Результаты хирургического лечения сгибательной контрактуры лучезапястного сустава у детей с церебральным параличом методом временного внесуставного артродеза
- Авторы: Новиков В.А.1, Умнов В.В.1, Умнов Д.В.1
-
Учреждения:
- Федеральное государственное бюджетное учреждение «Национальный медицинский исследовательский центр детской травматологии и ортопедии имени Г.И. Турнера» Министерства здравоохранения Российской Федерации
- Выпуск: Том 8, № 3 (2020)
- Страницы: 281-292
- Раздел: Оригинальные исследования
- Статья получена: 22.05.2020
- Статья одобрена: 03.09.2020
- Статья опубликована: 06.10.2020
- URL: https://journals.eco-vector.com/turner/article/view/34151
- DOI: https://doi.org/10.17816/PTORS34151
- ID: 34151
Цитировать
Аннотация
Обоснование. Хирургические подходы к лечению сгибательной контрактуры лучезапястного сустава делят на мягкотканные вмешательства (удлинения или пересадки сухожилий) и костные операции, стабилизирующие лучезапястный сустав. Мы разработали методику временного артродеза лучезапястного сустава, в которой учтены преимущества обоих подходов: стабильность артродеза при установленной металлоконструкции и возможность активных движений в лучезапястном суставе после удаления конструкции.
Цель — сравнительная оценка эффективности нового метода хирургического лечения сгибательной контрактуры лучезапястного сустава у детей с церебральным параличом, включающего временный внесуставной артродез и пересадку сгибателей кисти на разгибатели по Green.
Материалы и методы. Исследование предполагало сравнительный анализ лечения двух групп пациентов. Пациентам первой группы (n = 13) выполняли пересадку сухожилия m. flexor carpi ulnaris на m. extensor carpi radialis brevis/longus (операция Green). Пациентам второй группы (n = 13) проводили временное артродезирование лучезапястного сустава накостной пластиной сроком на год. Результаты лечения в первой и второй группах анализировали через год после выполнения артродеза и удаления пластинки и через год после пересадки мышц. Пациенты второй группы после удаления металлоконструкций проходили 14-дневный курс реабилитации до оценки результата лечения. Оценивали амплитуду активных и пассивных движений в лучезапястном суставе, а также функциональные возможности верхней конечности с помощью международной системы классификации MACS (2002) и Block and Box test.
Результаты. У пациентов первой группы пассивная амплитуда движений увеличивалась (+9,7°). У пациентов обеих групп существенно увеличивалась амплитуда активных движений (31,9° — в первой и 45,7° — во второй). Показатель функциональности верхней конечности MACS для оценки состояния руки в целом оказался практически идентичен в обеих группах. У пациентов первой группы средняя динамика Block and Box test в результате лечения составила 8 дополнительных кубиков, а у пациентов второй группы — всего 1,6.
Заключение. Операция Green менее эффективна в сравнении с операцией временного артродеза в качестве метода коррекции сгибательной контрактуры лучезапястного сустава, но функциональные показатели после операции Green выше. Выбор методики оперативного лечения основан на следующих моментах: в случае высокой функциональной перспективы выполняют операцию Green, в случае коррекции тяжелой контрактуры с сомнительными функциональными перспективами — временный артродез.
Полный текст
Детский церебральный паралич (ДЦП) лидирует в качестве причины развития клинической картины «спастической руки» [1, 2]. Данный термин характеризует функциональное нарушение верхней конечности в результате спастичности определенных групп мышц, что приводит к формированию тонических, а затем и фиксированных контрактур в суставах конечности [3]. Ортопедический статус «спастической руки» чаще всего выглядит следующим образом: приводящая контрактура плечевого сустава, сгибательная контрактура локтевого сустава, пронационная контрактура предплечья, сгибательная контрактура лучезапястного сустава и пальцев кисти, а также приводящая контрактура I пальца [1, 3, 4]. Несмотря на то что все вышеперечисленные контрактуры несомненно негативно влияют на двигательные возможности верхней конечности, именно порочное положение кисти часто оказывается фактором, резко ограничивающим функцию руки.
Хирургические подходы к лечению сгибательной контрактуры лучезапястного сустава можно разделить на две основные группы: мягкотканные вмешательства, направленные на создание баланса между мышцами — сгибателями и разгибателями кисти за счет удлинения или пересадки сухожилий, и костные операции, позволяющие стабилизировать лучезапястный сустав [1, 5].
Анализ профильной литературы не дает однозначного ответа на вопрос о показаниях к операциям первого типа. Некоторые авторы [5–7] считают определяющим не степень выраженности контрактуры, а отсутствие эффекта от консервативного лечения. Другие ориентируются на степень выраженности контрактуры. Например, F. Miller [1] приводит рабочую классификацию сгибательной контрактуры кисти и рассматривает показания к виду хирургического лечения в зависимости от амплитуды движений.
Показания для проведения артродезирующих операций на лучезапястном суставе в научной литературе описаны лучше: практически все авторы сходятся во мнении, что таковыми являются тяжелые сгибательные контрактуры у пациентов без ожидаемой функциональной перспективы лечения [1, 8–10]. У таких пациентов данный вид лечения считают эффективным, позволяющим получить стабильный результат. При этом не решен вопрос о допустимости применения артродеза кистевого сустава при тяжелых сгибательных контрактурах лучезапястного сустава у пациентов, у которых существует возможность добиться функционирования кисти после лечения. Однако наиболее неоднозначная ситуация сложилась в отношении хирургического лечения сгибательной деформации лучезапястного сустава средней степени тяжести. Описанные в литературе вмешательства на мягких тканях [1, 2, 5] характеризуются низкой эффективностью, контрактуры быстро рецидивируют, а показания к проведению артродезирующих операций у данной категории пациентов не определены.
С учетом разнородности групп, отсутствия единой системы классификации предоперационного состояния и системы оценки функционального результата невозможно провести сравнительный анализ представленных в литературе мягкотканных и артродезирующих методов хирургического лечения деформаций лучезапястного сустава средней степени тяжести.
Цель — сравнительная оценка эффективности нового метода хирургического лечения сгибательной контрактуры лучезапястного сустава у детей с ДЦП, включающего временный внесуставной артродез и пересадку сгибателей кисти на разгибатели по Green.
Материалы и методы
Исследование основано на анализе результатов обследования и лечения 26 пациентов с ДЦП в ФГБУ «НМИЦ ДТО им. Г.И. Турнера» Минздрава России. Пациенты были разделены на две группы. Первая (архивная) группа состояла из 13 пациентов, проходивших лечение в нашей клинике с 2011 по 2018 г. [11]. Этим больным выполняли пересадку сухожилия m. flexor carpi ulnaris на m. extensor carpi radialis brevis/longus (операция Green). Пациенты второй группы (13 детей) проходили обследование и получали лечение с 2018 по 2020 г. Им выполняли временный внесуставной артродез лучезапястного сустава.
Дизайн исследования представлен на рис. 1.
Рис. 1. Дизайн исследования
Критерии включения в группу исследования:
- уровень GMFCS 1–4;
- отсутствие функционально значимых контрактур в суставах верхней конечности (дефицит разгибания локтевого сустава не более 30°, возможность активной супинации предплечья до среднего ротационного положения), кроме лучезапястного;
- дефицит активной тыльной флексии кисти с невозможностью активного выведения ее в нейтральное положение;
- возможность пассивного выведения кисти в нейтральное положение; у пациентов с более выраженной фиксированной контрактурой проводили предоперационную подготовку, которая заключалась в этапных гипсовых коррекциях [12];
- отсутствие какого-либо хирургического лечения на верхней конечности в анамнезе;
- последний курс ботулинотерапии не ранее чем за 6 мес. до лечения.
Отсутствие произвольных движений верхней конечности, как и выраженная умственная отсталость или отсутствие мотивации к прохождению послеоперационной реабилитации, являлись критериями исключения из исследования.
Распределение пациентов по полу оказалось следующим: в первой группе было 8 пациентов (62 %) мужского пола и 5 пациентов (38 %) женского, во второй группе — 7 пациентов (54 %) мужского пола и 6 пациентов (46 %) женского.
Возраст пациентов варьировал от 6 до 17 лет, средний возраст в первой группе составил 9,92 ± 2,39 года, во второй — 13,07 ± 3,12 года. Неврологическим диагнозом у 73 % пациентов, входивших в исследование, был гемипарез, у остальных — спастическая диплегия. Двигательные возможности по шкале GMFCS 1–3-го уровня зарегистрированы у 85 % пациентов, 4-го уровня — у 4 пациентов (15 %), из них 1 пациент входил в первую группу, а 3 — во вторую. Несмотря на то что пациенты второй группы оказались старше пациентов первой группы, степень выраженности сгибательной контрактуры в лучезапястном суставе у них была практически одинакова. Все пациенты или их представители добровольно подписали информированное согласие на участие в исследовании.
Основными критериями результативности лечения являлись показатели клинических исследований. Оценивали амплитуду активных и пассивных движений в лучезапястном суставе при полностью разогнутых пальцах. За положение 0° принимали положение полного сгибания кисти (под прямым углом относительно предплечья), таким образом, нейтральное положение кисти приходилось на 90°, а максимальное разгибание составило 170°.
Функциональные возможности верхней конечности определяли с помощью международной системы классификации MACS (Manual Ability Classification System for Children with Cerebral Palsy 4–18 years) 2002 г., а также теста Block and Box (ВВТ) — подсчитывали количество кубиков, которые пациент сможет переложить из одной коробки в другую за минуту.
С целью оценки функционального состояния мышц предплечья и кисти у пациентов второй группы применяли метод поверхностной электромиографии (ЭМГ) и стимуляционной электронейромиографии (ЭНМГ). Исследование проводили на четырехканальном электронейромиографе фирмы «Нейрософт» (Россия). Основная причина включения данного метода в исследование заключалась в желании оценить реакцию мышц предплечья и кисти на длительное выключение из движения такого крупного сустава верхней конечности, как лучезапястный. Электрофизиологическое обследование пациентов мы осуществляли до оперативного лечения, а также на фоне временного артродеза лучезапястного сустава (через 6 мес. и через год после операции).
При проведении поверхностной ЭМГ у детей второй группы с помощью накожного датчика регистрировали биоэлектрическую активность мышц предплечья (m. flexor carpi radialis, m. flexor carpi ulnaris, m. flexor digitorum superf., m. extensor сarpi radialis, m. extensor carpi ulnaris, m. extensor digitorum).
Исследование выполняли в покое и в режиме произвольной активации мышц на верхней конечности со стороны операции и на симметричной стороне. Для оценки нарушений учитывали среднюю амплитуду ЭМГ (мкВ), рассчитывали соотношение активности на пораженной и здоровой стороне, а также степень снижения активности мышц на пораженной стороне (%).
При проведении ЭНМГ исследовали сенсорные и моторные волокна срединного, локтевого и лучевого нервов током длительностью 0,1 мс, интенсивностью 18–50 мА по стандартной методике. Оценивали скорость проведения импульсов (м/с) по сенсорным и моторным волокнам и амплитуды сенсорных потенциалов и моторных (мышечных) ответов (М-ответов). При стимуляции срединного нерва регистрировали М-ответ с m. abd. poll. brev., локтевого нерва — с m. abd. digitimin., лучевого нерва — с m. ext. ind. pr.
Хирургическое лечение у пациентов первой группы осуществляли по модифицированной методике Green [11] (рис. 2).
Рис. 2. Хирургические этапы транспозиции m. flexor carpi ulnaris из положения сгибателя кисти в положение разгибателя: а — отсеченное от места прикрепления и мобилизованное сухожилье m. flexor carpi ulnaris; б — место прикрепления на тыльной поверхности предплечья сухожилия m. flexor carpi ulnaris к сухожилиям m. extensor carpi radialis brevis и longus
Из линейного разреза по сгибательной поверхности предплечья в проекции лучезапястного сустава после рассечения подкожно-жировой клетчатки и поверхностной фасции предплечья находили сухожилие m. flexor carpi ulnaris. После мобилизации сухожилия от места прикрепления до перехода сухожилия в мышечную часть его отсекали от точки фиксации (гороховидной кости). Из разреза длиной 3 см по тыльной поверхности кисти в нижней трети предплечья выделяли сухожилия m. extensor carpi radialis brevis и longus. Кисть выводили в положение избыточной тыльной экстензии (110°) и фиксировали в достигнутом положении двумя спицами Киршнера. С помощью зонда проводили дистальный конец сухожилия m. flexor carpi ulnaris на тыл предплечья и сшивали с m. extensor carpi radialis brevis и longus с натяжением.
Срок иммобилизации после данного оперативного лечения составлял 4 нед. Осложнений не наблюдали.
Оперативное вмешательство пациентам второй группы выполняли следующим образом (рис. 3). Из продольного разреза по локтевой поверхности предплечья и кисти от середины V пястной кости до границы нижней и средней третей предплечья накостно устанавливали пластину с угловой стабильностью, которую фиксировали винтами, проводившимися через локтевую, лучевую кости, кости запястья и метадиафизарную область V, ΙV, ΙΙΙ и II пястных костей. Кисть стабилизировали в среднем положении или в положении физиологического разгибания в лучезапястном суставе (100°). Предплечье фиксировали при среднем ротационном положении. Конечность иммобилизировали короткой гипсовой лонгетой или тутором на 2–3 дня до исчезновения болевого синдрома. В дальнейшем ортезирование не применяли.
Рис. 3. Хирургические этапы временного артродеза лучезапястного сустава: а — планируемый операционный доступ; б — установленная металлоконструкция для временного артродеза; в — рентгенограмма лучезапястного сустава в прямой проекции с установленной металлоконструкцией
Статистический анализ осуществляли с помощью программы SPSS v.17.0 (IBM, США), визуализацию — с помощью программы Graphpad Prizma 8 (v.8.3.4.) (GraphPad Software, США). Использовали методы описательной статистики, определяли среднее значение, стандартное отклонение. Для количественных данных оценивали нормальность распределения с помощью критерия Колмогорова – Смирнова, Шапиро – Уилка, графической визуализации Q-Qplots. Для сравнения количественных данных применяли критерий Фридмана для трех зависимых выборок и более, критерий Уилкоксона для двух зависимых выборок, U-критерий Манна – Уитни для двух независимых выборок. Статистически значимым считали уровень вероятности ошибки первого рода менее 5 % (р < 0,05).
Результаты
Данные по амплитуде движений в лучезапястном суставе до, через 6 мес. и через год после оперативного лечения приведены в табл. 1 и 2, а данные по функциональным изменениям в состоянии верхней конечности — в табл. 3. Межгрупповой анализ, выполненный до оперативного лечения, показал отсутствие статистически значимых различий по большинству изучаемых показателей (р > 0,05), что позволило проводить дальнейшее исследование.
Таблица 1
Характеристика средних показателей пассивного разгибания в лучезапястном суставе у детей с церебральным параличом до оперативного лечения и через 6, 12 мес. после оперативного лечения
Группа | Пассивное разгибание в лучезапястном суставе (n = 26) | |||
до операции | через 6 мес. | через год | разность средних величин (до операции и через 6 мес. / до операции и через год) | |
Первая | 116,1 ± 19,7 | 130,7 ± 17,7 | 125,7 ± 18,9 | 14,6 (p = 0,003) / 9,6 (p = 0,001) |
Вторая | 111,5 ± 17,3 | – | 108,8 ± 6,5 | –2,7 (p = 0,858) |
p-value | p = 0,511 | – | p = 0,026 | – |
Таблица 2
Характеристика средних показателей активного разгибания в лучезапястном суставе у детей с церебральным параличом до и через 6, 12 мес. после оперативного лечения
Группа | Активное разгибание в лучезапястном суставе (n = 26) | |||
до операции | через 6 мес. | через год | разность средних величин (до операции и через 6 мес. / до операции и через год) | |
Первая | 57,3 ± 11,6 | 92,6 ± 14,6 | 89,2 ± 12,5 | 35,3 (p = 0,001) / 31,9 (p = 0,001) |
Вторая | 59,6 ± 16,8 | – | 105,3 ± 5,5 | 45,7 (p = 0,001) |
p-value | p = 0,840 | – | p < 0,001 | – |
Таблица 3
Характеристика функциональных показателей верхней конечности у детей с церебральным параличом до и через 6, 12 мес. после оперативного лечения
Группа | Manual Ability Classification System for Children with Cerebral Palsy, баллы | Block and Box test, количество кубиков | ||||
до операции | через 6 мес. | через год | до операции | через 6 мес. | через год | |
Первая | 4,3 | 3,4 | 3,6 | 18,3 ± 4,4 | 24,3 ± 3,7 | 26,3 ± 4,9 |
Вторая | 4,6 | 3,3 | 3,4 | 13,7 ± 8,2 | 14,8 ± 6,9 | 15,3 ± 6,6 |
p-value | p = 0,264 | p = 0,511 | p = 0,418 | p < 0,001 | p < 0,001 | p < 0,001 |
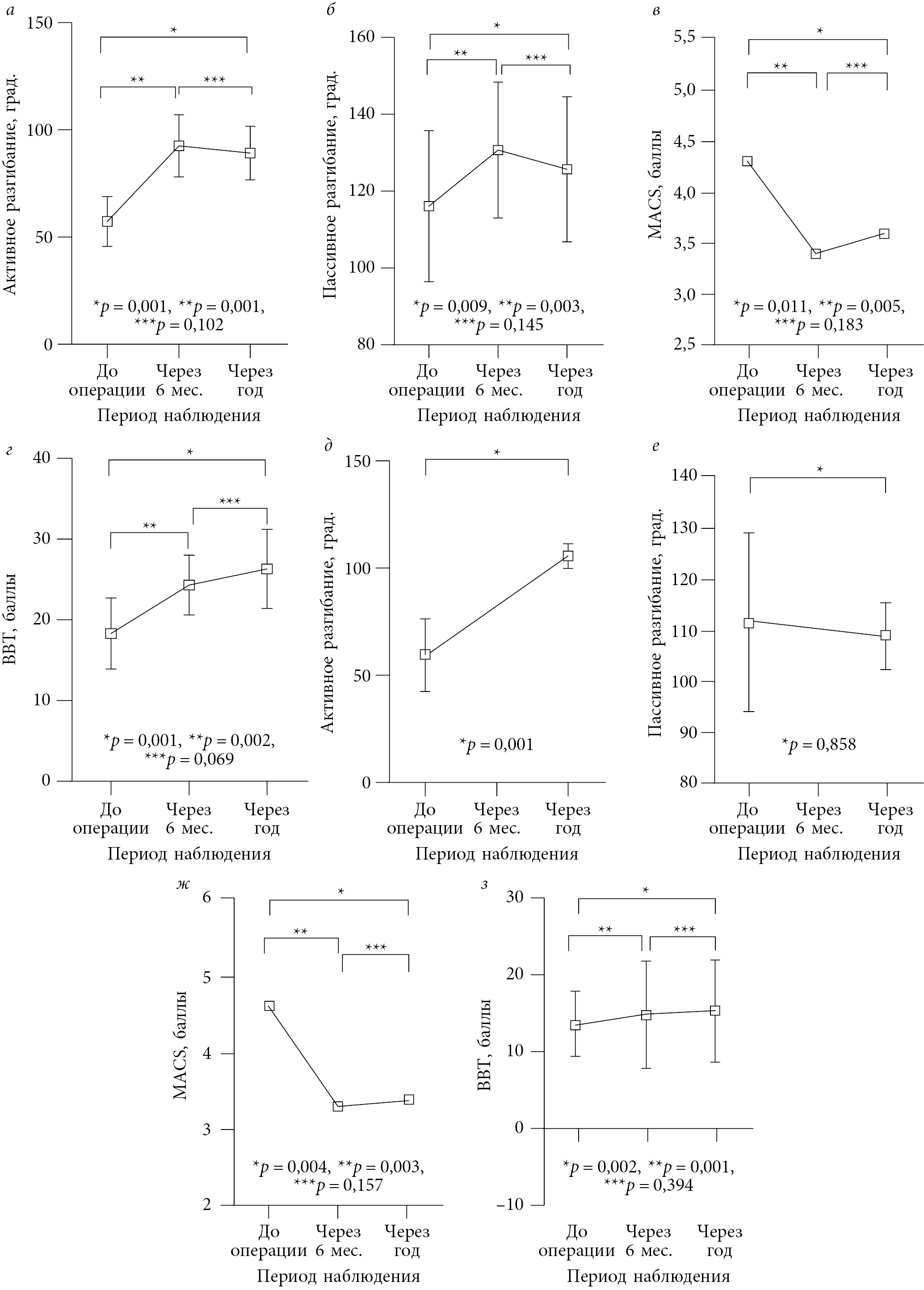
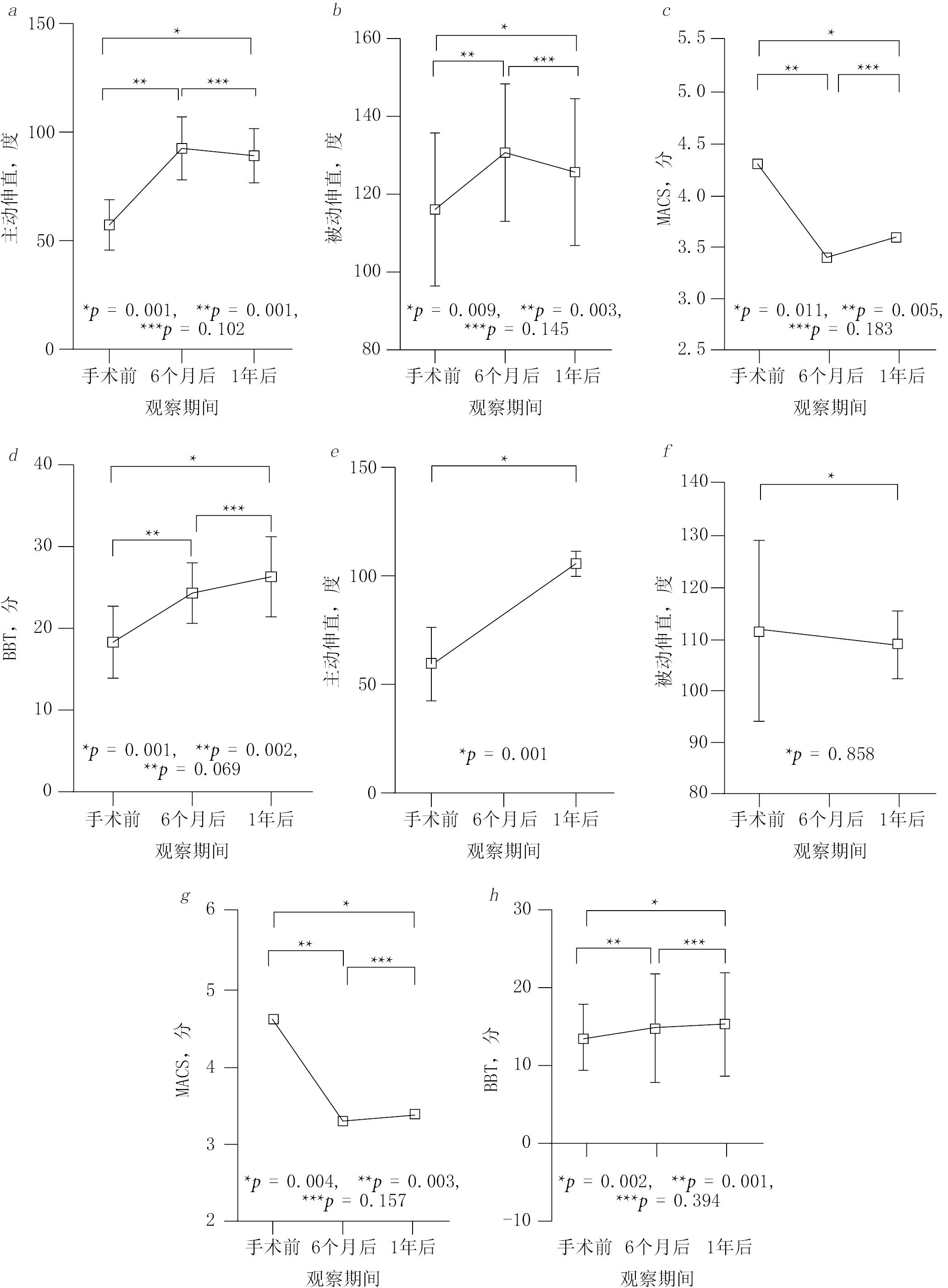
Данные, описывающие пассивное и активное разгибание в лучезапястном суставе у пациентов второй группы через 6 мес. после оперативного лечения, отсутствуют, так как в этот момент кистевой сустав был артродезирован. Среднее значение, характеризующее положение в кистевом суставе при временном артродезе, — 96,9 ± 1,8°.
Анализируя показатели пассивного разгибания в лучезапястном суставе, можно отметить достоверную разнонаправленную динамику. У пациентов первой группы разгибание увеличилось на 9,6°, а во второй — уменьшилось на 2,7°.
Анализ данных табл. 2 позволяет заключить, что в результате лечения за первые полгода у пациентов первой группы показатель активного разгибания увеличился на 35,3°. Динамика данного показателя за год была следующая: 31,9° — у пациентов первой группы и 45,7° — у пациентов второй группы.
В табл. 3 мы не указывали стандартную ошибку при оценке показателей функциональности по шкале MACS ввиду ее незначительности.
На рис. 4 графически представлена динамика результатов основных показателей исследования у пациентов первой и второй групп.
Рис. 4. Динамика показателей активного и пассивного разгибания в лучезапястном суставе, функциональной оценки по шкале MACS и Block and Box test (BBT): а–г — в первой группе; д–з — во второй группе
Родители пациентов обеих групп отметили улучшение внешнего вида кисти после хирургического лечения.
При помощи ЭМГ-исследования мышц предплечья и кисти до оперативного лечения у всех обследованных пациентов с ДЦП выявлено снижение амплитуды произвольной активации мышц — сгибателей и разгибателей кисти на оперированной конечности.
Произвольная активность мышц — разгибателей кисти в среднем была достоверно снижена на 63,4 % по сравнению со здоровой рукой, мышц-сгибателей — на 49,6 %, при этом степень снижения электрогенеза преобладала в m. extensor carpi radialis (64 %) по сравнению с m. extensor. digitorum (47 %) и m. extensor carpi ulnaris (34 %).
По данным ЭНМГ-исследования сенсорных и моторных волокон срединного, локтевого и лучевого нервов признаков нарушения проведения не обнаружено.
Амплитуды сенсорных потенциалов с верхних конечностей во всех случаях были в пределах возрастной нормы. При исследовании моторных волокон верхних конечностей на стороне поражения у всех детей отмечалось снижение амплитуд М-ответов легкой степени выраженности (в среднем на 28 % ниже нормы).
Посредством ЭМГ после хирургического лечения во второй группе установлено, что через 6 мес. после артродеза лучезапястного сустава произвольная активность m. extensor et flexor carpi radialis снизилась на 80–90 % или отсутствовала. После удаления металлоконструкции и проведения курса реабилитации достоверно увеличилась произвольная активность мышц разгибателей кисти по сравнению с показателями электрогенеза мышц до оперативного лечения: m. extensor carpi radiali — на17 %, m. extensor digitorum — на 27 %. В то же время произвольная активность мышц — сгибателей кисти в среднем уменьшилась на 10,4 %. Наблюдалось также изменение произвольной активности мышц кисти в виде увеличения активности m. adductor pollicis (на 26 %) и m. abductor pollicis brevis (на 17 %).
Обсуждение
Полученные в настоящем исследовании данные свидетельствуют о статистически значимых различиях в показателях активного и пассивно разгибания в лучезапястном суставе и оценке функции кисти с помощью Block and Box test до и после лечения в обеих группах, что позволило сделать выводы об эффективности данных видов хирургического лечения.
Показатель динамики функциональности верхней конечности в результате хирургического лечения по системе MACS (p = 0,511) в срок наблюдения 6 мес. и показатель динамики пассивного разгибания в лучезапястном суставе у пациентов второй группы (p = 0,858) оказались статистически незначимы.
С учетом значимой положительной динамики активного разгибания в лучезапястном суставе у пациентов второй группы после удаления металлоконструкций можно говорить об отсутствии анкилозирования лучезапястного сустава после годичной иммобилизации.
Значимого изменения амплитуды пассивного разгибания в лучезапястном суставе в рамках нашего исследования не ожидали, так как все пациенты прошли предоперационную подготовку, которая позволила устранить бóльшую часть контрактуры до оперативного лечения. Несмотря на это, у пациентов первой группы пассивная амплитуда движений увеличилась (+9,7°) сверх достигнутой в результате предоперационной подготовки. Данное явление объясняется разгибательным влиянием пересаженного сухожилия и активной реабилитацией в послеоперационном периоде.
Более значимой для клинической оценки оперативного лечения является табл. 2, так как она демонстрирует динамику активных движений. В таблицу не вошли результаты разгибания кисти у пациентов второй группы в период 6 мес., так как в то время движения в лучезапястном суставе у них отсутствовали. У пациентов обеих групп активные движения существенно увеличились (31,9° — в первой группе и 45,7° — во второй) через год после оперативного лечения и прохождения курса реабилитации. Вместе с тем методика временного артродеза оказалась статистически достоверно более эффективной в отношении данного показателя, поэтому делать окончательные выводы пока рано. В первой группе наблюдалась статистически значимая отрицательная динамика среднего показателя активного разгибания кисти в срок с 6 мес. до года (с 35,3 до 31,9°). Нельзя исключить подобной тенденции и у пациентов второй группы в срок от 6 мес. после удаления металлоконструкций. Предполагаем, что постепенное рецидивирование контрактуры у пациентов первой группы отмечается только у детей с изначально более выраженной фиксированной контрактурой и, соответственно, большим количеством предоперационных гипсовых коррекций. Среди пациентов первой группы, не нуждавшихся в предоперационной подготовке, в сроки наблюдения рецидива не произошло. Во второй группе пациентов не обнаружено какой-либо взаимосвязи между активной амплитудой движений в лучезапястном суставе после удаления металлоконструкции и изначальной тяжестью контрактуры. Таким образом, можно предположить, что невозможность пассивной коррекции кисти до анатомически нейтрального положения может служить критерием выбора между предложенными методами хирургического лечения. Однако для подтверждения данного предположения необходимо провести дальнейшие исследования.
Показатели функциональности верхней конечности по MACS, отражающие состояние руки в целом, оказались практически идентичны в обеих группах, а вот Block and Box test более подходил для оценки функции кисти. У пациентов первой группы средняя динамика по Block and Box test в результате лечения составила 8 дополнительных кубиков, а у пациентов второй группы — всего 1,6. Такие показатели подтверждают, что полное разгибание в лучезапястном суставе для функции конечности не так важно. Для улучшения функции кисти достаточно ее активного разгибания. Подобное мнение встречается и в литературе [1, 2, 10]. Считают, что артродез лучезапястного сустава негативно влияет на функцию кисти, так как движения в лучезапястном суставе пациенты используют для облегчения сгибания и разгибания пальцев. По наблюдениям F. Miller [1], хотя в косметическом плане дети остались довольны результатом лечения, многие из них утратили даже те небольшие функциональные возможности кисти, которые у них были до операции. Однако высказывают и противоположное мнение. G.M. Rayan [13] произвел артродезирование лучезапястного сустава 11 пациентам со «спастической рукой» в возрасте с 12 до 30 лет и отметил заметную положительную динамику функции кисти у большинства пациентов в результате лечения. R.D. Alexander [14] выполнил 19 кистевых артродезов 18 пациентам с ДЦП со средним возрастом 15,8 года. Его исследование отличалось весьма продолжительным сроком наблюдения — до 4,5 года. При оценке по шкале House у 83 % пациентов наблюдалось улучшение функциональных возможностей кисти после артродеза. V. Neuhaus [15] рассматривает артродез кистевого сустава как стабильную и эффективную операцию для устранения деформации лучезапястного сустава любой степени тяжести. По его данным, улучшение функциональных возможностей верхней конечности при такой операции в среднем составляет +2 балла по шкале House.
ЭМГ-исследование показало снижение произвольной активности мышц предплечья и кисти у всех пациентов со «спастической рукой». Сгибательная контрактура лучезапястного сустава приводит к снижению функциональной произвольной активности мышц — разгибателей пальцев и кисти, но при этом вызванная активность мышц по данным М-ответа оказалась в норме или наблюдалось снижение в легкой степени. Это указывает на значительный функциональный резерв мышц предплечья и кисти, а также на их способность к активации при условии устранения контрактуры. Нам удалось подтвердить это ЭМГ-исследованием, выполненным после оперативного лечения. После артродеза лучезапястного сустава и суставов кисти у всех пациентов с ДЦП произвольная сократительная способность мышц разгибателей пальцев и кисти увеличилась, а также улучшилась функциональная активность m. adductor pollicis и m. abductor pollicis brevis.
Причины увеличения произвольной активности мышц — разгибателей кисти по сравнению с показателями электрогенеза мышц до оперативного лечения у пациентов второй группы пока не ясны. Данное явление необходимо дополнительно изучать. Предполагаем, что на фоне артродеза лучезапястного сустава улучшение электрогенеза мышц обусловлено устранением перерастяжения мышц-разгибателей за счет их постепенной ретракции.
Таким образом, операция Green менее эффективна в сравнении с операцией временного артродеза в качестве метода коррекции сгибательной контрактуры лучезапястного сустава. Однако функциональные показатели у операции Green выше. В зависимости от цели хирургического лечения выбирают метод коррекции контрактуры: при высокой функциональной перспективе — операцию Green, в случае необходимости коррекции тяжелой контрактуры с сомнительными функциональными перспективами — временный артродез. Мы считаем, что в сомнительных случаях временное артродезирование более перспективно, так как в нем сочетаются преимущества обоих подходов: стабильность артродеза при установленной металлоконструкции и возможность активных движений в лучезапястном суставе для получения максимальной функции кисти после удаления конструкции. Кроме того, если после удаления металлоконструкции функциональные перспективы верхней конечности будут оцениваться более позитивно, такой подход позволит в последующем выполнить операцию Green.
Ограничение исследования
Описываемое в данной публикации исследование является предварительным и незавершенным. С учетом новизны методики временных артродезов и небольшого количества пациентов с показаниями к данному типу лечения у нас не было возможности для создания однородных групп по таким показателям, как возраст, пол, уровень GMFS, MACS и результаты функциональных тестов. За счет предоперационной подготовки удалось добиться однородности групп в показателях ангулометрии (активное и пассивное разгибание в лучезапястном суставе). Поскольку изучаемая методика новая и первичные клинические результаты расценены как хорошие, мы планируем расширить данное исследование и сформировать группы пациентов, однородные по возрастным и функциональным показателям. Это позволит повысить достоверность исследования, а также прийти к однозначному мнению о преимуществах того или иного метода хирургической коррекции сгибательной контрактуры лучезапястного сустава. Кроме того, в дальнейших исследованиях предполагаем использовать классификацию по системе нарушений коммуникации (CFCS), так как мотивация и возможность пациента к проведению активной послеоперационной реабилитации может иметь решающее значение в достижении функциональных результатов после вмешательства на верхней конечности.
Заключение
Пересадка сухожилия m. flexor carpi ulnaris на m. extensor carpi radialis brevis/longus (операция Green) — хорошо зарекомендовавший себя метод лечения сгибательной контрактуры лучезапястного сустава у пациентов с дефицитом активного разгибания, но без значимой фиксированной сгибательной контрактуры. В нашем исследовании с помощью данной операции получены хорошие результаты лечения таких пациентов. Предложенный новый способ внесуставного артродеза суставов кисти позволяет более эффективно корригировать контрактуру, но с меньшим функциональным эффектом. Такой вид хирургического лечения предусматривает отсутствие травматизации сухожильного аппарата, благодаря чему возможно проведение активного восстановительного лечения непосредственно сразу после операции, а пациент не нуждается в послеоперационном ортезировании.
Необходимо дальнейшее изучение результатов лечения пациентов второй группы для оценки их стабильности.
Дополнительная информация
Источник финансирования. Государственное бюджетное финансирование. Работа проведена в рамках государственного задания Министерства здравоохранения Российской Федерации, НИР № АААА-А18-118122690160-5.
Конфликт интересов. Авторы декларируют отсутствие явных и потенциальных конфликтов интересов, связанных с публикацией настоящей статьи.
Этическая экспертиза. Протокол обследования и лечения детей был одобрен локальным этическим комитетом ФГБУ «НМИЦ детской травматологии и ортопедии им. Г.И. Турнера» Минздрава России (протокол № 20-1 от 27.04.2020).
Пациенты (их представители) дали согласие на лечение, обработку и публикацию персональных данных и фотоматериалов.
Вклад авторов
В.А. Новиков — разработка дизайна исследования, написание всех разделов статьи, сбор и анализ данных, обзор литературы, проведение оперативного лечения пациентов и их послеоперационное ведение.
В.В. Умнов — оперативное лечение пациентов, разработка методологии исследования, формулировка цели, этапное и заключительное редактирование текста статьи.
Д.В. Умнов — сбор и анализ клинического материала.
Все авторы внесли существенный вклад в проведение исследования и подготовку статьи, прочли и одобрили финальную версию перед публикацией.
Об авторах
Владимир Александрович Новиков
Федеральное государственное бюджетное учреждение «Национальный медицинский исследовательский центр детской травматологии и ортопедии имени Г.И. Турнера» Министерства здравоохранения Российской Федерации
Автор, ответственный за переписку.
Email: novikov.turner@gmail.com
ORCID iD: 0000-0002-3754-4090
канд. мед. наук, научный сотрудник отделения детского церебрального паралича
Россия, Санкт-ПетербургВалерий Владимирович Умнов
Федеральное государственное бюджетное учреждение «Национальный медицинский исследовательский центр детской травматологии и ортопедии имени Г.И. Турнера» Министерства здравоохранения Российской Федерации
Email: umnovvv@gmail.com
ORCID iD: 0000-0002-5721-8575
д-р мед. наук, ведущий научный сотрудник отделения детского церебрального паралича
Россия, Санкт-ПетербургДмитрий Валерьевич Умнов
Федеральное государственное бюджетное учреждение «Национальный медицинский исследовательский центр детской травматологии и ортопедии имени Г.И. Турнера» Министерства здравоохранения Российской Федерации
Email: dmitry.umnov@gmail.com
ORCID iD: 0000-0003-4293-1607
канд. мед. наук, научный сотрудник отделения детского церебрального паралича
Россия, Санкт-ПетербургСписок литературы
- Miller F. Cerebral palsy. New York: Springer-Verlag; 2005.
- Van Heest AE, Bagley A, Molitor F, James MA. Tendon transfer surgery in upper-extremity cerebral palsy is more effective than botulinum toxin injections or regular, ongoing therapy. J Bone Joint Surg Am. 2015;97(7):529-536. https://doi.org/10.2106/JBJS.M.01577.
- Клочкова О.А., Куренков А.Л., Намазова-Баранова Л.С., и др. Общее моторное развитие и формирование функции рук у пациентов со спастическими формами детского церебрального паралича на фоне ботулинотерапии и комплексной реабилитации // Вестник РАМН. – 2013. – Т. 68. – № 11. – С. 38–48. [Klochkova OA, Kurenkov AL, Namazova-Baranova LS, et al. Development of motor functions and manual abilities in pediatric patients with spastic cerebral palsy after botulinum toxin treatment and complex rehabilitation. Vestn Ross Akad Med Nauk. 2013;68(11):38-48. (In Russ.)]
- Lee JS, Lee KB, Lee YR, et al. Botulinum toxin treatment on upper limb function in school age children with bilateral spastic cerebral palsy: One year follow-up. Ann Rehabil Med. 2013;37(3):328-335. https://doi.org/10.5535/arm.2013.37.3.328.
- Carlson MG. Cerebral palsy. In Green’s operative hand surgery. 5th ed. Ed. by D.P. Green, M.D. Pederson, R.N. Hotchkiss, S.W. Wolf. Philadelphia: Elsevier Churchill Livingstone; 2005. P. 1197-1234.
- Salazard B, Medina J. The upper limb of children with cerebral palsy: Surgical aspects. Chir Main. 2008;27 Suppl 1:S215-221. https://doi.org/10.1016/ j.main.2008.07.024.
- Nachemson A. Tendon transfer in cerebral palsy. In: Fridén J. Tendon transfers in reconstructive hand surgery. Oxford: Taylor & Francis; 2005. P. 133-148.
- van Heest AE, Strothman D. Wristarthrodesis in cerebralpalsy. J Hand Surg Am. 2009;34(7):1216-1224. https://doi.org/10.1016/j.jhsa.2009.03.006.
- Thabet AM, Kowtharapu DN, Miller F, et al. Wrist fusion in patients with severe quadriplegic cerebral palsy. Musculoskelet Surg. 2012;96(3):199-204. https://doi.org/10.1007/s12306-012-0217-0.
- Wei DH, Feldon P. Total wrist arthrodesis: Indications and clinical outcomes. J Am Acad Orthop Surg. 2017;25(1):3-11. https://doi.org/10.5435/JAAOS-D-15-00424.
- Новиков В.А., Умнов В.В., Звозиль А.В. Тактика лечения сгибательной контрактуры лучезапястного сустава у детей с детским церебральным параличом // Ортопедия, травматология и восстановительная хирургия детского возраста. – 2014. – Т. 2. – № 3. – С. 40–47. [Novikov VA, Umnov VV, Zvozil AV. Тreatment strategy of flexion contracture of the wrist joint in children with cerebral palsy. Pediatric traumatology, orthopaedics and reconstructive surgery. 2014;2(3):40-47. (In Russ.)]. https://doi.org/10.17816/PTORS2340-46.
- Патент РФ № 2593743/ 14.07.2016. Умнов В.В., Новиков В.А. Способ устранения сгибательной контрактуры лучезапястного сустава у больных с детским церебральным параличом. [Patent RUS No. 2593743/ 14.07.2016. Umnov VV, Novikov VA. Sposob ustraneniya sgibatel’noy kontraktury luchezapyastnogo sustava u bol’nykh s detskim tserebral’nym paralichom. (In Russ.)]
- Rayan GM, Young BT. Arthrodesis of the spastic wrist. J Hand Surg Am. 1999;24(5):944-952. https://doi.org/10.1053/jhsu.1999.0944.
- Alexander RD, Davids JR, Peace LC, Gidewall MA. Wrist arthrodesis in children with cerebral palsy. J Pediatr Orthop. 2000;20(4):490-495.
- Neuhaus V, Kadzielski JJ, Mudgal CS. The role of arthrodesis of the wrist in spastic disorders. J Hand Surg Eur Vol. 2015;40(5):512-517. https://doi.org/10.1177/1753193414530193
Дополнительные файлы
















