Взаимосвязь клинико-рентгенологических параметров стоп у детей с плоскостопием
- Авторы: Сапоговский А.В.1, Бойко А.Е.2
-
Учреждения:
- Федеральное государственное бюджетное учреждение «Национальный медицинский исследовательский центр детской травматологии и ортопедии имени Г.И. Турнера» Министерства здравоохранения Российской Федерации
- Государственное бюджетное учреждение здравоохранения Ленинградской области «Гатчинская клиническая межрайонная больница»
- Выпуск: Том 8, № 4 (2020)
- Страницы: 407-416
- Раздел: Оригинальные исследования
- Статья получена: 29.07.2020
- Статья одобрена: 09.11.2020
- Статья опубликована: 09.01.2021
- URL: https://journals.eco-vector.com/turner/article/view/41830
- DOI: https://doi.org/10.17816/PTORS41830
- ID: 41830
Цитировать
Аннотация
Обоснование. Плоскостопие у детей — один из самых частых поводов для визита к ортопеду. Основными критериями, определяющими различные варианты плоскостопия, являются клинические (выраженность уплощения свода, вальгус заднего отдела и степень тыльного сгибания стопы) и рентгенологические (угловые величины, рассчитываемые по боковым и переднезадним рентгенограммам). Первичную оценку степени плоскостопия проводят на основании клинических критериев. При обнаружении изменения формы стопы выполняют рентгенографию. В связи с этим актуальным представляется вопрос определения связей между клинической и рентгенологической картиной при плоскостопии.
Цель — определение и анализ связей между клинико-рентгенологическими параметрами стоп у детей с плоскостопием.
Материалы и методы. В исследовании участвовали пациенты, наблюдавшиеся в поликлинике центра им. Г.И. Турнера за период с 2018 по 2020 г. Из них — 30 пациентов (53 стопы) с мобильным плоскостопием и 65 пациентов (111 стоп) с плоскостопием в сочетании с укорочением ахиллова сухожилия. Возраст пациентов составил 10 (8,3; 12) лет. В настоящей работе проанализированы клинические параметры (величина вальгуса заднего отдела, угол продольного свода и степень тыльной флексии стопы) и рентгенометрические данные (угол Kite, угол Meary, угол наклона пяточной кости, таранно-большеберцовый угол, угол продольного свода, угол латерального смещения ладьевидной кости, угол приведения переднего отдела). Определяли статистические различия между группами пациентов с мобильным плоскостопием и с плоскостопием в сочетании с укорочением ахиллова сухожилия, а также корреляционные связи между изучаемыми параметрами.
Результаты. Сильные корреляционные связи были выявлены по следующим парам критериев: латеральный угол Kite — латеральный угол Meary, таранно-большеберцовый угол — латеральный угол Meary, угол продольного свода рентгенологический — латеральный угол Meary, таранно-большеберцовый угол — латеральный угол Kite, тыльная флексия стопы — тыльная флексия стопы с экстензией I пальца, угол продольного свода рентгенологический — угол наклона пяточной кости. Между клиническими и рентгенологическими параметрами стоп связь была умеренная и слабая.
Заключение. Между клиническими и рентгенологическими параметрами стоп у пациентов с плоскостопием существует умеренная и слабая корреляция. В связи с полученными данными оценка клинических параметров стоп при плоскостопии у детей не позволяет получить полную информацию о степени плоскостопия.
Полный текст
Плоскостопие в детском возрасте — одна из самых часто обсуждаемых и дискутабельных тем. Во многих исследованиях показано, что в большинстве случаев уплощение свода стопы можно рассматривать как физиологическое состояние. Важным критерием, разделяющим плоскостопие на разные формы, является степень мобильности суставов предплюсны [1]. На основании этой классификации все варианты плоскостопия можно разделить на ригидные и мобильные формы [2]. Основные клинические критерии, характеризующие плоскостопие (величина вальгуса заднего отдела и степень уплощения свода стопы), общие как для мобильных, так для ригидных форм. Клиническая оценка степени тыльной флексии стопы позволяет выявить укорочение ахиллова сухожилия — один из элементов оценки мобильности стопы. Наиболее часто используемые рентгенологические величины, характеризующие плоскостопие, следующие: таранно-I-плюсневый угол на переднезадней и боковой рентгенографии (угол Meary), таранно-пяточный угол на переднезадней и боковой рентгенографии (угол Кite), угол латерального смещения ладьевидной кости, таранно-большеберцовый угол и угол наклона пяточной кости [3]. Проведены исследования, показывающие связь между угловыми параметрами стоп и жалобами пациентов с плоскостопием [4]. Однако данные, характеризующие связь между клиническими и рентгенологическими параметрами стоп у детей с плоскостопием, фрагментарны и представлены в незначительном количестве [5, 6]. При рутинном осмотре пациента с плоскостопием ортопед в первую очередь ориентируется на клиническую картину: степень уплощения свода стопы и выраженность вальгусного отклонения заднего отдела стопы. Результаты клинического осмотра обусловливают показания к рентгенологическому обследованию. Ввиду того что первичную оценку плоскостопия производят на основании клинических данных, а окончательное заключение формируют при анализе рентгенологической картины, обнаружение взаимосвязи между клиническими и рентгенологическими параметрами стоп у детей с плоскостопием является актуальной задачей.
Цель — определение и анализ связей между клинико-рентгенологическими параметрами стоп у детей с плоскостопием.
Материалы и методы
Для определения взаимосвязи клинических параметров стопы и рентгенологических критериев плоскостопия были проанализированы клинические и рентгенологические данные пациентов. В группу исследования вошли 103 пациента (188 стоп), из них 36 (65 стоп) с мобильным плоскостопием, 67 (123 стопы) с плоскостопием в сочетании с укорочением ахиллова сухожилия. Все пациенты обеих групп находились под наблюдением в поликлинике центра им Г.И. Турнера с диагнозом «плоскостопие» за период с 2018 по 2020 г. У всех представителей пациентов было получено письменное добровольное согласие на участие в клинических исследованиях и публикацию медицинских данных. Средний возраст пациентов составил 10 (8,3; 12) лет. После предварительной статистической обработки полученных данных, удаления выбросов, которые нельзя было интерпретировать, группу исследования составили 30 пациентов (53 стопы) с мобильным плоскостопием и 65 пациентов (111 стоп) с плоскостопием в сочетании с укорочением ахиллова сухожилия.
Критерии включения в группу исследования: наличие плоскостопия, возраст пациентов от 7 до 13 лет. Критерии исключения из исследования: наличие неврологической, системной патологии, проведенное по поводу деформаций стоп хирургическое лечение, тяжелые травмы стоп в анамнезе, врожденные деформации стоп, тарзальные коалиции.
При клиническом обследовании измеряли и анализировали угол продольного свода стопы, угол вальгуса заднего отдела, а также величину тыльного сгибания стопы при полном разгибании коленного сустава. Установление диагноза плоскостопия было основано на значении клинического угла продольного свода. Значение данного угла менее 130° свидетельствовало о наличии плоскостопия [7]. Тыльное сгибание стопы осуществляли в двух положениях: изолированное тыльное сгибание стопы и тыльное сгибание при коррекции эверзии подтаранного сустава [8]. Методика клинического обследования представлена на рис. 1.
Рис. 1. Методика измерения при клиническом обследовании: а — вальгуса заднего отдела стопы; б — клинического угла продольного свода; в — изолированного тыльного сгибания стопы; г — тыльного сгибания стопы при стабилизации подтаранного сустава
Вальгус заднего отдела измеряли при построении линий осей голени и заднего отдела, которые пересекались в центре ахиллова сухожилия на линии, соединяющей апексы латеральной и медиальной лодыжек (рис. 1, а). Клинический угол продольного свода образован следующими точками — наиболее выстоящей точкой медиальной лодыжки, бугристостью ладьевидной кости и центром головки I плюсневой кости (рис. 1, б). Коррекцию эверзии и стабилизацию подтаранного сустава при оценке степени тыльного сгибания стопы осуществляли при пассивной экстензии I пальца (биомеханический феномен J.H. Hicks — коррекция эверзии при натяжении подошвенного апоневроза вследствие пассивной экстензии I пальца). Степень тыльного сгибания стопы в изолированном виде (рис. 1, в) или при стабилизации подтаранного сустава (рис. 1, г) определяли при построении угла между линией, соединяющей крайние точки подошвенной поверхности заднего и переднего отделов стопы, и перпендикуляром к линии, проведенной из центра медиальной лодыжки и идущей параллельно переднему краю большеберцовой кости.
Рентгенологические величины, характеризующие степень деформации стопы, анализировали на рентгенограммах, выполненных в стандартных проекциях (переднезадняя и боковая) в положении пациента стоя. Анализируемые параметры приведены в табл. 1.
Таблица 1
Рентгенометрические величины плоскостопия, анализируемые в исследовании
Исследуемый угол | Рентгенологическая проекция |
Латеральный угол Kite | Боковая |
Латеральный угол Meary | |
Угол наклона пяточной кости | |
Таранно-большеберцовый угол | |
Угол продольного свода | |
Переднезадний угол Kite | Переднезадняя |
Переднезадний угол Meary | |
Угол латерального смещения ладьевидной кости | |
Угол приведения переднего отдела |
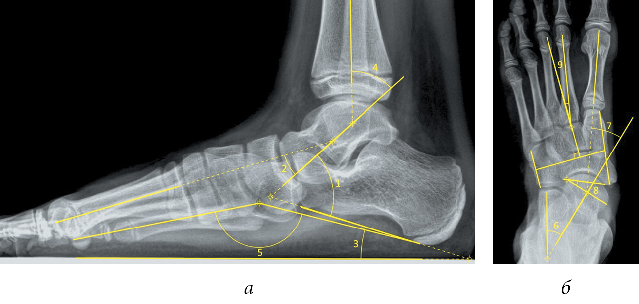
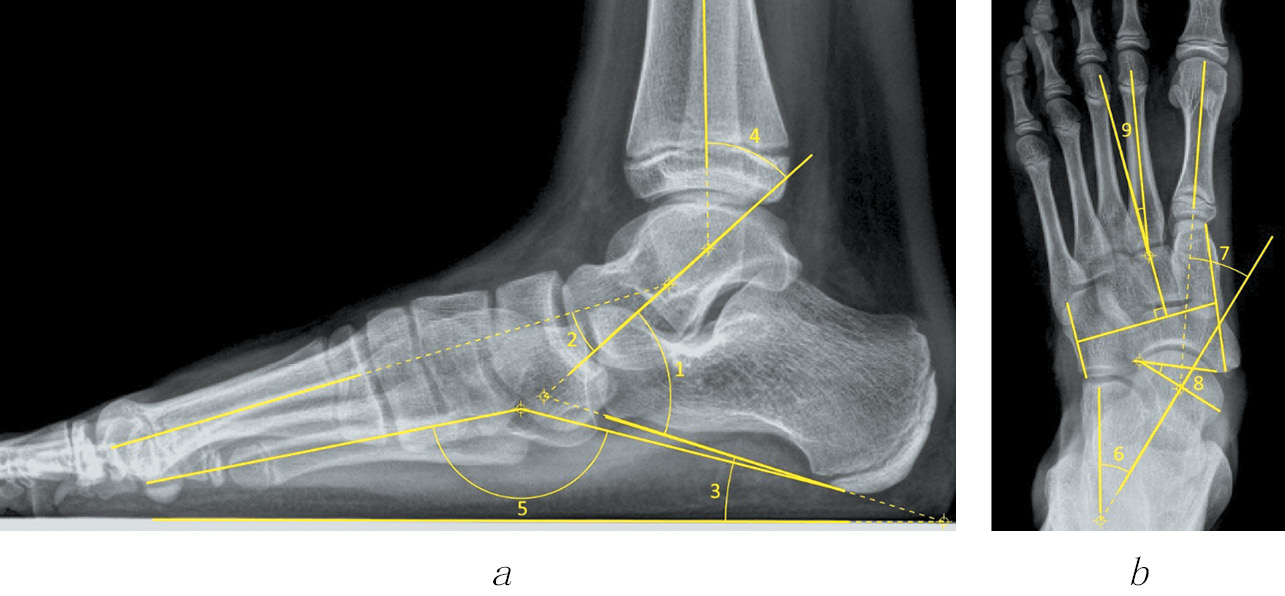
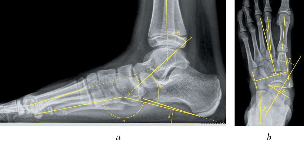
Как видно из табл. 1, углы, используемые в исследовании, характеризовали степень деформации как в сагиттальной, так и во фронтальной плоскости. Методика измерения указанных углов приведена на рис. 2.
Рис. 2. Схема построения углов на рентгенограмме стопы в боковой (а) и переднезадней (б) проекциях (пояснения см. в тексте)
Построение углов на боковой и переднезадней рентгенограммах стопы осуществляли в соответствии с общепринятыми правилами, как изображено на рис. 2. При этом угол Kite (1) на боковой рентгенограмме образован линией оси таранной кости и линией, проведенной по нижним точкам пяточного бугра и переднего отростка пяточной кости. Угол Meary (2) образован линиями осей таранной и I плюсневой кости. Угол наклона пяточной кости (3) — это угол между линией опорной поверхности и нижними точками пяточного бугра и переднего отростка пяточной кости. Таранно-большеберцовый угол (4) образован пересечением оси таранной и большеберцовой кости. Угол продольного свода (5) построен по методике Ф.Р. Богданова и расположен между нижней точкой ладьевидно-клиновидного сустава, а также нижними точками I плюсневой и пяточной кости. Угол Kite (6) на переднезадней рентгенограмме образован пересечением линий осей таранной и пяточной кости. Угол Meary (7) так же, как и на боковой рентгенограмме, определяют при пересечении оси I плюсневой и таранной кости. Угол латерального смещения ладьевидной кости (8) строили по крайним точкам суставных поверхностей таранной и ладьевидной кости в таранно-ладьевидном суставе. Угол приведения переднего отдела стопы (9) был образован линией оси II плюсневой кости и перпендикуляром, восстановленным из середины линий по медиальной и латеральной границам среднего отдела стопы.
Как рентгенологические, так и клинические параметры измеряли в программном комплексе Weasis v. 3.5.4.
Полученные данные обрабатывали с помощью методов описательной статистики с вычислением медиан, 25-го и 75-го процентилей [Me (Q1; Q3)]. Нормальность распределения данных оценивали с использованием критерия Колмогорова – Смирнова. Поскольку большая часть данных не соотносилась с нормальным распределением, применяли методы непараметрической статистики. Для определения различий рентгенологических и клинических параметров в группах пациентов с мобильным плоскостопием и плоскостопием с укорочением ахиллова сухожилия использовали U-критерий Манна – Уитни. Статистически значимым различием считали значение p < 0,05. Для определения связей между клиническими и рентгенологическими показателями у пациентов с плоскостопием применяли коэффициент корреляции Спирмена (ρ), при этом силу связи характеризовали следующие значения коэффициента корреляции: 0,01 ≤ ρ ≤ 0,29 — слабая связь; 0,30 ≤ ρ ≤ 0,69 — умеренная связь; 0,70 ≤ ρ ≤ 1,00 — сильная связь. Положительное или отрицательное значение коэффициента характеризовало положительную или отрицательную связь соответственно. Для оценки степени и варианта влияния одного признака на другой выполняли регрессионный анализ в виде парной линейной и квадратичной регрессионной модели. Для оценки доли выборки, характеризующейся моделью линейной или квадратичной регрессии, использовали коэффициент множественной детерминации (R2).
Результаты
Средние показатели исследуемых величин в группах пациентов с мобильным плоскостопием и с плоскостопием в сочетании с укорочением ахиллова сухожилия приведены в табл. 2.
Таблица 2
Клинико-рентгенологические параметры стоп у пациентов с плоскостопием
Показатель | Мобильное плоскостопие | Плоскостопие с укорочением ахиллова сухожилия | U-критерий Манна – Уитни |
Переднезадний угол Kite | 29,4 (25,05; 34,05) | 31 (27,4; 34,3) | 0,23 |
Переднезадний угол Meary | 16,1 (12,45; 20,25) | 17,5 (12,9; 22,9) | 0,21 |
Угол латерального смещения ладьевидной кости | 25,3 (18,7; 30,7) | 28,1 (21; 32,6) | 0,09 |
Угол приведения переднего отдела | 19,2 (16,4; 22,05) | 18,6 (13,6; 21,6) | 0,36 |
Латеральный угол Kite | 49,9 (44,2; 54,7) | 55,1 (49,5; 59) | <0,05* |
Латеральный угол Meary | 17,5 (9,8; 24,9) | 30,9 (23,4; 39) | <0,05* |
Угол наклона пяточной кости | 13,9 (9,2; 18,1) | 9,9 (6,3; 13,6) | <0,05* |
Таранно-большеберцовый угол | 59,3 (52,4; 66,4) | 48,6 (42; 55,2) | <0,05* |
Угол продольного свода рентгенологический | 155,1 (146,7; 157,6) | 164,3 (157,7; 168,3) | <0,05* |
Угол продольного свода клинический | 128,7 (125,05; 129,55) | 123,3 (120,05; 126,35) | <0,05* |
Вальгус заднего отдела | 15,7 (13,55; 18,6) | 18,1 (14,8; 21,6) | 0,05 |
Тыльная флексия стопы | 28,55 (23,73; 32,3) | 15,85 (12,28; 21,3) | <0,05* |
Тыльная флексия стопы с экстензией I пальца | 16,05 (12,83; 19,38) | 2,65 (–2,13; 6,1) | <0,05* |
* статистические значимые различия (p < 0,05).
Таблица 3
Данные корреляционного и регрессионного анализа клинико-рентгенологических параметров стоп у пациентов с плоскостопием, характеризующие сильные и умеренные связи
Показатель | Коэффициент корреляции Спирмена, ρ | Коэффициент детерминации, R2 | |
линейная модель | квадратичная модель | ||
Латеральный угол Kite — латеральный угол Meary | 0,780 | 0,621 | 0,621 |
Таранно-большеберцовый угол — латеральный угол Meary | –0,834 | 0,718 | 0,718 |
Угол продольного свода рентгенологический — латеральный угол Meary | 0,855 | 0,727 | 0,743 |
Таранно-большеберцовый угол — латеральный угол Kite | –0,741 | 0,562 | 0,562 |
Тыльная флексия стопы — тыльная флексия стопы с экстензией I пальца | 0,787 | 0,599 | 0,604 |
Угол продольного свода рентгенологический — угол наклона пяточной кости | –0,685 | 0,489 | 0,489 |
Угол продольного свода клинический — тыльная флексия стопы с экстензией I пальца | 0,420 | 0,181 | 0,184 |
Угол продольного свода рентгенологический — тыльная флексия стопы с экстензией I пальца | –0,467 | 0,200 | 0,204 |
Таранно-большеберцовый угол — тыльная флексия стопы с экстензией I пальца | 0,340 | 0,118 | 0,120 |
Угол наклона пяточной кости — тыльная флексия стопы с экстензией I пальца | 0,312 | 0,106 | 0,107 |
Латеральный угол Meary — тыльная флексия стопы с экстензией I пальца | –0,436 | 0,176 | 0,177 |
Переднезадний угол Meary — угол латерального смещения ладьевидной кости | 0,358 | 0,158 | 0,158 |
Вальгус заднего отдела — угол латерального смещения ладьевидной кости | 0,303* | 0,117 | 0,118 |
Вальгус заднего отдела — латеральный угол Meary | 0,313* | 0,074 | 0,075 |
Вальгус заднего отдела — латеральный угол Kite | 0,304* | 0,062 | 0,064 |
Латеральный угол Meary — угол латерального смещения ладьевидной кости | 0,321* | 0,090 | 0,090 |
Угол продольного свода рентгенологический — угол продольного свода клинический | –0,631* | 0,420 | 0,426 |
Таранно-большеберцовый угол — угол продольного свода клинический | 0,338* | 0,138 | 0,149 |
Таранно-большеберцовый угол — угол латерального смещения ладьевидной кости | –0,340* | 0,088 | 0,089 |
Угол наклона пяточной кости — угол продольного свода клинический | 0,367* | 0,161 | 0,162 |
Латеральный угол Meary — угол продольного свода клинический | –0,579* | 0,341 | 0,344 |
Латеральный угол Kite — угол продольного свода клинический | –0,390* | 0,155 | 0,163 |
Угол продольного свода рентгенологический — таранно-большеберцовый угол | –0,600* | 0,375 | 0,377 |
Угол продольного свода рентгенологический — латеральный угол Kite | 0,477* | 0,226 | 0,229 |
Переднезадний угол Meary — угол приведения переднего отдела | –0,565* | 0,354 | 0,356 |
Угол наклона пяточной кости — латеральный угол Meary | –0,555* | 0,351 | 0,351 |
Угол наклона пяточной кости — таранно-большеберцовый угол | 0,408* | 0,219 | 0,219 |
* критерии с двусторонней значимостью на уровне 0,01.
Как видно из табл. 2, статистически значимые различия в группах пациентов по рентгенологическим и клиническим критериям отмечены лишь в сагиттальной плоскости. При этом значения рентгенологических параметров на переднезадних рентгенограммах не имели статистически значимых различий в группах пациентов, а степень вальгуса заднего отдела находилась на границе статистической значимости.
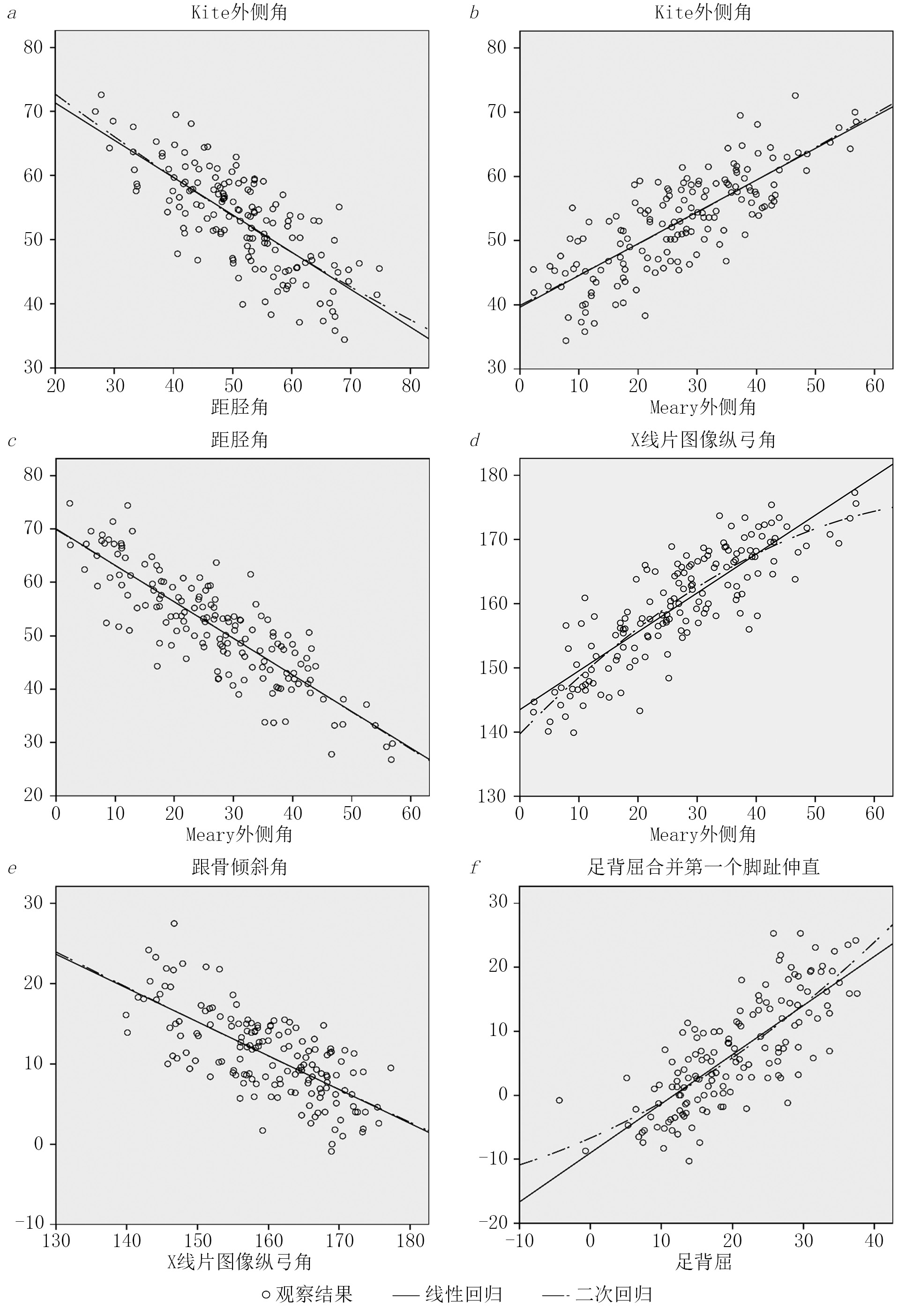
При проведении корреляционного анализа были получены и проанализированы данные корреляционной матрицы. Значения коэффициента корреляции Спирмена по критериям, по которым были выявлены сильные и умеренные связи, приведены в табл. 3.
Как следует из табл. 3, при корреляционном анализе было отмечено 6 сильных связей (ρ > | 0,7 |) и 21 умеренная связь (| 0,30 ≤ ρ ≤ 0,69 |). При этом коэффициент детерминации (R2) не превышал 0,74. Это говорит о том, что лишь 74 % выборки может быть объяснено формулой регрессии и свидетельствует об аппроксимации ниже удовлетворительной. Можно отметить, что значения коэффициента детерминации для линейной и квадратичной моделей значимо не различались, поэтому характер связей между изучаемыми признаками приближался к линейной регрессионной модели.
Графическое изображение сильных корреляционных связей (ρ > | 0,7 |) представлено на рис. 3.
Рис. 3. Графическое изображение сильных связей клинико-рентгенологических параметров стоп у детей с плоскостопием по следующим парам критериев: а, б — латеральный угол Kite — таранно-большеберцовый угол/латеральный угол Meary; в, г — таранно-большеберцовый угол/угол продольного свода рентгенологический — таранно-большеберцовый угол; д — угол наклона пяточной кости — угол продольного свода рентгенологический; е — тыльная флексия стопы — тыльная флексия стопы с экстензией I пальца
Как видно из рис. 3, в большей степени взаимоотношения между параметрами можно объяснить линейной регрессионной моделью. Сильные корреляционные связи наблюдались между рентгенологическими параметрами, за исключением пары «тыльная флексия стопы — тыльная флексия стопы с экстензией I пальца» (рис. 3, е), что характеризует лишь степень тыльной флексии стопы, оцениваемую различными тестами. Три пары критериев (таранно-большеберцовый угол — латеральный угол Kite, таранно-большеберцовый угол — латеральный угол Meary, угол продольного свода рентгенологический — угол наклона пяточной кости; рис. 3, а, в, д) характеризовались отрицательной корреляционной связью. А следующие три пары критериев (латеральный угол Kite — латеральный угол Meary, угол продольного свода рентгенологический — латеральный угол Meary, тыльная флексия стопы — тыльная флексия стопы с экстензией I пальца; рис. 3, б, г, е) имели положительную корреляционную связь. При этом сильной связи между клиническими и рентгенологическими параметрами стоп у пациентов с плоскостопием выявлено не было.
С целью отображения статистически значимых корреляционных связей между клинико-рентгенологическими параметрами стоп у детей с плоскостопием была составлена схема корреляционных плеяд П.В. Терентьева, которая изображена на рис. 4.
Рис. 4. Корреляционные плеяды П.В. Терентьева. Разными линиями отмечены значимые корреляционные связи [корреляция значима на уровне 0,01 (двусторонняя)]
Как видно из рис. 4, сильные корреляционные связи обнаружены между рентгенологическими параметрами на боковых рентгенограммах стоп. Можно также отметить сильную связь между величиной тыльной флексии стопы при различных вариантах выполнения теста. Тыльная флексия стопы с экстензией I пальца, а также клинический угол продольного свода стопы характеризовались умеренными связями с рентгенологическими параметрами стоп в сагиттальной плоскости. С другой стороны, вальгус заднего отдела стопы имел лишь три умеренные связи с углом латерального смещения ладьевидной кости, латеральным углом Meary и латеральным углом Kite, остальные связи между вальгусом заднего отдела стопы и клинико-рентгенологическими параметрами были слабые. Рентгенологические параметры на переднезадних рентгенограммах, характеризующие выраженность деформации (переднезадний угол Meary, переднезадний угол Kite, угол латерального смещения ладьевидной кости) имели наименьшее количество корреляционных связей с другими параметрами и лишь одну умеренную связь с клиническими параметрами (угол латерального смещения ладьевидной кости — вальгус заднего отдела).
Обсуждение
В биомеханическом исследовании J.H. Lee et al. выявили обратную корреляционную связь между вальгусом заднего отдела и латеральным углом Meary (r = –0,4). Была также установлена положительная корреляционная связь между латеральным углом Meary и латеральным углом Kite (r = 0,68) [9]. В нашем исследовании связь между вальгусом заднего отдела стопы и латеральным углом Meary была положительной (ρ = 0,313), что свидетельствует об увеличении вальгуса заднего отдела при увеличении латерального угла Meary. Данное диаметрально противоположное значение может быть обусловлено особенностями измерения авторами публикации вальгуса заднего отдела, которые не совсем понятно отображены в их исследовании. Кроме того, величина связи между латеральным углом Meary и латеральным углом Kite в их исследовании (r = 0,68) и в нашем исследовании (ρ = 0,780) была сопоставима. С другой стороны, M.G. Benedetti et al. при изучении клинических и рентгенологических параметров стоп у детей с плоскостопием не нашли значимой связи между этими параметрами, за исключением сильной корреляции между рентгенологическим углом продольного свода (Costa-Bertani) и степенью плоскостопия по плантограммам [5]. В нашей работе также не обнаружены сильные корреляционные связи между клиническими и рентгенологическими параметрами стоп у детей с плоскостопием. При сопоставлении клинической и рентгенологической оценки степени вальгуса заднего отдела de Cesar Netto et al. отметили, что рентгенологически вальгус заднего отдела стопы более выражен по сравнению с клинической оценкой [10], что также указывает на определенные различия в рентгенологической и клинической картине. Данную особенность можно объяснить отсутствием сильных связей и небольшим количеством умеренных связей между клиническим вальгусом заднего отдела стоп и рентгенологическими критериями в нашем исследовании.
Многие исследователи показали, что наиболее чувствительным углом, отображающим степень плоскостопия, является латеральный угол Meary [4, 11]. В нашей работе этот угол имел наибольшее количество сильных (3) и умеренных (5) связей с другими параметрами, что позволяет выделить его как один из наиболее важных и чувствительных рентгенологических критериев плоскостопия. В результате исследования определено, что наибольшей связью с клиническими параметрами стоп обладают рентгенометрические критерии, измеряемые на боковых рентгенограммах. Для величины таранно-пяточной дивергенции и таранно-I-плюсневого угла на переднезадних рентгенограммах (переднезадний угол Kite, Meary) выявлено меньше всего значимых корреляционных связей со всеми изучаемыми параметрами.
В настоящем исследовании не определяли критерии самого диагноза «плоскостопие», поскольку оценка формы стопы была многокомпонентной, а норма зависит от многих факторов и ее границы часто размыты. Основная задача нашего исследования заключалась в сопоставлении клинических данных, которые оценивает врач-ортопед у ребенка с плоскостопием с данными рентгенографии. Выбор клинического угла продольного свода в настоящей работе и отсутствие различий в его интерпретации в разных возрастных группах обусловлены необходимостью документации формы стопы наряду с вальгусом заднего отдела для последующего сопоставления с рентгенологической картиной. Такая методология исследования позволила сопоставить наиболее часто используемые в рутинной практике ортопеда клинические критерии плоскостопия (величина коллапса арки стопы, степень вальгуса заднего отдела, а также значение тыльного сгибания стопы) с рентгенометрическими критериями, характеризующими тяжесть деформации стопы.
Заключение
Исследуемые клинические и рентгенологические параметры плоскостопия не обладают сильными корреляционными связями, по этой причине использование лишь клинических данных не позволяет адекватно оценить характер и степень выраженности плоскостопия. Наиболее значимые корреляционные связи отмечены между следующими рентгенологическим параметрами: углом продольного свода, таранно-большеберцовым углом, углом наклона пяточной кости, латеральным углом Kite и Meary. При анализе рентгенограмм пациентов с плоскостопием наибольшей диагностической ценностью обладают угловые показатели, измеряемые на боковых рентгенограммах, в первую очередь угол Meary, что делает его более значимым при оценке степени деформации. Из всех клинических критериев наименьшее количество значимых связей с рентгенологическими параметрами установлено для вальгуса заднего отдела и степени изолированной тыльной флексии стопы. Наибольшее значение в клинической оценке плоскостопия имеет оценка степени тыльного сгибания стопы при стабилизации подтаранного сустава, так как из всех клинических критериев только этот параметр характеризуется наибольшим количеством умеренных связей. Исходя из полученных данных, оценка степени плоскостопия при учете вальгуса заднего отдела стопы и клинического угла продольного свода не может быть полной, поэтому необходимы дополнительные исследования.
Дополнительная информация
Источник финансирования. Исследование выполнено без финансовой поддержки.
Конфликт интересов. Авторы декларируют отсутствие явных и потенциальных конфликтов интересов, связанных с публикацией настоящей статьи.
Этическая экспертиза. Выписка из протокола заседания локального этического комитета ФГБУ «НМИЦ детской травматологии и ортопедии имени Г.И. Турнера» Минздрава России № 20-2 от 03.07.2020. Постановление: «разрешить публикацию печатной работы». Пациенты (их представители) дали согласие на обработку и публикацию персональных данных.
Вклад авторов
А.В. Сапоговский — дизайн исследования, создание базы данных, анализ результатов, написание текста статьи.
А.Е. Бойко — внесение пациентов в базу данных, редактирование текста статьи.
Все авторы внесли существенный вклад в проведение исследования и подготовку статьи, прочли и одобрили финальную версию перед публикацией.
Об авторах
Андрей Викторович Сапоговский
Федеральное государственное бюджетное учреждение «Национальный медицинский исследовательский центр детской травматологии и ортопедии имени Г.И. Турнера» Министерства здравоохранения Российской Федерации
Автор, ответственный за переписку.
Email: sapogovskiy@gmail.com
ORCID iD: 0000-0002-5762-4477
SPIN-код: 2068-2102
канд. мед. наук, старший научный сотрудник отделения патологии стопы, нейроортопедии и системных заболеваний
Россия, Санкт-ПетербургАлексей Евгеньевич Бойко
Государственное бюджетное учреждение здравоохранения Ленинградской области «Гатчинская клиническая межрайонная больница»
Email: lex.trol@mail.ru
ORCID iD: 0000-0002-0615-9907
врач — травматолог-ортопед кабинета экстренной травматологии и ортопедии приемного отделения № 1
Россия, Ленинградская область, ГатчинаСписок литературы
- Кенис В.М. Тарзальные коалиции у детей: опыт диагностики и лечения // Травматология и ортопедия России. – 2011. – № 2. – С. 132–136. [Kenis VM. Tarsal coalitions in children: diagnostics and treatment. Traumatology and Orthopedics of Russia. 2011;(2):132-136. (In Russ.)]
- Кенис В.М., Никитина Н.В. Тарзальные коалиции у детей (обзор литературы) // Травматология и ортопедия России. – 2010. – № 3. – С. 159–165. [Kenis VM, Nikitina NV. Tarsal coalitions in children (review). Traumatology and Orthopedics of Russia. 2010;(3):159-165. (In Russ.)]
- Lin YC, Kwon JY, Ghorbanhoseini M, Wu JS. The hindfoot arch: What role does the imager play? Radiol Clin North Am. 2016;54(5):951-968. https://doi.org/10.1016/j.rcl.2016.04.012.
- Pehlivan O, Cilli F, Mahirogullari M, et al. Radiographic correlation of symptomatic and asymptomatic flexible flatfoot in young male adults. Int Orthop. 2009;33(2): 447-450. https://doi.org/10.1007/s00264-007-0508-5.
- Benedetti MG, Berti L, Straudi S, et al. Clinicoradiographic assessment of flexible flatfoot in children. J Am Podiatr Med Assoc. 2010;100(6):463-471. https://doi.org/10.7547/1000463.
- Coughlin MJ, Kaz A. Correlation of Harris mats, physical exam, pictures, and radiographic measurements in adult flatfoot deformity. Foot Ankle Int. 2009;30(7): 604-612. https://doi.org/10.3113/FAI.2009.0604.
- Langley B, Cramp M, Morrison SC. Clinical measures of static foot posture do not agree. J Foot Ankle Res. 2016;9:45. https://doi.org/10.1186/s13047-016-0180-3.
- Патент РФ на изобретение № 2669863/ 16.10.2018. Бюл. № 29. Сапоговский А.В., Кенис В.М., Магерамов Э.К., Димитриева А.Ю. Способ определения укорочения ахиллова сухожилия при продольном плоскостопии. [Patent RUS No. 2669863/16.10.2018. Byul. No. 29. Sapogovskiy AV, Kenis VM, Mageramov EK, Dimitrieva AY. Sposob opredeleniya ukorocheniya akhillova sukhozhiliya pri prodol’nom ploskostopii. (In Russ.)]
- Lee JH, Sung IY, Yoo JY. Clinical or radiologic measurements and 3-D gait analysis in children with pes planus. Pediatr Int. 2009;51(2):201-205. https://doi.org/10.1111/j.1442-200X.2008.02666.x.
- C. de Cesar Netto, Kunas GС, Soukup D, et al. Correlation of clinical evaluation and radiographic hindfoot alignment in stage II adult-acquired flatfoot deformity. Foot Ankle Int. 2018;39(7):771-779. https://doi.org/10.1177/1071100718762113.
- Younger AS, Sawatzky B, Dryden P. Radiographic assessment of adult flatfoot. Foot Ankle Int. 2005;26(10): 820-825. https://doi.org/10.1177/107110070502601006.
Дополнительные файлы
















