Postural deficiency in children with spinal stenosis
- Authors: Nikityuk I.E.1, Kononova E.L.1, Vissarionov S.V.1
-
Affiliations:
- The Turner Scientific Research Institute for Children’s Orthopedics
- Issue: Vol 6, No 4 (2018)
- Pages: 13-19
- Section: Original papers
- Submitted: 08.01.2019
- Accepted: 08.01.2019
- Published: 29.12.2018
- URL: https://journals.eco-vector.com/turner/article/view/10841
- DOI: https://doi.org/10.17816/PTORS6413-19
- ID: 10841
Cite item
Abstract
Introduction. Stenosis of the spinal canal can be accompanied by abnormalities of gait and body balance. At the same time, changes occurring in the postural control in children with spinal stenosis remain unexplored.
Aim. To study postural stability in children with spinal stenosis and assess the imbalance of the body depending on the level of stenosis localization.
Material and methods. This study investigated 14 patients, aged 10–17 years, with stenosis of the spinal canal. The first group consisted of seven patients with spinal stenosis due to congenital deformity of the thoracic spine with spinal cord compression at the stenosis level. The second group consisted of seven patients with spondylolisthesis of the L5 vertebra body of grades 3–4, accompanied with spinal cord root compression. The control group consisted of seven healthy children of the same age. We used stabilometry, and statistical study included correlation-regression analysis.
Results. A significant deviation of the stabilometric parameters was noted only in the first group of patients (p < 0.05). In the same group, a strong correlation was found between the parameters of statokinesiogram: area S, length L, amplitude A, and mean power level of the spectrum of f 60%, which were much higher than those of healthy children, which may indicate a pathologically high synchronization of the vertical balance control system of the body. Other changes were revealed, such as a strong relationship between L/S and A at normal stabilometric parameters and a moderate force between L/A and f 60%, indicating postural deficiency in the group of patients with stenosis at the level of the lumbosacral spine.
Correlation-regression analysis for assessing the postural balance in both groups of patients showed a correlation between parameters L, S, A, and f 60%, which were significantly higher than those in healthy children and most pronounced in the thoracic localization of stenosis.
Conclusion. The system of maintaining vertical balance of the body in children with stenosis of the spinal canal at the level of the thoracic spine has a more pronounced deficiency than that in patients with stenosis of the canal at the lumbosacral level. To reveal hidden violations of the postural balance, the relationship between length, area, amplitude, and mean power of the statokinesiogram must be evaluated.
Full Text
Introduction
Spinal stenosis refers to decreasing anteroposterior size of the spinal canal and narrowing of the lateral recess, which could lead to local compression of the nerve structures and/or dysfunction of the blood supply to spinal cord [1]. Depending on the level of the lesion, narrowing of the spinal canal may be accompanied by gait [2] and balance impairments [3], which can be objectively assessed by stabilometry [4].
On that account, it is necessary to address the diagnostic issues and treatment methods for patients with disorders associated with spinal stenosis. In the Russian and foreign literature, the methods and sequences of high-accuracy diagnostic measures for spinal stenosis were clearly described. Also, various options of surgical interventions in dorsal and lateral approaches for elimination of the causes of vertebromedullar conflict have been elucidated. This problem has been studied particularly in adult patients with degenerative-dystrophic diseases of the lumbar and lumbosacral spine, accompanied by spinal stenosis at this level [5, 6].
However, there are no studies published on the description and assessment of the changes occurring in the postural control system in children with spinal stenosis. In addition, it is essential to evaluate the postural dysfunction caused by neural structures compression at different vertebral levels.
This study aims to investigate the postural stability in pediatric patients with spinal stenosis and to assess the effect of the level of stenosis localization on body balance.
Material and methods
In total, 14 patients aged 10–17 years (mean age, 14.8 ± 1.25 years), who had instrumentally confirmed (computed and magnetic resonance tomography) spinal stenosis, were examined.
The pediatric patients examined were divided into two groups depending on the level of stenosis localization. The group I consisted of seven patients with thoracic spinal stenosis and compression of the spinal cord at the level of stenosis. The spinal stenosis in group I patients was due to congenital deformity of the thoracic spine caused by abnormal development of the vertebral bodies.. On the other hand, group II consisted of seven patients with lumbar spinal stenosis, where the spondylolisthesis of the L5 vertebral body of degree 3–4 was accompanied by spinal stenosis at this level and compression of the spinal cord roots. All pediatric patients were able to stand without support, and there were no cerebellar or proprioceptive disorders in the neurological status, the presence of which in turn significantly affects the development of postural imbalance [7].
In regard to vertical stability, a stabilometric study (MBN — Biomechanics software and hardware complex, Moscow) was conducted in both groups. For comparison purpose, the standard values of stabilometric indicators were determined in seven healthy children from the same age group.
The parameters of the displacement of the center of pressure (CP) of the body, namely the length of the trajectory passed by the CP L (mm), square S (mm2), and the ratio of length to the statokinesiogram L/S (mm–1), were registered by using the standard method with eyes open and closed. The average values of the amplitude of oscillations of the CP A (mm) and the level of 60% of the spectrum power f 60% (Hz) in the frontal and sagittal planes were calculated [8]. Additionally, the ratio of length to the amplitude L/A was calculated.
The stabilograms were analyzed in accordance with the principle of statistical mechanics, wherein the movement of the CP of human body during quiet standing can be modeled as a system of paired correlated random parameters [9].
A criterion value of p < 0.05 was considered statistically significant. The degree of relationship between the two variables was studied using a correlation analysis with nonparametric Spearman coefficient rs. The correlation was considered strong at rs ≥ 0.7, medium at 0.3 < rs < 0.7, and low at rs ≤ 0.3 [10]. With the negative correlation dependence, the module of correlation coefficient was interpreted in the same way as the positive dependence. Regression analysis was used to search for the function describing the relationship between the signs.
The data obtained was statistically processed using computer program SPSS 12.0 and Statgraphics Centurion 16.2.
Results
Disorders of postural balance were determined in patients with stenosis of the thoracic spine, as indicated by the stabilometric parameters (Table 1). Compared with the healthy children, group I patients showed significantly higher mean values of L and S, as well as tended to have higher amplitude of A.
Table 1. Comparative characteristics of quantitative indicators of statokinesiograms of healthy children and patients with spinal stenosis
Parameters | Groups of the children being examined | ||
Healthy children, n = 7 | Group I, n = 7 (thoracic spinal stenosis) | Group II, n = 7 (lumbar spinal stenosis) | |
L, mm | 748.3 ± 13.83 | 1396.4 ± 79.34* | 769.9 ± 27.37 |
S, mm2 | 576.3 ± 54.05 | 1123.1 ± 119.06* | 618.6 ± 108.58 |
L/S, mm–1 | 1.5 ± 0.17 | 1.9 ± 0.69 | 1.5 ± 0.25 |
А, mm | 3.1 ± 0.17 | 4.2 ± 0.43 | 3.1 ± 0.36 |
f 60%, Hz | 1.1 ± 0.11 | 1.3 ± 0.30 | 1.2 ± 0.03 |
L/A | 250.1 ± 20.36 | 378.4 ± 84.69 | 265.3 ± 28.21 |
Note. * Significant differences from values of healthy children, p < 0.05.
There were no significant deviations in L, S, and A in group II patients, which indicates the best postural stability; however, considering the existing pathology, it does not provide a complete picture of the changes in the function of maintaining the vertical balance of body.
In this regard, we conducted a correlation-regression analysis wherein we studied the dependency of the parameters of statokinesiograms in healthy children and patients with spinal stenosis. To do this, we conducted a search for regression equations, the choice of which was determined by the analysis of the scattering diagram and the physiological aspect of the regression coefficients. To study the dependency of the parameter L/S on A of the CP, the exponential allometric function y = bxa is the most optimal algorithm. The dependency of the parameter L/A on f 60% was linear:
y = a + bx,
where a and b are regression coefficients, the variable x corresponds to the A or f 60%, and the variable y corresponds to the parameter L/S or L/A.
The results of the correlation analysis are presented in Table 2.
Table 2. Correlation analysis of (i) the dependency of the parameter L/S on the amplitude A and (ii) the dependency of the parameter L/A on f 60% of the statokinesiograms of healthy children and patients with spinal stenosis
Groups of children examined | Spearman correlation coefficient rs | ||
Dependence L/S ~ A | Dependence L/A ~ f 60% | ||
Healthy children n = 7 | OE | –0.56 | 0.29 |
CE | –0.47 | 0.15 | |
Group I, n = 7 (thoracic spinal stenosis) | OE | –0.88 | 0.99 |
CE | –0.83 | 0.90 | |
Group II, n = 7 (lumbar spinal stenosis) | OE | –0.96 | 0.62 |
CE | –0.90 | 0.49 | |
Note. OE — opened eyes; CE — closed eyes.
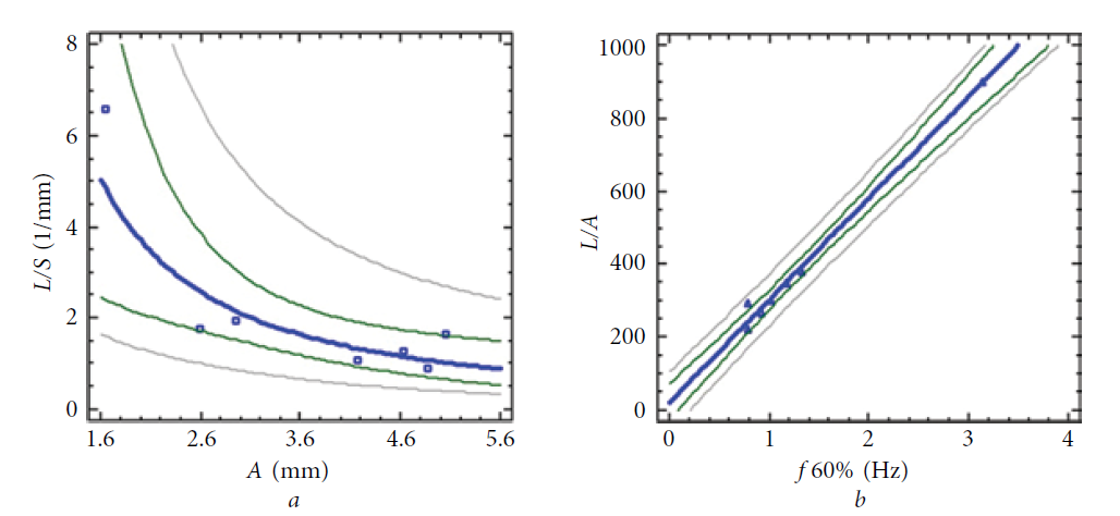
Correlation analysis revealed that in the group of healthy children, the values of the modules of correlation coefficients indicated the average dependence L/S ~ A, which did not exceed 0.7. In the same pediatric patients, the dependence L/A ~ f 60% was low, as the correlation coefficients were <0.3. This suggests that in the norm, to ensure vertical stability of the body, there is no need for high synchronization of the parameters L, S, A, and f 60%, the ratios between which are mostly random and chaotic (Fig. 1).
Fig. 1. The regression line (bold blue) and its confidence interval (thin green lines) indicate the dependency in the healthy children with open eyes: (а) the L/S parameter on the amplitude A of the center of pressure; (b) the L/A parameter of the average power level of the spectrum f 60% of the statokinesiogram
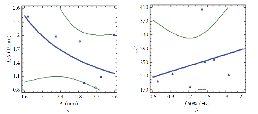
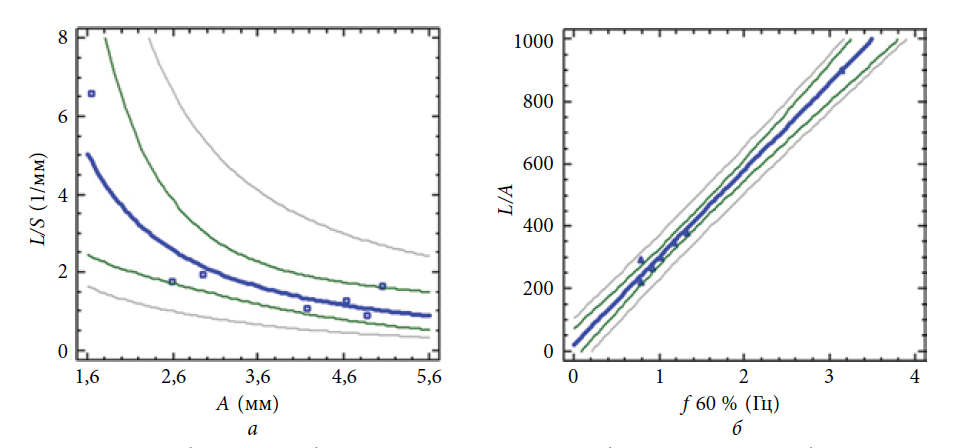
A completely different mechanism of ensuring vertical body balance was observed in the group I patients with thoracic spinal stenosis, which was characterized by a strong correlation between the L/S and A parameters and between the L/A and f 60% parameters, up to a straight line (Fig. 2, b).
Fig. 2. The regression line (bold blue) and its confidence interval (thin green lines) indicate the dependency in the patients with stenosis of the thoracic spine with open eyes: (а) the L/S parameter on the amplitude of oscillation A of the center of pressure; (b) the L/A parameter of the average power level of the spectrum f 60% of the statokinesiogram
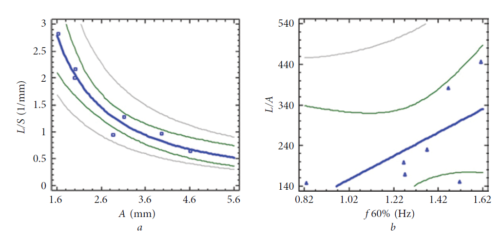
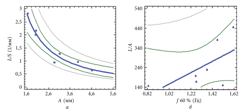
In group II patients, the ratio L/S ~ A also turned out to be high, but the correlation L/A ~ f 60% was within the average values (Fig. 3, b). These facts may indicate various compensatory possibilities in ensuring vertical balance of the body in thoracic spinal stenosis and lumbosacral spinal stenosis.
Fig. 3. The regression line (bold blue) and its confidence interval (thin green lines) indicates the dependency in the patients with stenosis of the lumbosacral spine with open eyes: (а) the L/S parameter on the amplitude of oscillation A of the center of pressure; (b) the L/A parameter of the average power level of the spectrum f 60% of the statokinesiogram
When the channel of visual afferentation was turned off, the nature of the connection between the considered parameters did not change significantly in all groups of children being examined (see Table 2).
Discussion of the results
In recent decades, the mathematical method proposed for studying postural control shows that the process of maintaining a vertical posture can be represented as a stochastic process, wherein the randomness or regularity can be considered from the point of view of the probability theory [11]. The development of the concept of a stochastic process for assessing impaired postural balance in patients with neurodegenerative diseases occurs in the direction of assessing the ratios of parameters of oscillations in the CP, followed by conducting correlation and regression analysis [12]. This principle of analyzing the dynamic characteristics of the CP trajectory in assessing deviations in postural stability is more sensitive and informative than the methodology of descriptive statistics [13–15].
In the present study, the descriptive statistics showed a significant decrease in the postural stability of the group I patients (with thoracic spinal stenosis) only, which was manifested by a pronounced increase in the L and S of statokinesiograms as compared to that of healthy children. On the other hand, the group II patients (with lumbar spinal stenosis) did not show any differences in the parameters as compared to the control group.
The use of correlation and regression analysis to assess postural control in both groups of patients has enabled us to identify a correlation relationship between the parameters L, S, A, and f 60% These parameter values significantly exceeded those of healthy children and were most pronounced in patients with thoracic spinal stenosis.
A more ordered trajectory of the CP indicates a high synchronization of the control system of the vertical balance of body in pediatric patients with partial compression of the spinal tracts, which confirms the phenomenon characteristic of patients with traumatic [16], degenerative [17], and organic [18] lesions of the central nervous system (CNS). It has been proposed to consider the increased orderliness of the postural control system in patients with various CNS lesions as a dynamic indicator of its deficiency; however, this phenomenon is yet to be clearly elucidated [19]. This statement is consistent with the concept that more ordered parameters of biological processes indicate less effective physiological control over them [20]. Taken together, the findings explain the severity of postural deficiency in patients with thoracic spinal stenosis, in which there is kyphoscoliotic deformity of the spine in addition to spinal disorders. Therefore, failure to maintain vertical posture in pediatric patients with lumbosacral spinal stenosis is latent in the standing position, but the condition can be aggravated during walking due to manifestations of radicular ischemia.
Conclusion
The findings indicate that patients with thoracic and lumbosacral spinal stenosis have postural deficiency, which is most pronounced in patients with thoracic stenosis. The tension in the work of the statokinetic system is probably caused by both segmental disorders of the spinal cord conductive function and a biomechanically different strategy for maintaining the vertical balance of the body in patients with congenital spinal deformity. The results obtained in group II patients showed that a similar postural deficiency is also manifested in the case of lumbosacral spinal stenosis; however, the severity of its manifestations is leveled by an absence of gross anatomical changes of the spinal column.
Conclusively, further studies of the vertical balance of the body of patients with spinal stenosis with correlation and regression analysis could elucidate the underlying mechanisms of postural control system in maintaining body balance. Our study shows promising results in terms of quantitative assessment of the state of adaptive resources of the statokinetic system in this category of patients in response to therapeutic measures.
Additional information
Source of funding. The work was supported by the Turner Scientific Research Institute for Children’s Orthopedics.
Conflict of interest. The authors declare no obvious and potential conflicts of interest related to the publication of this article.
Ethical review. Parents of all patients voluntarily signed an informed consent to participate in the study and to publish personal data.
Contribution of the authors
I.E. Nikityuk, E.L. Kononov were involved in data acquisition, data analysis, review of publications on the topic of the article, and writing the text of the manuscript.
S.V. Vissarionov performed the staged and final editing of the article text.
About the authors
Igor E. Nikityuk
The Turner Scientific Research Institute for Children’s Orthopedics
Author for correspondence.
Email: femtotech@mail.ru
MD, PhD, Leading Research Associate of the Laboratory of Physiological and Biomechanical Research
Russian Federation, 64, Parkovaya str., Saint-Petersburg, Pushkin, 196603Elizaveta L. Kononova
The Turner Scientific Research Institute for Children’s Orthopedics
Email: Yelisaveta@yandex.ru
MD, PhD, Head of the Laboratory of Physiological and Biomechanical Research
Russian Federation, 64, Parkovaya str., Saint-Petersburg, Pushkin, 196603Sergei V. Vissarionov
The Turner Scientific Research Institute for Children’s Orthopedics
Email: vissarionovs@gmail.com
ORCID iD: 0000-0003-4235-5048
MD, PhD, Professor, Deputy Director for Research and Academic Affairs, Head of the Department of Spinal Pathology and Neurosurgery
Russian Federation, 64, Parkovaya str., Saint-Petersburg, Pushkin, 196603References
- Гринберг М.С. Нейрохирургия. – М.: МЕДпресс-информ, 2010. [Greenberg MS. Neyrokhirurgiya. Moscow: MEDdpress-inform; 2001. (In Russ.)]
- Nagai K, Aoyama T, Yamada M, et al. Quantification of changes in gait characteristics associated with intermittent claudication in patients with lumbar spinal stenosis. J Spinal Disord Tech. 2014;27(4):E136-142. doi: 10.1097/BSD.0b013e3182a2656b.
- Sasaki K, Senda M, Katayama Y, et al. Characteristics of Postural Sway during Quiet Standing before and after the Occurrence of Neurogenic Intermittent Claudication in Female Patients with Degenerative Lumbar Spinal Canal Stenosis. J Phys Ther Sci. 2013;25(6):675-678. doi: 10.1589/jpts.25.675.
- Truszczynska A, Truszczynski O, Rapala K, et al. Postural stability disorders in rural patients with lumbar spinal stenosis. Ann Agric Environ Med. 2014;21(1):179-182.
- Kreiner D, William O, Jeffrey S, et al. Evidence-Based Clinical Guidelines for Multidisciplinary Spine Care. Burr Ridge: North American Spine Society; 2011.
- Otani K, Kikuchi S, Yabuki S, et al. Lumbar spinal stenosis has a negative impact on quality of life compared with other comorbidities: an epidemiological cross-sectional study of 1862 community-dwelling individuals. Scientific World Journal. 2013;2013:590-652. doi: 10.1155/2013/590652.
- Кононова Е.Л., Ананьева Н.И., Балунов О.А. Нарушения статики при поражении структур мозжечка / I Международный симпозиум «Клиническая постурология, поза и прикус»; июнь 5–8, 2004; Санкт-Петербург. – СПб., 2004. [Kononova EL, Anan’eva NI, Balunov OA. Narusheniya statiki pri porazhenii struktur mozzhechka. In: Proceedings of the 1st International symposium “Klinicheskaya posturologiya, poza i prikus”; 2004 Jun 5-8; Saint Petersburg; 2004. (In Russ.)]
- Скворцов Д.В. Диагностика двигательной патологии инструментальными методами: анализ походки, стабилометрия. – М., 2007. [Skvortsov DV. Diagnostika dvigatel’noy patologii instrumental’nymi metodami: analiz pokhodki, stabilometriya. Moscow; 2007. (In Russ.)]
- Collins JJ, De Luca CJ. Open-loop and closed-loop control of posture: a random-walk analysis of center-of-pressure trajectories. Exp Brain Res. 1993;95(2):308-318. doi: 10.1007/BF00229788.
- Зайцев В.М., Лифляндский В.Г., Маринкин В.И. Прикладная медицинская статистика. – СПб.: Фолиант, 2003. [Zaytsev VM, Liflyandskiy VG, Marinkin VI. Prikladnaya meditsinskaya statistika. Saint Petersburg: Foliant; 2003. (In Russ.)]
- Riley MA, Balasubramaniam R, Turvey MT. Recurrence quantification analysis of postural fluctuations. Gait Posture. 1999;9(1):65-78. doi: 10.1016/S0966-6362(98)00044-7.
- Blaszczyk JW, Klonowski W. Postural stability and fractal dynamics. Acta Neurobiol Exp (Wars). 2001;61(2):105-112.
- Roerdink M, De Haart M, Daffertshofer A, et al. Dynamical structure of center-of-pressure trajectories in patients recovering from stroke. Exp Brain Res. 2006;174(2):256-269. doi: 10.1007/s00221-006-0441-7.
- Blaszczyk JW. Sway ratio — a new measure for quantifying postural stability. Acta Neurobiol Exp (Wars). 2008;68(1):51-57.
- Raymakers JA, Samson MM, Verhaar HJ. The assessment of body sway and the choice of the stability parameter(s). Gait Posture. 2005;21(1):48-58. doi: 10.1016/j.gaitpost.2003.11.006.
- Cavanaugh JT, Guskiewicz KM, Stergiou N. A nonlinear dynamic approach for evaluating postural control: new directions for the management of sport-related cerebral concussion. Sports Med. 2005;35(11):935-950. doi: 10.2165/00007256-200535110-00002.
- Schmit JM, Riley MA, Dalvi A, et al. Deterministic center of pressure patterns characterize postural instability in Parkinson’s disease. Exp Brain Res. 2006;168(3):357-367. doi: 10.1007/s00221-005-0094-y.
- Никитюк И.Е., Икоева Г.А., Кивоенко О.И. Система управления вертикальным балансом у детей с церебральным параличом более синхронизирована по сравнению со здоровыми детьми // Ортопедия, травматология и восстановительная хирургия детского возраста. – 2017. – Т. 5. – № 3. – С. 50–57. [Nikityuk IE, Ikoeva GA, Kivoenko OI. The vertical balance management system is more synchronized in children with cerebral paralysis than in healthy children. Pediatric traumatology, orthopaedics and reconstructive surgery. 2017;5(3):50-57. (In Russ.)]. doi: 10.17816/PTORS5350-57
- Donker SF, Ledebt A, Roerdink M, et al. Children with cerebral palsy exhibit greater and more regular postural sway than typically developing children. Exp Brain Res. 2008;184(3):363-370. doi: 10.1007/s00221-007-1105-y.
- Goldberger AL. Fractal Variability Versus Pathologic Periodicity: Complexity Loss and Stereotypy in Disease. Perspect Biol Med. 1997;40(4):543-561. doi: 10.1353/pbm.1997.0063.
Supplementary files







