Diagnostic algorithm for detecting chronic obstructive pulmonary disease in primary care
- Authors: Ovakimyan K.V.1, Pokhaznikova M.A.1, Andreeva E.A.2, Kutznetsova O.Y.1, Plavinskij S.L.1
- 
							Affiliations: 
							- North-Western State Medical University named after I.I. Mechnikov
- Northern State Medical University
 
- Issue: Vol 10, No 2 (2018)
- Pages: 44-51
- Section: Articles
- Submitted: 07.08.2018
- Published: 15.12.2018
- URL: https://journals.eco-vector.com/vszgmu/article/view/9279
- DOI: https://doi.org/10.17816/mechnikov201810244-51
- ID: 9279
Cite item
Full Text
Abstract
Background. This article aims to implement an adaptation of the international standardized questionnaires, to assess the diagnostic value of their Russian-language version for diagnostics of chronic obstructive pulmonary disease (COPD), to develop the diagnostic algorithm based on questionnaires and spirometry results in order to form COPD high risk group in primary care.
Materials and methods. The main results were based on the RESPECT study (RESearch on the PrEvalence and the diagnosis of COPD and its Tobacco-related etiology) population of St. Petersburg.
Results. The repeatability of Russian-language version of investigated questionnaires was significantly high.
Conclusion. A new diagnostic algorithm was developed to identify individuals at high risk of COPD and could be recommended for primary health care.
Keywords
Full Text
Введение
Хроническая обструктивная болезнь легких (ХОБЛ) — это предотвратимое, поддающееся лечению заболевание, характеризующееся медленным прогрессирующим течением, что объясняет позднее появление жалоб у больных и, как следствие, их несвоевременное обращение за медицинской помощью [1]. Современные принципы диагностики ХОБЛ основаны на комплексном подходе [2]. Несмотря на то что спирометрия остается ключевым исследованием для выявления ХОБЛ, необходима оценка факторов риска ее развития и клинических проявлений заболевания, в первую очередь респираторных симптомов.
В первичном звене здравоохранения начальным этапом клинической диагностики ХОБЛ является оценка респираторных жалоб: кашля, выделения мокроты и одышки. С учетом необратимости ограничения скорости воздушного потока при ХОБЛ данные симптомы будут иметь хроническое течение, то есть существовать свыше 12 недель на протяжении 1 года и более [2]. Важность изучения распространенности респираторных симптомов подчеркивается в ряде международных исследований, которые свидетельствуют, что во взрослой популяции они могут встречаться в 41–48 % случаев [3, 4]. Следует учитывать, что большинство таких исследований было направлено на изучение распространенности респираторных симптомов среди курильщиков, людей, работающих или живущих в условиях пылевого загрязнения, пожилых [5–8]. Однако, как показали наши исследования, и в условиях реальной практики среди пациентов, обращающихся за медицинской помощью к семейным врачам, была выявлена высокая распространенность хронических респираторных жалоб, составившая 58,9 % [9]. Тем не менее одного выявления симптомов для диагностики ХОБЛ недостаточно ввиду их низкой прогностической значимости [10]. Решению этой проблемы может способствовать использование международных стандартизованных опросников, которые рекомендованы для применения в первичном звене здравоохранения [11]. Разработка диагностического инструмента на основании опросников может помочь в идентификации группы пациентов с высоким риском развития ХОБЛ, что является актуальной задачей для амбулаторной практики.
Целью настоящего исследования стала разработка диагностического алгоритма на основе опросников и данных спирометрии для формирования группы лиц с высоким риском развития ХОБЛ в условиях первичной медицинской помощи для последующей верификации диагноза.
Материалы и методы
Исследование выполнено в рамках проекта RESPECT (RESearch on the PrEvalence and the diagnosis of COPD and its Tobacco-related etiology) (регистрационный номер NCT02307799, дата опубликования 12.01.2014). Было получено одобрение локального этического комитета СЗГМУ им. И.И. Мечникова, Санкт-Петербург (протокол № 11 от 27.11.2011). Подробное описание дизайна проекта опубликовано ранее [12]. При проведении анализа учитывали результаты, полученные из базы данных выборки жителей Санкт-Петербурга.
Использовали следующие международные опросники: опросник 1 (Опросник для выявления респираторных симптомов) [13] и опросник 2 (Дифференциально-диагностический опросник ХОБЛ и бронхиальной астмы (БА)) [11]. Их адаптация была проведена согласно стандартному алгоритму адаптации зарубежных опросных методов Ю.Л. Ханина (1977) [14]. Русскоязычная версия опросников была опубликована ранее [15].
Для изучения воспроизводимости русскоязычной версии опросников методом простой случайной выборки было отобрано 40 человек в возрасте от 35 до 70 лет различного социального статуса. Воспроизводимость опросников оценивали путем анализа результатов, полученных при их заполнении респондентами дважды с интервалом в две недели.
Для проведения валидизации опросника 2 и разработки диагностического алгоритма по выявлению ХОБЛ методом простой случайной выборки из базы Территориального фонда ОМС населения, прикрепленного к десяти поликлиникам Санкт-Петербурга, было отобрано 3500 жителей в возрасте от 35 до 70 лет. Всем респондентам было предложено провести спирометрию с бронхолитической пробой. Качество спирометрии оценивали согласно критериям приемлемости и воспроизводимости Американского торакального общества и Европейского респираторного общества (АТО/ЕРО) [16].
Диагноз ХОБЛ был выставлен у пациентов при наличии хотя бы одного хронического респираторного симптома и обструкции по данным спирометрии до и после проведения бронхолитического теста [2]. За обструкцию было принято отношение ОФВ1 к ФЖЕЛ менее 0,7 [16].
Статистический анализ полученных данных осуществляли при помощи программы SPSS 20.0 (SPSS Inc. Chicago, IL, USA). Доверительный интервал долей оценивали по Клопперу – Пирсону. Для определения связи одних переменных с другими использовали мультивариантный анализ. По одновыборочному критерию Колмогорова – Смирнова оценивали нормальность распределения параметров количественных переменных.
Оценку стабильности опросника 1 осуществляли с помощью коэффициента Каппа. Анализ опросника 2 проводили путем оценки его надежности и валидности. Различия между группами признавали достоверными (отвергали нулевую гипотезу) при уровне доверительной вероятности (р), не превышающей 0,05.
Результаты и их обсуждение
Основные этапы исследования опросников представлены на рис. 1.
Рис. 1. Основные этапы исследования опросника 1 и опросника 2
Fig. 1. The main stages of study questionnaire 1 and questionnaire 2
При изучении воспроизводимости опросников 1 и 2 из 40 жителей на интервьюирование согласились 29 человек: 65,5 % женщин и 34,5 % мужчин. Отклик составил 72,5 %. Пригодными для анализа результатов (заполнены все пункты) оказались 29 опросников 1 и 28 опросников 2. Анализ стабильности опросника 1 (n = 29) показал высокую степень согласия между двумя вариантами заполнения аналогичных пунктов опросника с интервалом в 2 недели: от «существенной» (мера согласия Каппа от 0,61 до 0,8) до «почти совершенной» (мера согласия Каппа свыше 0,8) (р < 0,01).
Анализ стабильности опросника 2 (n = 28) выявил сильную положительную связь: коэффициент корреляции Спирмена между результатами, полученными с интервалом в 2 недели, при анализе общей суммы баллов опросника составил 0,93 (p < 0,01).
При изучении валидности русскоязычной версии опросника 2 из 3500 жителей 2917 проживали по данному адресу и ответили на телефонный звонок, принять участие в исследовании согласились 2121 человек: 68,7 % женщин и 31,3 % мужчин. Отклик составил 72,7 %. 1906 человек согласились заполнить опросники. У 1413 лиц была выполнена спирометрия с бронхолитическим тестом. Средний возраст респондентов составил 54,9 ± 9,2 года.
Валидность русскоязычной версии опросника 2 изучали путем анализа зависимости наличия ХОБЛ от вопросов, представленных в опроснике с помощью логистической регрессии (табл. 1).
Таблица 1. Зависимость наличия хронической обструктивной болезни легких от вопросов, представленных в опроснике 2, n = 1413
Table 1. Dependence of the presence of COPD on the questions presented in questionnaire 2, n = 1413
| Вопрос | Варианты ответов | ОШ (95 % ДИ)* | p | 
| Сколько Вам лет? | 40–49 лет | 1 | |
| 50–59 лет | 1,17 (0,50–2,76) | 0,72 | |
| 60–69 лет | 3,07 (1,41–6,70) | <0,01 | |
| Количество выкуриваемых пачек/лет? Количество пачка/лет = Кол-во сигарет/день/20 × × Кол-во лет курения | 0–14 п/л | 1 | |
| 15–24 п/л | 2,32 (1,00–5,43) | <0,05 | |
| 25–49 п/л | 5,39 (2,78–10,44) | <0,01 | |
| > 50 п/л | 5,41 (2,16–13,57) | <0,01 | |
| Стали ли Вы кашлять чаще в последние несколько лет? | Да | 1,55 (0,89–2,71) | 0,12 | 
| В течение последних трех лет были ли у Вас какие-то проблемы с дыханием, которые вынуждали Вас не выходить на работу, работать в помещении, оставаться дома или в постели? | Да | 0,52 (0,24–1,12) | 0,10 | 
| Вас когда-нибудь госпитализировали в стационар по поводу проблем с дыханием? | Да | 5,14 (2,48–10,65) | <0,01 | 
| У Вас чаще стала появляться одышка в течение последних нескольких лет? | Да | 1,49 (0,84–2,64) | 0,17 | 
| В среднем какое количество мокроты Вы обычно откашливаете в течение дня? | 1 столовая ложка (15 мл) и более/день | 2,03 (0,90–4,60) | 0,09 | 
| Если Вы простужаетесь, простуда спускается вниз в грудную клетку? | Да | 1,03 (0,56–1,91) | 0,93 | 
| Вы получали какое-либо лечение по поводу проблем с дыханием? | Да | 1,41 (0,71–2,82) | 0,32 | 
Примечание: ОШ — отношение шансов; ДИ — доверительный интервал; * поправка на пол и пункты опросника; п/л — пачка лет.
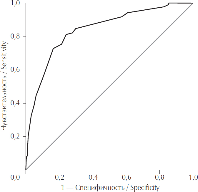
Многофакторный анализ показал, что наличие ХОБЛ было достоверно выше среди респондентов в возрасте старше 60 лет, имеющих в анамнезе госпитализации по поводу проблем с дыханием (р < 0,05). Также вероятность наличия ХОБЛ достоверно увеличивалась с нарастанием количества выкуриваемых сигарет (р < 0,05). Однако решение диагностической задачи путем лишь составления регрессионной модели не могло дать однозначного ответа и требовало дополнительного анализа путем использования ROC-кривой и вычисления площади под кривой (ROC AUC) (рис. 2) [17].
Рис. 2. ROC-кривая диагностической способности логистической регрессионной модели вероятности наличия хронической обструктивной болезни легких (для опросника 2), n = 1413
Fig. 2. ROC-curve of diagnostic ability of the logistic regression model of the probability of having COPD (for questionnaire 2), n = 1413
Как видно из рис. 2, ROC AUC для опросника 2 составила 0,838 (95 % ДИ = 0,792–0,883). Наиболее точное сочетание чувствительности 0,810 и специфичности 0,758 выбрано при точке отсечения 16,5 балла. Данный показатель свидетельствует, что среди жителей Санкт-Петербурга диагноз ХОБЛ необходимо подозревать у всех опрошенных с наличием хотя бы одного хронического респираторного симптома, если сумма баллов согласно опроснику 2 составляет 17 и более в отличие от оригинальной версии, которая предполагает наличие ХОБЛ, если сумма баллов составляет 19 и выше [11].
Как известно, дебют ХОБЛ приходится на возраст 40 лет и старше. По данным переписи населения РФ от 2010 г., средний возраст жителей Санкт-Петербурга выше среднего возраста жителей РФ на 2 года и составляет 41,3 года [18]. Средний возраст мужчин и женщин Санкт-Петербурга составляет 38,1 и 44,0 года соответственно [18]. Одним из самых значимых факторов риска в развитии ХОБЛ считается курение. Результаты исследований свидетельствуют о неопровержимой связи между курением и ХОБЛ [2, 19]. По данным ВОЗ, Российская Федерация отнесена к странам с высоким уровнем потребления табака: распространенность курения среди мужчин и женщин составляет 59,0 и 22,8 %, что значительно выше показателей Финляндии (23,2 и 18,5 % соответственно), Швеции (20,4 и 20,8 % соответственно), Норвегии (22,4 и 22,1 % соответственно) [20]. Опережающими темпами растет распространенность курения среди женщин [21], у которых ХОБЛ развивается раньше [21, 22]. Вышеизложенные факты могли повлиять на повышение вероятности наличия ХОБЛ при более низкой сумме баллов опросника 2, что было выявлено в процессе его валидизации.
При разработке диагностического алгоритма с применением опросника в амбулаторном звене следовало учитывать не только высокие показатели чувствительности и специфичности и особенности популяции, но и сокращение времени на его использование. Поэтому было необходимо минимизировать количество пунктов опросника, не вызывая снижения его диагностической ценности (оптимальные показатели чувствительности и специфичности).
С помощью логистической регрессии с поправкой на пол была проанализирована зависимость наличия ХОБЛ от возраста и количества выкуриваемых сигарет с учетом новой классификации ответов на пункты опросника 2: «Сколько Вам лет?» и «Количество выкуриваемых пачек/лет?» Анализ влияния вышеперечисленных параметров с учетом их новой классификации показал, что с увеличением возраста более 50 лет и количества пачка/лет более 10 частота встречаемости ХОБЛ достоверно выше (р < 0,05). Данное утверждение было верно не только для лиц исследуемой выборки, но и для лиц новой подвыборки, сформированной случайным образом среди 1413 человек (n = 728).
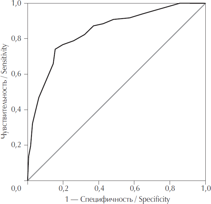
После формирования окончательного варианта опросника 3 были оценены его чувствительность и специфичность, вычислены ROC AUC и определена точка отсечения для предварительной диагностики ХОБЛ (рис. 3).
Рис. 3. ROC-кривая диагностической способности логистической регрессионной модели вероятности наличия хронической обструктивной болезни легких (для опросника 3), n = 1413
Fig. 3. ROC-curve of diagnostic ability of the logistic regression model of the probability of having COPD (for questionnaire 3), n = 1413
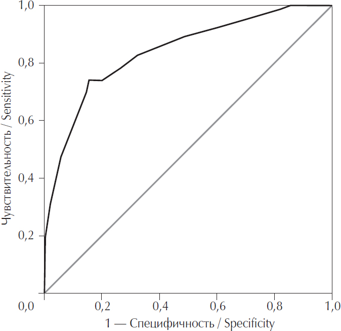
Как видно из рис. 3, ROC AUC для опросника 3 составила 0,838 (95 % ДИ = 0,793–0,884). Учитывая, что значительная часть областей доверительных интервалов ROC AUC для опросника 2 и опросника 3 перекрывалась, можно утверждать, что значимой разницы между ROC AUC для двух опросников нет. Наиболее точное сочетание чувствительности 0,738 (73,8 %) и специфичности 0,842 (84,2 %) для опросника 3 выбрано в точке отсечения, равной 9,5 балла. То есть диагноз ХОБЛ необходимо подозревать у всех опрошенных, сумма баллов которых согласно опроснику 3 составляет 10 баллов и более. Качество данной диагностической модели было проанализировано на новой подвыборке, отобранной случайным образом из 1413 человек (n = 694) (рис. 4).
Рис. 4. ROC-кривая диагностической способности логистической регрессионной модели вероятности наличия хронической обструктивной болезни легких (для опросника 3), n = 694
Fig. 4. ROC-curve of diagnostic ability of the logistic regression model of the probability of having COPD (for questionnaire 3), n = 694
Как видно из рис. 4, ROC AUC для опросника 3, вычисленная для 694 человек, отобранных случайным образом, не имела достоверных отличий от ROC AUC, вычисленной для 1413 человек, и составила 0,839 (95 % ДИ = 0,775–0,903). Точка отсечения, равная 9,5 балла при чувствительности 0,739 (73,9 %) и специфичности 0,845 (84,5 %), осталась прежней. Диагностический алгоритм на основе нового разработанного опросника для предварительной диагностики ХОБЛ на амбулаторном этапе представлен на рис. 5.
Рис. 5. Диагностический алгоритм для предварительной диагностики хронической обструктивной болезни легких на этапе оказания первичной медицинской помощи
Fig. 5. Diagnostic algorithm for preliminary diagnosis of COPD in the stage of primary care
Выводы
- Русскоязычная версия изученных международных стандартизованных опросников продемонстрировала высокую степень воспроизводимости, что позволяет использовать их в отечественной клинической практике.
- Анализ русскоязычной версии международного диагностического опросника выявил его высокую ценность при диагностике ХОБЛ.
- Разработанный алгоритм для предварительной диагностики ХОБЛ в амбулаторных условиях обладает сопоставимой диагностической ценностью в сравнении с международным аналогом.
About the authors
K. V. Ovakimyan
North-Western State Medical University named after I.I. Mechnikov
							Author for correspondence.
							Email: ursa-alba@yandex.ru
				                					                																			                												                	Russian Federation, 							 Saint Petersburg 						
M. A. Pokhaznikova
North-Western State Medical University named after I.I. Mechnikov
														Email: ursa-alba@yandex.ru
				                					                																			                												                	Russian Federation, 							 Saint Petersburg 						
E. A. Andreeva
Northern State Medical University
														Email: ursa-alba@yandex.ru
				                					                																			                												                	Russian Federation, 							 Arkhangelsk 						
O. Yu. Kutznetsova
North-Western State Medical University named after I.I. Mechnikov
														Email: ursa-alba@yandex.ru
				                					                																			                												                	Russian Federation, 							 Saint Petersburg 						
S. L. Plavinskij
North-Western State Medical University named after I.I. Mechnikov
														Email: ursa-alba@yandex.ru
				                					                																			                												                	Russian Federation, 							 Saint Petersburg 						
References
- WHO: Сhronic obstructive pulmonary disease (COPD) [Электронный ресурс]. - Режим доступа: http://www.who.int/mediacentre/factsheets/fs315/ru/, свободный. - (дата обращения: 27.04.2018).
- The Global Strategy for the Diagnosis, Management and Prevention of Сhronic obstructive pulmonary disease. Global Initiative for Chronic Obstructive Lung Disease (GOLD). 2018 [Электронный ресурс]. - Режим доступа: http://www.goldcopd.org/, свободный. - (Дата обращения: 27.04.2018).
- Sobradillo V, Miravitlles M, Jimenez CA, et al. Epidemiological study of chronic obstructive pulmonary disease in Spain (IBERPOC): prevalence of chronic respiratory symptoms and airflow limitation. Arch Bronconeumol. 1999;35:159-166. doi: 10.1183/09031936.01.17509820.
- Lundback B, Nystrom L, Rosenhall L, et al. Obstructive lung disease in northern Sweden: respiratory symptoms assessed in a postal survey. Eur Respir J. 1991;4:257-66.
- Ferreira SS, Rocha L, Bento J, et al. Respiratory symptoms related to occupational exposure to dust. Eur Respir J. 2017;50:423. doi: 10.1183/1393003.congress-2017.PA423.
- Stoleski S, Karadzinska-Bislimovska J, Minov J, Mijakoski D. Respiratory symptoms, lung function tests and airway responsiveness among crop farmers. Eur Respir J. 2015;46:1180. doi: 10.1183/13993003.congress-2015.PA1180.
- Barne M, Apte K, Chhowala S, et al. Prevalence of respiratory symptoms in 7154 state road transport workers from India. Eur Respir J. 2011;38:4192.
- Hallit S, De Blic J, Marguet C, et al. Respiratory and allergic symptoms in early life: The ELFE cohort. Eur Respir J. 2017;50:4146. doi: 10.1183/1393003.congress-2017.PA4146.
- Овакимян К.В. Распространенность хронических респираторных симптомов на этапе оказания первичной медицинской помощи // Российский семейный врач. - 2015. - № 3. - С. 29-33. [Ovakimyan K. The prevalence of chronic respiratory symptoms in out-patient medical service. Russian Family Doctor. 2015;(3):29-33. (In Russ.)]. doi: 10.17116/profmed201619324-27.
- Andreeva E, Lebedev A, Moiseeva I, et al. The Prevalence of Chronic Obstructive Pulmonary Disease by the Global Lung Initiative Equations in North-Western Russia. Respiration. 2016;91(1):43-55. doi: 10.1159/000442887.
- Levy ML, Fletcher M, Price DB, et al. International Primary Care Respiratory Group (IPCRG) Guidelines: diagnosis of respiratory diseases in primary care. Prim Care Respir J. 2006;15(1):20-34. doi: 10.1016/j.pcrj.2005.10.004.
- Andreeva E, Pokhaznikova M, Lebedev A, et al. The RESPECT study: RESearch on the PrEvalence and the diagnosis of COPD and its Tobacco-related etiology: a study protocol. BMC Public Health. 2015;15:831. doi: 10.1186/s12889-015-2161-z.
- Bridevaux PO, Gerbase MW, Probst-Hensch NM, et al. Long-term decline in lung function, utilisation of care and quality of life in modified GOLD stage 1 COPD. Thorax. 2008;63(9):768-774. doi: 10.1136/thx.2007.093724.
- Орёл В.Е., Сенин И.Г. Опыт адаптации зарубежного опросника: организационный и содержательный аспект // Вестник ЮУрГУ. Серия «Психология». - 2008. - № 33(133). - С. 71-77. [Orjol VE, Senin IG. The experience of adaptation of foreign questionnaire: organizational and content aspects. Vestnik Yuzhno-Ural’skogo Gosudarstvennogo Universiteta. Seriya “Psikhologiya”. 2008;33(133):71-77. (In Russ.)]
- Овакимян К.В. Случай из практики: применение опросников для выявления хронической обструктивной болезни легких при наличии противопоказаний к проведению спирометрии // Российский семейный врач. - 2013. - № 17(4). - С. 39-42. [Ovakimyan К. Сase report: the using of questionnaires for the detection of the chronic obstructive pulmonary disease in patients with contraindications to perform spirometery. Russian Family Doctor. 2013;17(4):39-42. (In Russ.)]
- Miller MR, Hankinson J, Brusasco V, et al. Standardisation of spirometery. Eur Respir J. 2005;26:319-338. doi: 10.1183/09031936.05.00034805.
- Григорьев С.Г., Лобзин Ю.В., Скрипченко Н.В. Роль и место логистической регрессии и ROC-анализа в решении медицинских диагностических задач // Журнал инфектологии. - 2016. - № 8(4). - С. 36-45. [Grigoryev SG, Lobzin YV. Skripchenko NV. The role and place of logistic regression and roc analysis in solving medical diagnostic task. Journal Infectology. 2016;8(4):36-45. (In Russ.)]. doi: 10.22625/2072-6732-2016-8-4-36-45.
- The Russian Population Census. 2010 [Электронный ресурс]. - Режим доступа: http://www.gks.ru/free_doc/new_site/perepis2010/croc/perepis_itogi1612.htm, свободный. - (Дата обращения: 27.04.2018).
- Forey BA, Thornton AJ, Lee PN. Systematic review with meta-analysis of the epidemiological evidence relating smoking to COPD, chronic bronchitis and emphysema. BMC Pulm Med. 2011;14(11):36. doi: 10.1186/1471-2466-11-36.
- WHO: Global Health Observatory (GHO) data. Prevalence of tobacco smoking. Situation by country [Электронный ресурс]. - Режим доступа: http://gamapserver.who.int/gho/interactive_charts/tobacco/use/atlas.html, свободный. - (Дата обращения: 27.04.2018).
- Aryal S, Diaz-Guzman E, Mannino DM. Influence of sex on chronic obstructive pulmonary disease risk and treatment outcomes. Int J Chron Obstruct Pulmon Dis. 2014;9:1145-54. doi: 10.2147/COPD.S54476.
- Varkey AB. Chronic obstructive pulmonary disease in women: exploring gender differences. Curr Opin Pulm Med. 2004;10(2):98-103.
Supplementary files
 
				
			 
					 
						 
						 
									
 
  
  
  Email this article
			Email this article 







 СМИ зарегистрировано Федеральной службой по надзору в сфере связи, информационных технологий и массовых коммуникаций (Роскомнадзор).
 СМИ зарегистрировано Федеральной службой по надзору в сфере связи, информационных технологий и массовых коммуникаций (Роскомнадзор).