекемелер:
- Казанский национальный исследовательский технологический университет
- Шығарылым: Том 1 (2022)
- Беттер: 265-266
- Бөлім: Химия и технология энергонасыщенных соединений и изделий на их основе
- URL: https://journals.eco-vector.com/osnk-sr/article/view/107157
- ID: 107157
Дәйексөз келтіру
Толық мәтін
Аннотация
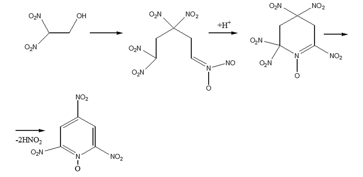
Обоснование. Исследования в области энергоемких веществ мы начали с поиска наиболее оптимального метода получения этого продукта. За основу синтеза была взята циклизация калиевой соли динитроэтанола в разбавленной серной кислоте [1].
Багал и Целинский с сотрудниками, подробно изучавшие этот процесс предложили следующую схему получения 2,4,6-тринитро-N-окиси пиридина:
2,4,6-тринитро-N-окись пиридина получается щелочным нитрованием нитрометанатетранитрометаном, в присутствии карбоната калия получается смесь калиевых солей динитрометана и тринитрометана. После взаимодействия с 40 % водным формалином образуется калиевая соль динитроэтанола. Следующая стадия процесса — циклизация (в слабокислом растворе серной кислоты, pH = 1–2). Основная сложность заключается в стадии циклизации калиевой соли динитроэтанола в 2,4,6-тринитро-N-окиси пиридина, где выход конечного продукта не превышает 34 % [2].
В связи с этим нами проводились исследования по циклизации калиевой соли динитроэтанола и поиску оптимальных условий, дающих максимальный выход конечного продукта.
Цель — изучить процесс циклизации калиевой соли 1,1-динитроэтанола в различных кислых средах, а также влияние их концентрации, температуры и времени выдержки реакционной массы.
Методы. Анализ исследований в этой области и наши работы позволили предположить, что конденсация калиевой соли динитроэтанола в 2,4,6-тринитро-N-окись пиридина идет лишь при определенных концентрациях (pH) серной кислоты. Диапазон концентраций серной кислоты был выбран от 0,5 до 5 % (рН = 1–2).
Далее нами изучалось влияние температуры и времени выдержки реакции на выход целевого продукта. При каждой температуре давалась выдержка 10 мин, затем реакционную массу охлаждали до 50 °С и фильтровали продукт. Экспериментальные данные представлены в табл. 1.
Время выдержки реакции варьировалась от 5 мин до 24 ч. После часа выдержки при температуре 70 °С количество продукта в реакционной массе снижалось (порядка 33 %) (табл. 2).
Низкий выход и особенности процесса циклизации заставили попробовать в качестве среды для циклизации различные кислоты.
Так, при использовании в качестве среды водного раствора 5 % соляной кислоты (t = 50 °С) была получена 4-хлор-2,6-динитро-N-окись пиридина с практическим выходом 37–38 %.
Благоприятной средой является трифторуксусная кислота. Обладая высокой кислотностью, она является боле мягкой средой и могла быть вполне опробована для проведения циклизации калиевой соли динитроэтанола [3].
Таблица 1. Зависимость процесса образования 2,4,6-тринитро-N-окиси пиридина от температуры реакционной массы
№ опыта | Температура реакционной массы, °С | Выход продукта, % |
1 | 40 | 5 |
2 | 50 | 15 |
3 | 60 | 38 |
4 | 70 | 51 |
5 | 80 | 39 |
6 | 90 | 22 |
Таблица 2. Зависимость образования 2,4,6-тринитро-N-окиси пиридина от времени выдержки реакционной массы
№ опыта | Время выдержки при 70 °С | Выход продукта |
1 | 5 мин | 51 % |
2 | 30 мин | 38 % |
3 | 2 ч | 28 % |
4 | 1 сут | 11,3 % |
Результаты. Таким образом, наиболее оптимальными условиями процесса являются: концентрация серной кислоты 1,8–3,0 %, температура 70 °С, время выдержки 5–10 мин. При концентрации трифторуксусной кислоты, равной 4,8 %, происходит циклизация калиевой соли динитроэтанола в 2,4,6-тринитро-N-окиси пиридина с выходом 10 %.
Выводы. Изучено влияние различных кислотных сред, их концентрации, температуры и времени выдержки реакционной массы на процесс циклизации калиевой соли 1,1-динитроэтанола до 2,4,6-тринитро-N-окиси пиридина с возможно большим практическим выходом конечного продукта.
Негізгі сөздер
Толық мәтін
Обоснование. Исследования в области энергоемких веществ мы начали с поиска наиболее оптимального метода получения этого продукта. За основу синтеза была взята циклизация калиевой соли динитроэтанола в разбавленной серной кислоте [1].
Багал и Целинский с сотрудниками, подробно изучавшие этот процесс предложили следующую схему получения 2,4,6-тринитро-N-окиси пиридина:
2,4,6-тринитро-N-окись пиридина получается щелочным нитрованием нитрометанатетранитрометаном, в присутствии карбоната калия получается смесь калиевых солей динитрометана и тринитрометана. После взаимодействия с 40 % водным формалином образуется калиевая соль динитроэтанола. Следующая стадия процесса — циклизация (в слабокислом растворе серной кислоты, pH = 1–2). Основная сложность заключается в стадии циклизации калиевой соли динитроэтанола в 2,4,6-тринитро-N-окиси пиридина, где выход конечного продукта не превышает 34 % [2].
В связи с этим нами проводились исследования по циклизации калиевой соли динитроэтанола и поиску оптимальных условий, дающих максимальный выход конечного продукта.
Цель — изучить процесс циклизации калиевой соли 1,1-динитроэтанола в различных кислых средах, а также влияние их концентрации, температуры и времени выдержки реакционной массы.
Методы. Анализ исследований в этой области и наши работы позволили предположить, что конденсация калиевой соли динитроэтанола в 2,4,6-тринитро-N-окись пиридина идет лишь при определенных концентрациях (pH) серной кислоты. Диапазон концентраций серной кислоты был выбран от 0,5 до 5 % (рН = 1–2).
Далее нами изучалось влияние температуры и времени выдержки реакции на выход целевого продукта. При каждой температуре давалась выдержка 10 мин, затем реакционную массу охлаждали до 50 °С и фильтровали продукт. Экспериментальные данные представлены в табл. 1.
Время выдержки реакции варьировалась от 5 мин до 24 ч. После часа выдержки при температуре 70 °С количество продукта в реакционной массе снижалось (порядка 33 %) (табл. 2).
Низкий выход и особенности процесса циклизации заставили попробовать в качестве среды для циклизации различные кислоты.
Так, при использовании в качестве среды водного раствора 5 % соляной кислоты (t = 50 °С) была получена 4-хлор-2,6-динитро-N-окись пиридина с практическим выходом 37–38 %.
Благоприятной средой является трифторуксусная кислота. Обладая высокой кислотностью, она является боле мягкой средой и могла быть вполне опробована для проведения циклизации калиевой соли динитроэтанола [3].
Таблица 1. Зависимость процесса образования 2,4,6-тринитро-N-окиси пиридина от температуры реакционной массы
№ опыта | Температура реакционной массы, °С | Выход продукта, % |
1 | 40 | 5 |
2 | 50 | 15 |
3 | 60 | 38 |
4 | 70 | 51 |
5 | 80 | 39 |
6 | 90 | 22 |
Таблица 2. Зависимость образования 2,4,6-тринитро-N-окиси пиридина от времени выдержки реакционной массы
№ опыта | Время выдержки при 70 °С | Выход продукта |
1 | 5 мин | 51 % |
2 | 30 мин | 38 % |
3 | 2 ч | 28 % |
4 | 1 сут | 11,3 % |
Результаты. Таким образом, наиболее оптимальными условиями процесса являются: концентрация серной кислоты 1,8–3,0 %, температура 70 °С, время выдержки 5–10 мин. При концентрации трифторуксусной кислоты, равной 4,8 %, происходит циклизация калиевой соли динитроэтанола в 2,4,6-тринитро-N-окиси пиридина с выходом 10 %.
Выводы. Изучено влияние различных кислотных сред, их концентрации, температуры и времени выдержки реакционной массы на процесс циклизации калиевой соли 1,1-динитроэтанола до 2,4,6-тринитро-N-окиси пиридина с возможно большим практическим выходом конечного продукта.
Авторлар туралы
Казанский национальный исследовательский технологический университет
Email: guzeeel.sabirova769@yandex.ru
студентка, группа 1171-51, факультет энергонасыщенных материалов и изделий
Ресей, КазаньКазанский национальный исследовательский технологический университет
Email: satuninagalina@yandex.ru
студентка, группа 1171-51, факультет энергонасыщенных материалов и изделий
Ресей, КазаньКазанский национальный исследовательский технологический университет
Email: denis.barmin@gmail.com
студент, группа 1171-51, факультет энергонасыщенных материалов и изделий
Ресей, КазаньКазанский национальный исследовательский технологический университет
Email: espetrov@mail.ru
научный руководитель, кандидат химических наук, доцент, доцент кафедры химии и технологии органических соединений азота
Ресей, КазаньКазанский национальный исследовательский технологический университет
Хат алмасуға жауапты Автор.
Email: t.soba4kina@yandex.ru
научный руководитель, кандидат химических наук, доцент, доцент кафедры химии и технологии органических соединений азота
Ресей, КазаньӘдебиет тізімі
- Дементьева Д.И., Кононов И.С., Мамашев Р.Г., Харитонов В.А. Введение в технологию энергонасыщенных материалов. Бийск: БТИ, 2009. 254 с.
- Тимощенко Л.В., Сарычева Т.А. Гетероциклические соединения: учебное пособие. Томск: Изд-во ТПУ, 2013. 86 с.
- Петров М.Л. Карбоновые кислоты: учебное пособие. Санкт-Петербург: Изд-во СПбГТИ(ТУ), 2010. 38 с.
Қосымша файлдар
