Anti-angiogenic therapy for diabetic macular edema
- Authors: Shadrichev F.E.1, Grigor'eva N.N.2, Rozhdestvenskaya E.S.3
-
Affiliations:
- Pavlov First Saint Petersburg State Medical University
- Saint Petersburg State University
- Saint Petersburg City Multifield Hospital No 2
- Issue: Vol 11, No 4 (2018)
- Pages: 51-66
- Section: Articles
- Submitted: 20.02.2019
- Published: 15.12.2018
- URL: https://journals.eco-vector.com/ov/article/view/11124
- DOI: https://doi.org/10.17816/OV11451-66
- ID: 11124
Cite item
Abstract
Diabetic retinopathy remains one of the greatest challenges for healthcare system worldwide despite the fact that the incidence of visual acuity impairment in diabetic population has decreased due to examination quality improvement and dynamic observation of patients. Visual acuity impairment in diabetic patients is often related to diabetic macular edema. Until recently, laser photocoagulation of the retina was regarded as gold standard for diabetic macular edema treatment. Laser photocoagulation of the retina provides visual acuity stabilization rather than improvement. Since early 2000s, pharmacological approach to this severe disease has been established. As vascular endothelial growth factor (VEGF) is one of the crucial factors involved in the pathogenesis of diabetic retinal disorders, VEGF inhibitors are now recognized as a treatment of choice for diabetic macular edema. This article considers results of different clinical trials investigating anti-VEGF therapy efficacy in DME treatment.
Keywords
Full Text
INTRODUCTION
Diabetes mellitus (DM) is among the most common non-communicable diseases in the world. According to the World Health Organization, the number of patients with diabetes has nearly quadrupled since 1980 [1]. Indeed, not only does the incidence of type 1 DM continue to grow but also the prevalence of type 2 DM has already reached the level of a non-infectious pandemic. Over the coming years, a significant increase in the worldwide number of patients with DM is predicted from 425 million in 2017 to 629 million by 2045 [2].
Patients with diabetes suffer from several complications due to lesions of the vascular bed that adversely affect both the quality and duration of life. Diabetic retinal lesions are gradually becoming the most common manifestation of microangiopathy in DM. Although improved quality of examination and case follow-up has led to a decrease in the frequency of vision loss due to diabetes, diabetic retinopathy (DR) remains a significant problem for global health [1–3]. Worldwide, more than 100 million people suffer from DR, and according to forecasts, the incidence is set to increase further [4]. Therefore, the relevance of treatments for DR, including diabetic macular edema (DME), cannot be overestimated. The potential for modern ophthalmology to treat states that threaten vision loss, such as proliferative diabetic retinopathy (PDR) and DME, have expanded in recent years.
Despite improvements in treatment options, diabetic retinal lesions continue to be a leading cause of blindness worldwide, requiring that the underlying pathogenetic mechanisms continue to be actively studied. It is currently thought that the pathogenesis of DME is related to a disorder of the internal and external blood–retinal barrier, with increased permeability of the capillary wall and an inability of the pigment epithelium to reabsorb the resulting excess fluid. In turn, this leads to edema and an increase in retinal thickness in the macular area [2, 5–7]. Proliferative DR is characterized by an increase in pathological neovasculature that results in a decrease in visual function, including complete loss due to fragile vessel walls (vitreal and preretinal hemorrhages), traction effects (retinal detachment), or blocking of intraocular fluid outflow (neovascular glaucoma) [8–10]. Recent study has shown that DM significantly affects the neuronal component of the retina, causing isolated neuropathy determined by the unique anatomy of retinal structures [11, 12].
The improvements in our knowledge have contributed to the identification of new therapeutic targets and a shift in strategic approaches to the prevention and treatment of pathological conditions such as neuronal retinal dysfunction, excessive vascular permeability, retinal ischemia, and neovascularization. Together with the introduction of preventive medicine, these can improve the efficiency of DR therapy, allowing earlier treatment, and more individualized treatment regimens.
PATHOGENESIS OF MACULAR EDEMA
DME has links with many aspects of the pathological processes in the eye. Chronic hyperglycemia results in the development of microangiopathy and degenerative neuroretinopathy, with damage occurring to the so-called neurovascular unit, including both vascular and neuronal and glial cells. Hyperglycemia activates intracellular glucose metabolism, hexosamine, and polyol. The clinical significance of polyol mechanism is shown in insulin-independent tissues (e. g., endothelium, kidney glomerular cells, neurons, and the eye lens) into which glucose enters uncontrollably along a concentration gradient. In response to an increase in the glucose content in these cells, the rate of sorbitol synthesis increases markedly. Excess amounts of osmotic substances, namely sorbitol and fructose, lead to hydration and a change in cell shape and functional activity.Sorbitol accumulation in neurons further disrupts nerve impulse conduction. Finally, irreversible glycation products are formed, which along with highly reactive oxygen compound formation (due to oxidative stress), protein kinase C activation, and inflammatory cytokine expression, cause damage to the vascular wall from both the external and internal sides, resulting in pericyte and endothelial cell death [6].
Fluid and protein inflow from the vascular space into the retina is controlled by the blood–retinal barrier. Under hyperglycemia, both the internal (retinal vascular endothelium) and the external (pigment epithelium) blood–retinal barriers are damaged. Breakdown of the tight contacts between cells, loss of pericytes, and loss of endothelial cells leads to increased capillary permeability and the leakage of fluid, electrolytes, and large molecules into the extracellular space, resulting in DME.
The presence of oxidative stress, highly reactive oxygen compounds, and the final irreversible glycation products induce the expressions of inflammatory cytokines (such as IL-6, IL-8, IL-1β, and TNFα), chemokines (CCL2, CCL5, CXCL8, CXCL10, CXCL12), and adhesion molecules (ICAM-1, VCAM-1), which cause the leukocyte migration and leukostasis [5, 6]. In turn, the adhesion of leukocytes and endothelial cells causes capillary obstruction and retinal ischemia, triggering vascular endothelial growth factor (VEGF) expression, which represents a key element to the pathogenesis of DME and DR. The concentration of VEGF in the vitreous of patients with diabetes is more than ten times higher than in people without diabetes [7, 14]. VEGF leads to new vessels growth and blood–retinal barrier impairment that increases vascular permeability and DME. In the VEGF family, several types exist, such A, B, C, D, and PlGF (placental growth factor) [15–21], but only VEGFA, VEGFВ, and PlGF have been associated with the pathogenesis of diabetic retinal lesions.
VEGF-A is a heparin-binding homodimer glycoprotein secreted by glia, ganglion cells, endothelial cells, astrocytes, and retinal pigment epithelium [15, 22]. It is necessary for physiological vascular function, angiogenesis, and neuron survival [15, 23, 24], binding closely to VEGF receptors 1 and 2 (VEGFR-1 and VEGFR-2, respectively) that are expressed by blood vessel endothelium. Activation of these receptors causes endothelial cell growth and proliferation of vessels, the survival of immature vessels, and impaired vascular permeability [6, 15]. VEGFR-2 is predominantly expressed on endothelial cells and has the most pronounced mitogenic activity that is responsible for the pathological angiogenic response [25]. VEGF-A can increase blood vessel permeability 1000 times stronger than histamine. There are five VEGF-A isoforms (121, 145, 165, 189, and 206 amino acids), and each differs in mitogenic potential, chemotactic properties, transport activity, signal transduction, receptor binding ability, and tissue-specific expression. The VEGF-A level in the vitreous strongly correlates with DR and DME severity [15, 18, 26, 27].
Other members of the VEGF family play less important roles in physiological angiogenesis, but may be relevant to the development of diabetic retinal lesions. PlGF can enhance pathological angiogenesis triggered by VEGF-A and cause the blood–retinal barrier breakdown by binding to VEGFR-1, causing an increase in the binding capacity of VEGF-A to VEGFR-2 [28, 29]. The role of PlGF in DR has been confirmed in vitro and in vivo [30]. There is also an evidence that the PlGF level in the vitreous increases with increasing ischemia in retinal lesions [31]. To date, the involvement of VEGF-B in the pathogenesis of diabetic retinal lesions has not been studied in detail. However, it may also bind to the VEGFR-1 receptor and cause a more efficient binding of VEGF-A with VEGFR-2. In a mouse study, VEGF-B was shown to stimulate the development of choroidal and retinal neovascularization, but in other studies in the presence of proliferative DR, levels of VEGF-B did not increase in the vitreous [32, 33].
The increased expression of VEGF is a key element to the pathogenesis of diabetic retinal lesions, particularly DME. Therefore, suppression by intravitreal injections of angiogenesis inhibitors can be considered a justifiable therapy.
CURRENT TREATMENT POSSIBILITIES
Since the early 1970s, laser coagulation of the retina (LCR) was actively used to treat diabetic retinal lesions, being the primary method for preventing blindness in these patients. In the late 1980s, two large-scale, long-term, multicenter studies proved the efficiency of LCR to prevent vision loss. These were the Diabetic Retinopathy Study (DRS) and the Early Treatment Diabetic Retinopathy Study (ETDRS).
In the DRS study, it was found that panretinal coagulation reduced the risk of severe vision loss in PDR by more than 50% over a two-year period. The positive effect of panretinal coagulation was prolonged and due to the elimination of ischemic zones, thereby decreasing VEGF production [34, 35]. The ETDRS study showed that coagulation in the macular zone (focal or “lattice” type) reduced the risk of vision loss in clinically significant DME in half of all cases; but, an increase in visual acuity (VA) by more than one line was achieved only in few patients [13]. Although the effects of grid LCR on fundus structures are not known, one theory suggests that there is an increased expression of pigment epithelium derived factor, a counter-regulator of VEGF [11, 36–38]. In addition, local edema is usually treated by focal laser coagulation, while diffuse leakage is treated by modification of the grid-type LCR. Treatment efficacy is especially high when LCR is performed at an early stage of diabetic maculopathy when visual function remains high, and there are few deposits of hard exudates.
Despite the proven efficacy of LCR, some patients continue to lose their vision despite treatment. This may be due to both the complications of laser treatment (development of serpiginous atrophy and subretinal fibrosis) and resistance to its effects. In addition, the use of LCR is limited in the presence of high DME, fibrosis of the inner limiting membrane of the retina, and abnormalities of the vitreoretinal contact. Thus, although LCR remained the only way to prevent blindness in patients with diabetes for a long time, from the early 2000s, the understanding that LCR is not ideal in all settings has led to active research and the onset of a pharmacological era of treatment. Indeed, EURETINA recommendations on the management of DME now state that “due to new data obtained from careful clinical studies, laser coagulation is no longer recommended for the treatment of DME, and anti-VEGF drugs have taken the place of first-line therapy” [10].
Intravitreal corticosteroid injections were the first pharmacological therapy for DME. However, despite being pathogenetically substantiated, corticosteroids remain only second-line options because of the risks of increased intraocular pressure and cataract [10]. Current first-line drugs are angiogenesis inhibitors that target the significantly elevated VEGF levels in diabetic retinal lesions effectively stabilizing neovascularization and DME, and improving visual function [10]. Three anti-VEGF drugs are available in our country: ranibizumab (Lucentis), bevacizumab (Avastin), and aflibercept (Eylea); however, only ranibizumab and aflibercept are officially approved for intravitreal administration, whereas bevacizumab is used off-label. Ranibizumab is an antigen-binding fragment of a humanized monoclonal antibody to VEGF-A that prevents all VEGF-A isoforms from interacting with VEGFR-1 and VEGFR-2 on endothelial cell surfaces, suppressing vascular proliferation, new vessel growth, and pathological leakage. By contrast, aflibercept is a recombinant fusion protein comprising fragments of the extracellular domains of human VEGFR-1 and VEGFR-2 receptors, linked to the Fc fragment of human immunoglobulin G (IgG1). It acts as a soluble decoy receptor that binds VEGF-A, VEGF-B, and PlGF with higher affinity than the natural receptors, thereby inhibiting the binding and activation of the target receptors [25]. This mechanism explains the high efficacy of aflibercept in suppressing vascular proliferation and DME.
There are two main competing strategies for delivering angiogenesis inhibitors. One option is as needed (i. e., PRN) therapy, which is used when negative changes are detected in visual function and/or retinal thickness after performing 3–5 consecutive loading doses at fixed time intervals of one month. This requires a fixed number of visits by the patient to a specialist, with check-ups every four weeks. Another option is the treat-and-extend regimen that involves sequential injections over a fixed period until the maximum effect is achieved, after which observation is continued with an individual frequency depending on changes in visual function and retinal thickness. The interval between examinations increases if there are no negative changes, but the interval decreases if progression occurs. This approach can facilitate reduced frequency of examinations, increased patient compliance, and increased cost-effectiveness [39]. Unfortunately, it can also reduce confidence in obtaining further stability of visual function, because the effect of anti-VEGF therapy is temporary in many cases [40]. Alternatives consist in giving injections at longer fixed intervals, such as every month or every two months.
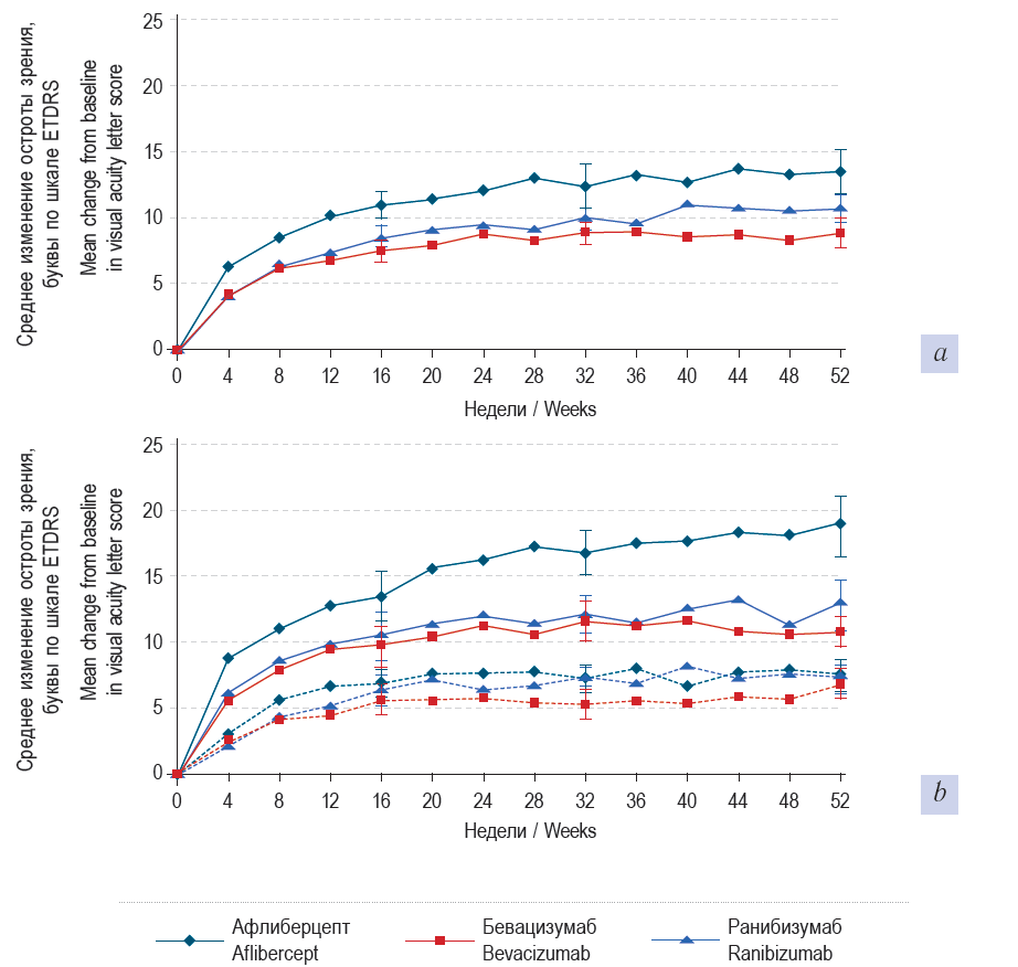
The RESTORE and RESOLVE studies confirmed the ability of anti-angiogenic therapy not only to prevent VA reduction but also to improve VA, also demonstrating the safety of ranibizumab alone and in combination with LCR [6, 10, 15, 41, 42]. In the RISE and RIDE studies, it was shown that intravitreal injection of ranibizumab could significantly improve VA compared with controls (sham injection). Delayed use of ranibizumab, from the end of the year two, in the control group also improved the best corrected visual acuity (BCVA), though outcomes were significantly worse than those in the group which received ranibizumab from the study start. This indicates the importance of starting therapy with angiogenesis inhibitors as early as possible. The RISE and RIDE studies also compared 0.3 and 0.5 mg doses of ranibizumab. Since no significant differences were found between doses, the recommended dose of ranibizumab in the United States has been set at 0.3 mg, though this has not been applied to the Russian Federation [43].
The efficiency of aflibercept has been proven in the Phase III VIVID and VISTA clinical trials [44–46]. By the end of year one of the VIVID study, intravitreal administration of 2 mg aflibercept (either Q4W or Q8W) after five monthly loading doses, significant improvements were seen in VA compared with the LCR group. Comparing the Q4W and Q8W regimens, increases by ten letters or more were observed in 54.4% and 53.3%, respectively, or by 15 letters or more in 32.4% and 33.3%, respectively. In the LCR group, improvements by 10 and 15 letters were only recorded in 25.8% and 9.1%, respectively. Comparable results were obtained in the VISTA study [46]. Delayed addition of aflibercept therapy to LCR contributed to improvements in functional parameters, but again, this was less pronounced than in the group that received aflibercept from the study start [45]. These studies also showed that aflibercept had a significant positive effect on the DR course, and that LCR produced clearly inferior functional results compared with the angiogenesis inhibitors.
A large-scale project that assessed the efficacy of all major angiogenesis inhibitors used for the treatment of DME, Protocol T, was conducted by the Diabetic Retinopathy Clinical Research Network (DRCR.net). This protocol was the first and only large-scale study to compare the efficacy and safety of three different angiogenesis inhibitors directly for the treatment of DME. Specifically, they compared ranibizumab 0.3 mg, bevacizumab 1.25 mg, and aflibercept 2 mg. It should be noted that DME monotherapy mode was only conducted for the first 6 months in all cases. After this, the investigator could decide whether to add laser treatment [47, 48]. This is one of many studies conducted by DRCR.net into most currently available treatment methods for DR and DME, including the efficacy of intravitreal administration of angiogenesis inhibitors or corticosteroids both alone and in combination with LCR.
Protocol T of the DRCR.net group was a multicenter, double-blind, randomized clinical trial of anti-VEGF in the treatment of DME [47, 48]. The study included 660 patients with DME and decreased VA. DME was required to affect the anatomic macular center (height ≥250 μm) based on optical coherence tomography (OCT; Stratus OCT). VA was examined by the ETDRS scale, with a baseline level of 24–78 letters, corresponding to a VA range of 20/32 to 20/320 of Snellen charts. Approximate VA correlation with Snellen chart results is given by the authors of the protocol. Patients were then divided into groups receiving aflibercept, ranibizumab, or bevacizumab at a ratio of 1 : 1 : 1 and examined every month in the first year (the interval potentially extended to 16 week in the second year if there was no further need for injections). After 2 years, more than 90% of patients completed the study and 98% of planned injections in these patients were given. The first results were published in 2015 [48].
The main efficacy criterion was an increase in the BCVA by the end of the year one of treatment, determined by the ETDRS scale. Patients were also stratified by their original BCVA. The central retinal thickness (CRT) was estimated based on the OCT data, and the number of injections and the need for laser treatment during the follow-up period were compared [47, 48]. According to the study protocol, injections were given every 4 weeks until week 24 or until the VA reached more than 84 letters by the ETDRS scale (i. e., VA better than 20/20 on Snellen charts) with a CRT <250 μm without positive or negative dynamic changes over the last two injections (improvement or deterioration assessed as a change in BCVA by ≥5 and a change in CRT by ≥10%). From month six, therapy was continued if patients had changes in the functional and morphological parameters of the retina, regardless of their range [47]. In the case of resistant edema after week 24, focal or grid-type LCR was permitted at intervals of 3 months until the following criteria were met:
- LCR opportunities were exhausted (i. e., implemented in full);
- retinal edema of <250 μm on OCT was not clinically visible; and
- clear improvement from the previous LCR session.
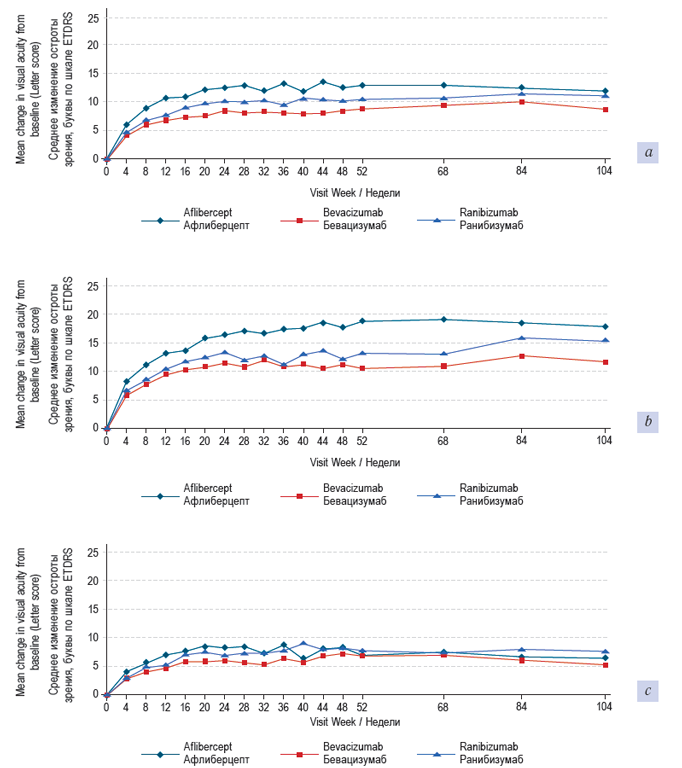
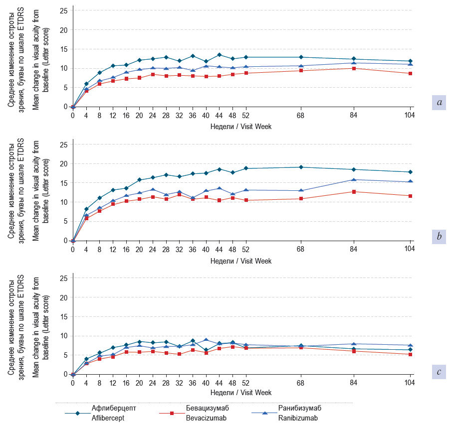
At the end of the year one, BCVA was shown to improve in all groups. In general and low initial VA cohorts, the best results were achieved in the aflibercept group; by contrast, there were no statistically significant differences between groups in the high initial VA cohort. In the aflibercept, bevacizumab, and ranibizumab groups, the VA improvement was maintained to year two, with BCVA improvements from baseline of 12.8, 10.0, and 12.3 letters, respectively, at the end of the year two [48]. After one year, VA was 2.1 letters higher in the aflibercept group than in the ranibizumab group (p = 0.03), but this superiority was lost in year two, with aflibercept only remaining superior to bevacizumab (p = 0.02) [47, 48] (see Fig. 2). Notably, functional effects were achieved at a faster rate for aflibercept.
The most pronounced positive changes in BCVA were observed in the low initial VA cohort (≤20/50; see Fig. 1). The average increase in BCVA by the end of the year one in this cohort amounted to gains on the ETDRS scale of 18.9 letters for aflibercept, 14.2 letters for ranibizumab, and 11.8 letters for bevacizumab. In the high initial BCVA cohort (from 20/32 to 20/40), the average gains on the ETDRS scale by the end of the year one were 8.0 letters for aflibercept, 8.3 letters for ranibizumab, and 7.5 letters for bevacizumab; however, this remained almost unchanged after year two (gains of 7.8, 8.6, and 6.8 letters, respectively) [48] (see Fig. 2).
Fig. 1. Protocol T DRCRnet. Mean change in visual acuity in groups: a – Overall cohort; b – In cohorts according to baseline visual acuity. Solid lines indicates baseline visual acuity of 20/50 or worse. Dotted lines indicate baseline visual acuity of 20/32 to 20/40. Number of eyes was 195-244 in aflibercept group, 188-218 in ranibizumab and 188-218 bevacizumab groups. Error bars indicated 95% CI. Source: Wells JA, Glassman AR, Ayala AR, et al. Aflibercept, Bevacizumab, or Ranibizumab for Diabetic Macular Edema. N Engl J Med. 2015;372(13):1193-1203 [47]
Рис. 1. Протокол T DRCR.net. Среднее изменение остроты зрения в группах: а — значения в общей когорте; b — значения в когортах в зависимости от остроты зрения. Сплошные линии иллюстрируют остроту зрения в когортах с исходной остротой зрения не более 20/50; пунктирные линии иллюстрируют когорты с остротой зрения от 20/32 до 20/40. Количество глаз в группах за срок наблюдения составило 195–244 в группе афлиберцепта, 188–218 в группах ранибизумаба и бевацизумаба. Планки погрешностей указывают 95 % доверительный интервал (Wells JA, Glassman AR, Ayala AR, et al. Aflibercept, Bevacizumab, or Ranibizumab for Diabetic Macular Edema. N Engl J Med. 2015;372(13):1193-1203 [47])
In the high initial VA cohort, patients receiving bevacizumab deteriorated insignificantly in year two (i. e., –0.7 letters), while changes were minimal in the aflibercept and ranibizumab groups. In the low initial VA cohort, the average VA curves converged in year 2 (see Fig. 2). In the aflibercept group, VA improvement remained numerically more pronounced (+18.1) compared with both the bevacizumab (+13.3) and ranibizumab (+16.1) groups [48]. However, an area under the curve (AUC) analysis showed that aflibercept had significant advantages over the other inhibitors across the entire study in the low initial VA cohort. Thus, the average increases in BCVA over 2 years in this cohort were +17.1 letters for aflibercept, +13.6 for ranibizumab, and +12.1 for bevacizumab [49]. This is especially important since most patients who seek help from an ophthalmologist in our country have already reached the threshold of low vision due to the absence of permanent screening programs.
Fig. 2. Protocol T DRCRnet 2 year results. Mean change in visual acuity in groups: a – Overall cohort; b – In cohort with baseline visual acuity of 20/50 or worse; c – In cohort with baseline visual acuity of 20/32 to 20/40. Number of eyes was 195-244 in aflibercept group, 188-218 in ranibizumab and 185-218 bevacizumab groups. Error bars indicated 95% CI. Source: Wells JA, Glassman AR, Ayala AR, et al. Aflibercept, Bevacizumab, or Ranibizumab for Diabetic Macular Edema: Two-Year Results from a Comparative Effectiveness Randomized Clinical Trial. Ophthalmology. 2016;123:1351-1359 [48]
Рис. 2. Среднее изменение остроты зрения с коррекцией в группах Протокола T (два года от начала исследования): а — значения в общей когорте; b — значения в когорте с исходной остротой зрения не более 20/50; с — значения в когорте с исходной остротой зрения от 20/32 до 20/40. Количество глаз в группах за срок наблюдения составило 195–244 в группе афлиберцепта, 185–218 в группе бевацизумаба, 188–218 в группе ранибизумаба. Планки погрешностей указывают 95 % доверительный интервал (Wells JA, Glassman AR, Ayala AR, et al. Aflibercept, Bevacizumab, or Ranibizumab for Diabetic Macular Edema: Two-Year Results from a Comparative Effectiveness Randomized Clinical Trial. Ophthalmology. 2016;123:1351-1359 [48])
The clinical effect of various drugs was also evaluated after one year of study by comparing the number of eyes with low initial VA that showed an increase in the BCVA of 15 letters on the ETDRS scale. By the end of year one, 67% of patients in the aflibercept group achieved an increase in BCVA of 15 letters or more, which was statistically significantly higher than those achieved in the ranibizumab (50%) and bevacizumab (41%) groups [47]. By the end of year 2, however, this statistically significant difference between the groups has been lost, and the absolute values were 58%, 55%, and 52% in the aflibercept, ranibizumab, and bevacizumab groups, respectively [48].
The indicators were also stratified by the initial BCVA when analyzing changes in the CRT by OCT. At one year, the CRT decreased by averages of 147 ± 134 µm in the ranibizumab group, 101 ± 121 µm in the bevacizumab group, and 169 ± 138 µm in the aflibercept group. A decrease in mean CRT of <250 μm was recorded in 58% (116/201), 36% (74/203), and 66% (135/205) of eyes in the ranibizumab, bevacizumab, and aflibercept groups, respectively [47]. During year two, the CRT decreased by 149 ± 141 µm in the ranibizumab group, 126 ± 143 µm in the bevacizumab group, and 171 ± 141 µm in the aflibercept group [48]. The degree of decrease also depended on the use of LCR.
In the low initial VA cohort, aflibercept monotherapy led to a more pronounced decrease in retinal thickness compared with the other drugs (Fig. 3). A positive effect of anti-VEGF injections on the course of DR was established while treating patients for DME. Notably, aflibercept use was associated with an improved course of DR in more patients with initial PDR: after year one, 75.9% of patients with baseline PDR achieved improvements in the course of DR in the aflibercept group, compared with 31.4% in the bevacizumab group and 55.2% in the ranibizumab groups; and after year two, the corresponding figures were 70.4%, 30.3%, and 37.5%, respectively [50].
The average number of injections decreased approximately two-fold in all groups in year two of follow-up compared with year one, and there were no statistically significant differences in the groups between years. The ranibizumab, bevacizumab, and aflibercept groups received 10, 10, and nine injections, respectively, after one year (p = 0.045), compared with 15, 16, and 15 injections, respectively, after two years (p = 0.08) [47, 48].
Fig. 3. Mean change in central retinal subfield thickness according to baseline visual acuity and laser photocoagulation: a – No focal/grid laser treatment and VA of ≤ 20/50; b – Focal/grid laser treatment and VA of ≤ 20/50; c – No focal/grid laser treatment and VA of 20/32 to 20/40; d – Focal/grid laser treatment and VA of 20/32 to 20/40. Source: Jampol LM, Glassman AR, Bressler NM. Anti-Vascular Endothelial Growth Factor Comparative Effectiveness Trial for Diabetic Macular Edema: Additional Efficacy Post Hoc Analyses of a Randomized Clinical Trial. JAMA Ophthalmol. 2016;134(12) [49]
Рис. 3. Изменение средней толщины сетчатки в когортах с различной исходной остротой зрения и невыполненной ЛКС (а, с) или выполненной ЛКС (в, d) (Jampol LM, Glassman AR, Bressler NM. Anti-Vascular Endothelial Growth Factor Comparative Effectiveness Trial for Diabetic Macular Edema: Additional Efficacy Post Hoc Analyses of a Randomized Clinical Trial. JAMA Ophthalmol. 2016;134(12) [49])
Thus, according to Protocol T, aflibercept was more effective in increasing VA than ranibizumab by the end of year one. Despite the results of year two indicating comparable efficacy, treatment with ranibizumab took longer to achieve a comparable effect to that of aflibercept. In addition, the AUC analysis indicated that aflibercept was the drug of choice for treating DME in patients with an initial VA of 20/50 and lower on the ETDRS scale (0.4 on the decimal scale). It should also be remembered that LCR was required less frequently when using aflibercept (i. e., 41% in the aflibercept group compared with 52% in the ranibizumab group, and 64% in the bevacizumab group).
Regarding other research by the DRCR.net Research Group, we should comment on Protocol I, which assessed the efficacy of ranibizumab in combination with LCR (immediate and delayed), triamcinolone acetonide with immediate LCR, and isolated laser treatment for the treatment of DME. This was a multicenter, randomized, double-blind, comparison study of 854 eyes from 691 patients with decreased VA (20/32 to 20/320) and DME involving the center of the macula (77% of patients completed the five-year follow-up). Patients were randomly divided into four cohorts: 1) ranibizumab plus immediate LCR, 2) ranibizumab plus delayed LCR, 3) sham injections plus immediate LCR; and 4) intravitreal triamcinolone acetonide 4 mg plus immediate LCR. Triamcinolone acetonide is not approved for ophthalmological use in the Russian Federation, but is used off-label. The last two groups could receive ranibizumab after 74 weeks for refractory DME or deterioration in visual function [51, 52].
Immediate LCR was performed 3–10 days after the first intravitreal injection, and delayed LCR was performed from 24 weeks onward. LCR was indicated if there was a lack of response to treatment with intravitreal injections, and clinically significant DME persisted. Repeat sessions of LCR were performed every 13 weeks regardless of the cohort (immediate or delayed LCR) provided there was clinically significant DME and benefit was still possible with LCR. As for Protocol T, efficiency was evaluated by changes in BCVA according to the ETDRS scale, changes in CTR by OCT, and differences in the number of injections required over 5 years [51, 53].
After year two, the average increases in BCVA were 3 letters in the LCR group, 2 letters in the triamcinolone acetonide plus LCR group, and 7 and 9 letters in the ranibizumab groups receiving immediate and delayed LCR, respectively [52]. The differences between the LCR group and the ranibizumab groups with immediate and delayed LCR were statistically significant in favor of combination therapy (3.7 and 5.8 letters, respectively). Differences between triamcinolone acetonide and LCR groups were not statistically significant, but favored LCR (1.5 letters). Decreases in retinal thickness during the study are shown in Figure 4, indicating that VA tended to improve with ranibizumab. Of note, triamcinolone acetonide contributed to the progression of cataracts to a greater extent than ranibizumab, and when comparing eyes that were pseudophakic at the study onset, the advantage of ranibizumab over triamcinolone acetonide was less marked [52]. Nevertheless, these data indicate that angiogenesis inhibitors should be recommended as first-line treatment when choosing intravitreal drugs for the treatment of DME.
Fig. 4. Mean change in central retinal subfield thickness. Protocol I DRCRnet (2 years follow up). Source: Elman MJ, Bressler NM, Qin H, et al. Expanded 2-year Follow-up of Ranibizumab Plus Prompt or Deferred Laser or Triamcinolone Plus Prompt Laser for Diabetic Macular Edema. Ophthalmology. 2011;118(4):609-614 [52]
Рис. 4. Среднее изменение толщины сетчатки в когортах. Протокол I DRCR.net (двухлетний период наблюдения). н-ЛКС — немедленная лазеркоагуляция сетчатки; о-ЛКС — отсроченная лазеркоагуляция сетчатки (Elman MJ, Bressler NM, Qin H, et al. Expanded 2-year Follow-up of Ranibizumab Plus Prompt or Deferred Laser or Triamcinolone Plus Prompt Laser for Diabetic Macular Edema. Ophthalmology. 2011;118(4):609-614 [52])
When assessing the efficacy of various LCR modes after 3 years, there was a 2.9 letter difference in BCVA improvement between the immediate and delayed LCR groups (p = 0.02), with absolute values of +6.8 and + 9.7 letters, respectively (Fig. 5). In both the immediate and delayed groups, there was a positive tendency for changes in the CRT (Fig. 6), and the average numbers of ranibizumab injections were 12 and 15, respectively. The number of eyes that achieved a CRT of <250 µm was 36% in both groups. In the delayed LCR group, 54% of patients did not require additional LCR after 3 years [54]. Overall, delayed focal and/or grid-type LCR combined with ranibizumab was concluded to be the most efficient treatment option.
Fig. 5. Protocol I DRCRnet (3 years follow up). Mean change in visual acuity in cohorts with prompt or deferred laser. Number of eyes was 165-144 in cohort with prompt laser photocoagulation and 173-147 in cohort with deferred laser photocoagulation. Source: Diabetic Retinopathy Clinical Research Network. Intravitreal Ranibizumab for Diabetic Macular Edema with Prompt vs Deferred Laser Treatment: 3-year Randomized Trial Results. Ophthalmology. 2012;119(11):2312-2318 [54]
Рис. 5. Протокол I (трёхлетний период наблюдения). Изменение остроты зрения по шкале ETDRS в когортах с немедленной и отсроченной лазеркоагуляцией сетчатки. Количество глаз в группах за три года составило 165–144 в когорте с немедленной ЛКС, 173–147 в когорте с отсроченной ЛКС (Diabetic Retinopathy Clinical Research Network. Intravitreal Ranibizumab for Diabetic Macular Edema with Prompt vs Deferred Laser Treatment: 3-year Randomized Trial Results. Ophthalmology. 2012;119(11):2312-2318 [54])
Fig. 6. Protocol I DRCRnet (3 years follow up). Mean change in central subfield retinal thickening in cohorts with prompt or deferred laser. Number of eyes was 165-131 in cohort with prompt laser photocoagulation and 169-128 in cohort with deferred laser photocoagulation. Source: Diabetic Retinopathy Clinical Research Network. Intravitreal Ranibizumab for Diabetic Macular Edema with Prompt vs Deferred Laser Treatment: 3-year Randomized Trial Results. Ophthalmology. 2012;119(11):2312-2318 [54]
Рис. 6. Протокол I (трёхлетний период наблюдения). Изменение средней толщины сетчатки в макулярной зоне в когортах с немедленной и отсроченной лазеркоагуляцией сетчатки. Количество глаз в группах за три года составило 165–131 в когорте с немедленной ЛКС, 169–128 — в когорте с отсроченной ЛКС (Diabetic Retinopathy Clinical Research Network. Intravitreal Ranibizumab for Diabetic Macular Edema with Prompt vs Deferred Laser Treatment: 3-year Randomized Trial Results. Ophthalmology. 2012;119(11):2312-2318 [54])
The 3- and 5-year follow-up data obtained from the Protocol I study showed that delaying LCR has advantages over immediate LCR in terms of the functional results [51, 54]. Thus, it is necessary to postpone LCR as long as possible, giving preference to VEGF inhibitors as the first-line therapy. These data indicate that this can be achieved without fear of causing deteriorations in VA indices. Moreover, extrapolating the results of the Protocol I study to clinical practice, we could expect that the number of eyes with persistent edema will decrease consistently over the first 6 months after starting treatment and peak after six injections. This approach will help practitioners to achieve significantly better visual function outcomes. The results also indicate the need to perform proper treatment loading. Similar data were obtained in the Protocol T study,with the prevalence of persistent DME continuing to decrease over the first 24 weeks of intensive (monthly) treatment, with aflibercept being more likely to improve DME compared with the other study drugs [55].
The data obtained in the Protocol I and Protocol T studies have formed the basis of the DRCR.net recommendations, the main principle of which is intensive (monthly) anti-VEGF therapy in the first 6 months from the diagnosis of DME. Only after this therapy has been completed, and in the absence of the desired effect, should the need to perform LCR be considered. Thus, LCR is no longer recognized as the most effective way to preserve vision in DME involving the anatomical center of the macula and should no longer be considered the gold standard of treatment.
CONCLUSION
Currently, angiogenesis inhibitors are the drugs of choice in the treatment of DME, especially when the center of the macular area is involved. The use of anti-VEGF drugs as monotherapy for DME is also sufficient to improve VA and the course of DR significantly. Thus, LCR can no longer be considered the gold standard treatment for DME. Data from one of the largest multicenter studies by DRCR.net show that aflibercept stabilized and improved visual functions at a faster rate than either ranibizumab or bevacizumab. Despite the comparable BCVA at the end of the year two in the ranibizumab and aflibercept groups (with a similar number of injections), AUC analysis revealed that aflibercept had significant advantages among patients with an initial VA of 20/50 or lower.
Long-term outcomes after 5 years of therapy will probably show more significant differences between groups in favor of aflibercept or ranibizumab. However, at the moment, the results of Protocol T indicate that ranibizumab and aflibercept have comparable effectiveness after 2 years of therapy, despite the initial superiority of aflibercept in achieving a functional effect. This will allow the treatment options in this group to be expanded to recommend both drugs, though with preference given to aflibercept for patients who have a low initial VA.
When deciding on the need for LCR, immediate therapy appears to have no advantages over delayed therapy in terms of either improving VA or reducing the CRT. In the Protocol I study, the group receiving ranibizumab with the option of delayed LCR, therapy was accompanied by good performance indicators and the LCR was not required in 56% of patients. Therefore, the treatment of DME should be started with careful loading therapy with angiogenesis inhibitors, proceeding to LCR only if necessary.
Finally, it should be remembered that corticosteroids are known to be less effective than angiogenesis inhibitors and, as a rule, are to be considered second-line drugs in treatment of DME. This is not least because drugs in this group are associated with several side effects, such as increase in intraocular pressure and cataract formation.
Conflict of interest.
The publication was supported by BAYER.
Authors’ contribution:
F.E. Shadrichev was involved in creating the concept and writing the text.
N.N. Grigorieva performed the material processing (literary sources), and wrote the text.
E.S. Rozhdestvenskaya performed the material processing (literary sources), and wrote the text.
About the authors
Fedor E. Shadrichev
Pavlov First Saint Petersburg State Medical University
Author for correspondence.
Email: shadrichev_dr@mail.ru
PhD., Assistant Professor of Pphthalmology Department
Russian Federation, Saint PetersburgNyurguyana N. Grigor'eva
Saint Petersburg State University
Email: grinur@mail.ru
PhD, Assistant Professor of Otorhinolaryngology and Ophthalmology Department
Russian Federation, Saint PetersburgElizaveta S. Rozhdestvenskaya
Saint Petersburg City Multifield Hospital No 2
Email: shorie48@gmail.com
Ophthalmologist
Russian Federation, Saint PetersburgReferences
- World Health Organization. Global Report on Diabetes. Geneva: WHO; 2018.
- International Diabetes Federation. Atlas of diabetes. 8th ed. Brussels: IDF; 2017.
- Lee R, Wong TY, Sabanayagam C. Epidemiology of diabetic retinopathy, diabetic macular edema and related vision loss. Eye Vis (Lond). 2015;2:17. doi: 10.1186/s40662-015-0026-2.
- Zheng Y, He M, Congdon N. The worldwide epidemic of diabetic retinopathy. Indian J Ophthalmol. 2012;60(5):428-431. doi: 10.4103/0301-4738.100542.
- Amoaku WM, Saker S, Stewart EA. A review of therapies for diabetic macular oedema and rationale for combination therapy. Eye (Lond). 2015;29(9):1115-1130. doi: 10.1038/eye.2015.110.
- Miller K, Fortun JA. Diabetic Macular Edema: Current Understanding, Pharmacologic Treatment Options, and Developing Therapies. Asia Pac J Ophthalmol (Phila). 2018;7(1):28-35. doi: 10.22608/APO.2017529.
- Romero-Aroca P, Baget-Bernaldiz M, Pareja-Rios A, et al. Diabetic Macular Edema Pathophysiology: Vasogenic versus Inflammatory. J Diabetes Res. 2016;2016:2156273. doi: 10.1155/ 2016/2156273.
- Beaulieu WT, Bressler NM, Melia M, et al. Panretinal Photocoagulation Versus Ranibizumab for Proliferative Diabetic Retinopathy: Patient-Centered Outcomes from a Randomized Clinical Trial. Am J Ophthalmol. 2016;170:206-213. doi: 10.1016/j.ajo.2016.08.008.
- Duh EJ, Sun JK, Stitt AW. Diabetic retinopathy: current understanding, mechanisms, and treatment strategies. JCI Insight. 2017;2(14). doi: 10.1172/jci.insight.93751.
- Schmidt-Erfurth U, Garcia-Arumi J, Bandello F, et al. Guidelines for the Management of Diabetic Macular Edema by the European Society of Retina Specialists (EURETINA). Ophthalmologica. 2017;237(4):185-222. doi: 10.1159/000458539.
- Ogata N, Wang L, Jo N, et al. Pigment epithelium derived factor as a neuroprotective agent against ischemic retinal injury. Curr Eye Res. 2001;22(4):245-252. doi: 10.1076/ceyr.22.4.245.5506.
- Simo R, Hernandez C, European Consortium for the Early Treatment of Diabetic R. Neurodegeneration in the diabetic eye: new insights and therapeutic perspectives. Trends Endocrinol Metab. 2014;25(1):23-33. doi: 10.1016/j.tem.2013.09.005.
- Photocoagulation for diabetic macular edema. Early Treatment Diabetic Retinopathy Study report number 1. Early Treatment Diabetic Retinopathy Study research group. Arch Ophthalmol. 1985;103(12):1796-1806. doi: 10.1001/archopht.1985.01050120030015.
- Romero-Aroca P. Managing diabetic macular edema: The leading cause of diabetes blindness. World J Diabetes. 2011;2(6):98-104. doi: 10.4239/wjd.v2.i6.98.
- Bahrami B, Hong T, Gilles MC, et al. Anti-VEGF Therapy for diabetic eye diseases. Asia-Pac J Ophthalmol. 2017;6:535-545.
- Ferrara N, Carver-Moore K, Chen H, et al. Heterozygous embryonic lethality induced by targeted inactivation of the VEGF gene. Nature. 1996;380(6573):439-442. doi: 10.1038/380439a0.
- Ferrara N. Role of vascular endothelial growth factor in the regulation of angiogenesis. Kidney Int. 1999;56(3):794-814. doi: 10.1046/j.1523-1755.1999.00610.x.
- Ferrara N. VEGF-A: a critical regulator of blood vessel growth. Eur Cytokine Netw. 2009;20(4):158-163. doi: 10.1684/ecn.2009.0170.
- Freedman SB, Isner JM. Therapeutic angiogenesis for coronary artery disease. Ann Intern Med. 2002;136(1):54-71. doi: 10.7326/0003-4819-136-1-200201010-00011.
- Jin K, Zhu Y, Sun Y, et al. Vascular endothelial growth factor (VEGF) stimulates neurogenesis in vitro and in vivo. Proc Natl Acad Sci USA. 2002;99(18):11946-11950. doi: 10.1073/pnas.182296499.
- Takahashi H, Shibuya M. The vascular endothelial growth factor (VEGF)/VEGF receptor system and its role under physiological and pathological conditions. Clin Sci (Lond). 2005;109(3):227-241. doi: 10.1042/CS20040370.
- Wang J, Xu X, Elliott MH, et al. Muller cell-derived VEGF is essential for diabetes-induced retinal inflammation and vascular leakage. Diabetes. 2010;59(9):2297-2305. doi: 10.2337/db09-1420.
- Witmer AN, Blaauwgeers HG, Weich HA, et al. Altered expression patterns of VEGF receptors in human diabetic retina and in experimental VEGF-induced retinopathy in monkey. Invest Ophthalmol Vis Sci. 2002;43(3):849-857.
- Zhang X, Bao S, Lai D, et al. Intravitreal triamcinolone acetonide inhibits breakdown of the blood-retinal barrier through differential regulation of VEGF-A and its receptors in early diabetic rat retinas. Diabetes. 2008;57(4):1026-1033. doi: 10.2337/db07-0982.
- Papadopoulos N, Martin J, Ruan Q, et al. Binding and neutralization of vascular endothelial growth factor (VEGF) and related ligands by VEGF Trap, ranibizumab and bevacizumab. Angiogenesis. 2012;15(2):171-185. doi: 10.1007/s10456-011-9249-6.
- Aiello LP, Avery RL, Arrigg PG, et al. Vascular endothelial growth factor in ocular fluid of patients with diabetic retinopathy and other retinal disorders. N Engl J Med. 1994;331(22):1480-1487. doi: 10.1056/NEJM199412013312203.
- Funatsu H, Yamashita H, Nakamura S, et al. Vitreous levels of pigment epithelium-derived factor and vascular endothelial growth factor are related to diabetic macular edema. Ophthalmology. 2006;113(2):294-301. doi: 10.1016/j.ophtha.2005.10.030.
- Autiero M, Waltenberger J, Communi D, et al. Role of PlGF in the intra- and intermolecular cross talk between the VEGF receptors Flt1 and Flk1. Nat Med. 2003;9(7):936-943. doi: 10.1038/nm884.
- Bry M, Kivela R, Leppanen VM, Alitalo K. Vascular endothelial growth factor-B in physiology and disease. Physiol Rev. 2014;94(3):779-794. doi: 10.1152/physrev.00028.2013.
- Nguyen QD, De Falco S, Behar-Cohen F, et al. Placental growth factor and its potential role in diabetic retinopathy and other ocular neovascular diseases. Acta Ophthalmol. 2018;96(1):e1-e9. doi: 10.1111/aos.13325.
- Kovacs K, Marra KV, Yu G, et al. Angiogenic and Inflammatory Vitreous Biomarkers Associated With Increasing Levels of Retinal Ischemia. Invest Ophthalmol Vis Sci. 2015;56(11):6523-6530. doi: 10.1167/iovs.15-16793.
- Kinoshita S, Noda K, Saito W, et al. Vitreous levels of vascular endothelial growth factor-B in proliferative diabetic retinopathy. Acta Ophthalmol. 2016;94(6): e521-523. doi: 10.1111/aos.12969.
- Zhong X, Huang H, Shen J, et al. Vascular endothelial growth factor-B gene transfer exacerbates retinal and choroidal neovascularization and vasopermeability without promoting inflammation. Mol Vis. 2011;17:492-507.
- Bressler NM, Beck RW, Ferris FL, 3rd. Panretinal photocoagulation for proliferative diabetic retinopathy. N Engl J Med. 2011;365(16):1520-1526. doi: 10.1056/NEJMct0908432.
- Diabetic Retinopathy Study Research Group. Photocoagulation treatment of proliferative diabetic retinopathy. Clinical application of Diabetic Retinopathy Study (DRS) findings, DRS Report Number 8. Ophthalmology. 1981;88(7):583-600. doi: 10.1016/S0161-6420(81)34978-1.
- Duh EJ, Yang HS, Suzuma I, et al. Pigment epithelium-derived factor suppresses ischemia-induced retinal neovascularization and VEGF-induced migration and growth. Invest Ophthalmol Vis Sci. 2002;43(3):821-829.
- Hattenbach LO, Beck KF, Pfeilschifter J, et al. Pigment-epithelium-derived factor is upregulated in photocoagulated human retinal pigment epithelial cells. Ophthalmic Res. 2005;37(6):341-346. doi: 10.1159/000088263.
- Ogata N, Ando A, Uyama M, Matsumura M. Expression of cytokines and transcription factors in photocoagulated human retinal pigment epithelial cells. Graefes Arch Clin Exp Ophthalmol. 2001;239(2):87-95. doi: 10.1007/s004170000235.
- Freund KB, Korobelnik JF, Devenyi R, et al. Treat-and-extend regimens with anti-VEGF agents in retinal diseases. Retina. 2015;35(8):1489-1506. doi: 10.1097/IAE. 0000000000000627.
- Lanzetta P, Loewenstein A, Vision Academy Steering C. Fundamental principles of an anti-VEGF treatment regimen: optimal application of intravitreal anti-vascular endothelial growth factor therapy of macular diseases. Graefes Arch Clin Exp Ophthalmol. 2017;255(7):1259-1273. doi: 10.1007/s00417-017-3647-4.
- Massin P, Bandello F, Garweg JG, et al. Safety and efficacy of ranibizumab in diabetic macular edema (RESOLVE Study): a 12-month, randomized, controlled, double-masked, multicenter phase II study. Diabetes Care. 2010;33(11):2399-2405. doi: 10.2337/dc10-0493.
- Mitchell P, Bandello F, Schmidt-Erfurth U, et al. The RESTORE study: ranibizumab monotherapy or combined with laser versus laser monotherapy for diabetic macular edema. Ophthalmology. 2011;118(4):615-625. doi: 10.1016/j.ophtha. 2011.01.031.
- Nguyen QD, Brown DM, Marcus DM, et al. Ranibizumab for diabetic macular edema: results from 2 phase III randomized trials: RISE and RIDE. Ophthalmology. 2012;119(4):789-801. doi: 10.1016/j.ophtha.2011.12.039.
- Brown DM, Schmidt-Erfurth U, Do DV, et al. Intravitreal Aflibercept for Diabetic Macular Edema: 100-Week Results from the VISTA and VIVID Studies. Ophthalmology. 2015;122(10):2044-2052. doi: 10.1016/j.ophtha.2015.06.017.
- Heier JS, Korobelnik JF, Brown DM, et al. Intravitreal Aflibercept for Diabetic Macular Edema: 148-Week Results from the VISTA and VIVID Studies. Ophthalmology. 2016;123(11):2376-2385. doi: 10.1016/j.ophtha.2016.07.032.
- Korobelnik JF, Do DV, Schmidt-Erfurth U, et al. Intravitreal aflibercept for diabetic macular edema. Ophthalmology. 2014;121(11):2247-2254. doi: 10.1016/j.ophtha.2014.05.006.
- Wells JA, Glassman AR, Ayala AR, et al. Aflibercept, bevacizumab, or ranibizumab for diabetic macular edema. N Engl J Med. 2015;372(13):1193-1203. doi: 10.1056/NEJMoa1414264.
- Wells JA, Glassman AR, Ayala AR, et al. Aflibercept, Bevacizumab, or Ranibizumab for Diabetic Macular Edema: Two-Year Results from a Comparative Effectiveness Randomized Clinical Trial. Ophthalmology. 2016;123(6):1351-1359. doi: 10.1016/j.ophtha.2016.02.022.
- Jampol LM, Glassman AR, Bressler NM, et al. Anti-Vascular Endothelial Growth Factor Comparative Effectiveness Trial for Diabetic Macular Edema: Additional Efficacy Post Hoc Analyses of a Randomized Clinical Trial. JAMA Ophthalmol. 2016;134(12). doi: 10.1001/jamaophthalmol.2016.3698.
- Bressler SB, Liu D, Glassman AR, et al. Change in Diabetic Retinopathy Through 2 Years: Secondary Analysis of a Randomized Clinical Trial Comparing Aflibercept, Bevacizumab, and Ranibizumab. JAMA Ophthalmol. 2017;135(6):558-568. doi: 10.1001/jamaophthalmol.2017.0821.
- Bressler SB, Glassman AR, Almukhtar T, et al. Five-Year Outcomes of Ranibizumab With Prompt or Deferred Laser Versus Laser or Triamcinolone Plus Deferred Ranibizumab for Diabetic Macular Edema. Am J Ophthalmol. 2016;164:57-68. doi: 10.1016/j.ajo.2015.12.025.
- Elman MJ, Bressler NM, Qin H, et al. Expanded 2-year follow-up of ranibizumab plus prompt or deferred laser or triamcinolone plus prompt laser for diabetic macular edema. Ophthalmology. 2011;118(4):609-614. doi: 10.1016/j.ophtha.2010.12.033.
- Elman MJ, Aiello LP, Beck RW, et al. Randomized trial evaluating ranibizumab plus prompt or deferred laser or triamcinolone plus prompt laser for diabetic macular edema. Ophthalmology. 2010;117(6):1064-1077.e35. doi: 10.1016/j.ophtha.2010.02.031.
- Diabetic Retinopathy Clinical Research Network, Elman MJ, Qin H, et al. Intravitreal ranibizumab for diabetic macular edema with prompt versus deferred laser treatment: three-year randomized trial results. Ophthalmology. 2012;119(11):2312-2318. doi: 10.1016/j.ophtha.2012.08.022.
- Bressler NM, Beaulieu WT, Glassman AR, et al. Persistent Macular Thickening Following Intravitreous Aflibercept, Bevacizumab, or Ranibizumab for Central-Involved Diabetic Macular Edema with Vision Impairment: A Secondary Analysis of a Randomized Clinical Trial. JAMA Ophthalmol. 2018;136(3):257-269. doi: 10.1001/jamaophthalmol.2017.6565.
Supplementary files










