Анализ режимов горячей прокатки с помощью критерия разрушения Колмогорова
- Authors: 1, 1
-
Affiliations:
- Самарский национальный исследовательский университет имени академика С.П. Королева
- Issue: Vol 1 (2023)
- Pages: 368-370
- Section: Цифровые технологии в машиностроении: материаловедение и металлообработка
- URL: https://journals.eco-vector.com/osnk-sr2023/article/view/492291
- ID: 492291
Cite item
Full Text
Abstract
Обоснование. Одними из наиболее распространенных типов дефектов в катаных полуфабрикатах являются поверхностные [1–3].
Существуют дефекты, которые образуются только на одной стороне проката, это свидетельствует о том, что причина их образования может заключаться в неравномерности очага деформации. Некоторыми из причин неравномерности деформаций могут служить различие в коэффициентах трения на контактных поверхностях, неравномерность распределения температуры по сечению заготовки и натяжение полосы на выходе из валков [4–5].
Цели - провести теоретическое исследование очага деформации при горячей прокатке на предмет возможного образования дефектов типа «отслоение».
Методы. Для достижения цели необходимо разработать имитационную модель процесса горячей прокатки плит из алюминиевых сплавов и проанализировать очаг деформации с применением современных критериев разрушения.
Для разработки имитационной модели выбран программный комплекс Deform, так как он хорошо подходит для моделирования горячей прокатки (рис. 1).
Рис. 1. Внешний вид имитационной модели
Модели была создана с учетом классических допущений:
Спланирован полнофакторный эксперимент, параметры которого представлены в табл. 1.
Таблица 1. Факторы эксперимента
Фактор | Натяжение полосы N, Н/мм2 | Температура заготовки Т, °С | Коэффицинты трения µ |
Диапазон варьирования | [0; 14] | [450; 420] | [0,3; 0,4] |
Вероятность образования дефекта оценивалась с помощью критерия разрушения Колмогорова (1):
(1)
где Λ — накопленные сдвиговые деформации; Λр — критерий, характеризующий запас пластичности металла.
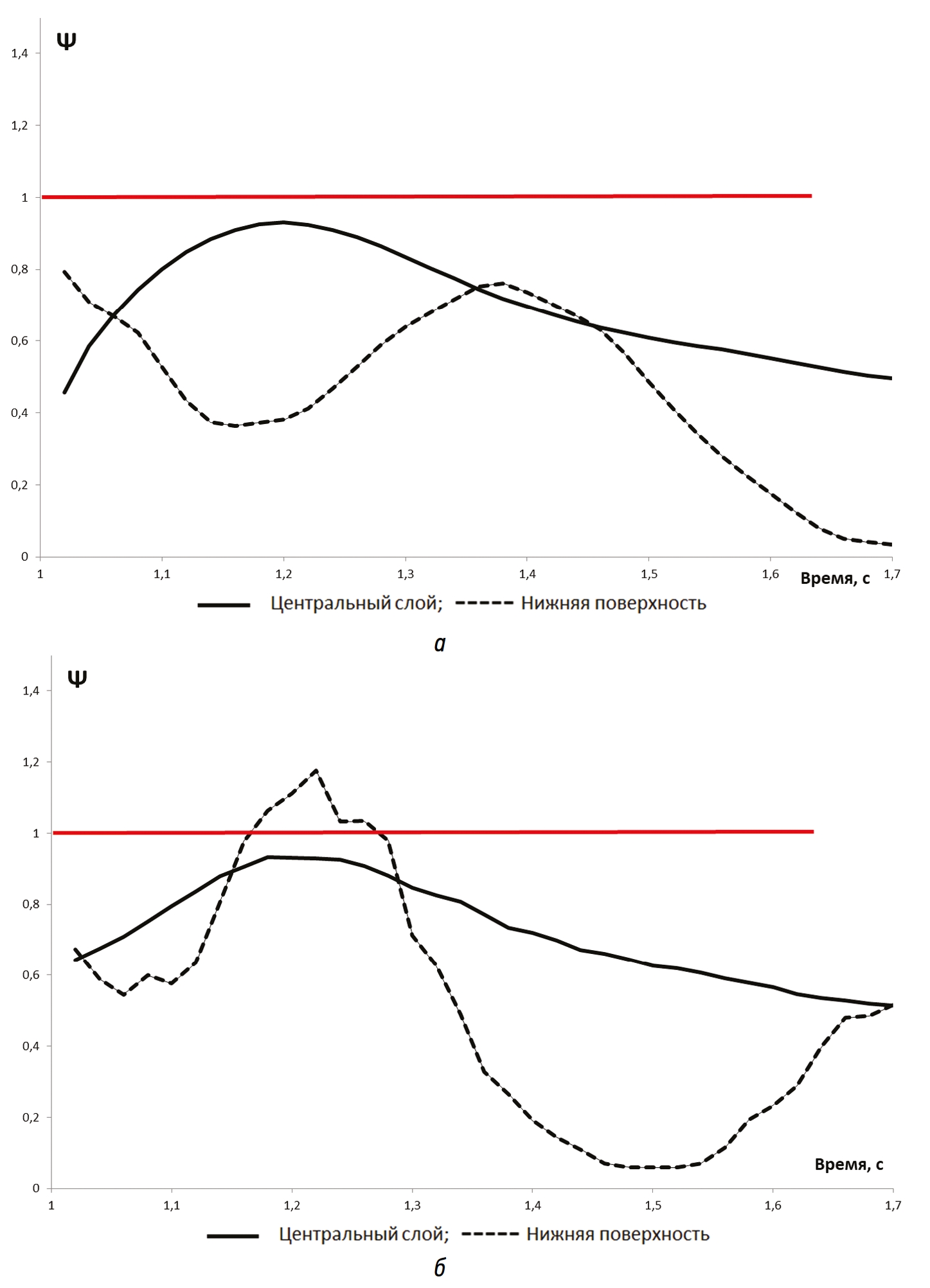
Результаты. Для наглядности построены графики зависимости критерия разрушения от координаты по длине очага деформации сечения полосы. Оценивалось разрушение в центре заготовки и на поверхности полосы (рис. 2).
Рис. 2. Значение критерия Колмогорова по длине очага деформации: а — µв = µн, N = 0, Tв – Tн = 0; б — µв = 1,25µн, N = 14, Tв – Tн = 30
Численный эксперимент показал, что при прокатке с одинаковыми условиями трения на контактных поверхностях, равномерном остывании полосы вероятность образования дефектов ниже единицы.
Незначительное повышение показателя разрушения наблюдается при наложении натяжения полосы на выходе из валков, это обусловлено растягивающими нормальными напряжениями, изменяющими схему напряженно-деформированного состояния, причем повышение вероятности разрушения происходит в центральном сечении полосы.
При учете неравномерности остывания полосы вследствие контакта со смазочно-охлаждающей жидкостью наблюдается рост показателя разрушения ближе к поверхностям полосы. Этот эффект объясняется повышением напряжений в захоложенных зонах, имеющих меньшую пластичность.
Выводы. Наибольшая вероятность разрушения (Ψ = 1,2) из рассчитанных случаев наблюдается при учете натяжения, неравномерности остывания полосы и при различных коэффициентах трения на верхней контактной поверхности µ = 0,3 и µ = 0,4 на нижней. Очевидно, при этих условиях велика вероятность образования на полосе поверхностного дефекта. При разработке режимов прокатки и во время контроля процесса необходимо избегать подобных условий обработки.
Full Text
Обоснование. Одними из наиболее распространенных типов дефектов в катаных полуфабрикатах являются поверхностные [1–3].
Существуют дефекты, которые образуются только на одной стороне проката, это свидетельствует о том, что причина их образования может заключаться в неравномерности очага деформации. Некоторыми из причин неравномерности деформаций могут служить различие в коэффициентах трения на контактных поверхностях, неравномерность распределения температуры по сечению заготовки и натяжение полосы на выходе из валков [4–5].
Цели - провести теоретическое исследование очага деформации при горячей прокатке на предмет возможного образования дефектов типа «отслоение».
Методы. Для достижения цели необходимо разработать имитационную модель процесса горячей прокатки плит из алюминиевых сплавов и проанализировать очаг деформации с применением современных критериев разрушения.
Для разработки имитационной модели выбран программный комплекс Deform, так как он хорошо подходит для моделирования горячей прокатки (рис. 1).
Рис. 1. Внешний вид имитационной модели
Модели была создана с учетом классических допущений:
Спланирован полнофакторный эксперимент, параметры которого представлены в табл. 1.
Таблица 1. Факторы эксперимента
Фактор | Натяжение полосы N, Н/мм2 | Температура заготовки Т, °С | Коэффицинты трения µ |
Диапазон варьирования | [0; 14] | [450; 420] |
Вероятность образования дефекта оценивалась с помощью критерия разрушения Колмогорова (1):
(1)
где Λ — накопленные сдвиговые деформации; Λр — критерий, характеризующий запас пластичности металла.
Результаты. Для наглядности построены графики зависимости критерия разрушения от координаты по длине очага деформации сечения полосы. Оценивалось разрушение в центре заготовки и на поверхности полосы (рис. 2).
Рис. 2. Значение критерия Колмогорова по длине очага деформации: а — µв = µн, N = 0, Tв – Tн = 0; б — µв = 1,25µн, N = 14, Tв – Tн = 30
Численный эксперимент показал, что при прокатке с одинаковыми условиями трения на контактных поверхностях, равномерном остывании полосы вероятность образования дефектов ниже единицы.
Незначительное повышение показателя разрушения наблюдается при наложении натяжения полосы на выходе из валков, это обусловлено растягивающими нормальными напряжениями, изменяющими схему напряженно-деформированного состояния, причем повышение вероятности разрушения происходит в центральном сечении полосы.
При учете неравномерности остывания полосы вследствие контакта со смазочно-охлаждающей жидкостью наблюдается рост показателя разрушения ближе к поверхностям полосы. Этот эффект объясняется повышением напряжений в захоложенных зонах, имеющих меньшую пластичность.
Выводы. Наибольшая вероятность разрушения (Ψ = 1,2) из рассчитанных случаев наблюдается при учете натяжения, неравномерности остывания полосы и при различных коэффициентах трения на верхней контактной поверхности µ = 0,3 и µ = 0,4 на нижней. Очевидно, при этих условиях велика вероятность образования на полосе поверхностного дефекта. При разработке режимов прокатки и во время контроля процесса необходимо избегать подобных условий обработки.
About the authors
Самарский национальный исследовательский университет имени академика С.П. Королева
Author for correspondence.
Email: klepovdenis17@gmail.com
Самарский национальный исследовательский университет имени академика С.П. Королева
Email: arishenskiy.ev@ssau.ru
References
- Ковалева И.А., Потапенко Ю.А. Исследования дефектов горячекатаного проката сортопрокатного цеха № 1 стана 850, имеющих прокатную природу образования, на ОАО «БМЗ — управляющая компания холдинга «БМК» // Литье и металлургия. 2019. № 2. С. 60–66.
- Колбасников Н.Г. Исследование причин образования поверхностных трещин при прокатке толстого листа и изготовлении труб из микролегированных сталей. Особенности прокатки в двухфазной области // Сталь. 2016. № 7. С. 34–40.
- Матвеев М.А. Оценка вероятности разрушения металла при горячей пластической деформации с помощью критерия Кокрофта — Латама // Глобальная энергия. 2017. Т. 23, № 2. С. 109–126.
- Николаев В.А., Васильев А.А. Технологические процессы прокатки широких полос // Обработка материалов давлением. 2012. № 2. С. 194–200.
- Колбасников Н.Г., Шишов И.А., Корчагин А.М., Беляев А.А. Исследование влияния неравномерности температурного поля раската на характер напряженно-деформированного состояния металла в очаге деформации при прокатке толстого листа // Материаловедение. Энергетика. 2013. № 4–1. С. 183–192.
Supplementary files




