Dynamics of rheological and biochemical blood parameters of patients with an intermediate stage of the dry form of age-related macular degeneration before and after serum cascade filtration
- Authors: Kulikov A.N.1, Belskikh A.N.1, Volozhev A.A.1, Podshivalov A.V.2, Sitnikova V.E.2, Maltsev D.S.1, Bednova S.E.1
-
Affiliations:
- Kirov Military Medical Academy
- Saint Petersburg National Research University of Information Technologies, Mechanics and Optics
- Issue: Vol 17, No 2 (2024)
- Pages: 53-66
- Section: Original study articles
- Submitted: 31.01.2024
- Accepted: 19.04.2024
- Published: 20.06.2024
- URL: https://journals.eco-vector.com/ov/article/view/626316
- DOI: https://doi.org/10.17816/OV626316
- ID: 626316
Cite item
Abstract
BACKGROUND: One of the socially significant ophthalmic diseases is the dry form of the age-related macular degeneration, the key feature of which consists in a slowly progressing damage to the pigment epithelium and the formation of drusen. However, the basic mechanisms of pathogenesis are still not completely clear nowadays.
AIM: The aim is, using the data of OCT, OCT-angiography and visometry, to study the dynamics of structural and functional parameters of the macular area, as well as the dynamics of rheological and biochemical blood parameters in patients with an intermediate stage of the dry form of age-related macular degeneration before and after the use of serum cascade filtration.
MATERIALS AND METHODS: The study included 63 patients (94 eyes) with an intermediate stage of the dry form of age-related macular degeneration. Patients were randomly separated into two groups. The first (main) group consisted of 34 patients (52 eyes), in whom serum cascade filtration was performed; the second group (control) group included 29 patients (42 eyes) who did not receive any specific treatment. In patients of the main group, before and after the serum cascade filtration course (1 month after the start of follow-up), in 6 and 12 months, in addition to standard ophthalmological examination, as an indicator of the efficacy of performed serum cascade filtration, the ultrasound triplex scanning in color Doppler mapping mode with an assessment of blood flow velocity in the posterior short ciliary arteries, Fourier IR spectroscopy, and the testing of the serum and blood viscosity were performed. Patients in the control group also underwent a similar examination at 1, 6, 12 months after the start of follow-up.
RESULTS: According to optical coherence tomography, optical coherence tomography-angiography and visometry data, we found a positive dynamics of structural and functional parameters of the macular retina and an improvement in blood rheological parameters with an increase in microcirculation indices against the background of the serum cascade filtration use in treatment of patients with an intermediate stage of the dry form of age-related macular degeneration. At the same time, a statistically significant difference between the two groups begins at 1 month and persists for 12 months of follow-up, being an evidence of the stabilization of the pathological process.
CONCLUSIONS: This study showed that after the serum cascade filtration in patients with an intermediate stage of the dry form of age-related macular degeneration, against the background of an improvement in blood rheological and biochemical parameters, there was an improvement in structural and functional parameters of the macular area, which consisted in a decrease of the volume of the drusenoid retinal pigment epithelium detachment and in a visual acuity amelioration.
Full Text
BACKGROUND
Age-related macular degeneration (AMD) is a chronic progressive multifactorial disease mainly affecting the choriocapillaris, Bruch’s membrane complex, retinal pigment epithelium, and photoreceptors of the central fundus. The disease is the main cause of central vision loss in older patients [1]. A key characteristic of AMD is damage to the pigment epithelium and formation of drusen. Retinal drusen were first described as “colloid balls” by Donders in 1855 [2]. However, Hutchinson was the first to identify AMD as a separate condition in 1874 and described it as follows: “Symmetrical central choroido-retinal disease occurring in senile persons” [3]. In 1885, Haab introduced the term senile macular illness to describe central retinal dystrophy [4]. Later, in 1908, he published an atlas of ophthalmology describing the AMD signs in detail [5]. In 1973, Gass described AMD as a chronic dystrophy mainly affecting the choriocapillaris, Bruch’s membrane, and retinal pigment epithelium, as well as photoreceptors at later stages [6].
Today, AMD is the most common cause of progressive vision loss leading to disability in elderly people. Recent data shows that the incidence of AMD in Russia is over 15 per 1000 population [7]. The prevalence of AMD in people older than 65 and 85 years is 15% and exceeds 30%, respectively. Signs of AMD in the fellow eye are detected within 5 years after the diagnosis in the first eye, which indicates a systemic pathology [8]. In 2020, approximately 200 million people were reported to have AMD symptoms worldwide [9]. The prevalence of AMD in the general population is higher in Caucasians (12.3%) than in Asian persons (7.4%) and persons of African descent (7.5%). Sex did not significantly impact the prevalence of AMD [10].
The disease progression is associated with an increase in the number and size of drusen accompanied by a moderate decrease in vision. Later stages of dry AMD are characterized by retinal pigment epithelium (RPE) atrophy in the macular area, which is an independent process or caused by the disruption of large drusen. The RPE and choriocapillaris loss is associated with complete atrophy of the outer retina and loss of retinal photosensitivity in this area [11]. Thus, drusen are not only an important diagnostic hallmark of the disease, but also are central to its pathogenesis and responsible for visual outcomes. Control over the drusen progression may change the course of dry AMD and affect the risk of severe and irreversible loss of central vision caused by the disease.
Pathology studies show that drusen are extracellular deposits (between the RPE and Bruch’s membrane). Studies of the drusen composition demonstrate that they contain modified proteins, immune cells, inflammatory factors (C-reactive protein, CRP; immunoglobulins), cholesterol, apolipoprotein, and lipid derivatives obtained primarily from plasma through the choroid and plasma [12, 13]. Thus, correction of plasma composition can be considered a logical and pathogenetically justified approach to control drusen progression.
Cascade filtration (CF) is a highly effective method to manage acute and chronic metabolic disorders. CF is a semi-selective membrane method of extracorporeal blood purification based on the principle of filtration and convective mass transfer through a semipermeable membrane by a pressure gradient of water and molecules dissolved in it. This method effectively removes large globular plasma components with high molecular weight, larger than an albumin molecule, from plasma after separation of blood cells by centrifugal or membrane plasmapheresis. In addition, CF has pleiotropic effects, including anti-inflammatory (decreases CRP, fibrinogen, ferritin, and homocysteine) and antithrombotic (decreases von Willebrand factor, PAI1, and prothrombin index), as well as protects vessels (decreases sE-, sP-, sL-selectin, and sICAM) and decreases blood and plasma viscosity [14]. CF in patients with dry AMD is justified by pathogenetical studies, but its efficacy and safety in patients with intermediate dry AMD have not been adequately studied.
The study aimed to assess the changes in structure and function of the macular area, as well as changes in rheological and blood chemistry parameters in patients with intermediate dry AMD before and after cascade filtration using optical coherence tomography angiography and visometry.
MATERIALS AND METHODS
This prospective, randomized, controlled, interventional study included 63 consecutive patients (94 eyes) with intermediate AMD. The patients were randomized into two groups. Group 1 (study group) included 34 patients (52 eyes) who underwent CF using OctoNova (Medizintechnik Promedt GmbH, Germany) with Plasmaflo plasma filter and Cascadeflo EC40 fractionator filter (Asahi Kasei Medical Co., Ltd., Japan) with irregular 30 nm pores. The treatment course included four CF procedures performed once a week for 1 month. The perfusion volume during each procedure was 1.0 circulating plasma volume. Group 2 (control) included 29 patients (42 eyes) with dry AMD who did not receive any specific treatment to assess the natural course of the disease. Along with the standard ophthalmological examination, additional triplex ultrasound with the evaluation of blood flow velocity in short posterior ciliary arteries, FTIR spectroscopy, as well as plasma and blood viscosity test were performed in patients in the study group before and after CF (after 1 month of follow-up), at Months 6 and 12 to assess CF efficacy. Patients in the control group underwent a similar examination at Months 1, 6, and 12 of follow-up.
Inclusion criteria were the following: intermediate AMD (AREDS3) with the drusen of ≥125 μm in diameter and transparent ocular media in the study eye. Non-inclusion and exclusion criteria were the following: history of ocular conditions affecting the retinal and optic nerve function (amblyopia, closed- and open-globe injuries, diabetic retinopathy, glaucoma, retinal detachment, retinopathy secondary to thrombosis, etc.); a change in the ocular media transparency during the follow-up period, such as a decrease in the transparency index of the ocular media by 1 point or more based on Tonoref II (Nidek, Japan) data; contraindications to CF; unwillingness of the patient to continue participating in the study; and a missed follow-up examination.
To meaningfully interpret the study results, the age limit was set. For this purpose, 20 patients (20 eyes) with visual acuity of 0.9–1.0 and no pathological changes in the macular area based on ophthalmoscopy and OCT data were examined. The median age of the patients was 68 (64–75) years. The calculated normal limits of the study parameters of blood flow velocity in short posterior ciliary arteries and blood viscosity are shown in Table 1.
Table 1. Limits of the calculated norm
Таблица 1. Границы расчётной нормы
Parameter | Lower limit | Upper limit | Median |
Vsyst, cm/s | 9.8 | 11.8 | 10.6 |
Vdiast, cm/s | 3.8 | 4.9 | 4.3 |
Blood (η∞), mPa∙s | 4.8 | 5.9 | 5.3 |
Plasma (ηmean) mPa∙s | 1.87 | 1.96 | 1.91 |
Note. Vsyst, peak systolic velocity; Vdiast, end-diastolic velocity. Примечание. Vsyst — максимальная систолическая скорость кровотока; Vdiast — конечная диастолическая скорость кровотока. | |||
All enrolled patients had signs of AMD in the fellow eye. If the AMD stage in the fellow eye was different from intermediate (early: AREDS2; late: AREDS4), structural and functional changes were assessed in the first eye in accordance with the inclusion criteria.
All enrolled patients, including those examined to determine the age limit, had no acute conditions or exacerbated somatic disorders. The groups are comparable with respect to comorbidity status.
Optical coherence tomography and optical coherence tomography angiography (OCT and OCTA) were performed using RTVue XR Avanti system (Optovue Inc., USA) with Angio Retina 6 mm and Retina Map scanning protocols. To assess the structural and anatomical changes, the peak height of drusenoid pigment epithelial detachment (dPED) in μm was measured using the device software. The dPED area was calculated using ImageJ (NIH, Bethesda, USA) software package for image processing. The 6.0 × 6.0 mm structural en face image obtained between two segmentation lines of Bruch’s membrane at 0 and 10 μm was used for calculation. Pixels were converted to mm using the Analyze > Set Scale algorithm. The dPED area of interest on the imaging cross-section was selected using the ImageJ Freehand Selection tool. The dPED area was calculated using the Analyze > Measure algorithm (Fig. 1).
Fig. 1. Representative example of the drusenoid retinal pigment epithelium detachment area calculation in a patient with the dry form of age-related macular degeneration. Structural en face scan projection of the “HD Angio Retina 6 mm” protocol
Рис. 1. Репрезентативный пример вычисления площади друзеноидной отслойки пигментного эпителия сетчатки у пациента с сухой формой возрастной макулярной дегенерации. Структурная En Face-проекция скана протокола «HD Angio Retina 6 mm»
Best-corrected visual acuity (BCVA) was measured using the Golovin–Sivtsev charts in decimal and the ETDRS charts in identified letters.
To assess regional eye hemodynamics, triplex ultrasound was performed using 10 MHz probe and LOGIQ e system (GE Healtcare, USA) in Color Flow and Pulse Wave Doppler modes with evaluation of blood flow velocity in short posterior ciliary arteries, including the peak systolic (Vsyst) and end-diastolic velocity (Vdiast).
Data of plasma FTIR spectroscopy and rotational viscometry of blood and plasma were analyzed to assess CF efficacy.
The plasma IR spectra were recorded using the Tensor 37 FTIR spectrometer (Bruker Optik, Germany) with scan range 4000 to 600 cm–1 and resolution of 2 cm-1 equipped with the MIRacle (Pike, USA) attenuated total reflectance (ATR) accessory; the results of 32 scans were averaged. The results were recorded 5 times and averaged. A sample drop was transferred onto the crystal of the ATR-unit and air dried at room temperature until completely dry. The baselines of the obtained spectra were corrected, and the spectra were normalized using vector normalization in OPUS. The spectrum of С=О bond typical for lipids was recorded in the region 1725–1755 cm–1, and the peak area of the absorption bands in the spectrum was measured. The absorption band at 1735 cm–1 represents low-density lipoproteins (LDL) (Fig. 2).
Fig. 2. Representative example of the result of the Fourier IR spectroscopy analysis in a patient with the dry form of age-related macular degeneration
Рис. 2. Репрезентативный пример результата анализа Фурье-ИК-спектроскопии у пациента с сухой формой возрастной макулярной дегенерации. НПВО — нарушенное полное внутреннее отражение
Rotational viscometry was performed using the MCR502 modular rheometer (Anton Paar, Austria) equipped with the CC27 measuring system (ISO 3219) consisting of a concentric cylinder (diameter: 26.66 mm) and a cylinder cup (inner diameter: 28.92 mm) at a constant sample temperature of 37.0 ± 0.2 °C. The sample temperature was controlled using the C-PTD200 Peltier system. Blood viscosity was analyzed using the Casson model at shear rates (γ•) of 1–300 s–1, with the values determined at infinite shear (η∞). Plasma viscosity was analyzed at shear rates of 10–100 s–1, and the mean value (ηmean) was calculated (Fig. 3).
Fig. 3. Representative example of the result of an analysis of the blood serum viscosity in a patient with the dry form of age-related macular degeneration
Рис. 3. Репрезентативный пример результата анализа вязкости плазмы крови у пациента с сухой формой возрастной макулярной дегенерации
Statistical analysis was performed using Statistica 10.0 software package (StatSoft, Inc.). To assess the normal distribution, graphical histogram data and the Shapiro–Wilk test were used for a sample size of less than 50 observations, the Kolmogorov–Smirnov test was used for larger samples. All not normally distributed parameters were expressed as a median and interquartile range (Me [Q1; Q3]). The Mann–Whitney U test was used for group comparison, and the Wilcoxon test was used to compare the parameter changes within each group. The differences were considered statistically significant at p ≤ 0.05.
RESULTS
Baseline clinical and demographic characteristics of patients were not statistically different (Table 2).
Table 2. Baseline clinical and demographic parameters of patients included into the study
Таблица 2. Исходные клинико-демографические параметры пациентов, включенных в исследование
Parameter | Study group (n = 52) | Control group (n = 42) | p |
Sex, F/M | 19/15 | 16/13 | – |
Age, years, Me [Q1; Q3] | 70.5 [65; 77] | 71.5 [65; 77] | 0.6 |
Follow-up period, months | 12 | 12 | – |
Peak height of drusenoid pigment epithelial detachment, μm, Me [Q1; Q3] | 211.5 [168; 263] | 195.0 [166.0; 220.0] | 0.25 |
Area of drusenoid pigment epithelial detachment, mm2, Me [Q1; Q3] | 6.25 [3.7; 7.3] | 5.7 [4.5; 6.8] | 0.54 |
Golovin–Sivtsev best-corrected visual acuity, Me [Q1; Q3] | 0.7 [0.6; 0.7] | 0.7 [0.6; 0.7] | 0.47 |
ETDRS best corrected visual acuity, letters, Me [Q1; Q3] | 78.0 [76.0; 79.0] | 79.0 [76.0; 81.0] | 0.43 |
Vsyst, cm/s, Me [Q1; Q3] | 10.35 [10.1; 10.8] | 10.55 [10.0; 10.9] | 0.57 |
Vdiast, cm/s, Me [Q1; Q3] | 4.3 [4.1; 4.5] | 4.2 [3.9; 4.6] | 0.77 |
Note. Vsyst, peak systolic velocity; Vdiast, end-diastolic velocity. Примечание. Vsyst — максимальная систолическая скорость кровотока; Vdiast — конечная диастолическая скорость кровотока. | |||
Structural and anatomical changes over time in the groups were analyzed using the OCT and OCTA data presented in Tables 3 and 4 (Fig. 5 and 6). The analysis results demonstrated that after the CF course (after 1 month of follow-up), the study group had a statistically significant decrease in the peak height and area of dPED throughout the entire 12-month follow-up period (from 211.5 to 147.5 μm, p < 0.01, and from 6.25 to 3.7 mm2, p < 0.01, respectively). In the control group, changes in the peak height and area of dPED were not statistically significant (p > 0.05). These changes were confirmed by a statistically significant difference between the study and control groups at Month 6 (detachment height: 158.5 and 195.0 μm, p < 0.01; detachment area: 3.70 and 5.70 mm2, p < 0.01) and Month 12 (detachment height: 147.5 and 195.5 μm, p < 0.01; detachment area: 3.70 and 5.85 mm2, p < 0.01), respectively. One patient in the control group had AMD progression to a wet form, which required anti-angiogenic therapy.
Table 3. Dynamic of the drusenoid retinal pigment epithelium detachment height in studied groups, μm, Me [Q1; Q3]
Таблица 3. Динамика высоты друзеноидной отслойки пигментного эпителия сетчатки в изучаемых группах, мкм, Me [Q1; Q3]
Time point | Study group (n = 52) | Control group (n = 42) | p |
Start of follow-up | 211.5 [168; 263] | 195.0 [166; 220] | 0.25 |
Month 1 | 199.0* [163; 240] | 194.5 [173; 225] | 0.91 |
Month 6 | 158.5* [88;200] | 195.0 [173; 226] | <0.01 |
Month 12 | 147.5* [20;191] | 195.5 [173; 224] | <0.01 |
Total changes, p | <0.01 | 0.12 | – |
*Statistically significant difference compared with the start of follow-up (Wilcoxon test). *Статистически значимое различие относительно начала наблюдения (критерий Уилкоксона). | |||
Table 4. Dynamic of the drusenoid retinal pigment epithelium detachment area in studied groups, mm2, Me [Q1; Q3]
Таблица 4. Динамика площади друзеноидной отслойки пигментного эпителия сетчатки в изучаемых группах, мм2, Me [Q1; Q3]
Time point | Study group (n = 52) | Control group (n = 42) | p |
Start of follow-up | 6.25 [3.7; 7.3] | 5.70 [4.5; 6.8] | 0.54 |
Month 1 | 4.15* [3.6; 6.7] | 5.70 [4.5; 6.8] | 0.28 |
Month 6 | 3.70* [2.2; 4.8] | 5.70 [4.5; 6.8] | <0.01 |
Month 12 | 3.70* [1.0; 4.3] | 5.85 [4.4; 6.8] | <0.01 |
Total changes, p | <0.01 | 0.06 | – |
*Statistically significant difference compared with the start of follow-up (Wilcoxon test). *Статистически значимое различие относительно начала наблюдения (критерий Уилкоксона). | |||
Fig. 4. Example of structural and anatomical changes dynamics after the use of the serum cascade filtration in patients with the dry form of age-related macular degeneration according to the OCT and OCT-A data during the study: a — start of the follow-up; b — in 1 month; c — 6 months; d — 12 months
Рис. 4. Пример динамики структурно-анатомических изменений при применении каскадной плазмофильтрации у пациентов с сухой формой возрастной макулярной дегенерации по данным ОКТ и ОКТ-А в ходе исследования: а — начало наблюдения; b — через 1 мес.; с — 6 мес.; d — 12 мес.
Fig. 5. Dynamics of the drusenoid retinal pigment epithelium detachment height in studied groups
Рис. 5. Динамика высоты друзеноидной отслойки пигментного эпителия сетчатки в изучаемых группах
Fig. 6. Dynamics of the drusenoid retinal pigment epithelium detachment area in studied groups
Рис. 6. Динамика площади друзеноидной отслойки пигментного эпителия сетчатки в изучаемых группах
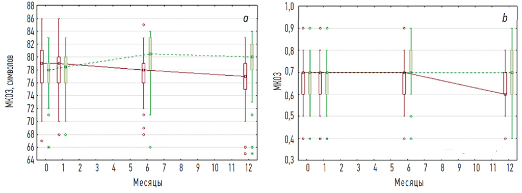
The analysis of changes in visual acuity (Table 5, Fig. 7) showed that after the CF course (after 1 month of follow-up), the study group had a statistically significant increase in BCVA (from 78.0 to 80.5 letters, p = 0.04) at Month 6. The improvement was maintained up to Month 12 and interpreted as disease stabilization. A significant decrease in BCVA from Month 6 to and including Month 12 was reported (from 79.0 to 77.0 letters, p < 0.01) in the control group. These changes were confirmed by a significant difference in ETDRS letters between the study and control groups at Month 6 (80.5 and 78.0 letters, p = 0.02) and Month 12 (80.0 and 77.0 letters, p < 0.01).
Table 5. Dynamics of visual acuity in studied groups, symbols
Таблица 5. Динамика остроты зрения в изучаемых группах, знаки
Time point | Study group (n = 52) | Control group (n = 42) | p |
Golovin–Sivtsev chart | |||
Start of follow-up | 0.7 [0.6; 0.7] | 0.7 [0.6; 0.7] | 0.47 |
Month 1 | 0.7 [0.6; 0.7] | 0.7 [0.6; 0.7] | 0.67 |
Month 6 | 0.7* [0.7; 0.8] | 0.7 [0.6; 0.7] | 0.10 |
Month 12 | 0.7* [0.6; 0.8] | 0.6* [0.6; 0.7] | 0.08 |
Total changes, p | 0.04 | <0.01 | – |
ETDRS chart | |||
Start of follow-up | 78.0 [76; 79] | 79.0 [76; 81] | 0.43 |
Month 1 | 78.5 [76; 80] | 79.0 [76; 80] | 0.83 |
Month 6 | 80.5* [78; 83] | 78.0* [76; 79] | 0.02 |
Month 12 | 80.0* [78; 82] | 77.0* [75; 79] | <0.01 |
Total changes, p | <0.01 | <0.01 | – |
*Statistically significant difference compared with the start of follow-up (Wilcoxon test). *Статистически значимое различие относительно начала наблюдения (критерий Уилкоксона). | |||
Fig. 7. Dynamics of visual acuity in studied groups: a — using the ETDRS chart; b — using the Golovin–Sivtsev chart
Рис. 7. Динамика остроты зрения в изучаемых группах: a — по таблице ETDRS; b — по таблице Головина – Сивцева
A comparative assessment of changes in BCVA using a less sensitive method, the Golovin-Sivtsev charts, revealed only a decrease in visual acuity in the control group compared with the study group at Month 12 of follow-up (0.6 and 0.7), but this difference was not statistically significant (p = 0.08).
The analysis of changes in blood flow velocity in short posterior ciliary arteries demonstrated that after CF (1 month of follow-up), the study group had a statistically significant increase in Vsist (from 10.35 to 10.60 cm/s, p < 0.01) and Vdiast (from 4.3 to 4.4 cm/s, p < 0.01). At Months 6 and 12, no statistical difference was reported. The changes in the control group were not statistically significant (p > 0.05). These changes were confirmed by the absence of a statistically significant difference between the study group and healthy volunteers at Month 1 (p > 0.05) (Table 6).
Table 6. Changes in blood flow velocity in the posterior short ciliary arteries, Me [Q1; Q3]
Таблица 6. Изменения скорости кровотока в задних коротких цилиарных артериях, Me [Q1; Q3]
Parameter | Study group (n = 34) | Control group (n = 29) | p |
Start of follow-up | |||
Vsyst, cm/s Vdiast, cm/s | 10.35 [10.1; 10.8] 4.3 [4.1; 4.5] | 10.55 [10.0; 10.9] 4.2 [3.9; 4.6] | 0.57 0.77 |
Month 1 | |||
Vsyst, cm/s Vdiast, cm/s | 10.6* [10.3; 10.9] 4.4* [4.3; 4.6] | 10.55 [10.0; 10.8] 4.25 [4.0; 4.6] | 0.29 0.12 |
Month 6 | |||
Vsyst, cm/s Vdiast, cm/s | 10.35 [10.1; 10.7] 4.2 [4.1; 4.5] | 10.6 [10.0; 10.9] 4.25 [3.9; 4.6] | 0.37 0.86 |
Month 12 | |||
Vsyst, cm/s Vdiast, cm/s | 10.30 [10.0; 10.7] 4.2 [4.1; 4.5] | 10.6 [9.9; 10.6] 4.2 [3.9; 4.6] | 0.35 0.60 |
Changes from baseline to Month 1 | |||
Vsyst, cm/s Vdiast, cm/s | <0.01 <0.01 | 0.66 0.06 | – |
Note: Vsyst, peak systolic velocity; Vdiast, end-diastolic velocity. *Statistically significant difference compared with the start of follow-up (Wilcoxon test). Примечание. Vsyst — максимальная систолическая скорость кровотока; Vdiast — конечная диастолическая скорость кровотока. *Статистически значимое различие относительно начала наблюдения (критерий Уилкоксона). | |||
The analysis of changes in the peak area of the absorption band of the C=O bond showed a statistically significant decrease in the peak area (from 32% to 41%) after each CF procedure (Table 7).
Table 7. Changes in the area under the peak of 1725–1755 cm–1 of the IR spectrum of blood serum before and after the serum cascade filtration, Me [Q1; Q3]
Таблица 7. Изменения площади под пиком 1725–1755 см–1 ИК-спектра плазмы крови до и после каскадной плазмофильтрации, Me [Q1; Q3]
Procedure No. | Peak area at 1725–1755 cm–1 | Changes, % |
No. 1: before procedure after procedure | 0.022 [0.022; 0.023] 0.013 [0.012; 0.014] | 41 |
No. 2: before procedure after procedure | 0.019 [0.018; 0.021] 0.013 [0.012; 0.014] | 32 |
No. 3: before procedure after procedure | 0.017 [0.017; 0.018] 0.010 [0.010; 0.011] | 41 |
No. 4: before procedure after procedure | 0.014 [0.013; 0.016] 0.009 [0.009; 0.010] | 36 |
A statistically significant decrease in blood (from 12.5% to 14.5%) and plasma viscosity (from 14.1% to 16.1%; p < 0.01) was reported after each CF procedure (Table 8).
Table 8. Changes in blood and serum viscosity before and after the serum cascade filtration, Me [Q1; Q3]
Таблица 8. Изменения вязкости крови и плазмы до и после каскадной плазмофильтрации, Me [Q1; Q3]
Procedure No. | Blood (η∞), mPa∙s | Changes, % | Plasma (ηmean), mPa∙s | Changes, % |
No. 1: before procedure after procedure | 5.6 [5.3; 5.9] 4.9 [4.7; 5. 0] | 12.5 | 1.92 [1.87; 1.97] 1.65 [1.61; 1.68] | 14.1 |
No. 2: before procedure after procedure | 5.6 [5.2; 6.1] 4.9 [4.5; 5.0] | 14.2 | 1.91 [1.86; 1.95] 1.63 [1.58; 1.68] | 14.7 |
No. 3: before procedure after procedure | 5.5 [5.3; 6.0] 4.7 [4.5; 4.9] | 14.5 | 1.93 [1.85; 1.99] 1.62 [1.59; 1.66] | 16.1 |
No. 4: before procedure after procedure | 5.5 [5.2; 5.9] 4.8 [4.5; 4.9] | 12.7 | 1.91 [1.79; 1.98] 1.64 [1.58; 1.69] | 14.2 |
The analysis of blood chemistry parameters before and after CF revealed that CF significantly reduced the concentrations of the investigated inflammatory markers. After the procedure, high-sensitivity CRP and fibrinogen decreased by 40% (from 1.54 to 0.93 mg/L, p < 0.001) and 45% (from 3.51 to 1.61 g/L, p < 0.001), respectively. Blood levels of immunoglobulins also significantly changed after the CF procedure. Immunoglobulin M, G, and A levels decreased by 42%, 27%, and 23%, respectively, from baseline before the procedure (p < 0.001). White blood cells (WBCs) significantly increased from 5.64 × 109/L to 7.9 × 109/L (p < 0.01). The WBC increase was transient (the levels reached the baseline values within a day) and seemed to be caused by the body’s response to the procedure. Also, ESR decreased by 72% after the CF procedure. After CF, a significant decrease was reported in the following parameters: total cholesterol by 52%, from 5.41 to 2.61 mmol/L (p < 0.001); triglycerides by 63%, from 1.93 to 0.71 mmol/L (p < 0.001); low-density lipoprotein cholesterol by 64%, from 3.19 to 1.14 mmol/L (p < 0.001); and high-density lipoprotein cholesterol by 35%, from 1.43 to 0.93 mmol/L (p < 0.001). CF procedures were accompanied by a significant mean decrease in total protein by 23% (from 74 to 57 g/L, p < 0.001), followed by a complete recovery to baseline after 24 hours (Table 9).
Table 9. Changes in biochemical parameters before and after the serum cascade filtration
Таблица 9. Изменения биохимических показателей до и после каскадной плазмофильтрации
Parameter | Reference values | Control group (n = 20) | Study group (n = 34) | р | |
before CF | after CF | ||||
RBC, ×1012/L | 3.8–5.1 | 4.25 [3.98; 4.67] | 4.15 [3.87; 4.75] | 4.10 [3.81; 4.74] | 0.44 |
Hemoglobin, g/L | 117–155 | 145 [137; 149] | 139 [132; 151] | 138 [132; 150] | 0.21 |
Hematocrit, % | 35.0–45.0 | 41 [38; 43] | 38 [36; 43] | 37 [34; 42] | 0.32 |
Platelets, ×109/L | 150–400 | 198 [188; 225] | 224 [186; 234] | 209 [181; 225]* | 0.16 |
WBC, ×109/L | 4.0–10.0 | 5.45 [4.96; 5.72] | 5.64 [4.88; 5.90] | 7.9 [5.97; 8.78]* | 0.12 |
ESR, mm/h | 2–20 | 7 [4; 12] | 11 [4; 14] | 3 [2; 5]* | 0.09 |
High-sensitivity CRP, mg/L (risk) | <1.0 low 1–3 medium >3 increased | 1.75 [1.37; 1.98] | 1.54 [1.35; 1.96] | 0.93 [0.81; 1.22]* | 0.07 |
Fibrinogen, g/L | 2.0–3.9 | 3.21 [2.89; 3.53] | 3.51 [2.85; 3.60] | 1.61 [1.42; 1.94]* | 0.27 |
IgM, g/L | 0.4–2.3 | 1.21 [0.95; 1.5] | 1.09 [0.91; 1.55] | 0.46 [0.39; 0.57]* | 0.11 |
IgG, g/L | 7.0–16.0 | 13.8 [10.2; 15.7] | 12.9 [10.4; 15.2] | 9.46 [8.1; 11.5]* | 0.31 |
IgA, g/L | 0.7–4.0 | 2.41 [1.97; 2.85] | 2.56 [1.91; 2.82] | 1.97 [1.53; 2.22]* | 0.27 |
Total cholesterol, mmol/L | 3.73–6.86 | 5.11 [3.8; 5.4] | 5.41 [3.7; 6.06] | 2.61 [2.20; 3.42]* | <0.01 |
Triglycerides, mmol/L | 0.62–2.94 | 1.7 [1.5; 1.8] | 1.93 [1.6; 2.13] | 0.71 [0.62; 0.93]* | <0.01 |
Low-density lipoprotein cholesterol, mmol/L | 2.49–5.34 | 2.91 [2.3; 3.1] | 3.19 [2.35; 3.5] | 1.14 [1.04; 1.96]* | <0.01 |
High-density lipoprotein cholesterol, mmol/L | 0.80–1.94 | 1.50 [1.20; 1.72] | 1.43 [1.21; 1.60] | 0.93 [0.85; 0.96]* | <0.01 |
Total protein, g/L | 62–81 | 72 [68; 76] | 74 [68; 77] | 57 [48; 60]* | 0.51 |
*Statistically significant difference in the study group compared with the beginning of cascade filtration (Wilcoxon test). *Статистически значимое различие в основной группе относительно начала процедуры каскадной плазмофильтрации (критерий Уилкоксона) | |||||
DISCUSSION
Age-related macular degeneration (AMD) is a chronic multifactorial retinal disease characterized by a progressive course leading to irreversible loss of central vision. The risk of vision loss is associated with advanced AMD accompanied by retinal and RPE atrophy (dry AMD) or choroidal neovascularization (neovascular AMD). AREDS2 showed that in patients with intermediate disease (category 3), the 10-year risk of late AMD (category 4) reached 49% [15]. Therefore, the treatment strategy for intermediate AMD is aimed to reduce the risk of disease progression to a late stage and stabilize visual function. Antioxidants (vitamin-mineral complexes, the so-called AREDS formula) and polyunsaturated fatty acids (to correct lipid metabolism) are recommended. More active approaches include micropulse laser therapy [16] and laser retinal “rejuvenation,” also known as selective laser therapy [17], aimed to reactivate RPE function, which is involved in resorption of drusenoid material. An alternative strategy involves improving microcirculation and eliminating certain high-molecular compounds from the blood, including pathophysiologically significant risk factors for AMD. Two controlled, randomized, clinical trials demonstrated the safety and efficacy of rheopheresis for the treatment of patients with AMD, especially the dry form [18–20].
Extracorporeal rheopheresis procedures (cascade filtration, heparin-induced lipoprotein precipitation, lipid filtration, lipoprotein immunoadsorption, etc.) are widely and successfully used in Russia to correct lipid metabolism. Extracorporeal rheopheresis procedures have not only a pronounced lipid-lowering effect, but also several pleiotropic effects [14], including:
Reduction of pro-inflammatory peptides (including cytokines) and pro-coagulant factors, i.e. vessel protection;
Improvement of whole blood viscosity, stimulation of endothelium-mediated vasodilation, with a positive effect on the hemorheological properties, and improvement of perfusion in microvasculature.
The capability of extracorporeal rheopheresis (including CF) to rapidly cause pronounced positive changes in the metabolic, rheological, inflammatory, and antioxidant profiles of plasma allows considering it in patients with dry AMD. OCT and OCTA with a modern software set allow detecting the smallest structural and functional changes in the eye tissues at different depth, which makes it possible to monitor dry AMD [21].
In this study, a comprehensive assessment of changes in rheological and blood chemistry parameters, as well as in the structure and function of the central fundus after CF in patients with dry AMD revealed a significant improvement. The CF course led to positive anatomical changes in the macular area, which included a significant decrease in the dPED height and area. In the study group, no large geographic atrophies in the area of dPED resolution were noted. In the control group, though dPED tended to naturally resolve in some patients, characteristic atrophic changes in the RPE, RNE, and choroid were observed. In addition, some patients in the control group showed an increase in the dPED height and area. One patient had AMD progression to a wet form, which required anti-angiogenic therapy.
Structural and anatomical changes in the macula represented improved visual function. The control group had a significant increase in visual acuity (at Month 6, maintained for 12 months), which corresponds to dPED resolution.
We believe that the changes in the investigated structural and functional parameters are associated with the described pleiotropic effects of cascade filtration, which eliminates or reduces modifiable risk factors for AMD. Proposed CF method rapidly caused pronounced positive changes in the metabolic, rheological, inflammatory, and antioxidant plasma profiles, thereby positively affecting the dry AMD course, which is confirmed by a statistically significant difference in the structural and functional parameters changes in the study and control groups.
CF has a positive effect on the AMD course, but the effect weakens over time. We suggest this is because it is impossible to affect unmodifiable risk factors of AMD. Thus, along with the return of blood flow velocity in short posterior ciliary arteries to baseline after 6 months of follow–up, a relative decrease in visual acuity was reported (by 0.1 lower quartile based on the Golovin–Sivtsev charts, by 0.5 median letters of the ETDRS chart). Despite these changes, there is still a statistically significant improvement compared with the start of follow-up, which we consider as disease stabilization at Month 12.
This study was limited by a relatively short follow-up period (up to 1 year), which did not allow assessing long-term outcomes. This is especially important as the disease tends to progress. Also, safety is a valuable CF feature and allows repeating the treatment course annually to control long-term outcomes. This is a promising focus area for our studies. An important objective of this study was to comprehensively evaluate rheological and blood chemistry parameters, as well as structural and functional changes.
CONCLUSION
This study demonstrated that cascade filtration in patients with intermediate dry age-related macular degeneration not only resulted in positive changes in rheological and blood chemistry parameters, but also improved the structural and functional parameters of the macula, i.e. decreased dPED and improved BCVA.
ADDITIONAL INFORMATION
Authors’ contribution. All authors made a substantial contribution to the conception of the study, acquisition, analysis, interpretation of data for the work, drafting and revising the article, final approval of the version to be published and agree to be accountable for all aspects of the study. Personal contribution of each author: A.N. Kulikov, A.N. Belskikh — concept and design of the study, writing of the text; A.A. Volozhev — collecting and processing materials, writing text; A.V. Podshivalov, V.E. Sitnikova — analysis of obtained data, editing; D.S. Maltsev — materials processing; S.E. Bednova — analysis of the data obtained, literature review.
Funding source. The study was not supported by any external sources of funding.
Competing interests. The authors declare that they have no competing interests.
Consent for publication. Written consent was obtained from the patients for publication of relevant medical information within the manuscript.
ДОПОЛНИТЕЛЬНАЯ ИНФОРМАЦИЯ
Вклад авторов. Все авторы внесли существенный вклад в разработку концепции, проведение исследования и подготовку статьи, прочли и одобрили финальную версию перед публикацией. Личный вклад каждого автора: А.Н. Куликов — концепция и дизайн исследования, внесение окончательной правки; А.Н. Бельских — концепция и дизайн исследования, редактирование текста; А.А. Воложев — сбор и обработка материалов, написание текста; А.В. Подшивалов, В.Е. Ситникова — анализ полученных данных, редактирование; Д.С. Мальцев — обработка материалов; С.Е. Беднова — анализ полученных данных, обзор литературы.
Источник финансирования. Авторы заявляют об отсутствии внешнего финансирования при проведении исследования.
Конфликт интересов. Авторы декларируют отсутствие явных и потенциальных конфликтов интересов, связанных с публикацией настоящей статьи.
Информированное согласие на публикацию. Авторы получили письменное согласие пациентов на публикацию медицинских данных.
About the authors
Aleksey N. Kulikov
Kirov Military Medical Academy
Email: alexey.kulikov@mail.ru
ORCID iD: 0000-0002-5274-6993
SPIN-code: 6440-7706
MD, Dr. Sci. (Medicine), Professor
Russian Federation, Saint PetersburgAndrey N. Belskikh
Kirov Military Medical Academy
Email: d0c62@mail.ru
ORCID iD: 0000-0002-0421-3797
SPIN-code: 7764-0930
MD, Dr. Sci. (Medicine), Professor, Corresponding Member of the Russian Academy of Sciences
Russian Federation, Saint PetersburgAleksandr A. Volozhev
Kirov Military Medical Academy
Author for correspondence.
Email: aleksandr-volozh@mail.ru
ORCID iD: 0000-0001-5446-5063
SPIN-code: 1269-2220
Russian Federation, Saint Petersburg
Aleksandr V. Podshivalov
Saint Petersburg National Research University of Information Technologies, Mechanics and Optics
Email: podshivalov@itmo.ru
ORCID iD: 0000-0002-7581-8582
SPIN-code: 7008-7636
Cand. Sci. (Chemistry)
Russian Federation, Saint PetersburgVera E. Sitnikova
Saint Petersburg National Research University of Information Technologies, Mechanics and Optics
Email: kresenka@mail.ru
ORCID iD: 0000-0003-4753-976X
SPIN-code: 1003-2636
Cand. Sci. (Chemistry), Assistant Professor
Russian Federation, Saint PetersburgDmitrii S. Maltsev
Kirov Military Medical Academy
Email: glaz.med@yandex.ru
ORCID iD: 0000-0001-6598-3982
SPIN-code: 4903-2333
MD, Dr. Sci. (Medicine)
Russian Federation, Saint PetersburgSvetlana E. Bednova
Kirov Military Medical Academy
Email: sebednova@mail.ru
ORCID iD: 0009-0006-3960-7346
Russian Federation, Saint Petersburg
References
- Izmaylov AS. Treatment of a “dry” form of age-related macular degeneration. RMJ. Clinical Ophthalmology. 2017;1:56-60. (In Russ.) EDN: YTFDXF doi: 10.21689/2311-7729-2017-17-1-56-60
- Donders FC. Contributions to the pathological anatomy of the eye. Contributions to the pathological anatomy of the eye. Archiv für Ophthalmologie. 1855;1:106–118. (In German.)
- Hutchinson J. Symmetrical central choroido-retinal disease occurring in senile persons // The Royal London Ophthalmic Hospital Records and Journal of Ophthalmic Medicine And Surgery. 1874. P. 231–244.
- Haab O. Erkrankungen der Macula lutea. Disaes of the macula lutea. Centralblat für praktische Augenheilkunde. 1885. P. 384–391. (In German.)
- Haab O. Atlas und Grundriss der Ophthalmoskopie und ophthalmoskopischen Diagnostik. Atlas and outline of ophthalmoscopy and ophthalmoskopic diagnostics. Lehmann: München, 1908. P. 2. (In German.)
- Gass JD. Drusen and disciform macular detachment and degeneration. Arch Ophthalmol. 1973;90(3):206–217. doi: 10.1001/archopht.1973.01000050208006.
- Liebman ES, Shakhova EV. Blindness and disability due to pathology of the organ of vision in Russia. The Russian Annals of Ophthalmology. 2006;122(1):209–2014. (In Russ.) EDN: YTFDXF
- Konyaev DA, Popova EB, Titov AA, et al. The prevalence of eye diseases in the elderly population is a global problem of modernity. Health Care of the Russian Federation. 2021;65(1):62–68. (In Russ.) EDN: RCSSVB doi: 10.47470/0044-197X-2021-65-1-62-68
- Stahl A. The diagnosis and treatment of age-related macular degeneration. Dtsch Arztebl Int. 2020;117(29–30):513–520. doi: 10.3238/arztebl.2020.0513
- Wong WL, Su X, Li X, et al. Global prevalence of age-related macular degeneration and disease burden projection for 2020 and 2040: a systematic review and meta-analysis. Lancet Glob Health. 2014;2(2):e106–e116. doi: 10.1016/S2214-109X(13)70145-1
- Roh M, Laíns I, Shin HJ, et al. Microperimetry in age-related macular degeneration: association with macular morphology assessed by optical coherence tomography. Br J Ophthalmol. 2019;103(12):1769–1776. doi: 10.1136/bjophthalmol-2018-313316
- Johnson PT, Lewis GP, Talaga KC, et al. Drusen-associated degeneration in the retina. Invest Ophthalmol Vis Sci. 2003;44(10): 4481–4488. doi: 10.1167/iovs.03-0436
- De Jong PTVM. Elusive drusen and changing terminology of AMD. Eye (Lond). 2018;32(5):904–914. doi: 10.1038/eye.2017.298
- Manuilov AS, Bardakov SN, Apchel AV, et al. The experience of using cascade plasmofiltration in combined treatment with systemic lupus erythematosus on the background of programmed hemodialysis. Bulletin of the Russian Military Medical Academy. 2018;20(2):115–119. (In Russ.) EDN: XRZEVF doi: 10.17816/brmma12278/
- Chew EY, Clemons TE, Agrón E, et al.; AREDS2 Research Group. Long-term outcomes of adding lutein/zeaxanthin and ω-3 fatty acids to the AREDS supplements on age-related macular degeneration progression: AREDS2 Report 28. JAMA Ophthalmol. 2022;140(7): 692–698. doi: 10.1001/jamaophthalmol.2022.1640
- Huang Z, Deng KY, Deng YM, et al. Long-term outcomes of drusenoid pigment epithelium detachment in intermediate AMD treated with 577 nm subthreshold micropulse laser: a preliminary clinical study. Int J Ophthalmol. 2022;15(3):474–482. doi: 10.18240/ijo.2022.03.16
- Guymer RH, Wu Z, Hodgson LAB, et al. Laser intervention in early stages of age-related macular degeneration study group. Subthreshold nanosecond laser intervention in age-related macular degeneration: the lead randomized controlled clinical trial. Ophthalmology. 2019;126(6):829–838. doi: 10.1016/j.ophtha.2018.09.015
- Brunner R, Widder RA, Walter P, et al. Influence of membrane differential filtration on the natural course of age-related macular degeneration — a randomized trial. Retina. 2000;20:483–491. doi: 10.1097/00006982-200009000-00009
- Swartz M, Rabetoy G. Treatment of non-exudative agerelated macular degeneration using membrane differential filtration apheresis. Invest Ophthalmol Vis Sci. 1999;40:319.
- Klingel R, Fassbender C, Heibges A, et al. Rheo Net registry analysis of rheopheresis for microcirculatory disorders with a focus on age-related macular degeneration. Ther Apher Dial. 2010;14(3): 276–286. doi: 10.1111/j.1744-9987.2010.00807.x
- Maltsev DS, Kulikov AN, Chkhablani D, et al. Optical coherence tomography in the diagnosis and treatment of central serous chorioretinopathy. Bulletin of Ophthalmology. 2018;134(6):15–24. (In Russ.) EDN: VTAFQB doi: 10.17116/oftalma201813406115
Supplementary files











