Abnormal hypersynchronization of body balance control system in children with post-burn foot deformity
- Authors: Nikityuk I.E.1, Kononova E.L.1, Nikitin M.S.1, Afonichev K.A.1
-
Affiliations:
- The Turner Scientific Research Institute for Children’s Orthopedics
- Issue: Vol 7, No 2 (2019)
- Pages: 61-68
- Section: Original Study Article
- Submitted: 03.12.2018
- Accepted: 18.01.2019
- Published: 01.07.2019
- URL: https://journals.eco-vector.com/turner/article/view/10610
- DOI: https://doi.org/10.17816/PTORS7261-68
- ID: 10610
Cite item
Abstract
Relevance. Treatment of children with post-burn foot deformities is an important task of reconstructive plastic surgery. The scars formed on the back surface of the feet, even with adequate surgical approach, in the acute period of thermal injury, further often lead to deformities of the entire foot, which leads to a derangement of its support function. The importance of the problem lies in the fact that with the growth of the child, secondary abnormal changes develop on the part of the joints of the lower extremities and the spine, leading to impaired locomotor function, including deviations in the body balance control system.
Purpose of the study. To study postural stability in children with post-burn foot deformities before and after surgical treatment.
Material and methods. The stabilometric study was conducted in 12 patients with post-burn cicatricial foot deformity, the average age of the patients was 9.8 ± 0.93 years old. The control group consisted of 12 children of the same age with no signs of orthopedic abnormality. To assess the results, the methods of descriptive statistics with the inclusion of correlation and regression analysis were used.
Results. In patients with post-burn cicatricial deformity of the foot at the pre-treatment stage, a compensatory redistribution of the static load towards the intact lower limb was revealed. Analysis of postural control indicators in patients of the main group showed an abnormal increase in the synchronization of the system of body balance control. After reconstructive operations on the affected foot, symmetry of the distribution of the load and restoration of the support of the limb of the affected side were noted. Correlation analysis revealed a pronounced decrease in abnormal hypersynchronization between stabilometric parameters, which may indicate a trend towards normalization of the postural control strategy in patients after treatment.
Conclusion. Elimination of post-burn foot deformity contributed to the restoration of its anatomical shape and was accompanied by pronounced positive dynamics in the state of the system of vertical balance of the patient’s body.
Keywords
Full Text
Introduction
The foot is one of the primary structural segments of the human musculoskeletal system that has a statolocomotor function and represents an integral morpho-functional object, which influences the human motor function [1]. Treatment of pediatric patients with post-burn foot deformities is important in reconstructive surgery [2]. According to some authors, the frequency of damage to this area is more than 40% [3], with the dorsal part of the foot being most often affected [4]. The dorsal surface of the foot is characterized by a number of specific anatomical features, namely thinner skin, thinned subcutaneous fat layer, superficial papillary dermis, peripheral blood supply, and slow venous and lymphatic outflow. All these factors predispose this area to a deeper lesion and subsequent scarring [5]. Scars formed on the dorsal part of the foot, even with adequate surgical intervention during the acute period of thermal injury, often results in future deformity of the entire foot [6], leading to a disorder of its support function. The importance of the problem is further exasperated by the fact that when a child grows, the asymmetry of the load on the lower extremities contributes to the development of secondary pathological changes in the joints of the lower extremities and the spine. This often leads to impaired static locomotor function [7]. This is the reason why it is important to quantify the distribution of the load on the lower limbs through orthopedic rehabilitation [8]. However, to the best of our knowledge, information on the diagnosis of such musculoskeletal system dysfunction is unavailable in literature.
Taking into account the fact that the human musculoskeletal system is functionally unified, it is advisable to use the stabilometry method for the assessment of statolocomotor function, as it is highly informative in analyzing the mechanisms of the disorder and restoring the vertical balance of the body in patients with orthopedic pathology.
The study aimed to investigate postural stability in pediatric patients with post-burn foot deformities before and after surgical treatment.
Materials and methods
A stabilometric study was conducted in 12 patients with a cicatricial post-burn foot deformity, including 7 pediatric patients with a left-sided lesion and 5 patients with a right-sided lesion. The age of pediatric patients ranged from 5 to 16 years (average age was 9.8 ± 0.93 years). The study group included pediatric patients with a burn deformity of the foot, from other medical institutions, who had not undergone any surgery. The examination was conducted using the MBN Biomechanics software and hardware complex (MBN, Russia) prior to surgical treatment, and from 1 to 2 years after the removal of the cicatricial deformity, according to the standard scheme with open and closed eyes. The displacement parameters of the mass center projection (MCP) of the body were recorded, namely the x coordinate (mm), an average path length L (mm), square S (mm2), and the ratio of the statokinesiogram length to its square L/S (mm−1). The average values of the amplitude of oscillations of the MCP A (mm) and the level of 60% of the spectral power in the frontal and sagittal planes f 60% (Hz) were calculated. Additionally, an integrative indicator was calculated, which is the ratio of length to amplitude L/A [9]. The surgical intervention involved the elimination of the post-burn foot deformity in order to restore the anatomical shape and replace the skin scars with full-layer skin grafts (Fig. 1).
Fig. 1. The feet of patient B., 14 years old. Post-burn cicatricial deformity of the right foot: a — before surgery; b — one year after surgery on the affected foot
The control group consisted of 12 age-matched pediatric patients, who exhibited no signs of orthopedic pathology. Statistical analysis of the data was performed using SPSS 11.5 and Statgraphics Centurion 16.2. First, the nature of the distribution of variation series (Shapiro-Wilk test) was determined. Because data were not normally distributed, the Mann-Whitney U-test was used to compare unrelated samples, and the Wilcoxon test was used for linked samples with calculation of the Z-criterion. The data were presented in the form of a median (Me) and interquartile range (25%–75%). Differences in indicators were considered statistically significant at p < 0.05. A correlation analysis was used to study the relationship between the parameters of stabilometry, using the Spearman’s coefficient rs. The correlation was considered strong when rs was ≥0.7.
Results
Stabilometric parameters indicated that patients with post-burn cicatricial deformity of the foot had postural balance disorders (Table 1). Prior to the treatment, these patients also exhibited a pronounced and statistically significant displacement of MCP in the frontal plane (indicator x), in accordance with the principle of counter-laterality, ie displacement to the side opposite to the affected side (see Fig. 4, a). This feature of asymmetric distribution of body weight on the lower limbs may indicate a compensatory redistribution of the static load toward the intact lower limb, typical of unilateral lesions [10]. This finding has huge clinical importance because the long-term asymmetry of the lower limb support function can cause negative consequences [11].
Table 1
Stabilometric indicators of healthy children and patients with post-burn cicatricial deformity of the foot (before and after surgical treatment)
Parameters | Control group n = 12 Me (25%–75%) | Mann-Whitney test (p-value) | Study group, before the surgery n = 12 Me (25%–75%) | Wilcoxon’s test p | Study group, after the surgery n = 12 Me (25%–75%) | |
x, mm | О | 0.29 (0.1–0.37) | < 0.0001 | 5.01 (3.87–6.15) | 0.002 | 1.21 (0.92–1.61) |
C | 0.3 (0.13–0.41) | 0.0001 | 4.43 (2.96–7.96) | 0.002 | 0.93 (0.69–2.35) | |
L, mm | О | 619 (580–686) | 0.0002 | 1084 (819–1324) | 0.002 | 920 (649–1156) |
C | 790 (630–952) | 0.004 | 1397 (990–1638) | 0.002 | 1082 (667–1290) | |
S, mm2 | О | 346 (311–474) | 0.005 | 949 (452–1426) | 0.019 | 697 (499–1048) |
C | 639 (353–740) | 0.112 | 669 (493–1847) | 0.002 | 491 (360–1358) | |
А, mm | О | 2.4 (2.1–3.1) | 0.026 | 4.1 (2.5–5.0) | 0.889 | 3.2 (2.4–4.6) |
C | 3.0 (2.5–3.6) | 0.402 | 3.3 (2.4–5.7) | 0.889 | 3.5 (2.7–4.8) | |
f 60%, Hz | О | 1.2 (1.0–1.4) | 0.908 | 1.2 (1.0–1.5) | 1.000 | 1.3 (0.8–1.4) |
C | 1.0 (0.9–1.1) | 0.024 | 1.1 (1.0–1.7) | 0.182 | 1.0 (0.9–1.1) |
Note. O — test with open eyes; C — test with closed eyes; p-value — the level of significance of differences in indicators between groups of healthy children and pediatric patients; p — the level of significance of differences in indicators in the group of pediatric patients before and after surgery.
Analysis of the remaining indicators of postural control in the study group revealed a significant and stable deviation from the norm toward an increase of the parameter L. Parameters S, A and f 60% were also increased with a different level of significance depending on patient use in the process of studying the visual analyzer. Thus, in patients with post-burn cicatricial deformity of the foot, pronounced impairment of postural balance of the body was noted. It is believed that such a low physiological resource of postural control requires increased energy consumption, as well as an excessive load on other parts of the musculoskeletal system [12].
Correlation analysis was also performed in these patients to better understand the functional deviations in maintaining the vertical balance of the body. The dependence of the L/S parameter on the amplitude of oscillations A is presented by the power function Y = bXa; the relationship of the integrative indicator L/A with the average power level of the spectrum f 60% was linear: Y = a + bX, where a and b are regression coefficients, the variable X corresponds to the amplitude A or the average power level of the spectrum f 60%, and the variable Y corresponds to the parameters L/S or L/A. The results of the correlation analysis are presented in Table 2.
Table 2
Correlation analysis of the dependence of the L/S parameter on the oscillatory amplitude A of the mass center projection and the L/A parameter on the average power level of the spectrum f 60% statokinesiogram of healthy children and patients with post-burn cicatricial deformity of the foot (before and after surgical treatment)
Dependence | Spearman’s rank correlation coefficient rs | |||
Control group n = 12 | Study group, before the surgery n = 12 | Study group, after the surgery n = 12 | ||
L/S ~ A | О | –0.44 | –0.79 | –0.68 |
C | –0.58 | –0.93 | –0.80 | |
L/A ~ f 60% | О | 0.20 | 0.90 | 0.43 |
C | 0.42 | 0.83 | 0.48 |
Note. O — test with open eyes; C — test with closed eyes.
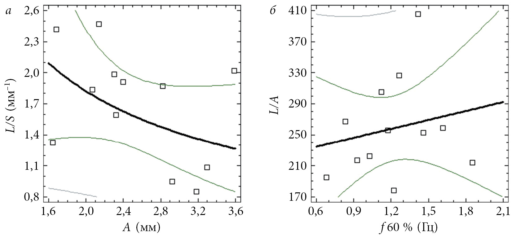
Correlation analysis revealed that in the group of healthy children, there was a weak relationship between the parameters L/S ~ A and L/A ~ f 60% because the modules of the correlation coefficients did not exceed 0.7 (Fig. 2).
Fig. 2. The regression line (thick line) and its confidence interval (thin lines) reflect the dependence of healthy children with open eyes: a is the L/S parameter on the oscillatory amplitude A of the mass center projection; b is L/A parameter of the average power level of the spectrum f 60% of the statokinesiogram
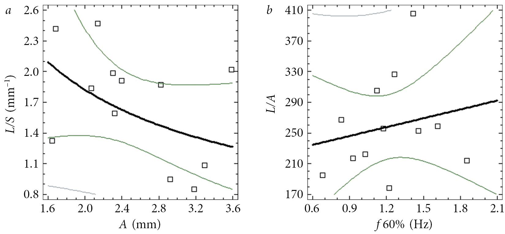
This fact indicates that, in the norm, in order to ensure vertical body stability, there is no need for high synchronization of L, S, A and f 60% parameters, the ratios between which during still standing are random and chaotic in nature [13]. The postural balance of the body was calculated according to another principle in the before treatment group, and was characterized by a strong correlation in the L/S ~ A and L/A ~ f60% ratios, in which the modules of the rs coefficients exceeded 0.7 (Fig. 3).
Fig. 3. The regression line (thick line) and its confidence interval (thin lines), reflecting in patients with unilateral rear foot burn with open eyes, the dependence before treatment: a is the L/S parameter on the oscillatory amplitude A of the mass center projection; b is the L/A parameter on the average power level of the spectrum f 60% of the statokinesiogram
Such strong correlations between stabilometric parameters may indicate a different postural strategy of ensuring vertical body balance in healthy children and patients with post-burn cicatricial deformity of the foot. After reconstructive surgeries on the affected foot, restoration of the support function of the lower extremities was evaluated (see Table 1). A significant stabilization of the body MCP in the frontal view (xaxis) was noted indicating the symmetry of the load distribution and the restoration of the support function of the affected side (Fig. 4, b).
Fig. 4. Stabilograms of patient B., 14 years old (see fig. 1): a — before the surgery; b — one year after the surgery on the affected foot. Restoration of the centering of the projection of the body mass center in the frontal plane, normalization of the area of statokinesiogram. Red line indicates test with open eyes, green line shows test with eyes closed
The descriptive statistical analysis of other stabilometric parameters in our patients with post-burn cicatricial deformity of the foot did not reveal a full restoration to normal of average values of L length and square S of the statokinesiogram after treatment, but did show stability, significance and unidirectionality of their changes toward normalization. Despite the absence of changes in indicators A and f 60% post-treatment, the correlation analysis revealed a decrease in pathological hypersynchronization in the ratio L/S ~ A, while the correlation coefficients between the indicators L/A and f 60% decreased to normal values. This may indicate a tendency toward normalization of postural control strategies in patients after reconstructive surgery on the affected foot.
Discussion
The results of our study demonstrated a significant decrease in postural stability in pediatric patients with post-burn cicatricial deformity of the foot, manifested by pronounced deviations of stabilometric parameters from nominal values. We observed strong correlations between the square S, the length of the statokinesiogram L, the amplitude of oscillations of the center of mass projection A and the level of 60% of the power of the spectrum f 60%, which significantly exceeded those of healthy children. This indicates a more ordered trajectory of the MCP and, consequently, greater synchronization of the control system by the vertical balance of the body in patients with unilateral post-burn cicatricial deformity of the foot, compared to healthy children. Hypersynchronized postural strategy is adaptive, as it enables vertical posture to be maintained and to move under new conditions of the functioning deformed foot. Furthermore, increased orderliness of the MCP trajectory is pathological, as it is considered to be an indicator of a deficiency in postural control. Such hypersynchronization of the body balance control system is characteristic of patients with lesions of the central nervous system, such as craniocerebral injuries [14], parkinsonism [15], and spinal pathology [16]. It is well known that foot receptors are an important source of information of any change in MCP position of the body [17], and in the unloaded lower limb, the activity of foot mechanoreceptors has been shown to be reduced [18]. In addition, a unilateral change in habitual stimulation of the superficial and deep receptors of the sole hinders the control and management of the vertical posture [19]. It can be assumed that in patients with post-burn cicatricial deformity, changes occur in the corticospinal mechanism of implementation of the foot support act, which is subject to the influence of pathologically altered afferent impulsation from the affected foot. Mechanoreceptors located in different zones of the foot skin are involved in afferent control and programming of motor acts [20]. The altered afferent impulsation from the receptors of the affected foot creates a muscular imbalance of the musculoskeletal system, as it passes through the proprioceptive spinocerebral loop with a unilateral disorder of one of the links of the biokinematic chain [21]. Under such conditions of altered central regulation of statolocomotor functions in pediatric patients with post-burn foot deformities, additional compensation mechanisms are actuated to maintain the body balance. These compensatory mechanisms can be implemented by changing the postural strategy due to the pathological increase in synchronization of the body balance control system.
Conclusions
In our group of pediatric patients with post-burn cicatricial deformity of the foot, we discovered disorders of postural balance and asymmetry of the load on the lower limbs, which may indicate compensation for the deterioration of the support function of the affected foot with an intact limb. Furthermore, the results of our study showed that elimination of post-burn foot deformity was accompanied by pronounced positive changes in the state of the vertical body balance system of these patients.
Additional information
Source of financing. The work was conducted within the State task of the Ministry of Health of the Russian Federation No. АААА-А18- 118122690164-3.
Conflict of interest. The authors declare no obvious or potential conflicts of interest related to the publication of this article.
Ethical review. The study was conducted in accordance with the ethical standards of the Helsinki Declaration of the World Medical Association, as amended by the Ministry of Health of Russia, approved by the ethics committee of the Turner Scientific Research Institute for Children’s Orthopedics (Protocol No. 4 dated 27.11.2018). Patients (their representatives) signed a voluntary informed consent to the processing and publication of personal data.
Acknowledgments. The authors express their gratitude to Alyona Nikolayevna Melchenko, head of the department of international projects and external relations of the Turner Scientific Research Institute for Children’s Orthopedics for providing assistance in the translation of the summarizing part of the publication into English.
Contribution of the authors
I.E. Nikityuk developed the study design, collected and performed statistical processing of the material, reviewed the publications on the topic of the article, and wrote the text of the manuscript.
E.L. Kononova collected and analyzed the material, reviewed the publications on the topic of the article, wrote the text, conducted stage and final editing of the manuscript.
M.S. Nikitin collected and analyzed the material, reviewed the publications on the topic of the article, and wrote the text.
K.A. Afonichev collected and analyzed the material, reviewed the publications on the topic of the article, wrote the text, performed stage and final editing of the manuscript.
About the authors
Igor E. Nikityuk
The Turner Scientific Research Institute for Children’s Orthopedics
Author for correspondence.
Email: femtotech@mail.ru
ORCID iD: 0000-0001-5546-2729
MD, PhD, Leading Researcher of the Laboratory of Physiological and Biomechanical Research
Russian Federation, 64, Parkovaya str., Saint-Petersburg, Pushkin, 196603Elizaveta L. Kononova
The Turner Scientific Research Institute for Children’s Orthopedics
Email: Yelisaveta@yandex.ru
ORCID iD: 0000-0001-7624-013X
MD, PhD, Head of the Laboratory of Physiological and Biomechanical Research
Russian Federation, 64, Parkovaya str., Saint-Petersburg, Pushkin, 196603Maksim S. Nikitin
The Turner Scientific Research Institute for Children’s Orthopedics
Email: doknikitin@yandex.ru
ORCID iD: 0000-0001-8987-3489
MD, Orthopedic and Trauma Surgeon of the Department of Trauma Sequelae and Rheumatoid Arthritis
Russian Federation, 64, Parkovaya str., Saint-Petersburg, Pushkin, 196603Konstantin A. Afonichev
The Turner Scientific Research Institute for Children’s Orthopedics
Email: afonichev@list.ru
ORCID iD: 0000-0002-6460-2567
MD, PhD, D.Sc., Head of the Department of Trauma Sequelae and Rheumatoid Arthritis
Russian Federation, 64, Parkovaya str., Saint-Petersburg, Pushkin, 196603References
- Ефимов А.П. Информативность биомеханических параметров походки для оценки патологии нижних конечностей // Российский журнал биомеханики. – 2012. – Т. 16. – № 1. – С. 80–88. [Efimov AP. Informativity of biomechanical parameters of gait for the estimation of the lower extremities pathology. Rossiyskiy zhurnal biomekhaniki. 2012;16(1):80-88. (In Russ.)]
- Ngu F, Patel B, McBride C. Epidemiology of isolated foot burns in children presenting to a Queensland paediatric burns centre- a two-year study in warmer climate. Burns Trauma. 2017;5:6. https://doi.org/10.1186/s41038-017-0070-3.
- Гизатулина Л.Я., Богов А.А., Муллин Р.И., Ибрагимов Я.Х. Применение васкуляризированной кожной пластики задним фасциально-жировым лоскутом голени на ретроградном кровотоке для замещения дефекта мягких тканей нижней трети голени и стопы // Практическая медицина. – 2017. – № 8. – С. 53–55. [Gizatulina LY, Bogov AA, Mullin RI, Ibragimov YK. The usage of vascularized skin plastics by reverse adipofascial flap of the lower leg in counterpulsation for defects of soft tissues of the lower third of shin and foot. Prakticheskaya meditsina. 2017;(8):53-55. (In Russ.)]
- Богов А.А., Ибрагимова Л.Я., Муллин Р.И. Применение васкуляризированной кожной пластики медиальным лоскутом стопы для замещения дефекта мягких тканей стопы // Практическая медицина. – 2012. – № 8-1. – С. 86–87. [Bogov AA, Ibragimova LY, Mullin RI. The use of vascularized skin plastics by medial flap of the foot for replacing defects of soft tissues of the foot. Prakticheskaya meditsina. 2012;(8-1): 86-87. (In Russ.)]
- Богданов С.Б., Бабичев Р.Г. Хирургические аспекты лечения детей с глубокими ожогами тыльной поверхности кистей и стоп // Российский вестник детской хирургии, анестезиологии и реаниматологии. – 2016. – Т. 6. – № 1. – С. 57–62. [Bogdanov SB, Babichev RG. Surgical aspects of treatment children with deep burns of dorsal surface of hands and feet. Rossiyskiy vestnik detskoy khirurgii, anesteziologii i reanimatologii.2016;6(1):57-62. (In Russ.)]
- Sonmez Ergun S. A new splint for dorsal foot burns. J Burn Care Res. 2018;39(2):308-310. https://doi.org/10.1097/BCR.0000000000000573.
- Hurkmans HLP, Bussmann JBJ, Benda E, et al. Techniques for measuring weight bearing during standing and walking. Clin Biomech. 2003;18(7):576-589. https://doi.org/10.1016/s0268-0033(03)00116-5.
- Kumar SN, Omar B, Joseph LH, et al. Evaluation of limb load asymmetry using two new mathematical models. Glob J Health Sci. 2014;7(2):1-7. https://doi.org/10.5539/gjhs.v7n2p1.
- Никитюк И.Е., Мошонкина Т.Р., Щербакова Н.А., и др. Влияние локомоторной тренировки и функциональной электромиостимуляции на постуральные функции детей с тяжелыми формами ДЦП // Физиология человека. – 2016. – Т. 42. – № 3. – С. 37–46. [Nikityuk IE, Moshonkina TR, Shcherbakova NA, et al. Effects of locomotor training and functional electrical stimulation on postural function in children with severe cerebral palsy. Fiziol Cheloveka. 2016;42(3):37-46. (In Russ.)]. https://doi.org/10.7868/S0131164616030127.
- Adegoke BO, Olaniyi O, Akosile CO. Weight bearing asymmetry and functional ambulation performance in stroke survivors. Glob J Health Sci. 2012;4(2):87-94. https://doi.org/10.5539/gjhs.v4n2p87.
- Щуров В.А., Новиков К.И., Мурадисинов С.О. Влияние разновысокости нижних конечностей на биомеханические параметры ходьбы // Российский журнал биомеханики. – 2011. – Т. 15. – № 4. – С. 102–107. [Shchurov VA, Novikov KI, Muradisinov SO. Effect of uneven legs on biomechanical parameters of walking. Rossiyskiy zhurnal biomekhaniki. 2011;15(4):102-107. (In Russ.)]
- Скворцов Д.В. Диагностика двигательной патологии инструментальными методами: анализ походки, стабилометрия. – М.: Т.М. Андреева, 2007. – 640 с. [Skvortsov DV. Diagnostika dvigatel’noy patologii instrumental’nymi metodami: analiz pokhodki, stabilometriya. Moscow: T.M. Andreeva; 2007. 640 p. (In Russ.)]
- Никитюк И.Е., Икоева Г.А., Кивоенко О.И. Система управления вертикальным балансом у детей с церебральным параличом более синхронизирована по сравнению со здоровыми детьми // Ортопедия, травматология и восстановительная хирургия детского возраста. – 2017. – Т. 5. – № 3. – С. 49–57. [Nikityuk IE, Ikoeva GA, Kivoenko OI. The vertical balance management system is more synchronized in children with cerebral paralysis than in healthy children. Pediatric traumatology, orthopaedics and reconstructive surgery. 2017;5(3):49-57. (In Russ.)]. https://doi.org/10.17816/PTORS5349-57.
- Cavanaugh JT, Guskiewicz KM, Stergiou N. A nonlinear dynamic approach for evaluating postural control: new directions for the management of sport-related cerebral concussion. Sports Med. 2005;35(11):935-950. https://doi.org/10.2165/00007256-200535110-00002.
- Schmit JM, Riley MA, Dalvi A, et al. Deterministic center of pressure patterns characterize postural instability in Parkinson’s disease. Exp Brain Res. 2006;168(3):357-367. https://doi.org/10.1007/s00221-005-0094-y.
- Никитюк И.Е., Кононова Е.Л., Виссарионов С.В. Постуральный дефицит у детей со стенозом позвоночного канала // Ортопедия, травматология и восстановительная хирургия детского возраста. – 2018. – Т. 6. – № 4. – С. 13–19. [Nikityuk IE, Kononova EL, Vissarionov SV. Postural deficiency in children with spinal stenosis Pediatric traumatology, orthopaedics and reconstructive surgery. 2018;6(4):13-19. (In Russ.)]. https://doi.org/10.17816/PTORS6413-19.
- Carpenter MG, Murnaghan CD, Inglis JT. Shifting the balance: evidence of an exploratory role for postural sway. Neuroscience. 2010;171(1):196-204. https://doi.org/10.1016/j.neuroscience.2010.08.030.
- Wright WG, Ivanenko YP, Gurfinkel VS. Foot anatomy specialization for postural sensation and control. J Neurophysiol. 2012;107(5):1513-1521. https://doi.org/10.1152/jn.00256.2011.
- Казенников О.В., Киреева Т.Б., Шлыков В.Ю. Влияние структуры опорной поверхности под стопой на поддержание вертикальной позы при разном распределении нагрузки между ногами // Физиология человека. – 2016. – Т. 42. – № 4. – С. 61–68. [Kazennikov OV, Kireeva TB, Shlykov VY. Influence of structure of the support surface under the sole on vertical posture during standing with different body weight distribution between legs. Fiziol Cheloveka. 2016;42(4):61-68. (In Russ.)]. https://doi.org/10.7868/S0131164616040044.
- Бачу А.Я. Усиление сенсорно-моторной интеграции в неокортексе путем рефлексогенной стимуляции физиологически активных зон // Вестник Приднестровского университета. – Серия «Медико-биологические и химические науки». – 2014. – № 2. – С. 112–117. [Bachu AY. Usilenie sensorno-motornoy integratsii v neokortekse putem refleksogennoy stimulyatsii fiziologicheski aktivnykh zon. Vestnik Pridnestrovskogo universiteta. Seriya: Mediko-biologicheskie i khimicheskie nauki. 2014;(2):112-117. (In Russ.)]
- Щеколова Н.Б., Бронников В.А., Ладейщиков В.М., Зиновьев А.М. Значение оценки биомеханических показателей при ортопедической коррекции двигательных нарушений у больных после перенесенного церебрального инсульта // Пермский медицинский журнал. – 2018. – Т. 35. – № 3. – С. 9–14. [Schekolova NB, Bronnikov VA, Ladeischikov VM, Zinoviev AM. Significance of biomechanical indices assessment in orthopedic correction of motor disorders in patients following cerebral stroke. Perm Medical Journal. 2018;35(3):9-14. (In Russ.)]. https://doi.org/10.17816/pmj3539-14.
Supplementary files
