Dependence of blood flow velocity in the central retinal artery on intraocular pressure during phacoemulsification with active fluidics
- Authors: Takhtaev S.Y.1, Astakhov S.Y.1, Takhtaev Y.V.1, Kiseleva T.N.2
-
Affiliations:
- Academician I.P. Pavlov First St. Petersburg State Medical University
- Helmholtz National Medical Research Center of Eye Diseases
- Issue: Vol 18, No 2 (2025)
- Pages: 51-60
- Section: Original study articles
- Submitted: 13.04.2025
- Accepted: 30.04.2025
- Published: 18.07.2025
- URL: https://journals.eco-vector.com/ov/article/view/678519
- DOI: https://doi.org/10.17816/OV678519
- EDN: https://elibrary.ru/BEJFPI
- ID: 678519
Cite item
Abstract
BACKGROUND: Irrigation during phacoemulsification is associated by a rapid increase in intraocular pressure. The difference of the active fluidics system from the passive one is its ability to maintain the set intraocular pressure throughout the entire procedure. The effect of a rapid intraocular pressure increase on retinal hemodynamics during surgery remains poorly understood.
AIM: The work aimed to study intraoperative changes in blood flow parameters in the central retinal artery during phacoemulsification with different intraocular pressure preset in the phacoemulsification system.
METHODS: A total of 11 patients with early stage cataract (Pentacam Nucleus Staging: 1–2) without cardiovascular comorbidities were examined. The mean age of the patients was 68 ± 8.4 years. All patients underwent ultrasound phacoemulsification using Centurion Vision System (Alcon, USA) with active fluidics. The intraocular pressure was measured using iCare Pro tonometer. Blood flow in the central retinal artery was assessed using a GE Logiq S8 multi-purpose ultrasound system. Blood pressure at the brachial artery was measured using Draeger Vista 120. The following parameters were assessed: statistical significance (the paired t-test) of the intraocular pressure differences at three time points (before surgery, at 40 and 60 mmHg as set in the phacoemulsification system); changes in peak systolic velocity and end-diastolic velocity at the initial and control time points of 40 and 60 mmHg; their dependence on the intraocular pressure increase; the effect of mean blood pressure on peak systolic velocity and end-diastolic velocity at control time points using linear regression analysis; and the correlation of their changes at each control time point (the Spearman correlation test).
RESULTS: Mean intraocular pressure values at three time points were 20.82±3.8, 36.9±4.0, and 62.8±3.3 mmHg, respectively. At 40 mmHg control point, mean peak systolic and end-diastolic velocities were 12.0±3.9 and 3.3±1.2 cm/s, respectively. At 60 mmHg control point, mean peak systolic velocity decreased to 10.2±3.6 cm/s. End-diastolic velocity significantly decreased to an average of 1.1±1.1 cm/s, and diastolic blood flow was not recorded in 3 cases. At 60 mmHg control point, a statistically significant decrease in end-diastolic velocity was noted vs. the pre-operative value (p <0.008), and peak systolic velocity also decreased (p=0.05). Significant effect of mean blood pressure on changes in blood flow velocity was not reported. A negative correlation was found between the change in resistive index and mean blood pressure at 40 and 60 mmHg control points (p <0.05).
CONCLUSION: An intraoperative intraocular pressure increase may significantly decrease peak systolic velocity and end-diastolic velocity in the central retinal artery and result in retinal blood flow deficiency. To maintain stable hemodynamics in retinal vessels during phacoemulsification, intraocular pressure should not exceed a specific threshold, which was 40 mmHg in our study.
Full Text
Background
Acute ocular hypertension during phacoemulsification is a pressing issue in clinical practice, as cataract in most cases is an age-related condition, and patients undergoing phacoemulsification often have an increased risk of cardiovascular complications and a long history of medical conditions, mainly hypertension, diabetes mellitus, and atherosclerotic lesions of major vessels. The negative effect of high intraocular pressure (IOP) on the anatomical eye structures is associated with two factors—compression damage and tissue ischemia caused by compression of blood vessels supplying the retina and optic nerve. In clinical practice, compromised hemodynamics of the retina and optic nerve in patients with glaucoma and ocular hypertension was determined using several instrumental methods to examine ocular blood flow, including color flow Doppler (CFD), optical coherence tomography angiography, and laser speckle flowgraphy [1, 2].
Irrigation during phacoemulsification causes an IOP spike. The difference of the active fluidics system from the passive one is its ability to maintain the set IOP throughout the entire procedure. There are no universal compensation methods for an acute abnormal IOP increase, and the visual function in these cases is most vulnerable [3]. Although a significant number of publications on microcirculation in glaucoma is available, the effect of a rapid IOP increase during surgery on retinal hemodynamics in a non-leaking eye remains poorly understood.
During phacoemulsification, an irrigation solution is supplied when the surgeon presses the foot pedal. The active fluidics system mechanically compresses an irrigation bag, transferring the solution via elastic tubing through an ultrasonic handpiece into the anterior chamber. Pressure sensors in the US handpiece provide feedback, so that when the pressure in the bag decreases, the compression system increases it, and IOP returns to the set value. The key difference from the passive systems is no IOP drops, which was demonstrated by Vasavada et al. [4].
The study aimed to assess trends of intraoperative changes in blood flow parameters in the central retinal artery (CRA) with different IOP values preset in the phacoemulsification system.
Methods
We examined 11 patients with early-stage cataract (Pentacam Nucleus Staging: 1–2) without ocular comorbidities who underwent phacoemulsification followed by intraocular lens (IOL) implantation. In accordance with the Declaration of Helsinki and after receiving approval from the Ethics Committee of Pavlov First St. Petersburg State Medical University, all patients gave voluntary informed consent to participate in the study.
Non-inclusion criteria were smoking, glaucoma, obliterating carotid atherosclerosis, decompensated hypertension, history of myocardial infarction, cerebrovascular accident, and coronary bypass surgery.
The mean age of the patients was 68.0 ± 8.4 years. All procedures were performed by the same surgeon. The surgical procedures were performed under local anesthesia (three instillations of 0.4% oxybuprocaine eye drops within 30 minutes before surgery). IOP in the phacoemulsification system was set considering the height of the operating table in each case. For each procedure, different IOP values (40 and 60 mmHg) were set for procedure steps in the phacoemulsification system. Blood pressure (BP) at the brachial artery and peripheral blood oxygen saturation were monitored in all patients using Draeger Vista 120 (Draeger, Germany). Color Flow and Pulsed Wave Doppler modes on a Logiq S8 multi-purpose diagnostic ultrasound system (GE, USA) were used to assess CRA blood flow with measurement of peak systolic (PSV) and end-diastolic velocity (EDV) and peripheral resistivity index (RI). An US probe was positioned without compressing the eyeball using a sterile US contact gel to obtain transpalpebral images of the optic nerve in the center of the scanner monitor. Then, in the center of the echogenic shadow of the retrobulbar nerve part, 1.0–3.0 mm from the posterior pole, the CRA was identified in the CFD mode by its red color (blood flow toward the transducer) and the central retinal vein by blue color (blood flow away from the transducer) [5]. As the CRA is located near the central retinal vein, Doppler images of these vessels are recorded simultaneously (arterial are above the baseline, venous are below the baseline) (see Fig. 1).
Fig. 1. Eye and orbit color flow and pulsed wave Doppler images: blood flow in the center of the optic nerve shadow near the posterior pole represents the central retinal artery (CRA) and central retinal vein (CRV). Doppler images of blood flow in the CRA (above the baseline) and CRV (below the baseline). CRA blood flow parameters: PSV 12.28 cm/s; EDV 2.62 cm/s; RI 0.79.
Cataract phacoemulsification was performed using one of the standard techniques of nuclear fragmentation (“stop-and-chop”) and consecutive program steps to chop the nucleus and aspirate is fragments, involving a linear vacuum increase at the tip of the US needle to hold the lens nucleus. To compensate for aspiration, the Alcon Centurion Vision System phacoemulsifier (Alcon, USA) used active fluidics.
IOP (IOPtonometry) was measured using an iCare Pro tonometer (iCare Finland Oy., Finland). Preoperative measurements before incisions (baseline values) were performed on the operating table immediately before surgery when the patient was in the supine position.
IOP was measured three times intraoperatively at each of the two time points at two different IOP values (40 and 60 mmHg) preset in the phacoemulsification irrigation system. The values in the phacoemulsification system and obtained using iCare were the same in some cases.
Statistical analysis of the obtained values was performed in IBM Statistics SPSS v27.0. The following parameters were assessed: statistical significance (the paired t-test) of the IOPtonometry differences at three time points (before surgery, at 40 and 60 mmHg as set in the phacoemulsification system); changes in PSV and EDV at the initial and control time points of 40 and 60 mmHg; their dependence on the IOPtonometry increase; the effect of BPmean on PSV and EDV at control time points using linear regression analysis; and the correlation of their changes at each control time point (the Spearman correlation test, r). The significance level was set at p = 0.05.
Results
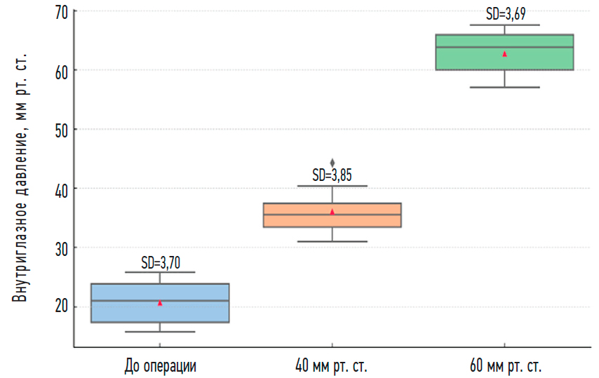
The analysis of tonometry data showed statistically significant differences between IOP measured before phacoemulsification and at the control points of 40 and 60 mmHg (p < 0.001) (see Fig. 2). Mean IOP values at three time points were 20.82 ± 3.8, 36.9 ± 4.0, and 62.8 ± 3.3 (SD) mmHg, respectively (see Fig. 3). Thus, the measured intraoperative IOP values and their changes corresponded to the settings in the phacoemulsification system, with low variability in IOP measured at control points of 40 and 60 mmHg (see Fig. 4). These data are expected and confirm that the risk of hemodynamic compromise can be assessed using preset IOP values during phacoemulsification.
Fig. 2. Normal distribution (p < 0.05) of intraocular pressure values at each control point: a, preoperatively; b, at 40 mmHg; c, at 60 mmHg.
Fig. 3. Differences and standard deviation of the intraocular pressure values measured using iCarePro at 40 and 60 mmHg control points.
Fig. 4. Variability and distribution of intraocular pressure (IOP) values at baseline (preoperatively) and at 40 and 60 mmHg; most values are within one standard deviation, and the values tend to increase at 60 mmHg control point.
Preoperative mean PSV and EDV were 12.4 ± 3.4 and 4.2 ± 1.4 cm/s, respectively. At 40 and 60 mmHg control points, blood flow velocity was decreased in all patients in the study group (see Fig. 5). At 40 mmHg control point, mean PSV and EDV were 12.0 ± 3.9 and 3.3 ± 1.2 cm/s, respectively. At 60 mmHg control point, mean PSV decreased to 10.2 ± 3.6 cm/s, whereas EDV significantly decreased to an average of 1.1 ± 1.1 cm/s and was not recorded in 3 cases (see Fig. 6).
Fig. 5. Plot of changes and standard deviations of peak systolic velocity (PSV) and end-diastolic velocity (EDV) (repeated-measures ANOVA with Greenhouse–Geisser correction for the lack of sphericity; p = 0.001).
Fig. 6. Doppler image of blood flow in the central retinal artery and central retinal vein at intraocular pressure of 60 mmHg. Peak systolic velocity is decreased (PSV 5.26 cm/s); the diastolic component is not observed (EDV 0).
The obtained clinical data showed an absolute decrease in blood flow velocity in both phases at each control point. A decrease in EDV was more statistically significant compared with the preoperative values and at 60 mmHg point (p = 0.008), whereas PSV decrease was less significant (p = 0.05). Significant effect of BPmean on changes in blood flow velocity was not reported. An analysis of the correlation of changes in the PSV and EDV log values showed that a high correlation remained (the Spearman correlation test r = 0.83, p < 0.01) at 40 mmHg control point and was not observed at 60 mmHg control point, when the IOP effect on EDV was expected to be higher.
RI, calculated as RI = PSV — EDV/PSV, depended on IOP and varied most between the preoperative measurement and at 60 mmHg control point (ANOVA p < 0.001; F: 34.182; see Fig. 7). A strong correlation was determined between the RI and BPmean change at the control points of 40 and 60 mmHg, but not preoperatively (relationship between the RI and BPmean change; p > 0.05). Thus, preoperative BPmean was not related to RI.
Fig. 7. Changes in the vascular resistance index (RI, mean ± standard deviation) at baseline and 40 and 60 mmHg control points (a) and the analyzed correlation between mean blood pressure and RI at baseline and 40 and 60 mmHg control points (b). The results show a statistically significant change in RI at 40 and 60 mmHg control points compared with preoperative values (ANOVA p < 0.001; F = 34.182; Mauchly’s sphericity test: p = 0.221) (the results are explained in the text above).
At 40 mmHg control point, a statistically significant strong negative correlation was found between RI and BPmean calculated as BPmean = DBP + 1/3 (SBP – DBP), where DBP is diastolic blood pressure, and SBP is systolic blood pressure. Thus, vascular resistance decreased with BPmean at the brachial artery. At 60 mmHg control point, a moderate negative correlation between RI and BPmean was observed (p = 0.05). Elevated IOP of 40 and 60 mmHg increased the inverse relationship between BPmean and RI, which may indicate a change in peripheral vascular pressure. However, there was no correlation between the RI change and ocular perfusion pressure. As perfusion pressure depends on IOP, an increase in IOP from 40 to 60 mmHg appears to decrease the effect of BP on blood flow velocity in the CRA, which may suggest that the limits of vascular autoregulation were achieved during phacoemulsification with increased IOP.
Discussion
As a damaging factor and threat of vision loss, ocular hypertension is associated with many different clinical conditions. Adaptive mechanisms of vascular regulation can compensate chronic ocular non-perfusion to some extent, which explains the differences in the progression of glaucomatous optic neuropathy with high variability in daily mean IOP [6, 7]. Glaucoma is characterized by significant hemodynamic changes in patients with uncompensated IOP and its normalization with an IOP decrease [8, 9]. Some authors describe a persistent increase in EDV of blood flow after deep sclerectomy in patients with primary open-angle glaucoma [10, 11].
Compensatory mechanisms for acute IOP spikes have not been studied. The pathogenesis of ischemic optic neuropathy has two main mechanisms — hemodynamic, which is based on functional hypoxia caused by vasospasm or vascular occlusion, and mechanical, which is based on compression of nerve fibers passing through holes in the lamina cribrosa of the optic disc with the subsequent irreversible atrophic damage and impaired visual function [12].
Ocular perfusion pressure (OPP) has several assumptions. As for calculation of cerebral perfusion pressure, the formula used (OPPmean = BPmean – IOP, where BPmean = DBP + 1/3 (SBP – DBP)), does not fully consider the ratio of the lumen area of the supplying vessels to the eyeball surface area and the dual blood supply to the retina with a predominant total blood volume in choroidal vessels [13, 14].
Blood flow in any vessel segment is determined by the ratio of the pressure difference at the ends of the test segment to the resistance R. The latter depends on blood viscosity, wall elasticity, and lumen vessel diameter. However, direct measurements of these parameters in small arteries are nearly impossible. RI is used for an indirect assessment of resistance distal to the observation point. The parameter is calculated based on color flow Doppler data as the ratio of PSV and EDV (in the formula PSV – EDV/PSV), which mean values (0.6–0.75) for an adult are among the highest in the body.
Polska et al. [15] noted that RI also does not accurately describe ocular blood flow and highlighted that the observed decrease in blood flow velocity in the supplying vessels based on color flow Doppler data does not correlate with a change in the ocular blood volume. Unlike intracranial pressure, which is the resistance to pressure in the cerebral vessels, IOP cannot be equalized or redistributed, especially in case of an acute increase [14, 16].
As the walls of the retinal arterioles have no normal layer of smooth muscle fibers or an internal elastic lamina, they are most vulnerable to IOP compression, followed by a resistance increase in the central retinal artery and its branches [17]. The choroid, which contains up to 85% of the blood volume supplied to the eye, is also overloaded by increased IOP manifested by venous stasis depending on the level of damaging IOP [18].
In 2019, Takhtaev et al. [19] showed for the first time that an increase in IOP during phacoemulsification may significantly decrease blood flow velocity in the CRA compared with the control group, irrespective of baseline BP. Harris et al. [8] reported that a three-fold gradual increase in IOP resulted in CRA blood flow disorder, with a RI increase to almost 1.0, which suggested a complete stop of blood flow and demonstrated a high dependence of CRA hemodynamics on IOP fluctuations.
Conclusion
An IOP change during phacoemulsification directly affects CRA blood flow.
The assessment of changes in blood flow velocity parameters in the two control points found that they are significant and differ from baseline. The control IOP measurements show low variability, and the observed difference in IOP in the phacoemulsification system from IOPtonometry the at both control points is not statistically significant. Thus, IOP in the phacoemulsification system generally corresponds to the control tonometry value measured under the described conditions.
EDV in the CRA is more dependent on the severity of an IOP increase and significantly decreases from baseline at 60 mmHg preset in the phacoemulsification system. A further IOP increase may result in complete stop of blood flow at the diastolic phase and a direct risk of retinal and optic nerve ischemia. Elevated IOP of 40 and 60 mmHg increases the inverse relationship between BPmean and RI, which may indicate a change in peripheral vascular pressure.
The observed changes in blood flow in the CRA suggest that an IOP value affecting CRA perfusion is more an independent risk factor of ischemia compared with ocular perfusion pressure, which depends on the IOP/BPmean ratio. In other words, it cannot be stated that patients with elevated systemic BP are at a lower risk of ischemic events in case of elevated IOP than patients with normal or low BP.
Additional info
Author contributions: S.Yu. Takhtaev: substantial contribution to manuscript preparation, investigation, formal analysis, writing—original draft, visualization; S.Yu. Astakhov: substantial contribution to conceptualization, writing—review & editing, final approval of the manuscript; Yu.V. Takhtaev: substantial contribution to conceptualization, writing—review & editing, final approval of the manuscript, investigation, supervision; T.N. Kiseleva: substantial contribution to conceptualization, investigation, formal analysis, writing—review & editing, final approval of the manuscript, writing—original draft. All the authors approved the final version of the manuscript to be published and agreed to be accountable for all aspects of the work, ensuring that questions related to the accuracy or integrity of any part of the work are appropriately investigated and resolved.
Ethics approval: The study was approved by the local Ethics Committee of the Federal State Budgetary Educational Institution of Higher Education Pavlov First Saint Petersburg State Medical University (Protocol No. 280 dated November 20, 2023). All participants provided written informed consent prior to inclusion in the study.
Consent for publication: Written informed consent was obtained from patients for the publication of personal data in a scientific journal and its online version.
Funding sources: No funding.
Disclosure of interests: The authors have no relationships, activities, or interests for the last three years related to for-profit or not-for-profit third parties whose interests may be affected by the content of the article.
Statement of originality: No previously obtained or published material (text, images, or data) was used in this article.
Generative AI: No generative artificial intelligence technologies were used to prepare this article.
Provenance and peer-review. This paper was submitted unsolicited and reviewed following the standard procedure. The peer review process involved two external reviewers, a member of the editorial board, and the in-house scientific editor.
About the authors
Sergei Yu. Takhtaev
Academician I.P. Pavlov First St. Petersburg State Medical University
Author for correspondence.
Email: stakhtaev@gmail.com
ORCID iD: 0009-0003-3545-5136
MD
Russian Federation, Saint PetersburgSergey Yu. Astakhov
Academician I.P. Pavlov First St. Petersburg State Medical University
Email: astakhov73@mail.ru
ORCID iD: 0000-0003-0777-4861
SPIN-code: 7732-1150
MD, Dr. Sci. (Medicine), Professor
Russian Federation, Saint PetersburgYuri V. Takhtaev
Academician I.P. Pavlov First St. Petersburg State Medical University
Email: ytakhtaev@gmail.com
ORCID iD: 0000-0003-2770-7674
SPIN-code: 9173-3831
MD, Dr, Sci, (Medicine)
Russian Federation, Saint PetersburgTatiana N. Kiseleva
Helmholtz National Medical Research Center of Eye Diseases
Email: tkisseleva@yandex.ru
ORCID iD: 0000-0002-9185-6407
SPIN-code: 5824-5991
MD, Dr. Sci. (Medicine), Professor
Russian Federation, MoscowReferences
- Malishevskaya TN, Kiseleva TN, Renzyak EV. Evaluation of ocular blood flow by Doppler Ultrasound in patients with glaucoma. Regional blood circulation and microcirculation. 2024;23(4):22–29. doi: 10.24884/1682-6655-2024-23-4-22-29 EDN: CIOUOD
- Kiseleva TN, Petrov SYu, Okhotsimskaya TD, Markelova OI. State-of-the-art methods of qualitative and quantitative assessment of eye microcirculation. Russian Ophthalmological Journal. 2023;16(3):152–158. doi: 10.21516/2072-0076-2023-16-3-152-158 EDN: ORBVWL
- Kiseleva TN, Chudin AV, Khoroshilova-Maslova IP, et al. Morphological changes in the retina under conditions of experimental in vivo regional ischemia/reperfusion. Bulletin of Experimental Biology and Medicine. 2019;167(2):250–256. EDN: CKXURX
- Vasavada V, Agrawal D, Vasavada SA, et al. Intraoperative performance and early postoperative outcomes following phacoemulsification with three fluidic systems: A randomized trial. J Refract Surg. 2024;40(5):e304–e312. doi: 10.3928/1081597X-20240314-02
- Neroev VV, Kiseleva TN, editors. Ultrasound studies in ophthalmology: a guide for doctors. 1st ed. Moscow: ICAR; 2019. (In Russ.)
- Astakhov YuS, Akopov EL, Potyomkin VV. Аpplanation and dynamic contour tonometry: a comparative analysis. Ophthalmology Reports. 2008;1(1):4–10. EDN: IKIDXR
- Pershin BS, Kozlova IV, Ermolaev AP. Experimental evaluation of correlation between intraocular pressure fluctuation and hemodynamic indices of the eye after intravitreous injection. National Journal glaucoma. 2012;(1):16–19. EDN: RTCCUJ
- Harris A, Joos K, Kay M, et al. Acute IOP elevation with scleral suction: effects on retrobulbar haemodynamics. Br J Ophthalmol. 1996;80(12): 1055–1059. doi: 10.1136/bjo.80.12.1055
- Astakhov YuS, Sokolov VO, Morozova NV, et al. IOP-lowering therapy evaluation using 24-hour IOP monitoring. Ophthalmology Reports. 2015;8(3):51–55. doi: 10.17816/OV2015351-55 EDN: UXQLFJ
- Galassi F, Giambene B, Corvi A, et al. Retrobulbar hemodynamics and corneal surface temperature in glaucoma surgery. Int Ophthalmol. 2008;28(6):399–405. doi: 10.1007/s10792-007-9160-8
- Özsoy A, Sarıcaoğlu MS, Çavuşoğlu M. The effect of deep sclerectomy on ocular blood flow: a 6-month clinical trial. Turk J Med Sci. 2016;46(6):1773–1778. doi: 10.3906/sag-1506-122
- Hayreh SS. Blood supply of the optic nerve head in health and disease. In: Lambrou GN, Greve EL, eds. Ocular blood flow in glaucoma: means, methods and measurements. Amsterdam: Kugler and Ghedini; 1989. P. 3–54.
- Hayreh SS. Management of ischemic optic neuropathies. Indian J Ophthalmol. 2011;59(2):123–136. doi: 10.4103/0301-4738.77024
- Krejcy K, Wolzt M, Kreuzer C, et al. Characterization of angiotensin-II effects on cerebral and ocular circulation by noninvasive methods. Br J Clin Pharmacol. 1997;43(5):501–508. doi: 10.1046/j.1365-2125.1997.00585.x
- Polska E, Kircher K, Ehrlich P, et al. RI in central retinal artery as assessed by CDI does not correspond to retinal vascular resistance. Am J Physiol Heart Circ Physiol. 2001;280(4):H1442–H1447. doi: 10.1152/ajpheart.2001.280.4.H1442
- Canac N, Jalaleddini K, Thorpe SG, et al. Review: pathophysiology of intracranial hypertension and noninvasive intracranial pressure monitoring. Fluids Barriers CNS. 2020;17(1):40. doi: 10.1186/s12987-020-00201-8
- Yang Q, Shen J, Guo W, et al. Effect of acute intraocular pressure elevation on blood flow velocity and resistance in the rabbit ophthalmic artery. Vet Ophthalmol. 2011;14(6):353–357. doi: 10.1111/j.1463-5224.2011.00881.x
- Reiner A, Fitzgerald MEC, Del Mar N, Li C. Neural control of choroidal blood flow. Prog Retin Eye Res. 2018;64:96–130. doi: 10.1016/j.preteyeres.2017.12.001
- Takhtaev YuV, Kiseleva TN, Shliakman RB. The effect of preset intraoperative intraocular pressure during phacoemulsification on the blood flow velocity in the central retinal artery. Ophthalmology Reports. 2019;12(4):5–12. doi: 10.17816/OV17802 EDN: QSQOUM
Supplementary files











