Клинико-лабораторные и инструментальные предикторы эффективности противовоспалительной терапии при COVID-19
- Авторы: Сухомлинова И.М.1,2, Бакулин И.Г.1, Кабанов М.Ю.1,2
-
Учреждения:
- Северо-Западный государственный медицинский университет им. И.И. Мечникова
- Госпиталь для ветеранов войн
- Выпуск: Том 14, № 3 (2022)
- Страницы: 53-60
- Раздел: Оригинальные исследования
- Статья получена: 07.08.2022
- Статья одобрена: 23.08.2022
- Статья опубликована: 16.11.2022
- URL: https://journals.eco-vector.com/vszgmu/article/view/109536
- DOI: https://doi.org/10.17816/mechnikov109536
- ID: 109536
Цитировать
Полный текст
Аннотация
Обоснование. Противовоспалительная терапия является ведущим методом патогенетического лечения пациентов со среднетяжелой и тяжелой формами COVID-19. Используемые лекарственные препараты, в частности, дексаметазон, олокизумаб, тоцилизумаб и барицитиниб, до сих пор назначают фактически в режиме off-label. Безусловно, их применение обосновано российскими и международными клиническими рекомендациями, практическим опытом и мнениями экспертов, тем не менее основополагающим в определении препарата для противовоспалительной терапии является мнение лечащего врача, основанное на оценке соотношения риск/польза для каждого пациента. Определение клинико-лабораторных предикторов эффективности противовоспалительной терапии при среднетяжелой и тяжелой формах COVID-19 поможет врачу выявить риск развития неблагоприятного исхода лечения и выбрать оптимальный препарат.
Цель исследования — сравнить эффективность упреждающей противовоспалительной терапии антицитокиновыми препаратами (тоцилизумабом, олокизумабом, барицитинибом и дексаметазоном) у пациентов со среднетяжелым и тяжелым течением COVID-19 для выявления клинико-лабораторных и инструментальных предикторов исхода лечения.
Материалы и методы. Выполнен ретроспективный анализ 229 случаев лечения тяжелого и среднетяжелого течений COVID-19 с необходимостью использования различных вариантов противовоспалительной терапии на базе Госпиталя ветеранов войн, в том числе на площадке «Ленэкспо».
Результаты. В ходе исследования определены основные (достоверно влияющие на исход) и дополнительные (значимые) предикторы эффективности противовоспалительной терапии больных среднетяжелой и тяжелой формами COVID-19. К основным предикторам отнесены уровень кислородной поддержки, срок от начала клинических проявлений, а также уровни С-реактивного белка и Д-димера. В дополнительные, но значимые предикторы включены объем повреждения легочной ткани (по данным компьютерной томографии), наличие и степень компенсации сопутствующей патологии, наличие терапии сопутствующей патологии, а также уровни лейкоцитов и нейтрофилов (по данным клинического анализа крови).
Выводы. Наличие дополнительной кислородной поддержки является ведущим предиктором эффективности противовоспалительного лечения. Ее назначение в наиболее ранние сроки при наличии показаний позволяет существенно увеличить шансы благоприятного исхода COVID-19 среднетяжелой или тяжелой степени. Важными прогностическими маркерами являются также уровни С-реактивного белка и Д-димера. Наличие в анамнезе сопутствующих заболеваний, а также объем повреждения легких, по данным компьютерной томографии, признаны значимыми факторами, но должны быть сопоставлены с другими клинико-лабораторными данными и объективным статусом пациента для прогнозирования исхода противовоспалительной терапии.
Полный текст
ОБОСНОВАНИЕ
Изучению предикторов неблагоприятного исхода COVID-19 до сих пор уделено повышенное внимание мирового научного сообщества на фоне пандемии. Опубликованные ранее данные доказывают влияние на развитие более тяжелых форм COVID-19 таких факторов, как возраст старше 65 лет, мужской пол, наличие сопутствующей патологии, а также варианты лечения сопутствующих и основного заболеваний. Продолжается изучение эффективности как этиотропной терапии, так и различных вариантов патогенетического лечения.
Выявленные к настоящему времени клинико-лабораторные предикторы прогрессирования COVID-19 позволяют определить группы пациентов, подлежащих более тщательному наблюдению из-за высокого риска летального исхода заболевания и назначить упреждающее патогенетическое лечение.
Противовоспалительная терапия (ПВТ) является одним из ведущих методов патогенетической терапии, направленных на купирование развития жизнеугрожающих осложнений. В мировой литературе на сегодняшний день отсутствуют данные о предикторах эффективности ПВТ. Опубликованные ранее авторами настоящего исследования данные о возможности прогноза наступления риска летального исхода при среднетяжелых и тяжелых формах COVID-19 [1] являются первой результативной работой в данном направлении.
МАТЕРИАЛЫ И МЕТОДЫ
Госпиталь ветеранов войн с 01.05.2020 до настоящего времени оказывает помощь пациентам с COVID-19 различной степени тяжести. Более трети пациентов учреждения получили ПВТ дексаметазоном, тоцилизумабом, олокизумабом и барицитинибом в дополнение к основной этиотропной терапии из-за прогрессирующего ухудшения состояния.
В ходе анализа 229 клинических случаев (123 мужчин и 106 женщин) для сравнения эффективности различных вариантов ПВТ у пациентов со среднетяжелым и тяжелым течением COVID-19 определены предикторы ответа на ПВТ в зависимости от тяжести течения заболевания и выбора лечения. Данные представлены в виде медианы, верхнего и нижнего квартилей.
В группе пациентов с исходом «выздоровление» 80 человек принимали дексаметазон (в дозе до 20 мг/сутки), 16 пациентов в дополнение к терапии глюкокортикоидами получали тоцилизумаб в дозе 400 мг внутривенно капельно двукратным введением с интервалом 24 ч, 47 человек принимали барицитиниб по 4 мг/сут перорально 7 дней и 63 человека — олокизумаб в дозе 160 мг/мл (0,4 мл) подкожно однократно. Критерием эффективности терапии в ходе анализа считали исходы лечения: выздоровление или летальный исход. С учетом изменения критериев выписки пациентов в период исследования в соответствии с текущей оптимизацией нормативной документации критерий «длительность госпитализации» отвергнут.
РЕЗУЛЬТАТЫ
В ретроспективном исследовании участвовали 229 пациентов со среднетяжелой или тяжелой формой COVID-19. В группу с выздоровлением вошли 206 человек, в группу с летальным исходом — 23 человека. Группы были сопоставимы по возрасту (р = 0,096; t-критерий Стьюдента), но значимо различались по полу (р = 0,048; точный критерий Фишера), с преобладанием мужчин в группе умерших (73,9 %) и женщин в группе выздоровевших (51,5 %). В группу с выздоровлением включены пациенты со средним возрастом 56 (43; 67) лет, в группе с летальным исходом средний возраст больных составил 65 (53; 71) лет. По степени тяжести заболевания пациенты распределены с учетом клинико-лабораторных данных и результатов объективного обследования следующим образом: у 152 человек отмечено среднетяжелое течение COVID-19, у 77 — тяжелое и крайне тяжелое. При этом в группе с выздоровлением тяжелое и крайне-тяжелое течение инфекции к началу ПВТ зарегистрировано у 54 (70,13 %) пациентов, среднетяжелое — у 23 (29,87 %). Статистический анализ показал, что сопоставление двух групп по степени тяжести заболевания невозможно из-за отсутствия пациентов со среднетяжелым течением COVID-19 в группе с летальным исходом.
Время от развития первых клинических проявлений COVID-19 до старта ПВТ у исследуемых пациентов составило 8 (7; 10 при стандартном отклонении [СО] 3,52) сут в группе с выздоровлением и 11 (7; 13 при СО 4,89) сут — в группе с летальном исходом, что позволяет косвенно сделать выводы о преимуществах ПВТ на более ранних этапах развития заболевания.
Различия между группами по уровню сатурации, определенному с учетом вида используемой кислородной поддержки на момент назначения ПВТ препаратами дексаметазон, олокизумаб, тоцилизумаб и барицитиниб, были незначительны. В группе с выздоровлением сатурация у пациентов отмечена на уровне 95 (94; 97 при СО 4,07) %, в группе с летальным исходом — 94 (90; 94 при СО 6,7) %. При этом при сопоставлении групп с разными исходами лечения отличия в уровнях оксигенации были значимы (р = 0,000046; критерий Манна – Уитни). Существенной разницы по уровню температуры тела к началу ПВТ при сравнении в группах с разными исходами не выявлено (р = 0,29 критерий Манна – Уитни): медиана показателя в группе с выздоровлением составила 37,0 °C, в группе с летальным исходом — 37,1 °C.
Группы значимо различались по виду оказываемой кислородной поддержки (р < 0,00001; критерий Манна – Уитни). Пациенты с летальным исходом COVID-19 нуждались в большем объеме О2-поддержки: 10 (43,5 %) человек получали инсуффляцию увлажненного кислорода через носовые канюли со скоростью потока до 15 л/мин, 9 (39,13 %) — переведены на высокопоточную оксигенацию к началу ПВТ из-за прогрессирования явлений дыхательной недостаточности, 3 (13,0 %) — находились на неинвазивной вентиляции легких, 1 (4,4 %) — на искусственной вентиляции легких к моменту начала ПВТ. Это позволяет считать, что ранние признаки прогрессирования дыхательной недостаточности требуют раннего назначения антицитокиновых препаратов для повышения эффективности ПВТ.
В ходе исследования лабораторных показателей в клиническом анализе крови уровень гемоглобина существенно не различался (рис. 1).
Рис. 1. Распределение по уровню гемоглобина в группах с использованием разных препаратов. 0 — дексаметазон; 1 — тоцилизумаб; 2 — барицитиниб; 3 — олокизумаб; Median — среднее значение
Fig. 1. Distribution by hemoglobin level in each of the drug groups. 0 — dexamethasone; 1 — tocilizumab; 2 — baricitinib; 3 — olokizumab; Median — average value
Максимальный уровень лейкоцитов до начала ПВТ в клиническом анализе крови отмечен в группе пациентов, получавших терапию тоцилизумабом (медиана составила 10,61 ∙ 109/л), минимальный уровень — обнаружен у больных, принимавших дексаметазон (медиана 5,36 ∙ 109/л). Группы с разными исходами лечения значимо отличались по уровню лейкоцитов (р = 0,000174). В ходе анализа лейкоцитарной формулы выявлены значимые отличия по уровню относительного количества лимфоцитов в группе пациентов с выздоровлением — 18,7 против 7 % (р = 0,00002) в группе с летальным исходом, при этом медианы абсолютного количества лимфоцитов в группах отличались незначительно — 0,95 ∙ 109/л при выздоровлении против 0,7 ∙ 109/л при летальном исходе. Таким образом, выраженную лимфопению можно рассматривать не только как критерий тяжести COVID-19, но и как косвенный предиктор неблагоприятного исхода лечения.
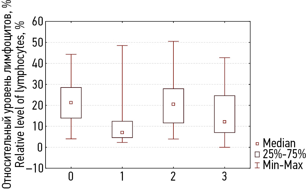
При анализе в группах с использованием разных препаратов при ПВТ (рис. 2) максимальные относительные уровни лимфоцитов отмечены в группе пациентов, получавших терапию дексаметазоном и барицитинибом (медиана более 21 %), минимальные — в группе больных, получавших тоцилизумаб (медиана 11,4 %), что, вероятно, обусловлено критериями применения препаратов, представленными во временных методических рекомендациях Минздрава России [2–5].
Рис. 2. Распределение по относительному уровню лимфоцитов в группах с использованием разных препаратов. 0 — дексаметазон, 1 — тоцилизумаб, 2 — барицитиниб, 3 — олокизумаб, Median — среднее значение
Fig. 2. Distribution according to the relative level of lymphocytes in each of the drug groups. 0 — dexamethasone, 1 — tocilizumab, 2 — baricitinib, 3 — olokizumab, Median — average value
Значимым фактором для оценки тяжести COVID-19 является уровень С-реактивного белка. Медиана этого показателя в группе с летальным исходом составила 89,0 (9; 169 при СО 113,74) мг/л, в группе с выздоровлением — 52 (0; 442 при СО 67,39) мг/л. Анализ показал, что уровень С-реактивного белка значимо влиял на исход ПВТ (р = 0,0298; критерий Манна – Уитни), что позволяет рассматривать данный показатель в качестве предиктора прогноза эффективности терапии при COVID-19. В ходе его сравнения в группах с использованием разных препаратов для ПВТ наиболее высокий уровень С-реактивного белка отмечен в группах пациентов, получавших тоцилизумаб и олокизумаб (р = 0,0004 и р = 0,009 соответственно).
Анализ исходов COVID-19 в зависимости от уровня Д-димера показал, что значения данного показателя в сравниваемых группа достоверно не различались (р = 0,054). Однако в ходе множественного регрессионного анализа установлено, что повышение уровня Д-димера, как и увеличение уровня С-реактивного белка, связано с риском наступления летального исхода (р < 0,001) при COVID-19, что позволяет рассматривать его в качестве прогностического критерия.
Объем повреждения легочной ткани, по результатам компьютерной томографии (КТ), признан значимым (р = 0,0037; критерий Манна – Уитни), но не определяющим фактором успешного исхода терапии, особенно в случае выявления у пациентов объема повреждения легких КТ-2 и КТ-3.
Анализ сопутствующей патологии показал высокую встречаемость у пациентов с более тяжелым течением COVID-19 ишемической болезни сердца, сахарного диабета 2 типа и гипертонической болезни. Частота встречаемости наиболее распространенных нозологий представлена на рис. 3. Группы пациентов с разными исходами лечения значимо различались по показателю наличия ишемической болезни сердца (р = 0,022; точный критерий Фишера), что свидетельствует о прогностической ценности присутствия данного заболевания как предиктора повышения риска неблагоприятного исхода ПВТ.
Рис. 3. Распределение пациентов в группах с разными исходами в зависимости от встречаемости сопутствующей патологии. ИБС — ишемическая болезнь сердца; ГБ — гипертоническая болезнь; СД 2 — сахарный диабет 2 типа; ХОБЛ — хроническая обструктивная болезнь легких; БА — бронхиальная астма
Fig. 3. Distribution of the patients in the groups depending on the occurrence of comorbidity. CAD — coronary artery disease; HT — hypertension; DM 2 — type 2 diabetes mellitus; COPD — chronic obstructive pulmonary disease; BA — bronchial asthma
При статистическом анализе наличия сахарного диабета 2 типа в анамнезе у пациентов установлено, что исследуемые с учетом исхода ПВТ группы по данному показателю значимо не различались (р = 0,74; точный критерий Фишера). Это свидетельствует о недостаточной прогностической ценности такого критерия, как наличие сахарного диабета 2 типа, несмотря на частую встречаемость данной патологии среди пациентов со среднетяжелым и тяжелым течениями COVID-19.
Анализ показал достоверные различия исходов COVID-19 при наличии в анамнезе диагностированной гипертонической болезни (без дифференцировки по стадиям заболевания). Достоверно чаще этот показатель встречался в группе с летальным исходом (р = 0,0073; точный критерий Фишера), что свидетельствует о прогностической ценности факта наличия гипертонической болезни как неблагоприятного предиктора исхода ПВТ при среднетяжелой и тяжелой формах COVID-19.
При анализе групп пациентов в зависимости от наличия в анамнезе хронической обструктивной болезни легких и бронхиальной астмы не получено подтверждения влиянии этих патологий на исходы COVID-19 (р = 1,0; точный критерий Фишера), что свидетельствует о низкой прогностической ценности данных показателей.
Следует отметить, что у пациентов, включенных в настоящее исследование, отмечены и другие хронические заболевания, преимущественно ревматологического, онкологического и урологического профилей, обнаружены также случаи наличия двух и более сопутствующих заболеваний указанных профилей разной степеней тяжести и декомпенсации, но частота их встречаемости не была высокой при первичном анализе медицинской документации. Вклад этих патологий в течение и исходы COVID-19 в каждом случае нельзя было исключить, что послужило поводом для анализа исходов в зависимости от наличия указанных нозологий. Данные заболевания были включены в группу с другими значимыми хроническими заболеваниями. Анализ показал, что группы по этому показателю значимо различались (р = 0,0254; точный критерий Фишера), что может свидетельствовать о прогностической ценности факта наличия других хронических сопутствующих заболеваний как неблагоприятного предиктора течения COVID-19 независимо от частоты их встречаемости в общей популяции.
ЗАКЛЮЧЕНИЕ
Уровень дополнительной кислородной поддержки (инсуффляции через носовые канюли, высокопоточной оксигенации, неинвазивной вентиляции легких и искусственной вентиляции легких) является ведущим предиктором эффективности ПВТ. Наиболее раннее начало ПВТ после манифестации первых клинических проявлений COVID-19 достоверно повышает эффективность лечения за счет снижения летальности. Среди лабораторных показателей ведущими предикторами эффективности ПВТ являются уровни С-реактивного белка и Д-димера. К дополнительным, но значимым предикторам эффективности лечения следует отнести объем поражения легочной ткани (по данным компьютерной томографии), наличие и степень компенсации сопутствующей патологии, наличие терапии сопутствующей патологии, а также уровни лейкоцитов и лимфоцитов в клиническом анализе крови. Дополнительные факторы необходимо сопоставлять с перечисленными показателями для более достоверного прогнозирования эффективности ПВТ.
ДОПОЛНИТЕЛЬНАЯ ИНФОРМАЦИЯ
Источник финансирования. Исследование проведено без спонсорской поддержки.
Конфликт интересов. Авторы декларируют отсутствие явных и потенциальных конфликтов интересов, связанных с публикацией настоящей статьи.
Вклад авторов. И.М. Сухомлинова — разработка темы исследования, подбор материала, формирование баз данных пациентов, статистический анализ, написание статьи; И.Г. Бакулин — разработка темы исследования, координация работы исследовательской группы, статистический анализ, написание статьи; М.Ю. Кабанов — разработка темы исследования, подбор материала, координация работы исследовательской группы, компьютерное моделирование статистических данных, написание статьи. Все авторы внесли существенный вклад в проведение исследования и подготовку статьи, прочли и одобрили финальную версию перед публикацией.
ADDITIONAL INFORMATION
Funding. The study had no external funding.
Conflict of interest. The authors declare no conflict of interest.
Author contributions. I.M. Sukhomlinova — development of the research topic, selection of material, formation of the patient databases, statistical analysis, writing an article; I.G. Bakulin — development of the research topic, coordination of the work of the research group, statistical analysis, writing the article; M.Yu. Kabanov — development of the research topic, selection of the material, coordinating the work of the research group, computer modeling of the statistical data, writing the article. All authors made a significant contribution to the study and preparation of the article and read and approved the final version before its publication.
Об авторах
Ирина Михайловна Сухомлинова
Северо-Западный государственный медицинский университет им. И.И. Мечникова; Госпиталь для ветеранов войн
Автор, ответственный за переписку.
Email: sukhomlinova2021@list.ru
ORCID iD: 0000-0003-2325-8971
SPIN-код: 6953-1120
Россия, Санкт-Петербург; Санкт-Петербург
Игорь Геннадьевич Бакулин
Северо-Западный государственный медицинский университет им. И.И. Мечникова
Email: igbakulin@yandex.ru
ORCID iD: 0000-0002-6151-2021
SPIN-код: 5283-2032
Scopus Author ID: 6603812937
ResearcherId: P-4453-2014
д-р мед. наук, профессор
Россия, Санкт-ПетербургМаксим Юрьевич Кабанов
Северо-Западный государственный медицинский университет им. И.И. Мечникова; Госпиталь для ветеранов войн
Email: makskabanov@gmail.ru
ORCID iD: 0000-0001-9763-8497
д-р мед. наук, профессор
Россия, Санкт-Петербург; Санкт-ПетербургСписок литературы
- Сухомлинова И.М., Бакулин И.Г., Кабанов М.Ю. Противовоспалительная терапия при новой коронавирусной инфекции: эффективность и предикторы ответа // Вестник Северо-Западного государственного медицинского университета им. И.И. Мечникова. 2022. Т. 14, № 1. С. 59–68. doi: 10.17816/mechnikov96603
- Временные методические рекомендации. Профилактика, диагностика и лечение новой коронавирусной инфекции (COVID-19) Версия 4 (27.03.2022).
- Временные методические рекомендации. Профилактика, диагностика и лечение новой коронавирусной инфекции (COVID-19) Версия 5 (08.04.2020).
- Временные методические рекомендации. Профилактика, диагностика и лечение новой коронавирусной инфекции (COVID-19) Версия 6 (28.04.2020).
- Временные методические рекомендации. Профилактика, диагностика и лечение новой коронавирусной инфекции (COVID-19) Версия 8 (03.09.2020).
- Арутюнов Г.П., Тарловская Е.И., Арутюнов А.Г. и др. Международный регистр «Анализ динамики коморбидных заболеваний у пациентов, перенесших инфицирование SARS-COV-2» (AКТИВ SARS-COV-2): анализ предикторов неблагоприятных исходов острой стадии новой коронавирусной инфекции // Российский кардиологический журнал. 2021. Т. 26, № 4. С. 116–131. doi: 10.15829/1560-4071-2021-4470
- Арутюнов Г.П., Тарловская Е.И., Арутюнов А.Г. и др. Международный регистр “Анализ динамики коморбидных заболеваний у пациентов, перенесших инфицирование SARS-COV-2” (AКТИВ) и регистр “анализ госпитализаций коморбидных пациентов инфицированных в период второй волны SARS-COV-2” (AКТИВ 2) // Российский кардиологический журнал. 2021. Т. 26, № 3. С. 102–113. doi: 10.15829/1560-4071-2021-4358
- Драпкина О.М., Маев И.В., Бакулин И.Г. и др. Временные методические рекомендации: «Болезни органов пищеварения в условиях пандемии новой коронавирусной инфекции (COVID-19)». Версия 2 // Профилактическая медицина. 2021. Т. 25, № 5–2. С. 4–41. doi: 10.17116/profmed2021240524
- Сайганов С.А., Мазуров В.И., Бакулин И.Г. и др. Клиническое течение, эффективность терапии и исходы новой коронавирусной инфекции: предварительный анализ // Вестник Северо-Западного государственного медицинского университета им. И.И. Мечникова. 2020. Т. 12, № 2. С. 27–38. doi: 10.17816/mechnikov202012227-38
- Свидетельство о государственной регистрации программы для ЭВМ № 2022611745. Оценка прогноза эффективности противовоспалительной терапии при COVID-19: № 2022610740: заявл. 25.01.2022: опубл. 01.02.2022. Сухомлинова И.М., Бакулин И.Г., Кабанов М.Ю., Тетерин Е.В.
- Патент RU2770357C1. Бакулин И.Г., Сухомлинова И.М., Кабанов М.Ю. Способ прогнозирования риска летального исхода у пациентов с тяжелым и среднетяжелым течением COVID-19 при проведении упреждающей противовоспалительной терапии.
- Материалы по коронавирусу для терапевтов [Электронный ресурс] // Евразийская Ассоциация Терапевтов. Режим доступа: https://euat.ru/covid-19/publications. Дата обращения: 25.09.2021.
- Shimabukuro-Vornhagen A., Gödel P., Subklewe M. et al. Cytokine release syndrome // J. Immunother. Cancer. 2018. Vol. 6, No. 1. P. 56. doi: 10.1186/s40425- 018-0343-9
- Zhang C., Wu Z., Li J.-W. et al. Cytokine release syndrome in severe COVID-19: interleukin-6 receptor antagonist tocilizumab may be the key to reduce mortality // Int. J. Antimicrob. Agents. 2020. Vol. 55, No. 5. P. 105954. doi: 10.1016/j.ijantimicag.2020.105954
- The WHO Rapid Evidence Appraisal for COVID-19 Therapies (REACT) Working Group, Sterne J.A.C., Murthy S., Diaz J.V. et al. Association between administration of systemic corticosteroids and mortality among critically ill patients with COVID-19: a meta-analysis // JAMA. 2020. Vol. 324, No. 13. P. 1330–1341. doi: 10.1001/jama.2020.17023
- Ганюкова Н.Г., Ликстанов М.И., Косинова М.В. и др. Эффективность таргетной терапии ингибитором ил-6 (олокизумаб) в купировании гипервоспаления при среднетяжелой пневмонии, обусловленной вирусом Sars-Cov-2 // Фундаментальная и клиническая медицина. 2020. Т. 5, № 4. С. 8–13. doi: 10.23946/2500-0764-2020-5-4-8-13
- Zhou F., Yu T., Du R. et al. Clinical course and risk factors for mortality of adult inpatients with COVID-19 in Wuhan, China: a retrospective cohort study // Lancet. 2020. Vol. 395, No. 10229. P. 1054–1062. doi: 10.1016/S0140-6736(20)30566-3
Дополнительные файлы






