Prognostic efficiency of diagnostic blockade as a method of modeling the result of selective neurotomy of the motor branches of the median nerve in patients with cerebral palsy
- Authors: Novikov V.А.1, Umnov V.V.1, Zharkov D.S.1, Barlova O.V.1, Mustafaeva A.R.1, Vissarionov S.V.1
-
Affiliations:
- H. Turner National Medical Research Center for Сhildren’s Orthopedics and Trauma Surgery
- Issue: Vol 12, No 2 (2024)
- Pages: 173-183
- Section: Clinical studies
- Submitted: 08.05.2024
- Accepted: 18.06.2024
- Published: 28.06.2024
- URL: https://journals.eco-vector.com/turner/article/view/631798
- DOI: https://doi.org/10.17816/PTORS631798
- ID: 631798
Cite item
Abstract
BACKGROUND: A feature of the disease course in patients with spastic cerebral palsy is a combination of motor neurological disorders with contractures in extremity joints. Neurosurgical methods are currently the main treatment for correcting the pathological tone of the “spastic hand.” However, the decreased tone does not affect secondary (fixed) contractures; therefore, the effectiveness of this type of treatment is extremely dependent on the accurate selection of a certain category of patients. Presumably, diagnostic blockade of the median nerve can create a reversible model for planned neurosurgical treatment. The inclusion of this technique as a standard for examining a patient with spastic cerebral palsy before invasive tone-lowering treatment can radically promote treatment effectiveness.
AIM: This study aimed to assess the prognostic effectiveness of diagnostic blockade as a method of modeling the result of selective neurotomy of the motor branches of the median nerve in patients with cerebral palsy.
MATERIALS AND METHODS: A longitudinal prospective study enrolled 39 children (aged 5–18 years) with spastic cerebral palsy. Before neurosurgical treatment, each patient underwent a diagnostic n. medianus under electrical stimulation and ultrasound control. After a diagnostic blockade, only patients who had a good functional and goniometric response were selected for the study, which served as an indication for selective neurotomy of the median nerve, and orthopedic treatment was performed in children with a negative event. Patients referred for neurotomy underwent a standardized examination before treatment during the diagnostic blockade and after neurosurgical treatment. The examination included the assessment of the amplitude of passive and active movements in the joints of the upper extremities, muscle tone, and functional capabilities of the upper extremities and dynamometry.
RESULTS: In comparison with the initial data, a significant increase in the amplitude of passive and active hand extension, passive and active abduction of the first finger, and upper limb functional capabilities according to the MACS classification and the Miller scale was determined both after the diagnostic blockade and after selective neurotomy of the motor branches of the median nerve.
CONCLUSIONS: Based on the results of the study, the effect of the diagnostic blockade and neurosurgical treatment outcomes are unidirectional, which allows the use of blockade as a method for modeling the possible result in clinically complex cases of spastic hand. The use of diagnostic blockade in clinical practice makes it possible to adequately assess the severity of fixed contractures and reduce the pathological hypertonicity of the target muscles. Diagnostic blockade allows for the collection of sufficient information to make an objective decision about which type of treatment is most preferable for each patient – neurosurgical, orthopedic, or sequential use of both methods.
Full Text
Background
Cerebral palsy (CP) is a common cause of disability in childhood and of the development of upper motor neuron syndrome (spastic syndrome) among patients of various age groups [1]. Muscle spasticity is the most frequently occurring clinical neurological sign of spastic paralysis [2]. Upper motor neuron syndrome includes impaired voluntary movements, increased reflex response, and pathological reflexes [3], which, in presence of spasticity, leads to limited functional capabilities of the limb. In patients with spastic CP, motor neurological disorders are combined with contractures in the joints of the limbs [4]. In the lower extremities, the involvement of the upper extremity in the pathological process of the disease has characteristic patterns. The latter are most often formed due to predominance of the action of the flexor and adductor muscles. In a spastic arm, this pattern can be characterized as a position of internal rotation and adduction at the shoulder joint, flexion at the elbow, internal rotation (pronation) of the forearm, and flexion of the hand and fingers.
In neuro-orthopedics, contractures are classified into tonic (primary) and fixed (secondary). Tonic contractures are caused by muscle spasticity and fixed contractures by persistent retraction of the muscle, joint capsule, or already developed bone deformities [5, 6].
Currently, the main surgical technique for correcting the pathological tone of the “spastic hand” is the neurosurgical method [7–9]. It includes selective dorsal rhizotomy on the roots of the cervical spinal cord and selective neurotomy of the motor branches of the peripheral nerves of the upper limb., Despite its effectiveness, cervical rhizotomy is not widely used owing to the technical complexity of the surgical intervention, high risk of orthopedic complications, and inability to predict accurately the outcome of surgical intervention.
A study reported the positive effect of lumbar selective rhizotomy, which is currently used to correct the pathological tone of the lower extremities, on the condition of the upper extremities [10]. The reduction in upper limb spasticity and improvement in upper limb muscle function after selective L1–S2 dorsal rhizotomy may be due to the following:
- Somatosensory reorganization of the cortex with a predominance of the area of the upper extremities over the area of the lower extremities
- Reduction of abnormal electrical transmission throughout the spinal cord
- The indirect result of improved support of the body and upper extremity girdle due to improved posture, trunk stability, and improved condition of the lower extremities
- An indirect consequence of intensification of physical therapy in the postoperative period
- The effect of growing up
However, to date, these theories are not fully substantiated from a scientific standpoint. This considered, despite the significant positive effect on the “spastic hand,” this method cannot be considered as the main treatment modality.
Partial neurectomy with a tone-lowering objective was first expressed by Stoffel et al. in 1913 [11]. The next notable evolutionary link of this method was “hyponeurotization” proposed by Brunelli et al. in 1982 [12]. Selective neurotomy involves partial transection of one or more motor collaterals of the nerves innervating the target muscles with increased spasticity. It results in motor paresis proportional to the number of axons transected while maintaining active control over the target muscle. The technique has been proven effective for correcting tonic adductor contractures in the hip joints and flexion contractures in the elbow joints. This is because of a simple system of innervation of the muscles causing the formation of these contractures.
Leclercq proposed tone-lowering intervention not on the nerve trunk, but directly on the branches entering the muscle (rami musculares) [13]. This approach enables reduced risk of error in choosing the target muscle, which is crucial when performing selective neurotomy of the median nerve, when there are relatively a number of muscles innervated by the nerve, and to objectify maximally the degree of decrease in muscle tone [8].
Most often, the question of surgical treatment arises in patients who have exhausted the possibilities of conservative treatment and have mixed contractures in the clinical presentation of a “spastic hand.” In such situations, the complexity of treatment planning is due to difficulties at the stage of determining the main factor limiting the upper limb function, namely, impaired muscle tone or already developed secondary contractures. The final treatment outcome directly depends on the ability to identify the main pathogenetic factor that affects limb function.
In this situation, diagnostic peripheral nerve block can significantly increase the reliability of determining the cause that limits the function of the upper limb, by creating a temporary reversible model of selective neurotomy. A previous study of the diagnostic blockade of the motor branches of the musculocutaneous nerve proved its effectiveness as a method for predicting selective neurotomy [14]. However, owing to its anatomical structure and the small number of muscles it innervates, the musculocutaneous nerve is a rather “simple” target for diagnostic blockade and subsequent selective neurotomy. Moreover, the anatomical features and functional characteristics of the median nerve—surgical intervention on which is performed as part of the treatment of a “spastic hand”—are more complex, and the result is less predictable.
The work aimed to evaluate the prognostic effectiveness of diagnostic blockade of the motor branches of the median nerve in patients with CP by modeling the results of selective neurotomy.
Materials and methods
This longitudinal prospective study included 39 patients (aged 5–18 years) with spastic forms of CP who were treated at the H.I. Turner National Medical Research Center for Сhildren’s Orthopedics and Trauma Surgery of the Ministry of Health of Russia between 2014 and 2024. The patients underwent diagnostic blockade of the median nerve under electrical stimulation and ultrasound control. A CX50 ultrasound scanner (Philips, Netherlands) was used for verification, as well as linear sensor L12-3 (3–12 MHz, 35 mm), Stimuplex HNS 12 neurostimulator (BBraun, Germany), and 50 mm Stimuplex A 22G needles (BBraun). N. medianus block was performed with a 0.5% solution of ropivacaine at the level of the elbow joint.
The results of the block were compared with the patient’s initial indicators. If against the n. medianus block, the amplitude of active movements of the hand and indicators of functional tests increased in the child; the effect of the block was regarded as positive. This effect was observed in patients with hand dysfunction caused primarily by muscle spasticity rather than secondary fixed contractures. A positive result of diagnostic n. medianus block may be an indication for neurosurgical treatment. When this effect of the block was not noted, the result was regarded as negative. Patients with a negative result of the diagnostic blockade required orthopedic–surgical treatment and were excluded in the further stage of the study.
Neurosurgical treatment was performed on 27 children aged 6–17 years (average age: 12.1 years). Before surgical treatment, these children had spasticity of the flexor muscles of the hand and fingers on the classical Ashworth scale of 3–5 points. The lesion was bilateral in 14 patients and unilateral in 13 patients. The patients with bilateral lesions underwent evaluation and neurosurgical treatment of the limb with clinically more severe condition.
All patients underwent selective neurotomy of the motor branches of the median nerve as tone-lowering neurosurgical treatment (27 surgeries).
The technique of neurosurgical treatment was as follows. From a linear incision approximately 10 cm long, the fascia of the forearm was dissected between the m. flexor carpi radialis and m. pronator teres from the ulnar fossa to the middle third of the forearm. In the intermuscular space, the nerve between the heads of the pronator teres was exposed by bluntly pushing the tissue apart. The n. medianus is mixed, and to prevent autonomic and sensory disorders, its motor branches should be identified. This is performed using the motor response obtained after electrical stimulation from the innervated muscles. Thus, the proximal motor branches of the nerve induce a motor response from the m. pronator teres and m. flexor carpi radialis. The next two branches innervate the palmaris longus, the flexor digitorum superficialis. The branches passing to the flexor digitorum profundus and long flexor of the first digit are more distal. Resection of the nerve motor branches was performed until a weakly positive response to electrical stimulation was obtained, which accounts for 60%–70% of the branch. This resection volume can significantly reduce the muscle tone of the innervated muscles. The remaining motor branches passing to the thenar muscles and pronator quadratus are not accessible from this approach, because they are located in the distal part of the forearm.
During the study, patients were examined three times: before and after a diagnostic blockade and after neurosurgical intervention. The treatment outcomes were analyzed 10 days after selective neurotomy. Primary standardized rehabilitation was started on day 3 after surgical treatment.
The examination scheme included the following:
- Orthopedic examination, which included angulometry of the joints of the upper extremities; during the examination, active and passive movements in the elbow (including pronation and supination), hand, and first metacarpophalangeal joints were measured; full extension at the elbow joint and full adduction at the metacarpophalangeal joints were taken as 0°; the zero-pass method assessed forearm rotation and hand flexion.
- A neurological examination involved assessing the muscle tone of the forearm flexors, forearm pronators, and hand flexors using the classic Ashworth scale.
- Methods for assessing motor functions of the upper limb included functional classifications MACS, House, and Miller and Enjalbert test, Block and Box Test (BBT), grip test, grip strength, and grip strength of finger 1.
The MACS [15] and Miller [2] classifications are often used in clinical practice and scientific work. The Miller scale is more suitable for our study, because it mainly characterizes the functions of the hand; however, the MACS classification was also used considering its bimanual approach.
The House classification enables to assess the condition of finger 1, on which the ability to grasp objects and, consequently, the function of the entire upper limb directly depend [16].
When performing the “hand–knee” test, the child’s ability to move his palm independently from his head to the knee opposite to the arm being tested was assessed (Leclercq S., 2003).
Furthermore, the grip test is used to assess the quality of the grasp of an object held out to a child (Memberg W.D., 1997).
When performing the Enjalbert test, the patient’s ability to grasp an object brought at a distance of 40 cm followed by transferring it from hand to hand is analyzed (Enjalbert M., 1988).
All listed tests are based on a 5-point rating scale.
BBT is a popular method for assessing the function of the entire upper extremity, with an emphasis on its distal parts. It was originally proposed in 1957 by Hyres and Buhler and modified by Fuchs and Buhler in 1976 and Mathiowetz in 1985. For the classical use of this test, a box is used, which is partitioned into two compartments, one of which contains cubes with a 2.5 cm side. The number of cubes that the patient can transfer from one compartment to another in 1 minute is counted. The cubes that are moved behind the partition, or conventional line, and those that fall out of the hand are counted. Before the test, the patient has 15 minutes to prepare. The cubes are transferred from the side of the tested limb to the contralateral side.
The grip and flexion strengths of finger 1 were determined using two dynamometers, namely, Baseline 12-0290 Dynamometer, Pneumatic Squeeze Bulb, 30 PSI Capacity (USA) (Fig. 1a) to assess grip strength and Baseline 12-0226 Pinch Gauge, Hydraulic, LiTe, 50 lb Capacity (USA) (Fig. 1b) for the pinch test.
Fig. 1. Methods for assessing grip strength and pinch grip of the hand: (a) pneumatic dynamometer Baseline 12-0290 Dynamometer, Pneumatic Squeeze Bulb, 30 PSI Capacity (USA); (b) hydraulic pressure gauge Baseline 12-0226 Pinch Gauge, Hydraulic, LiTe, 50 lb Capacity (USA)
The scientific literature does not provide normal values for BBT and hand dynamometry for pediatric patients. Thus, comparisons with the norm were not performed, and the indicators obtained were analyzed only to assess the patient’s condition over time.
Statistical analysis
Statistical analysis was conducted using the SPSS Statistic v23.0 program (IBM, USA) and data visualization with the GraphPad Prism 8 (v8.4.3) program (GraphPad Software, USA). Descriptive statistics methods were used to determine the mean and standard deviation. For quantitative data, the normality of distribution was evaluated with the Kolmogorov–Smirnov and Shapiro–Wilk tests and graphical visualization of Q-Q plots. Quantitative data were compared using the Friedman test for three or more dependent samples and the normal scores using the one-sample Wilcoxon test. The probability level of error of first kind <5% (p < 0.05) was considered statistically significant.
Results
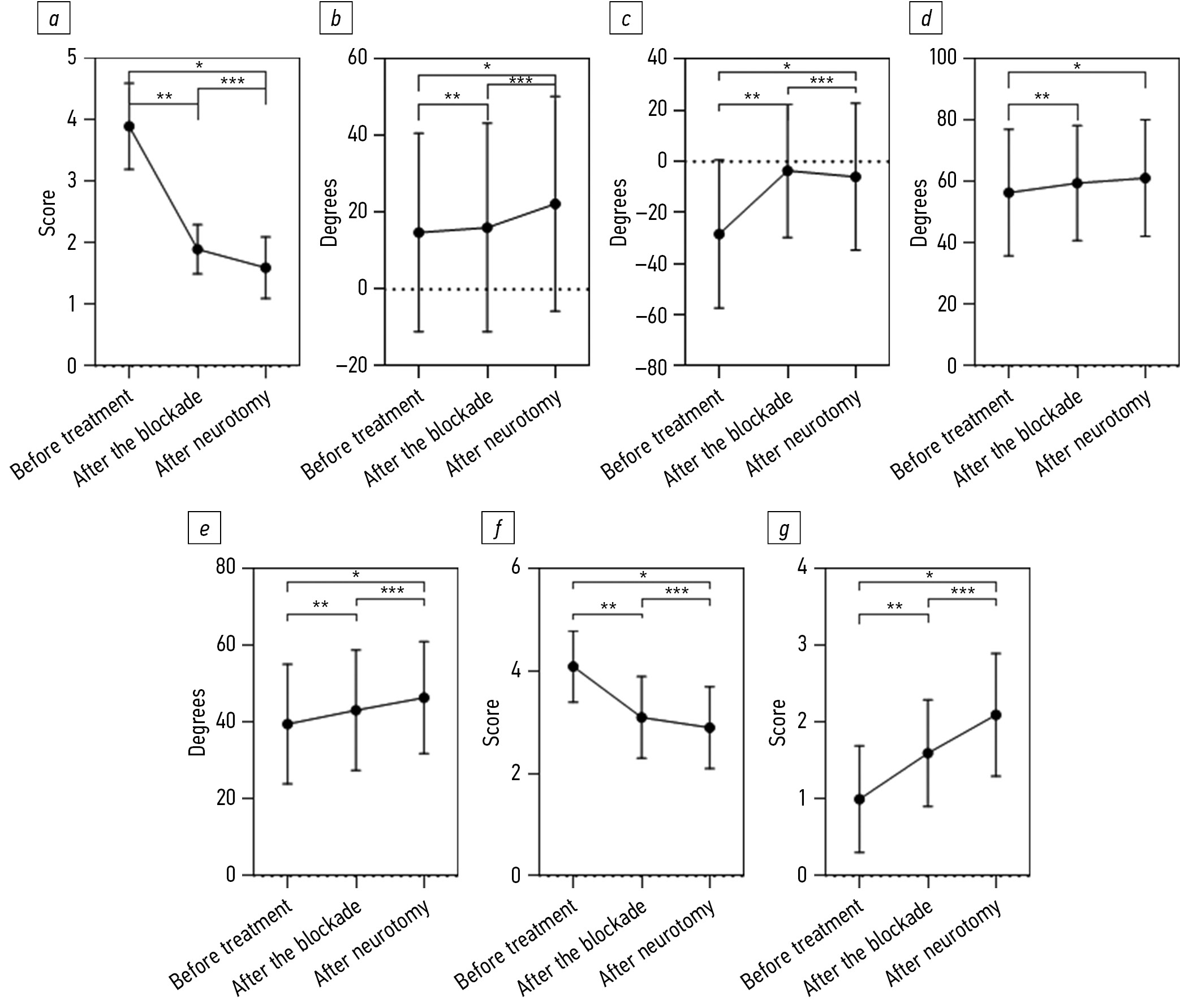
Table and in Fig. 2 present the study results.
Table. Comparison of indicators of the range of motion of the hand and finger 1, spasticity of the flexors of the hand according to the Ashworth, MACS, and Miller scales after blockade and after neurosurgical treatment
Parameter | Before diagnostic blockade | After diagnostic blockade | ∆1 | After neurosurgical treatment | ∆2 | ∆3 | |
Hand extension (°, M ± SD, minimum – maximum value) | Passive | 14.8 ± 25.9 (–30–60) | 16.1 ± 27.2 (–30–65) | 1.3a | 22.3 ± 28 (–20–65) | 7.5b | 6.2c |
Active | –28.4 ± 29 (–75–15) | –3.6 ± 26.1 (–50–45) | 24.8a | –5.9 ± 28.7 (–50–50) | 23b | –1.8c | |
Abduction of finger 1 (°, M ± SD, minimum – maximum value) | Passive | 56.5 ± 20.6 (20–90) | 59.6 ± 18.8 (20–90) | 3.1a | 61.3 ± 19 (25–90) | 4.8b | 1.7c |
Active | 39.6 ± 15.6 (10–80) | 43.2 ± 15.7 (20–80) | 3.6a | 46.5 ± 14.6 (20–80) | 6.9b | 3.3c | |
Spasticity of the hand flexors (score, M ± SD, minimum – maximum value) | 3.9 ± 0.7 (3–5) | 1.9 ± 0.4 (1–3) | –2a | 1.6 ± 0.5 (1–3) | –2.3b | –0.3c | |
MACS (score, M ± SD, minimum – maximum value) | 4.1 ± 0.7 (3–5) | 3.1 ± 0.8 (2–5) | –1a | 2.9 ± 0.8 (2–4) | –1.2b | –0.2c | |
Miller (score, M ± SD, minimum – maximum value) | 1 ± 0.7 (0–2) | 1.6 ± 0.7 (0–3) | 0.6a | 2.1 ± 0.7 (1–3) | 1.1b | 0.5c | |
Note: ∆1, difference in average values between the indicator after the diagnostic blockade and the initial data; ∆2, difference in mean values between the indicator after selective neurotomy of the median nerve and the initial data; ∆3, difference in average values between the indicator after selective neurotomy of the median nerve and after diagnostic blockade; a, b, c — p < 0.05 according to the Wilcoxon test.
Fig. 2. Dynamics of changes in general parameters that have significant differences after performing a diagnostic blockade and selective neurotomy of the median nerve compared to the initial data: (a) spasticity of hand flexion; (b) passive extension of the hand; (c) active extension of the hand; (d) passive abduction of finger 1; (e) active abduction of finger 1; (e) MACS; (f) Miller. *, **, *** — p < 0.05
Indicators of the amplitude of active and passive extension of the hand and active abduction of finger 1 during diagnostic blockade demonstrated significant but minimal and functionally unimportant dynamics, which could be associated with measurement error. Addition, a significant (p < 0.001) improvement was noted in functional indicators of the upper limb, according to the MACS (by 1 point) and Miller (by 0.6 points) classifications. However, after a diagnostic blockade, no significant changes were found (p > 0.05) in the angulometric indicators of passive and active flexion and extension of the elbow joint, passive and active supination and pronation of the forearm, spasticity of the forearm flexors, and dynamics of indicators of the functional capabilities of the upper limb according to the House classification, combined with the Enjalbert test, BBT, “grip test,” compression strength of finger 1, and grip strength test.
After selective neurotomy of the median nerve, a significant (p < 0.001) increase was detected in the amplitude of movement when determining passive (+7.5°) and active (+22.5°) hand extension and an increase in passive (+4.8°) and active (+ 6.9°) abduction of finger 1, increased active supination of the forearm (+11.7°), passive extension in the elbow joint (+2.9°), and decreased spasticity of the hand flexors. Moreover, the functional capabilities of the upper limb after neurosurgical treatment had significant (p < 0.001) positive dynamics according to the MACS functional classification (by 1.2 points), Miller scale (by 1.1 points), Enjalbert test (by 1 point), BBT (by 2.6 cubes), and “grip test” (by 0.7 points), and an increase in grip strength was noted (by 5.9 kg). After selective neurotomy of the median nerve, no significant changes (p > 0.05) were observed in the indicators of active and passive flexion of the elbow joint, active extension of the elbow joint, passive supination of the forearm, active and passive pronation of the forearm, spasticity of the forearm flexors, dynamics of indicators when assessing the functional capabilities of the upper limb according to House classification, and compression strength of finger 1.
Notably, the general parameters are characterized by significant changes compared to the initial data when performing diagnostic blockade and selective neurotomy of n. medianus, namely, passive and active extension of the hand, passive and active abduction of finger 1, decreased spasticity of the hand flexors, and functional classification according to the MACS and Miller scale.
Furthermore, the indicators of passive extension of the hand and passive and active abduction of finger 1 after selective neurotomy were greater compared to those after diagnostic blockade, and the indicators on the functional classifications MACS and Miller improved. Additionally, the indicators of active extension of the hand and level of spasticity of the hand flexors after selective neurotomy were lower than those following diagnostic blockade. These parameters were significantly different from the indicators (p < 0.05) after neurotomy compared to after diagnostic blockade, except the indicators of passive abduction of finger 1 (p > 0.05) (Fig. 2).
During diagnostic blockade and selective neurotomy, no significant changes were found (p > 0.05) in the passive and active flexion in the elbow joint, active extension in the elbow joint, spasticity of the forearm flexors, spasticity of the forearm pronators, passive and active pronation of the forearm, passive supination of the forearm, functionality according to the House classification, and grip strength.
Discussion
Analysis of the study results showed a significant increase in the amplitude of movement of passive and active extension of the hand, passive and active abduction of finger 1, and functional capabilities of the upper limb according to the MACS classification and Miller scale both after diagnostic blockade and after selective neurotomy of the motor branches of the median nerve in comparison with the initial data. Significant differences between the above-described parameters when performing selective neurotomy and the results after a diagnostic blockade can be explained by a natural error of the study and the fact that against a diagnostic blockade, a decrease in tone is close in its effect to motor non-selective neurotomy of the median nerve and, in addition to positive effect, it significantly makes it difficult (or impossible) to bend the fingers, which negatively affects the results of functional tests. Additionally, a positive effect on the test scores of the intensive rehabilitation treatment that patients received in the postoperative period cannot be excluded. For the same reasons, the indicators of passive extension in the elbow joint, active supination of the forearm, Enjalbert test, BBT, grip test, and grip strength after selective neurotomy significantly improved compared to the initial values, in contrast to the results of the diagnostic blockade.
Notably, analysis of the results according to the House classification did not show significant changes (p > 0.05) after blockade and neurotomy. This functional classification is based on assessing the condition of finger 1; thus, it can be assumed that after neurotomy of the median nerve motor branches, the function of the upper limb improves because of optimization of extension of the hand and fingers II–V, and not because of an increase in the abduction of finger 1. This confirms the absence of any dynamics when assessing the grip strength of finger 1 after blockade and neurotomy (p > 0.05).
Thus, based on the study results, the effect of the diagnostic blockade and result of neurosurgical treatment are unidirectional, indicating that blockade can be used for modeling the possible result in clinically complicated cases of “spastic hand”.
Moreover, the absence of significant changes in the amplitudes of passive and active flexion in the elbow joint, active extension in the elbow joint, spasticity of the forearm flexors, spasticity of the forearm pronators, passive and active pronation of the forearm, and passive supination of the forearm demonstrates the selectivity of the technique both in diagnostic blockade and neurotomy.
Despite the proven efficiency of this method for treating spastic hand, such as selective neurotomy of the median nerve, it is not often mentioned in the literature [8, 17–20] and is less commonly used in clinical practice.
In a literature review focused on the methods and results of neurosurgical treatment of CP [21], Dekopov revealed that selective neurotomy is most effective in correcting the tone of the lower extremities; in this case, a decrease in pathological muscle tone was noted in 80%–95% of cases. The best results are noted in patients with isolated equinus and equinovarus foot after selective neurotomy of the motor branches of the tibial nerve. The outcomes of selective neurotomy during surgeries on the upper limbs in patients with spastic tetraparesis and hemiparesis are worse. For example, median nerve neurotomy can improve the upper limb function only in patients with arm spasticity if they have sufficient extensor and supinator muscle strength (at least 3 points). Considering the above, neurotomy on the upper extremities is functionally ineffective in most cases and only leads to easier care for patients.
Hence, the unsatisfactory results of the neurosurgical treatment of CP patients with pathology of the upper extremities may be due to the incorrect and inappropriate selection of patients for selective neurotomy of the median nerve without a preliminary diagnostic blockade. A surgery with a negative diagnostic blockade result will clearly be ineffective. The possible result of neurotomy could not be predicted, especially in cases of a “complex” nerve in terms of the number of innervated muscles, such as the median nerve. Additionally, it is often impossible to adequately assess the strength of the extensors of the hand and fingers in the target group of patients, as this has to be done in case of flexion contracture of the hand and pronounced hypertonicity of the antagonist muscles.
In articles on isolated neurosurgical treatment, diagnostic blockade was not mentioned as a method of modeling the possible outcome of surgical treatment. Blocks were mentioned in studies on orthopedic treatment and in those describing an integrated approach to the treatment of “spastic hand” [2, 22, 23]. In these studies, diagnostic blockade was recommended for differentiating primary and secondary contractures in the joints of the hand and as an option for assessing the prospects for treatment of the upper limb. Noting the importance of spasticity in the pathogenesis of this type of patient, the authors did not continue the logical chain “diagnostic blockade–positive effect–tone-lowering treatment.” This phenomenon can only be explained by the lack of a comprehensive neuro-orthopedic approach to the treatment of CP patients, when specialists, including an orthopedist and a neurosurgeon, do not interact with each other.
Conclusion
The study confirmed the unidirectionality of the results of diagnostic blockade of the median nerve and selective neurotomy of the motor branches of this nerve, indicating the possibility of using the blockade as a reversible model of neurosurgical treatment. The use of diagnostic blockade in clinical practice enables the assessment of the severity of fixed contractures and effect of pathological hypertonicity of target muscles on the functional capabilities of the limb and an informed decision about the surgical treatment option optimal for the patient (neurosurgical, orthopedic, or the sequential use of both techniques).
Additional information
Funding source. The study had no external funding.
Competing interests. The authors declare that they have no competing interests.
Ethics approval. The protocol for examination and treatment of children was approved by the local ethical committee of the H.I. Turner National Medical Research Center for Сhildren’s Orthopedics and Trauma Surgery of the Ministry of Health of Russia (protocol No. 24-2 of May 7, 2024).
Consent for publication. Patients or their representatives consented to treatment and processing and publication of personal data and photographic materials.
Author contributions. All authors made significant contributions to the study and preparation of the article and read and approved the final version before its publication.
The largest contribution is distributed as follows: V.A. Novikov developed the study design, wrote all sections of the article, collected the data, and reviewed the literature; S.V. Vissarionov, V.V. Umnov performed staged and final editing of the article text; D.S. Zharkov collected the data, performed statistical analysis of the data, took part in writing the “Results” section of the article; A.R. Mustafaeva searched and reviewed the literature data; O.V. Barlova collected and analyzed the data of neurological examination of patients.
About the authors
Vladimir А. Novikov
H. Turner National Medical Research Center for Сhildren’s Orthopedics and Trauma Surgery
Author for correspondence.
Email: novikov.turner@gmail.com
ORCID iD: 0000-0002-3754-4090
SPIN-code: 2773-1027
MD, PhD, Cand. Sci. (Med.)
Russian Federation, Saint PetersburgValery V. Umnov
H. Turner National Medical Research Center for Сhildren’s Orthopedics and Trauma Surgery
Email: umnovvv@gmail.com
ORCID iD: 0000-0002-5721-8575
SPIN-code: 6824-5853
MD, PhD, Dr. Sci. (Med.)
Russian Federation, Saint PetersburgDmitriy S. Zharkov
H. Turner National Medical Research Center for Сhildren’s Orthopedics and Trauma Surgery
Email: striker5621@gmail.com
ORCID iD: 0000-0002-8027-1593
MD
Russian Federation, Saint PetersburgOlga V. Barlova
H. Turner National Medical Research Center for Сhildren’s Orthopedics and Trauma Surgery
Email: barlovaolga@gmail.com
ORCID iD: 0000-0002-0184-135X
MD, PhD, Cand. Sci. (Med.)
Russian Federation, Saint PetersburgAlina R. Mustafaeva
H. Turner National Medical Research Center for Сhildren’s Orthopedics and Trauma Surgery
Email: alina.mys23@yandex.ru
ORCID iD: 0009-0003-4108-7317
MD, PhD student
Russian Federation, Saint PetersburgSergei V. Vissarionov
H. Turner National Medical Research Center for Сhildren’s Orthopedics and Trauma Surgery
Email: vissarionovs@gmail.com
ORCID iD: 0000-0003-4235-5048
SPIN-code: 7125-4930
MD, PhD, Dr. Sci. (Med.), Professor, Corresponding Member of RAS
Russian Federation, Saint PetersburgReferences
- Hurvitz EA, Peterson M, Fowler E. Muscle tone, strength and movement disorders. In: Dan B, Mayston M, Paneth N, et al, editors. Cerebral palsy: science and clinical practice. London: Mac Keith Press; 2014. P. 381–406.
- Miller F, Bachrach S, Lennon N, et al., editors. Cerebral Palsy. 2nd ed. Springer; 2020.
- Balakrishnan S, Ward AB. The diagnosis and management of adults with spasticity. Handb Clin Neurol. 2013;110:145–160. doi: 10.1016/B978-0-444-52901-5.00013-7
- Graham HK, Rosenbaum P, Paneth N, et al. Cerebral palsy. Nat Rev Dis Primers. 2016;2. doi: 10.1038/nrdp.2015.82
- Keenan MA, Todderud EP, Henderson R, et al. Management of intrinsic spasticity in the hand with phenol injection or neurectomy of the motor branch of the ulnar nerve. J Hand Surg Am. 1987;12(5):734–739. doi: 10.1016/s0363-5023(87)80059-x
- Novikov VA. Complex treatment of patients with cerebral palsy with damage to the upper limb [dissertation abstract]. Saint Petersburg; 2018. (In Russ.) EDN: CEIYLX
- Umnov VV, Snishhuk VP. Cervical dorsal selective rhizotomy: the potentialities and limitations in case of its application for treatment of spastic paresis of upper extremities in children. Nejrohirurgija. 2009;(1):45–48. (In Russ). EDN: KGBPMZ
- Leclercq C. Selective neurectomy for the spastic upper extremity. Hand Clin. 2018;34(4):537–545. doi: 10.1016/j.hcl.2018.06.010.
- Dekopov AV, Shabalov VA,Tomskii AA, et al. Microsurgical selective neurotomy in treatment of the focal spastic syndromes of the different etiology. Burdenko’s Journal of Neurosurgery. 2013;77(2):65–72. EDN: QBSNIX
- Merckx L, Poncelet F, De Houwer H, et al. Upper-extremity spasticity and functionality after selective dorsal rhizotomy for cerebral palsy: a systematic review. J Neurosurg Pediatr. 2023;32(6):673–685. doi: 10.3171/2023.7.PEDS22526
- Stoffel A. Treatment of spastic contractures. Am J Orthop Surg. 1913;2-10(4):611–614.
- Brunelli G, Brunelli F. Partial selective denervation in spastic palsies (hyponeurotization). Microsurgery. 1983;4(4):221–224. doi: 10.1002/micr.1920040404
- Leclercq C, Gras M. Hyperselective neurectomy in the treatment of the spastic upper limb. Phys Med Rehabil Int. 2016;3(1):1075.
- Novikov VA, Umnov VV, Zharkov DS, et al. Prognostic efficiency of diagnostic blockade as a method of modeling the result of selective neurotomy of the motor branches of the musculocutaneous nerve in patients with cerebral palsy. Pediatric Traumatology, Orthopaedics and Reconstructive Surgery. 2023;11(3):327–336. EDN: WXJDLT doi: 10.17816/PTORS465738
- Eliasson AC, Krumlinde-Sundholm L, Rösblad B, et al. The Manual Ability Classification System (MACS) for children with cerebral palsy: scale development and evidence of validity and reliability. Dev Med Child Neurol. 2006;48(7):549–554. doi: 10.1017/S0012162206001162
- House JH, Gwathmey FW, Fidler MO. A dynamic approach to the thumb-in palm deformity in cerebral palsy. J Bone Joint Surg Am. 1981;63(2):216–225.
- Leclercq C, Perruisseau-Carrier A, Gras M, et al. Hyperselective neurectomy for the treatment of upper limb spasticity in adults and children: a prospective study. J Hand Surg (Eur Vol). 2021;46(7):708–716. doi: 10.1177/17531934211027499
- Yu A, Shen Y, Qiu Y, et al. Hyperselective neurectomy in the treatment of elbow and wrist spasticity: an anatomical study and incision design. Br J Neurosurg. 2024;38(2):225–230. doi: 10.1080/02688697.2020.1823939
- Thomas SP, Addison AP, Curry DJ. Surgical tone reduction in cerebral palsy. Phys Med Rehabil Clin N Am. 2020;31(1):91–105. doi: 10.1016/j.pmr.2019.09.008
- Hurth H, Morgalla M, Heinzel J, et al. Chirurgische Verfahren zur Therapie von Spastik [Surgical procedures for treatment of spasticity]. Nervenarzt. 2023;94(12):1116–1122. doi: 10.1007/s00115-023-01568-3
- Dekopov AV, Tomsky AA, Isagulyan ED. Methods and results of neurosurgical treatment of cerebral palsy. Burdenko’s Journal of Neurosurgery. 2023;87(3):106–112. EDN: AQRXWX doi: 10.17116/neiro202387031106
- Rhee PC. Surgical management of the spastic forearm, wrist, and hand: evidence-based treatment recommendations: a critical analysis review. JBJS Rev. 2019;7(7):e5. doi: 10.2106/JBJS.RVW.18.00172
- Enslin JMN, Fieggen AG. Surgical management of spasticity. S Afr Med J. 2016;106(8):753–756. doi: 10.7196/SAMJ.2016.v106i8.11225
Supplementary files






