Электрическое поле приливного происхождения в многослойной среде и возможности его использования для оценки упругих свойств и проницаемости формаций

Обложка
  • Авторы: Алексеев Д.А.1,2,3, Гохберг М.Б.1
  • Учреждения:
    1. Федеральное государственное бюджетное учреждение науки Институт физики Земли имени О.Ю. Шмидта Российской академии наук
    2. Федеральное государственное бюджетное учреждение науки Институт океанологии имени П.П. Ширшова Российской академии наук
    3. Федеральное государственное автономное образовательное учреждение высшего образования "Московский физико-технический институт (национальный исследовательский университет)"
  • Выпуск: № 2 (2019)
  • Страницы: 168-180
  • Раздел: Статьи
  • URL: https://journals.eco-vector.com/0002-3337/article/view/11648
  • DOI: https://doi.org/10.31857/S0002-333720192168-180
  • ID: 11648

Цитировать

Полный текст

Аннотация

Проводится обобщение аналитического решения уравнений для порового давления, возмущаемого под действием лунно-суточных приливных деформаций, на случай модели с произвольным числом слоев. Выполнен расчет электрического поля электрокинетической природы. Дается оценка чувствительности порового давления и его вертикальной производной к упругим свойствам и проницаемости толщ горных пород. Разработаны алгоритм и программа решения обратной задачи по восстановлению модуля и коэффициента Био, а также коэффициента проницаемости в горизонтально-слоистой модели среды. Обсуждаются возможности изучения названных параметров на основе скважинных наблюдений вертикальной компоненты электрического поля электрокинетического происхождения.

Полный текст

1. ВВЕДЕНИЕ

Электрокинетический механизм возникновения электрического поля в горных породах, испытывающих упругие деформации, описывается в рамках уравнения Гельмгольца MathType@MTEF@5@5@+= feaahqart1ev3aqatCvAUfeBSjuyZL2yd9gzLbvyNv2CaerbuLwBLn hiov2DGi1BTfMBaeXatLxBI9gBaerbd9wDYLwzYbItLDharqqtubsr 4rNCHbGeaGqiVu0Je9sqqrpepC0xbbL8F4rqqrFfpeea0xe9Lq=Jc9 vqaqpepm0xbba9pwe9Q8fs0=yqaqpepae9pg0FirpepeKkFr0xfr=x fr=xb9adbaqaaeGaciGaaiaabeqaamaabaabaaGcbaqefeKCPfgBaG qbaKqzGfaeaaaaaaaaa8qacaWFtacaaa@39A3@ Смолуховского в сочетании с теорией Био пороупругой флюидонасыщенной среды [Френкель, 1944; Biot, 1956; Светов, 2008]. В качестве источника таких деформаций могут выступать волны лунно-солнечных приливов, вызывающих периодические колебания порового давления и, как следствие, электрокинетических потенциалов. Соответствующая теория для этого случая приводится в работах [Garagash et al., 2005; Гохберг и др., 2007; Гохберг и др., 2009], где получено аналитическое решение задачи для распределения порового давления в однородной и двухслойной сферически-симметричных глобальных моделях, а также плоской однородной модели среды. В качестве важной особенности этого распределения отмечается наличие скин-слоя вблизи границ сред с различными упругими и петрофизическими параметрами [Гохберг и др., 2009]. Установлено, что в латерально-однородных средах информация о проницаемости и упругих параметрах содержится только в вертикальной компоненте электрического поля [Гохберг и др., 2007].

В настоящей работе проводится обобщение решения задачи для поля порового давления, порождаемого лунной приливной деформацией, на случай сферической и локально-плоской горизонтально-слоистой моделей с произвольным числом слоев. Анализируются закономерности полученных распределений порового давления и его вертикального градиента, а также чувствительность последних к упругим параметрам и коэффициенту проницаемости слоев. Обсуждаются вопросы решения обратной задачи по восстановлению этих параметров, приводится алгоритм инверсии и результаты его опробования на синтетических наборах данных.

С использованием рассмотренной теоретической модели может быть предложен метод оценки ряда упругих и петрофизических параметров (модуля Био, коэффициента Био, коэффициента проницаемости), основанный на измерении электрического поля, связанного с вертикальным градиентом порового давления.

1.1. Обобщение решения в сферической модели на случай n слоев

Рассмотрим глобальную сферически-симметричную модель Земли, состоящую из n сферических слоев, границы между которыми определяются набором значений r0r1r2,..., rn MathType@MTEF@5@5@+= feaahqart1ev3aqatCvAUfeBSjuyZL2yd9gzLbvyNv2CaerbuLwBLn hiov2DGi1BTfMBaeXatLxBI9gBaerbd9wDYLwzYbItLDharqqtubsr 4rNCHbGeaGqiVu0Je9sqqrpepC0xbbL8F4rqqrFfpeea0xe9Lq=Jc9 vqaqpepm0xbba9pwe9Q8fs0=yqaqpepae9pg0FirpepeKkFr0xfr=x fr=xb9adbaqaaeGaciGaaiaabeqaamaabaabaaGcbaqefeKCPfgBaG qbaKqzOdaeaaaaaaaaa8qacaWFtacaaa@3A2A@ 1rn1 где r0 a, rn 0. Воспользуемся полным представлением для порового давления в слое n сферической модели и ограничимся рассмотрением полусуточной приливной гармоники M2 [Гохберг и др., 2009]:

 

 

p n (r,θ,λ)= m=1 D m (n) j m (z) k=m m C mk (n) Y m (k) q n d n G r a 2 sin 2 θ e i2λ . MathType@MTEF@5@5@+= feaahqart1ev3aaatCvAUfeBSjuyZL2yd9gzLbvyNv2CaerbuLwBLn hiov2DGi1BTfMBaeXatLxBI9gBaeXafv3ySLgzGmvETj2BSbqefm0B 1jxALjhiov2DaebbnrfifHhDYfgasaacHOaM0xg9vrFfpeea0xh9v8 qiW7rqqrFfpeea0xe9Lq=Jc9vqaqpepm0xbba9pwe9Q8fs0=yqaqpe pae9pg0FirpepeKkFr0xfr=xfr=xb9adbaqaaeGacaGaamaabeqaaq aabaqbaaGceaGabeaacaWGWbWaaSbaaSqaaiaad6gaaeqaaOGaaiik aiaadkhacaGGSaGaeqiUdeNaaiilaiabeU7aSjaacMcacqGH9aqpda aeWbqaaiaadseadaqhaaWcbaGaamyBaaqaaiaacIcacaWGUbGaaiyk aaaakiaadQgadaWgaaWcbaGaamyBaaqabaGccaGGOaGaamOEaiaacM cadaaeWbqaaiaadoeadaqhaaWcbaGaamyBaiaadUgaaeaacaGGOaGa amOBaiaacMcaaaaabaGaam4Aaiabg2da9iabgkHiTiaad2gaaeaaca WGTbaaniabggHiLdGccaWGzbWaa0baaSqaaiaad2gaaeaacaGGOaGa am4AaiaacMcaaaaabaGaamyBaiabg2da9iaaigdaaeaacqGHEisPa0 GaeyyeIuoakiabgkHiTaqaaiabgkHiTmaalaaabaGaamyCamaaBaaa leaacaWGUbaabeaaaOqaaiaadsgadaWgaaWcbaGaamOBaaqabaaaaO Gaam4ramaabmaabaWaaSaaaeaacaWGYbaabaGaamyyaaaaaiaawIca caGLPaaadaahaaWcbeqaaiaaikdaaaGcciGGZbGaaiyAaiaac6gada ahaaWcbeqaaiaaikdaaaGccqaH4oqCcaaMc8UaamyzamaaCaaaleqa baGaamyAaiaaikdacqaH7oaBaaGccaGGUaaaaaa@7F17@

(1)

Здесь: pn  MathType@MTEF@5@5@+= feaahqart1ev3aqatCvAUfeBSjuyZL2yd9gzLbvyNv2CaerbuLwBLn hiov2DGi1BTfMBaeXatLxBI9gBaerbd9wDYLwzYbItLDharqqtubsr 4rNCHbGeaGqiVu0Je9sqqrpepC0xbbL8F4rqqrFfpeea0xe9Lq=Jc9 vqaqpepm0xbba9pwe9Q8fs0=yqaqpepae9pg0FirpepeKkFr0xfr=x fr=xb9adbaqaaeGaciGaaiaabeqaamaabaabaaGcbaqefeKCPfgBaG qbaKqzGfaeaaaaaaaaa8qacaWFtacaaa@39A3@ поровое давление в слое n, представленное в сферической системе координат r,θ,λ; MathType@MTEF@5@5@+= feaahqart1ev3aqatCvAUfeBSjuyZL2yd9gzLbvyNv2CaerbuLwBLn hiov2DGi1BTfMBaeXatLxBI9gBaeXafv3ySLgzGmvETj2BSbqefm0B 1jxALjhiov2DaebbnrfifHhDYfgasaacHOaM0xg9vrFfpeea0xh9v8 qiW7rqqrFfpeea0xe9Lq=Jc9vqaqpepm0xbba9pwe9Q8fs0=yqaqpe pae9pg0FirpepeKkFr0xfr=xfr=xb9adbaqaaeGacaGaamaabeqaaq aabaqbaaGcbaGaamOCaiaacYcacaaMc8UaeqiUdeNaaiilaiaaykW7 cqaH7oaBcaGG7aaaaa@4758@ j m (z) MathType@MTEF@5@5@+= feaahqart1ev3aaatCvAUfeBSjuyZL2yd9gzLbvyNv2CaerbuLwBLn hiov2DGi1BTfMBaeXatLxBI9gBaeXafv3ySLgzGmvETj2BSbqefm0B 1jxALjhiov2DaebbnrfifHhDYfgasaacHOaM0xg9vrFfpeea0xh9v8 qiW7rqqrFfpeea0xe9Lq=Jc9vqaqpepm0xbba9pwe9Q8fs0=yqaqpe pae9pg0FirpepeKkFr0xfr=xfr=xb9adbaqaaeGacaGaamaabeqaaq aabaqbaaGcbaGaamOAamaaBaaaleaacaWGTbaabeaakiaacIcacaWG 6bGaaiykaaaa@4230@   MathType@MTEF@5@5@+= feaahqart1ev3aqatCvAUfeBSjuyZL2yd9gzLbvyNv2CaerbuLwBLn hiov2DGi1BTfMBaeXatLxBI9gBaerbd9wDYLwzYbItLDharqqtubsr 4rNCHbGeaGqiVu0Je9sqqrpepC0xbbL8F4rqqrFfpeea0xe9Lq=Jc9 vqaqpepm0xbba9pwe9Q8fs0=yqaqpepae9pg0FirpepeKkFr0xfr=x fr=xb9adbaqaaeGaciGaaiaabeqaamaabaabaaGcbaqefeKCPfgBaG qbaKqzGfaeaaaaaaaaa8qacaWFtacaaa@39A3@ функции Бесселя; Y m (k) MathType@MTEF@5@5@+= feaahqart1ev3aqatCvAUfeBSjuyZL2yd9gzLbvyNv2CaerbuLwBLn hiov2DGi1BTfMBaeXatLxBI9gBaeXafv3ySLgzGmvETj2BSbqefm0B 1jxALjhiov2DaebbnrfifHhDYfgasaacHOaM0xg9vrFfpeea0xh9v8 qiW7rqqrFfpeea0xe9Lq=Jc9vqaqpepm0xbba9pwe9Q8fs0=yqaqpe pae9pg0FirpepeKkFr0xfr=xfr=xb9adbaqaaeGacaGaamaabeqaaq aabaqbaaGcbaGaamywamaaDaaaleaacaWGTbaabaGaaiikaiaadUga caGGPaaaaaaa@4208@   MathType@MTEF@5@5@+= feaahqart1ev3aqatCvAUfeBSjuyZL2yd9gzLbvyNv2CaerbuLwBLn hiov2DGi1BTfMBaeXatLxBI9gBaerbd9wDYLwzYbItLDharqqtubsr 4rNCHbGeaGqiVu0Je9sqqrpepC0xbbL8F4rqqrFfpeea0xe9Lq=Jc9 vqaqpepm0xbba9pwe9Q8fs0=yqaqpepae9pg0FirpepeKkFr0xfr=x fr=xb9adbaqaaeGaciGaaiaabeqaamaabaabaaGcbaqefeKCPfgBaG qbaKqzGfaeaaaaaaaaa8qacaWFtacaaa@39A3@ сферические функции.

Величины q n d n G MathType@MTEF@5@5@+= feaahqart1ev3aqatCvAUfeBSjuyZL2yd9gzLbvyNv2CaerbuLwBLn hiov2DGi1BTfMBaeXatLxBI9gBaeXafv3ySLgzGmvETj2BSbqefm0B 1jxALjhiov2DaebbnrfifHhDYfgasaacHOaM0xg9vrFfpeea0xh9v8 qiW7rqqrFfpeea0xe9Lq=Jc9vqaqpepm0xbba9pwe9Q8fs0=yqaqpe pae9pg0FirpepeKkFr0xfr=xfr=xb9adbaqaaeGacaGaamaabeqaaq aabaqbaaGcbaWaaSaaaeaacaWGXbWaaSbaaSqaaiaad6gaaeqaaaGc baGaamizamaaBaaaleaacaWGUbaabeaaaaGccaWGhbaaaa@42CF@ в выражении (1) зависят от упругих свойств слоев и объемной деформации слоев (константы q n d n MathType@MTEF@5@5@+= feaahqart1ev3aqatCvAUfeBSjuyZL2yd9gzLbvyNv2CaerbuLwBLn hiov2DGi1BTfMBaeXatLxBI9gBaeXafv3ySLgzGmvETj2BSbqefm0B 1jxALjhiov2DaebbnrfifHhDYfgasaacHOaM0xg9vrFfpeea0xh9v8 qiW7rqqrFfpeea0xe9Lq=Jc9vqaqpepm0xbba9pwe9Q8fs0=yqaqpe pae9pg0FirpepeKkFr0xfr=xfr=xb9adbaqaaeGacaGaamaabeqaaq aabaqbaaGcbaWaaSaaaeaacaWGXbWaaSbaaSqaaiaad6gaaeqaaaGc baGaamizamaaBaaaleaacaWGUbaabeaaaaaaaa@41F9@ определяются в работе [Гохберг и др., 2009]; G  MathType@MTEF@5@5@+= feaahqart1ev3aqatCvAUfeBSjuyZL2yd9gzLbvyNv2CaerbuLwBLn hiov2DGi1BTfMBaeXatLxBI9gBaerbd9wDYLwzYbItLDharqqtubsr 4rNCHbGeaGqiVu0Je9sqqrpepC0xbbL8F4rqqrFfpeea0xe9Lq=Jc9 vqaqpepm0xbba9pwe9Q8fs0=yqaqpepae9pg0FirpepeKkFr0xfr=x fr=xb9adbaqaaeGaciGaaiaabeqaamaabaabaaGcbaqefeKCPfgBaG qbaKqzGfaeaaaaaaaaa8qacaWFtacaaa@39A3@ постоянная Дудсона из теории приливов [Сидоренков, 2002]). В случае полусуточной приливной волны M2 с частотой ω 2π 12 MathType@MTEF@5@5@+= feaahqart1ev3aaatCvAUfeBSjuyZL2yd9gzLbvyNv2CaerbuLwBLn hiov2DGi1BTfMBaeXatLxBI9gBaeXafv3ySLgzGmvETj2BSbqefm0B 1jxALjhiov2DaebbnrfifHhDYfgasaacHOaM0xg9vrFfpeea0xh9v8 qiW7rqqrFfpeea0xe9Lq=Jc9vqaqpepm0xbba9pwe9Q8fs0=yqaqpe pae9pg0FirpepeKkFr0xfr=xfr=xb9adbaqaaeGacaGaamaabeqaaq aabaqbaaGcbaGaeqyYdCNaeyisIS7aaSaaaeaacaaIYaGaeqiWdaha baGaaGymaGqaaKqzFfGaa8Nmaaaaaaa@460D@ рад/ч, все постоянные коэффициенты C mk n MathType@MTEF@5@5@+= feaahqart1ev3aaatCvAUfeBSjuyZL2yd9gzLbvyNv2CaerbuLwBLn hiov2DGi1BTfMBaeXatLxBI9gBaeXafv3ySLgzGmvETj2BSbqefm0B 1jxALjhiov2DaebbnrfifHhDYfgasaacHOaM0xg9vrFfpeea0xh9v8 qiW7rqqrFfpeea0xe9Lq=Jc9vqaqpepm0xbba9pwe9Q8fs0=yqaqpe pae9pg0FirpepeKkFr0xfr=xfr=xb9adbaqaaeGacaGaamaabeqaaq aabaqbaaGcbaGaam4qamaaDaaaleaacaWGTbGaam4Aaaqaamaabmaa baGaamOBaaGaayjkaiaawMcaaaaaaaa@4314@ с ≠ 2 и ≠ ±2, а также все коэффициенты D m n MathType@MTEF@5@5@+= feaahqart1ev3aaatCvAUfeBSjuyZL2yd9gzLbvyNv2CaerbuLwBLn hiov2DGi1BTfMBaeXatLxBI9gBaeXafv3ySLgzGmvETj2BSbqefm0B 1jxALjhiov2DaebbnrfifHhDYfgasaacHOaM0xg9vrFfpeea0xh9v8 qiW7rqqrFfpeea0xe9Lq=Jc9vqaqpepm0xbba9pwe9Q8fs0=yqaqpe pae9pg0FirpepeKkFr0xfr=xfr=xb9adbaqaaeGacaGaamaabeqaaq aabaqbaaGcbaGaamiramaaDaaaleaacaWGTbaabaWaaeWaaeaacaWG UbaacaGLOaGaayzkaaaaaaaa@4225@ с ≠ 2 должны обращаться в нуль, чтобы выполнялось условие равенства давления нулю на земной поверхности. В результате, выражение (1) приводится к виду:

 

p n (r,θ,λ)= = D 2 (n) C 2±2 (n) j 2 (r/ δ n ) q n d n G r a 2 sin 2 θ e i2λ . MathType@MTEF@5@5@+= feaahqart1ev3aaatCvAUfeBSjuyZL2yd9gzLbvyNv2CaerbuLwBLn hiov2DGi1BTfMBaeXatLxBI9gBaeXafv3ySLgzGmvETj2BSbqefm0B 1jxALjhiov2DaebbnrfifHhDYfgasaacHOaM0xg9vrFfpeea0xh9v8 qiW7rqqrFfpeea0xe9Lq=Jc9vqaqpepm0xbba9pwe9Q8fs0=yqaqpe pae9pg0FirpepeKkFr0xfr=xfr=xb9adbaqaaeGacaGaamaabeqaaq aabaqbaaGceaGabeaacaWGWbWaaSbaaSqaaiaad6gaaeqaaOGaaiik aiaadkhacaGGSaGaeqiUdeNaaiilaiabeU7aSjaacMcacaaMi8Ecaa SamqkGg2da9aGcbaqcaaSaeyypa0JcdaGadaqaaiaadseadaqhaaWc baGaaGOmaaqaaiaacIcacaWGUbGaaiykaaaakiaadoeadaqhaaWcba GaaGOmaiabgglaXkaaikdaaeaacaGGOaGaamOBaiaacMcaaaGccaWG QbWaaSbaaSqaaiaaikdaaeqaaOGaaiikaiaadkhacaaMi8Uaai4lai aayIW7cqaH0oazdaWgaaWcbaGaamOBaaqabaGccaaMb8Uaaiykaiab gkHiTmaalaaabaGaamyCamaaBaaaleaacaWGUbaabeaaaOqaaiaads gadaWgaaWcbaGaamOBaaqabaaaaOGaam4ramaabmaabaWaaSaaaeaa caWGYbaabaGaamyyaaaaaiaawIcacaGLPaaadaahaaWcbeqaaiaaik daaaaakiaawUhacaGL9baaciGGZbGaaiyAaiaac6gadaahaaWcbeqa aiaaikdaaaGccaaMi8UaeqiUdeNaaGPaVlaadwgadaahaaWcbeqaai aadMgacaaIYaGaeq4UdWgaaOGaaiOlaaaaaa@7EE9@

(2)

Здесь величина δ n = 2 κ n M n η n ω , MathType@MTEF@5@5@+= feaahqart1ev3aaatCvAUfeBSjuyZL2yd9gzLbvyNv2CaerbuLwBLn hiov2DGi1BTfMBaeXatLxBI9gBaeXafv3ySLgzGmvETj2BSbqefm0B 1jxALjhiov2DaebbnrfifHhDYfgasaacHOaM0xg9vrFfpeea0xh9v8 qiW7rqqrFfpeea0xe9Lq=Jc9vqaqpepm0xbba9pwe9Q8fs0=yqaqpe pae9pg0FirpepeKkFr0xfr=xfr=xb9adbaqaaeGacaGaamaabeqaaq aabaqbaaGcbaGaeqiTdq2aaSbaaSqaaiaad6gaaeqaaOGaeyypa0Za aOaaaeaadaWcaaqaaiaaikdacqaH6oWAdaWgaaWcbaGaamOBaaqaba GccaaMc8UaamytamaaBaaaleaacaWGUbaabeaaaOqaaiabeE7aOnaa BaaaleaacaWGUbaabeaakiaaykW7cqaHjpWDaaaaleqaaOGaaiilaa aa@4FC4@ зависящая от вязкоcти поровой жидкости η, коэффициента проницаемости k и упругих параметров среды αM (коэффициента Био и модуля Био), а также частоты приливной волны ω, и имеющая размерность расстояния, определяет обратный скин-эффект. Аргументом функций Бесселя является величина (1 MathType@MTEF@5@5@+= feaahqart1ev3aqatCvAUfeBSjuyZL2yd9gzLbvyNv2CaerbuLwBLn hiov2DGi1BTfMBaeXatLxBI9gBaerbd9wDYLwzYbItLDharqqtubsr 4rNCHbGeaGqiVu0Je9sqqrpepC0xbbL8F4rqqrFfpeea0xe9Lq=Jc9 vqaqpepm0xbba9pwe9Q8fs0=yqaqpepae9pg0FirpepeKkFr0xfr=x fr=xb9adbaqaaeGaciGaaiaabeqaamaabaabaaGcbaqefeKCPfgBaG qbaKqzGfaeaaaaaaaaa8qacaWFtacaaa@39A3@ i)r/δ, однако для краткости в последующем изложении мы опускаем множитель (1 MathType@MTEF@5@5@+= feaahqart1ev3aqatCvAUfeBSjuyZL2yd9gzLbvyNv2CaerbuLwBLn hiov2DGi1BTfMBaeXatLxBI9gBaerbd9wDYLwzYbItLDharqqtubsr 4rNCHbGeaGqiVu0Je9sqqrpepC0xbbL8F4rqqrFfpeea0xe9Lq=Jc9 vqaqpepm0xbba9pwe9Q8fs0=yqaqpepae9pg0FirpepeKkFr0xfr=x fr=xb9adbaqaaeGaciGaaiaabeqaamaabaabaaGcbaqefeKCPfgBaG qbaKqzGfaeaaaaaaaaa8qacaWFtacaaa@39A3@ i).

На границах слоев выполняется условие непрерывности порового давления:

ppn MathType@MTEF@5@5@+= feaahqart1ev3aqatCvAUfeBSjuyZL2yd9gzLbvyNv2CaerbuLwBLn hiov2DGi1BTfMBaeXatLxBI9gBaerbd9wDYLwzYbItLDharqqtubsr 4rNCHbGeaGqiVu0Je9sqqrpepC0xbbL8F4rqqrFfpeea0xe9Lq=Jc9 vqaqpepm0xbba9pwe9Q8fs0=yqaqpepae9pg0FirpepeKkFr0xfr=x fr=xb9adbaqaaeGaciGaaiaabeqaamaabaabaaGcbaqefeKCPfgBaG qbaKqzOdaeaaaaaaaaa8qacaWFtacaaa@3A2A@ 1 при rn MathType@MTEF@5@5@+= feaahqart1ev3aqatCvAUfeBSjuyZL2yd9gzLbvyNv2CaerbuLwBLn hiov2DGi1BTfMBaeXatLxBI9gBaerbd9wDYLwzYbItLDharqqtubsr 4rNCHbGeaGqiVu0Je9sqqrpepC0xbbL8F4rqqrFfpeea0xe9Lq=Jc9 vqaqpepm0xbba9pwe9Q8fs0=yqaqpepae9pg0FirpepeKkFr0xfr=x fr=xb9adbaqaaeGaciGaaiaabeqaamaabaabaaGcbaqefeKCPfgBaG qbaKqzOdaeaaaaaaaaa8qacaWFtacaaa@3A2A@ 1, при 1; p0 при r0. (3)

Произведение коэффициентов D 2 n C 2±2 n , MathType@MTEF@5@5@+= feaahqart1ev3aaatCvAUfeBSjuyZL2yd9gzLbvyNv2CaerbuLwBLn hiov2DGi1BTfMBaeXatLxBI9gBaeXafv3ySLgzGmvETj2BSbqefm0B 1jxALjhiov2DaebbnrfifHhDYfgasaacHOaM0xg9vrFfpeea0xh9v8 qiW7rqqrFfpeea0xe9Lq=Jc9vqaqpepm0xbba9pwe9Q8fs0=yqaqpe pae9pg0FirpepeKkFr0xfr=xfr=xb9adbaqaaeGacaGaamaabeqaaq aabaqbaaGcbaGaamiramaaDaaaleaacaaIYaaabaWaaeWaaeaacaWG UbaacaGLOaGaayzkaaaaaOGaam4qamaaDaaaleaacaaIYaGaeyySae RaaGOmaaqaamaabmaabaGaamOBaaGaayjkaiaawMcaaaaakiaacYca aaa@498A@ определяется из условия непрерывности давления на границах слоев путем прогонки, начиная с верхней границы r0:

Cлой 1: D 2 (1) C 2±2 (1) = q 1 d 1 G 1 j 2 (a/ δ 1 ) . MathType@MTEF@5@5@+= feaahqart1ev3aaatCvAUfeBSjuyZL2yd9gzLbvyNv2CaerbuLwBLn hiov2DGi1BTfMBaeXatLxBI9gBaeXafv3ySLgzGmvETj2BSbqefm0B 1jxALjhiov2DaebbnrfifHhDYfgasaacHOaM0xg9vrFfpeea0xh9v8 qiW7rqqrFfpeea0xe9Lq=Jc9vqaqpepm0xbba9pwe9Q8fs0=yqaqpe pae9pg0FirpepeKkFr0xfr=xfr=xb9adbaqaaeGacaGaamaabeqaaq aabaqbaaGcbaGaamiramaaDaaaleaacaaIYaaabaGaaiikaiaaigda caGGPaaaaOGaaGPaVlaaygW7cWaDaAyXICTaam4qamaaDaaaleaaca aIYaGaeyySaeRaaGOmaaqaaiaacIcacaaIXaGaaiykaaaakiabg2da 9maalaaabaGaamyCamaaBaaaleaacaaIXaaabeaaaOqaaiaadsgada WgaaWcbaGaaGymaaqabaaaaOGaam4ramaalaaabaGaaGymaaqaaiaa dQgadaWgaaWcbaGaaGOmaaqabaGccaGGOaGaamyyaiaac+cacqaH0o azdaWgaaWcbaGaaGymaaqabaGccaGGPaaaaiaac6caaaa@5CEE@

Cлой 2: D 2 (2) C 2±2 (2) = q 1 d 1 G j 2 ( r 1 / δ 1 ) j 2 ( r 0 / δ 1 ) j 2 ( r 1 / δ 2 ) + MathType@MTEF@5@5@+= feaahqart1ev3aaatCvAUfeBSjuyZL2yd9gzLbvyNv2CaerbuLwBLn hiov2DGi1BTfMBaeXatLxBI9gBaeXafv3ySLgzGmvETj2BSbqefm0B 1jxALjhiov2DaebbnrfifHhDYfgasaacHOaM0xg9vrFfpeea0xh9v8 qiW7rqqrFfpeea0xe9Lq=Jc9vqaqpepm0xbba9pwe9Q8fs0=yqaqpe pae9pg0FirpepeKkFr0xfr=xfr=xb9adbaqaaeGacaGaamaabeqaaq aabaqbaaGcbaGaamiramaaDaaaleaacaaIYaaabaGaaiikaiaaikda caGGPaaaaOGaiqeGyIW7cGaPaIPaVladObOHflY1caaMc8UaaGjbVl acCb4GdbWaa0baaSqaaiaaikdacqGHXcqScaaIYaaabaGaaiikaiaa ikdacaGGPaaaaOGaiacGyIW7cWaiaAypa0ZaiacGlaaabGaiakacGa 4GXbWaiacGBaaaleacGaOaiacGigdaaeqcGaiaaOqaiacGcGaiaoiz amacGa4gaaWcbGaiakacGaiIXaaabKaiacaaaOGaaGjbVlacGa4Ghb GaaGjbVpacia4caaqaiGaGcGacaoOAamacia4gaaWcbGacakaciaiI YaaabKacacGccGacakikaiacia4GYbWaiGaGBaaaleaciaOaiGaGig daaeqciaiakiaciaiMb8UaiacGc+cacGacaIjbVlaciaiMb8UamGaG es7aKnacia4gaaWcbGacakaciaiIXaaabKacacGccGacakykaaqaiG aGcGacaoOAamacia4gaaWcbGacakaciaiIYaaabKacacGccGacakik aiacia4GYbWaiGaGBaaaleaciaOaiGaGicdaaeqciaiakiaciaiMi8 UaiGaGc+cacGacaIjcVladiaiH0oazdGacaUbaaSqaiGaGcGacaIym aaqajGaGaOGaiGaGygW7cGacakykaiacia4GQbWaiGaGBaaaleacia OaiGaGikdaaeqciaiakiaciaiMb8UaiGaGcIcacGacaoOCamacia4g aaWcbGacakaciaiIXaaabKacacGccGacaIjcVlaciaOGVaGaiGaGyI W7cWacasiTdq2aiGaGBaaaleaciaOaiGaGikdaaeqciaiakiaciaiM b8UaiGaGcMcaaaGaaGjbVladaciF=daagUcaRaaa@BCB2@

+ q 2 d 2 q 1 d 1 G 1 j 2 ( r 1 / δ 2 ) r 1 a 2 . MathType@MTEF@5@5@+= feaahqart1ev3aaatCvAUfeBSjuyZL2yd9gzLbvyNv2CaerbuLwBLn hiov2DGi1BTfMBaeXatLxBI9gBaeXafv3ySLgzGmvETj2BSbqefm0B 1jxALjhiov2DaebbnrfifHhDYfgasaacHOaM0xg9vrFfpeea0xh9v8 qiW7rqqrFfpeea0xe9Lq=Jc9vqaqpepm0xbba9pwe9Q8fs0=yqaqpe pae9pg0FirpepeKkFr0xfr=xfr=xb9adbaqaaeGacaGaamaabeqaaq aabaqbaaGcbaGaey4kaSYaaeWaaeaadaWcaaqaaiaadghadaWgaaWc baGaaGOmaaqabaaakeaacaWGKbWaaSbaaSqaaiaaikdaaeqaaaaaki abgkHiTmaalaaabaGaamyCamaaBaaaleaacaaIXaaabeaaaOqaaiaa dsgadaWgaaWcbaGaaGymaaqabaaaaaGccaGLOaGaayzkaaGaam4ram aalaaabaGaaGymaaqaaiaadQgadaWgaaWcbaGaaGOmaaqabaGccaGG OaGaamOCamaaBaaaleaacaaIXaaabeaakiaac+cacqaH0oazdaWgaa WcbaGaaGOmaaqabaGccaGGPaaaamaabmaabaWaaSaaaeaacaWGYbWa aSbaaSqaaiaaigdaaeqaaaGcbaGaamyyaaaaaiaawIcacaGLPaaada ahaaWcbeqaaiaaikdaaaGccaGGUaaaaa@58CC@

Cлой 3:

D 2 (3) C 2±2 (3) =G q 1 d 1 j 2 ( r 1 / δ 1 ) j 2 ( r 2 / δ 2 ) j 2 ( r 0 / δ 1 ) j 2 ( r 1 / δ 2 ) j 2 ( r 2 / δ 3 ) + MathType@MTEF@5@5@+= feaahqart1ev3aaatCvAUfeBSjuyZL2yd9gzLbvyNv2CaerbuLwBLn hiov2DGi1BTfMBaeXatLxBI9gBaeXafv3ySLgzGmvETj2BSbqefm0B 1jxALjhiov2DaebbnrfifHhDYfgasaacHOaM0xg9vrFfpeea0xh9v8 qiW7rqqrFfpeea0xe9Lq=Jc9vqaqpepm0xbba9pwe9Q8fs0=yqaqpe pae9pg0FirpepeKkFr0xfr=xfr=xb9adbaqaaeGacaGaamaabeqaaq aabaqbaaGcbaqcaaMaamiraOWaa0baaSqaaiaaikdaaeaacaGGOaGa aG4maiaacMcaaaqcaaMaeyyXICTaam4qaOWaa0baaSqaaiaaikdacq GHXcqScaaIYaaabaGaaiikaiaaiodacaGGPaaaaKaaGjabg2da9iaa ysW7caaMi8Uaam4raOWaaiqaaeaadaWcaaqaaiaadghadaWgaaWcba GaaGymaaqabaaakeaacaWGKbWaaSbaaSqaaiaaigdaaeqaaOGaaGza VdaacaaMi8+aaSaaaeaacaWGQbWaaSbaaSqaaiaaikdaaeqaaOGaai ikaiaadkhadaWgaaWcbaGaaGymaaqabaGccaGGVaGaeqiTdq2aaSba aSqaaiaaigdaaeqaaOGaaiykaiaadQgadaWgaaWcbaGaaGOmaaqaba GccaGGOaGaamOCamaaBaaaleaacaaIYaaabeaakiaac+cacqaH0oaz daWgaaWcbaGaaGOmaaqabaGccaaMb8UaaiykaaqaaiaadQgadaWgaa WcbaGaaGOmaaqabaGccaGGOaGaamOCamaaBaaaleaacaaIWaaabeaa kiaayIW7caGGVaGaaGjcVlabes7aKnaaBaaaleaacaaIXaaabeaaki aaygW7caGGPaGaamOAamaaBaaaleaacaaIYaaabeaakiaacIcacaWG YbWaaSbaaSqaaiaaigdaaeqaaOGaaGjcVlaac+cacaaMi8UaeqiTdq 2aaSbaaSqaaiaaikdaaeqaaOGaaGzaVlaacMcacaWGQbWaaSbaaSqa aiaaikdaaeqaaOGaaiikaiaadkhadaWgaaWcbaGaaGOmaaqabaGcca aMi8Uaai4laiaayIW7cqaH0oazdaWgaaWcbaGaaG4maaqabaGccaaM b8UaaiykaaaacqGHRaWkaiaawUhaaaaa@932F@

+ q 2 d 2 q 1 d 1 j 2 ( r 2 / δ 2 ) j 2 ( r 1 / δ 2 ) j 2 ( r 2 / δ 3 ) r 1 a 2 + + q 3 d 3 q 2 d 2 1 j 2 ( r 2 / δ 3 ) r 2 a 2 . MathType@MTEF@5@5@+= feaahqart1ev3aaatCvAUfeBSjuyZL2yd9gzLbvyNv2CaerbuLwBLn hiov2DGi1BTfMBaeXatLxBI9gBaeXafv3ySLgzGmvETj2BSbqefm0B 1jxALjhiov2DaebbnrfifHhDYfgasaacHOaM0xg9vrFfpeea0xh9v8 qiW7rqqrFfpeea0xe9Lq=Jc9vqaqpepm0xbba9pwe9Q8fs0=yqaqpe pae9pg0FirpepeKkFr0xfr=xfr=xb9adbaqaaeGacaGaamaabeqaaq aabaqbaaGceaqabeaacqGHRaWkdaqadaqaamaalaaabaGaamyCamaa BaaaleaacaaIYaaabeaaaOqaaiaadsgadaWgaaWcbaGaaGOmaaqaba aaaOGaeyOeI0YaaSaaaeaacaWGXbWaaSbaaSqaaiaaigdaaeqaaaGc baGaamizamaaBaaaleaacaaIXaaabeaaaaaakiaawIcacaGLPaaada WcaaqaaiaadQgadaWgaaWcbaGaaGOmaaqabaGccaGGOaGaamOCamaa BaaaleaacaaIYaaabeaakiaac+cacqaH0oazdaWgaaWcbaGaaGOmaa qabaGccaGGPaaabaGaamOAamaaBaaaleaacaaIYaaabeaakiaacIca caWGYbWaaSbaaSqaaiaaigdaaeqaaOGaai4laiabes7aKnaaBaaale aacaaIYaaabeaakiaacMcacaWGQbWaaSbaaSqaaiaaikdaaeqaaOGa aiikaiaadkhadaWgaaWcbaGaaGOmaaqabaGccaGGVaGaeqiTdq2aaS baaSqaaiaaiodaaeqaaOGaaiykaaaadaqadaqaamaalaaabaGaamOC amaaBaaaleaacaaIXaaabeaaaOqaaiaadggaaaaacaGLOaGaayzkaa WaaWbaaSqabeaacaaIYaaaaOGaey4kaScabaWaaiGaaeaacqGHRaWk daqadaqaamaalaaabaGaamyCamaaBaaaleaacaaIZaaabeaaaOqaai aadsgadaWgaaWcbaGaaG4maaqabaaaaOGaeyOeI0YaaSaaaeaacaWG XbWaaSbaaSqaaiaaikdaaeqaaaGcbaGaamizamaaBaaaleaacaaIYa aabeaaaaaakiaawIcacaGLPaaadaWcaaqaaiaaigdaaeaacaWGQbWa aSbaaSqaaiaaikdaaeqaaOGaaiikaiaadkhadaWgaaWcbaGaaGOmaa qabaGccaGGVaGaeqiTdq2aaSbaaSqaaiaaiodaaeqaaOGaaiykaaaa daqadaqaamaalaaabaGaamOCamaaBaaaleaacaaIYaaabeaaaOqaai aadggaaaaacaGLOaGaayzkaaWaaWbaaSqabeaacaaIYaaaaaGccaGL 9baacaGGUaaaaaa@83BA@

Слой n:

D 2 (n) C 2±2 (n) =G q 1 d 1 k=1 n1 j 2 ( r k / δ k ) k=1 n j 2 ( r k1 / δ k ) + MathType@MTEF@5@5@+= feaahqart1ev3aaatCvAUfeBSjuyZL2yd9gzLbvyNv2CaerbuLwBLn hiov2DGi1BTfMBaeXatLxBI9gBaeXafv3ySLgzGmvETj2BSbqefm0B 1jxALjhiov2DaebbnrfifHhDYfgasaacHOaM0xg9vrFfpeea0xh9v8 qiW7rqqrFfpeea0xe9Lq=Jc9vqaqpepm0xbba9pwe9Q8fs0=yqaqpe pae9pg0FirpepeKkFr0xfr=xfr=xb9adbaqaaeGacaGaamaabeqaaq aabaqbaaGcbaqcaaSaamiraOWaa0baaSqaaiaaikdaaeaacaGGOaGa amOBaiaacMcaaaqcaaSamWfGgwSixlaadoeakmaaDaaaleaacaaIYa GaeyySaeRaaGOmaaqaaiaacIcacaWGUbGaaiykaaaajaaWcqGH9aqp caWGhbGcdaqabaqaamaalaaabaGaamyCamaaBaaaleaacaaIXaaabe aaaOqaaiaadsgadaWgaaWcbaGaaGymaaqabaaaaOWaaSaaaeaadaqe WbqaaiaadQgadaWgaaWcbaGaaGOmaaqabaGccaGGOaGaamOCamaaBa aaleaacaWGRbaabeaakiaac+cacqaH0oazdaWgaaWcbaGaam4Aaaqa baGccaGGPaaaleaacaWGRbGaeyypa0JaaGymaaqaaiaad6gacqGHsi slcaaIXaaaniabg+GivdaakeaadaqeWbqaaiaadQgadaWgaaWcbaGa aGOmaaqabaGccaGGOaGaamOCamaaBaaaleaacaWGRbGaeyOeI0IaaG ymaaqabaGccaGGVaGaeqiTdq2aaSbaaSqaaiaadUgaaeqaaOGaaiyk aaWcbaGaam4Aaiabg2da9iaaigdaaeaacaWGUbaaniabg+GivdaaaO Gaey4kaScacaGLOaaaaaa@7620@

 

+ l=1 n1 q l+1 d l+1 q l d l k=l+1 n1 j 2 ( r k / δ k ) k=l+1 n j 2 ( r k1 / δ k ) r l a 2 . MathType@MTEF@5@5@+= feaahqart1ev3aaatCvAUfeBSjuyZL2yd9gzLbvyNv2CaerbuLwBLn hiov2DGi1BTfMBaeXatLxBI9gBaeXafv3ySLgzGmvETj2BSbqefm0B 1jxALjhiov2DaebbnrfifHhDYfgasaacHOaM0xg9vrFfpeea0xh9v8 qiW7rqqrFfpeea0xe9Lq=Jc9vqaqpepm0xbba9pwe9Q8fs0=yqaqpe pae9pg0FirpepeKkFr0xfr=xfr=xb9adbaqaaeGacaGaamaabeqaaq aabaqbaaGcbaGaey4kaSYaaeGaaeaadaaeWbqaamaabmaabaWaaSaa aeaacaWGXbWaaSbaaSqaaiaadYgacqGHRaWkcaaIXaaabeaaaOqaai aadsgadaWgaaWcbaGaamiBaiabgUcaRiaaigdaaeqaaaaakiabgkHi TmaalaaabaGaamyCamaaBaaaleaacaWGSbaabeaaaOqaaiaadsgada WgaaWcbaGaamiBaaqabaaaaaGccaGLOaGaayzkaaWaaSaaaeaadaqe WbqaaiaadQgadaWgaaWcbaGaaGOmaaqabaGccaGGOaGaamOCamaaBa aaleaacaWGRbaabeaakiaac+cacqaH0oazdaWgaaWcbaGaam4Aaaqa baGccaGGPaaaleaacaWGRbGaeyypa0JaamiBaiabgUcaRiaaigdaae aacaWGUbGaeyOeI0IaaGymaaqdcqGHpis1aaGcbaWaaebCaeaacaWG QbWaaSbaaSqaaiaaikdaaeqaaOGaaiikaiaadkhadaWgaaWcbaGaam 4AaiabgkHiTiaaigdaaeqaaOGaai4laiabes7aKnaaBaaaleaacaWG RbaabeaakiaacMcaaSqaaiaadUgacqGH9aqpcaWGSbGaey4kaSIaaG ymaaqaaiaad6gaa0Gaey4dIunaaaGcdaqadaqaamaalaaabaGaamOC amaaBaaaleaacaWGSbaabeaaaOqaaiaadggaaaaacaGLOaGaayzkaa WaaWbaaSqabeaacaaIYaaaaaqaaiaadYgacqGH9aqpcaaIXaaabaGa amOBaiabgkHiTiaaigdaa0GaeyyeIuoaaOGaayzkaaGaiGjGc6caaa a@80E9@ (4)

При этом, мы определяем операцию произведения таким образом, что:

i=a b x i =1, MathType@MTEF@5@5@+= feaahqart1ev3aaatCvAUfeBSjuyZL2yd9gzLbvyNv2CaerbuLwBLn hiov2DGi1BTfMBaeXatLxBI9gBaeXafv3ySLgzGmvETj2BSbqefm0B 1jxALjhiov2DaebbnrfifHhDYfgasaacHOaM0xg9vrFfpeea0xh9v8 qiW7rqqrFfpeea0xe9Lq=Jc9vqaqpepm0xbba9pwe9Q8fs0=yqaqpe pae9pg0FirpepeKkFr0xfr=xfr=xb9adbaqaaeGacaGaamaabeqaaq aabaqbaaGcbaWaaebCaKaaahaacaWG4bGcdaWgaaWcbaGaamyAaaqa baaajeaWbaGaamyAaiabg2da9iaadggaaeaacaWGIbaajmaWcqGHpi s1aOGaeyypa0JaaGymaiaacYcaaaa@4A96@ если b.

Таким образом, решение в слое n имеет вид:

p n (r,θ,λ)=G q 1 d 1 k=1 n1 j 2 ( r k / δ k ) k=1 n j 2 ( r k1 / δ k ) + l=1 n1 q l+1 d l+1 q l d l k=l+1 n1 j 2 ( r k / δ k ) k=l+1 n j 2 ( r k1 / δ k ) r l a 2 j 2 (r/ δ n ) q n d n r a 2 sin 2 θ e i2λ . MathType@MTEF@5@5@+= feaahqart1ev3aaatCvAUfeBSjuyZL2yd9gzLbvyNv2CaerbuLwBLn hiov2DGi1BTfMBaeXatLxBI9gBaeXafv3ySLgzGmvETj2BSbqefm0B 1jxALjhiov2DaebbnrfifHhDYfgasaacHOaM0xg9vrFfpeea0xh9v8 qiW7rqqrFfpeea0xe9Lq=Jc9vqaqpepm0xbba9pwe9Q8fs0=yqaqpe pae9pg0FirpepeKkFr0xfr=xfr=xb9adbaqaaeGacaGaamaabeqaaq aabaqbaaGcbaGaamiCamaaBaaaleaacaWGUbaabeaakiaacIcacaWG YbGaaiilaiabeI7aXjaacYcacqaH7oaBcaGGPaqcaaSaeyypa0Jaam 4raOWaaiqaaeaadaqabaqaamaalaaabaGaamyCamaaBaaaleaacaaI XaaabeaaaOqaaiaadsgadaWgaaWcbaGaaGymaaqabaaaaOWaaSaaae aadaqeWbqaaiaadQgadaWgaaWcbaGaaGOmaaqabaGccaGGOaGaamOC amaaBaaaleaacaWGRbaabeaakiaac+cacqaH0oazdaWgaaWcbaGaam 4AaaqabaGccaGGPaaaleaacaWGRbGaeyypa0JaaGymaaqaaiaad6ga cqGHsislcaaIXaaaniabg+GivdaakeaadaqeWbqaaiaadQgadaWgaa WcbaGaaGOmaaqabaGccaGGOaGaamOCamaaBaaaleaacaWGRbGaeyOe I0IaaGymaaqabaGccaGGVaGaeqiTdq2aaSbaaSqaaiaadUgaaeqaaO GaaiykaaWcbaGaam4Aaiabg2da9iaaigdaaeaacaWGUbaaniabg+Gi vdaaaaGccaGLOaaaaiaawUhaamaabiaabaGaey4kaSYaaabCaeaada qadaqaamaalaaabaGaamyCamaaBaaaleaacaWGSbGaey4kaSIaaGym aaqabaaakeaacaWGKbWaaSbaaSqaaiaadYgacqGHRaWkcaaIXaaabe aaaaGccqGHsisldaWcaaqaaiaadghadaWgaaWcbaGaamiBaaqabaaa keaacaWGKbWaaSbaaSqaaiaadYgaaeqaaaaaaOGaayjkaiaawMcaam aalaaabaWaaebCaeaacaWGQbWaaSbaaSqaaiaaikdaaeqaaOGaaiik aiaadkhadaWgaaWcbaGaam4AaaqabaGccaGGVaGaeqiTdq2aaSbaaS qaaiaadUgaaeqaaOGaaiykaaWcbaGaam4Aaiabg2da9iaadYgacqGH RaWkcaaIXaaabaGaamOBaiabgkHiTiaaigdaa0Gaey4dIunaaOqaam aarahabaGaamOAamaaBaaaleaacaaIYaaabeaakiaacIcacaWGYbWa aSbaaSqaaiaadUgacqGHsislcaaIXaaabeaakiaaygW7caGGVaGaaG zaVlabes7aKnaaBaaaleaacaWGRbaabeaakiaacMcaaSqaaiaadUga cqGH9aqpcaWGSbGaey4kaSIaaGymaaqaaiaad6gaa0Gaey4dIunaaa GcdaqadaqaamaalaaabaGaamOCamaaBaaaleaacaWGSbaabeaaaOqa aiaadggaaaaacaGLOaGaayzkaaWaaWbaaSqabeaacaaIYaaaaaqaai aadYgacqGH9aqpcaaIXaaabaGaamOBaiabgkHiTiaaigdaa0Gaeyye IuoaaOGaayzkaaGaaGzaVlacaciHaaaadQgadGaGasiaaaWgaaWcbG aGasiaaaGaiaiGecaaaGOmaaqajaiGecaaaaGccGaGasiaaaGGOaGa iaiGecaaamOCaiaayIW7cGaGasiaaaGGVaGaaGjcVladaciHaaaaes 7aKnacaciHaaaaBaaaleacaciHaaaacGaGasiaaaWGUbaabKaGasia aaaakiaaygW7cGaGasiaaaGGPaGamaiGecaaayOeI0YaiaiGecaaaS aaaeacaciHaaaacGaGasiaaaWGXbWaiaiGecaaaSbaaSqaiaiGecaa aiacaciHaaaad6gaaeqcaciHaaaaaaGcbGaGasiaaaGaiaiGecaaam izamacaciHaaaaBaaaleacaciHaaaacGaGasiaaaWGUbaabKaGasia aaaaaaGcdGaGasiaaaqadaqaiaiGecaaamacaciHaaaalaaabGaGas iaaaGaiaiGecaaamOCaaqaiaiGecaaaiacaciHaaaadggaaaaacGaG asiaaaGLOaGaiaiGecaaayzkaaWaiaiGecaaaWbaaSqajaiGecaaae acaciHaaaacGaGasiaaaaIYaaaaOWaiaiG89paaiGaaeacaciF=daa dGaGaY3=aaWfWaqaiaiG89paamacaciF=daaxadabGaGaY3=aaWaia iG89paaCbmaeacaciF=daadGaGaY3=aaqhaaWcbGaGaY3=aaaabGaG aY3=aaaaaaqaiaiG89paaaqaiaiG89paaaaaaeacaciF=daaaeacac iF=daaaaaabGaGaY3=aaaabGaGaY3=aaaaaaGccGaGaY3=aaGL9baa cOaGaY3=aaGGZbGaiaiG89paaiyAaiacaciF=daac6gadGaGaY3=aa ahaaWcbKaGaY3=aaqaiaiG89paaiacaciF=daaikdaaaGccGaoaIza VladaciF=daaeI7aXjacaciF=daaykW7cGaGaY3=aaWGLbWaiaiG89 paaWbaaSqajaiG89paaeacaciF=daacGaGaY3=aaWGPbGaiaiG89pa aGOmaiadaciF=daaeU7aSbaakiacaciC=daac6caaaa@740B@ (5)

Проведем некоторые преобразования (5), чтобы представить его в более простом виде. Воспользуемся асимптотикой функций Бесселя, справедливой при больших значениях r/δ:

j 2 (1i) r δ i 2(1i) r δ exp (1+i) r δ . MathType@MTEF@5@5@+= feaahqart1ev3aaatCvAUfeBSjuyZL2yd9gzLbvyNv2CaerbuLwBLn hiov2DGi1BTfMBaeXatLxBI9gBaeXafv3ySLgzGmvETj2BSbqefm0B 1jxALjhiov2DaebbnrfifHhDYfgasaacHOaM0xg9vrFfpeea0xh9v8 qiW7rqqrFfpeea0xe9Lq=Jc9vqaqpepm0xbba9pwe9Q8fs0=yqaqpe pae9pg0FirpepeKkFr0xfr=xfr=xb9adbaqaaeGacaGaamaabeqaaq aabaqbaaGcbaGaamOAamaaBaaaleaacaaIYaaabeaakmaabmaabaGa aiikaiaaigdacqGHsislcaWGPbGaaiykamaaliaabaGaamOCaaqaai abes7aKbaaaiaawIcacaGLPaaacqGHfjcqdaWcaaqaaiaadMgaaeaa caaIYaGaaiikaiaaigdacqGHsislcaWGPbGaaiykamaaliaabaGaam OCaaqaaiabes7aKbaaaaGaciyzaiaacIhacaGGWbWaamWaaeaacaGG OaGaaGymaiabgUcaRiaadMgacaGGPaWaaSGaaeaacaWGYbaabaGaeq iTdqgaaaGaay5waiaaw2faaiaac6caaaa@5D63@

Тогда можно видеть, что

 

p n (r,θ,λ)=G sin 2 θ e i2λ l=0 n1 q l+1 d l+1 q l d l exp 1+i k=l+1 n r k r k1 δ k + r δ n r l a 2 q n d n r a 2 . MathType@MTEF@5@5@+= feaahqart1ev3aaatCvAUfeBSjuyZL2yd9gzLbvyNv2CaerbuLwBLn hiov2DGi1BTfMBaeXatLxBI9gBaeXafv3ySLgzGmvETj2BSbqefm0B 1jxALjhiov2DaebbnrfifHhDYfgasaacHOaM0xg9vrFfpeea0xh9v8 qiW7rqqrFfpeea0xe9Lq=Jc9vqaqpepm0xbba9pwe9Q8fs0=yqaqpe pae9pg0FirpepeKkFr0xfr=xfr=xb9adbaqaaeGacaGaamaabeqaaq aabaqbaaGcbaqcaaKaamiCaOWaaSbaaKqaafaacaWGUbaabeaajaaq caGGOaGaamOCaiaacYcacqaH4oqCcaGGSaGaeq4UdWMaaiykaOGaey ypa0Jaam4raKaaajGacohacaGGPbGaaiOBaOWaaWbaaKqaafqabaGa aGOmaaaajaaqcqaH4oqCcaaMc8UaamyzaOWaaWbaaKqaafqabaGaam yAaiaaikdacqaH7oaBaaGcdaGadaqaamaabiaabaWaaabCaeaadaqa daqaamaabmaabaWaaSaaaeaacaWGXbWaaSbaaSqaaiaadYgacqGHRa WkcaaIXaaabeaaaOqaaiaadsgadaWgaaWcbaGaamiBaiabgUcaRiaa igdaaeqaaaaakiabgkHiTmaalaaabaGaamyCamaaBaaaleaacaWGSb aabeaaaOqaaiaadsgadaWgaaWcbaGaamiBaaqabaaaaaGccaGLOaGa ayzkaaGaciyzaiaacIhacaGGWbWaaiWaaeaadaqadaqaaiaaigdacq GHRaWkcaWGPbaacaGLOaGaayzkaaWaaeWaaeaadaaeWbqaamaalaaa baGaamOCamaaBaaaleaacaWGRbaabeaakiabgkHiTiaadkhadaWgaa WcbaGaam4AaiabgkHiTiaaigdaaeqaaaGcbaGaeqiTdq2aaSbaaSqa aiaadUgaaeqaaaaaaeaacaWGRbGaeyypa0JaamiBaiabgUcaRiaaig daaeaacaWGUbaaniabggHiLdGccqGHRaWkdaWcaaqaaiaadkhaaeaa cqaH0oazdaWgaaWcbaGaamOBaaqabaaaaaGccaGLOaGaayzkaaaaca GL7bGaayzFaaWaaeWaaeaadaWcaaqaaiaadkhadaWgaaWcbaGaamiB aaqabaaakeaacaWGHbaaaaGaayjkaiaawMcaamaaCaaaleqabaGaaG OmaaaaaOGaayjkaiaawMcaaiaaysW7aSqaaiaadYgacqGH9aqpcaaI WaaabaGaamOBaiabgkHiTiaaigdaa0GaeyyeIuoaaOGaayzkaaGaey OeI0YaaSaaaeaacaWGXbWaaSbaaSqaaiaad6gaaeqaaaGcbaGaamiz amaaBaaaleaacaWGUbaabeaaaaGcdaqadaqaamaalaaabaGaamOCaa qaaiaadggaaaaacaGLOaGaayzkaaWaaWbaaSqabeaacaaIYaaaaaGc caGL7bGaayzFaaGaaiOlaaaa@A2AD@

(6)

При записи выражения (6) мы воспользовались обозначением q 0 d 0 =0. MathType@MTEF@5@5@+= feaahqart1ev3aqatCvAUfeBSjuyZL2yd9gzLbvyNv2CaerbuLwBLn hiov2DGi1BTfMBaeXatLxBI9gBaeXafv3ySLgzGmvETj2BSbqefm0B 1jxALjhiov2DaebbnrfifHhDYfgasaacHOaM0xg9vrFfpeea0xh9v8 qiW7rqqrFfpeea0xe9Lq=Jc9vqaqpepm0xbba9pwe9Q8fs0=yqaqpe pae9pg0FirpepeKkFr0xfr=xfr=xb9adbaqaaeGacaGaamaabeqaaq aabaqbaaGcbaWaaSaaaeaacaWGXbWaaSbaaSqaaiaaicdaaeqaaaGc baGaamizamaaBaaaleaacaaIWaaabeaaaaGccqGH9aqpcaaIWaGaai Olaaaa@4403@

Отметим, что для общности записи мы использовали символы суммирования, которые имеют смысл лишь при ≤ n MathType@MTEF@5@5@+= feaahqart1ev3aqatCvAUfeBSjuyZL2yd9gzLbvyNv2CaerbuLwBLn hiov2DGi1BTfMBaeXatLxBI9gBaerbd9wDYLwzYbItLDharqqtubsr 4rNCHbGeaGqiVu0Je9sqqrpepC0xbbL8F4rqqrFfpeea0xe9Lq=Jc9 vqaqpepm0xbba9pwe9Q8fs0=yqaqpepae9pg0FirpepeKkFr0xfr=x fr=xb9adbaqaaeGaciGaaiaabeqaamaabaabaaGcbaqefeKCPfgBaG qbaKqzGfaeaaaaaaaaa8qacaWFtacaaa@39A3@ 1, ≤ n, а в противном случае соответствующие слагаемые в выражениях отсутствуют.

Переобозначив константы, характеризующие свойства слоев и деформацию:

 

q n d n G= 1 2 α n M n ε 0 , MathType@MTEF@5@5@+= feaahqart1ev3aaatCvAUfeBSjuyZL2yd9gzLbvyNv2CaerbuLwBLn hiov2DGi1BTfMBaeXatLxBI9gBaeXafv3ySLgzGmvETj2BSbqefm0B 1jxALjhiov2DaebbnrfifHhDYfgasaacHOaM0xg9vrFfpeea0xh9v8 qiW7rqqrFfpeea0xe9Lq=Jc9vqaqpepm0xbba9pwe9Q8fs0=yqaqpe pae9pg0FirpepeKkFr0xfr=xfr=xb9adbaqaaeGacaGaamaabeqaaq aabaqbaaGcbaWaaSaaaeaacaWGXbWaaSbaaSqaaiaad6gaaeqaaaGc baGaamizamaaBaaaleaacaWGUbaabeaaaaGccaWGhbGaeyypa0ZaaS aaaeaacaaIXaaabaGaaGOmaaaacqaHXoqydaWgaaWcbaGaamOBaaqa baGccaaMc8UaamytamaaBaaaleaacaWGUbaabeaakiabew7aLnaaBa aaleaacaaIWaaabeaakiaacYcaaaa@4EF0@

(7)

и, считая, что α0M0, запишем решение:

p n (r,θ,λ)= 1 2 ε 0 sin 2 θ e i2λ l=0 n1 α l+1 M l+1 α l M l exp 1+i k=l+1 n r k r k1 δ k + r δ n r l a 2 α n M n r a 2 MathType@MTEF@5@5@+= feaahqart1ev3aaatCvAUfeBSjuyZL2yd9gzLbvyNv2CaerbuLwBLn hiov2DGi1BTfMBaeXatLxBI9gBaeXafv3ySLgzGmvETj2BSbqefm0B 1jxALjhiov2DaebbnrfifHhDYfgasaacHOaM0xg9vrFfpeea0xh9v8 qiW7rqqrFfpeea0xe9Lq=Jc9vqaqpepm0xbba9pwe9Q8fs0=yqaqpe pae9pg0FirpepeKkFr0xfr=xfr=xb9adbaqaaeGacaGaamaabeqaaq aabaqbaaGcbaqcaaSaamiCaOWaaSbaaKqaahaacaWGUbaabeaajaaW caGGOaGaamOCaiaacYcacqaH4oqCcaGGSaGaeq4UdWMaaiykaKazaa iacqGH9aqpkmaalaaajaa4baGaaGymaaqaaiaaikdaaaGaeqyTduMc daWgaaqcbaEaaiaaicdaaeqaaKaaalGacohacaGGPbGaaiOBaOWaaW baaKqaahqabaGaaGOmaaaajaaWcqaH4oqCcaaMc8UaamyzaOWaaWba aKqaahqabaGaamyAaiaaikdacqaH7oaBaaGccaaMb8+aaiWaaeaada aeWbqaamaabmaabaWaaeWaaeaacqaHXoqydaWgaaWcbaGaamiBaiab gUcaRiaaigdaaeqaaOGaaGPaVlaad2eadaWgaaWcbaGaamiBaiabgU caRiaaigdaaeqaaOGaaGzaVladycOHsislcqaHXoqydaWgaaWcbaGa amiBaaqabaGccaaMc8UaamytamaaBaaaleaacaWGSbaabeaaaOGaay jkaiaawMcaaiGacwgacaGG4bGaaiiCamaacmaabaWaaeWaaeaacaaI XaGaey4kaSIaamyAaaGaayjkaiaawMcaamaabmaabaWaaabCaeaada WcaaqaaiaadkhadaWgaaWcbaGaam4AaaqabaGccqGHsislcaWGYbWa aSbaaSqaaiaadUgacqGHsislcaaIXaaabeaaaOqaaiabes7aKnaaBa aaleaacaWGRbaabeaaaaaabaGaam4Aaiabg2da9iaadYgacqGHRaWk caaIXaaabaGaamOBaaqdcqGHris5aOGaey4kaSYaaSaaaeaacaWGYb aabaGaeqiTdq2aaSbaaSqaaiaad6gaaeqaaaaaaOGaayjkaiaawMca aaGaay5Eaiaaw2haamaabmaabaWaaSaaaeaacaWGYbWaaSbaaSqaai aadYgaaeqaaaGcbaGaamyyaaaaaiaawIcacaGLPaaadaahaaWcbeqa aiaaikdaaaaakiaawIcacaGLPaaacqGHsislaSqaaiaadYgacqGH9a qpcaaIWaaabaGaamOBaiabgkHiTiaaigdaa0GaeyyeIuoakiaaykW7 cqaHXoqydaWgaaWcbaGaamOBaaqabaGccaaMc8UaamytamaaBaaale aacaWGUbaabeaakmaabmaabaWaaSaaaeaacaWGYbaabaGaamyyaaaa aiaawIcacaGLPaaadaahaaWcbeqaaiaaikdaaaaakiaawUhacaGL9b aaaaa@B513@

(8)

Дальнейший анализ будем проводить в терминах модуля Био M, коэффициента Био α и коэффициента проницаемости k.

1.2. Переход к горизонтально-слоистой модели

Для практических приложений наибольший интерес представляет локально-плоская модель, в которой среда является горизонтально-слоистой, а функции, характеризующие поровое давление и электрическое поле, зависят только от вертикальной координаты (глубины). Говоря о пространственной неоднородности приливной деформации, необходимо отметить, что длина приливной волны составляет тысячи километров, и, рассматривая локальный участок, деформацию можно считать однородной, по крайней мере, по латерали.

Зависимость приливной деформации от широты очень проста, и в случае гармоники M2 сводится к наличию в выражении для порового давления множителя sin, где θ  MathType@MTEF@5@5@+= feaahqart1ev3aqatCvAUfeBSjuyZL2yd9gzLbvyNv2CaerbuLwBLn hiov2DGi1BTfMBaeXatLxBI9gBaerbd9wDYLwzYbItLDharqqtubsr 4rNCHbGeaGqiVu0Je9sqqrpepC0xbbL8F4rqqrFfpeea0xe9Lq=Jc9 vqaqpepm0xbba9pwe9Q8fs0=yqaqpepae9pg0FirpepeKkFr0xfr=x fr=xb9adbaqaaeGaciGaaiaabeqaamaabaabaaGcbaqefeKCPfgBaG qbaKqzGfaeaaaaaaaaa8qacaWFtacaaa@39A3@ коширота (полярный угол, отсчитываемый в меридиональной плоскости) (см. формулу (2)). Для определенности всюду ниже мы ограничиваемся случаем θ π/2, то есть, рассматривается поле на экваторе. Очевидно, что при работе с реальными данными учет широты не будет представлять сложности. Приливный потенциал для волны O1 также характеризуется несложной зависимостью от кошироты, что потребует лишь незначительной модификации соответствующих выражений.

Таким образом, переходя от сферической модели к локально-плоской модели с учетом соотношений r l a 1, r a 1, MathType@MTEF@5@5@+= feaahqart1ev3aaatCvAUfeBSjuyZL2yd9gzLbvyNv2CaerbuLwBLn hiov2DGi1BTfMBaeXatLxBI9gBaeXafv3ySLgzGmvETj2BSbqefm0B 1jxALjhiov2DaebbnrfifHhDYfgasaacHOaM0xg9vrFfpeea0xh9v8 qiW7rqqrFfpeea0xe9Lq=Jc9vqaqpepm0xbba9pwe9Q8fs0=yqaqpe pae9pg0FirpepeKkFr0xfr=xfr=xb9adbaqaaeGacaGaamaabeqaaq aabaqbaaGcbaWaaSaaaeaacaWGYbWaaSbaaSqaaiaadYgaaeqaaaGc baGaamyyaaaaju2xbiabgIKi7kaaigdakiaacYcacaaMe8+aaSaaae aacaWGYbaabaGaamyyaaaacaaMe8UaeyisISRaaGymaiaacYcaaaa@4CEC@ e i2λ =exp[i(ωt+φ)], MathType@MTEF@5@5@+= feaahqart1ev3aaatCvAUfeBSjuyZL2yd9gzLbvyNv2CaerbuLwBLn hiov2DGi1BTfMBaeXatLxBI9gBaeXafv3ySLgzGmvETj2BSbqefm0B 1jxALjhiov2DaebbnrfifHhDYfgasaacHOaM0xg9vrFfpeea0xh9v8 qiW7rqqrFfpeea0xe9Lq=Jc9vqaqpepm0xbba9pwe9Q8fs0=yqaqpe pae9pg0FirpepeKkFr0xfr=xfr=xb9adbaqaaeGacaGaamaabeqaaq aabaqbaaGcbaGaamyzamaaCaaaleqabaGaamyAaiaaikdacqaH7oaB aaGccqGH9aqpciGGLbGaaiiEaiaacchacaGGBbGaamyAaiaacIcacq aHjpWDcaWG0bGaey4kaSIaeqOXdOMaaiykaiaac2facaGGSaaaaa@503D@ исключая из рассмотрения широту и вводя глубину z, отсчитываемую от поверхности земли: z=ar, MathType@MTEF@5@5@+= feaahqart1ev3aaatCvAUfeBSjuyZL2yd9gzLbvyNv2CaerbuLwBLn hiov2DGi1BTfMBaeXatLxBI9gBaeXafv3ySLgzGmvETj2BSbqefm0B 1jxALjhiov2DaebbnrfifHhDYfgasaacHOaM0xg9vrFfpeea0xh9v8 qiW7rqqrFfpeea0xe9Lq=Jc9vqaqpepm0xbba9pwe9Q8fs0=yqaqpe pae9pg0FirpepeKkFr0xfr=xfr=xb9adbaqaaeGacaGaamaabeqaaq aabaqbaaGcbaqcaaSaamOEaiabg2da9iaadggacqGHsislcaWGYbGa aiilaaaa@4409@ а также, имея ввиду, что

 

 

k=l+1 n h k δ k + az δ n = k=l+1 n1 h k δ k 1 δ n z k=1 n1 h k , MathType@MTEF@5@5@+= feaahqart1ev3aaatCvAUfeBSjuyZL2yd9gzLbvyNv2CaerbuLwBLn hiov2DGi1BTfMBaeXatLxBI9gBaeXafv3ySLgzGmvETj2BSbqefm0B 1jxALjhiov2DaebbnrfifHhDYfgasaacHOaM0xg9vrFfpeea0xh9v8 qiW7rqqrFfpeea0xe9Lq=Jc9vqaqpepm0xbba9pwe9Q8fs0=yqaqpe pae9pg0FirpepeKkFr0xfr=xfr=xb9adbaqaaeGacaGaamaabeqaaq aabaqbaaGcbaGaeyOeI0YaaabCaeaadaWcaaqaaiaadIgadaWgaaWc baGaam4AaaqabaaakeaacqaH0oazdaWgaaWcbaGaam4Aaaqabaaaaa qaaiaadUgacqGH9aqpcaWGSbGaey4kaSIaaGymaaqaaiaad6gaa0Ga eyyeIuoakiabgUcaRmaalaaabaGaamyyaiabgkHiTiaadQhaaeaacq aH0oazdaWgaaWcbaGaamOBaaqabaaaaOGaeyypa0JaeyOeI0YaaabC aeaadaWcaaqaaiaadIgadaWgaaWcbaGaam4AaaqabaaakeaacqaH0o azdaWgaaWcbaGaam4AaaqabaaaaaqaaiaadUgacqGH9aqpcaWGSbGa ey4kaSIaaGymaaqaaiaad6gacqGHsislcaaIXaaaniabggHiLdGccq GHsisldaWcaaqaaiaaigdaaeaacqaH0oazdaWgaaWcbaGaamOBaaqa baaaaOWaaeWaaeaacaWG6bGaeyOeI0YaaabCaeaacaWGObWaaSbaaS qaaiaadUgaaeqaaaqaaiaadUgacqGH9aqpcaaIXaaabaGaamOBaiab gkHiTiaaigdaa0GaeyyeIuoaaOGaayjkaiaawMcaaiaacYcaaaa@7454@

(9)

получаем:

 

 

p n (z)= 1 2 ε 0 e iωt l=0 n1 α l+1 M l+1 α l M l exp 1+i k=l+1 n1 h k δ k 1 δ n z k=1 n1 h k α n M n . MathType@MTEF@5@5@+= feaahqart1ev3aaatCvAUfeBSjuyZL2yd9gzLbvyNv2CaerbuLwBLn hiov2DGi1BTfMBaeXatLxBI9gBaeXafv3ySLgzGmvETj2BSbqefm0B 1jxALjhiov2DaebbnrfifHhDYfgasaacHOaM0xg9vrFfpeea0xh9v8 qiW7rqqrFfpeea0xe9Lq=Jc9vqaqpepm0xbba9pwe9Q8fs0=yqaqpe pae9pg0FirpepeKkFr0xfr=xfr=xb9adbaqaaeGacaGaamaabeqaaq aabaqbaaGcbaGaamiCamaaBaaaleaacaWGUbaabeaakiaacIcacaWG 6bGaaiykaiabg2da9maalaaabaGaaGymaaqaaiaaikdaaaGaeqyTdu 2aaSbaaSqaaiaaicdaaeqaaOGaamyzamaaCaaaleqabaGaamyAaiab eM8a3jaadshaaaGcdaGadaqaamaaqahabaWaaeWaaeaadaqadaqaai abeg7aHnaaBaaaleaacaWGSbGaey4kaSIaaGymaaqabaGccaaMb8Ua aGPaVlaad2eadaWgaaWcbaGaamiBaiabgUcaRiaaigdaaeqaaOGaaG zaVlabgkHiTiabeg7aHnaaBaaaleaacaWGSbaabeaakiaaykW7caWG nbWaaSbaaSqaaiaadYgaaeqaaaGccaGLOaGaayzkaaGaciyzaiaacI hacaGGWbWaaiWaaeaadaqadaqaaiaaigdacqGHRaWkcaWGPbaacaGL OaGaayzkaaWaaeWaaeaacqGHsisldaaeWbqaamaalaaabaGaamiAam aaBaaaleaacaWGRbaabeaaaOqaaiabes7aKnaaBaaaleaacaWGRbaa beaaaaaabaGaam4Aaiabg2da9iaadYgacqGHRaWkcaaIXaaabaGaam OBaiabgkHiTiaaigdaa0GaeyyeIuoakiabgkHiTmaalaaabaGaaGym aaqaaiabes7aKnaaBaaaleaacaWGUbaabeaaaaGcdaqadaqaaiaadQ hacaaMb8UamGmGgkHiTmaaqahabaGaamiAamaaBaaaleaacaWGRbaa beaaaeaacaWGRbGaeyypa0JaaGymaaqaaiaad6gacqGHsislcaaIXa aaniabggHiLdaakiaawIcacaGLPaaaaiaawIcacaGLPaaaaiaawUha caGL9baaaiaawIcacaGLPaaacaaMe8oaleaacaWGSbGaeyypa0JaaG imaaqaaiaad6gacqGHsislcaaIXaaaniabggHiLdGccqGHsislcqaH XoqydaWgaaWcbaGaamOBaaqabaGccaaMc8UaamytamaaBaaaleaaca WGUbaabeaaaOGaay5Eaiaaw2haaiaac6caaaa@A499@

(10)

Переходя к действительным величинам (во временную область), будем иметь:

 

p n (z,t)= 1 2 ε 0 l=0 n1 α l+1 M l+1 α l M l exp k=l+1 n h k δ k + az δ n cos ωt k=l+1 n h k δ k + az δ n α n M n cos ωt , MathType@MTEF@5@5@+= feaahqart1ev3aaatCvAUfeBSjuyZL2yd9gzLbvyNv2CaerbuLwBLn hiov2DGi1BTfMBaeXatLxBI9gBaeXafv3ySLgzGmvETj2BSbqefm0B 1jxALjhiov2DaebbnrfifHhDYfgasaacHOaM0xg9vrFfpeea0xh9v8 qiW7rqqrFfpeea0xe9Lq=Jc9vqaqpepm0xbba9pwe9Q8fs0=yqaqpe pae9pg0FirpepeKkFr0xfr=xfr=xb9adbaqaaeGacaGaamaabeqaaq aabaqbaaGcbaGaamiCamaaBaaaleaacaWGUbaabeaakiaacIcacaWG 6bGaaiilaiaaysW7caWG0bGaaiykaiabg2da9maalaaabaGaaGymaa qaaiaaikdaaaGaeqyTdu2aaSbaaSqaaiaaicdaaeqaaOWaaiWaaeaa daaeWbqaamaabmaabaGaeqySde2aaSbaaSqaaiaadYgacqGHRaWkca aIXaaabeaakiaad2eadaWgaaWcbaGaamiBaiabgUcaRiaaigdaaeqa aOGaaGzaVlabgkHiTiabeg7aHnaaBaaaleaacaWGSbaabeaakiaad2 eadaWgaaWcbaGaamiBaaqabaaakiaawIcacaGLPaaaciGGLbGaaiiE aiaacchadaqadaqaaiabgkHiTmaaqahabaWaaSaaaeaacaWGObWaaS baaSqaaiaadUgaaeqaaaGcbaGaeqiTdq2aaSbaaSqaaiaadUgaaeqa aaaakiabgUcaRmaalaaabaGaamyyaiaayIW7cqGHsislcaaMi8Uaam OEaaqaaiabes7aKnaaBaaaleaacaWGUbaabeaaaaaabaGaam4Aaiab g2da9iaadYgacqGHRaWkcaaIXaaabaGaamOBaaqdcqGHris5aaGcca GLOaGaayzkaaGaci4yaiaac+gacaGGZbWaaeWaaeaacqaHjpWDcaWG 0bGaeyOeI0IaaGzaVpaaqahabaWaaSaaaeaacaWGObWaaSbaaSqaai aadUgaaeqaaaGcbaGaeqiTdq2aaSbaaSqaaiaadUgaaeqaaaaakiab gUcaRmaalaaabaGaamyyaiaayIW7cqGHsislcaaMi8UaamOEaaqaai abes7aKnaaBaaaleaacaWGUbaabeaaaaaabaGaam4Aaiabg2da9iaa dYgacqGHRaWkcaaIXaaabaGaamOBaaqdcqGHris5aaGccaGLOaGaay zkaaaaleaacaWGSbGaeyypa0JaaGimaaqaaiaad6gacqGHsislcaaI XaaaniabggHiLdGccaaMe8UamGjGgkHiTiaaysW7caaMb8UaeqySde 2aaSbaaSqaaiaad6gaaeqaaOGaamytamaaBaaaleaacaWGUbaabeaa kiaaygW7ciGGJbqcL9vacaGGVbGccaGGZbWaaeWaaeaacqaHjpWDca WG0baacaGLOaGaayzkaaaacaGL7bGaayzFaaGaaiilaaaa@B644@ (11)

где h k = r k1 r k MathType@MTEF@5@5@+= feaahqart1ev3aaatCvAUfeBSjuyZL2yd9gzLbvyNv2CaerbuLwBLn hiov2DGi1BTfMBaeXatLxBI9gBaeXafv3ySLgzGmvETj2BSbqefm0B 1jxALjhiov2DaebbnrfifHhDYfgasaacHOaM0xg9vrFfpeea0xh9v8 qiW7rqqrFfpeea0xe9Lq=Jc9vqaqpepm0xbba9pwe9Q8fs0=yqaqpe pae9pg0FirpepeKkFr0xfr=xfr=xb9adbaqaaeGacaGaamaabeqaaq aabaqbaaGcbaGaamiAamaaBaaaleaacaWGRbaabeaakiabg2da9iaa dkhadaWgaaWcbaGaam4AaiabgkHiTiaaigdaaeqaaOGaeyOeI0Iaam OCamaaBaaaleaacaWGRbaabeaaaaa@479F@   MathType@MTEF@5@5@+= feaahqart1ev3aqatCvAUfeBSjuyZL2yd9gzLbvyNv2CaerbuLwBLn hiov2DGi1BTfMBaeXatLxBI9gBaerbd9wDYLwzYbItLDharqqtubsr 4rNCHbGeaGqiVu0Je9sqqrpepC0xbbL8F4rqqrFfpeea0xe9Lq=Jc9 vqaqpepm0xbba9pwe9Q8fs0=yqaqpepae9pg0FirpepeKkFr0xfr=x fr=xb9adbaqaaeGaciGaaiaabeqaamaabaabaaGcbaqefeKCPfgBaG qbaKqzGfaeaaaaaaaaa8qacaWFtacaaa@39A3@ мощность слоя k.

Например, для расчета порового давления в первом и втором (сверху) слоях можно использовать следующие выражения:

 

p 1 (z,t)= 1 2 α 1 M 1 ε 0 exp z δ 1 cos z δ 1 ωt cos ωt , MathType@MTEF@5@5@+= feaahqart1ev3aaatCvAUfeBSjuyZL2yd9gzLbvyNv2CaerbuLwBLn hiov2DGi1BTfMBaeXatLxBI9gBaeXafv3ySLgzGmvETj2BSbqefm0B 1jxALjhiov2DaebbnrfifHhDYfgasaacHOaM0xg9vrFfpeea0xh9v8 qiW7rqqrFfpeea0xe9Lq=Jc9vqaqpepm0xbba9pwe9Q8fs0=yqaqpe pae9pg0FirpepeKkFr0xfr=xfr=xb9adbaqaaeGacaGaamaabeqaaq aabaqbaaGcbaGaamiCamaaBaaaleaacaaIXaaabeaakiaacIcacaWG 6bGaaiilaiaaysW7caWG0bGaaiykaiabg2da9maalaaabaGaaGymaa qaaiaaikdaaaGaeqySde2aaSbaaSqaaiaaigdaaeqaaOGaamytamaa BaaaleaacaaIXaaabeaakiabew7aLnaaBaaaleaacaaIWaaabeaakm aadmaabaGaciyzaiaacIhacaGGWbWaaeWaaeaacqGHsisldaWcaaqa aiaadQhaaeaacqaH0oazdaWgaaWcbaGaaGymaaqabaaaaaGccaGLOa GaayzkaaGaci4yaiaac+gacaGGZbWaaeWaaeaadaWcaaqaaiaadQha aeaacqaH0oazdaWgaaWcbaGaaGymaaqabaaaaOGaeyOeI0IaeqyYdC NaamiDaaGaayjkaiaawMcaaiabgkHiTiGacogacaGGVbGaai4Camaa bmaabaGaeqyYdCNaamiDaaGaayjkaiaawMcaaaGaay5waiaaw2faai aacYcaaaa@6E07@   (12)

 

 

p 2 (z,t)= 1 2 α 2 M 1 ε 0 e (z/ δ 2 h/ δ 2 +h/ δ 2 ) cos(ωtz/ δ 2 +h/ δ 2 h/ δ 1 ) + + α 2 M 2 α 1 M 1 1 e (z/ δ 2 h/ δ 2 ) cos(ωtz/ δ 2 +h/ δ 2 ) α 2 M 2 α 1 M 1 cos(ωt) . MathType@MTEF@5@5@+= feaahqart1ev3aaatCvAUfeBSjuyZL2yd9gzLbvyNv2CaerbuLwBLn hiov2DGi1BTfMBaeXatLxBI9gBaeXafv3ySLgzGmvETj2BSbqefm0B 1jxALjhiov2DaebbnrfifHhDYfgasaacHOaM0xg9vrFfpeea0xh9v8 qiW7rqqrFfpeea0xe9Lq=Jc9vqaqpepm0xbba9pwe9Q8fs0=yqaqpe pae9pg0FirpepeKkFr0xfr=xfr=xb9adbaqaaeGacaGaamaabeqaaq aabaqbaaGceaGabeaaju2xbiaadchakmaaBaaaleaacaaIYaaabeaa ju2xbiaacIcacaWG6bGaaiilaiaadshacaGGPaGaaGjbVlaayIW7cq GH9aqpcaaMc8UaaGjcVRWaaSaaaKaaGfaaju2xbiaaigdaaKaaGfaa ju2xbiaaikdaaaGaeqySdeMcdaWgaaWcbaGaaGOmaaqabaqcL9vaca WGnbGcdaWgaaWcbaGaaGymaaqabaqcL9vacqaH1oqzkmaaBaaaleaa caaIWaaabeaakmaaceaajaaybaqcL9vacaWGLbGcdaahaaqcbawabe aaju2xbiabgkHiTiaacIcacaWG6bGaai4laiabes7aKPWaaSbaaSqa aiaaikdaaeqaaKqzFfGaeyOeI0IaaGPaVlaadIgacaGGVaGaeqiTdq McdaWgaaWcbaGaaGOmaaqabaqcL9vacqGHRaWkcaaMc8UaamiAaiaa c+cacqaH0oazkmaaBaaaleaacaaIYaaabeaaju2xbiaacMcaaaGaaG jcVJqaaiaa=ngacaWFVbGaa83CaiaacIcacqaHjpWDcaWG0bGaaGjc VlabgkHiTiaayIW7caWG6bGaaGjcVlaac+cacaaMi8UaeqiTdqMcda WgaaWcbaGaaGOmaaqabaqcL9vacaaMi8Uaey4kaSIaamiAaiaayIW7 caGGVaGaaGjcVlabes7aKPWaaSbaaSqaaiaaikdaaeqaaKqzFfGaaG jcVlabgkHiTiaayIW7caaMc8UaamiAaiaayIW7caGGVaGaaGjcVlab es7aKPWaaSbaaSqaaiaaigdaaeqaaKqzFfGaaiykaaqcaaMaay5Eaa qcL9vacqGHRaWkaOqaaKqzFfGaaGPaVlaaykW7cqGHRaWkcaaMc8Uc daqadaqcaawaaOWaaSaaaKaaGfaaju2xbiabeg7aHPWaaSbaaSqaai aaikdaaeqaaKqzFfGaamytaOWaaSbaaSqaaiaaikdaaeqaaaqcaawa aKqzFfGaeqySdeMcdaWgaaWcbaGaaGymaaqabaqcL9vacaWGnbGcda WgaaWcbaGaaGymaaqabaaaaKqzFfGaeyOeI0IaaGymaaqcaaMaayjk aiaawMcaaKqzFfGaaGPaVRGaamyzamaaCaaaleqabaGaeyOeI0Iaai ikaiaadQhacaGGVaGaeqiTdq2aaSbaaWqaaiaaikdaaeqaaSGaeyOe I0IaamiAaiaac+cacqaH0oazdaWgaaadbaGaaGOmaaqabaWccaGGPa aaaOGaci4yaiaac+gacaGGZbGaaiikaiabeM8a3jaadshacqGHsisl caWG6bGaaGjcVlaaygW7caGGVaGaaGjcVlaaygW7cqaH0oazdaWgaa WcbaGaaGOmaaqabaGccqGHRaWkcaWGObGaaGjcVlaac+cacaaMi8Ua eqiTdq2aaSbaaSqaaiaaikdaaeqaaOGaaiykaiabgkHiTmaalaaaba GaeqySde2aaSbaaSqaaiaaikdaaeqaaOGaamytamaaBaaaleaacaaI YaaabeaaaOqaaiabeg7aHnaaBaaaleaacaaIXaaabeaakiaad2eada WgaaWcbaGaaGymaaqabaaaaOGaci4yaiaac+gacaGGZbGaaiikaiab eM8a3jaadshacaGGPaWaiaiGq8paaiGaaeacacie=daadGaGacX=aa qhaaWcbGaGacX=aaWaiaiGq8paa0baaWqaiaiGq8paaaqaiaiGq8pa aaaaaSqaiaiGq8paaaaaaOGaiaiGq8paayzFaaGaiaiGq8paaiOlaa aaaa@0CD6@

(13)

В целях более компактной записи, дальнейший анализ мы будем вести в терминах комплексных амплитуд (в частотной области).

Дифференцируя (10) по z, получаем выражение для вертикальной составляющей градиента порового давления:

 

 

p n (z) z = 1+i 2 δ n ε 0 e iωt l=0 n1 α l+1 M l+1 α l M l exp 1+i k=l+1 n1 h k δ k 1 δ n z k=1 n1 h k MathType@MTEF@5@5@+= feaahqart1ev3aaatCvAUfeBSjuyZL2yd9gzLbvyNv2CaerbuLwBLn hiov2DGi1BTfMBaeXatLxBI9gBaeXafv3ySLgzGmvETj2BSbqefm0B 1jxALjhiov2DaebbnrfifHhDYfgasaacHOaM0xg9vrFfpeea0xh9v8 qiW7rqqrFfpeea0xe9Lq=Jc9vqaqpepm0xbba9pwe9Q8fs0=yqaqpe pae9pg0FirpepeKkFr0xfr=xfr=xb9adbaqaaeGacaGaamaabeqaaq aabaqbaaGcbaWaaSaaaeaacqGHciITcaWGWbWaaSbaaSqaaiaad6ga aeqaaOGaaiikaiaadQhacaGGPaaabaGaeyOaIyRaamOEaaaacqGH9a qpcqGHsisldaWcaaqaamaabmaabaGaaGymaiabgUcaRiaadMgaaiaa wIcacaGLPaaaaeaacaaIYaGaeqiTdq2aaSbaaSqaaiaad6gaaeqaaa aakiabew7aLnaaBaaaleaacaaIWaaabeaakiaadwgadaahaaWcbeqa aiaadMgacqaHjpWDcaWG0baaaOWaaabCaeaadaqadaqaamaabmaaba GaeqySde2aaSbaaSqaaiaadYgacqGHRaWkcaaIXaaabeaaju2xbiaa d2eakmaaBaaaleaacaWGSbGaey4kaSIaaGymaaqabaGccaaMi8Uaey OeI0IaeqySde2aaSbaaSqaaiaadYgaaeqaaOGaamytamaaBaaaleaa caWGSbaabeaakiaaygW7aiaawIcacaGLPaaaciGGLbGaaiiEaiaacc hadaGadaqaamaabmaabaGaaGymaiaayIW7cqGHRaWkcaaMi8UaamyA aaGaayjkaiaawMcaamaabmaabaGaeyOeI0YaaabCaeaadaWcaaqaai aadIgadaWgaaWcbaGaam4AaaqabaaakeaacqaH0oazdaWgaaWcbaGa am4AaaqabaaaaaqaaiaadUgacqGH9aqpcaWGSbGaey4kaSIaaGymaa qaaiaad6gacqGHsislcaaIXaaaniabggHiLdGccqGHsisldaWcaaqa aiaaigdaaeaacqaH0oazdaWgaaWcbaGaamOBaaqabaaaaOWaaeWaae aacaWG6bGaeyOeI0YaaabCaeaacaWGObWaaSbaaSqaaiaadUgaaeqa aaqaaiaadUgacqGH9aqpcaaIXaaabaGaamOBaiabgkHiTiaaigdaa0 GaeyyeIuoaaOGaayjkaiaawMcaaaGaayjkaiaawMcaaaGaay5Eaiaa w2haaaGaayjkaiaawMcaaaWcbaGaamiBaiabg2da9iaaicdaaeaaca WGUbGaeyOeI0IaaGymaaqdcqGHris5aaaa@A1DA@

(14)

Из (10) и (14) видно, что решение в каждом последующем слое (от поверхности вниз) есть сумма решений для полупространств, параметры которых определяются характеристиками всех вышележащих слоев с соответствующими сдвигами по глубине. Например, решение в первом слое совпадает с решением для полупространства с параметрами α 1 , M 1 , δ 1 , MathType@MTEF@5@5@+= feaahqart1ev3aaatCvAUfeBSjuyZL2yd9gzLbvyNv2CaerbuLwBLn hiov2DGi1BTfMBaeXatLxBI9gBaeXafv3ySLgzGmvETj2BSbqefm0B 1jxALjhiov2DaebbnrfifHhDYfgasaacHOaM0xg9vrFfpeea0xh9v8 qiW7rqqrFfpeea0xe9Lq=Jc9vqaqpepm0xbba9pwe9Q8fs0=yqaqpe pae9pg0FirpepeKkFr0xfr=xfr=xb9adbaqaaeGacaGaamaabeqaaq aabaqbaaGcbaGaeqySde2aaSbaaSqaaiaaigdaaeqaaOGaaiilaiaa ysW7caWGnbWaaSbaaSqaaiaaigdaaeqaaOGaaiilaiaaysW7cqaH0o azdaWgaaWcbaGaaGymaaqabaGccaGGSaaaaa@49D4@ а при переходе во второй слой к нему добавляется дополнительное слагаемое. Аналогичным образом, при переходе в нижележащие слои происходит суммирование с соответствующими дополнительными слагаемыми. При этом, амплитуды последних зависят от контраста α l+1 M l+1 α l M l , MathType@MTEF@5@5@+= feaahqart1ev3aaatCvAUfeBSjuyZL2yd9gzLbvyNv2CaerbuLwBLn hiov2DGi1BTfMBaeXatLxBI9gBaeXafv3ySLgzGmvETj2BSbqefm0B 1jxALjhiov2DaebbnrfifHhDYfgasaacHOaM0xg9vrFfpeea0xh9v8 qiW7rqqrFfpeea0xe9Lq=Jc9vqaqpepm0xbba9pwe9Q8fs0=yqaqpe pae9pg0FirpepeKkFr0xfr=xfr=xb9adbaqaaeGacaGaamaabeqaaq aabaqbaaGcbaGaeqySde2aaSbaaSqaaiaadYgacqGHRaWkcaaIXaaa beaakiaaykW7caWGnbWaaSbaaSqaaiaadYgacqGHRaWkcaaIXaaabe aakiabgkHiTiabeg7aHnaaBaaaleaacaWGSbaabeaakiaaykW7caWG nbWaaSbaaSqaaiaadYgaaeqaaOGaaiilaaaa@4F2C@ а также отношений мощностей и скин-толщин вышележащих слоев. Зависимость от глубины в любом слое является экспоненциальной, что делает целесообразным представление амплитуд градиента порового давления в логарифмическом масштабе. В таком представлении p(z) z MathType@MTEF@5@5@+= feaahqart1ev3aaatCvAUfeBSjuyZL2yd9gzLbvyNv2CaerbuLwBLn hiov2DGi1BTfMBaeXatLxBI9gBaeXafv3ySLgzGmvETj2BSbqefm0B 1jxALjhiov2DaebbnrfifHhDYfgasaacHOaM0xg9vrFfpeea0xh9v8 qiW7rqqrFfpeea0xe9Lq=Jc9vqaqpepm0xbba9pwe9Q8fs0=yqaqpe pae9pg0FirpepeKkFr0xfr=xfr=xb9adbaqaaeGacaGaamaabeqaaq aabaqbaaGcbaWaaSaaaeaacqGHciITcaWGWbGaaiikaiaadQhacaGG PaaabaGaeyOaIyRaamOEaaaaaaa@44E9@ имеет вид кусочно-линейной функции глубины z. В качестве примера приведем графики зависимости модуля комплексной амплитуды давления и его вертикального градиента от глубины для ряда трехслойных моделей c различными параметрами слоев (рис. 1).

2. Чувствительность к параметрам горизонтально-слоистой среды

Особенностью полученных выше выражений (10) и (14) является то, что решение в каждом слое не зависит от свойств нижележащей среды. Это обстоятельство не позволяет проводить изучение глубоких слоев по измерениям на поверхности, однако, проводя измерения внутри среды (в скважинах), достаточно легко получить оценки ее геомеханических и петрофизических характеристик, входящих в выражения (10) и (14). В этой связи, представляется целесообразным проанализировать чувствительность градиента порового давления к упругим параметрам и проницаемости слоев.

2.1. Чувствительность к изменению значений коэффициента Био α

Наиболее простой вид имеет выражение для производной вертикального градиента порового давления в слое n по параметру α слое m (m и n могут быть равны):

α m p n (z) z = 1+i 2 δ n ε 0 e iωt × × M m exp h m δ m 1 exp 1+i k=l+1 n1 h k δ k 1 δ n z k=1 n1 h k . MathType@MTEF@5@5@+= feaahqart1ev3aaatCvAUfeBSjuyZL2yd9gzLbvyNv2CaerbuLwBLn hiov2DGi1BTfMBaeXatLxBI9gBaeXafv3ySLgzGmvETj2BSbqefm0B 1jxALjhiov2DaebbnrfifHhDYfgasaacHOaM0xg9vrFfpeea0xh9v8 qiW7rqqrFfpeea0xe9Lq=Jc9vqaqpepm0xbba9pwe9Q8fs0=yqaqpe pae9pg0FirpepeKkFr0xfr=xfr=xb9adbaqaaeGacaGaamaabeqaaq aabaqbaaGceaGabeaadaWcaaqaaiabgkGi2cqaaiabgkGi2kabeg7a HnaaBaaaleaacaWGTbaabeaaaaGcdaqadaqaamaalaaabaGaeyOaIy RaamiCamaaBaaaleaacaWGUbaabeaakiaacIcacaWG6bGaaiykaaqa aiabgkGi2kaadQhaaaaacaGLOaGaayzkaaGaeyypa0JaeyOeI0YaaS aaaeaadaqadaqaaiaaigdacqGHRaWkcaWGPbaacaGLOaGaayzkaaaa baGaaGOmaiabes7aKnaaBaaaleaacaWGUbaabeaaaaGccqaH1oqzda WgaaWcbaGaaGimaaqabaGccaWGLbWaaWbaaSqabeaacaWGPbGaeqyY dCNaamiDaaaakiabgEna0cqaaiabgEna0kaad2eadGaAaUbaaSqaiG gGcGaAaoyBaaqajGgGaOGaiGgGygW7ju2xbiGcqbOGLbGaiafGcIha cGauakiCaOWaiafGbmaabGauakadqbOHsisldGauaUaaaeacqbOaia fGdIgadGauaUbaaSqaiafGcGauaoyBaaqajafGaaGcbGauakadqbiH 0oazdGauaUbaaSqaiafGcGauaoyBaaqajafGaaaakiacqbiMb8Uaey OeI0IaiafGigdaaiacqbOLOaGaiafGwMcaaiGcebOGLbGaiqeGcIha cGarakiCamacebOadaqaiqeGdGaragWaaeacebicbaqcL9vacGara+ xmaOGaiqeGygW7cWaAaA4kaSIaiqeGdMgaaiacebOLOaGaiqeGwMca amacebyadaqaiqeGcWalaAOeI0IaiWcGygW7cGalaIzaVlacSaiMb8 +aiWcGqahabGalaoacSa4caaqaiWcGcGalaoiAamacSa4gaaWcbGal akacSa4GRbaabKalacaakeacSaOamWcGes7aKnacSa4gaaWcbGalak acSa4GRbaabKalacaaaaqaiWcGcGalao4AaiadSaOH9aqpcGalaoiB aiadSaOHRaWkcGalaIymaaqaiWcGcGalaoOBaiadSaOHsislcGalaI ymaaqdcWalaAyeIuoakiacebiMb8UamWfGgkHiTmaceb4caaqaiqeG cGaraIymaaqaiqeGcWarasiTdq2aiqeGBaaaleacebOaiqeGd6gaae qcebiaaaGcdGaragWaaeacebOaiqeGdQhacGaraIzaVlacebiMb8Ua iqeGygW7cWauaAOeI0IaiqeGygW7dGaracbCaeacebOaiqeGdIgadG araUbaaSqaiqeGcGarao4AaaqajqeGaaqaiqeGcGarao4AaiadebOH 9aqpcGaraIymaaqaiqeGcGaraoOBaiadebOHsislcGaraIymaaqdcW araAyeIuoaaOGaiqeGwIcacGaraAzkaaaacGaraAjkaiacebOLPaaa aiacebOL7bGaiqeGw2haaiacebOGUaaaaaa@0A05@

(15)

Как мы видим, в выражение для чувствительности к коэффициенту Био αm в виде сомножителя входит модуль Био Mm. С учетом широкого диапазона возможных изменений последнего, можно сделать вывод о том, что амплитуда чувствительности к αm может меняться на несколько порядков.

2.2. Чувствительность к изменению значений модуля Био M и коэффициента проницаемости k

Учитывая некоторые различия в функциональной зависимости p n (z) z MathType@MTEF@5@5@+= feaahqart1ev3aaatCvAUfeBSjuyZL2yd9gzLbvyNv2CaerbuLwBLn hiov2DGi1BTfMBaeXatLxBI9gBaeXafv3ySLgzGmvETj2BSbqefm0B 1jxALjhiov2DaebbnrfifHhDYfgasaacHOaM0xg9vrFfpeea0xh9v8 qiW7rqqrFfpeea0xe9Lq=Jc9vqaqpepm0xbba9pwe9Q8fs0=yqaqpe pae9pg0FirpepeKkFr0xfr=xfr=xb9adbaqaaeGacaGaamaabeqaaq aabaqbaaGcbaWaaSaaaeaacqGHciITcaWGWbWaaSbaaSqaaiaad6ga aeqaaOGaaiikaiaadQhacaGGPaaabaGaeyOaIyRaamOEaaaaaaa@4612@ от параметров текущего и вышележащих слоев, при расчете чувствительности целесообразно отдельно рассмотреть два случая: ≠ n и n.

 

Рис. 1. Зависимость амплитуд порового давления (а) и его вертикального градиента (б) от глубины для набора трехслойных моделей. Параметры моделей приводятся в табл. 1. Величина приливной деформации была принята равной ε0 = 2 ∙ 10–8, частота ω = 2π/12 рад/час.

 

Случай 1 (≠ n):

M m p n (z) z = = 1+i 2 δ n ε 0 e iωt l=0 n1 exp 1+i k=l+1 n1 h k δ k 1 δ n z k=1 n1 h k × × M m α l+1 M l+1 α l M l (1+i) × × α l+1 M l+1 α l M l M m k=l+1 n h k δ k . MathType@MTEF@5@5@+= feaahqart1ev3aaatCvAUfeBSjuyZL2yd9gzLbvyNv2CaerbuLwBLn hiov2DGi1BTfMBaeXatLxBI9gBaeXafv3ySLgzGmvETj2BSbqefm0B 1jxALjhiov2DaebbnrfifHhDYfgasaacHOaM0xg9vrFfpeea0xh9v8 qiW7rqqrFfpeea0xe9Lq=Jc9vqaqpepm0xbba9pwe9Q8fs0=yqaqpe pae9pg0FirpepeKkFr0xfr=xfr=xb9adbaqaaeGacaGaamaabeqaaq aabaqbaaGceaGabeaadaWcaaqaaiabgkGi2cqaaiabgkGi2kaad2ea daWgaaWcbaGaamyBaaqabaaaaOWaaeWaaeaadaWcaaqaaiabgkGi2k aadchadaWgaaWcbaGaamOBaaqabaGccaGGOaGaamOEaiaacMcaaeaa cqGHciITcaWG6baaaaGaayjkaiaawMcaaiabg2da9aqaaiabg2da9i aayIW7cqGHsisldGaxaUaaaeacCb4aiWfGbmaabGaxakacCbiIXaGa iWfGyIW7cWaraA4kaSIaiWfGyIW7cGaxaoyAaaGaiWfGwIcacGaxaA zkaaaabGaxakacCbiIYaGamWfGes7aKnacCb4gaaWcbGaxakacCb4G UbaabKaxacaaaOGamqeGew7aLnac4a4gaaWcbGaoakac4aiIWaaabK aoacGccGalaoyzamacSaihaaWcbKalagacSaOaiacGdMgacWaiasyY dCNaiqbGdshaaaGcdGacacbCaeaciaOakaiGy9paaiyzaiacaciw=d aacIhacGaGaI1=aaGGWbWaiaiGa9paaiWaaeacaciq=daadGaGacX= aaqadaqaiaiGq8paaiacacie=daaigdacGaGacX=aaaMi8UamaiGe8 paay4kaSIaiaiGq8paaGjcVlacacie=daadMgaaiacacie=daawIca cGaGacX=aaGLPaaacGaGac0=aaaMb8+aiaiGa9paaeWaaeacaciq=d aacWaGac0=aaGHsisldGaGac0=aaaeWbqaiaiGa9paamacacib=daa laaabGaGasW=aaGaiaiGe8paamiAamacacib=daaBaaaleacacib=d aacGaGasW=aaWGRbaabKaGasW=aaaaaOqaiaiGe8paaiadacib=daa es7aKnacacib=daaBaaaleacacib=daacGaGasW=aaWGRbaabKaGas W=aaaaaaGccGaGac0=aaaMb8UaiaiGa9paaGzaVdWcbGaGac0=aaGa iaiGa9paam4Aaiadaciq=daag2da9iacaciq=daadYgacWaGac0=aa GHRaWkcGaGac0=aaaIXaaabGaGac0=aaGaiaiGa9paamOBaiadaciq =daagkHiTiacaciq=daaigdaa0GamaiGa9paayyeIuoakiacaciq=d aayIW7cWaGacX=aaGHsislcGaGac0=aaaMb8+aiaiGa9paaSaaaeac aciq=daacGaGac0=aaaIXaaabGaGac0=aaGamaiGa9paaqiTdq2aia iGa9paaSbaaSqaiaiGa9paaiacaciq=daad6gaaeqcaciq=daaaaaa kmacaciq=daabmaabGaGac0=aaGaiaiGa9paamOEaiacaciq=daayI W7cWaGac0=aaGHsislcGaGac0=aaaMb8+aiaiGa9paaabCaeacaciq =daacGaGac0=aaWGObWaiaiGa9paaSbaaSqaiaiGa9paaiacaciq=d aadUgaaeqcaciq=daaaaqaiaiGa9paaiacaciq=daadUgacWaGac0= aaGH9aqpcGaGac0=aaaIXaaabGaGac0=aaGaiaiGa9paamOBaiadac iq=daagkHiTiacaciq=daaigdaa0GamaiGa9paayyeIuoakiacaciq =daaygW7aiacaciq=daawIcacGaGac0=aaGLPaaaaiacaciq=daawI cacGaGac0=aaGLPaaaaiacaciq=daawUhacGaGac0=aaGL9baacGaG aI1=aaaMi8UamaiGm9paay41aqlaleaciaOaiGaGdYgacWacaAypa0 JaiGaGicdaaeaciaOaiGaGd6gacWacaAOeI0IaiGaGigdaa0GamGaG ggHiLdaakeaacqGHxdaTdaGabaqaamaalaaabaGaeyOaIylabaGaey OaIyRaamytamaaBaaaleaacaWGTbaabeaaaaGcdaqadaqaaiabeg7a HnaaBaaaleaacaWGSbGaey4kaSIaaGymaaqabaGccaaMc8Uaamytam aaBaaaleaacaWGSbGaey4kaSIaaGymaaqabaGccqGHsislcqaHXoqy daWgaaWcbaGaamiBaaqabaGccaaMc8UaamytamaaBaaaleaacaWGSb aabeaaaOGaayjkaiaawMcaaiabgkHiTiaacIcacaaIXaGaey4kaSIa amyAaiaacMcaaiaawUhaaiabgEna0cqaaiabgEna0oaaciaabaWaae WaaeaacqaHXoqydaWgaaWcbaGaamiBaiabgUcaRiaaigdaaeqaaOGa amytamaaBaaaleaacaWGSbGaey4kaSIaaGymaaqabaGccqGHsislcq aHXoqydaWgaaWcbaGaamiBaaqabaGccaaMc8UaamytamaaBaaaleaa caWGSbaabeaaaOGaayjkaiaawMcaamaalaaabaGaeyOaIylabaGaey OaIyRaamytamaaBaaaleaacaWGTbaabeaaaaGcdaqadaqaamaaqaha baWaaSaaaeaacaWGObWaaSbaaSqaaiaadUgaaeqaaaGcbaGaeqiTdq 2aaSbaaSqaaiaadUgaaeqaaaaaaeaacaWGRbGaeyypa0JaamiBaiab gUcaRiaaigdaaeaacaWGUbaaniabggHiLdaakiaawIcacaGLPaaaai aaw2haaiaac6caaaaa@D719@

(16)

При этом, производные, входящие во второй сомножитель под знаком суммирования, описываются следующими простыми выражениями:

 

 

M m α l+1 M l+1 α l M l = α l+1 ,l+1=m α l ,l=m . MathType@MTEF@5@5@+= feaahqart1ev3aaatCvAUfeBSjuyZL2yd9gzLbvyNv2CaerbuLwBLn hiov2DGi1BTfMBaeXatLxBI9gBaeXafv3ySLgzGmvETj2BSbqefm0B 1jxALjhiov2DaebbnrfifHhDYfgasaacHOaM0xg9vrFfpeea0xh9v8 qiW7rqqrFfpeea0xe9Lq=Jc9vqaqpepm0xbba9pwe9Q8fs0=yqaqpe pae9pg0FirpepeKkFr0xfr=xfr=xb9adbaqaaeGacaGaamaabeqaaq aabaqbaaGcbaWaaSaaaeaacqGHciITaeaacqGHciITcaWGnbWaaSba aSqaaiaad2gaaeqaaaaakmaabmaabaGaeqySde2aaSbaaSqaaiaadY gacqGHRaWkcaaIXaaabeaakiaad2eadaWgaaWcbaGaamiBaiabgUca RiaaigdaaeqaaOGaaGzaVladObOHsislcaaMi8UaeqySde2aaSbaaS qaaiaadYgaaeqaaOGaamytamaaBaaaleaacaWGSbaabeaaaOGaayjk aiaawMcaaiaayIW7cWaMaAypa0ZaaiqaaeaafaqabeGabaaabaGaeq ySde2aaSbaaSqaaiaadYgacqGHRaWkcaaIXaaabeaakiaacYcacaaM e8UaaGjbVlaaysW7caWGSbGaaGjcVlabgUcaRiaaigdacaaMi8Uaey ypa0JaamyBaaqaaiabgkHiTiabeg7aHnaaBaaaleaacaWGSbaabeaa kiaacYcacaaMe8UaaGjbVlaadYgacqGH9aqpcaWGTbaaaaGaay5Eaa GaaGjcVlaac6caaaa@78B9@

(17)

M m k=l+1 n h k δ k = h m 2 δ m M m ,l+1mn+1 0,m<l+1 . MathType@MTEF@5@5@+= feaahqart1ev3aaatCvAUfeBSjuyZL2yd9gzLbvyNv2CaerbuLwBLn hiov2DGi1BTfMBaeXatLxBI9gBaeXafv3ySLgzGmvETj2BSbqefm0B 1jxALjhiov2DaebbnrfifHhDYfgasaacHOaM0xg9vrFfpeea0xh9v8 qiW7rqqrFfpeea0xe9Lq=Jc9vqaqpepm0xbba9pwe9Q8fs0=yqaqpe pae9pg0FirpepeKkFr0xfr=xfr=xb9adbaqaaeGacaGaamaabeqaaq aabaqbaaGcbaWaaSaaaeaacqGHciITaeaacqGHciITcaWGnbWaaSba aSqaaiaad2gaaeqaaaaakmaabmaabaWaaabCaeaadaWcaaqaaiaadI gadaWgaaWcbaGaam4AaaqabaaakeaacqaH0oazdaWgaaWcbaGaam4A aaqabaaaaaqaaiaadUgacqGH9aqpcaWGSbGaey4kaSIaaGymaaqaai aad6gaa0GaeyyeIuoaaOGaayjkaiaawMcaaiabg2da9maaceaabaqb aeqabiqaaaqaaiabgkHiTmaalaaabaGaamiAamaaBaaaleaacaWGTb aabeaaaOqaaiaaikdacqaH0oazdaWgaaWcbaGaamyBaaqabaGccaWG nbWaaSbaaSqaaiaad2gaaeqaaaaakiaacYcacaaMe8UaaGjbVlaays W7caWGSbGaey4kaSIaaGymaiabgsMiJkaad2gacqGHKjYOcaWGUbGa ey4kaSIaaGymaaqaaiaaicdacaGGSaGaaGjbVlaaysW7caaMe8Uaam yBaiabgYda8iaadYgacqGHRaWkcaaIXaaaaaGaay5EaaGaaiOlaaaa @7596@ (18)

Также,

κ m p n (z) z = = i 2 δ n ε 0 e iωt l=0 n1 exp 1+i k=l+1 n1 h k δ k 1 δ n z k=1 n1 h k × × α l+1 M l+1 α l M l κ m k=l+1 n1 h k δ k , MathType@MTEF@5@5@+= feaahqart1ev3aaatCvAUfeBSjuyZL2yd9gzLbvyNv2CaerbuLwBLn hiov2DGi1BTfMBaeXatLxBI9gBaeXafv3ySLgzGmvETj2BSbqefm0B 1jxALjhiov2DaebbnrfifHhDYfgasaacHOaM0xg9vrFfpeea0xh9v8 qiW7rqqrFfpeea0xe9Lq=Jc9vqaqpepm0xbba9pwe9Q8fs0=yqaqpe pae9pg0FirpepeKkFr0xfr=xfr=xb9adbaqaaeGacaGaamaabeqaaq aabaqbaaGceaGabeaadaWcaaqaaiabgkGi2cqaaiabgkGi2kabeQ7a RnaaBaaaleaacaWGTbaabeaaaaGcdaqadaqaamaalaaabaGaeyOaIy RaamiCamaaBaaaleaacaWGUbaabeaakiaacIcacaWG6bGaaiykaaqa aiabgkGi2kaadQhaaaaacaGLOaGaayzkaaGaeyypa0dabaGamGjGg2 da9iacWciMi8+aialGlaaabGaSakacWc4GPbaabGaSakacWciIYaGa malGes7aKnacWc4gaaWcbGaSakacWc4GUbaabKaSacaaaOGamGjGew 7aLnacyc4gaaWcbGaMakacyciIWaaabKaMacGccGaMaoyzamacycih aaWcbKaMagacycOaiGjGdMgacWaMasyYdCNaiGjGdshaaaGcdaaeWb qaaiGcCbOGLbGaiWfGcIhacGaxakiCamacCbOadaqaiWfGdGaxagWa aeacCbOaiWfGigdacGaxaIjcVladCbOHRaWkcGaxaIjcVlacCb4GPb aacGaxaAjkaiacCbOLPaaadGaxagWaaeacCbOamWfGgkHiTmacCbie WbqaiWfGdGaxaUaaaeacCbOaiWfGdIgadGaxaUbaaSqaiWfGcGaxao 4AaaqajWfGaaGcbGaxakadCbiH0oazdGaxaUbaaSqaiWfGcGaxao4A aaqajWfGaaaaaeacCbOaiWfGdUgacWaxaAypa0JaiWfGdYgacWaxaA 4kaSIaiWfGigdaaeacCbOaiWfGd6gacWaxaAOeI0IaiWfGigdaa0Ga mWfGggHiLdGccGaxaIjcVlad0bOHsisldGaxaUaaaeacCbOaiWfGig daaeacCbOamWfGes7aKnacCb4gaaWcbGaxakacCb4GUbaabKaxacaa aOWaiWfGbmaabGaxakacCb4G6bGaiWfGyIW7cWaxaAOeI0IaiWfGyI W7dGaxacbCaeacCbOaiWfGdIgadGaxaUbaaSqaiWfGcGaxao4Aaaqa jWfGaaqaiWfGcGaxao4AaiadCbOH9aqpcGaxaIymaaqaiWfGcGaxao OBaiadCbOHsislcGaxaIymaaqdcWaxaAyeIuoaaOGaiWfGwIcacGax aAzkaaaacGaxaAjkaiacCbOLPaaaaiacCbOL7bGaiWfGw2haaiadeb OHxdaTaSqaaiaadYgacqGH9aqpcaaIWaaabaGaamOBaiabgkHiTiaa igdaa0GaeyyeIuoaaOqaaiabgEna0oaacmaabaWaaeWaaeaacqaHXo qydaWgaaWcbaGaamiBaiabgUcaRiaaigdaaeqaaOGaamytamaaBaaa leaacaWGSbGaey4kaSIaaGymaaqabaGccqGHsislcqaHXoqydaWgaa WcbaGaamiBaaqabaGccaaMc8UaamytamaaBaaaleaacaWGSbaabeaa aOGaayjkaiaawMcaamaalaaabaGaeyOaIylabaGaeyOaIyRaeqOUdS 2aaSbaaSqaaiaad2gaaeqaaaaakmaabmaabaWaaabCaeaadaWcaaqa aiaadIgadaWgaaWcbaGaam4AaaqabaaakeaacqaH0oazdaWgaaWcba Gaam4AaaqabaaaaaqaaiaadUgacqGH9aqpcaWGSbGaey4kaSIaaGym aaqaaiaad6gacqGHsislcaaIXaaaniabggHiLdaakiaawIcacaGLPa aaaiaawUhacaGL9baacaGGSaaaaaa@2B02@

(19)

где

κ m k=l+1 n1 h k δ k = h m 2 δ m κ m ,l+1mn1 0,m<l+1 . MathType@MTEF@5@5@+= feaahqart1ev3aaatCvAUfeBSjuyZL2yd9gzLbvyNv2CaerbuLwBLn hiov2DGi1BTfMBaeXatLxBI9gBaeXafv3ySLgzGmvETj2BSbqefm0B 1jxALjhiov2DaebbnrfifHhDYfgasaacHOaM0xg9vrFfpeea0xh9v8 qiW7rqqrFfpeea0xe9Lq=Jc9vqaqpepm0xbba9pwe9Q8fs0=yqaqpe pae9pg0FirpepeKkFr0xfr=xfr=xb9adbaqaaeGacaGaamaabeqaaq aabaqbaaGcbaWaaSaaaeaacqGHciITaeaacqGHciITcqaH6oWAdaWg aaWcbaGaamyBaaqabaaaaOWaaeWaaeaadaaeWbqaamaalaaabaGaam iAamaaBaaaleaacaWGRbaabeaaaOqaaiabes7aKnaaBaaaleaacaWG RbaabeaaaaaabaGaam4Aaiabg2da9iaadYgacqGHRaWkcaaIXaaaba GaamOBaiabgkHiTiaaigdaa0GaeyyeIuoaaOGaayjkaiaawMcaaiab g2da9maaceaabaqbaeqabiqaaaqaaiabgkHiTmaalaaabaGaamiAam aaBaaaleaacaWGTbaabeaaaOqaaiaaikdacqaH0oazdaWgaaWcbaGa amyBaaqabaGccqaH6oWAdaWgaaWcbaGaamyBaaqabaaaaOGaaiilai aaysW7caaMe8UaaGjbVlaadYgacqGHRaWkcaaIXaGaeyizImQaamyB aiabgsMiJkaad6gacqGHsislcaaIXaaabaGaaGimaiaacYcacaaMe8 UaaGjbVlaaysW7caWGTbGaeyipaWJaamiBaiabgUcaRiaaigdaaaaa caGL7baacaGGUaaaaa@7909@ (20)

Случай 2. Теперь обратимся к случаю, когда n, то есть, оценивается чувствительность вертикальной производной давления внутри некоторого слоя к его параметрам. В этом случае мы будем иметь:

M m p n (z) z = = 1+i 2 δ m ε 0 e iωt l=0 n1 exp 1+i k=l+1 n1 h k δ k 1 δ m z k=1 n1 h k × × α l+1 M l+1 α l M l 2 M m 1 (1+i) δ m z k=1 n1 h k M m α l+1 M l+1 α l M l . MathType@MTEF@5@5@+= feaahqart1ev3aaatCvAUfeBSjuyZL2yd9gzLbvyNv2CaerbuLwBLn hiov2DGi1BTfMBaeXatLxBI9gBaeXafv3ySLgzGmvETj2BSbqefm0B 1jxALjhiov2DaebbnrfifHhDYfgasaacHOaM0xg9vrFfpeea0xh9v8 qiW7rqqrFfpeea0xe9Lq=Jc9vqaqpepm0xbba9pwe9Q8fs0=yqaqpe pae9pg0FirpepeKkFr0xfr=xfr=xb9adbaqaaeGacaGaamaabeqaaq aabaqbaaGceaGabeaadaWcaaqaaiabgkGi2cqaaiabgkGi2kaad2ea daWgaaWcbaGaamyBaaqabaaaaOWaaeWaaeaadaWcaaqaaiabgkGi2k aadchadaWgaaWcbaGaamOBaaqabaGccaGGOaGaamOEaiaacMcaaeaa cqGHciITcaWG6baaaaGaayjkaiaawMcaaiabg2da9aqaaiadKcOH9a qpcGaMaIjcVpacWc4caaqaialGdGaSagWaaeacWcOaialGigdacGaS aIjcVladWcOHRaWkcGaSaIjcVlacWc4GPbaacGaSaAjkaiacWcOLPa aaaeacWcOaialGikdacWaSasiTdq2aialGBaaaleacWcOaialGd2ga aeqcWciaaaGccWaMasyTdu2aiGjGBaaaleacycOaiGjGicdaaeqcyc iakiacyc4GLbWaiGjGCaaaleqcycyaiGjGcGaMaoyAaiadyciHjpWD cGaMaoiDaaaakmaaqahabaGakGgGcwgacGaAakiEaiacObOGWbWaiW fGcmaabGaxaoacCbyadaqaiWfGcGaxaIymaiacCbiMi8UamWfGgUca RiacCbiMi8UaiWfGdMgaaiacCbOLOaGaiWfGwMcaamacCbyadaqaiW fGcWaxaAOeI0IaiWfGygW7dGaxacbCaeacCb4aiWfGlaaabGaxakac Cb4GObWaiWfGBaaaleacCbOaiWfGdUgaaeqcCbiaaOqaiWfGcWaxas iTdq2aiWfGBaaaleacCbOaiWfGdUgaaeqcCbiaaaaabGaxakacCb4G RbGamWfGg2da9iacCb4GSbGamWfGgUcaRiacCbiIXaaabGaxakacCb 4GUbGamWfGgkHiTiacCbiIXaaaniadCbOHris5aOGamWfGgkHiTmac Cb4caaqaiWfGcGaxaIymaaqaiWfGcWaxasiTdq2aiWfGBaaaleacCb OaiWfGd2gaaeqcCbiaaaGcdGaxagWaaeacCbOaiWfGdQhacGaxaIjc VladCbOHsislcGaxaIzaVpacCbieWbqaiWfGcGaxaoiAamacCb4gaa WcbGaxakacCb4GRbaabKaxacaabGaxakacCb4GRbGamWfGg2da9iac CbiIXaaabGaxakacCb4GUbGamWfGgkHiTiacCbiIXaaaniadCbOHri s5aaGccGaxaAjkaiacCbOLPaaaaiacCbOLOaGaiWfGwMcaaaGaiWfG wUhacGaxaAzFaaGaaGzaVladmcOHxdaTaSqaaiaadYgacqGH9aqpca aIWaaabaGaamOBaiabgkHiTiaaigdaa0GaeyyeIuoaaOqaaiabgEna 0oaaceaabaWaaSaaaeaadaqadaqaaiabeg7aHnaaBaaaleaacaWGSb Gaey4kaSIaaGymaaqabaGccaWGnbWaaSbaaSqaaiaadYgacqGHRaWk caaIXaaabeaakiabgkHiTiabeg7aHnaaBaaaleaacaWGSbaabeaaki aaykW7caWGnbWaaSbaaSqaaiaadYgaaeqaaaGccaGLOaGaayzkaaaa baGaaGOmaiaad2eadaWgaaWcbaGaamyBaaqabaaaaOWaaeWaaeaaca aIXaGaeyOeI0YaaSaaaeaacaGGOaGaaGymaiabgUcaRiaadMgacaGG PaaabaGaeqiTdq2aaSbaaSqaaiaad2gaaeqaaaaakmaabmaabaGaam OEaiabgkHiTmaaqahabaGaamiAamaaBaaaleaacaWGRbaabeaaaeaa caWGRbGaeyypa0JaaGymaaqaaiaad6gacqGHsislcaaIXaaaniabgg HiLdaakiaawIcacaGLPaaaaiaawIcacaGLPaaaaiaawUhaaiabgkHi TaqaamaaciaabaGaeyOeI0YaaSaaaeaacqGHciITaeaacqGHciITca WGnbWaaSbaaSqaaiaad2gaaeqaaaaakmaabmaabaGaeqySde2aaSba aSqaaiaadYgacqGHRaWkcaaIXaaabeaakiaaykW7caWGnbWaaSbaaS qaaiaadYgacqGHRaWkcaaIXaaabeaakiabgkHiTiabeg7aHnaaBaaa leaacaWGSbaabeaakiaaykW7caWGnbWaaSbaaSqaaiaadYgaaeqaaa GccaGLOaGaayzkaaaacaGL9baacaGGUaaaaaa@5929@

(21)

Здесь

 

M m α l+1 M l+1 α l M l = α m ,l+1=m 0,l+1m . MathType@MTEF@5@5@+= feaahqart1ev3aaatCvAUfeBSjuyZL2yd9gzLbvyNv2CaerbuLwBLn hiov2DGi1BTfMBaeXatLxBI9gBaeXafv3ySLgzGmvETj2BSbqefm0B 1jxALjhiov2DaebbnrfifHhDYfgasaacHOaM0xg9vrFfpeea0xh9v8 qiW7rqqrFfpeea0xe9Lq=Jc9vqaqpepm0xbba9pwe9Q8fs0=yqaqpe pae9pg0FirpepeKkFr0xfr=xfr=xb9adbaqaaeGacaGaamaabeqaaq aabaqbaaGcbaWaaSaaaeaacqGHciITaeaacqGHciITcaWGnbWaaSba aSqaaiaad2gaaeqaaaaakmaabmaabaGaeqySde2aaSbaaSqaaiaadY gacqGHRaWkcaaIXaaabeaakiaaykW7caWGnbWaaSbaaSqaaiaadYga cqGHRaWkcaaIXaaabeaakiabgkHiTiabeg7aHnaaBaaaleaacaWGSb aabeaakiaaykW7caWGnbWaaSbaaSqaaiaadYgaaeqaaaGccaGLOaGa ayzkaaGaeyypa0ZaaiqaaeaafaqabeGabaaabaGaeqySde2aaSbaaS qaaiaad2gaaeqaaOGaaiilaiaaysW7caaMe8UaaGjbVlaadYgacqGH RaWkcaaIXaGaeyypa0JaamyBaaqaaiaaicdacaGGSaGaaGjbVlaays W7caaMe8UaamiBaiabgUcaRiaaigdacqGHGjsUcaWGTbaaaaGaay5E aaGaaiOlaaaa@6FB6@

(22)

Чувствительность к изменению коэффициента проницаемости определяется выражением:

κ m p n (z) z = = 1+i 4 δ m κ m ε 0 e iωt l=0 n1 exp 1+i k=l+1 n1 h k δ k 1 δ n z k=1 n1 h k × × α l+1 M l+1 α l M l 1(1+i) 1 δ m z k=1 n1 h k . MathType@MTEF@5@5@+= feaahqart1ev3aaatCvAUfeBSjuyZL2yd9gzLbvyNv2CaerbuLwBLn hiov2DGi1BTfMBaeXatLxBI9gBaeXafv3ySLgzGmvETj2BSbqefm0B 1jxALjhiov2DaebbnrfifHhDYfgasaacHOaM0xg9vrFfpeea0xh9v8 qiW7rqqrFfpeea0xe9Lq=Jc9vqaqpepm0xbba9pwe9Q8fs0=yqaqpe pae9pg0FirpepeKkFr0xfr=xfr=xb9adbaqaaeGacaGaamaabeqaaq aabaqbaaGceaGabeaadaWcaaqaaiabgkGi2cqaaiabgkGi2kabeQ7a RnaaBaaaleaacaWGTbaabeaaaaGcdaqadaqaamaalaaabaGaeyOaIy RaamiCamaaBaaaleaacaWGUbaabeaakiaacIcacaWG6bGaaiykaaqa aiabgkGi2kaadQhaaaaacaGLOaGaayzkaaGaeyypa0dabaGaeyypa0 JaaGjcVpaalaaabaWaaeWaaeaacaaIXaGaaGjcVlabgUcaRiaayIW7 caWGPbaacaGLOaGaayzkaaaabaGaaGinaiabes7aKnaaBaaaleaaca WGTbaabeaakiabeQ7aRnaaBaaaleaacaWGTbaabeaaaaGccWaAasyT du2aiGgGBaaaleacObOaiGgGicdaaeqcObiakiacOb4GLbWaiGgGCa aaleqcObyaiGgGcGaAaoyAaiadObiHjpWDcGaAaoiDaaaakmacebie WbqaiqeGcOafakyzaiacuaOG4bGaiqbGcchadGaGaY3=aaGadaqaia iG89paamacaciF=daabmaabGaGaY3=aaGaiaiG89paaGymaiacaciF =daayIW7cWaGaY3=aaGHRaWkcGaGaY3=aaaMi8UaiaiG89paamyAaa GaiaiG89paayjkaiacaciF=daawMcaamacaciF=daabmaabGaGaY3= aaGamaiG89paayOeI0IaiaiG89paaGzaVpacaciF=daaqahabGaGaY 3=aaWaiaiG89paaSaaaeacaciF=daacGaGaY3=aaWGObWaiaiG89pa aSbaaSqaiaiG89paaiacaciF=daadUgaaeqcaciF=daaaaGcbGaGaY 3=aaGamaiG89paaqiTdq2aiaiG89paaSbaaSqaiaiG89paaiacaciF =daadUgaaeqcaciF=daaaaaakiacaciF=daaygW7aSqaiaiG89paai acaciF=daadUgacWaGaY3=aaGH9aqpcGaGaY3=aaWGSbGamaiG89pa ay4kaSIaiaiG89paaGymaaqaiaiG89paaiacaciF=daad6gacWaGaY 3=aaGHsislcGaGaY3=aaaIXaaaniadaciF=daaggHiLdGccGaGaY3= aaaMi8UamaiG89paayOeI0IaiaiG89paaGjcVpacaciF=daalaaabG aGaY3=aaGaiaiG89paaGymaaqaiaiG89paaiadaciF=daaes7aKnac aciF=daaBaaaleacaciF=daacGaGaY3=aaWGUbaabKaGaY3=aaaaaa GcdGaGaY3=aaqadaqaiaiG89paaiacaciF=daadQhacGaGaY3=aaaM i8UamaiG89paayOeI0IaiaiG89paaGzaVpacaciF=daaqahabGaGaY 3=aaGaiaiG89paamiAamacaciF=daaBaaaleacaciF=daacGaGaY3= aaWGRbaabKaGaY3=aaaaaeacaciF=daacGaGaY3=aaWGRbGamaiG89 paayypa0JaiaiG89paaGymaaqaiaiG89paaiacaciF=daad6gacWaG aY3=aaGHsislcGaGaY3=aaaIXaaaniadaciF=daaggHiLdaakiacac iF=daawIcacGaGaY3=aaGLPaaaaiacaciF=daawIcacGaGaY3=aaGL PaaaaiacaciF=daawUhacGaGaY3=aaGL9baacGaraIzaVladebOHxd aTaSqaiqeGcGaraoiBaiadebOH9aqpcGaraIimaaqaiqeGcGaraoOB aiadebOHsislcGaraIymaaqdcWaraAyeIuoaaOqaaiabgEna0oaacm aabaWaaeWaaeaacqaHXoqydaWgaaWcbaGaamiBaiabgUcaRiaaigda aeqaaOGaamytamaaBaaaleaacaWGSbGaey4kaSIaaGymaaqabaGccq GHsislcqaHXoqydaWgaaWcbaGaamiBaaqabaGccaaMc8Uaamytamaa BaaaleaacaWGSbaabeaaaOGaayjkaiaawMcaamaabmaabaGaaGymai abgkHiTiaacIcacaaIXaGaey4kaSIaamyAaiaacMcadaWcaaqaaiaa igdaaeaacqaH0oazdaWgaaWcbaGaamyBaaqabaaaaOWaaeWaaeaaca WG6bGaeyOeI0YaaabCaeaacaWGObWaaSbaaSqaaiaadUgaaeqaaaqa aiaadUgacqGH9aqpcaaIXaaabaGaamOBaiabgkHiTiaaigdaa0Gaey yeIuoaaOGaayjkaiaawMcaaaGaayjkaiaawMcaaaGaay5Eaiaaw2ha aiaaysW7caGGUaaaaaa@BD98@

(23)

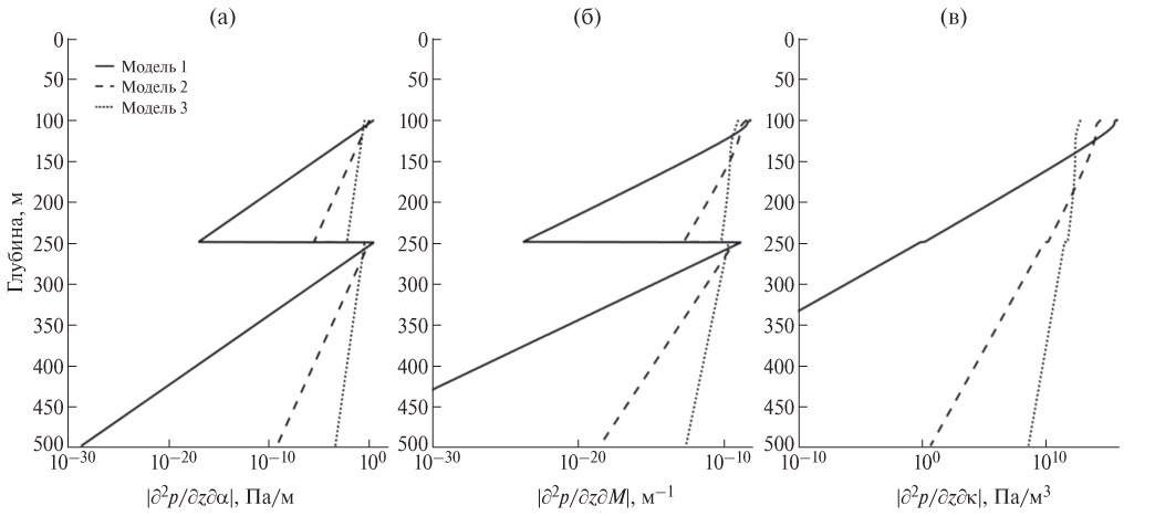
Полученные выражения позволяют проанализировать поведение чувствительности вертикальной компоненты электрического поля к изменению параметра α, модуля Био M и коэффициента проницаемости k в зависимости от глубины. Чувствительность к параметру αm слоя m равна нулю во всех вышележащих слоях, в то время как в слоях ≤ ≤ n она описывается одним и тем же выражением (с точностью до соответствующего сдвига по глубине) и имеет одинаковые максимальные значения на границах слоев (рис. 2а).

Максимальная чувствительность к M отмечается внутри данного слоя в области, прилегающей к его кровле, и достаточно быстро (экспоненциально) убывает до нуля с увеличением глубины, возрастая скачком при пересечении его подошвы, а также всех нижележащих границ рис. 2б.

Сравнивая результаты расчета по формулам (19) и (23), рис. 2в, можно видеть, что внутри заданного слоя имеется чувствительность к коэффициенту проницаемости только самого этого слоя, в то время как чувствительность к проницаемости вышележащих слоев оказывается пренебрежимо мала.

 

Рис. 2. Графики чувствительности градиента порового давления к параметрам α (а), M (б) и k (в) второго слоя в трехслойной модели. Описание моделей приводится в табл. 1.

 

По соотношению графиков на рис. 2в можно видеть, что с ростом коэффициента k, чувствительность к его изменениям резко уменьшается. Одновременно происходит также и сокращение чувствительности к M (рис. 2б).

Резюмируя приведенные выше соображения, можно отметить, что градиент порового давления в n-слойной среде обладает чувствительностью к параметрам слоя m в диапазоне глубин, отвечающих слоям ≤ ≤ n.

3. ОСОБЕННОСТИ ОБРАТНОЙ ЗАДАЧИ ДЛЯ ГРАДИЕНТА ПОРОВОГО ДАВЛЕНИЯ В ГОРИЗОНТАЛЬНО-СЛОИСТОЙ СРЕДЕ. ЭКВИВАЛЕНТНОСТЬ И ПРЕДПОСЫЛКИ ПОВЫШЕНИЯ УСТОЙЧИВОСТИ

Рассматривая вопрос о решении обратной задачи, необходимо оговорить набор параметров, которые ищутся в процессе решения, а также тех параметров, которые считаются известными и задаются при решении прямой задачи на каждом шаге инверсии. Искомыми величинами являются коэффициент Био α, модуль Био M и проницаемость k, а к числу задаваемых параметров относятся вязкость порового флюида и объемная деформация ε0, на которой мы остановимся несколько подробнее.

Общепринятое значение полусуточной приливной деформации 2  MathType@MTEF@5@5@+= feaahqart1ev3aqatCvAUfeBSjuyZL2yd9gzLbvyNv2CaerbuLwBLn hiov2DGi1BTfMBaeXatLxBI9gBaerbd9wDYLwzYbItLDharqqtubsr 4rNCHbGeaGqiVu0Je9sqqrpepC0xbbL8F4rqqrFfpeea0xe9Lq=Jc9 vqaqpepm0xbba9pwe9Q8fs0=yqaqpepae9pg0FirpepeKkFr0xfr=x fr=xb9adbaqaaeGaciGaaiaabeqaamaabaabaaGcbaWexLMBbXgBd9 gzLbvyNv2CaeHbnnfih9gDOL2yaGqbaKqzGfaeaaaaaaaaa8qacaWF Nacaaa@40B2@  10 MathType@MTEF@5@5@+= feaahqart1ev3aqatCvAUfeBSjuyZL2yd9gzLbvyNv2CaerbuLwBLn hiov2DGi1BTfMBaeXatLxBI9gBaerbd9wDYLwzYbItLDharqqtubsr 4rNCHbGeaGqiVu0Je9sqqrpepC0xbbL8F4rqqrFfpeea0xe9Lq=Jc9 vqaqpepm0xbba9pwe9Q8fs0=yqaqpepae9pg0FirpepeKkFr0xfr=x fr=xb9adbaqaaeGaciGaaiaabeqaamaabaabaaGcbaqefeKCPfgBaG qbaKqzOdaeaaaaaaaaa8qacaWFtacaaa@3A2A@ 8 [Латынина, Кармалеева, 1978]. Однако реальная (или измеряемая в скважине) объемная деформация ε0 может отличаться от этого значения. В настоящей работе деформация считается заданной (ε=2 10 8 ) MathType@MTEF@5@5@+= feaahqart1ev3aaatCvAUfeBSjuyZL2yd9gzLbvyNv2CaerbuLwBLn hiov2DGi1BTfMBaeXatLxBI9gBaeXafv3ySLgzGmvETj2BSbqefm0B 1jxALjhiov2DaebbnrfifHhDYfgasaacHOaM0xg9vrFfpeea0xh9v8 qiW7rqqrFfpeea0xe9Lq=Jc9vqaqpepm0xbba9pwe9Q8fs0=yqaqpe pae9pg0FirpepeKkFr0xfr=xfr=xb9adbaqaaeGacaGaamaabeqaaq aabaqbaaGcbaGaaiikaiabew7aLjabg2da9iaaikdacqGHflY1caaI XaGaaGimamaaCaaaleqabaGaeyOeI0IaaGioaaaakiaacMcaaaa@4828@ лишь в целях упрощения и большей наглядности. На практике при решении обратной задачи деформацию можно считать неизвестной, объединив в общий параметр с коэффициентом Био, и определять произведение α ε 0 . MathType@MTEF@5@5@+= feaahqart1ev3aaatCvAUfeBSjuyZL2yd9gzLbvyNv2CaerbuLwBLn hiov2DGi1BTfMBaeXatLxBI9gBaeXafv3ySLgzGmvETj2BSbqefm0B 1jxALjhiov2DaebbnrfifHhDYfgasaacHOaM0xg9vrFfpeea0xh9v8 qiW7rqqrFfpeea0xe9Lq=Jc9vqaqpepm0xbba9pwe9Q8fs0=yqaqpe pae9pg0FirpepeKkFr0xfr=xfr=xb9adbaqaaeGacaGaamaabeqaaq aabaqbaaGcbaGaeqySdeMaeqyTdu2aaSbaaSqaaiaaicdaaeqaaOGa aiOlaaaa@42A9@ Такой подход правомочен, поскольку обе названные величины входят в виде сомножителей только в правую часть уравнения для порового давления.

Поскольку величина коэффициента Био α представляет существенно меньший интерес по сравнению с модулем Био M и проницаемостью k, даже получение оценки произведения α ε 0 MathType@MTEF@5@5@+= feaahqart1ev3aaatCvAUfeBSjuyZL2yd9gzLbvyNv2CaerbuLwBLn hiov2DGi1BTfMBaeXatLxBI9gBaeXafv3ySLgzGmvETj2BSbqefm0B 1jxALjhiov2DaebbnrfifHhDYfgasaacHOaM0xg9vrFfpeea0xh9v8 qiW7rqqrFfpeea0xe9Lq=Jc9vqaqpepm0xbba9pwe9Q8fs0=yqaqpe pae9pg0FirpepeKkFr0xfr=xfr=xb9adbaqaaeGacaGaamaabeqaaq aabaqbaaGcbaGaeqySdeMaeqyTdu2aaSbaaSqaaiaaicdaaeqaaaaa @41ED@ в совокупности с оценками M и k по отдельности можно считать достаточно важным результатом. Эти соображения никак не влияют на сделанные в работе выводы относительно эффективности применения предложенной методики для определения упругих характеристик и проницаемости формаций и ничтожно влияют на приведенную в работе схему решения обратной задачи.

Таким образом, даже допустив, что наличие скважины искажает деформации в спектре приливных колебаний [Segall et al., 2003], учет реальных (неизвестных) деформаций можно обеспечить, отказавшись от определения коэффициента Био и ограничившись оценкой более важных параметров: модуля Био и проницаемости. Тем не менее, в последующем изложении мы будем считать объемную деформацию известной и обсудим возможность определения всех трех характеристик: α, M и k.

Возвращаясь к выражениям (10) и (14), можно выделить несколько параметров, согласованные изменения которых сохраняют результирующие кривые p(z) и p(z) z . MathType@MTEF@5@5@+= feaahqart1ev3aaatCvAUfeBSjuyZL2yd9gzLbvyNv2CaerbuLwBLn hiov2DGi1BTfMBaeXatLxBI9gBaeXafv3ySLgzGmvETj2BSbqefm0B 1jxALjhiov2DaebbnrfifHhDYfgasaacHOaM0xg9vrFfpeea0xh9v8 qiW7rqqrFfpeea0xe9Lq=Jc9vqaqpepm0xbba9pwe9Q8fs0=yqaqpe pae9pg0FirpepeKkFr0xfr=xfr=xb9adbaqaaeGacaGaamaabeqaaq aabaqbaaGcbaWaaSaaaeaacqGHciITcaWGWbGaaiikaiaadQhacaGG PaaabaGaeyOaIyRaamOEaaaacaGGUaaaaa@459B@ Очевидно, что любые изменения α n , M n , κ n , MathType@MTEF@5@5@+= feaahqart1ev3aaatCvAUfeBSjuyZL2yd9gzLbvyNv2CaerbuLwBLn hiov2DGi1BTfMBaeXatLxBI9gBaeXafv3ySLgzGmvETj2BSbqefm0B 1jxALjhiov2DaebbnrfifHhDYfgasaacHOaM0xg9vrFfpeea0xh9v8 qiW7rqqrFfpeea0xe9Lq=Jc9vqaqpepm0xbba9pwe9Q8fs0=yqaqpe pae9pg0FirpepeKkFr0xfr=xfr=xb9adbaqaaeGacaGaamaabeqaaq aabaqbaaGcbaGaeqySde2aaSbaaSqaaiaad6gaaeqaaOGaaiilaiaa ysW7caaMc8UaamytamaaBaaaleaacaWGUbaabeaakiaacYcacaaMe8 UaaGjbVlabeQ7aRnaaBaaaleaacaWGUbaabeaakiaacYcaaaa@4DA1@ сохраняющие величины α n M n MathType@MTEF@5@5@+= feaahqart1ev3aaatCvAUfeBSjuyZL2yd9gzLbvyNv2CaerbuLwBLn hiov2DGi1BTfMBaeXatLxBI9gBaeXafv3ySLgzGmvETj2BSbqefm0B 1jxALjhiov2DaebbnrfifHhDYfgasaacHOaM0xg9vrFfpeea0xh9v8 qiW7rqqrFfpeea0xe9Lq=Jc9vqaqpepm0xbba9pwe9Q8fs0=yqaqpe pae9pg0FirpepeKkFr0xfr=xfr=xb9adbaqaaeGacaGaamaabeqaaq aabaqbaaGcbaGaeqySde2aaSbaaSqaaiaad6gaaeqaaOGaamytamaa BaaaleaacaWGUbaabeaaaaa@427A@ и δ n , MathType@MTEF@5@5@+= feaahqart1ev3aaatCvAUfeBSjuyZL2yd9gzLbvyNv2CaerbuLwBLn hiov2DGi1BTfMBaeXatLxBI9gBaeXafv3ySLgzGmvETj2BSbqefm0B 1jxALjhiov2DaebbnrfifHhDYfgasaacHOaM0xg9vrFfpeea0xh9v8 qiW7rqqrFfpeea0xe9Lq=Jc9vqaqpepm0xbba9pwe9Q8fs0=yqaqpe pae9pg0FirpepeKkFr0xfr=xfr=xb9adbaqaaeGacaGaamaabeqaaq aabaqbaaGcbaGaeqiTdq2aaSbaaSqaaiaad6gaaeqaaOGaaiilaaaa @413F@ не меняют решения в слое n и всех вышележащих слоях. Ясно, что широкий диапазон и логарифмический масштаб изменения параметров k и M могут приводить к их взаимокомпенсирующему влиянию и сохранению значения скин-толщины δ. Более того, из общих (гео)физических соображений следует, что такая ситуация весьма естественна, поскольку, например, увеличение упругого модуля горной породы согласуется с уменьшением коэффициента проницаемости.

Однако значительные изменения M приведут к таким изменениям произведения αM, которые не могут быть скомпенсированы соответствующими изменениями α, поскольку диапазон значений коэффициента Био весьма узок и составляет от 0 до 1 [Френкель, 1944].

Таким образом, область эквивалентных моделей, которым отвечают одинаковые решения

p (1) α (1) , M (1) , κ (1) , η (1) = p (2) α (2) , M (2) , κ (2) , η (2) , MathType@MTEF@5@5@+= feaahqart1ev3aaatCvAUfeBSjuyZL2yd9gzLbvyNv2CaerbuLwBLn hiov2DGi1BTfMBaeXatLxBI9gBaeXafv3ySLgzGmvETj2BSbqefm0B 1jxALjhiov2DaebbnrfifHhDYfgasaacHOaM0xg9vrFfpeea0xh9v8 qiW7rqqrFfpeea0xe9Lq=Jc9vqaqpepm0xbba9pwe9Q8fs0=yqaqpe pae9pg0FirpepeKkFr0xfr=xfr=xb9adbaqaaeGacaGaamaabeqaaq aabaqbaaGcbaGaamiCamaaCaaaleqabaGaaiikaiaaigdacaGGPaaa aOWaaeWaaeaacqaHXoqydaahaaWcbeqaaiaacIcacaaIXaGaaiykaa aakiaacYcacaaMe8UaamytamaaCaaaleqabaGaaiikaiaaigdacaGG PaaaaOGaaiilaiaaysW7cqaH6oWAdaahaaWcbeqaaiaacIcacaaIXa GaaiykaaaakiaacYcacaaMe8Uaeq4TdG2aaWbaaSqabeaacaGGOaGa aGymaiaacMcaaaaakiaawIcacaGLPaaacqGH9aqpcaWGWbWaaWbaaS qabeaacaGGOaGaaGOmaiaacMcaaaGcdaqadaqaaiabeg7aHnaaCaaa leqabaGaaiikaiaaikdacaGGPaaaaOGaaiilaiaaysW7caWGnbWaaW baaSqabeaacaGGOaGaaGOmaiaacMcaaaGccaGGSaGaaGjbVlabeQ7a RnaaCaaaleqabaGaaiikaiaaikdacaGGPaaaaOGaaiilaiaaysW7cq aH3oaAdaahaaWcbeqaaiaacIcacaaIYaGaaiykaaaaaOGaayjkaiaa wMcaaiaacYcaaaa@7472@

описывается следующими соотношениями:

 

 

α (1) M (1) = α (2) M (2) κ (1) M (1) η (1) = κ (2) M (2) η (2) . MathType@MTEF@5@5@+= feaahqart1ev3aaatCvAUfeBSjuyZL2yd9gzLbvyNv2CaerbuLwBLn hiov2DGi1BTfMBaeXatLxBI9gBaeXafv3ySLgzGmvETj2BSbqefm0B 1jxALjhiov2DaebbnrfifHhDYfgasaacHOaM0xg9vrFfpeea0xh9v8 qiW7rqqrFfpeea0xe9Lq=Jc9vqaqpepm0xbba9pwe9Q8fs0=yqaqpe pae9pg0FirpepeKkFr0xfr=xfr=xb9adbaqaaeGacaGaamaabeqaaq aabaqbaaGcbaWaaiqaaeaafaWabeGabaaabaGaeqySde2aaWbaaSqa beaacaGGOaGaaGymaiaacMcaaaGccaWGnbWaaWbaaSqabeaacaGGOa GaaGymaiaacMcaaaGccqGH9aqpcqaHXoqydaahaaWcbeqaaiaacIca caaIYaGaaiykaaaakiaad2eadaahaaWcbeqaaiaacIcacaaIYaGaai ykaaaaaOqaamaalaaabaGaeqOUdS2aaWbaaSqabeaacaGGOaGaaGym aiaacMcaaaGccaWGnbWaaWbaaSqabeaacaGGOaGaaGymaiaacMcaaa aakeaacqaH3oaAdaahaaWcbeqaaiaacIcacaaIXaGaaiykaaaaaaGc cqGH9aqpdaWcaaqaaiabeQ7aRnaaCaaaleqabaGaaiikaiaaikdaca GGPaaaaOGaamytamaaCaaaleqabaGaaiikaiaaikdacaGGPaaaaaGc baGaeq4TdG2aaWbaaSqabeaacaGGOaGaaGOmaiaacMcaaaaaaaaaaO Gaay5EaaGaiaiGWaaCciOlaaaa@67A7@

(24)

Здесь индексы (1) и (2) отвечают двум эквивалентным моделям. Считая, что динамическая вязкость флюида не изменяется, система (24) сводится к условию:

 

 

α (1) κ (1) = α (2) κ (2) . MathType@MTEF@5@5@+= feaahqart1ev3aaatCvAUfeBSjuyZL2yd9gzLbvyNv2CaerbuLwBLn hiov2DGi1BTfMBaeXatLxBI9gBaeXafv3ySLgzGmvETj2BSbqefm0B 1jxALjhiov2DaebbnrfifHhDYfgasaacHOaM0xg9vrFfpeea0xh9v8 qiW7rqqrFfpeea0xe9Lq=Jc9vqaqpepm0xbba9pwe9Q8fs0=yqaqpe pae9pg0FirpepeKkFr0xfr=xfr=xb9adbaqaaeGacaGaamaabeqaaq aabaqbaaGcbaWaaSaaaeaacqaHXoqydaahaaWcbeqaaiaacIcacaaI XaGaaiykaaaaaOqaaiabeQ7aRnaaCaaaleqabaGaaiikaiaaigdaca GGPaaaaaaakiabg2da9maalaaabaGaeqySde2aaWbaaSqabeaacaGG OaGaaGOmaiaacMcaaaaakeaacqaH6oWAdaahaaWcbeqaaiaacIcaca aIYaGaaiykaaaaaaGccaGGUaaaaa@4F69@

(25)

Другими словами, две модели со сколь угодно различающимися значениями M являются эквивалентными, если выполняется (25). На практике, однако, с учетом характерных диапазонов изменения α (0 MathType@MTEF@5@5@+= feaahqart1ev3aqatCvAUfeBSjuyZL2yd9gzLbvyNv2CaerbuLwBLn hiov2DGi1BTfMBaeXatLxBI9gBaerbd9wDYLwzYbItLDharqqtubsr 4rNCHbGeaGqiVu0Je9sqqrpepC0xbbL8F4rqqrFfpeea0xe9Lq=Jc9 vqaqpepm0xbba9pwe9Q8fs0=yqaqpepae9pg0FirpepeKkFr0xfr=x fr=xb9adbaqaaeGaciGaaiaabeqaamaabaabaaGcbaqefeKCPfgBaG qbaKqzGfaeaaaaaaaaa8qacaWFtacaaa@39A3@ 1) и k (10 MathType@MTEF@5@5@+= feaahqart1ev3aqatCvAUfeBSjuyZL2yd9gzLbvyNv2CaerbuLwBLn hiov2DGi1BTfMBaeXatLxBI9gBaerbd9wDYLwzYbItLDharqqtubsr 4rNCHbGeaGqiVu0Je9sqqrpepC0xbbL8F4rqqrFfpeea0xe9Lq=Jc9 vqaqpepm0xbba9pwe9Q8fs0=yqaqpepae9pg0FirpepeKkFr0xfr=x fr=xb9adbaqaaeGaciGaaiaabeqaamaabaabaaGcbaqefeKCPfgBaG qbaKqzOdaeaaaaaaaaa8qacaWFtacaaa@3A2A@ 10 MathType@MTEF@5@5@+= feaahqart1ev3aqatCvAUfeBSjuyZL2yd9gzLbvyNv2CaerbuLwBLn hiov2DGi1BTfMBaeXatLxBI9gBaerbd9wDYLwzYbItLDharqqtubsr 4rNCHbGeaGqiVu0Je9sqqrpepC0xbbL8F4rqqrFfpeea0xe9Lq=Jc9 vqaqpepm0xbba9pwe9Q8fs0=yqaqpepae9pg0FirpepeKkFr0xfr=x fr=xb9adbaqaaeGaciGaaiaabeqaamaabaabaaGcbaqefeKCPfgBaG qbaKqzGfaeaaaaaaaaa8qacaWFtacaaa@39A3@ 10 MathType@MTEF@5@5@+= feaahqart1ev3aqatCvAUfeBSjuyZL2yd9gzLbvyNv2CaerbuLwBLn hiov2DGi1BTfMBaeXatLxBI9gBaerbd9wDYLwzYbItLDharqqtubsr 4rNCHbGeaGqiVu0Je9sqqrpepC0xbbL8F4rqqrFfpeea0xe9Lq=Jc9 vqaqpepm0xbba9pwe9Q8fs0=yqaqpepae9pg0FirpepeKkFr0xfr=x fr=xb9adbaqaaeGaciGaaiaabeqaamaabaabaaGcbaqefeKCPfgBaG qbaKqzOdaeaaaaaaaaa8qacaWFtacaaa@3A2A@ 17), условие (25) описывает не слишком широкую область эквивалентности.

Далее мы обсудим факторы, позволяющие избегать неединственности при решении обратной задачи в классе петрофизически-реалистичных моделей.

Как можно видеть, поровое давление и его градиент (а, соответственно, и вертикальное электрическое поле) в некотором слое зависят от параметров α, M и δ данного слоя, а также всех вышележащих слоев. Соответственно, значения, наблюденные в пределах этого слоя, будут содержать информацию о характеристиках всей толщи, за исключением нижележащей среды.

Это свойство существенно сужает область эквивалентности и снижает неустойчивость решения обратной задачи, позволяя восстановить параметры слоев по наблюденному (в скважине) вертикальному профилю p(z) z . MathType@MTEF@5@5@+= feaahqart1ev3aaatCvAUfeBSjuyZL2yd9gzLbvyNv2CaerbuLwBLn hiov2DGi1BTfMBaeXatLxBI9gBaeXafv3ySLgzGmvETj2BSbqefm0B 1jxALjhiov2DaebbnrfifHhDYfgasaacHOaM0xg9vrFfpeea0xh9v8 qiW7rqqrFfpeea0xe9Lq=Jc9vqaqpepm0xbba9pwe9Q8fs0=yqaqpe pae9pg0FirpepeKkFr0xfr=xfr=xb9adbaqaaeGacaGaamaabeqaaq aabaqbaaGcbaWaaSaaaeaacqGHciITcaWGWbGaaiikaiaadQhacaGG PaaabaGaeyOaIyRaamOEaaaacaGGUaaaaa@459B@ Отметим, что набор мощностей hk может быть легко получен на основе анализа p(z) z MathType@MTEF@5@5@+= feaahqart1ev3aaatCvAUfeBSjuyZL2yd9gzLbvyNv2CaerbuLwBLn hiov2DGi1BTfMBaeXatLxBI9gBaeXafv3ySLgzGmvETj2BSbqefm0B 1jxALjhiov2DaebbnrfifHhDYfgasaacHOaM0xg9vrFfpeea0xh9v8 qiW7rqqrFfpeea0xe9Lq=Jc9vqaqpepm0xbba9pwe9Q8fs0=yqaqpe pae9pg0FirpepeKkFr0xfr=xfr=xb9adbaqaaeGacaGaamaabeqaaq aabaqbaaGcbaWaaSaaaeaacqGHciITcaWGWbGaaiikaiaadQhacaGG PaaabaGaeyOaIyRaamOEaaaaaaa@44E9@ путем выделения точек (участков) разрыва (резкого изменения значений) последней. Соответственно, задавая значения hk, можно избежать вышеуказанной неопределенности и разрешить модель по параметрам α, M и k в каждом слое.

4. АЛГОРИТМ 1-D ОБРАТНОЙ ЗАДАЧИ И РЕЗУЛЬТАТЫ ЕГО ОПРОБОВАНИЯ НА СИНТЕТИЧЕСКИХ НАБОРАХ ДАННЫХ

Для реконструкции этих параметров, на языке MATLAB с использованием функций библиотеки Optimization Toolbox была реализована процедура нелинейной инверсии. В качестве входных данных выступают значения вертикального градиента порового давления. Для решения прямой задачи используется выражение (14). Минимизируемый функционал представляет собой сумму квадратов абсолютных значений разностей p z z i MathType@MTEF@5@5@+= feaahqart1ev3aaatCvAUfeBSjuyZL2yd9gzLbvyNv2CaerbuLwBLn hiov2DGi1BTfMBaeXatLxBI9gBaeXafv3ySLgzGmvETj2BSbqefm0B 1jxALjhiov2DaebbnrfifHhDYfgasaacHOaM0xg9vrFfpeea0xh9v8 qiW7rqqrFfpeea0xe9Lq=Jc9vqaqpepm0xbba9pwe9Q8fs0=yqaqpe pae9pg0FirpepeKkFr0xfr=xfr=xb9adbaqaaeGacaGaamaabeqaaq aabaqbaaGcbaWaaSaaaeaacqGHciITcaWGWbaabaGaeyOaIyRaamOE aaaadaqadaqaaiaadQhadaWgaaWcbaGaamyAaaqabaaakiaawIcaca GLPaaaaaa@463D@ на сетке глубин zi, шаг которой на порядок меньше минимальной скин-толщины δmin:

 

 

Φ= i=1 N p obs z z i p mod z z i ,m 2 . MathType@MTEF@5@5@+= feaahqart1ev3aaatCvAUfeBSjuyZL2yd9gzLbvyNv2CaerbuLwBLn hiov2DGi1BTfMBaeXatLxBI9gBaeXafv3ySLgzGmvETj2BSbqefm0B 1jxALjhiov2DaebbnrfifHhDYfgasaacHOaM0xg9vrFfpeea0xh9v8 qiW7rqqrFfpeea0xe9Lq=Jc9vqaqpepm0xbba9pwe9Q8fs0=yqaqpe pae9pg0FirpepeKkFr0xfr=xfr=xb9adbaqaaeGacaGaamaabeqaaq aabaqbaaGcbaGaeuOPdyKaeyypa0ZaaabCaeaadaabdaqaamaalaaa baGaeyOaIyRaamiCamaaCaaaleqabaGaae4BaiaabkgacaqGZbaaaa GcbaGaeyOaIyRaamOEaaaadaqadaqaaiaadQhadaWgaaWcbaGaamyA aaqabaaakiaawIcacaGLPaaacqGHsisldaWcaaqaaiabgkGi2kaadc hadaahaaWcbeqaaiGac2gacaGGVbGaaiizaaaaaOqaaiabgkGi2kaa dQhaaaWaaeWaaeaacaWG6bWaaSbaaSqaaiaadMgaaeqaaOGaaiilai aah2gaaiaawIcacaGLPaaaaiaawEa7caGLiWoadaahaaWcbeqaaiaa ikdaaaaabaGaamyAaiabg2da9iaaigdaaeaacaWGobaaniabggHiLd GccaGGUaaaaa@6455@

(26)

Здесь: p obs z MathType@MTEF@5@5@+= feaahqart1ev3aaatCvAUfeBSjuyZL2yd9gzLbvyNv2CaerbuLwBLn hiov2DGi1BTfMBaeXatLxBI9gBaeXafv3ySLgzGmvETj2BSbqefm0B 1jxALjhiov2DaebbnrfifHhDYfgasaacHOaM0xg9vrFfpeea0xh9v8 qiW7rqqrFfpeea0xe9Lq=Jc9vqaqpepm0xbba9pwe9Q8fs0=yqaqpe pae9pg0FirpepeKkFr0xfr=xfr=xb9adbaqaaeGacaGaamaabeqaaq aabaqbaaGcbiqaaaTddaWcaaqaaiabgkGi2kaadchadaahaaWcbeqa aiaab+gacaqGIbGaae4CaaaaaOqaaiabgkGi2kaadQhaaaaaaa@4676@   MathType@MTEF@5@5@+= feaahqart1ev3aqatCvAUfeBSjuyZL2yd9gzLbvyNv2CaerbuLwBLn hiov2DGi1BTfMBaeXatLxBI9gBaerbd9wDYLwzYbItLDharqqtubsr 4rNCHbGeaGqiVu0Je9sqqrpepC0xbbL8F4rqqrFfpeea0xe9Lq=Jc9 vqaqpepm0xbba9pwe9Q8fs0=yqaqpepae9pg0FirpepeKkFr0xfr=x fr=xb9adbaqaaeGaciGaaiaabeqaamaabaabaaGcbaqefeKCPfgBaG qbaKqzGfaeaaaaaaaaa8qacaWFtacaaa@39A3@ наблюденные значения вертикального градиента порового давления (входные данные); p mod z MathType@MTEF@5@5@+= feaahqart1ev3aaatCvAUfeBSjuyZL2yd9gzLbvyNv2CaerbuLwBLn hiov2DGi1BTfMBaeXatLxBI9gBaeXafv3ySLgzGmvETj2BSbqefm0B 1jxALjhiov2DaebbnrfifHhDYfgasaacHOaM0xg9vrFfpeea0xh9v8 qiW7rqqrFfpeea0xe9Lq=Jc9vqaqpepm0xbba9pwe9Q8fs0=yqaqpe pae9pg0FirpepeKkFr0xfr=xfr=xb9adbaqaaeGacaGaamaabeqaaq aabaqbaaGcbaWaaSaaaeaacqGHciITcaWGWbWaaWbaaSqabeaaciGG TbGaai4BaiaacsgaaaaakeaacqGHciITcaWG6baaaaaa@4596@   MathType@MTEF@5@5@+= feaahqart1ev3aqatCvAUfeBSjuyZL2yd9gzLbvyNv2CaerbuLwBLn hiov2DGi1BTfMBaeXatLxBI9gBaerbd9wDYLwzYbItLDharqqtubsr 4rNCHbGeaGqiVu0Je9sqqrpepC0xbbL8F4rqqrFfpeea0xe9Lq=Jc9 vqaqpepm0xbba9pwe9Q8fs0=yqaqpepae9pg0FirpepeKkFr0xfr=x fr=xb9adbaqaaeGaciGaaiaabeqaamaabaabaaGcbaqefeKCPfgBaG qbaKqzGfaeaaaaaaaaa8qacaWFtacaaa@39A3@ теоретические значения, рассчитанные для модели, описываемой вектором m:

m= α 1 ,..., α n ,lg M 1 ,...,lg M n ,lg κ 1 ,...,lg κ n . MathType@MTEF@5@5@+= feaahqart1ev3aaatCvAUfeBSjuyZL2yd9gzLbvyNv2CaerbuLwBLn hiov2DGi1BTfMBaeXatLxBI9gBaeXafv3ySLgzGmvETj2BSbqefm0B 1jxALjhiov2DaebbnrfifHhDYfgasaacHOaM0xg9vrFfpeea0xh9v8 qiW7rqqrFfpeea0xe9Lq=Jc9vqaqpepm0xbba9pwe9Q8fs0=yqaqpe pae9pg0FirpepeKkFr0xfr=xfr=xb9adbaqaaeGacaGaamaabeqaaq aabaqbaaGcbaGaaCyBaiabg2da9maacmaabaGaeqySde2aaSbaaSqa aiaaigdaaeqaaOGaaiilaiaac6cacaGGUaGaaiOlaiaacYcacqaHXo qydaWgaaWcbaGaamOBaaqabaGccaGGSaGaciiBaiaacEgacaWGnbWa aSbaaSqaaiaaigdaaeqaaOGaaiilaiaac6cacaGGUaGaaiOlaiaacY caciGGSbGaai4zaiaad2eadaWgaaWcbaGaamOBaaqabaGccaGGSaGa ciiBaiaacEgacqaH6oWAdaWgaaWcbaGaaGymaaqabaGccaGGSaGaai Olaiaac6cacaGGUaGaaiilaiGacYgacaGGNbGaeqOUdS2aaSbaaSqa aiaad6gaaeqaaaGccaGL7bGaayzFaaGaaiOlaaaa@646A@ (27)

Алгоритм минимизации функционала (26) представляет собой модификацию квазиньютоновского метода [Powell, 1978; Coleman and Li, 1996]. При этом, подбор по параметрам k и M ведется в логарифмическом масштабе, по α  MathType@MTEF@5@5@+= feaahqart1ev3aqatCvAUfeBSjuyZL2yd9gzLbvyNv2CaerbuLwBLn hiov2DGi1BTfMBaeXatLxBI9gBaerbd9wDYLwzYbItLDharqqtubsr 4rNCHbGeaGqiVu0Je9sqqrpepC0xbbL8F4rqqrFfpeea0xe9Lq=Jc9 vqaqpepm0xbba9pwe9Q8fs0=yqaqpepae9pg0FirpepeKkFr0xfr=x fr=xb9adbaqaaeGaciGaaiaabeqaamaabaabaaGcbaqefeKCPfgBaG qbaKqzGfaeaaaaaaaaa8qacaWFtacaaa@39A3@ в арифметическом.

Для оценки эффективности инверсии было проведено тестирование алгоритма на трех массивах синтетических распределений p z z i , MathType@MTEF@5@5@+= feaahqart1ev3aaatCvAUfeBSjuyZL2yd9gzLbvyNv2CaerbuLwBLn hiov2DGi1BTfMBaeXatLxBI9gBaeXafv3ySLgzGmvETj2BSbqefm0B 1jxALjhiov2DaebbnrfifHhDYfgasaacHOaM0xg9vrFfpeea0xh9v8 qiW7rqqrFfpeea0xe9Lq=Jc9vqaqpepm0xbba9pwe9Q8fs0=yqaqpe pae9pg0FirpepeKkFr0xfr=xfr=xb9adbaqaaeGacaGaamaabeqaaq aabaqbaaGcbaWaaSaaaeaacqGHciITcaWGWbaabaGaeyOaIyRaamOE aaaadaqadaqaaiaadQhadaWgaaWcbaGaamyAaaqabaaakiaawIcaca GLPaaacaGGSaaaaa@46ED@ рассчитанных для моделей из табл. 1 на равномерной сетке глубин в диапазоне от 0 до 500 м с шагом 5 м. Результаты решения обратной задачи представлены в табл. 2 в виде восстановленных значений искомых параметров, а также на рис. 3 в виде графиков входных данных и откликов, рассчитанных для результирующих моделей. Мощности слоев были заданы априорно. В качестве модели начального приближение выступала модель с одинаковыми значениями соответствующих параметров для всех трех слоев (см. второй столбец табл. 2). Учитывая отсутствие шумов во входных данных, в качестве критерия остановки процесса минимизации использовалась величина шага по параметрам исходной модели в некоторой норме.

Сопоставляя истинные значения параметров с полученными в процессе инверсии, можно видеть, что погрешность определения параметров k и M не превышает 10 MathType@MTEF@5@5@+= feaahqart1ev3aqatCvAUfeBSjuyZL2yd9gzLbvyNv2CaerbuLwBLn hiov2DGi1BTfMBaeXatLxBI9gBaerbd9wDYLwzYbItLDharqqtubsr 4rNCHbGeaGqiVu0Je9sqqrpepC0xbbL8F4rqqrFfpeea0xe9Lq=Jc9 vqaqpepm0xbba9pwe9Q8fs0=yqaqpepae9pg0FirpepeKkFr0xfr=x fr=xb9adbaqaaeGaciGaaiaabeqaamaabaabaaGcbaqefeKCPfgBaG qbaKqzGfaeaaaaaaaaa8qacaWFtacaaa@39A3@ 15%, коэффициента α  MathType@MTEF@5@5@+= feaahqart1ev3aqatCvAUfeBSjuyZL2yd9gzLbvyNv2CaerbuLwBLn hiov2DGi1BTfMBaeXatLxBI9gBaerbd9wDYLwzYbItLDharqqtubsr 4rNCHbGeaGqiVu0Je9sqqrpepC0xbbL8F4rqqrFfpeea0xe9Lq=Jc9 vqaqpepm0xbba9pwe9Q8fs0=yqaqpepae9pg0FirpepeKkFr0xfr=x fr=xb9adbaqaaeGaciGaaiaabeqaamaabaabaaGcbaqefeKCPfgBaG qbaKqzGfaeaaaaaaaaa8qacaWFtacaaa@39A3@ 20 MathType@MTEF@5@5@+= feaahqart1ev3aqatCvAUfeBSjuyZL2yd9gzLbvyNv2CaerbuLwBLn hiov2DGi1BTfMBaeXatLxBI9gBaerbd9wDYLwzYbItLDharqqtubsr 4rNCHbGeaGqiVu0Je9sqqrpepC0xbbL8F4rqqrFfpeea0xe9Lq=Jc9 vqaqpepm0xbba9pwe9Q8fs0=yqaqpepae9pg0FirpepeKkFr0xfr=x fr=xb9adbaqaaeGaciGaaiaabeqaamaabaabaaGcbaqefeKCPfgBaG qbaKqzGfaeaaaaaaaaa8qacaWFtacaaa@39A3@ 25%. При этом, невязка между входными данными и откликом от результирующей модели составляет порядка десятых долей процента.

 

Рис. 3. Сопоставление синтетических кривых вертикального градиента порового давления для трех различных трехслойных моделей (кружки, квадраты и ромбы) и кривых, отвечающих результирующим моделям, полученным в результате решения обратной задачи (сплошные линии). Светло-серая вертикальная пунктирная прямая соответствует модели начального приближения (см. табл. 2).

 

Таблица 1. Параметры трехслойных моделей, использованных при моделировании поля порового давления и его вертикального градиента, показанных на рис. 1.

Параметр

 

Модель 1

 

Модель 2

 

Модель 3

 

h1, м

 

100

 

100

 

100

 

h2, м

 

150

 

150

 

150

 

α1

 

0.7

 

0.7

 

0.5

 

α2

 

0.5

 

0.5

 

0.7

 

α3

 

0.5

 

0.7

 

0.5

 

M1, Па

 

1010

 

1010

 

1010

 

M2, Па

 

109

 

109

 

109

 

M3, Па

 

1010

 

1010

 

1010

 

k1, м2

 

10–17

 

10–16

 

10–15

 

k2, м2

 

10–15

 

10–14

 

10–13

 

k3, м2

 

10–16

 

10–15

 

10–14

 

η1, Па ‧ с

 

10–3

 

10–3

 

10–3

 

η2, Па ‧ с

 

10–3

 

10–3

 

10–3

 

η3, Па ‧ с

 

10–3

 

10–3

 

10–3

 

δ1, м

 

1.17

 

3.71

 

11.7

 

δ2, м

 

3.71

 

11.7

 

37.1

 

δ3, м

 

3.71

 

11.7

 

37.1

 

 

Таблица 2. Результаты решения обратной задачи по набору синтетических данных

Параметр

 

Начальное

приближение

Модель 1

(истинная)

Модель 1

(подбор)

Модель 2

(истинная)

Модель 2

(подбор)

Модель 3

(истинная)

Модель 3

(подбор)

α1

 

0.6

 

0.7

 

0.5962

 

0.7

 

0.5514

 

0.5

 

0.5120

 

α2

 

0.6

 

0.5

 

0.4466

 

0.5

 

0.4337

 

0.7

 

0.4532

 

α3

 

0.6

 

0.5

 

0.5321

 

0.7

 

0.5262

 

0.5

 

0.5074

 

M1

 

1011

 

1010

 

1010.0698

 

1010

 

1010.1036

 

1010

 

109.9897

 

M2

 

1011

 

109

 

109.0503

 

109

 

109.0618

 

109

 

109.1888

 

M3

 

1011

 

1010

 

109.9731

 

1010

 

1010.1240

 

1010

 

109.9936

 

k1

 

10–13

 

10–17

 

10–17.0697

 

10–16

 

10–16.1036

 

10–15

 

10–14.9897

 

k2

 

10–13

 

10–15

 

10–15.0502

 

10–14

 

10–14.0618

 

10–13

 

10–13.1888

 

k3

 

10–13

 

10–16

 

10–15.9731

 

10–15

 

10–15.1240

 

10–14

 

10–13.9936

 

 

5. ОБСУЖДЕНИЕ

Проведенный в работе анализ создает теоретические предпосылки к изучению ряда физических свойств горных пород в рамках сейсмоэлектрического эффекта с использованием приливных деформаций в качестве источника механической энергии. С учетом результатов этого анализа, может быть предложен метод оценки упругих параметров и проницаемости формаций, основанный на измерении электрического поля электрокинетической природы. Возможность практической реализации такой технологии определяется рядом технологических и (гео)физических аспектов, некоторые из которых мы коротко обсудим ниже.

О принципиальной возможности выделения приливных сигналов по измерениям в скважинах. На примере электрического каротажа методом собственных потенциалов (ПС) известно, что разности потенциалов, измеряемые между устьем скважины и заглубленным электродом, возникающие, в основном, вследствие электрохимических явлений в горных породах, составляют десятки и даже сотни милливольт [Serra, 1984]. Таким образом, выделение сигналов, порождаемых приливными деформациями и имеющих амплитуды порядка десятков и сотен микровольт на фоне более интенсивных (но слабо изменяющихся во времени) шумов электрохимического и иного происхождения, может оказаться нетривиальной задачей. Тем не менее, можно рассчитывать на ее успешное решение, принимая во внимание тот факт, что приливные колебания имеют известную (фиксированную) частоту и при достаточной длительности наблюдений данная узкополосная составляющая может быть выделена, например, путем накопления.

Общие параметры скважинной системы наблюдений. С учетом того, что для выделения приливных сигналов необходимы достаточно длительные наблюдения (несколько суток), целесообразно проводить измерения с помощью многоэлектродной косы одновременно во всем интересующем интервале глубин. При этом, расположение электродов вдоль косы можно конфигурировать, исходя из информации о границах основных формаций разреза, если таковая имеется на основании данных, например, акустического каротажа. Поскольку наиболее быстрые изменения амплитуды сигнала происходят в пределах скин-слоя, именно эта область требует наибольшей детальности наблюдений. Наименьший шаг между электродами (порядка первых метров) устанавливается в интервале непосредственно ниже каждой границы, а с ростом глубины он возрастает в геометрической прогрессии до достижения следующей значимой границы. При отсутствии какой-либо информации о границах горизонтов, используется коса с равномерным шагом. Для регистрации могут применяться многоканальные приемники с АЦП высокой разрядности; при этом высокого быстродействия АЦП не требуется.

О существовании вертикального электрического поля электрокинетического происхождения на поверхности Земли. Как известно, электромагнитное поле, описываемое уравнениями Максвелла, в квазистационарном приближении не имеет вертикальной электрической составляющей на границе земля MathType@MTEF@5@5@+= feaahqart1ev3aqatCvAUfeBSjuyZL2yd9gzLbvyNv2CaerbuLwBLn hiov2DGi1BTfMBaeXatLxBI9gBaerbd9wDYLwzYbItLDharqqtubsr 4rNCHbGeaGqiVu0Je9sqqrpepC0xbbL8F4rqqrFfpeea0xe9Lq=Jc9 vqaqpepm0xbba9pwe9Q8fs0=yqaqpepae9pg0FirpepeKkFr0xfr=x fr=xb9adbaqaaeGaciGaaiaabeqaamaabaabaaGcbaqefeKCPfgBaG qbaKqzGfaeaaaaaaaaa8qacaWFtacaaa@39A3@ воздух, если электропроводностью воздуха ? можно пренебречь:

E0 при 0, если σ(z0

при z < 0, (28)

что следует из условия непрерывности вертикальной компоненты плотности тока на этой границе. В этой связи необходимо дать пояснение относительно существования вертикального электрического поля электрокинетического происхождения, определяемого на поверхности Земли выражением:

E z (0)=c p z 0 , MathType@MTEF@5@5@+= feaahqart1ev3aaatCvAUfeBSjuyZL2yd9gzLbvyNv2CaerbuLwBLn hiov2DGi1BTfMBaeXatLxBI9gBaeXafv3ySLgzGmvETj2BSbqefm0B 1jxALjhiov2DaebbnrfifHhDYfgasaacHOaM0xg9vrFfpeea0xh9v8 qiW7rqqrFfpeea0xe9Lq=Jc9vqaqpepm0xbba9pwe9Q8fs0=yqaqpe pae9pg0FirpepeKkFr0xfr=xfr=xb9adbaqaaeGacaGaamaabeqaaq aabaqbaaGcbaGaamyramaaBaaaleaacaWG6baabeaakiaacIcacaaI WaGaaiykaiabg2da9iaadogadaWcaaqaaiabgkGi2kaadchaaeaacq GHciITcaWG6baaamaabmaabaGaaGimaaGaayjkaiaawMcaaiaacYca aaa@4B84@

где величина p z 0 MathType@MTEF@5@5@+= feaahqart1ev3aaatCvAUfeBSjuyZL2yd9gzLbvyNv2CaerbuLwBLn hiov2DGi1BTfMBaeXatLxBI9gBaeXafv3ySLgzGmvETj2BSbqefm0B 1jxALjhiov2DaebbnrfifHhDYfgasaacHOaM0xg9vrFfpeea0xh9v8 qiW7rqqrFfpeea0xe9Lq=Jc9vqaqpepm0xbba9pwe9Q8fs0=yqaqpe pae9pg0FirpepeKkFr0xfr=xfr=xb9adbaqaaeGacaGaamaabeqaaq aabaqbaaGcbaWaaSaaaeaacqGHciITcaWGWbaabaGaeyOaIyRaamOE aaaadaqadaqaaiaaicdaaiaawIcacaGLPaaaaaa@44D4@ отлична от нуля. Электрокинетический механизм возникновения поля представляет собой типичную стороннюю силу (сторонний возбудитель), чему соответствует дополнительное слагаемое в правой части уравнения Максвелла:

 

 

rotH=σE+ j ext , MathType@MTEF@5@5@+= feaahqart1ev3aaatCvAUfeBSjuyZL2yd9gzLbvyNv2CaerbuLwBLn hiov2DGi1BTfMBaeXatLxBI9gBaeXafv3ySLgzGmvETj2BSbqefm0B 1jxALjhiov2DaebbnrfifHhDYfgasaacHOaM0xg9vrFfpeea0xh9v8 qiW7rqqrFfpeea0xe9Lq=Jc9vqaqpepm0xbba9pwe9Q8fs0=yqaqpe pae9pg0FirpepeKkFr0xfr=xfr=xb9adbaqaaeGacaGaamaabeqaaq aabaqbaaGcbaGaamOCaiaad+gacaWG0bGaaCisaiabg2da9iabeo8a ZjaahweacqGHRaWkcaWHQbWaaSbaaSqaaiaadwgacaWG4bGaamiDaa qabaGccaGGSaaaaa@4AA8@

(29)

где: j ext =σ(z) E z ek (z), MathType@MTEF@5@5@+= feaahqart1ev3aaatCvAUfeBSjuyZL2yd9gzLbvyNv2CaerbuLwBLn hiov2DGi1BTfMBaeXatLxBI9gBaeXafv3ySLgzGmvETj2BSbqefm0B 1jxALjhiov2DaebbnrfifHhDYfgasaacHOaM0xg9vrFfpeea0xh9v8 qiW7rqqrFfpeea0xe9Lq=Jc9vqaqpepm0xbba9pwe9Q8fs0=yqaqpe pae9pg0FirpepeKkFr0xfr=xfr=xb9adbaqaaeGacaGaamaabeqaaq aabaqbaaGcbiqaaqMdcaWHQbWaaSbaaSqaaiaadwgacaWG4bGaamiD aaqabaGccqGH9aqpcqaHdpWCcaGGOaGaamOEaiaacMcacaWGfbWaa0 baaSqaaiaadQhaaeaacaWGLbGaam4AaaaakiaacIcacaWG6bGaaiyk aiaacYcaaaa@4E42@ а  E z ek (z) MathType@MTEF@5@5@+= feaahqart1ev3aaatCvAUfeBSjuyZL2yd9gzLbvyNv2CaerbuLwBLn hiov2DGi1BTfMBaeXatLxBI9gBaeXafv3ySLgzGmvETj2BSbqefm0B 1jxALjhiov2DaebbnrfifHhDYfgasaacHOaM0xg9vrFfpeea0xh9v8 qiW7rqqrFfpeea0xe9Lq=Jc9vqaqpepm0xbba9pwe9Q8fs0=yqaqpe pae9pg0FirpepeKkFr0xfr=xfr=xb9adbaqaaeGacaGaamaabeqaaq aabaqbaaGcbaGaamyramaaDaaaleaacaWG6baabaGaamyzaiaadUga aaGccaGGOaGaamOEaiaacMcaaaa@43F3@   MathType@MTEF@5@5@+= feaahqart1ev3aqatCvAUfeBSjuyZL2yd9gzLbvyNv2CaerbuLwBLn hiov2DGi1BTfMBaeXatLxBI9gBaerbd9wDYLwzYbItLDharqqtubsr 4rNCHbGeaGqiVu0Je9sqqrpepC0xbbL8F4rqqrFfpeea0xe9Lq=Jc9 vqaqpepm0xbba9pwe9Q8fs0=yqaqpepae9pg0FirpepeKkFr0xfr=x fr=xb9adbaqaaeGaciGaaiaabeqaamaabaabaaGcbaqefeKCPfgBaG qbaKqzGfaeaaaaaaaaa8qacaWFtacaaa@39A3@ рассматриваемое нами электрическое поле электрокинетической природы. Идеализируя ситуацию, можно полагать, что поскольку в приземном слое (как и всюду ниже) имеется система вертикальных капиллярров, доходящих непосредственно до земной поверхности и давление поровой жидкости внутри каждого капилляра изменяется с глубиной, то между концами капилляра всегда имеется разность электрических потенциалов, пропорциональная разности давлений на них независимо от свойств вышележащей среды (воздуха). Другими словами, условие (28) не должно распространяться на поле E z ek (z), MathType@MTEF@5@5@+= feaahqart1ev3aaatCvAUfeBSjuyZL2yd9gzLbvyNv2CaerbuLwBLn hiov2DGi1BTfMBaeXatLxBI9gBaeXafv3ySLgzGmvETj2BSbqefm0B 1jxALjhiov2DaebbnrfifHhDYfgasaacHOaM0xg9vrFfpeea0xh9v8 qiW7rqqrFfpeea0xe9Lq=Jc9vqaqpepm0xbba9pwe9Q8fs0=yqaqpe pae9pg0FirpepeKkFr0xfr=xfr=xb9adbaqaaeGacaGaamaabeqaaq aabaqbaaGcbaGaamyramaaDaaaleaacaWG6baabaGaamyzaiaadUga aaGccaGGOaGaamOEaiaacMcacaGGSaaaaa@44A3@ существующее по причине наличия внешней силы (градиента порового давления), а не энергетических преобразований внутри чисто электродинамического процесса.

О переходе от электрического поля к полю порового давления. Основным соотношением теории электрокинетических явлений является формула Гельмгольца MathType@MTEF@5@5@+= feaahqart1ev3aqatCvAUfeBSjuyZL2yd9gzLbvyNv2CaerbuLwBLn hiov2DGi1BTfMBaeXatLxBI9gBaerbd9wDYLwzYbItLDharqqtubsr 4rNCHbGeaGqiVu0Je9sqqrpepC0xbbL8F4rqqrFfpeea0xe9Lq=Jc9 vqaqpepm0xbba9pwe9Q8fs0=yqaqpepae9pg0FirpepeKkFr0xfr=x fr=xb9adbaqaaeGaciGaaiaabeqaamaabaabaaGcbaqefeKCPfgBaG qbaKqzGfaeaaaaaaaaa8qacaWFtacaaa@39A3@ Смолуховского:

 

 

E=cgradp, MathType@MTEF@5@5@+= feaahqart1ev3aaatCvAUfeBSjuyZL2yd9gzLbvyNv2CaerbuLwBLn hiov2DGi1BTfMBaeXatLxBI9gBaeXafv3ySLgzGmvETj2BSbqefm0B 1jxALjhiov2DaebbnrfifHhDYfgasaacHOaM0xg9vrFfpeea0xh9v8 qiW7rqqrFfpeea0xe9Lq=Jc9vqaqpepm0xbba9pwe9Q8fs0=yqaqpe pae9pg0FirpepeKkFr0xfr=xfr=xb9adbaqaaeGacaGaamaabeqaaq aabaqbaaGcbaGaaCyraiabg2da9iaadogacqGHflY1caWGNbGaamOC aiaadggacaWGKbGaamiCaiaacYcaaaa@481E@

(30)

где p  MathType@MTEF@5@5@+= feaahqart1ev3aqatCvAUfeBSjuyZL2yd9gzLbvyNv2CaerbuLwBLn hiov2DGi1BTfMBaeXatLxBI9gBaerbd9wDYLwzYbItLDharqqtubsr 4rNCHbGeaGqiVu0Je9sqqrpepC0xbbL8F4rqqrFfpeea0xe9Lq=Jc9 vqaqpepm0xbba9pwe9Q8fs0=yqaqpepae9pg0FirpepeKkFr0xfr=x fr=xb9adbaqaaeGaciGaaiaabeqaamaabaabaaGcbaqefeKCPfgBaG qbaKqzGfaeaaaaaaaaa8qacaWFtacaaa@39A3@ поровое давление, а коэффициент

 

 

c= εζ 4πησ , MathType@MTEF@5@5@+= feaahqart1ev3aaatCvAUfeBSjuyZL2yd9gzLbvyNv2CaerbuLwBLn hiov2DGi1BTfMBaeXatLxBI9gBaeXafv3ySLgzGmvETj2BSbqefm0B 1jxALjhiov2DaebbnrfifHhDYfgasaacHOaM0xg9vrFfpeea0xh9v8 qiW7rqqrFfpeea0xe9Lq=Jc9vqaqpepm0xbba9pwe9Q8fs0=yqaqpe pae9pg0FirpepeKkFr0xfr=xfr=xb9adbaqaaeGacaGaamaabeqaaq aabaqbaaGcbaGaam4yaiabg2da9maalaaabaGaeqyTduMaeqOTdOha baGaaGinaiabec8aWjabeE7aOjabeo8aZbaacaGGSaaaaa@49BD@

(31)

называют коэффициентом потокового потенциала. Здесь: ε  MathType@MTEF@5@5@+= feaahqart1ev3aqatCvAUfeBSjuyZL2yd9gzLbvyNv2CaerbuLwBLn hiov2DGi1BTfMBaeXatLxBI9gBaerbd9wDYLwzYbItLDharqqtubsr 4rNCHbGeaGqiVu0Je9sqqrpepC0xbbL8F4rqqrFfpeea0xe9Lq=Jc9 vqaqpepm0xbba9pwe9Q8fs0=yqaqpepae9pg0FirpepeKkFr0xfr=x fr=xb9adbaqaaeGaciGaaiaabeqaamaabaabaaGcbaqefeKCPfgBaG qbaKqzGfaeaaaaaaaaa8qacaWFtacaaa@39A3@ диэлектрическая постоянная, ζ  MathType@MTEF@5@5@+= feaahqart1ev3aqatCvAUfeBSjuyZL2yd9gzLbvyNv2CaerbuLwBLn hiov2DGi1BTfMBaeXatLxBI9gBaerbd9wDYLwzYbItLDharqqtubsr 4rNCHbGeaGqiVu0Je9sqqrpepC0xbbL8F4rqqrFfpeea0xe9Lq=Jc9 vqaqpepm0xbba9pwe9Q8fs0=yqaqpepae9pg0FirpepeKkFr0xfr=x fr=xb9adbaqaaeGaciGaaiaabeqaamaabaabaaGcbaqefeKCPfgBaG qbaKqzGfaeaaaaaaaaa8qacaWFtacaaa@39A3@ дзета-потенциал, η и σ  MathType@MTEF@5@5@+= feaahqart1ev3aqatCvAUfeBSjuyZL2yd9gzLbvyNv2CaerbuLwBLn hiov2DGi1BTfMBaeXatLxBI9gBaerbd9wDYLwzYbItLDharqqtubsr 4rNCHbGeaGqiVu0Je9sqqrpepC0xbbL8F4rqqrFfpeea0xe9Lq=Jc9 vqaqpepm0xbba9pwe9Q8fs0=yqaqpepae9pg0FirpepeKkFr0xfr=x fr=xb9adbaqaaeGaciGaaiaabeqaamaabaabaaGcbaqefeKCPfgBaG qbaKqzGfaeaaaaaaaaa8qacaWFtacaaa@39A3@ вязкость и электропроводность флюида, соответственно. На практике величину потокового потенциала с в первом приближении можно считать постоянной, поскольку диапазон ее изменений (10 MathType@MTEF@5@5@+= feaahqart1ev3aqatCvAUfeBSjuyZL2yd9gzLbvyNv2CaerbuLwBLn hiov2DGi1BTfMBaeXatLxBI9gBaerbd9wDYLwzYbItLDharqqtubsr 4rNCHbGeaGqiVu0Je9sqqrpepC0xbbL8F4rqqrFfpeea0xe9Lq=Jc9 vqaqpepm0xbba9pwe9Q8fs0=yqaqpepae9pg0FirpepeKkFr0xfr=x fr=xb9adbaqaaeGaciGaaiaabeqaamaabaabaaGcbaqefeKCPfgBaG qbaKqzOdaeaaaaaaaaa8qacaWFtacaaa@3A2A@ 6 MathType@MTEF@5@5@+= feaahqart1ev3aqatCvAUfeBSjuyZL2yd9gzLbvyNv2CaerbuLwBLn hiov2DGi1BTfMBaeXatLxBI9gBaerbd9wDYLwzYbItLDharqqtubsr 4rNCHbGeaGqiVu0Je9sqqrpepC0xbbL8F4rqqrFfpeea0xe9Lq=Jc9 vqaqpepm0xbba9pwe9Q8fs0=yqaqpepae9pg0FirpepeKkFr0xfr=x fr=xb9adbaqaaeGaciGaaiaabeqaamaabaabaaGcbaqefeKCPfgBaG qbaKqzGfaeaaaaaaaaa8qacaWFtacaaa@39A3@ 10 MathType@MTEF@5@5@+= feaahqart1ev3aqatCvAUfeBSjuyZL2yd9gzLbvyNv2CaerbuLwBLn hiov2DGi1BTfMBaeXatLxBI9gBaerbd9wDYLwzYbItLDharqqtubsr 4rNCHbGeaGqiVu0Je9sqqrpepC0xbbL8F4rqqrFfpeea0xe9Lq=Jc9 vqaqpepm0xbba9pwe9Q8fs0=yqaqpepae9pg0FirpepeKkFr0xfr=x fr=xb9adbaqaaeGaciGaaiaabeqaamaabaabaaGcbaqefeKCPfgBaG qbaKqzOdaeaaaaaaaaa8qacaWFtacaaa@3A2A@ 7 В/Па) значителен уже по сравнению с диапазоном изменений p z MathType@MTEF@5@5@+= feaahqart1ev3aaatCvAUfeBSjuyZL2yd9gzLbvyNv2CaerbuLwBLn hiov2DGi1BTfMBaeXatLxBI9gBaeXafv3ySLgzGmvETj2BSbqefm0B 1jxALjhiov2DaebbnrfifHhDYfgasaacHOaM0xg9vrFfpeea0xh9v8 qiW7rqqrFfpeea0xe9Lq=Jc9vqaqpepm0xbba9pwe9Q8fs0=yqaqpe pae9pg0FirpepeKkFr0xfr=xfr=xb9adbaqaaeGacaGaamaabeqaaq aabaqbaaGcbaWaaSaaaeaacqGHciITcaWGWbaabaGaeyOaIyRaamOE aaaaaaa@4291@ в пределах скин-слоя [Гершензон, Гохберг, 1994].

О зависимости изучаемых параметров от пористости. Несмотря на то, что и модуль Био M, и коэффициент проницаемости k зависят от коэффициента пористости ϕ, характер этой связи позволяет при решении обратной задачи рассматривать оба названных выше параметра как независимые. Зависимость проницаемости k от пористости ϕ близка к экспоненциальной (logκ~ϕ), в то время как модуль Био в некотором приближении обратно пропорционален квадрату пористости M~ 1 ϕ 2 . MathType@MTEF@5@5@+= feaahqart1ev3aaatCvAUfeBSjuyZL2yd9gzLbvyNv2CaerbuLwBLn hiov2DGi1BTfMBaeXatLxBI9gBaeXafv3ySLgzGmvETj2BSbqefm0B 1jxALjhiov2DaebbnrfifHhDYfgasaacHOaM0xg9vrFfpeea0xh9v8 qiW7rqqrFfpeea0xe9Lq=Jc9vqaqpepm0xbba9pwe9Q8fs0=yqaqpe pae9pg0FirpepeKkFr0xfr=xfr=xb9adbaqaaeGacaGaamaabeqaaq aabaqbaaGcbaWaaeWaaeaacaWGnbGaaiOFamaalaaabaGaaGymaaqa aiabew9aMnaaCaaaleqabaGaaGOmaaaaaaaakiaawIcacaGLPaaaca GGUaaaaa@4556@ Таким образом, реакция проницаемости и модуля Био на изменение пористости оказывается существенно разной. Другими словами, при одном и том же изменении пористости, изменения проницаемости очень велики, а модуля Био  MathType@MTEF@5@5@+= feaahqart1ev3aqatCvAUfeBSjuyZL2yd9gzLbvyNv2CaerbuLwBLn hiov2DGi1BTfMBaeXatLxBI9gBaerbd9wDYLwzYbItLDharqqtubsr 4rNCHbGeaGqiVu0Je9sqqrpepC0xbbL8F4rqqrFfpeea0xe9Lq=Jc9 vqaqpepm0xbba9pwe9Q8fs0=yqaqpepae9pg0FirpepeKkFr0xfr=x fr=xb9adbaqaaeGaciGaaiaabeqaamaabaabaaGcbaqefeKCPfgBaG qbaKqzGfaeaaaaaaaaa8qacaWFtacaaa@39A3@ несущественны, что позволяет извлекать информацию о пористости из их комбинации.

Таким образом, на основании теоретического анализа и приведенных выше соображений можно заключить, что имеются предпосылки для изучения свойств толщ горных пород (коэффициента и модуля Био, коэффициента проницаемости) с помощью измерений приливных сигналов электрокинетического происхождения в скважинах.

6. ЗАКЛЮЧЕНИЕ

В работе получено решение задачи для поля порового давления в горизонтально-слоистой модели, состоящей из n слоев. Показано, что поровое давление и его вертикальный градиент в любом слое модели не зависят от свойств нижележащей среды. Поле порового давления имеет вид суммы функций, экспоненциально зависящих от глубины и асимптотически стремящихся к нормальным значениям на расстояниях порядка нескольких толщин скин-слоя. Анализ чувствительности градиента порового давления к изменению упругих параметров и коэффициента проницаемости слоев позволяет сделать вывод о возможности достаточно устойчивого решения обратной задачи.

Разработаны алгоритм и программа решения 1-D-обратной задачи, позволяющие восстанавливать значения α(z),M(z),κ(z) MathType@MTEF@5@5@+= feaahqart1ev3aaatCvAUfeBSjuyZL2yd9gzLbvyNv2CaerbuLwBLn hiov2DGi1BTfMBaeXatLxBI9gBaeXafv3ySLgzGmvETj2BSbqefm0B 1jxALjhiov2DaebbnrfifHhDYfgasaacHOaM0xg9vrFfpeea0xh9v8 qiW7rqqrFfpeea0xe9Lq=Jc9vqaqpepm0xbba9pwe9Q8fs0=yqaqpe pae9pg0FirpepeKkFr0xfr=xfr=xb9adbaqaaeGacaGaamaabeqaaq aabaqbaaGcbaqcaaSaeqySdeMccaGGOaGaamOEaiaacMcacaGGSaGa aGjbVNaaalaaykW7caWGnbGccaGGOaGaamOEaiaacMcacaGGSaGaaG jbVlaaysW7cqaH6oWAcaGGOaGaamOEaiaacMcaaaa@5224@ по известным распределениям p(z) z MathType@MTEF@5@5@+= feaahqart1ev3aaatCvAUfeBSjuyZL2yd9gzLbvyNv2CaerbuLwBLn hiov2DGi1BTfMBaeXatLxBI9gBaeXafv3ySLgzGmvETj2BSbqefm0B 1jxALjhiov2DaebbnrfifHhDYfgasaacHOaM0xg9vrFfpeea0xh9v8 qiW7rqqrFfpeea0xe9Lq=Jc9vqaqpepm0xbba9pwe9Q8fs0=yqaqpe pae9pg0FirpepeKkFr0xfr=xfr=xb9adbaqaaeGacaGaamaabeqaaq aabaqbaaGcbaWaaSaaaeaacqGHciITcaWGWbGaaiikaiaadQhacaGG PaaabaGaeyOaIyRaamOEaaaaaaa@44E9@ внутри горизонтально-слоистой среды. Оценка возможностей инверсии, проведенная на наборе синтетических данных, свидетельствует о достаточно высокой точности реконструкции упругих параметров и коэффициентов проницаемости слоев. Необходимо отметить, что на практике, при выполнении инверсии по электрическому полю, величину потокового потенциала с в первом приближении можно считать постоянной (или кусочно-постоянной), вводя в качестве дополнительного параметра в алгоритм обратной задачи.

Выражения для расчета порового давления в горизонтально-слоистой среде могут быть использованы в качестве граничных условий при моделировании поля порового давления и электрического поля в двухмерных моделях, содержащих элементы горизонтально-слоистой структуры.

Следует отметить, что метод, основанный на измерении электрического поля, связанного с вертикальным градиентом порового давления, может существенно дополнять данные акустического каротажа, позволяя оценивать упругие свойства и проницаемость толщ горных пород. Возможно применение такого метода в режиме динамического наблюдения в целях мониторинга проницаемости нефтенасыщенных пластов в процессе разработки месторождений углеводородов. Рассмотренную теоретическую модель можно адаптировать также и на случай искусственного генератора деформаций (сейсмического вибратора).

Подводя итог, необходимо подчеркнуть, что проведенный в работе анализ и предложенная схема определения упругих параметров и проницаемости формаций ограничиваются рамками конкретной модели, отвечающей случаю полусуточной лунной гармоники M2. Очевидно, что практическая реализация предложенной схемы потребует дополнительного анализа эффектов, связанных с влиянием скважины, а также применения процедур, направленных на выделение волны M2.

Настоящая работа является развитием исследований, начатых при непосредственном участии И.А. Гарагаша и Н.И. Колосницына, которым авторы выражают свою искреннюю признательность за содержательные консультации и поддержку. Работа выполнена при финансовой поддержке Российского фонда фундаментальных исследований (проект 17-05-00511_а) и Госзадания ИФЗ РАН.

×

Об авторах

Д. А. Алексеев

Федеральное государственное бюджетное учреждение науки Институт физики Земли имени О.Ю. Шмидта Российской академии наук; Федеральное государственное бюджетное учреждение науки Институт океанологии имени П.П. Ширшова Российской академии наук; Федеральное государственное автономное образовательное учреждение высшего образования "Московский физико-технический институт (национальный исследовательский университет)"

Автор, ответственный за переписку.
Email: alexeevgeo@gmail.com
Россия, 123242, г. Москва, Б.Грузинская ул., д. 10, стр. 1; 117997, г. Москва, Нахимовский пр-т, д.36; 141701, Московская обл., г. Долгопрудный, Институтский пер., д.9

М. Б. Гохберг

Федеральное государственное бюджетное учреждение науки Институт физики Земли имени О.Ю. Шмидта Российской академии наук

Email: gmb@ifz.ru
Россия, 123242, г. Москва, Б.Грузинская ул., д. 10, стр. 1

Список литературы

  1. Евсеев А.Н. Мантийная конвекция и фазовые переходы. Девятое международное совещание «Физико-химические и петрофизические исследования в науках о Земле». M.: ИФХ РАН, ГЕОХИ РАН. 2008.
  2. Ландау Л.Д., Лифшиц Е.М. Гидродинамика.М.: Наука. 1986.
  3. Слезкин Н.А. Динамика вязкой несжимаемой вязкости. М.: ГИТТЛ. 1955. С. 514.
  4. Трубицын В.П., Харыбин Е.В. Конвективная неустойчивость режима седиментации в мантии // Изв. АН СССР Сер. Физика Земли. 1987. № 7. С. 21–30.
  5. Трубицын В.П., Харыбин Е.В. Термоседиментационная конвективная неустойчивость двухкомпонентной вязкой жидкости // Физика Земли. 1991. № 2. С. 3–17.
  6. Chandraskhar S. Hydrodynamic and hydromagnetic stability. Oxford. Claredon Press. 1961. P. 652.
  7. McCaffrey S.J., Elliott L., Ingham D.B. Enhanced Sedimen¬tation in Inclined Fracture Channels // Topics in Engi¬neering. 1997. V. 32. P. 280–291
  8. Halliday A.N., Wood B.J. The Composition and Major Reservoirs of the Earth Around the Time of the Moon-Forming Giant Impact. Treatise on Geophysics. V. 1 / Ed. in Chief G. Schubert. Elsvier. 2015. P. 5604.
  9. Hill W.D., Rothhfus R.R., Kun Li. Boundary enhanced sedimentation due to settling convection // Intern. J. Multiphase Flow. 1977. V. 3. № 6. P. 561–583
  10. Joseph D.D. Viscous potential flow // J. Fluid. Mech. 2003. V. 479. P. 191–197.
  11. Moresi L.N., Solomatov V.S. Numerical investigation of 2 D convection with extremely large viscosity variations // Phys. Fluids. 1995. V. 7. P. 2154–2162.
  12. Moresi L., Zhong S.J., Gurnis M. The accuracy of finite element solutions of Stokes’ flow with strongly varying viscosity // Phys. Earth Planet. Inter. 1996. V. 97. P. 83–94.
  13. Pаn T.W., Joseph D.D., Glowinski R. Modelling RayleighTaylor instability of a sedimenting suspension of several thousand circular particles in a direct numerical simulation // J. Fluid Mech. 2001. V. 434. P. 23.
  14. Richardson J.F., Zaki W.N. Sedimentation and fluidization // I. Trans. Inst. Chem. Eng. 1954. V. 32. P. 35–53.
  15. Rubie D.C., Nimmo F., Melosh H.J. Formation of Earth’s Core. Treatise on Geophysics. V. 1 / Ed. in Chief G. Schubert. Elsvier. 2015. P. 5604.
  16. Rudman M. Two-phase natural convection for crystal settling in magma chambers // Phys. Earth Planet. Inter. 1992. V. 72. P. 153–172.
  17. Solomatov V. Magma Oceans and Primordial Mantle Differentiation. Treatise on Geophysics. V. 1 / Ed. in Chief G. Schubert. Elsvier. 2015. P. 5604.
  18. Walter M.J., Trønnes R.G. Early Earth differentiation // Earth and Planetary Science Letters. 2004. V. 225. P. 253–269.

Дополнительные файлы

Доп. файлы
Действие
1. JATS XML
2. Рис. 1. Зависимость амплитуд порового давления (а) и его вертикального градиента (б) от глубины для набора трехслойных моделей. Параметры моделей приводятся в табл. 1. Величина приливной деформации была принята равной ε0 = 2 ∙ 10–8, частота ω = 2π/12 рад/час.

Скачать (80KB)
3. Рис. 2. Графики чувствительности градиента порового давления к параметрам α (а), M (б) и k (в) второго слоя в трехслойной модели. Описание моделей приводится в табл. 1.

Скачать (75KB)
4. Рис. 3. Сопоставление синтетических кривых вертикального градиента порового давления для трех различных трехслойных моделей (кружки, квадраты и ромбы) и кривых, отвечающих результирующим моделям, полученным в результате решения обратной задачи (сплошные линии). Светло-серая вертикальная пунктирная прямая соответствует модели начального приближения (см. табл. 2).

Скачать (132KB)

© Российская академия наук, 2019