Электротермический двигатель для наноспутника с безопасным жизненным циклом
- 作者: 1, 1, 1
-
隶属关系:
- Самарский университет
- 期: 卷 1 (2022)
- 页面: 337-339
- 栏目: Безопасность жизнедеятельности в техносфере
- URL: https://journals.eco-vector.com/osnk-sr/article/view/107844
- ID: 107844
如何引用文章
全文:
详细
Обоснование. Одними из наиболее популярных спутников нанокласса являются спутники формата CubeSat 1U-3U. Для управления движения их центра масс требуется двигательная установка (ДУ). Для ДУ в данной работе были применены следующие требования:
- запас характеристической скорости не менее 50 м/с;
- изменение скорости полета за один этап коррекции — порядка 0,1 м/с;
- масса ДУ не более 2 кг, размеры не более 1,5U;
- безопасность для персонала на всем протяжении жизненного цикла.
Цель — разработать прототип летного варианта двигательной установки для аппарата формата CubeSat 3U, которой будет безопасен для использования персоналом и обучающимися на всех этапах разработки, изготовления и тестирования.
Методы. Для настоящего исследования был выбран такой тип ДУ, как электротермическая ДУ (ЭТДУ) [1–4]. Эта установка должна работать в импульсном режиме, с рабочим телом (РТ) — смеси воды дистиллированной с добавкой, для незамерзаемости, 40 % по массе спирта этилового. Такая добавка позволяет обеспечивать работоспособность вытеснительной системы подачи РТ вплоть до температуры –28 °C. Структурная схема ЭТДУ приведена на рис. 1.
Рис. 1. Выбранная структурная схема электротермического двигателя
РТ в баке с вытеснительной подачей, при открытии отсечного клапана по команде системы управления двигателем, поступает в нагреватель, где вначале нагревается до температуры кипения и испаряется. Затем перегревается до возможно большей температуры в том же нагревателе и истекает из сопла Лаваля, создавая тягу. Система управления реализует необходимую циклограмму работы ЭТДУ.
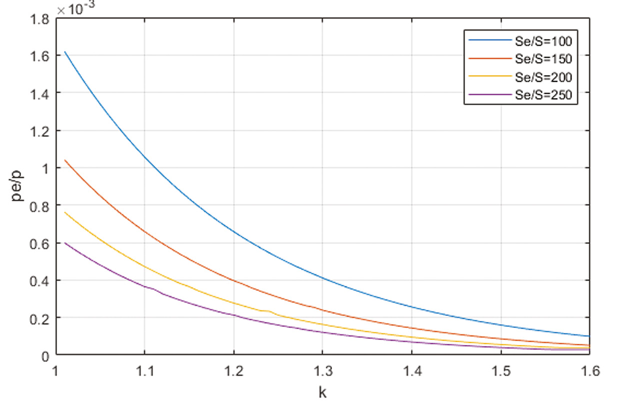
Рассчитаем характеристики сопла Лаваля по известным формулам. В начале найдем численным методом бисекции отношение абсолютных давлений на выходе из сопла и входе в него, pe/p, которое зависит только от степени расширения газа в сопле, затем характеристики удельной тяги.
Полученная зависимость pe/p от показателя адиабаты методом бисекции приведена на рисунке 2.
Рис. 2. Результаты определения отношения давлений pe/p от показателя адиабаты
При выборе воды придется предусмотреть термостат, обеспечивающий работоспособность системы подачи РТ при температурах ниже точки замерзания воды. Термостат будет потреблять электроэнергию, иметь дополнительную массу и снижать надежность работы ЭТДУ, что сводит на нет преимущества воды как рабочего тела. Поэтому и был выбран метод обеспечения незамерзаемости воды путем добавки спирта.
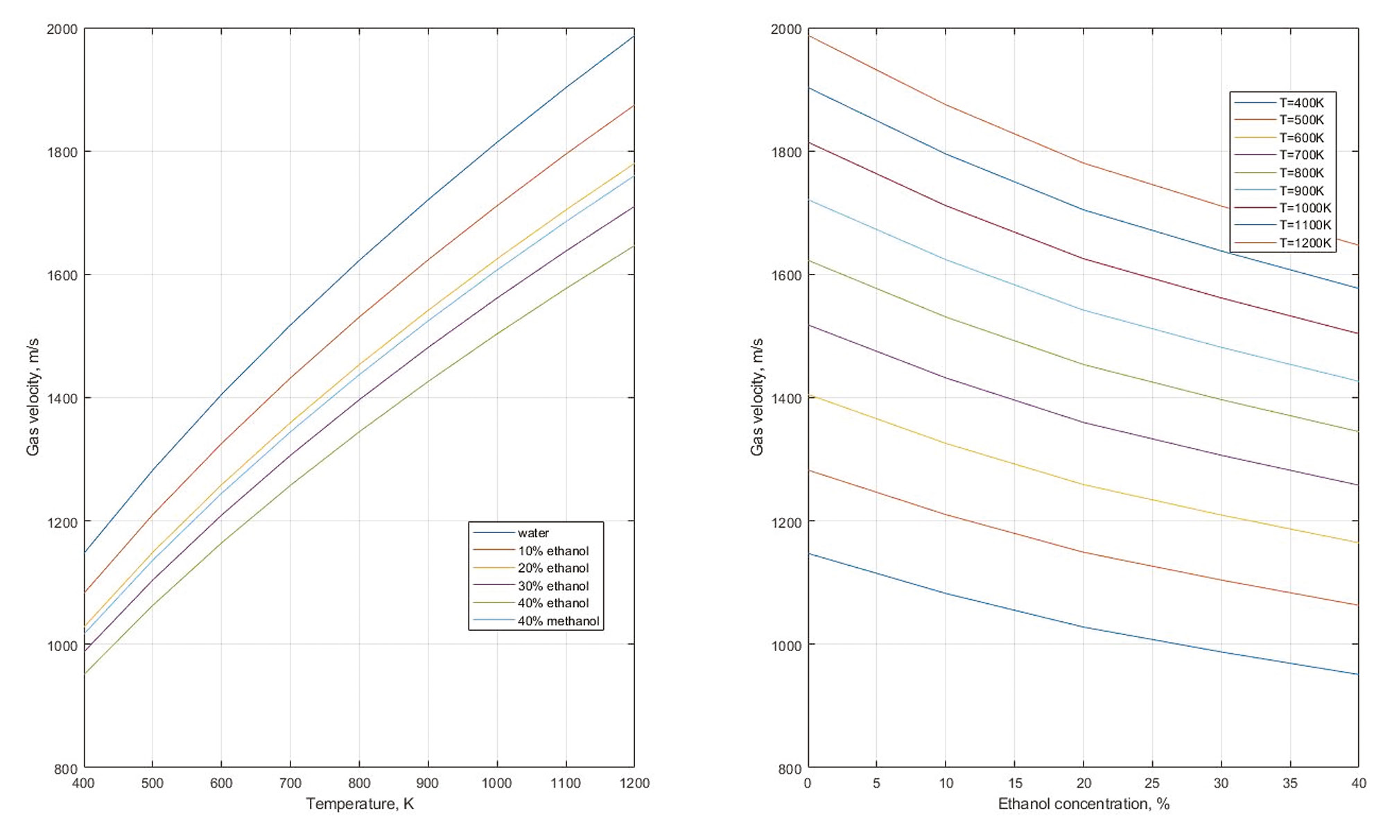
Результаты расчета [4] характеристик ЭТДУ можно увидеть на рисунке 3.
Рис. 3. Зависимости удельной тяги, в м/с, при работе ЭТДУ на РТ дистиллированная вода с добавками спирта этилового. Геометрическая степень расширения газа в сопле 100
Метиловый спирт позволяет обеспечить уровни удельной тяги и запаса характеристической скорости выше, чем при применении этилового спирта. Однако метиловый спирт представляет опасность химического отравления персонала при проведении испытаний, а также экипажа МКС в случае запуска космонавтами с ее борта, что неприемлемо. В изложенной связи для обеспечения незамерзаемости воды и были выбраны указанные выше добавки спирта этилового, который обеспечивает практическую безопасность РТ.
Результаты. Проведенные испытания показали удельную тягу ЭТДУ, равную 1320 м/с, запас характеристической скорости 62 м/с, при емкости бака РТ 0,17 кг. Масса ЭТДУ 1,6 кг, размеры 1,5U.
Выводы.
- Прототип ЭТДУ спроектирован и изготовлен.
- Разработана, изготовлена, снабжена математическим обеспечением экспериментальная установка, а также выполнен цикл испытаний прототипа ЭТДУ в рамках научно-исследовательской отработки.
- Прототип ЭТДУ пригоден для образовательных и научных миссий, безопасен при проведении наземных испытаний, транспортировке, хранении, запуске с МКС и других носителей, полете по орбите.
- Прототип ЭТДУ обеспечивает заданные характеристики [4].
全文:
Обоснование. Одними из наиболее популярных спутников нанокласса являются спутники формата CubeSat 1U-3U. Для управления движения их центра масс требуется двигательная установка (ДУ). Для ДУ в данной работе были применены следующие требования:
- запас характеристической скорости не менее 50 м/с;
- изменение скорости полета за один этап коррекции — порядка 0,1 м/с;
- масса ДУ не более 2 кг, размеры не более 1,5U;
- безопасность для персонала на всем протяжении жизненного цикла.
Цель — разработать прототип летного варианта двигательной установки для аппарата формата CubeSat 3U, которой будет безопасен для использования персоналом и обучающимися на всех этапах разработки, изготовления и тестирования.
Методы. Для настоящего исследования был выбран такой тип ДУ, как электротермическая ДУ (ЭТДУ) [1–4]. Эта установка должна работать в импульсном режиме, с рабочим телом (РТ) — смеси воды дистиллированной с добавкой, для незамерзаемости, 40 % по массе спирта этилового. Такая добавка позволяет обеспечивать работоспособность вытеснительной системы подачи РТ вплоть до температуры –28 °C. Структурная схема ЭТДУ приведена на рис. 1.
Рис. 1. Выбранная структурная схема электротермического двигателя
РТ в баке с вытеснительной подачей, при открытии отсечного клапана по команде системы управления двигателем, поступает в нагреватель, где вначале нагревается до температуры кипения и испаряется. Затем перегревается до возможно большей температуры в том же нагревателе и истекает из сопла Лаваля, создавая тягу. Система управления реализует необходимую циклограмму работы ЭТДУ.
Рассчитаем характеристики сопла Лаваля по известным формулам. В начале найдем численным методом бисекции отношение абсолютных давлений на выходе из сопла и входе в него, pe/p, которое зависит только от степени расширения газа в сопле, затем характеристики удельной тяги.
Полученная зависимость pe/p от показателя адиабаты методом бисекции приведена на рисунке 2.
Рис. 2. Результаты определения отношения давлений pe/p от показателя адиабаты
При выборе воды придется предусмотреть термостат, обеспечивающий работоспособность системы подачи РТ при температурах ниже точки замерзания воды. Термостат будет потреблять электроэнергию, иметь дополнительную массу и снижать надежность работы ЭТДУ, что сводит на нет преимущества воды как рабочего тела. Поэтому и был выбран метод обеспечения незамерзаемости воды путем добавки спирта.
Результаты расчета [4] характеристик ЭТДУ можно увидеть на рисунке 3.
Рис. 3. Зависимости удельной тяги, в м/с, при работе ЭТДУ на РТ дистиллированная вода с добавками спирта этилового. Геометрическая степень расширения газа в сопле 100
Метиловый спирт позволяет обеспечить уровни удельной тяги и запаса характеристической скорости выше, чем при применении этилового спирта. Однако метиловый спирт представляет опасность химического отравления персонала при проведении испытаний, а также экипажа МКС в случае запуска космонавтами с ее борта, что неприемлемо. В изложенной связи для обеспечения незамерзаемости воды и были выбраны указанные выше добавки спирта этилового, который обеспечивает практическую безопасность РТ.
Результаты. Проведенные испытания показали удельную тягу ЭТДУ, равную 1320 м/с, запас характеристической скорости 62 м/с, при емкости бака РТ 0,17 кг. Масса ЭТДУ 1,6 кг, размеры 1,5U.
Выводы.
- Прототип ЭТДУ спроектирован и изготовлен.
- Разработана, изготовлена, снабжена математическим обеспечением экспериментальная установка, а также выполнен цикл испытаний прототипа ЭТДУ в рамках научно-исследовательской отработки.
- Прототип ЭТДУ пригоден для образовательных и научных миссий, безопасен при проведении наземных испытаний, транспортировке, хранении, запуске с МКС и других носителей, полете по орбите.
- Прототип ЭТДУ обеспечивает заданные характеристики [4].
作者简介
Самарский университет
Email: altSobor@yandex.ru
студентка, группа 6362-110301D, институт информатики и кибернетики
俄罗斯联邦, СамараСамарский университет
Email: altSobor@yandex.ru
аспирант, группа А303, институт информатики и кибернетики
俄罗斯联邦, СамараСамарский университет
编辑信件的主要联系方式.
Email: ivlievav@mail.ru
кандидат технических наук, кафедра экологии и безопасности жизнедеятельности, доцент; Межвузовская кафедра космических исследований, доцент
俄罗斯联邦, Самара参考
- O’Reilly D., Herdrich G., Kavanagh D.F. Electric Propulsion Methods for Small Satellites: A Review // Aerospace. 2021. Vol. 8, No. 1. P. 22. doi: 10.3390/aerospace8010022
- Белоконов И.В., Ивлиев А.В., Богатырев А.М., и др. Выбор проектного облика двигательной установки наноспутника // Вестник Самарского университета. Аэрокосмическая техника, технологии и машиностроение. 2019. Т. 18, № 3. С. 29–37.
- Belokonov I., Ivliev A. Development of a propulsion system for a maneuvering module of a low-orbit nanosatellite // Procedia Engineering. 2017. Vol. 185. P. 366–372. doi: 10.1016/j.proeng.2017.03.317
- Kumarin A.A., Kudryavtsev I.A. Modelling the EDLC-based Power Supply Module for a Maneuvering System of a Nanosatellite // IOP Conf Series: Materials Science and Engineering. 2018. Vol. 302, No. 1. P. 1–6. doi: 10.1088/1757-899X/302/1/012044
补充文件





