Signs of the record of geomagnetic reversal in permian–triassic trap intrusions of the Ergalakhsky complex, Norilsk region
- Autores: Latyshev A.V.1,2, Ulyakhina P.S.1,2, Krivolutskaya N.A.3
-
Afiliações:
- Lomonosov Moscow State University
- Institute of the Earth Physics of the Russian Academy of Sciences
- Vernadsky Institute of Geochemistry and Analytical Chemistry of the Russian Academy of Sciences, Institute of Geochemistry and Analytical Chemistry of the Russian Academy of Sciences, Vernadsky Institute
- Edição: Nº 2 (2019)
- Páginas: 92-110
- Seção: Articles
- URL: https://journals.eco-vector.com/0002-3337/article/view/11643
- DOI: https://doi.org/10.31857/S0002-33372019292-110
- ID: 11643
Citar
Texto integral
Resumo
Alternating intervals of normal and reversed polarity are revealed in the sections of two Permian–Triassic trap intrusions of the Ergalakhsky complex, Norilsk region. The near-contact zones of the intrusions are magnetized reversely, whereas magnetization in the central zones has normal polarity. The arguments are presented that this change in the polarity along the intrusions section is not due to the postmagmatic remagnetization or self-reversal of remanence but marks the reversal of the geomagnetic field that occurred during the emplacement of the intrusive bodies. Highly accurate age determination for the Ergalakhsky intrusions – the oldest intrusive trap complex in the Norilsk region – is vital for time correlation of the initial stage of magmatic activity. According to the paleomagnetic data, the studied sills intruded directly at the Permian–Triassic boundary at the very end of the Ivakinsky stage. The existing estimates for the durations of the reversals indicate that the cooling of the intrusions could last a few thousand years. In the future, the examined sills of the Ergalakhsky complex can be used as a unique object for exploring the structure of the geomagnetic field during the reversals, for reconstructing the thermal history of intrusions’ cooling, and as a reference for estimating the total duration of trap magmatism.
Palavras-chave
Texto integral
1. ВВЕДЕНИЕ
Расшифровка тонкой структуры инверсий геомагнитного поля является одной из важнейших фундаментальных задач геомагнетизма и палеомагнетизма. На сегодняшний момент многие вопросы морфологии геомагнитного поля в периоды инверсий остаются дискуссионными, что связано с очевидной невозможностью прямых наблюдений. Главной особенностью поведения геомагнитного поля при инверсиях является значительное падение дипольной компоненты и преобладание недипольных составляющих [Fuller et al., 1979; Valet et al., 2012; Соколов, 2017].
Подавляющая часть детальных реконструкций инверсий проведена по мощным вулканическим сериям. Это связано с тем, что лавовые потоки, остывая при излиянии, фиксируют мгновенное состояние геомагнитного поля и тем самым обеспечивают возможность для восстановления последовательной смены его направлений. Большая часть инверсий, записанных в представительных сериях лавовых потоков, относится к неоген-четвертичному времени [Chauvin et al., 1990; Herrero-Bervera, Valet, 1999; Jarboe et al., 2011; и др.]; известны лишь три детальные записи инверсий, зафиксированные в крупных магматических провинциях более древнего возраста: палеоценовых вулканитах Западной Гренландии – 62 млн лет [Riisager et al., 2003], юрских траппах Кару – 180 млн лет [Moulin et al., 2012] и пермо-триасовых Сибирских траппах – 251 млн лет назад [Heunemann et al., 2004].
Значительно меньшее количество работ посвящено инверсиям, записанным в крупных интрузивных телах. Авторам известны лишь немногочисленные примеры подробных реконструкций [Dodson et al., 1978; Williams, Fuller, 1982], которые не удовлетворяют современным требованиям качества палеомагнитных данных (так, полученные палеомагнитные направления, в том числе для переходного интервала, были рассчитаны без применения компонентного анализа [Kirschvink, 1980]) и требуют дополнительных исследований с использованием современных методов. При этом во многих крупных интрузиях фиксируются первичные компоненты обеих полярностей, что предполагает застывание интрузива в течение инверсии (например, [Печерский и др., 2004; 2005]), однако направления, отвечающие собственно инверсионному интервалу, не обнаруживаются.
Кроме того, известно довольно большое количество реконструкций инверсий геомагнитного поля, записанных в осадочных толщах [Вестфаль и др., 2002; Гурарий и др., 2005]. Однако, если учесть, что приобретение остаточной намагниченности в осадках запаздывает относительно времени седиментации и представляет собой достаточно продолжительный процесс по сравнению с приобретением термоостаточной намагниченности в вулканитах, быстрые вариации геомагнитного поля, характерные для периодов инверсий, в осадочных разрезах сглаживаются и усредняются [Langereis et al., 1992; Moulin et al., 2012]. В связи с этим осадочные породы, как правило, рассматриваются как менее надежный регистратор тонкой структуры поля в периоды инверсий по сравнению с магматическими породами.
Наиболее древняя из известных на данный момент детально записанных инверсий, была обнаружена в базальтах туфо-лавовой толщи Норильского района Сибирской трапповой провинции [Heunemann et al., 2004]. В разрезах Хараелахской мульды авторами цитируемой работы были выделены интервалы с аномальными палеомагнитными направлениями, которые отвечают инверсии геомагнитного поля и следующему за ней экскурсу. В недавних работах было подтверждено наличие этих интервалов на тех же стратиграфических уровнях в разрезах Норильской и Имангдинской мульд Норильского района [Pavlov et al., 2015]. Кроме того, аномально низкие для Сибирских траппов наклонения, маркирующие инверсионный интервал, обнаружены в магнитостратиграфических колонках скважин, пробуренных через туфо-лавовую толщу [Gurevitch et al., 2004; Михальцов и др., 2012]. Таким образом, было показано, что во время инверсии геомагнитного поля на границе перми и триаса в Норильском районе происходил активный магматизм и до трети разреза по мощности было сформировано в этот период [Pavlov et al., 2015].
В настоящей работе мы представляем результаты палеомагнитных исследований трех силлов ергалахского комплекса (Норильский район) и обсуждаем причины наличия в них двух полярностей геомагнитного поля.
2. ОБЪЕКТ ИССЛЕДОВАНИЙ
Норильский район располагается на северо-западе Сибирской платформы в пределах Сибирской трапповой провинции. Вулканический разрез траппов представлен преимущественно базальтовыми лавами с подчиненным количеством туфогенного материала и достигает максимальной на Сибирской платформе суммарной мощности 3–3.5 км [Fedorenko et al., 1996]. Также в Норильском районе распространены трапповые интрузии, представляющие, согласно утвержденной легенде к Геологической карте масштаба 1:50 000, серия Норильская [Люлько и др., 1993], 7 различных комплексов [Радько, 2016], в том числе рудоносные (Cu–Ni–Pt) интрузии норильского типа.
Рис. 1. (а) – Магнитостратиграфия туфо-лавовой толщи Норильского района (по [Heunemann et al., 2004; Gurevitch et al., 2004; Pavlov et al., 2015]): N – прямая полярность; R – обратная полярность; Т – переходная зона; (б) – геологическая схема района исследований: Е1 – силл Ергалах-1; Е2 – силл Ергалах-2; Е3 – силл Ергалах-3.
Туфо-лавовая толща Норильского района в последние годы являлась объектом интенсивного палеомагнитного изучения [Heunemann et al., 2004; Gurevitch et al., 2004; Павлов и др., 2011; Pavlov et al., 2015]. Известно, что самая нижняя в разрезе вулканитов ивакинская свита намагничена в обратной полярности, тогда как все 10 вышележащих свит характеризуются прямой полярностью (рис. 1а). Лишь в самой верхней самоедской свите имеются признаки интервала обратной полярности [Gurevitch et al., 2004], что, однако, требует дополнительного изучения. По смене знака полярности в кровле ивакинской свиты традиционно в Норильском районе проводится граница перми – триаса (напр., [Lind et al., 1994]). Переходная зона, включающая инверсионный интервал и последующий экскурс, охватывает интервал разреза от сыверминской до середины надеждинской свиты [Heunemann et al., 2004; Pavlov et al., 2015].
В отличие от туфо-лавовой толщи, по интрузивным телам Норильского района опубликованы лишь фрагментарные палеомагнитные данные, полученные более чем 20 лет назад [Lind et al., 1994]. Поскольку эти результаты получены с использованием весьма ограниченной магнитной чистки, для характеристики интрузивных комплексов и их сопоставления с туфо-лавовой толщей необходимы современные палеомагнитные исследования. Необходимость обоснованной корреляции вулканитов с интрузивными образованиями определяется тем, что все современные высокоточные U–Pb датировки траппов Норильского района получены по интрузиям [Kamo et al., 1996; 2003; Burgess, Bowring, 2015]. Кроме того, вопрос возрастных соотношений конкретных интрузивных комплексов с лавами крайне важен для понимания генезиса Норильских рудных месторождений.
Опробованные в рамках данной работы интрузии вскрываются в 3 км к востоку от г. Талнах в урочище «Красные Камни», у юго-западного подножия Хараелахского плато (рис. 1б). В русле ручья Угольный обнажены три интрузивных тела, имеющих силлоподобную морфологию и видимую мощность 10–20 м (снизу вверх по течению – Ергалах-1, Ергалах-2, Ергалах-3; далее – Е1, Е2, Е3, соответственно). Силлы локализованы в верхнепермских терригенных отложениях тунгусской серии, представленных чередующимися песчаниками, гравелитами и алевролитами с прослоями углей. Контакты силлов конформны вмещающим породам, залегание их варьирует в разных коренных выходах, оставаясь пологим. При этом кровля силла Е1 и подошвы всех трех интрузий не обнажены, указывая на то, что истинная мощность интрузивных тел может несколько превышать видимую.
В 15 м выше кровли верхней интрузии обнажена подошва первого потока трахибазальтов ивакинской свиты, налегающая на осадочные породы тунгусской серии. Этот поток перекрывается серией трапповых лавовых покровов до надеждинской свиты включительно мощностью до 600 м. Толща лавовых потоков полого (<5°) погружается на север к центру Хараелахской мульды.
Интрузивные тела сложены мелкокристаллическими долеритами. Структура пород в шлифах пойкилоофитовая: крупные ойкокристы клинопироксена (60% от объема породы) содержат удлиненные хадакристаллы плагиоклаза (30–40%.). До 15% объема породы слагают титаномагнетит и ильменит. Согласно Геологической карте 1:200 000 [Шерман и др., 1991] изученные интрузии относятся к ергалахскому комплексу; по химическому составу они характеризуются повышенной щелочностью и отвечают трахибазальтам (трахидолеритам) [Рябов и др., 2001].
3. МЕТОДИКА
Отбор палеомагнитных образцов производился вручную, их ориентировка в пространстве – с помощью магнитного компаса, с постоянным контролем возможного влияния сильно магнитных пород на стрелку компаса. Из каждого сайта было отобрано от 13 до 18 образцов. Общее количество ориентированных образцов из 3 силлов составило 45. Отбор осуществлялся снизу вверх по разрезу интрузии с шагом от 0.1–0.5 м (силл Е1) до 1–1.5 м (силл Е3). В общей сложности опробованная мощность интрузии Е1 составила 11 м, интрузии Е2 – 14 м, интрузии Е3 – 20 м. Величина местного магнитного склонения рассчитывалась по модели IGRF. Лабораторные палеомагнитные исследования и обработка результатов магнитных чисток выполнялись в лаборатории Главного геомагнитного поля и петромагнетизма ИФЗ РАН. Все образцы были подвергнуты ступенчатой температурной чистке до полного размагничивания (11–14 шагов), которое достигалось при температурах 540–600 °C. Для размагничивания образцов использовались немагнитные печи «MMTD-80» с величиной нескомпенсированного поля не более 5–10 нТл. Остаточная намагниченность образцов измерялась при помощи спин-магнитометра JR-6 AGICO. Обработку измерений остаточной намагниченности выполняли при помощи пакетов программ Enkin [Enkin, 1994] и Remasoft [Chadima, Hrouda, 2006], использующих при выделении компонент намагниченности метод компонентного анализа [Kirschvink, 1980]. Анализ полученных данных производился с использованием статистики Фишера [Fisher, 1953].
Непрерывное терморазмагничивание проводилось на трехкомпонентном магнитометре конструкции Ю.К. Виноградова в Геофизической обсерватории «Борок» (Ярославская область). Температурные кривые намагниченности насыщения измерялись на вибромагнитометре конструкции Ю.К. Виноградова в поле 0.7 Тл. Петли гистерезиса снимались на вибромагнитометре РМС MicroMag 3900 при комнатной температуре с величиной поля насыщения 0.5 Тл. Доменная структура ферромагнитных зерен оценивалась по диаграмме Дэя [Day et al., 1977]. Измерения анизотропии магнитной восприимчивости проводились на каппометре MFK-1 FA компании AGICO. Обработка измерений выполнялась в программе Anisoft 4.2 с использованием статистических методов, описанных в работе [Jelinek, 1978].
4. ПАЛЕОМАГНЕТИЗМ
Компонентный анализ показал, что в изученных образцах присутствуют 3 компоненты естественной остаточной намагниченности (ЕОН): низкотемпературная компонента прямой полярности и две стабильные компоненты прямой и обратной полярности. Детальное описание всех компонент намагниченности приведено ниже. Поскольку температурные интервалы деблокирования компонент варьируют в разных образцах и интрузиях, далее под высокотемпературной компонентой мы будем понимать наиболее стабильную компоненту ЕОН, на диаграммах Зийдервельда приходящую к началу координат; под среднетемпературной – промежуточную компоненту, имеющую отличные от высоко- и низкотемпературной компонент в этом же образце направления.
Низкотемпературная компонента (далее L-компонента) разрушается при температурах до 210–280 °C и, в основном, имеет направления, близкие к современному геомагнитному полю, хотя и характеризуется значительным разбросом. L-компонента выделяется примерно в 50% образцов и, скорее всего, имеет вязкую природу.
Также в образцах были выделены две стабильные компоненты, имеющие обратную и прямую полярность. Компонента обратной полярности (далее R-компонента) изолируется преимущественно в температурном интервале 520–580 °C; в редких случаях от 280–330 °C или до 600 °C. Направления этой компоненты, как правило, близки к направлениям, полученным ранее для трахибазальтов ивакинской свиты [Heunemann et al., 2004; Павлов и др., 2011; и др.], однако отдельные образцы отличаются более низкими наклонениями (до –30…–45°), не характерными для траппов Сибирской платформы. R-компонента выделяется в интрузиях Е1 и Е2 в общей сложности в 19 образцах и во всех случаях является высокотемпературной. При этом в 9 случаях R-компонента является единственной стабильной, помимо вязкой L-компоненты (рис. 2а). В остальных образцах, кроме высокотемпературной R-компоненты, присутствует также среднетемпературная компонента прямой полярности (см. ниже).
Компонента прямой полярности (далее N-компонента) изолируется во всех трех интрузиях в общей сложности в 33 образцах. В силле Е3 эта компонента является единственной, помимо вязкой L-компоненты, и выделяется в температурном интервале от 330 (в отдельных образцах от 210) до 580 °C. В силлах Е1 и Е2 N-компонента в 10 образцах также является единственной стабильной компонентой (рис. 2б), и в 9 образцах присутствует наряду с R-компонентой, выступая как среднетемпературная. Температуры деблокирования N-компоненты варьируют в диапазоне от 210 до 580 °C (в основном 330–560 °C) в тех случаях, когда она является высокотемпературной. В образцах, где N-компонента является среднетемпературной, она выделяется, как правило, в интервале 210–380 °C (рис. 2в), иногда от 120 до 500 °C. Направления N-компоненты характеризуются высокими наклонениями и склонениями в основном в восточных румбах, типичными для пермо-триасовых траппов Сибирской платформы [Pavlov et al., 2015]. Для некоторых образцов разделение N- и L-компонент представляется проблематичным, поскольку их направления близки (рис. 3), однако в большинстве образцов N-компонента отличается более высокими деблокирующими температурами и значительным угловым расстоянием от направления современного геомагнитного поля. Осознавая возможность не вполне точного определения направлений N-компоненты из-за ее наложения на L-компоненту, следует отметить, что направления древнего геомагнитного поля, определяемые по многим свитам и интрузиям Норильских траппов, достаточно близки к современному геомагнитному полю (см., например, [Pavlov et al., 2015]).
Все направления N- и R-компонент, выделенные в трех силлах, показаны на рис. 3 и в табл. 1. Анализ распределения этих компонент по разрезам интрузий показывает, что R-компонента присутствует только в верхней и нижней приконтактовых зонах (силлы Е1 и Е2), в то время как центральная часть этих силлов, а также интрузия Е3 полностью представлены исключительно образцами прямой полярности (рис. 4). В разрезе интрузии Е1 снизу вверх сменяют друг друга зона распространения компоненты обратной полярности мощностью 2.5 м, интервал прямой полярности мощностью 3.5 м и еще одна зона проявления R-компоненты мощностью 5 м. В разрезе интрузии Е2 интервалы развития высокотемпературных N- и R-компонент сменяют друг друга аналогичным образом: в верхней и нижней частях интрузива в зонах мощностью 4 и 6 м, соответственно, обнаруживается компонента обратной полярности, в центральной части мощностью 4 м наблюдается только высокотемпературная N-компонента (рис. 4). Причины такого закономерного распространения R-компоненты будут обсуждаться в разделе 6.
Рис. 2. Типичные примеры результатов температурной чистки: (а) – образец 117, силл Е1; R-компонента выделяется на температурах 460–580 °C; (б) – образец 133, силл Е2; R-компонента выделяется на температурах 520–580 °C; N-компонента – на температурах 210–420 °C; (в) – образец 108, силл Е1; N-компонента выделяется на температурах 380–560 °C. Географическая система координат. На стереограммах: полые кружки – верхняя полусфера; залитые кружки – нижняя полусфера; NRM – естественная остаточная намагниченность. M/Mmax – отношение естественной остаточной намагниченности при нагреве до данной температуры к максимальной ЕОН.
Рис. 3. Распределение направлений R- и N-компоненты внутри сайтов. Стереографическая проекция, географическая система координат: 1 – R-компонента, обратная полярность; 2 – высокотемпературная N-компонента, прямая полярность; 3 – среднетемпературная N-компонента, прямая полярность; 4 – L-компонента; 5 – рассчитанное по модели IGRF направление современного геомагнитного поля; (а) – интрузия Е1; (б) – Е2; (в) – Е3.
Рис. 4. Магнитостратиграфический разрез района исследований. Цифрами обозначены: 1 – трахидолериты ергалахского комплекса; 2 – трахибазальты ивакинской свиты; 3 – осадочные породы тунгусской серии; 4 – четвертичные отложения. Справа от колонки цветом показана магнитная полярность: N – прямая; R – обратная. Полярность в ивакинской свите показана по [Heunemann et al., 2004].
Таблица 1. Рассчитанные компоненты намагниченности
Образец
| n
| D
| I
| Tинт.
| a95
| Полярность
|
Сайт Е1 (N69°28.558' E88°31.217')
| ||||||
Высокотемпературная компонента:
| ||||||
101
| 3
| 173.2
| –30.7
| 520–560
| 14
| R
|
102
| 2
| 223.6
| –57.6
| 520–560
| 0
| R
|
103
| 4
| 232.6
| –48.3
| 520–580
| 10.7
| R
|
104
| 3
| 187.2
| 58.8
| 460–520
| 0.7
| N
|
106
| 9
| 156
| 64.5
| 330–580
| 1.2
| N
|
107
| 8
| 131.8
| 76.5
| 330–560
| 2.2
| N
|
108
| 7
| 111.2
| 61.5
| 380–560
| 2.4
| N
|
109
| 7
| 133.2
| 62.2
| 380–560
| 1.8
| N
|
110
| 3
| 228.9
| –65.3
| 520–560
| 11
| R
|
112
| 9
| 284.1
| –63.4
| 330–580
| 4.5
| R
|
113
| 3
| 277.1
| –60.3
| 520–600
| 4.7
| R
|
114
| 8
| 141.3
| 59.4
| 330–560
| 3.4
| N
|
115
| 4
| 243.9
| –66.3
| 500–580
| 0.9
| R
|
116
| 6
| 293
| –81.7
| 460–580
| 7
| R
|
117
| 6
| 270.4
| –76.6
| 460–580
| 1.1
| R
|
118
| 3
| 225
| –40.6
| 540–580
| 9.3
| R
|
Среднетемпературная компонента:
| ||||||
101
| 5
| 321.8
| 82.1
| 120–380
| 5.8
| N
|
102
| 4
| 94.8
| 71
| 210–500
| 4.3
| N
|
103
| 6
| 320.6
| 77.5
| 210–460
| 6
| N
|
112
| 4
| 303.6
| 78.3
| 120–330
| 1.4
| N
|
113
| 4
| 157.3
| 85.5
| 330–460
| 2.8
| N
|
116
| 4
| 288.3
| 72.3
| 120–380
| 3.1
| N
|
118
| 4
| 220.8
| 73
| 210–380
| 2.4
| N
|
Сайт Е2 (N69°28.675' E88°31.514') | ||||||
Высокотемпературная компонента:
| ||||||
133
| 3
| 284.8
| –71.1
| 520–580
| 4.7
| R
|
134
| 6
| 146.1
| –42.5
| 280–540
| 5.4
| R
|
135
| 3
| 245.6
| –32.4
| 500–540
| 10.8
| R
|
136
| 5
| 178.7
| 77.5
| 460–580
| 1.9
| N
|
137
| 5
| 225.5
| –80.9
| 460–560
| 3.2
| R
|
138
| 6
| 51
| 81.3
| 120–500
| 3.2
| N
|
139
| 7
| 210.4
| 69
| 280–520
| 6.1
| N
|
140
| 9
| 67.5
| 85.2
| 280–560
| 2.7
| N
|
141
| 3
| 352.8
| –70
| 520–560
| 3.2
| R
|
142
| 9
| 202.5
| –69.4
| 330–600
| 2.8
| R
|
143
| 4
| 253.3
| –74.5
| 500–580
| 1.5
| R
|
144
| 5
| 273.2
| –82.8
| 460–560
| 5
| R
|
145
| 5
| 274.2
| –79.8
| 460–580
| 2.4
| R
|
Среднетемпературная компонента:
| ||||||
133
| 5
| 44
| 77.6
| 210–420
| 6.6
| N
|
137
| 3
| 81.4
| 75.4
| 120–280
| 3
| N
|
Образец
| n
| D
| I
| Tинт.
| a95
| Полярность
|
Сайт Е3 (N69°28.787' E88°31.811')
| ||||||
119
| 8
| 187
| 80.6
| 330–560
| 9.3
| N
|
120
| 9
| 109.6
| 78.6
| 210–540
| 1.8
| N
|
121
| 8
| 131.7
| 73.1
| 280–540
| 1.7
| N
|
122
| 8
| 185.9
| 74.6
| 330–560
| 3.7
| N
|
123
| 6
| 244.9
| 63.5
| 420–560
| 2.4
| N
|
124
| 5
| 318.6
| 69.4
| 460–560
| 2.5
| N
|
125
| 5
| 154.2
| 67.2
| 420–540
| 2.7
| N
|
126
| 4
| 135.3
| 70.7
| 420–520
| 5.1
| N
|
127
| 9
| 1.7
| 84.6
| 210–540
| 3.5
| N
|
128
| 5
| 143.2
| 62.8
| 380–520
| 3.2
| N
|
129
| 5
| 197.8
| 72.5
| 420–580
| 3.5
| N
|
130
| 8
| 164
| 84
| 330–560
| 3.7
| N
|
131
| 7
| 323.7
| 61.3
| 380–560
| 9.4
| N
|
132
| 8
| 177.3
| 76.6
| 330–580
| 5.1
| N
|
Примечание: n – количество шагов чистки, по которым рассчитана компонента; D – склонение, °; I – наклонение, °; Тинт. – интервал деблокирующих температур, °C; a95 – доверительный интервал, °.
5. ПЕТРОМАГНИТНЫЕ СВОЙСТВА
Кривые зависимости намагниченности насыщения от температуры, снятые до 680 °C, демонстрируют, что основным магнитным минералом в большинстве исследованных образцов трахидолеритов является низкотитанистый титаномагнетит с точками Кюри от 520 до 560 °C (рис. 5а, 5б). Такой минеральный состав магнитной фракции является характерным для траппов Норильского района; сходная магнитная минералогия была определена для вулканитов Хараелахской мульды [Heunemann et al., 2004]. Важно отметить, что образцы с различным компонентным составом не обнаруживают никаких отличий по термокривым намагниченности насыщения.
Значения гистерезисных параметров Jrs/Js и Hcr/Hc для изученных образцов варьируют в пределах 0.06–0.5 и 1.28–3.53, соответственно. Подавляющее большинство точек на диаграмме Дэя–Данлопа [Day et al., 1977; Dunlop, 2002] распространено вдоль кривой смешения однодоменных и многодоменных зерен титаномагнетита [Dunlop, 2002], при этом большая часть образцов попадает в «псевдооднодоменное» поле (рис. 5в). Очевидных различий между образцами с разным компонентным составом намагниченности не обнаруживается, хотя следует отметить, что среди образцов, несущих единственную N-компоненту, выделяется группа, наиболее близкая к полю однодоменных зерен.
Соотношение магнитной восприимчивости и величины высокотемпературной компоненты остаточной намагниченности в образцах интрузий Е1 и Е2, в которых были обнаружены как прямая, так и обратная магнитная полярность, показано на рис. 5г. Большая часть образцов характеризуется значениями параметра Кенигсбергера Qn = 1–3; при этом фигуративные точки на диаграмме образуют облако, вытянутое вдоль изолиний Qn. Это показывает, что величина естественной остаточной намагниченности главным образом определяется концентрацией магнитных минералов, а также свидетельствует в пользу термоостаточной природы намагниченности. Следует отметить, однако, наличие довольно большого числа образцов с R-компонентой и единичного образца с высокотемпературной N-компонентой ЕОН, для которых значения Qn < 1. Это может объясняться несколькими причинами: 1) вкладом среднетемпературной N-компоненты в суммарную ЕОН образцов, несущих одновременно N- и R-компоненту; 2) вкладом метахронной химической намагниченности, приводящим к падению величины Jn; 3) приобретением R-компоненты в магнитном поле пониженной напряженности перед инверсией, что приводит к более низкой величине термостаточной намагниченности. Ранее свидетельства крайне слабой интенсивности геомагнитного поля в интервале перед инверсией на рубеже перми и триаса были получены для лавовых потоков ивакинской свиты траппов Норильского района, также намагниченных в обратной полярности [Щербакова и др., 2015]. При этом мы не можем полностью исключить версию о вкладе химической намагниченности в ЕОН образцов с R-компонентой, хотя отсутствие принципиальных различий образцов с разным компонентным составом по термомагнитным и гистерезисным характеристикам, а также отсутствие различий по степени вторичных изменений породы позволяет нам считать эту версию маловероятной.
Рис. 5. Петромагнитные свойства: (а), (б) – температурные кривые Js (T); Js – намагниченность насыщения; Js0 – намагниченность насыщения при комнатной температуре; Т – температура, °C; (а) – обр. 117, силл Е1, при температурной чистке выделена R-компонента; (б) – обр. 133, силл Е2, при температурной чистке выделены N- и R-компоненты; (в) – диаграмма Дэя–Данлопа [Day et al., 1977; Dunlop, 2002]; Js – намагниченность насыщения; Jrs – остаточная намагниченность насыщения; Hc – коэрцитивная сила; Hcr – остаточная коэрцитивная сила; PSD – область псевдооднодоменных зерен; SD – область однодоменных зерен. Пунктиром показана линия смешения однодоменных и многодоменных зерен титаномагнетита [Dunlop, 2002]; (г) – диаграмма зависимости естественной остаточной намагниченности Jn от магнитной восприимчивости K. Qn – фактор Кенигсбергера; полые кружки – образцы с высокотемпературной R-компонентой; залитые кружки – образцы с высокотемпературной N-компонентой ЕОН.
Для интрузий Е1 и Е2, демонстрирующих биполярный состав компонент намагниченности, были проведены измерения анизотропии магнитной восприимчивости (АМВ). Подавляющее большинство образцов характеризуется низкой степенью анизотропии Pj = 1.01–1.03 (за исключением единственного образца с Pj = 1.18), что типично для интрузий основного состава с первично магматической магнитной текстурой [Tarling, Hrouda, 1993]. Параметр Т, характеризующий форму эллипсоида АМВ [Jelinek, 1981], примерно в 50% образцов является положительным, что отвечает вытянутой форме эллипсоида, в 50% – отрицательным (сплюснутый эллипсоид). Образцы с разным компонентным составом намагниченности не обнаруживают явных различий по величине параметров анизотропии.
В обеих интрузиях распределение главных осей эллипсоида АМВ отвечает обратному типу магнитной текстуры [Rochette et al., 1991], при котором максимальная ось перпендикулярна контакту тела и субвертикальна в силлах (рис. 6), а две другие лежат в плоскости интрузии. Такой характер анизотропии может быть вызван разными причинами: 1) преобладание однодоменного магнетита в составе магнитной фракции [Potter, Stephenson, 1988]; 2) медленная кристаллизация магнитных зерен в стационарной магме [Tauxe et al., 1998]; 3) рост кристаллов магнитных минералов перпендикулярно контакту [Cowan, 1999]; 4) постмагматические изменения. Детальный анализ анизотропии магнитной восприимчивости изученных интрузий представляет собой отдельную тему и выходит за рамки данной работы; отметим лишь, что обратный тип эллипсоида преобладает среди образцов как с N-, так и c R-компонентой ЕОН. Исключение составляют образцы с N-компонентой из силла Е2, в которых максимальная ось эллипсоида во всех случаях ориентирована полого; тем не менее, количество проанализированных образцов слишком мало, чтобы делать обоснованные выводы.
Непрерывное терморазмагничивание 7 образцов, содержащих одновременно N- и R-компоненты, выполненное на трехкомпонентном магнитометре в ГО «Борок», выявило наличие компонент намагниченности в тех же температурных интервалах, что и ступенчатая термочистка. Так, при размагничивании образца 133 (рис. 7, сайт Е2) до температуры 120 °C выделяется L-компонента, в температурном интервале 180–420 °C – N-компонента, а выше 500 °C – R-компонента. Промежуточные температурные интервалы представляют собой области перекрытия спектров блокирующих температур разных компонент и отражаются в виде изгибов на диаграммах Зийдервельда. На других образцах эти особенности палеомагнитного сигнала выражены с меньшей четкостью, однако присутствие не менее чем двух компонент подтверждается во всех образцах, подвергнутых непрерывной термочистке.
Таким образом, петромагнитные исследования показывают, что выявленные при ступенчатой термочистке компоненты намагниченности не являются артефактами, возникающими вследствие минералогических изменений в ходе последовательных нагревов, а различный компонентный состав намагниченности в разных образцах нельзя объяснить особенностями магнитной минералогии.
Рис. 6. Результаты измерения анизотропии магнитной восприимчивости в интрузиях Е1 и Е2. Географическая система координат, равноплощадная проекция; N – образцы с высокотемпературной N-компонентой; R – образцы с высокотемпературной R-компонентой; K1, K2, K3 – максимальная, средняя, минимальная оси эллипсоида АМВ, соответственно. Средние по сайтам положения осей выделены серым цветом; (а) – интрузия Е1; (б) – интрузия Е2.
Рис. 7. Результаты непрерывной температурной чистки образца 133, сайт Е2 (при ступенчатом размагничивании вы-делены R- и N-компоненты); L-компонента выделяется при температурах 25–120 °C; N-компонента – при температурах 180–420 °C; R-компонента – при температурах 500–540 C; NRM – естественная остаточная намагниченность; М/Мmax – отношение естественной остаточной намагниченности при нагреве до данной температуры к максимальной ЕОН
6. ОБСУЖДЕНИЕ РЕЗУЛЬТАТОВ
Средние направления, рассчитанные на уровне образцов для N- и R-компонент, близки к ожидаемым для траппов (см. табл. 2, рис. 8). Тест обращения, выполненный для N- и R-компонент естественной остаточной намагниченности [McFadden, McElhinny, 1990], показывает, что они не являются антиподальными (ɣ/ɣсr = 22.6/10.6). Если исключить из расчета направления R-компоненты с аномально низкими для траппов Сибирской платформы наклонениями (0° > I > –50°), результат теста также является отрицательным (ɣ/ɣсr = 15.5/9.4). Следует отметить статистически значимые различия средних направлений N-компоненты для тех образцов, где она является высоко- и среднетемпературной (рис. 8). Поскольку направления среднетемпературной N-компоненты более тяготеют к современному полю, это, скорее всего, является следствием неполного разделения среднетемпературной N- и вязкой L-компонент.
Присутствие обеих полярностей в разрезах 2 из 3 опробованных интрузий можно объяснить несколькими способами: 1) позднейшее перемагничивание приконтактовой зоны силлов; 2) самообращение остаточной намагниченности; 3) застывание интрузий в момент переходного интервала от обратной к прямой полярности. Далее мы поочередно рассмотрим все три гипотезы.
Рис. 8. Средние направления для выделенных компонент. Географическая система координат: R-компонента: 1 – среднее по всем образцам; 2 – среднее без образцов с аномально низкими наклонениями (0 > I > –50°); N–компонента: 3 – среднее по всем образцам; 4 – только высокотемпературная компонента; 5 – только среднетемпературная компонента.
Возможность метахронной природы одной из выявленных компонент N- и R- следует обсудить в первую очередь, принимая во внимание, что исследованные силлы локализованы в пределах области активного вулканизма и, более того, пространственно близки к региональной Норильско-Хараелахской зоне разломов. Естественным выглядит предположение, что силлы внедрились в отложения тунгусской серии в эпоху прямой полярности, а затем при извержении близко расположенных лав ивакинской свиты в эпоху обратной полярности внешние зоны этих интрузий подверглись прогреву и были частично перемагничены. Тогда мы должны заключить, что внедрение интрузий предшествовало извержению всей туфо-лавовой толщи Норильского района (или, по крайней мере, Хараелахской мульды). Наличие прямой полярности в интрузиях ергалахского комплекса ранее постулировалось в работах Э.Н. Линда [Lind et al., 1994]; на основании этого, в частности, предполагалось существование прямо намагниченного интервала в нижней подсвите ивакинской свиты, геохимически близкой к ергалахскому комплексу.
Тем не менее, эта версия при детальном рассмотрении сталкивается с рядом противоречий. Так, с позиции перемагничивания невозможно объяснить отсутствие R-компоненты остаточной намагниченности в силле Е3, который расположен ближе других к подошве ивакинской свиты и, следовательно, должен был испытать наиболее сильное температурное воздействие. Кроме того, в образцах, где присутствуют как N-, так и R-компонента, высокотемпературной всегда является последняя. Поскольку в случае термального перемагничивания прямой компоненты в эпоху обратной полярности мы вправе ожидать обратного распределения спектров блокирующих температур (т. е. высокотемпературной N-компоненты и среднетемпературной R-компоненты), этот факт также противоречит высказанной гипотезе.
Обратная ситуация, то есть формирование N-компоненты в ходе перемагничивания в эпоху прямой полярности, также выглядит маловероятной. Сложно представить себе процесс, который привел бы к перемагничиванию центральной части интрузий Е1 и Е2 и не затронул бы их приконтактовые зоны. Необъяснимо также полное отсутствие гипотетической метахронной компоненты прямой полярности в ближайших лавовых потоках ивакинской свиты [Heunemann et al., 2004].
Таблица 2. Средние палеомагнитные направления для выделенных компонент
Направление
| N
| D
| I
| K
| a95
|
R-компонента (по всем образцам)
| 19
| 234.5
| –70
| 10.6
| 10.8
|
R-компонента (без аномально низких наклонений*)
| 14
| 259
| –74.8
| 34
| 6.9
|
N-компонента (по всем образцам)
| 33
| 159.9
| 82.8
| 21.4
| 5.5
|
N-компонента (только высокотемпературная)
| 24
| 160.1
| 79.2
| 21.4
| 6.5
|
N-компонента (только среднетемпературная)
| 9
| 341.6
| 87.6
| 32.0
| 9.2
|
Случаи самообращения остаточной намагниченности неоднократно фиксировались в траппах Сибирской платформы как в вулканитах [Гусев, 1967; Фетисова и др., 2014], так и в интрузиях [Гапеев, Грибов, 2008; Щербаков и др., 2017]. Для рассматриваемых нами интрузивных тел эта гипотеза, однако, представляется маловероятной. Прежде всего, практически во всех образцах, несущих одновременно N- и R-компоненту Jn, эти компоненты не являются антиподальными, в отличие от всех известных нам случаев самообращения, связанного с Сибирскими траппами [Веселовский и др., 2003; Гапеев, Грибов, 2008; Щербаков и др., 2017]. Это подтверждается и отрицательными результатами теста обращения. Кроме того, в случае самообращения остается неясным присутствие большого
количества образцов с единственной N- или R-компонентой и закономерное распространение R-компоненты по разрезам интрузий. Впрочем, поскольку стопроцентно доказать отсутствие эффекта самообращения так же сложно, как его наличие, полностью исключить из рассмотрения эту гипотезу мы не можем.
Версия о формировании интрузий с биполярными компонентами намагниченности в течение инверсии хорошо объясняет распределение компонент по разрезу тел. Действительно, поскольку остывание магматического тела происходит от контактов к центру, можно допустить, что внедрение силлов Е1 и Е2 началось в течение интервала обратной полярности. При охлаждении верхней и нижней приконтактовых зон интрузии до блокирующих температур 520–580 °C они приобрели намагниченность в обратной полярности. Затем, в течение интервала прямой полярности, произошло остывание центральной части тела и формирование N-компоненты намагниченности, высокотемпературной в середине интрузии и среднетемпературной в приконтактовой зоне.
Принимая гипотезу инверсии, мы должны заключить, что внедрение и остывание интрузий Е1 и Е2 соответствует смене полярности, которая приурочена к кровле ивакинской – подошве сыверминской свиты и в большинстве опубликованных работ привязана к рубежу перми и триаса. Силл Е3, согласно этой версии, должен быть несколько моложе и сформировался полностью в интервале прямой полярности. Такой вариант корреляции не противоречит геохимическому сходству опробованных интрузий и ивакинской свиты и принятой схеме сопоставления ергалахского комплекса с ивакинской свитой. Также следует отметить, что существуют свидетельства начала собственно инверсионного интервала в конце ивакинского времени (прямая полярность верхнего потока ивакинской свиты в разрезе Сундук [Pavlov et al., 2015]), что является дополнительным аргументом в пользу формирования комагматичных этим потокам интрузий непосредственно в момент смены полярности.
Таким образом, предположение о формировании изученных интрузий ергалахского комплекса в течение последовательных интервалов обратной и прямой полярности и заключенной между ними инверсии правдоподобно объясняет распределение N- и R-компонент в разрезе силлов и температурные интервалы их проявления. Кроме того, эта гипотеза не противоречит существующей схеме корреляции интрузивных комплексов с вулканическим разрезом и подкрепляется геохимическими сходствами ергалахского комплекса и ивакинской свиты. На данный момент мы не видим обоснованных возражений против такой интерпретации палеомагнитного сигнала в ергалахских интрузиях и считаем эту гипотезу наиболее вероятной.
Как упоминалось выше, данные о прямо намагниченных интрузиях ергалахского комплекса были ранее получены Э.Н. Линдом, который на основании этого предполагал наличие интервала прямой полярности в нижней подсвите ивакинской свиты. Подтверждение этой гипотезы привело бы к необходимости пересмотра существующих представлений о времени начала траппового магматизма и общей его продолжительности, поскольку это означало бы, что формирование ивакинской свиты полностью охватывало интервал обратной полярности и часть предшествующего интервала прямой полярности. Наши данные подтверждают наличие прямо намагниченных интрузий ергалахского комплекса, однако приводят к интерпретации, что интервал прямой полярности, зафиксированный в этих силлах является тем же, что и в туфо-лавовой толще выше ивакинской свиты, а внедрение этих силлов ергалахского комплекса, представляющих начальные этапы траппового магматизма, привязано непосредственно к границе перми и триаса.
«Аномальные» направления R-компоненты, характеризующиеся пониженными для Сибирских траппов наклонениями, могут фиксировать направления геомагнитного поля собственно в ходе инверсии. Как видно из табл. 1 и рис. 9, образцы с такими направлениями обнаруживаются как в силле Е1, так и в Е2 в зоне распространения R-компоненты, причем их расположение не является строго привязанным к границе прямой и обратной полярности. Тем не менее, стоит отметить, что в ряде случаев эти направления можно объяснить неполным разделением R- и N-компонент.
Также на рис. 9 можно заметить, что единичные образцы c высокотемпературной N-компонентой встречаются в зоне обратной полярности в обоих силлах, где записана переходная зона. Несмотря на то, что во многих сериях лавовых потоков, содержащих запись инверсии геомагнитного поля, фиксируются экскурсы, непосредственно предшествующие или следующие за сменой полярности (“precursor” и “rebound”) [Merrill et al., 1996; Valet et al., 2012], подтвержденные случаи полного обращения поля авторам не известны. Немногочисленность таких образцов с высокотемпературной N-компонентой на данный момент не позволяет судить, отражают ли они в действительности морфологию геомагнитного поля в процессе инверсии или же являются свидетельством неравномерного остывания интрузий.
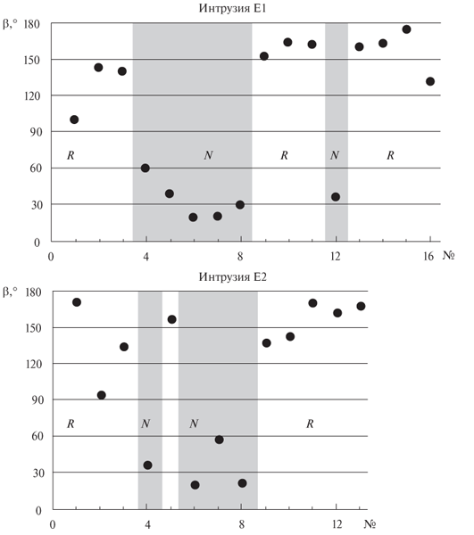
Чтобы наглядно представить изменения направления геомагнитного поля по разрезу интрузий, мы показали на рис. 10 тренд движения виртуальных геомагнитных полюсов (VGP), рассчитанных по высокотемпературной компоненте намагниченности образцов интрузий Е1 и Е2, подобно тому, как это сделано в работе [Valet et al., 2012]. По оси абсцисс показан порядковый номер образца в разрезе интрузии от подошвы к кровле; по оси ординат – угловое расстояние b между VGP, рассчитанным по данному образцу, и палеомагнитным полюсом NMK, полученным по пермо-триасовым эффузивным траппам Сибирской платформы [Pavlov et al., 2011]. Центральные части интрузий с b = 0°–30° и краевые зоны силлов с b = 150°–180° отвечают стабильному геомагнитному полю прямой и обратной полярности, соответственно, а образцы с промежуточными величинами b, согласно [Valet et al., 2012], маркируют переходный интервал. Характерных экскурсов, сопутствующих инверсии, не удается с уверенностью обнаружить ни в одном из разрезов, что может являться результатом недостаточно детального опробования интрузий. Тем не менее, в прямо намагниченном интервале силла Е1 достаточно четко прослеживается тренд от «инверсионных» VGP (b > 30°) к стабильному полю прямой полярности, а в верхней части силла Е2 – движение VGP от стабильного поля обратной полярности к инверсионному интервалу (β уменьшается от 180° до 135°).
Используя современные оценки продолжительности инверсий, можно получить ограничения на длительность застывания опробованных интрузий. В большинстве опубликованных работ оценки длительности инверсий геомагнитного поля, как правило, основанные на изучении плиоцен-четвертичных инверсий, находятся в диапазоне 1–10 тыс. лет [Merril, McFadden, 1999; Clement, 2004; Valet et al., 2012]. Таким образом, минимальное время остывания силлов ергалахского комплекса примерно от 600 до 200 °C (температурный интервал приобретения термоостаточной намагниченности) можно оценить как первые тысячи лет. Следует отметить, что время непосредственной смены полярности без учета сопутствующих экскурсов, согласно последним моделям инверсий [Valet et al., 2012], может составлять всего 1–2 тыс. лет. С другой стороны, если принять во внимание, что собственно «инверсионные» направления обнаружены лишь в отдельных образцах, а также недостаточно высокую надежность этих определений, время остывания всего интрузивного тела до блокирующих температур могло быть существенно больше.
Рис. 9. Изменение угловых элементов геомагнитного поля по разрезу интрузий: D – склонение, I – наклонение; в колонках слева белым цветом показана обратная полярность, черным – прямая: 1 – высокотемпературная компо-нента; 2 – среднетемпературная компонента.
Рис. 10. Изменение виртуальных геомагнитных полюсов, рассчитанных для высокотемпературной компоненты, по разрезу интрузий. № – номер образца в разрезе интрузии от подошвы к кровле; – угловая разница между виртуальным геомагнитным полюсом данного образца и палеомагнитным полюсом NMK, рассчитанным по траппам Сибирской платформы [Pavlov et al., 2019]; N – прямая полярность; R – обратная полярность.
Вышеприведенные оценки длительности охлаждения интрузий порождают вопрос, насколько реально остывание относительно маломощных (не более 20 м) и малоглубинных силлов в течение тысячи лет и более. Моделирование термальной истории охлаждающегося базальтового силла мощностью 100 м, проведенное в работе [Konstantininov et al., 2014], демонстрирует, что время остывания такого тела от 600 до 200 °C займет 1–2 тыс. лет. Таким образом, сопоставимая или даже большая продолжительность остывания существенно менее мощного силла требует объяснения. На данный момент в качестве возможной причины мы рассматриваем региональный прогрев территории, синхронный с формированием опробованных интрузий. Напомним, что в течение инверсии, зафиксированной в силлах Е1 и Е2, сформировалось до трети разреза эффузивных траппов Норильского района [Pavlov et al., 2015]. Кроме того, опробованные интрузии находятся в непосредственной близости от Норильско-Хараелахской зоны разрывных нарушений, которая рассматривается как магмоподводящая зона для Норильских траппов. Учитывая близость к эпицентру интенсивного траппового магматизма в Норильском районе, общий прогрев территории во время внедрения интрузий представляется вполне возможным. Ранее свидетельства масштабного прогрева коры, сопутствующего трапповому магматизму, были получены на основании трекового датирования апатитов с северо-восточной окраины Сибирской платформы [Розен и др., 2009].
Поскольку силлы Е1 и Е2 были опробованы нами с достаточно грубым шагом по разрезу между образцами (до 1–1.5 м в интрузии Е2), мы предполагаем, что детализация отбора этих интрузий, особенно в районе предполагаемого инверсионного интервала, может предоставить уникальный материал для исследования направлений геомагнитного поля в момент инверсии. Также детальная температурная чистка и определение блокирующих температур N- и R-компонент могут быть использованы для восстановления термальной истории интрузивных тел.
7. ЗАКЛЮЧЕНИЕ
1. В трапповых силлах ергалахского комплекса в районе г. Талнах обнаружено чередование зон обратной и прямой полярности. Поскольку интервалы обратной полярности закономерно приурочены к контактам интрузий, а прямой полярности – к их центральной части, мы считаем, что силлы формировались в период смены полярностей и содержат запись инверсии геомагнитного поля.
2. Впервые на современном методическом и аппаратурном уровне палеомагнитных исследований доказано наличие зоны прямой полярности в интрузиях самого древнего в Норильском районе ергалахского комплекса Сибирских траппов.
3. Формирование изученных силлов происходило непосредственно на границе перми и триаса, в самом конце ивакинского времени. Длительность застывания интрузий в случае их формирования в процессе инверсии геомагнитного поля можно оценить как первые тысячи лет.
Работа выполнена при поддержке грантов РФФИ № 16-35-60114, 17-05-01121, 15-05-09250, а также гранта 14.Z50.31.0017 Правительства РФ. Авторы благодарят В.Э. Павлова за плодотворное обсуждение в ходе работы и помощь при проведении петромагнитных исследований, а также рецензентов А.Г. Иосифиди и Д.В. Метелкина за ценные комментарии и замечания, которые позволили существенно улучшить статью.
Sobre autores
A. Latyshev
Lomonosov Moscow State University; Institute of the Earth Physics of the Russian Academy of Sciences
Autor responsável pela correspondência
Email: anton.latyshev@gmail.com
Rússia, 1, Leninskie gory, Moscow, 119991; Bolshaya Gruzinskaya str., 10-1, Moscow 123242, Russia
P. Ulyakhina
Lomonosov Moscow State University; Institute of the Earth Physics of the Russian Academy of Sciences
Email: anton.latyshev@gmail.com
Rússia, 1, Leninskie gory, Moscow, 119991; Bolshaya Gruzinskaya str., 10-1, Moscow 123242, Russia
N. Krivolutskaya
Vernadsky Institute of Geochemistry and Analytical Chemistry of the Russian Academy of Sciences, Institute of Geochemistry and Analytical Chemistry of the Russian Academy of Sciences, Vernadsky Institute
Email: anton.latyshev@gmail.com
Rússia, 19, Kosygin street, Moscow, 119991
Bibliografia
- Веселовский Р.В., Галле И., Павлов В.Э. Палеомагнетизм траппов долин рек Подкаменная Тунгуска и Котуй: к вопросу о реальности послепалеозойских относительных перемещений Сибирской и Восточно-Европейской платформ // Физика Земли. 2003. № 10. С. 78–94.
- Вестфаль М., Суркис Ю.Ф., Гуревич Е.Л., Храмов А.Н. Геомагнитная инверсия Киама-Иллавара: запись в стратотипическом разрезе татарского яруса, Казанское Поволжье // Физика Земли. 2005. № 8. С. 41–62.
- Гапеев А.К., Грибов С.К. Магнитные свойства интрузивных траппов Сибирской платформы с признаками самообращения естественной остаточной намагниченности // Физика Земли. 2008. № 10. С. 75–92.
- Гурарий Г.З., Гарбузенко А.В., Назаров Х., Трубихин В.М. Геомагнитное поле во время инверсии Ранняя Харамильо (западная Туркмения) // Физика Земли. 2002. № 7. С. 72–83.
- Гусев Б.В., Металлова В.В., Файнберг Ф.С. Магнетизм пород трапповой формации западной части Сибирской плат-формы. Л.: Недра. 1967. 129 с.
- Михальцов Н.Э., Казанский А.Ю., Рябов В.В., Шевко А.Я., Куприш О.В., Брагин В.Ю. Палеомагнетизм траппов севе-ро-западной части Сибирской платформы по результатам исследований керна // Геология и геофизика. 2012. Т. 53. № 11. С. 1595–1613.
- Павлов В.Э., Флуто Ф., Веселовский Р.В., Фетисова А.М., Латышев А.В. Вековые вариации геомагнитного поля и вулканические пульсы в пермо-триасовых траппах Норильской и Маймеча-Котуйской провинций // Физика Земли. № 5. 2011. С. 35–50.
- Печерский Д.М., Бураков К.С., Захаров В.С., Начасова И.Е. Детальная запись геомагнитного поля во время остывания Мончегорского плутона // Физика Земли. 2004. № 8. С. 14–24.
- Печерский Д.М., Захаров В.С., Любушин А.А. Запись тонкой структуры геомагнитного поля в керне скважины WP-16 Бушвельд (Южная Африка) // Физика Земли. 2005. № 5. С. 3–17.
- Радько В.А. Фации интрузивного и эффузивного магматизма Норильского района. СПб. Картографическая фабрика ВСЕГЕИ. 2016. 226 с.
- Розен О.М., Соловьев А.В., Журавлев Д.З. Термальная эволюция северо-востока Сибирской платформы в свете данных трекового датирования апатитов из керна глубоких скважин // Физика Земли. 2009. № 10. С. 79–96.
- Рябов В.В., Шевко А.Я., Гора М.П. Магматические образования Норильского района. Петрология траппов.Т. 1. Новосибирск: изд-во «Нонпарель». 2001. 407 с.
- Соколов Д.Д. Магнитный момент Земли во время инверсий геомагнитного поля // Физика Земли. 2017. № 6. С. 55–59.
- Фетисова А.М., Веселовский Р.В., Латышев А.В., Радько В.А., Павлов В.Э. Магнитная стратиграфия пермо-триасовых траппов долины реки Котуй (Сибирская платформа) в свете новых палеомагнитных данных // Стратиграфия. Геологическая корреляция. 2014. Т. 22. № 4. С. 36–51. doi: 10.7868/S0869592 X1404005 X
- Шерман М.Л., Малич Н.С., Мкртычьян А.К., Струнин Б.М. и др. Геологическая карта Норильского рудного района масштаба 1:200 000. Красноярскгеология. 1991.
- Щербакова В.В., Жидков Г.В., Щербаков В.П., Латышев А.В., Фетисова А.М. О проверке гипотезы низкого мезозойского поля на трапповых породах Сибири // Физика земли. 2015. № 3. С. 47–67.
- Щербаков В.П., Латышев А.В., Веселовский Р.В., Цельмович В.А. Причина возникновения ложных компонент естественной остаточной намагниченности при стандартной пошаговой температурной чистке // Геология и геофизика. 2017. № 9. C. 1407–1421.
- Burgess S.D., Bowring S.A. High-precision geochronology confirms voluminous magmatism before, during, and after Earth’s most severe extinction. Science Advances. 2015. V. 1. № 7. e1500470. doi: 10.1126/sciadv.1500470
- Chadima M., Hrouda F. 2006. Remasoft 3.0 a user-friendly paleomagnetic data browser and analyzer. Travaux Géophysiques, XXVII. P. 20–21.
- Chauvin A., Roperch P. & Duncan R.A. Records of geo¬magnetic reversals from volcanic islands of French Polynesia. 2. Paleomagnetic study of a flow sequence (1.2–0.6 Ma) from the Island of Tahiti and discussion of reversal models // J. Geophys. Res. 1990. V. 95. P. 2727–2752.
- Clement B.M. Dependence of the duration of geomagnetic polarity reversals of site latitude // Nature. 2004. V. 428. P. 637–640.
- Cowan E.J. Magnetic fabric constraints on the initial geometry of the Sudbery igneous complex: a folded sheet or a basin-shaped igneous body? // Tectonophysics. 1999. V. 307. P. 135–162.
- Day R., Fuller M., Schmidt V.A. Hysteresis properties of titanomagnetites: grain size and compositional dependence // Phys. Earth. Planet. 1977. V. 13. P. 260–267.
- Dodson M.H., Dunn J.R., Fuller M., Williams I., Ito H., Schmidt V.A., Wu Yu.M. Palaeomagnetic record of a late Tertiary field reversal // Geophys. J. R. Astr. Soc. 1978. V. 53. P. 373–412.
- Dunlop D.J. Theory and application of the Day plot (Mrs/Ms versus Hcr/Hc) 1. Theoretical curves and tests using titanomagnetite data // J. Geophys. Res. 2002. V. 107. P. 1–22.
- Enkin R.J. A computer program package for analysis and presentation of paleomagnetic data – Pacific Geoscience Centre/Geological Survey of Canada. 1994. P. 16.
- Fedorenko V.A., Lightfoot P.C., Naldrett A.J., et al. Petro¬genesis of the flood-basalt sequence at Noril’sk, North-Central Siberia // Inter. Geol. Rev. 1996. V. 38. P. 99–135.
- Fisher R. Dispersion on a Sphere. Proceedings of the Royal Society of London. Series A // Mathematical and Physical Sciences. 1953. V. 217 (1130). P. 295–305.
- Fuller M., Williams L., Hoffman K.A. Paleomagnetic records of geomagnetic field reversals and the morphology of the transitional fields // Rev. Geophys. 1979. V. 17. P. 179–203. doi: 10.1029/RG017 i002 p00179
- Gurevitch E.L., Heunemann C., Rad’ko V., Westphal M., Bachtadse V., Pozzi J.P., Feinberg H. Palaeomagnetism and magnetostratigraphy of the Permian–Triassic northwest central Siberian Trap Basalts // Tectonophysics. 2004. V. 379. P. 211–226.
- Herrero-Bervera, E., Valet, J.-P. Paleosecular variation during sequential geomagnetic reversals from Hawaii // Earth Planet. Sci. Lett. 1999. V. 171. P. 139–148.
- Heunemann C., Krasa D., Soffel H., Gurevitch E., Bachtadse V. Directions and intensities of the Earth’s magnetic field during a reversal: results from the Permo-Triassic Siberian trap basalts, Russia // Earth and Planetary Science Letters. 2004. V. 218. P. 197–213.
- Jarboe N.A., Coe R.S., Glen J.M.G. Evidence from lava flows for complex polarity transitions: the new composite Steens Mountain reversal record // Geophys. J. Int. 2011. V. 186. P. 580–602.
- Jelínek V. Statistical processing of anisotropy of magnetic susceptibility measures on groups of specimens // Studia geophisica et geodetica. 1978. V. 22. P. 50–62.
- Jelínek V. Characterization of the magnetic fabrics of rocks // Tectonophysics. 1981. V. 79. P. T63–T67.
- Kamo S.L., Czamanske G.K., Amelin Yu., Fedorenko V.A., Davis D.W., Trofimov V.R. Rapid eruption of Siberian flood-volcanic rocks and evidence for coincidence with the Permian-Triassic boundary and mass extinction at 251 Ma. – Earth and Planetary Science Letters. 2003. V. 214. P. 75–91.
- Kamo S.L., Czamanske G.K., Krogh T.E. A minimum U–Pb age for Siberian flood-basalt volcanism // Geochim. Cosmochim. 1996. V. 60. P. 3505–3511.
- Kirschvink J.L. The least-square line and plane and the analysis of paleomagnetic data // Geophys // J.R. Astron. Soc. 1980. V. 62. P. 699–718.
- Konstantinov K.M., Bazhenov M.L., Fetisova A.M., Khutorskoy M.D. Paleomagnetism of trap intrusions, East Siberia: Implications to flood basalt emplacement and the Permo–Triassic crisis of biosphere // Earth and Planetary Science Letters. 2017. V. 394. P. 242–253.
- Langereis G.S., Van Hoof A.A.M., Rochette P. Longitudinal confinement of geomagnetic reversal paths as a possible sedimentary artefact // Nature. 1992. V. 358. P. 226–230. doi: 10.1038/358226 a0
- Lind E., Kropotov S., Czamanske G., Gromme S., Fedorenko V. Paleomagnetism of the Siberian Flood Basalts of the Noril’sk Area: A Constraint on Eruption Duration // International Geology Review. 1994. V. 36. № 12. P. 1139–1150.
- McFadden P.L., McElhinny M.W. Classification of the reversal test in palaeomagnetism // Geophys. J. Int. 1990. V. 103. P. 725–729.
- Merrill R.T., McFadden P.L., Geomagnetic polarity transitions // Rev. Geophys. 1999. V. 37. P. 201–226.
- Merrill, R.T., McElhinny, M.W., McFadden, P.L. The Mag¬netic Field of the Earth. Academic Press. San Diego. 1996.
- Moulin M., Fluteau F., Courtillot V., Valet J.P. The “van Zijl” Jurassic geomagnetic reversal revisited. Geochemistry, Geophysics, Geosystems. 2012. V. 13. doi: 10.1029/2011 GC003910
- Pavlov V., Fluteau F., Veselovskiy R., Fetisova A., Latyshev A., Elkins-Tanton L.T., Sobolev A.V., Krivolutskaya N.A. Volcanic pulses in the Siberian Traps as inferred from Permo-Triassic geomagnetic secular variations. Volcanism and Global Environmental Change / Ed. by A. Schmidt et al. Cambridge University Press. 2015. P. 63–78.
- Pavlov V., Fluteau F., Latyshev A., Fetisova A., Elkins-Tanton L.T., Black B., Burgess S., Veselovskiy R. Geomagnetic Secular Variations at the Permian-Triassic Boundary and Pulsed Magmatism During Eruption of the Siberian Traps // Geochemistry, Geophysics, Geosystems. 2019. V. 20. P. 773–791. doi: 10.1029/2018GC007950
- Potter D.K., Stephenson A., 1988. Single-domain particles in rocks and magnetic fabric analysis // Geophysical Research Letters 1988. V. 15. P. 1097–1100.
- Riisager J., Riisager P., Ken Pedersen A. The C27n-C26r geomagnetic polarity reversal recorded in the west Greenland flood basalt province: how complex is the transitional field? // J. Geophys. Res. 2003. V. 108. P. 2155.
- Rochette P., Jenatton L., Dupuy C., Boudier F., Reuber I. Diabase dikes emplacement in the Oman ophiolite: a magnetic fabric study with reference to geochemistry / Peters et al. (Eds). Ophiolite Genesis and Evolution of the oceanic lithosphere. 1991. P. 55–82.
- Tarling D.H., Hrouda F. The Magnetic Anisotropy of Rocks. Chapman Hall. London. 1993. P. 217.
- Tauxe L., Gee J.S., Staudigel H., 1998. Flow directions in dikes from anisotropy of magnetic susceptibility data: the bootstrap way // J. Geophys. Res. 1998. V. 103. P. 17775–17790.
- Valet J.-P., Fournier A., Courtillot V., Herrero-Bervera E. Dynamical similarity of geomagnetic field reversals // Nature. 2012. doi: 10.1038/nature11491
- Williams I., Fuller M. A Miocene polarity transition (R-N) from the Agno batholith Luzon // J. Geophys. Res. 1982 V. 87. P. 9408–9418.
Arquivos suplementares












