Химические свойства конденсированных бутиро- и валеролактонов гомоадамантанового ряда
- 作者: 1, 1
-
隶属关系:
- Самарский государственный технический университет
- 期: 卷 1 (2022)
- 页面: 255-256
- 栏目: Химия
- URL: https://journals.eco-vector.com/osnk-sr/article/view/107355
- ID: 107355
如何引用文章
全文:
详细
Обоснование. Многие представители гомоадамантанового ряда обладают противовирусными, антибактериальными свойствами, цитотоксической активностью против раковых клеток [1, 2]. Лактоны, содержащие в составе молекул гомоадамантановый каркас [3], могут являться потенциальными субстратами при синтезе ряда полизамещенных производных — потенциальных терапевтических агентов.
Цель — синтез и исследование химических свойств конденсированных бутиро- и валеролактонов гомоадамантанового ряда.
Методы. Модификация каркаса и лактонных циклов соединений реализовывалась посредством химических превращений по установленным методикам в соответствии с литературными данными. Подтверждение структуры полученных соединений производилось с помощью физико-химических методов анализа: тонкослойной хроматографии, измерения температуры плавления, ИК- и ЯМР-спектроскопии.
Результаты. Предложены методы преобразования ряда конденсированных лактонов с гомоадамантановым каркасом в условиях реакций восстановления, окисления, нуклеофильного замещения, Шмидта, раскрытия циклов под действием аммиака и аминов.
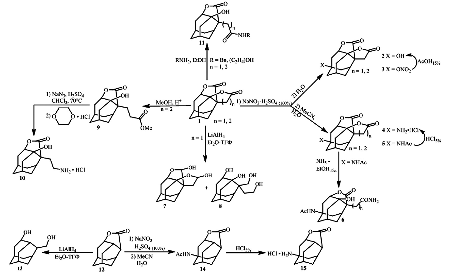
Окисление лактонов, сопровождающееся функционализацией каркаса по третичной C-H связи, на первой стадии синтеза протекает под действием серно-азотной смеси (см. рисунок). Наиболее оптимальные условия достигаются при проведении процесса в присутствии 100 % H2SO4 и NaNO3, так как выделяющаяся в ходе реакции вода негативно влияет на его протекание. Нитраты, образующиеся в смеси со спиртами при последующем добавлении воды, могут быть гидролизованы в последние под действием AcOH15 %. При последовательном добавлении к реакционной смеси на втором этапе синтеза MeCN и воды формируются ацетамиды, которые могут быть превращены в соответствующие гидрохлориды при гидролизе 5 % HCl. При этом введение в систему эфиролактона, полученного в ходе метанолиза лактона, сопровождается обратным замыканием цикла и образованием гидроксипроизводных [4].
Рис. Общая схема превращения лактонов
Восстановление лактонов реализуется в условиях кипячения с LiAlH4 в смеси ТГФ и диэтилового эфира как с сохранением циклической структуры колец, так и с их полным раскрытием. В случае конденсированного бис-лактона образуется смесь продуктов обоих вышеприведенных вариантов, а в случае монолактона — преимущественно продукт полного раскрытия.
Другим примером раскрытия лактонового цикла может служить взаимодействие с амин-содержащими соединениями: этанол- и бензиламинами — в случае незамещенных лактонов, и раствором аммиака в абсолютном этаноле — в случае ацетамидов. В ходе процесса образуются вторичные и первичные амиды соответственно; полученные соединения обладают потенциальной биологической активностью.
Эфиролактон может быть введен в реакцию Шмидта с образованием соответствующего гидрохлорида через стадию образования амина. При этом лактоны, не содержащие алкоксикарбонильные группы, оказываются устойчивы в условиях данной реакции.
Выводы. Были исследованы химические превращения лактонов гомоадамантанового ряда и их закономерности в условиях реакций одноэлектронного окисления с последующим нуклеофильным замещением, восстановления в присутствии алюмогидрида лития, исследовано превращение эфиролактона в условиях реакции Шмидта, а также синтезирован и изучен ряд соединений, образующихся при воздействии на лактоны амин-содержащих реагентов. Все полученные соединения были охарактеризованы с помощью современных физико-химических методов.
全文:
Обоснование. Многие представители гомоадамантанового ряда обладают противовирусными, антибактериальными свойствами, цитотоксической активностью против раковых клеток [1, 2]. Лактоны, содержащие в составе молекул гомоадамантановый каркас [3], могут являться потенциальными субстратами при синтезе ряда полизамещенных производных — потенциальных терапевтических агентов.
Цель — синтез и исследование химических свойств конденсированных бутиро- и валеролактонов гомоадамантанового ряда.
Методы. Модификация каркаса и лактонных циклов соединений реализовывалась посредством химических превращений по установленным методикам в соответствии с литературными данными. Подтверждение структуры полученных соединений производилось с помощью физико-химических методов анализа: тонкослойной хроматографии, измерения температуры плавления, ИК- и ЯМР-спектроскопии.
Результаты. Предложены методы преобразования ряда конденсированных лактонов с гомоадамантановым каркасом в условиях реакций восстановления, окисления, нуклеофильного замещения, Шмидта, раскрытия циклов под действием аммиака и аминов.
Окисление лактонов, сопровождающееся функционализацией каркаса по третичной C-H связи, на первой стадии синтеза протекает под действием серно-азотной смеси (см. рисунок). Наиболее оптимальные условия достигаются при проведении процесса в присутствии 100 % H2SO4 и NaNO3, так как выделяющаяся в ходе реакции вода негативно влияет на его протекание. Нитраты, образующиеся в смеси со спиртами при последующем добавлении воды, могут быть гидролизованы в последние под действием AcOH15 %. При последовательном добавлении к реакционной смеси на втором этапе синтеза MeCN и воды формируются ацетамиды, которые могут быть превращены в соответствующие гидрохлориды при гидролизе 5 % HCl. При этом введение в систему эфиролактона, полученного в ходе метанолиза лактона, сопровождается обратным замыканием цикла и образованием гидроксипроизводных [4].
Рис. Общая схема превращения лактонов
Восстановление лактонов реализуется в условиях кипячения с LiAlH4 в смеси ТГФ и диэтилового эфира как с сохранением циклической структуры колец, так и с их полным раскрытием. В случае конденсированного бис-лактона образуется смесь продуктов обоих вышеприведенных вариантов, а в случае монолактона — преимущественно продукт полного раскрытия.
Другим примером раскрытия лактонового цикла может служить взаимодействие с амин-содержащими соединениями: этанол- и бензиламинами — в случае незамещенных лактонов, и раствором аммиака в абсолютном этаноле — в случае ацетамидов. В ходе процесса образуются вторичные и первичные амиды соответственно; полученные соединения обладают потенциальной биологической активностью.
Эфиролактон может быть введен в реакцию Шмидта с образованием соответствующего гидрохлорида через стадию образования амина. При этом лактоны, не содержащие алкоксикарбонильные группы, оказываются устойчивы в условиях данной реакции.
Выводы. Были исследованы химические превращения лактонов гомоадамантанового ряда и их закономерности в условиях реакций одноэлектронного окисления с последующим нуклеофильным замещением, восстановления в присутствии алюмогидрида лития, исследовано превращение эфиролактона в условиях реакции Шмидта, а также синтезирован и изучен ряд соединений, образующихся при воздействии на лактоны амин-содержащих реагентов. Все полученные соединения были охарактеризованы с помощью современных физико-химических методов.
作者简介
Самарский государственный технический университет
Email: Necktarin8811@yandex.ru
студентка, группа 5-ХТ-5-1, химико-технологический факультет
俄罗斯联邦, СамараСамарский государственный технический университет
编辑信件的主要联系方式.
Email: ilya.m.tkachenko@gmail.com
научный руководитель, кандидат химических наук, доцент, доцент кафедры «Органическая химия»
俄罗斯联邦, Самара参考
- Дзюба В.А., Исаев С.Д., Исаева С.С., и др. Синтез и биологическая активность гидроксамовых кислот с фрагментом скелета и их комплексов с Cu(2+) и Fe (3+) // Химико-фармацевтический журнал. 1987. Т. 21. С. 780–784.
- Hu L.-H., Sim K.-Y. Sampsoniones A-M, a Unique Family of Caged Polyprenylated Benzoylphloroglucinol Derivatives, from Hypericum sampsonii // Tetrahedron Lett. 2000. Vol. 56, No. 10. P. 1379–1386. doi: 10.1016/S0040-4020(00)00010-7
- Tkachenko I.M., Mankova P.A., Rybakov V.B., et al. Wagner–Meerwein type rearrangement in 5-oxohomoadamantane series // Org Biomol Chem. 2020. Vol. 18, No. 3. P. 465–478. doi: 10.1039/C9OB02060H
- Ivleva E.A., Tkachenko I.M., Klimochki, Y.N. Synthesis of adamantane functional derivatives basing on N-[(adamantan-1-yl)alkyl]acetamides // Russ J Org Chem. 2016. Vol. 52, No. 11. P. 1558–1564. doi: 10.1134/S1070428016110026



