Diffusion-tensor magnetic resonance imaging in patients with consequences of obstetric brachial plexus palsy
- 作者: Khodorovskaya A.M.1, Efimtsev A.Y.2, Agronovich O.E.1, Savina M.V.1, Zorin V.I.1, Braylov S.A.1, Arakelian A.I.1, Lukyanov S.A.1, Grishchenkov A.S.2,3, Filin Y.A.2, Vcherashniy D.B.4, Morozova V.V.1
-
隶属关系:
- H. Turner National Medical Research Center for Сhildren’s Orthopedics and Trauma Surgery
- Almazov National Medical Research Centre
- Sokolov’ North-Western Regional Scientific and Clinical Center
- Ioffe Physical Technical Institute
- 期: 卷 12, 编号 2 (2024)
- 页面: 185-196
- 栏目: Clinical studies
- ##submission.dateSubmitted##: 08.04.2024
- ##submission.dateAccepted##: 14.06.2024
- ##submission.datePublished##: 26.06.2024
- URL: https://journals.eco-vector.com/turner/article/view/630087
- DOI: https://doi.org/10.17816/PTORS630087
- ID: 630087
如何引用文章
详细
BACKGROUND: Diffusion-tensor magnetic resonance imaging allows visualizing the conductive pathways of the brain and spinal cord and assessing their structure and integrity and has found wide application in practical medicine. Currently, brachial plexus diffusion-tensor magnetic resonance imaging is not a routine research technique, and very few studies have described its use in children and adolescents.
AIM: This study aimed to evaluate the possibility of brachial plexus diffusion-tensor magnetic resonance imaging application in pediatric patients with obstetric brachial plexus palsy sequelae and identify correlations between the diffusion-tensor magnetic resonance imaging parameters of brachial plexus and parameters of electrophysiological study of the upper extremities in these patients.
MATERIALS AND METHODS: A complex examination of 50 patients was performed. The main group included 30 patients aged 6–17 years, with contractures and secondary deformities of the bones of the shoulder girdle and upper limbs caused by unilateral obstetric brachial plexus palsy. The control group included 20 patients aged 7–17 (10.1 ± 2.1) years without clinical signs, and anamnestic data indicated the presence of damage to the brachial plexus and peripheral nerves of the upper limbs.
RESULTS: No significant differences in diffusion-tensor magnetic resonance imaging parameters of the right and left brachial plexus were found in the control group. Significant differences in fractional anisotropy of the C5–C8 tracts on the side of the damaged brachial plexus were detected compared with those on the side of the undamaged brachial plexus. On the side of the injured brachial plexus, nonlinear correlations were found between the fractional anisotropy of the tracts of the spinal nerve and its branches and the amplitude of sensory responses from the sensory nerve, which originated from the anterior branches of this spinal nerve, and between the volume of the branches of the tracts of the spinal nerve and the amplitude of соmpound motor responses from the muscles, which were innervated by the anterior branches of this spinal nerve.
CONCLUSIONS: Diffusion-tensor magnetic resonance imaging allows for the evaluation of the structural changes in the SNs that participate in the formation of the brachial plexus. The results can be used for further studies of diffusion-tensor magnetic resonance imaging of brachial plexuses in various pathologies in pediatric patients.
全文:
论证
根据不同作者的研究,臂丛神经出生损伤的发生率为每1000名新生儿0.38至5.1[1]。新生儿臂丛神经产伤的临床表现没有特异性,与损伤的严重程度和预后也不相关[2]。在30%-90%的病例中,丧失的上肢功能可完全自发恢复[3]。上肢功能恢复的时间取决于损伤的性质,并决定进一步的治疗和预后处理[3,4]。分娩时臂丛神经损伤的一种可能机制是臂丛神经根和干受的长 时间(几分钟甚至几小时)低能量拉伸。这种拉伸会导致从神经瘫痪到轴突瘤和神经瘤等多种损伤,并造成臂丛神经干的部分或完全损伤。 对于臂丛神经产伤造成严重后果的儿童来说,受损神经干形成典型的干内神经瘤。随后,部分轴突纤维发芽,导致受伤上肢在6-12个月及以后出现运动[5,6]。与成人臂丛牵引伤相比,大多数情况下,形成臂丛的脊神经根会发生脱落,而儿童因产伤造成的脊神经根撕脱则少见得多[4]。
在臂丛神经产伤后果为不同程度的上肢功能不完全恢复和障碍的儿童中,观察到神经丛受损一侧的上肢缩短,以及由于多发性肌肉挛缩、关节变形而导致的关节活动范围受限,这决定了该问题的医学和社会意义[7,8]。
对于臂丛神经损伤,诊断的金标准是电生理检查,它可以确定神经干损伤的程度和性质[9]。同时,由于臂丛神经形成的解剖学可变性和交叉神经支配的存在,以及C5、C6的孤立损伤[10,11],无法使用该技术确定损伤的准确定位。
在臂丛神经损伤中,超声波、计算机断层扫描或磁共振成像(MRI)等各种成像技术被用来明确诊断。目前,磁共振成像是臂丛神经成像的主要方法,因为它在各种病理情况下都有很高的特异性[12,13]。磁共振神经成像因其无创伤性和能够分析臂丛近端和远端切片而被广泛用于臂丛病变的诊断。尽管磁共振神经成像取代了长期以来用于检测神经节前病变的计算机断层扫描髓核造影术,但这种方法无法对检测到的结构变化进行定量评估[13,14]。
就目前而言,扩散张量核磁共振成像(DT-MRI)是一种很有前途的神经成像技术,它可以获得各种生物组织中水分子扩散的定量特征。之所以能做到这一点,是因为通过数学方法重建了研究区域的水分子扩散矢量和数值,并随后以图形方式显示了水分子的优先运动轨迹[15]。这项技术还可以通过计算各向异性分数(fractional anisotropy, FA)、径向扩散率(radial anisotropy, RA)和轴向扩散率(axial diffusivity, AD)等扩散参数,定量分析周围神经纤维结构的特征,并深入了解轴突的功能状态[14]。然而,目前臂丛扩散张量核磁共振成像并非常规研究技术,世界文献中几乎没有关于儿童和青少年臂丛 扩散张量核磁共振成像的出版物[14,16]。
目的是评估臂丛神经扩散张量核磁共振成像在臂丛神经产伤后遗症儿科患者中应用的可能性,分析扩散张量核磁共振成像结果的可重复性,并确定臂丛神经扩散张量核磁共振成像参数与臂丛神经产伤后遗症患者上肢电生理研究指标之间的相关性。
材料和方法
本研究包括30例因单侧臂丛神经产伤导致肩关节挛缩和继发性畸形的患者,年龄在6至17岁(9.8±1.4岁)之间,均未通过显微外科手术恢复受损臂丛神经干的完整性。其中男孩16人,女孩14人。诊断臂丛神经损伤的标准是电生理检查。
排除标准:双侧臂丛神经损伤、伴随的遗传性和全身性疾病、患者及其代表未自愿知情同意参与本研究、核磁共振成像需要麻醉、核磁共振成像过程中出现运动伪影导致无法对扩散张量核磁共振成像数据进行后处理。
由于国内外文献中缺乏儿童扩散张量核磁共振成像参数的参考值,因此有必要对其进行测定。我们在研究中加入了一个对照组, 由20名7至17岁(10.1±2.1岁)的肩关节或肘关节外伤后遗症患者(12名男孩,8名女孩)组成。 他们还被纳入了主要疾病的必要核磁共振成像检查方案,并接受了核磁共振成像序列检查,以获得颈脊髓和臂丛神经近端部位的扩散张量核磁共振成像数据。
对照组的纳入标准:无临床症状,无各种原因引起的臂丛神经损伤,年龄在7至17岁之间。排除标准:伴有遗传性和全身性疾病、患者及其代表未自愿知情同意参加此次检查、需要麻醉、在核磁共振成像过程中出现运动伪影、不允许对扩散张量核磁共振成像数据进行后处理。
所有患者都接受了全面检查,包括详细的病史资料分析、神经和骨科检查、臂丛神经的扩散张量核磁共振成像检查。电生理检查仅在主要组患者中进行。
电生理检查是在四通道电图仪Neuro-MVP-4(Neurosoft,俄罗斯)上进行的;分析了刺激前臂外皮神经、两侧正中神经、尺神经和桡浅神经时的感觉反应参数,以及脉冲通过感觉纤维的传导速度。我们使用标准方法[17]研究了刺激两侧腋神经、肌皮神经、正中神经、尺神经和桡神经时的诱发运动反应和运动纤维传导速度[17]。
磁共振成像在 Philips Ingenia Edition X 断层扫描仪上进行,磁场感应强度为3.0特斯拉(12通道线圈 - DS-Head-Neck),患者仰卧。 研究方案包括轴向弥散张量图像。切片方向垂直于身体中线。切片数量为23,切片厚度为3毫米,切片间距为0,矩阵为64×62 mm,体素尺寸为2.8×2.8毫米,视野(FOV)为180×180毫米,重复时间(TR)为4000毫秒,回波时间(TE)为71毫秒,平均次数为2,扩散系数(b)为600秒/平方毫米。 应用了15个扩散方向,研究时间为8分30秒。 利用定位器数据进行切片定位:从C3椎体中部到Th2椎体中部。后处理使用内置统计分析方法的 DSI Studio 软件进行。C5-Th1牵引图的感兴趣区(ROI)选取为脊神经从椎间孔出口的成对对称区。每个轨迹图都是单独构建的。沿着选定的感兴趣区域构建具有以下参数的路径: 分数各向异性的最大值为0.18;旋转角度的最大值为45°;路径的最小长度和数量没有限制。 使用标准颜色指示。为了评估重现性,对随机挑选的15名对照组患者和30名主要组患者进行了臂丛束图的三次构建。
统计分析。使用 StatTech v.2.8.8 程序(开发商为俄罗斯 Stattech 有限责任公司)分析了工作过程中获得的数据。用M±SD格式的平均值和标准差来描述数字量表。两组数值变量的比较采用 Mann-Whitney 非参数标准。三组或三组以上定量变量的比较使用 Kraskell-Wallis 标准,并使用 Dunn 标准和 Holm 校正进行额外的后验比较。
使用 Spearman’s 相关系数评估扩散张量核磁共振成像和电生理研究参数之间的相关性。 在非线性相关的情况下,将样本分为单调关系的几个部分,并分别计算每个部分的相关系数。臂丛神经束成像参数的重复性采用 Cronbach’s α 标准进行分析。
结果
在对照组的20例患者中,构建了160条(100%) C5-C8脊神经及其分支(spinal nerves, SN) 神经束和21条(52.5%)SN Th1神经束。在单侧臂丛神经产伤后遗症患者中,在臂丛完好的一侧构建了120条(100%)C5-C8的SN和18条(56.7%) SN Th1。在受伤的臂丛一侧,构建了114个(95%)SN C5-C8束和14个(46.7%)SN Th1束。
对照组和主要组在臂丛完好的一侧, SN束构建的重复性良好(>0.8);主要组在臂丛损伤的一侧,SN束构建的重复性可接受(>0.7) (表1)。
表1。Cronbach's alpha 系数(脊神经束构建的重复性)
脊神经根及其分支 | 扩散张量核磁共振成像参考值确定小组 | 单侧臂丛神经产伤后遗症患者 | |
在臂丛神经完好的一侧 | 在受伤的臂丛神经一侧 | ||
C5 | 0.89 | 0.9 | 0.81 |
C6 | 0.87 | 0.87 | 0.79 |
C7 | 0.86 | 0.85 | 0.76 |
C8 | 0.89 | 0.87 | 0.84 |
Тh1 | 0.88 | 0.89 | 0.85 |
在重复构建过程中,对照组和主要组的SN束数量没有变化。我们将没有构建的C5-C8束视为撕脱(图1)。这与电生理检查的数据相符。
图1。患者K,11岁。脊神经束三维重建图。左侧为Erb麻痹。箭头所示为C7 SN缺失
由于无法可靠地评估Th1 SN束构建缺失的原因(脱落或构建过程中的技术困难),Th1 SN束参数数据被排除在进一步分析之外。
在分析臂丛的扩散张量核磁共振成像数据时,发现对照组患者左右臂丛的FA、AD、RA、MD指数差异无统计学意义(p>0.05)(表2),主要组患者完整臂丛一侧的这些指数数据差异也无统计学意义(p>0.05)。
表2。对照组患者左右臂丛的弥散张量磁共振成像参数,以及臂丛产伤后遗症患者完整臂丛的弥散张量磁共振成像参数(未考虑侧向性)
脊神经根 | FA* | MD* | AD* | RA* | ||||||||
对 | 左侧 | 不变 | 对 | 左侧 | 不变 | 对 | 左侧 | 不变 | 对 | 左侧 | 不变 | |
C5 | 0.38 ± 0.012 | 0.37 ± 0.017 | 0.37 ± 0.013 | 1.59 ± 0.17 | 1.58 ± 0.14 | 1.6 ± 0.1 | 2.07 ± 0.09 | 2.04 ± 0.07 | 2.09 ± 0.07 | 1.44 ± 0.15 | 1.48 ± 0.19 | 1.49 ± 0.17 |
C6 | 0.37 ± 0.017 | 0.36 ± 0.02 | 0.36 ± 0.017 | 1.61 ± 0.13 | 1.57 ± 0.15 | 1.59 ± 0.07 | 2.05 ± 0.13 | 2.11 ± 0.06 | 2.11 ± 0.12 | 1.61 ± 0.11 | 1.52 ± 0.17 | 1.58 ± 0.13 |
C7 | 0.37 ± 0.016 | 0.37 ± 0.018 | 0.36 ± 0.011 | 1.62 ± 0.08 | 1.59 ± 0.12 | 1.61 ± 0.15 | 2.12 ± 0.06 | 2.09 ± 0.13 | 2.09 ± 0.13 | 1.54 ± 0.09 | 1.59 ± 0.01 | 1.5 ± 0.17 |
C8 | 0.35 ± 0.016 | 0.36 ± 0.014 | 0.36 ± 0.09 | 1.58 ± 0.13 | 1.6 ± 0.17 | 1.62 ± 0.11 | 2.07 ± 0.11 | 2.09 ± 0.08 | 2.05 ± 0.01 | 1.59 ± 0.17 | 1.56 ± 0.12 | 1.52 ± 0.18 |
注:右:对照组患者的右侧臂丛神经;左:对照组患者的左侧臂丛神经;完好:臂丛神经产伤后遗症患者的完好臂丛神经; *无统计学显著差异p>0.05。
对照组和单侧臂丛神经外伤后遗症患者在臂丛未受损侧的上述指标的性别和年龄差异均无统计学意义(p>0.05)。这使我们能够在不考虑侧位、年龄和性别差异的情况下,对损伤侧和完整臂丛侧的扩散张量核磁共振成像参数进行比较分析。
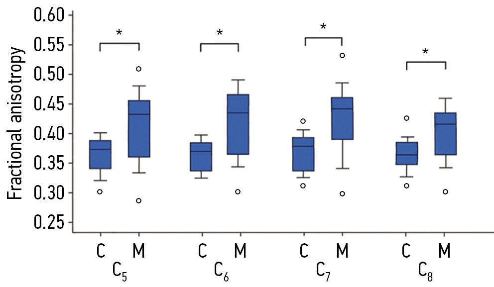
对照组和主要组(受伤臂丛一侧)C5-C8 SN束的FA差异有统计学意义(p<0.05)(图2)。
图2。脊神经束C5-Th1的分数各向异性。K,对照组;O,主要组(受伤臂丛一侧);*差异有统计学意义(p<0.05)
与对照组的数据相比,主要组(臂丛神经受损侧)27名(90%)患者的SN C5束、26名(86.6%)患者的C6束、24名(80%)患者的C7束、9名(30%)患者的C8束的FA有显著统计学差异。
对照组和主要组在损伤和未损伤臂丛一侧的AD、RA和MD之间的差异无统计学意义 (p=0.08)。
在受损的臂丛神经一侧,SN的FA束变化与该SN所支配肌肉的运动反应幅度之间未发现相关性。
在臂丛神经受伤的一侧,发现SN束的FA与来自该脊神经分支的感觉神经的感觉反应幅度之间存在非线性相关性。在受伤的臂丛一侧, SN束的FA增加与特定脊神经分支发出的感觉神经的感觉反应幅度减小之间存在强烈的负相关 (r=-0.84)。在损伤臂丛一侧的该脊神经分支发出的感觉神经的感觉反应幅度降低的同时,SN束的FA值降低与该感觉神经的感觉反应幅度降低之间存在中等程度的正相关性(r=0.54)。
DSI STUDIO 软件包可进行统计分析,包括测定总束容积,以及分别测定束干和束支的容积。
对照组患者左右臂丛的总束容积、分支/干束容积差异无统计学意义(p>0.05)。
臂丛损伤侧SN束干体积减少,但臂丛损伤侧与未损伤侧束干体积差异无统计学意义 (p=0.09)。
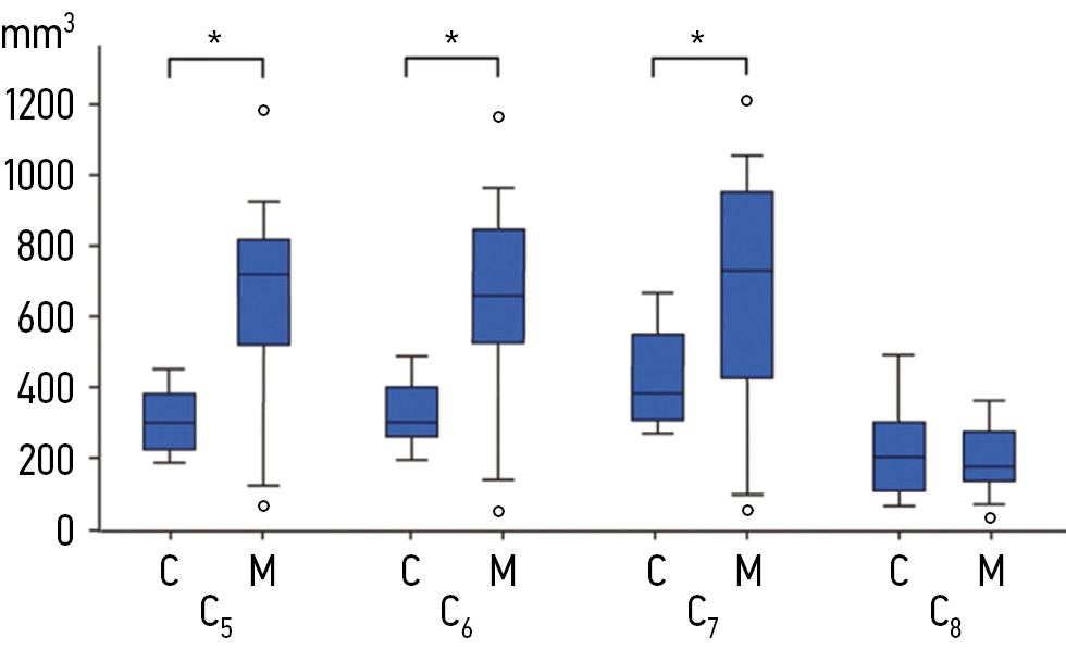
然而,与未受损的一侧相比,受损臂丛一侧的SN C5-C7束分支的体积在统计学上存在显著差异(p<0.05)。C8束分支的数量在统计学上没有明显差异(图3)。
图3。臂丛受损侧(O)和未受损侧(K)神经束分支的体积。*受损和未受损臂丛一侧的SN束分支体积在统计学上有显著差异
与未受损的臂丛相比,受损臂丛一侧的SN束总体积可能会减少(图4),这是因为束的分支和主干体积都减少了。
图4。患者V,15岁。C5-C8 SN束的三维重建图。左侧臂丛受损。C5-C8束的分支和主干体积缩小。未构建Th1 SN
与未受损的臂丛相比,受损臂丛一侧的SN束总体积会增加,这是因为束分支的体积增加了 (图5)。
图5。患者M.,7岁。臂丛神经束三维重建图。左侧为Erb轻度瘫痪。SN C5-C7束分支体积增大
在臂丛神经受损的一侧,SN束分支的体积与该SN分支所支配肌肉的诱发运动反应振幅之间存在非线性相关性。SN束分支体积的减少与该SN分支所支配肌肉的诱发运动反应振幅的减少之间存在中度正相关(r=0.41)。 SN束分支体积的增加与该SN分支所支配肌肉的诱发运动反应振幅之间存在较强的正相关性 (r=0.84)。
讨论
由于生物屏障(膜)或细胞外空间的增加或减少,水在身体组织中的扩散或多或少会受到限制[14]。周围神经是一种高度组织化的结构,具有多种水扩散障碍,如神经外膜、神经内膜和神经内膜。使用与研究中枢神经系统白质束相同的方法对周围神经进行可视化[18,19]。臂丛的扩散张量核磁共振成像可利用基于计算的弥散张量的跟踪算法对参与臂丛形成的脊神经进行三维可视化,并可深入了解形成臂丛的脊髓膜外神经结构的连续性[16]。
我们的工作中,对印迹构建的可重复性(考官 内部的交互作用)的评估与其他研究[20,21] 相当,但由于缺乏专家之间的交互作用研究, 评估结果较差。
构建Th1 SN束的困难可归因于文献中描述的各种因素,如它非常靠近I肋、肺顶、锁骨下血管,以及扫描时的呼吸运动,这些因素都可能导致该 SN的不正确显示[16,21,22]。
在现有的现代医学文献中,没有关于FA、AD 和RA指数在儿童和青少年中的意义的信息,但据报道,成人左右臂丛神经之间的这些指标没有差异[20,21,23]。根据A. Tagliafico等人认为,由于左右上肢的扩散张量核磁共振成像参数在统计学上没有显著差异,因此在评估单侧臂丛病变(如单侧臂丛产伤)时可使用完整肢体的扩散张量核磁共振成像参数[20]。
对照组的FA、MD、AD和RA均无性别差异, 这与其他作者分析无神经系统病变的成人臂丛[22,24]、腰骶丛[25]和周围神经[26]的扩散张量核磁共振成像参数的数据一致。
在现有文献中,我们没有发现有关儿童臂丛扩散张量核磁共振成像参数年龄相关性差异的数据。X. Su等人对55名平均年龄为(40.53±13.5) 岁的志愿者进行了研究,发现年龄与C8束的FA值呈弱负相关(r=-0.25,p=0.011),而C5-C7、 Th1束的这些参数之间没有相关性[23]。根据K. Tanitame及其合著者认为,外周神经的FA值取决于年龄。在一项针对26名23至69岁健康受试者胫神经FA的研究中,作者认为,45岁之前,胫神经FA没有变化,45岁之后,该指数会出现统计学意义上的显著下降[27]。
在我们的研究中,我们没有考虑体重指数的影响,因为所分析的对照组和核心组主要包括没有肥胖迹象的正常虚弱体质的儿童。
对照组SN束C5-C8的FA值与R.G. Wade等人[28]进行的DT-MRI标准值荟萃分析的FA数据一致。 然而,与A. Tagliafico等人[20]和M.J. Ho 等人[21]的数据相比,对照组SN C5-C8束的FA值略低。FA值的这些差异可能是由于核磁共振成像设备和扫描技术的技术特点[29,30],其特点是选择“感兴趣区域”的方式和使用不同的后处理方法[28,31]。
由于扩散张量核磁共振成像参数通常对多个组织特征(如髓鞘化、轴突直径、纤维密度、纤维组织)很敏感,因此外周神经的弥散核磁共振成标记与其结构变化之间的可靠关系仍存在争议[15]。
检测到的FA值变化可以有多种解释[32]。根据文献记载,患有各种成因的炎症性和压迫性神经病患者的周围神经FA值会下降[33-35]。外周神经创伤患者的FA值会下降,但在显微手术恢复神经完整性后,随着时间的推移,该参数几乎恢复到基线水平[36]。本研究没有对产伤患者进行显微手术恢复神经完整性。损伤臂丛一侧的SN束FA降低可能是SN修复不完全的标志。
这篇文章的作者认为,臂丛神经损伤侧的SN FA增加是由于干内神经瘤背景下结缔组织增生导致SN密度的局部增加。Liang Chen等人对28例臂丛神经产伤后遗症患者的脑室内神经瘤进行了组织学研究,结果显示神经瘤的外膜和会厌增生明显,神经瘤中神经纤维的平均再生率为41.83%(38.69%-44.69%)[37]。需要注意的是,DSI STUDIO统计设备显示的是整个神经束的平均FA值。所获得的数据与之前的研究结果并不矛盾,这些研究结果表明,FA值下降与周围神经恢复不足有关[36,38]。
臂丛神经损伤侧基础组与对照组之间血压无统计学意义的变化是由于损伤的时间长短所致。根据I.V. Manzanera Esteve等人的研究,损伤后2周内血压会下降[39]。径向扩散率是髓鞘完整性的生物标志物[40]。受损臂丛一侧的主要组与对照组之间的RA没有统计学意义上的显著变化,这是因为在臂丛神经出生损伤的晚期,通过神经纤维的脉冲传导速度恢复[41],因此,髓鞘的完整性没有受到显着破坏。
只有M. Payen等人分析了形成臂丛的SN束的体积,他们和本文作者都没有发现健康志愿者左右臂丛束的体积在统计学上有显著差异。 根据M. Payen等人和我们的研究,SN C7的束体积最大[42]。
根据我们的研究结果,受伤臂丛一侧肌肉的诱发运动反应幅度与该SN支路的分支量呈正相关,而该肌肉的神经支配源是该SN的分支。这可以用受损神经再生的特殊性来解释。在任何水平的部分神经损伤中,修复都是以牺牲幸存的轴突为代价的。与此同时,后者开始积极生长和分枝, 产生大量纤维,指向失去神经支配的肌纤维或皮肤区域。这种现象是形成代偿-恢复性神经再支配的基础[43]。然而,与远端周围神经相比,臂丛神经干产生的分支明显多于远端周围神经。我们认为,与SN束的FA值相比,评估SN束分支的体积更能可靠地反映SN功能的恢复情况。
感觉纤维再生的实验和临床研究结果表明,与运动纤维相比,感觉纤维的恢复速度较慢, 尤其是在SN明显受损的情况下[41,44,45]。与运动反应振幅分析相比,感觉反应振幅研究是评估臂丛神经产伤晚期恢复期患者轴索损伤严重程度更敏感的方法[41,46]。
SN束FA的增加与来自受伤臂丛一侧特定SN的感觉神经的感觉反应振幅的减小之间存在很强的负相关,这可能表明SN受到了严重损伤。在这一侧,神经瘤的形成和/或纤维化和瘢痕变化引起了FA的增加。
FA信噪比下降与来自受伤臂丛一侧特定SN的感觉神经的感觉反应振幅下降之间存在适度的相关性,这似乎表明其尚未完全恢复。
我们的研究有一些局限性。首先,纳入研究的患者人数较少。不过,为了确定可能存在的年龄和性别差异,我们不仅评估了完整臂丛神经的扩散张量核磁共振成像数据,还评估了无临床症状的儿童和青少年的扩散张量核磁共振成像参数,以及表明臂丛神经损伤的各种病因的异常数据。其次,我们没有将其与臂丛超声等其他成像技术进行关联。第三,由于扩散张量核磁共振成像并非常规技术,而且俄罗斯科学文献中也没有专门针对臂丛扩散张量核磁共振成像的出版物,因此我们没有分析专家之间的一致性。
结论
臂丛的扩散张量核磁共振成像对健康儿童和青少年以及臂丛产伤后遗症患者都具有可重复性。该研究首次提出了出生时臂丛创伤后遗症患儿在恢复后期的电生理研究参数与扩散张量核磁共振成像之间的相关性,这表明有可能评估形成臂丛的SN的结构变化。这项工作的结果可用于进一步研究臂丛扩散张量核磁共振成像在儿童各种病症中的应用。然而,由于扩散张量核磁共振成像是基于数学模型的,不排除对所获数据进行错误解读的可能性,因此在解读时应谨慎。还需要进行更多的研究,探讨将扩散张量核磁共振成像引入常规临床实践的可能性,包括对臂丛神经受到产伤的新生儿进行扩散张量核磁共振成像。
其他信息
资金来源。作者声明,本研究没有任何外部资助。
利益冲突。作者声明,本文的发表不存在明显和潜在的利益冲突。
伦理审查。该研究获得了H. Turner National Medical Research Center for Children’s Orthopedics and Trauma Surgery机构当地伦理委员会的批准,协议编号为 19-3,日期为2019年12月9日。
出版的知情同意书。患者的法律代表自愿同意参与研究并公布数据。
作者的贡献。所有作者都对研究和文章做出了重要贡献,并在发表前阅读和批准了最终版本。
最大贡献分配如下A.M. Khodorovskaya,研究 设计、撰写文章、分析文献资料、重建(后处理)扩散张量磁共振成像数据;A.Yu. Efimtsev,文章 最后编辑;O.E. Agranovich,研究设计,文章编辑;M.V. Savina,V.V. Morozova,神经生理学检查的分析和描述,文献资料的搜索和分析; V.I. Zorin、D.B. Vcherashniy,文章文本的阶段性编辑;A.S. Lukyanov、A.I. Arakelian、A.S. Grishchenkov、Ya.A. Filin,文献资料的搜索和分析; S.A. Braylov,辐射研究的分析和描述、文献搜索和分析。
作者简介
Alina Khodorovskaya
H. Turner National Medical Research Center for Сhildren’s Orthopedics and Trauma Surgery
编辑信件的主要联系方式.
Email: alinamyh@gmail.com
ORCID iD: 0000-0002-2772-6747
SPIN 代码: 3348-8038
俄罗斯联邦, Saint Petersburg
Aleksandr Efimtsev
Almazov National Medical Research Centre
Email: atralf@mail.ru
ORCID iD: 0000-0003-2249-1405
SPIN 代码: 3459-2168
MD, PhD, Dr. Sci. (Med.)
俄罗斯联邦, Saint PetersburgOlga Agronovich
H. Turner National Medical Research Center for Сhildren’s Orthopedics and Trauma Surgery
Email: olga_agranovich@yahoo.com
ORCID iD: 0000-0002-6655-4108
SPIN 代码: 4393-3694
MD, PhD, Dr. Sci. (Med.)
俄罗斯联邦, Saint PetersburgMargarita Savina
H. Turner National Medical Research Center for Сhildren’s Orthopedics and Trauma Surgery
Email: drevma@yandex.ru
ORCID iD: 0000-0001-8225-3885
SPIN 代码: 5710-4790
MD, PhD, Cand. Sci. (Med.)
俄罗斯联邦, Saint PetersburgVyacheslav Zorin
H. Turner National Medical Research Center for Сhildren’s Orthopedics and Trauma Surgery
Email: zoringlu@yandex.ru
ORCID iD: 0000-0002-9712-5509
SPIN 代码: 4651-8232
MD, PhD, Cand. Sci. (Med.), Assistant Professor
俄罗斯联邦, Saint PetersburgSergey Braylov
H. Turner National Medical Research Center for Сhildren’s Orthopedics and Trauma Surgery
Email: sergeybraylov@mail.ru
ORCID iD: 0000-0003-2372-9817
SPIN 代码: 9369-6073
MD
俄罗斯联邦, Saint PetersburgAnastasiia Arakelian
H. Turner National Medical Research Center for Сhildren’s Orthopedics and Trauma Surgery
Email: a_bryanskaya@mail.ru
ORCID iD: 0000-0002-3998-4954
SPIN 代码: 9224-5488
MD, PhD, Cand. Sci. (Med.)
俄罗斯联邦, Saint PetersburgSergey Lukyanov
H. Turner National Medical Research Center for Сhildren’s Orthopedics and Trauma Surgery
Email: Sergey.lukyanov95@yandex.ru
ORCID iD: 0000-0002-8278-7032
SPIN 代码: 3684-5167
MD, PhD, Cand. Sci. (Med.)
俄罗斯联邦, Saint PetersburgAleksandr Grishchenkov
Almazov National Medical Research Centre; Sokolov’ North-Western Regional Scientific and Clinical Center
Email: gasradiology@gmail.ru
ORCID iD: 0000-0003-0910-6904
SPIN 代码: 5654-0112
MD
俄罗斯联邦, Saint Petersburg; Saint PetersburgYana Filin
Almazov National Medical Research Centre
Email: filin_yana@mail.ru
ORCID iD: 0009-0009-0778-6396
MD, resident
俄罗斯联邦, Saint PetersburgDaniil Vcherashniy
Ioffe Physical Technical Institute
Email: dan-v@yandex.ru
ORCID iD: 0000-0003-1658-789X
SPIN 代码: 6139-7842
PhD, Cand. Sci. (Phys.-Math.)
俄罗斯联邦, Saint PetersburgViktoria Morozova
H. Turner National Medical Research Center for Сhildren’s Orthopedics and Trauma Surgery
Email: frostigersieg@gmail.com
ORCID iD: 0009-0007-5961-2641
MD
俄罗斯联邦, Saint Petersburg参考
- Lalka A, Gralla J, Sibbel SE. Brachial plexus birth injury: epidemiology and birth weight impact on risk factors. J Pediatr Orthop. 2020;40(6):e460–e465. doi: 10.1097/BPO.0000000000001447
- Leblebicioğlu G, Pondaag W. Brachial plexus birth injury: advances and controversies. J Hand Surg Eur Vol. 2024;49(6):747–757. doi: 10.1177/17531934241231173
- Ojumah N, Ramdhan RC, Wilson C, et al. Neurological neonatal birth injuries: a literature review. Cureus. 2017;9(12). doi: 10.7759/cureus.1938
- Thatte MR, Hiremath A, Nayak N, et al. Obstetric brachial plexus palsy. Diagnosis and management strategy. J Peripheral Nerve Surg. 2017;1(1):2–9.
- Moulinier C, Bellity L, Saghbiny E, et al. Correlation between histopathological nerve assessment and clinical recovery in brachial plexus birth injuries. J Hand Surg Eur Vol. 2024;49(5):583–590. doi: 10.1177/17531934231200378
- Socolovsky M, Costales JR, Paez MD, et al. Obstetric brachial plexus palsy: reviewing the literature comparing the results of primary versus secondary surgery. Childs Nerv Syst. 2016;32(3):415–425. doi: 10.1007/s00381-015-2971-4
- Pondaag W, Malessy MJA. Evidence that nerve surgery improves functional outcome for obstetric brachial plexus injury. J Hand Surg Eur Vol. 2021;46(3):229–236. doi: 10.1177/1753193420934676
- Agranovich OE, Ikoeva GA, Gabbasova EL, et al. Differential diagnosis of flaccid palsy of the upper extremities in children first months after birth (literature review). Pediatric Traumatology, Orthopaedics and Reconstructive Surgery. 2021;9(1):115–126. EDN: JNYVFW doi: 10.17816/PTORS18645
- Orozco V, Balasubramanian S, Singh A. A systematic review of the electrodiagnostic assessment of neonatal brachial plexus. Neurol Neurobiol (Tallinn). 2020;3(2). doi: 10.31487/j.nnb.2020.02.12
- Woźniak J, Kędzia A, Dudek K. Variability of the trunks and divisions of the brachial plexus in human fetuses. Adv Clin Exp Med. 2013;22(3):309–318.
- Matejčík V, Haviarová Z, Šteňo A, et al. Intraspinal intradural variations of nerve roots. Surg Radiol Anat. 2017;39(12):1385–1395. doi: 10.1007/s00276-017-1903-2
- Gilcrease-Garcia BM, Deshmukh SD, Parsons MS. Anatomy, Imaging, and Pathologic Conditions of the Brachial Plexus. Radiographics. 2020;40(6):1686–1714. doi: 10.1148/rg.2020200012
- Lao Q, Jia Y, Zhao K, et al. Value of high-resolution MRI in the diagnosis of brachial plexus injury in infants and young children. Int J Gen Med. 2022;15:5673–5680. doi: 10.2147/IJGM.S362738
- Mallouhi A, Marik W, Prayer D, et al. 3T MR tomography of the brachial plexus: structural and microstructural evaluation. Eur J Radiol. 2012;81(9):2231–2245. doi: 10.1016/j.ejrad.2011.05.021
- Martín Noguerol T, Barousse R. Update in the evaluation of peripheral nerves by MRI, from morphological to functional neurography. Actualización en la valoración de los nervios periféricos mediante resonancia magnética: de la neurografía morfológica a la funcional. Radiologia (Engl Ed). 2020;62(2):90–101. doi: 10.1016/j.rx.2019.06.005
- Gasparotti R, Lodoli G, Meoded A, et al. Feasibility of diffusion tensor tractography of brachial plexus injuries at 1.5 T. Invest Radiol. 2013;48(2):104–112. doi: 10.1097/rli.0b013e3182775267
- Preston DC, Shapiro BE. Electromyography and neuromuscular disorders: clinical-electrophysiologic-ultrasound correlations. Elsevier Health Sciences; 2020.
- Eppenberger P, Andreisek G, Chhabra A. Magnetic resonance neurography: diffusion tensor imaging and future directions. Neuroimaging Clin N Am. 2014;24(1):245-256. doi: 10.1016/j.nic.2013.03.031
- Takahara T, Hendrikse J, Yamashita T, et al. Diffusion-weighted MR neurography of the brachial plexus: feasibility study. Radiology. 2008;249(2):653–660. doi: 10.1148/radiol.2492071826
- Tagliafico A, Calabrese M, Puntoni M, et al. Brachial plexus MR imaging: accuracy and reproducibility of DTI-derived measurements and fibre tractography at 3.0-T. Eur Radiol. 2011;21(8):1764–1771. doi: 10.1007/s00330-011-2100-z
- Ho MJ, Manoliu A, Kuhn FP, et al. Evaluation of reproducibility of diffusion tensor imaging in the brachial plexus at 3.0 T. Invest Radiol. 2017;52(8):482–487. doi: 10.1097/RLI.0000000000000363
- Oudeman J, Verhamme C, Engbersen MP, et al. Diffusion tensor MRI of the healthy brachial plexus. PLoS One. 2018;13(5). doi: 10.1371/journal.pone.0196975
- Su X, Kong X, Liu D, et al. Multimodal magnetic resonance imaging of peripheral nerves: Establishment and validation of brachial and lumbosacral plexi measurements in 163 healthy subjects. Eur J Radiol. 2019;117:41–48. doi: 10.1016/j.ejrad.2019.05.017
- Wade RG, Whittam A, Teh I, Andersson G, et al. Diffusion tensor imaging of the roots of the brachial plexus: a systematic review and meta-analysis of normative values. Clin Transl Imaging. 2020;8(6):419–431. doi: 10.1007/s40336-020-00393-x
- van der Jagt PK, Dik P, Froeling M, et al. Architectural configuration and microstructural properties of the sacral plexus: a diffusion tensor MRI and fiber tractography study. Neuroimage. 2012;62(3):1792–1799. doi: 10.1016/j.neuroimage.2012.06.001
- Kronlage M, Schwehr V, Schwarz D, et al. Peripheral nerve diffusion tensor imaging (DTI): normal values and demographic determinants in a cohort of 60 healthy individuals. Eur Radiol. 2018;28(5):1801–1808. doi: 10.1007/s00330-017-5134-z
- Tanitame K, Iwakado Y, Akiyama Y, et al. Effect of age on the fractional anisotropy (FA) value of peripheral nerves and clinical significance of the age-corrected FA value for evaluating polyneuropathies. Neuroradiology. 2012;54(8):815–821. doi: 10.1007/s00234-011-0981-9
- Wade RG, Tanner SF, Teh I, et al. Diffusion tensor imaging for diagnosing root avulsions in traumatic adult brachial plexus injuries: a proof-of-concept study. Front Surg. 2020;7:19. doi: 10.3389/fsurg.2020.00019
- Farrell JA, Landman BA, Jones CK, et al. Effects of signal-to-noise ratio on the accuracy and reproducibility of diffusion tensor imaging-derived fractional anisotropy, mean diffusivity, and principal eigenvector measurements at 1.5 T. J Magn Reson Imaging. 2007;26(3):756–767. doi: 10.1002/jmri.21053
- Helmer KG, Chou MC, Preciado RI, et al. Multi-site study of diffusion metric variability: effects of site, vendor, field strength, and echo time on regions-of-interest and histogram-bin analyses. Proc SPIE Int Soc Opt Eng. 2016;9788. doi: 10.1117/12.2217445
- Vos SB, Jones DK, Viergever MA, Leemans A. Partial volume effect as a hidden covariate in DTI analyses. Neuroimage. 2011;55(4):1566–1576. doi: 10.1016/j.neuroimage.2011.01.048
- Johansen-Berg H, Behrens TE, editors. Diffusion MRI: from quantitative measurement to in vivo neuroanatomy. Academic Press; 2013. doi: 10.1016/B978-0-12-374709-9.X0001-6
- Cao J, He B, Wang S, et al. Diffusion tensor imaging of tibial and common peroneal nerves in patients with Guillain-Barre syndrome: a feasibility study. J Magn Reson Imaging. 2019;49(5):1356–1364. doi: 10.1002/jmri.26324
- Cheng H, Lan H, Bao Y, et al Application of magnetic resonance diffusion tensor imaging in diagnosis of lumbosacral nerve root compression. Curr Med Imaging. 2024;20. doi: 10.2174/1573405620666230612122725
- Kakuda T, Fukuda H, Tanitame K, et al. Diffusion tensor imaging of peripheral nerve in patients with chronic inflammatory demyelinating polyradiculoneuropathy: a feasibility study. Neuroradiology. 2011;53(12):955–960. doi: 10.1007/s00234-010-0833-z
- Pridmore MD, Glassman GE, Pollins AC, et al. Initial findings in traumatic peripheral nerve injury and repair with diffusion tensor imaging. Ann Clin Transl Neurol. 2021;8(2):332–347. doi: 10.1002/acn3.51270
- Simon NG, Kliot M. Diffusion weighted MRI and tractography for evaluating peripheral nerve degeneration and regeneration. Neural Regen Res. 2014;9(24):2122–2124. doi: 10.4103/1673-5374.147941
- Chen L, Gao SC, Gu YD, et al. Histopathologic study of the neuroma-in-continuity in obstetric brachial plexus palsy. Plast Reconstr Surg. 2008;121(6):2046–2054. doi: 10.1097/PRS.0b013e3181706e7e
- Manzanera Esteve IV, Farinas AF, Pollins AC, et al. Probabilistic assessment of nerve regeneration with diffusion MRI in rat models of peripheral nerve trauma. Sci Rep. 2019;9(1). doi: 10.1038/s41598-019-56215-2
- Heckel A., Weiler M., Xia A., et al. Peripheral nerve diffusion tensor imaging: assessment of axon and myelin sheath integrity. PLoS One. 2015;10(6). doi: 10.1371/journal.pone.0130833
- Scarfone H, McComas AJ, Pape K, et al. Denervation and reinnervation in congenital brachial palsy. Muscle Nerve. 1999;22(5):600–607. doi: 10.1002/(sici)1097-4598(199905)22:5<600::aid-mus8>3.0.co;2-b
- Payen M, Didier M, Vialle R, et al. MRI of brachial plexus using diffusion tensor imaging: a pilot study for the use of resolve sequence surgical and radiologic anatomy. Surg Radiol Anat. 2023;45(12):1567–1577. doi: 10.1007/s00276-023-03255-z
- Zhivolupov SA, Gnevyshev EN, Rashidov NA, et al. Neuroplastic patterns of functions restoration in case of traumatic neuropathies and plexopathies. Bulletin of the Russian Military Medical Academy. 2015;(1):81–90. EDN: TMXBMH
- Adidharma W, Khouri AN, Lee JC, et al. Sensory nerve regeneration and reinnervation in muscle following peripheral nerve injury. Muscle Nerve. 2022;66(4):384–396. doi: 10.1002/mus.27661
- Brunetti O, Carretta M, Magni F, et al. Role of the interval between axotomy and nerve suture on the success of muscle reinnervation: an experimental study in the rabbit. Exp Neurol. 1985;90(2):308–321. doi: 10.1016/0014-4886(85)90021-4
- Ferrante MA. Brachial plexopathies: classification, causes, and consequences. Muscle Nerve. 2004;30(5):547–568. doi: 10.1002/mus.20131
补充文件













