Нахождение зависимости параметров автоволнового импульса от температуры в области фотодиссоциации Orion Bar
- Авторы: Помельников И.А.1, Рящиков Д.С.1,2, Молевич Н.Е.1,2
-
Учреждения:
- Самарский национальный исследовательский университет имени академика С.П. Королева
- Самарский филиал Физического института им. П.Н. Лебедева РАН
- Выпуск: Том 1 (2022)
- Страницы: 247-248
- Раздел: Физика
- URL: https://journals.eco-vector.com/osnk-sr/article/view/107753
- ID: 107753
Цитировать
Полный текст
Аннотация
Обоснование. Существует класс сред, возникающих на поверхности молекулярных облаков вблизи молодых звезд. Эти среды носят название областей фотодиссоциации (ОФД). Между звездой и ОФД располагается ионизационный фронт, состоящий из ионизированного ультрафиолетовым излучением водорода. За ионизационным фронтом располагается зона атомарного водорода, формирующегося от излучения в пределах 6–13,6 эВ [1]. В таких зонах при неравновесном нагреве и охлаждении формируются неустойчивости разных видов. Один из типов неустойчивостей — изоэнтропическая неустойчивость, при которой возникает автоволновой импульс [2, 3]. Параметры импульса (скорость распространения, амплитуда, форма) не зависят от вида начального возмущения, а зависят лишь от свойств самой среды. Одной из областей, в которой наблюдается изоэнтропическая неустойчивость, приводящая к росту акустических возмущений и формированию импульсов, является ОФД Orion Bar, располагающаяся в туманности Ориона [4].
Цель — оценка параметров автоволновых импульсов, формирующихся в изоэнтропически неустойчивых атомарных областях Orion Bar.
Методы. При помощи системы основных уравнений газодинамики было получено дисперсионное соотношение (1) для газодинамических мод в среде с тепловыделением, зависящим от температуры и плотности среды [2]:
(1)
В данной работе соотношение (1) использовалось для определения области параметров среды, при которых может реализовываться изоэнтропическая неустойчивость. Эти параметры можно найти приближенно в явной форме с помощью решения нелинейного акустического уравнения [2], использование которого ограничено условием слабой дисперсии и малой относительной амплитудой возмущений. Метод, разработанный в работе [3], лишен этих недостатков, однако аналитически позволяет определить их параметры только в неявной форме.
Результаты. Применение дисперсионного соотношения позволило определить условия, при которых возникает изоэнтропическая неустойчивость. Тип неустойчивости определяется соотношением , где — высокочастотный показатель адиабаты, который по значению совпадает с общепринятым показателем адиабаты среды; — низкочастотный показатель адиабаты, значение которого определяется параметрами обобщенной функции тепловых потерь. Для реализации изоэнтропической неустойчивости необходимо выполнение соотношения: [5].
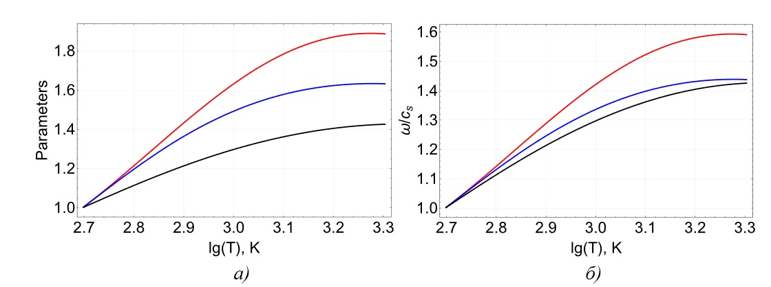
С помощью решений нелинейного акустического уравнения [2] и более точного метода, основанного на использовании адиабат [3], были произведены оценки амплитуды плотности автоволнового импульса (см. рисунок, а) и величины скорости распространения волны (б) в зависимости от температуры. При расчетах использовалась модель нагрева и охлаждения среды из работы [6], применимая для ОФД Orion Bar. На графиках указаны только зоны, в которых соблюдается условие изоэнтропической неустойчивости.
Рис. Зависимость амплитуды плотности ударноволнового импульса от температуры при решении нелинейного уравнения (красная) и при помощи адиабат (синяя) (а); зависимость скорости распространения ударноволнового импульса от температуры при решении нелинейного уравнения (красная) и при помощи метода адиабат (синяя) (б). На обоих графиках черная линия — отношение
Выводы. По итогам данной работы было получено дисперсионное соотношение для газодинамических мод в среде с тепловыделением, зависящим от температуры и плотности среды; определены типы тепловых неустойчивостей в ОФД Orion Bar и диапазон параметров среды, при которых они могут реализовываться. При помощи решения нелинейного уравнения [2] и метода адиабат [3] были получены амплитуда автоволнового импульса и скорость его распространения в неравновесной среде (ОФД Orion Bar).
Полный текст
Обоснование. Существует класс сред, возникающих на поверхности молекулярных облаков вблизи молодых звезд. Эти среды носят название областей фотодиссоциации (ОФД). Между звездой и ОФД располагается ионизационный фронт, состоящий из ионизированного ультрафиолетовым излучением водорода. За ионизационным фронтом располагается зона атомарного водорода, формирующегося от излучения в пределах 6–13,6 эВ [1]. В таких зонах при неравновесном нагреве и охлаждении формируются неустойчивости разных видов. Один из типов неустойчивостей — изоэнтропическая неустойчивость, при которой возникает автоволновой импульс [2, 3]. Параметры импульса (скорость распространения, амплитуда, форма) не зависят от вида начального возмущения, а зависят лишь от свойств самой среды. Одной из областей, в которой наблюдается изоэнтропическая неустойчивость, приводящая к росту акустических возмущений и формированию импульсов, является ОФД Orion Bar, располагающаяся в туманности Ориона [4].
Цель — оценка параметров автоволновых импульсов, формирующихся в изоэнтропически неустойчивых атомарных областях Orion Bar.
Методы. При помощи системы основных уравнений газодинамики было получено дисперсионное соотношение (1) для газодинамических мод в среде с тепловыделением, зависящим от температуры и плотности среды [2]:
(1)
В данной работе соотношение (1) использовалось для определения области параметров среды, при которых может реализовываться изоэнтропическая неустойчивость. Эти параметры можно найти приближенно в явной форме с помощью решения нелинейного акустического уравнения [2], использование которого ограничено условием слабой дисперсии и малой относительной амплитудой возмущений. Метод, разработанный в работе [3], лишен этих недостатков, однако аналитически позволяет определить их параметры только в неявной форме.
Результаты. Применение дисперсионного соотношения позволило определить условия, при которых возникает изоэнтропическая неустойчивость. Тип неустойчивости определяется соотношением , где — высокочастотный показатель адиабаты, который по значению совпадает с общепринятым показателем адиабаты среды; — низкочастотный показатель адиабаты, значение которого определяется параметрами обобщенной функции тепловых потерь. Для реализации изоэнтропической неустойчивости необходимо выполнение соотношения: [5].
С помощью решений нелинейного акустического уравнения [2] и более точного метода, основанного на использовании адиабат [3], были произведены оценки амплитуды плотности автоволнового импульса (см. рисунок, а) и величины скорости распространения волны (б) в зависимости от температуры. При расчетах использовалась модель нагрева и охлаждения среды из работы [6], применимая для ОФД Orion Bar. На графиках указаны только зоны, в которых соблюдается условие изоэнтропической неустойчивости.
Рис. Зависимость амплитуды плотности ударноволнового импульса от температуры при решении нелинейного уравнения (красная) и при помощи адиабат (синяя) (а); зависимость скорости распространения ударноволнового импульса от температуры при решении нелинейного уравнения (красная) и при помощи метода адиабат (синяя) (б). На обоих графиках черная линия — отношение
Выводы. По итогам данной работы было получено дисперсионное соотношение для газодинамических мод в среде с тепловыделением, зависящим от температуры и плотности среды; определены типы тепловых неустойчивостей в ОФД Orion Bar и диапазон параметров среды, при которых они могут реализовываться. При помощи решения нелинейного уравнения [2] и метода адиабат [3] были получены амплитуда автоволнового импульса и скорость его распространения в неравновесной среде (ОФД Orion Bar).
Об авторах
Иван Александрович Помельников
Самарский национальный исследовательский университет имени академика С.П. Королева
Email: vanidzepomelnikov@gmail.com
студент, группа 6306-030301D, институт информатики и кибернетики
Россия, 443086, Самара, Московское шоссе, 34Дмитрий Сергеевич Рящиков
Самарский национальный исследовательский университет имени академика С.П. Королева; Самарский филиал Физического института им. П.Н. Лебедева РАН
Email: ryashchikovd@gmail.com
старший преподаватель, кафедра физики, старший научный сотрудник
Россия, 443086, Самара, Московское шоссе, 34; 443011, Самара, ул. Ново-Садовая, 221Нонна Евгеньевна Молевич
Самарский национальный исследовательский университет имени академика С.П. Королева; Самарский филиал Физического института им. П.Н. Лебедева РАН
Автор, ответственный за переписку.
Email: nonna.molevich@mail.ru
научный руководитель, доктор физико-математических наук, профессор; профессор кафедры физики, главный научный сотрудник
Россия, 443086, Самара, Московское шоссе, 34; 443011, Самара, ул. Ново-Садовая, 221Список литературы
- Hollenbach D.J., Tielens A.G.G.M. Photodissociation regions in the interstellar medium of galaxies // Rev Mod Phys. 1999. Vol. 71, No. 1. P. 460–473. doi: 10.1103/RevModPhys.71.173
- Molevich N.E., Zavershinsky D.I., Galimov R.N., Makaryan V.G. Traveling self-sustained structures in interstellar clouds with the isentropic instability // Astrophys Space Sci. 2011. Vol. 334, No. 1. P. 35–44. doi: 10.1007/s10509-011-0683-0
- Molevich N.E., Riashchikov D.S. Shock wave structures in an isentropically unstable heat-releasing gas // Phys Fluids. 2021. Vol. 33, No. 7. ID 124008. doi: 10.1063/5.0053394
- Goicoechea J.R., Pety J., Cuadrado S., et al. Compression and ablation of the photo-irradiated molecular cloud the Orion Bar // Nature. 2016. Vol. 537, No. 7619. P. 207–209. doi: 10.1038/nature18957
- Рящиков Д.С. Особенности распространения газодинамических и магнитогазодинамических волн в средах с изоэнтропической тепловой неустойчивостью: дис. … канд. физ.-мат. наук. Казань, 2020. 157 с.
- Krasnobaev K.V., Tagirova R.R. Isentropic thermal instability in atomic surface layers of photodissociation regions // Monthly Notices of the Royal Astronomical Society. 2017. Vol. 469, No. 2. P. 1403–1413. doi: 10.1093/mnras/stx884
Дополнительные файлы



