Исследование влияния температуры поверхности на аэродинамическое сопротивление крыла
- 作者: 1, 1
-
隶属关系:
- Самарский национальный исследовательский университет имени академика С.П. Королева
- 期: 卷 1 (2022)
- 页面: 360-361
- 栏目: Теоретическая и прикладная механика
- URL: https://journals.eco-vector.com/osnk-sr/article/view/107225
- ID: 107225
如何引用文章
全文:
详细
Обоснование. Известно, что можно изменять аэродинамические характеристики крыльев летательных аппаратов путем применения энергетических средств управления обтеканием [1, 2]. Одно из таких средств — нагрев поверхности обтекаемого тела [3–7]. Применение данного способа приводит не только к смещению точки перехода ламинарного пограничного слоя в турбулентный [3], но и к снижению сопротивления за счет передачи потоку дополнительной энергии [4].
Влияние слабого теплообмена на аэродинамическое сопротивление исследовалось в случае обтекания плоской пластины [4–7]. В частности, показано, что с повышением температуры поверхности пластины ее сопротивление уменьшается. Данный факт был подтвержден как теоретически, так и путем проведения эксперимента, а также расчетами по методу конечных элементов. Наибольший практический интерес представляет исследование влияния слабого теплообмена на лобовое сопротивление крыла.
Цель — экспериментальным путем определить связь между аэродинамическим сопротивлением крыла и температурой его поверхности, сравнить результаты эксперимента с результатами, полученными для плоской пластины.
Методы. Для проведения эксперимента была изготовлена модель, представляющая собой крыло размахом l = 420 мм, хордой b = 140 мм, симметричным профилем NACA-0018 c относительной толщиной %. Модель состоит из двух частей: нагреваемой нижней, и верхней, имеющей комнатную температуру. К поверхности нижней части модели с внутренней стороны припаяны нагревательные элементы, а к верхней — приклеены емкости со льдом, чтобы замедлить процесс передачи тепла от нижней поверхности к верхней, поддерживая таким образом ее температуру на уровне комнатной (рис. 1).
Рис. 1. Сечение экспериментальной модели
Эксперимент проводился в аэродинамической трубе малых дозвуковых скоростей Т-3 Самарского университета [8] при скорости набегающего потока равной м/с, и температуре набегающего потока равной °С. Всего было проведено по пять экспериментов при восьми различных значениях температуры нижней поверхности.
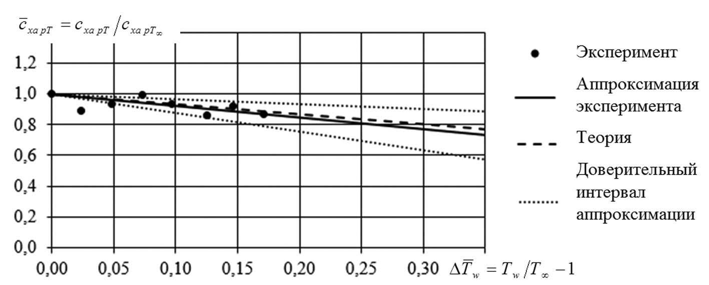
Для отыскания коэффициента профильного сопротивления крыла с целью сравнения результатов эксперимента с теорией, полученной для плоской пластины [4], был применен метод наименьших квадратов (МНК). С помощью МНК построен график зависимости относительного коэффициента профильного сопротивления крыла от относительного приращения температуры его нижней поверхности (рис. 2).
Рис. 2. Сравнение результатов эксперимента с теорией
Результаты. Получено снижение лобового сопротивления крыла практически на одинаковую величину во всем диапазоне докритических углов атаки при повышении температуры его нижней поверхности. Поскольку подъемная сила крыла с увеличением температуры поверхности не изменялась, то снижение сопротивления крыла обусловлено преимущественно снижением его профильного сопротивления. Значения температур нижней поверхности крыла и соответствующие им значения коэффициентов профильного сопротивления , полученных с помощью применения МНК к уравнению поляры первого рода, приведены в таблице.
Таблица. Результаты обработки экспериментальных данных
, K | 293,0 | 299,9 | 307,1 | 314,5 | 321,5 | 329,6 | 335,8 | 343,5 |
0,0231 | 0,0206 | 0,0215 | 0,0230 | 0,0217 | 0,0198 | 0,0212 | 0,0200 |
На рис. 2 показана линия, аппроксимирующая экспериментальные точки, и кривая, построенная с применением теории, которая получена для плоской пластины. Как видно, они достаточно близки.
Выводы. Получено, что с увеличением температуры нижней поверхности крыла его сопротивление уменьшается. Результат эксперимента хорошо согласуется с теорией для плоской пластины, что свидетельствует о возможности применения данной теории для оценки профильного сопротивления крыла, с учетом слабого теплообмена.
全文:
Обоснование. Известно, что можно изменять аэродинамические характеристики крыльев летательных аппаратов путем применения энергетических средств управления обтеканием [1, 2]. Одно из таких средств — нагрев поверхности обтекаемого тела [3–7]. Применение данного способа приводит не только к смещению точки перехода ламинарного пограничного слоя в турбулентный [3], но и к снижению сопротивления за счет передачи потоку дополнительной энергии [4].
Влияние слабого теплообмена на аэродинамическое сопротивление исследовалось в случае обтекания плоской пластины [4–7]. В частности, показано, что с повышением температуры поверхности пластины ее сопротивление уменьшается. Данный факт был подтвержден как теоретически, так и путем проведения эксперимента, а также расчетами по методу конечных элементов. Наибольший практический интерес представляет исследование влияния слабого теплообмена на лобовое сопротивление крыла.
Цель — экспериментальным путем определить связь между аэродинамическим сопротивлением крыла и температурой его поверхности, сравнить результаты эксперимента с результатами, полученными для плоской пластины.
Методы. Для проведения эксперимента была изготовлена модель, представляющая собой крыло размахом l = 420 мм, хордой b = 140 мм, симметричным профилем NACA-0018 c относительной толщиной %. Модель состоит из двух частей: нагреваемой нижней, и верхней, имеющей комнатную температуру. К поверхности нижней части модели с внутренней стороны припаяны нагревательные элементы, а к верхней — приклеены емкости со льдом, чтобы замедлить процесс передачи тепла от нижней поверхности к верхней, поддерживая таким образом ее температуру на уровне комнатной (рис. 1).
Рис. 1. Сечение экспериментальной модели
Эксперимент проводился в аэродинамической трубе малых дозвуковых скоростей Т-3 Самарского университета [8] при скорости набегающего потока равной м/с, и температуре набегающего потока равной °С. Всего было проведено по пять экспериментов при восьми различных значениях температуры нижней поверхности.
Для отыскания коэффициента профильного сопротивления крыла с целью сравнения результатов эксперимента с теорией, полученной для плоской пластины [4], был применен метод наименьших квадратов (МНК). С помощью МНК построен график зависимости относительного коэффициента профильного сопротивления крыла от относительного приращения температуры его нижней поверхности (рис. 2).
Рис. 2. Сравнение результатов эксперимента с теорией
Результаты. Получено снижение лобового сопротивления крыла практически на одинаковую величину во всем диапазоне докритических углов атаки при повышении температуры его нижней поверхности. Поскольку подъемная сила крыла с увеличением температуры поверхности не изменялась, то снижение сопротивления крыла обусловлено преимущественно снижением его профильного сопротивления. Значения температур нижней поверхности крыла и соответствующие им значения коэффициентов профильного сопротивления , полученных с помощью применения МНК к уравнению поляры первого рода, приведены в таблице.
Таблица. Результаты обработки экспериментальных данных
, K | 293,0 | 299,9 | 307,1 | 314,5 | 321,5 | 329,6 | 335,8 | 343,5 |
0,0231 | 0,0206 | 0,0215 | 0,0230 | 0,0217 | 0,0198 | 0,0212 | 0,0200 |
На рис. 2 показана линия, аппроксимирующая экспериментальные точки, и кривая, построенная с применением теории, которая получена для плоской пластины. Как видно, они достаточно близки.
Выводы. Получено, что с увеличением температуры нижней поверхности крыла его сопротивление уменьшается. Результат эксперимента хорошо согласуется с теорией для плоской пластины, что свидетельствует о возможности применения данной теории для оценки профильного сопротивления крыла, с учетом слабого теплообмена.
作者简介
Самарский национальный исследовательский университет имени академика С.П. Королева
Email: zadorozhnyuk.alex@mail.ru
студент, группа 3409-240507D, институт авиационной и ракетно-космической техники
俄罗斯联邦, СамараСамарский национальный исследовательский университет имени академика С.П. Королева
编辑信件的主要联系方式.
Email: frolov_va_ssau@mail.ru
научный руководитель, кандидат технических наук, доцент; доцент кафедры конструкции и проектирования летательных аппаратов
俄罗斯联邦, Самара参考
- Гарипов Р.М., Тэтянко В.А. О влиянии распределенного отсоса на структуру турбулентного пограничного слоя // Прикладная механика и техническая физика. 1969. Т. 10, № 3. С. 127–129.
- Watanabe T., Pop H. The effects of suction or injection in boundary layer flow and heat transfer on a continuous moving surface // Technische Mechanik. 1992. Vol. 13, No. 1. P. 49–54.
- Лутовинов В.М. Задачи и методы ламинаризации при дозвуковых скоростях // Труды ЦАГИ. 2004. № 2665. С. 1–27.
- Петров А.С. Влияние реальных свойств газа на суммарные аэродинамические силы при дозвуковых скоростях // Теплофизика и аэромеханика. 2004. Т. 11, № 1. С. 33–50.
- Петров А.С. Влияние теплообмена на несущие свойства крыла конечного размаха при дозвуковых скоростях // Ученые записки ЦАГИ. 2012. Т. 43, № 1. С. 48–62.
- Петров А.С. О полном сопротивлении тела в потоке вязкого, теплопроводного газа // Ученые записки ЦАГИ. 1991. Т. 22, № 2. С. 57–65.
- Петров А.С., Судаков Г.Г. Использование теплообмена для увеличения аэродинамического качества несущих тел // Ученые записки ЦАГИ. 2016. Т. 47, № 6. С. 16–27.
- Комаров В.А., Тарасов В.В., Фролов В.А., Шахов В.Г. Вузовская учебно-исследовательская аэродинамическая труба // Общероссийский научно-технический журнал «Полет». 2006. № 10. С. 34–41.
补充文件




