Modeling the spectral features of acoustic noise produced by gas flow in rock samples based on the theory of ensemble of interconnected pore resonators

Cover Page

Cite item

Full Text

Abstract

A new model describing the pore space as an ensemble of interconnected Helmholtz resonators is proposed. This model makes it possible to improve the description of spectral peculiarities of the experimentally recorded acoustic noise during gas flow through a porous medium. The results of the resonance frequency calculation are presented by the example of the pore space model of the Indiana Limestone. Microvortexes in the pores are considered as the main mechanism of acoustic noise generation by gas flow. The presented numerical simulations on COMSOL Multiphysics show that the generation of microvortexes begins when the Reynolds number in the pores reaches 1 to 10.

Full Text

ВВЕДЕНИЕ

Анализ акустических шумов, генерируемых фильтрационным потоком в образцах горных пород, активно изучается последние десятилетия [Заславский, 2005; Заславский, 2012; Ипатов, 2004; Коротаев, 1991; Красновидов, 2005; Метелев, 2016; Николаев, 1992]. Интерес к данной теме обусловлен, в частности, развитием новых методов контроля разработки месторождений на основе регистрации акустических шумов в скважине [Ипатов, 2006; Ghalem, 2012]. В литературе предложены различные модели формирования спектра такого шума. Модели основаны на таких механизмах генерации шума, как формирование вихрей в поровом пространстве, осцилляция гранул породы, пульсация жидкости при течении по порам со случайно меняющейся формой сечения, мобилизация несвязной (остаточной) фазы. Тем не менее, вопрос о выборе физической модели и получении однозначного набора ее параметров остается открытым.

Многие экспериментальные данные свидетельствуют о том, что характерные особенности спектра фильтрационного потока слабо зависят от скорости фильтрации и определяются только структурой породы. Данные эффекты объясняются или резонансом колебаний частиц породы или формированием стоячих волн в длинных поровых каналах. Например, согласно модели из работы [Овчинников, 2004], акустический шум генерируется колебаниями отдельных гранул скелета породы, а спектр шума соответствует набору частот колеблющихся гранул. В работе [Красновидов, 2005], поровое пространство представляется в виде пучка извилистых капилляров и предполагается, что спектр акустического шума определяется частотами их собственных колебаний. Однако типичные частоты акустического шума в диапазоне 5 MathType@MTEF@5@5@+= feaahqart1ev3aqatCvAUfeBSn0BKvguHDwzZbqefauqYLwySbsvUL 2yVrwzG00uaeXatLxBI9gBamXvP5wqSXMqHnxAJn0BKvguHDwzZbqe gm0B1jxALjhiov2DaeHbuLwBLnhiov2DGi1BTfMBaebbnrfifHhDYf gasaacH8srps0lbbf9q8WrFfeuY=Hhbbf9v8qqaqFr0xc9pk0xbba9 q8WqFfea0=yr0RYxir=Jbba9q8aq0=yq=He9q8qqQ8frFve9Fve9Ff 0dmeaabaqaciGacaGaaeqabaWaaqaafaaakeaaryqqYLwySbacgaqc LbwaqaaaaaaaaaWdbiaa=nbiaaa@4556@ 20 кГц [Ипатов, 2004; Метелев, 2016; Николаев, 1992] могут быть воспроизведены только длинными поровыми каналами около 1.5 MathType@MTEF@5@5@+= feaahqart1ev3aqatCvAUfeBSn0BKvguHDwzZbqefauqYLwySbsvUL 2yVrwzG00uaeXatLxBI9gBamXvP5wqSXMqHnxAJn0BKvguHDwzZbqe gm0B1jxALjhiov2DaeHbuLwBLnhiov2DGi1BTfMBaebbnrfifHhDYf gasaacH8srps0lbbf9q8WrFfeuY=Hhbbf9v8qqaqFr0xc9pk0xbba9 q8WqFfea0=yr0RYxir=Jbba9q8aq0=yq=He9q8qqQ8frFve9Fve9Ff 0dmeaabaqaciGacaGaaeqabaWaaqaafaaakeaaryqqYLwySbacgaqc LbwaqaaaaaaaaaWdbiaa=nbiaaa@4556@ 3 см.

С другой стороны, активно разрабатываются модели [Blunt, 2002; van Dijke, 2002], основанные на представлении порового пространства породы как совокупности тел пор, связанных между собой горлышками с некоторой идеализированной геометрией. Такое сочетание тела поры и горлышка соответствует резонатору Гельмгольца [Rayleigh, 1896; Lamb, 1910], который при эквивалентной эффективной длине имеет резонансные частоты ниже, чем собственные частоты труб. Ранее модель пористой среды с одиночными внутренними резонаторами Гельмгольца рассматривалась автором [Boutin, 2013]. Однако все резонаторы в этой модели предполагались гидродинамически несвязанными, и исследовалось только влияние резонаторов на дисперсию акустических волн.

В данной работе предложена новая модель, основанная на рассмотрении порового пространства как ансамбля взаимосвязанных внутренних резонаторов Гельмгольца, с помощью которой удалось лучше воспроизвести особенности спектра экспериментально зарегистрированного шума при фильтрации газа через пористые среды.

Приведено сравнение спектра акустического шума, измеренного в лабораторном эксперименте по фильтрации азота через образец известняка Indiana Limestone, и результатов расчета спектра собственных частот порового пространства данного известняка.

1. МОДЕЛЬ ПОРОВОГО ПРОСТРАНСТВА КАК АНСАМБЛЬ ВЗАИМОСВЯЗАННЫХ ВНУТРЕННИХ РЕЗОНАТОРОВ

Общепринятая теория резонатора Гельмгольца разработана [Rayleigh, 1896; Lamb, 1910] в предположениях, что вся кинетическая энергия сосредоточена в горлышке, а длина звуковой волны много больше длины резонатора. Последнее предположение позволяет считать, что сжатие флюида происходит равномерно во всем объеме тела поры, а флюид в горлышке резонатора несжимаем. Тогда кинетическая энергия флюида в горлышке резонатора равна [Rayleigh, 1896; Lamb, 1910]:

 

T= 1 2 ρ 0 K q ˙ 2 , MathType@MTEF@5@5@+= feaahqart1ev3aqatCvAUfeBSjuyZL2yd9gzLbvyNv2CaerbuLwBLn hiov2DGi1BTfMBaeXatLxBI9gBaeXafv3ySLgzGmvETj2BSbqefm0B 1jxALjhiov2DaebbnrfifHhDYfgasaacHOaM0xg9vrFfpeea0xh9v8 qiW7rqqrFfpeea0xe9Lq=Jc9vqaqpepm0xbba9pwe9Q8fs0=yqaqpe pae9pg0FirpepeKkFr0xfr=xfr=xb9adbaqaaeGacaGaamaabeqaaq aabaqbaaGcbaGaamivaiaaykW7cqGH9aqpcaaMc8UaaGPaVpaalaaa baGaaGymaaqaaiaaikdaaaWaaSaaaeaacqaHbpGCdaWgaaWcbaGaaG imaaqabaaakeaacaWGlbWaaSbaaSqaaaqabaaaaOWaaeWaaeaaceWG XbGbaiaaaiaawIcacaGLPaaadaahaaWcbeqaaiaaikdaaaGccaGGSa aaaa@4DBA@

(1.1)

где: q ˙ MathType@MTEF@5@5@+= feaahqart1ev3aqatCvAUfeBSjuyZL2yd9gzLbvyNv2CaerbuLwBLn hiov2DGi1BTfMBaeXatLxBI9gBaeXafv3ySLgzGmvETj2BSbqefm0B 1jxALjhiov2DaebbnrfifHhDYfgasaacHOaM0xg9vrFfpeea0xh9v8 qiW7rqqrFfpeea0xe9Lq=Jc9vqaqpepm0xbba9pwe9Q8fs0=yqaqpe pae9pg0FirpepeKkFr0xfr=xfr=xb9adbaqaaeGacaGaamaabeqaaq aabaqbaaGcbaaeaaaaaaaaa8qaceWGXbWdayaacaaaaa@3EF0@ MathType@MTEF@5@5@+= feaahqart1ev3aqatCvAUfeBSn0BKvguHDwzZbqefauqYLwySbsvUL 2yVrwzG00uaeXatLxBI9gBamXvP5wqSXMqHnxAJn0BKvguHDwzZbqe gm0B1jxALjhiov2DaeHbuLwBLnhiov2DGi1BTfMBaebbnrfifHhDYf gasaacH8srps0lbbf9q8WrFfeuY=Hhbbf9v8qqaqFr0xc9pk0xbba9 q8WqFfea0=yr0RYxir=Jbba9q8aq0=yq=He9q8qqQ8frFve9Fve9Ff 0dmeaabaqaciGacaGaaeqabaWaaqaafaaakeaaryqqYLwySbacgaqc LbwaqaaaaaaaaaWdbiaa=nbiaaa@4556@ объемный поток (расход) флюида через горлышко резонатора; K MathType@MTEF@5@5@+= feaahqart1ev3aqatCvAUfeBSn0BKvguHDwzZbqefauqYLwySbsvUL 2yVrwzG00uaeXatLxBI9gBamXvP5wqSXMqHnxAJn0BKvguHDwzZbqe gm0B1jxALjhiov2DaeHbuLwBLnhiov2DGi1BTfMBaebbnrfifHhDYf gasaacH8srps0lbbf9q8WrFfeuY=Hhbbf9v8qqaqFr0xc9pk0xbba9 q8WqFfea0=yr0RYxir=Jbba9q8aq0=yq=He9q8qqQ8frFve9Fve9Ff 0dmeaabaqaciGacaGaaeqabaWaaqaafaaakeaaryqqYLwySbacgaqc LbwaqaaaaaaaaaWdbiaa=nbiaaa@4556@ проводимость горлышка, зависящая от его геометрии и шероховатости стенок; ρ 0 MathType@MTEF@5@5@+= feaahqart1ev3aqatCvAUfeBSjuyZL2yd9gzLbvyNv2CaerbuLwBLn hiov2DGi1BTfMBaeXatLxBI9gBaeXafv3ySLgzGmvETj2BSbqefm0B 1jxALjhiov2DaebbnrfifHhDYfgasaacHOaM0xg9vrFfpeea0xh9v8 qiW7rqqrFfpeea0xe9Lq=Jc9vqaqpepm0xbba9pwe9Q8fs0=yqaqpe pae9pg0FirpepeKkFr0xfr=xfr=xb9adbaqaaeGacaGaamaabeqaaq aabaqbaaGcbaaeaaaaaaaaa8qacqaHbpGCpaWaaSbaaSqaa8qacaaI Waaapaqabaaaaa@40B6@ MathType@MTEF@5@5@+= feaahqart1ev3aqatCvAUfeBSn0BKvguHDwzZbqefauqYLwySbsvUL 2yVrwzG00uaeXatLxBI9gBamXvP5wqSXMqHnxAJn0BKvguHDwzZbqe gm0B1jxALjhiov2DaeHbuLwBLnhiov2DGi1BTfMBaebbnrfifHhDYf gasaacH8srps0lbbf9q8WrFfeuY=Hhbbf9v8qqaqFr0xc9pk0xbba9 q8WqFfea0=yr0RYxir=Jbba9q8aq0=yq=He9q8qqQ8frFve9Fve9Ff 0dmeaabaqaciGacaGaaeqabaWaaqaafaaakeaaryqqYLwySbacgaqc LbwaqaaaaaaaaaWdbiaa=nbiaaa@4556@ плотность флюида.

Приток флюида объема q в тело резонатора ведет к приращению δp-давления находящегося в нем флюида:

 

δp β 1 q V 0 = C s 2 ρ 0 q V 0 , MathType@MTEF@5@5@+= feaahqart1ev3aqatCvAUfeBSjuyZL2yd9gzLbvyNv2CaerbuLwBLn hiov2DGi1BTfMBaeXatLxBI9gBaeXafv3ySLgzGmvETj2BSbqefm0B 1jxALjhiov2DaebbnrfifHhDYfgasaacHOaM0xg9vrFfpeea0xh9v8 qiW7rqqrFfpeea0xe9Lq=Jc9vqaqpepm0xbba9pwe9Q8fs0=yqaqpe pae9pg0FirpepeKkFr0xfr=xfr=xb9adbaqaaeGacaGaamaabeqaaq aabaqbaaGcbaGaeqiTdqMaamiCaiaaykW7cqGHijYUcaaMc8UaaGPa Vlabek7aInaaCaaaleqabaGaeyOeI0IaaGymaaaakmaalaaabaGaam yCaaqaaiaadAfadaWgaaWcbaGaaGimaaqabaaaaOGaaGPaVlaaysW7 cWaDaAypa0JaaGPaVlaaykW7caWGdbWaa0baaSqaaiaadohaaeaaca aIYaaaaOGaeqyWdi3aaSbaaSqaaiaaicdaaeqaaOWaaSaaaeaacaWG XbaabaGaamOvamaaBaaaleaacaaIWaaabeaaaaGccaGGSaaaaa@5E13@

(1.2)

где: β MathType@MTEF@5@5@+= feaahqart1ev3aqatCvAUfeBSjuyZL2yd9gzLbvyNv2CaerbuLwBLn hiov2DGi1BTfMBaeXatLxBI9gBaeXafv3ySLgzGmvETj2BSbqefm0B 1jxALjhiov2DaebbnrfifHhDYfgasaacHOaM0xg9vrFfpeea0xh9v8 qiW7rqqrFfpeea0xe9Lq=Jc9vqaqpepm0xbba9pwe9Q8fs0=yqaqpe pae9pg0FirpepeKkFr0xfr=xfr=xb9adbaqaaeGacaGaamaabeqaaq aabaqbaaGcbaaeaaaaaaaaa8qacqaHYoGyaaa@3F83@ MathType@MTEF@5@5@+= feaahqart1ev3aqatCvAUfeBSn0BKvguHDwzZbqefauqYLwySbsvUL 2yVrwzG00uaeXatLxBI9gBamXvP5wqSXMqHnxAJn0BKvguHDwzZbqe gm0B1jxALjhiov2DaeHbuLwBLnhiov2DGi1BTfMBaebbnrfifHhDYf gasaacH8srps0lbbf9q8WrFfeuY=Hhbbf9v8qqaqFr0xc9pk0xbba9 q8WqFfea0=yr0RYxir=Jbba9q8aq0=yq=He9q8qqQ8frFve9Fve9Ff 0dmeaabaqaciGacaGaaeqabaWaaqaafaaakeaaryqqYLwySbacgaqc LbwaqaaaaaaaaaWdbiaa=nbiaaa@4556@ сжимаемость флюида; V 0 MathType@MTEF@5@5@+= feaahqart1ev3aqatCvAUfeBSjuyZL2yd9gzLbvyNv2CaerbuLwBLn hiov2DGi1BTfMBaeXatLxBI9gBaeXafv3ySLgzGmvETj2BSbqefm0B 1jxALjhiov2DaebbnrfifHhDYfgasaacHOaM0xg9vrFfpeea0xh9v8 qiW7rqqrFfpeea0xe9Lq=Jc9vqaqpepm0xbba9pwe9Q8fs0=yqaqpe pae9pg0FirpepeKkFr0xfr=xfr=xb9adbaqaaeGacaGaamaabeqaaq aabaqbaaGcbaaeaaaaaaaaa8qacaWGwbWdamaaBaaaleaapeGaaGim aaWdaeqaaaaa@3FD1@ MathType@MTEF@5@5@+= feaahqart1ev3aqatCvAUfeBSn0BKvguHDwzZbqefauqYLwySbsvUL 2yVrwzG00uaeXatLxBI9gBamXvP5wqSXMqHnxAJn0BKvguHDwzZbqe gm0B1jxALjhiov2DaeHbuLwBLnhiov2DGi1BTfMBaebbnrfifHhDYf gasaacH8srps0lbbf9q8WrFfeuY=Hhbbf9v8qqaqFr0xc9pk0xbba9 q8WqFfea0=yr0RYxir=Jbba9q8aq0=yq=He9q8qqQ8frFve9Fve9Ff 0dmeaabaqaciGacaGaaeqabaWaaqaafaaakeaaryqqYLwySbacgaqc LbwaqaaaaaaaaaWdbiaa=nbiaaa@4556@ объем тела резонатора; C s MathType@MTEF@5@5@+= feaahqart1ev3aqatCvAUfeBSjuyZL2yd9gzLbvyNv2CaerbuLwBLn hiov2DGi1BTfMBaeXatLxBI9gBaeXafv3ySLgzGmvETj2BSbqefm0B 1jxALjhiov2DaebbnrfifHhDYfgasaacHOaM0xg9vrFfpeea0xh9v8 qiW7rqqrFfpeea0xe9Lq=Jc9vqaqpepm0xbba9pwe9Q8fs0=yqaqpe pae9pg0FirpepeKkFr0xfr=xfr=xb9adbaqaaeGacaGaamaabeqaaq aabaqbaaGcbaaeaaaaaaaaa8qacaWGdbWdamaaBaaaleaapeGaam4C aaWdaeqaaaaa@3FFC@ MathType@MTEF@5@5@+= feaahqart1ev3aqatCvAUfeBSn0BKvguHDwzZbqefauqYLwySbsvUL 2yVrwzG00uaeXatLxBI9gBamXvP5wqSXMqHnxAJn0BKvguHDwzZbqe gm0B1jxALjhiov2DaeHbuLwBLnhiov2DGi1BTfMBaebbnrfifHhDYf gasaacH8srps0lbbf9q8WrFfeuY=Hhbbf9v8qqaqFr0xc9pk0xbba9 q8WqFfea0=yr0RYxir=Jbba9q8aq0=yq=He9q8qqQ8frFve9Fve9Ff 0dmeaabaqaciGacaGaaeqabaWaaqaafaaakeaaryqqYLwySbacgaqc LbwaqaaaaaaaaaWdbiaa=nbiaaa@4556@ скорость звука.

Потенциальная энергия резонатора приближенно определяется как [Rayleigh, 1896]:

 

U= 1 2 δpδV= 1 2 C s 2 ρ 0 q 2 V 0 . MathType@MTEF@5@5@+= feaahqart1ev3aqatCvAUfeBSjuyZL2yd9gzLbvyNv2CaerbuLwBLn hiov2DGi1BTfMBaeXatLxBI9gBaeXafv3ySLgzGmvETj2BSbqefm0B 1jxALjhiov2DaebbnrfifHhDYfgasaacHOaM0xg9vrFfpeea0xh9v8 qiW7rqqrFfpeea0xe9Lq=Jc9vqaqpepm0xbba9pwe9Q8fs0=yqaqpe pae9pg0FirpepeKkFr0xfr=xfr=xb9adbaqaaeGacaGaamaabeqaaq aabaqbaaGcbaGaamyvaiaaykW7cqGH9aqpcaaMc8+aaSaaaeaacaaI XaaabaGaaGOmaaaacqaH0oazcaWGWbGaeqiTdqMaamOvaiaaykW7cq GH9aqpcaaMc8+aaSaaaeaacaaIXaaabaGaaGOmaaaacaWGdbWaa0ba aSqaaiaadohaaeaacaaIYaaaaOGaeqyWdi3aaSbaaSqaaiaaicdaae qaaOWaaSaaaeaacaWGXbWaaWbaaSqabeaacaaIYaaaaaGcbaGaamOv amaaBaaaleaacaaIWaaabeaaaaGccaGGUaaaaa@58D5@

(1.3)

Вязкое демпфирование введем в предположении, что в горлышке имеет место ламинарное течение несжимаемого ньютоновского флюида, используя условие прилипания флюида на стенке горлышка. Тогда сила вязкого трения в горлышке записывается в виде:

 

F vis = χμ SK q ˙ , MathType@MTEF@5@5@+= feaahqart1ev3aqatCvAUfeBSjuyZL2yd9gzLbvyNv2CaerbuLwBLn hiov2DGi1BTfMBaeXatLxBI9gBaeXafv3ySLgzGmvETj2BSbqefm0B 1jxALjhiov2DaebbnrfifHhDYfgasaacHOaM0xg9vrFfpeea0xh9v8 qiW7rqqrFfpeea0xe9Lq=Jc9vqaqpepm0xbba9pwe9Q8fs0=yqaqpe pae9pg0FirpepeKkFr0xfr=xfr=xb9adbaqaaeGacaGaamaabeqaaq aabaqbaaGcbaGaamOramaaDaaaleaaaeaacaWG2bGaamyAaiaadoha aaGccaaMc8Uaeyypa0JaaGPaVlabgkHiTmaalaaabaGaeq4XdmMaeq iVd0gabaGaam4uaiaadUeaaaGabmyCayaacaGaaiilaaaa@4D82@

(1.4)

где: μ MathType@MTEF@5@5@+= feaahqart1ev3aqatCvAUfeBSn0BKvguHDwzZbqefauqYLwySbsvUL 2yVrwzG00uaeXatLxBI9gBamXvP5wqSXMqHnxAJn0BKvguHDwzZbqe gm0B1jxALjhiov2DaeHbuLwBLnhiov2DGi1BTfMBaebbnrfifHhDYf gasaacH8srps0lbbf9q8WrFfeuY=Hhbbf9v8qqaqFr0xc9pk0xbba9 q8WqFfea0=yr0RYxir=Jbba9q8aq0=yq=He9q8qqQ8frFve9Fve9Ff 0dmeaabaqaciGacaGaaeqabaWaaqaafaaakeaaryqqYLwySbacgaqc LbwaqaaaaaaaaaWdbiaa=nbiaaa@4556@ вязкость флюида, χ MathType@MTEF@5@5@+= feaahqart1ev3aqatCvAUfeBSjuyZL2yd9gzLbvyNv2CaerbuLwBLn hiov2DGi1BTfMBaeXatLxBI9gBaeXafv3ySLgzGmvETj2BSbqefm0B 1jxALjhiov2DaebbnrfifHhDYfgasaacHOaM0xg9vrFfpeea0xh9v8 qiW7rqqrFfpeea0xe9Lq=Jc9vqaqpepm0xbba9pwe9Q8fs0=yqaqpe pae9pg0FirpepeKkFr0xfr=xfr=xb9adbaqaaeGacaGaamaabeqaaq aabaqbaaGcbaaeaaaaaaaaa8qacqaHhpWyaaa@3F99@ MathType@MTEF@5@5@+= feaahqart1ev3aqatCvAUfeBSn0BKvguHDwzZbqefauqYLwySbsvUL 2yVrwzG00uaeXatLxBI9gBamXvP5wqSXMqHnxAJn0BKvguHDwzZbqe gm0B1jxALjhiov2DaeHbuLwBLnhiov2DGi1BTfMBaebbnrfifHhDYf gasaacH8srps0lbbf9q8WrFfeuY=Hhbbf9v8qqaqFr0xc9pk0xbba9 q8WqFfea0=yr0RYxir=Jbba9q8aq0=yq=He9q8qqQ8frFve9Fve9Ff 0dmeaabaqaciGacaGaaeqabaWaaqaafaaakeaaryqqYLwySbacgaqc LbwaqaaaaaaaaaWdbiaa=nbiaaa@4556@ коэффициент, зависящий от геометрии горлышка (для цилиндрического горлышка χ=8π); MathType@MTEF@5@5@+= feaahqart1ev3aqatCvAUfeBSjuyZL2yd9gzLbvyNv2CaerbuLwBLn hiov2DGi1BTfMBaeXatLxBI9gBaeXafv3ySLgzGmvETj2BSbqefm0B 1jxALjhiov2DaebbnrfifHhDYfgasaacHOaM0xg9vrFfpeea0xh9v8 qiW7rqqrFfpeea0xe9Lq=Jc9vqaqpepm0xbba9pwe9Q8fs0=yqaqpe pae9pg0FirpepeKkFr0xfr=xfr=xb9adbaqaaeGacaGaamaabeqaaq aabaqbaaGcbaaeaaaaaaaaa8qacqaHhpWycqGH9aqpcaaI4aGaeqiW daNaaiykaiaacUdaaaa@448A@ S MathType@MTEF@5@5@+= feaahqart1ev3aqatCvAUfeBSn0BKvguHDwzZbqefauqYLwySbsvUL 2yVrwzG00uaeXatLxBI9gBamXvP5wqSXMqHnxAJn0BKvguHDwzZbqe gm0B1jxALjhiov2DaeHbuLwBLnhiov2DGi1BTfMBaebbnrfifHhDYf gasaacH8srps0lbbf9q8WrFfeuY=Hhbbf9v8qqaqFr0xc9pk0xbba9 q8WqFfea0=yr0RYxir=Jbba9q8aq0=yq=He9q8qqQ8frFve9Fve9Ff 0dmeaabaqaciGacaGaaeqabaWaaqaafaaakeaaryqqYLwySbacgaqc LbwaqaaaaaaaaaWdbiaa=nbiaaa@4556@ эффективная площадь его поперечного сечения.

Используя уравнение Лагранжа [Стрелков, 1964]:

 

d dt L q ˙ L q = F vis ,L=TU, MathType@MTEF@5@5@+= feaahqart1ev3aqatCvAUfeBSjuyZL2yd9gzLbvyNv2CaerbuLwBLn hiov2DGi1BTfMBaeXatLxBI9gBaeXafv3ySLgzGmvETj2BSbqefm0B 1jxALjhiov2DaebbnrfifHhDYfgasaacHOaM0xg9vrFfpeea0xh9v8 qiW7rqqrFfpeea0xe9Lq=Jc9vqaqpepm0xbba9pwe9Q8fs0=yqaqpe pae9pg0FirpepeKkFr0xfr=xfr=xb9adbaqaaeGacaGaamaabeqaaq aabaqbaaGcbaaeaaaaaaaaa8qadaWcaaWdaeaapeGaamizaaWdaeaa peGaamizaiaadshaaaWaaeWaa8aabaWdbmaalaaapaqaa8qacqGHci ITcaWGmbaapaqaa8qacqGHciITceWGXbWdayaacaaaaaWdbiaawIca caGLPaaacqGHsisldaWcaaWdaeaapeGaeyOaIyRaamitaaWdaeaape GaeyOaIyRaamyCaaaacqGH9aqpcaWGgbWdamaaCaaaleqabaWdbiaa dAhacaWGPbGaam4Caaaak8aacaGGSaGaaGzbV=qacaWGmbGaeyypa0 JaamivaiabgkHiTiaadwfacaGGSaaaaa@5A06@

(1.5)

получаем дифференциальное уравнение движение вида:

q ¨ +2 q ˙ + ω 0 2 q=0,2γ= χμ ρ 0 S , ω 0 2 = C S 2 K V 0 . MathType@MTEF@5@5@+= feaahqart1ev3aqatCvAUfeBSjuyZL2yd9gzLbvyNv2CaerbuLwBLn hiov2DGi1BTfMBaeXatLxBI9gBaeXafv3ySLgzGmvETj2BSbqefm0B 1jxALjhiov2DaebbnrfifHhDYfgasaacHOaM0xg9vrFfpeea0xh9v8 qiW7rqqrFfpeea0xe9Lq=Jc9vqaqpepm0xbba9pwe9Q8fs0=yqaqpe pae9pg0FirpepeKkFr0xfr=xfr=xb9adbaqaaeGacaGaamaabeqaaq aabaqbaaGcbaaeaaaaaaaaa8qaceWGXbGbamaacqGHRaWkcaaIYaGa bmyCa8aagaGaa8qacqGHRaWkcqaHjpWDpaWaa0baaSqaa8qacaaIWa aapaqaa8qacaaIYaaaaOGaamyCaiabg2da9iaaicdacaGGSaGaaGzb VlaaikdacqaHZoWzcqGH9aqpdaWcaaWdaeaacqaHhpWycqaH8oqBae aacqaHbpGCdaWgaaWcbaWdbiaaicdaa8aabeaak8qacaWGtbaaaiaa cYcacaaMf8UaeqyYdC3damaaDaaaleaapeGaaGimaaWdaeaapeGaaG Omaaaakiabg2da9iaaboeapaWaa0baaSqaa8qacaWGtbaapaqaa8qa caaIYaaaaOWaaSaaa8aabaWdbiaadUeaa8aabaWdbiaadAfapaWaaS baaSqaa8qacaaIWaaapaqabaaaaOWdbiaac6caaaa@637C@ (1.6)

Обратим внимание, что коэффициент затухания ? зависит не только от вязкости флюида, но и от его средней плотности, которая, в свою очередь, определяется средним давлением в резонаторе ρ0 = ρ0(p0).

Далее, по аналогии с «сеточной моделью» [Blunt, 2002; van Dijke, 2002], воспроизведем поровое пространство в виде системы взаимосвязанных резонаторов Гельмгольца. Пусть N MathType@MTEF@5@5@+= feaahqart1ev3aqatCvAUfeBSn0BKvguHDwzZbqefauqYLwySbsvUL 2yVrwzG00uaeXatLxBI9gBamXvP5wqSXMqHnxAJn0BKvguHDwzZbqe gm0B1jxALjhiov2DaeHbuLwBLnhiov2DGi1BTfMBaebbnrfifHhDYf gasaacH8srps0lbbf9q8WrFfeuY=Hhbbf9v8qqaqFr0xc9pk0xbba9 q8WqFfea0=yr0RYxir=Jbba9q8aq0=yq=He9q8qqQ8frFve9Fve9Ff 0dmeaabaqaciGacaGaaeqabaWaaqaafaaakeaaryqqYLwySbacgiqc LbwaqaaaaaaaaaWdbiaa=nbiaaa@4558@ общее число горлышек. Для исследования собственных колебаний в системе резонаторов воспользуемся методом Лагранжа [Стрелков, 1964], в качестве обобщенных координат примем объемы флюидов q i , MathType@MTEF@5@5@+= feaahqart1ev3aqatCvAUfeBSjuyZL2yd9gzLbvyNv2CaerbuLwBLn hiov2DGi1BTfMBaeXatLxBI9gBaeXafv3ySLgzGmvETj2BSbqefm0B 1jxALjhiov2DaebbnrfifHhDYfgasaacHOaM0xg9vrFfpeea0xh9v8 qiW7rqqrFfpeea0xe9Lq=Jc9vqaqpepm0xbba9pwe9Q8fs0=yqaqpe pae9pg0FirpepeKkFr0xfr=xfr=xb9adbaqaaeGacaGaamaabeqaaq aabaqbaaGcbaaeaaaaaaaaa8qacaWGXbWdamaaBaaaleaapeGaamyA aaWdaeqaaOGaaiilaaaa@40DA@ прошедших через горлышки.

Предполагая скорость флюида в теле пор пренебрежимо малой, представим общую кинетическую энергию и обобщенную силу трения системы как суммы соответствующих значений в каждом горлышке:

T= i=1 N T i , MathType@MTEF@5@5@+= feaahqart1ev3aqatCvAUfeBSjuyZL2yd9gzLbvyNv2CaerbuLwBLn hiov2DGi1BTfMBaeXatLxBI9gBaeXafv3ySLgzGmvETj2BSbqefm0B 1jxALjhiov2DaebbnrfifHhDYfgasaacHOaM0xg9vrFfpeea0xh9v8 qiW7rqqrFfpeea0xe9Lq=Jc9vqaqpepm0xbba9pwe9Q8fs0=yqaqpe pae9pg0FirpepeKkFr0xfr=xfr=xb9adbaqaaeGacaGaamaabeqaaq aabaqbaaGcbaGaamivaiaaykW7cqGH9aqpdaaeWbqaaiaadsfadaWg aaWcbaGaamyAaaqabaaabaGaamyAaiabg2da9iaaigdaaeaacaWGob aaniabggHiLdGccaGGSaaaaa@4992@ F vis = i=1 N F i vis . MathType@MTEF@5@5@+= feaahqart1ev3aqatCvAUfeBSjuyZL2yd9gzLbvyNv2CaerbuLwBLn hiov2DGi1BTfMBaeXatLxBI9gBaeXafv3ySLgzGmvETj2BSbqefm0B 1jxALjhiov2DaebbnrfifHhDYfgasaacHOaM0xg9vrFfpeea0xh9v8 qiW7rqqrFfpeea0xe9Lq=Jc9vqaqpepm0xbba9pwe9Q8fs0=yqaqpe pae9pg0FirpepeKkFr0xfr=xfr=xb9adbaqaaeGacaGaamaabeqaaq aabaqbaaGcbiqaaqmfcaWGgbWaaWbaaSqabeaacaWG2bGaamyAaiaa dohaaaGccaaMc8Uaeyypa0JaaGPaVpaaqahabaGaamOramaaDaaale aacaWGPbaabaGaamODaiaadMgacaWGZbaaaaqaaiaadMgacqGH9aqp caaIXaaabaGaamOtaaqdcqGHris5aOGaaiOlaaaa@51D8@ (1.7)

Общая потенциальная энергия системы зависит от величины и направления смещений флюида во входящих и исходящих горлышках каждой поры и может быть вычислена по следующей форме:

 

U= 1 2 C s 2 ρ 0 i,j=1 N Λ ij q i q j , MathType@MTEF@5@5@+= feaahqart1ev3aqatCvAUfeBSjuyZL2yd9gzLbvyNv2CaerbuLwBLn hiov2DGi1BTfMBaeXatLxBI9gBaeXafv3ySLgzGmvETj2BSbqefm0B 1jxALjhiov2DaebbnrfifHhDYfgasaacHOaM0xg9vrFfpeea0xh9v8 qiW7rqqrFfpeea0xe9Lq=Jc9vqaqpepm0xbba9pwe9Q8fs0=yqaqpe pae9pg0FirpepeKkFr0xfr=xfr=xb9adbaqaaeGacaGaamaabeqaaq aabaqbaaGcbaGaamyvaiaaykW7cqGH9aqpcaaMc8+aaSaaaeaacaaI XaaabaGaaGOmaaaacaWGdbWaa0baaSqaaiaadohaaeaacaaIYaaaaO GaeqyWdi3aaSbaaSqaaiaaicdaaeqaaOWaaabCaeaacqqHBoatdaWg aaWcbaGaamyAaiaadQgaaeqaaOGaamyCamaaBaaaleaacaWGPbaabe aakiaadghadaWgaaWcbaGaamOAaaqabaaabaGaamyAaiaacYcacaWG QbGaeyypa0JaaGymaaqaaiaad6eaa0GaeyyeIuoakiaacYcaaaa@5967@

(1.8)

где: коэффициенты Λ ij = V m 1 , MathType@MTEF@5@5@+= feaahqart1ev3aqatCvAUfeBSjuyZL2yd9gzLbvyNv2CaerbuLwBLn hiov2DGi1BTfMBaeXatLxBI9gBaeXafv3ySLgzGmvETj2BSbqefm0B 1jxALjhiov2DaebbnrfifHhDYfgasaacHOaM0xg9vrFfpeea0xh9v8 qiW7rqqrFfpeea0xe9Lq=Jc9vqaqpepm0xbba9pwe9Q8fs0=yqaqpe pae9pg0FirpepeKkFr0xfr=xfr=xb9adbaqaaeGacaGaamaabeqaaq aabaqbaaGcbaaeaaaaaaaaa8qacqqHBoatpaWaaSbaaSqaa8qacaWG PbGaamOAaaWdaeqaaOWdbiabg2da9iaadAfapaWaa0baaSqaa8qaca WGTbaapaqaa8qacqGHsislcaaIXaaaaOWdaiaacYcaaaa@4757@ если оба горлышка i и j связаны с телом поры m; Λ ij =0, MathType@MTEF@5@5@+= feaahqart1ev3aqatCvAUfeBSjuyZL2yd9gzLbvyNv2CaerbuLwBLn hiov2DGi1BTfMBaeXatLxBI9gBaeXafv3ySLgzGmvETj2BSbqefm0B 1jxALjhiov2DaebbnrfifHhDYfgasaacHOaM0xg9vrFfpeea0xh9v8 qiW7rqqrFfpeea0xe9Lq=Jc9vqaqpepm0xbba9pwe9Q8fs0=yqaqpe pae9pg0FirpepeKkFr0xfr=xfr=xb9adbaqaaeGacaGaamaabeqaaq aabaqbaaGcbaaeaaaaaaaaa8qacqqHBoatpaWaaSbaaSqaa8qacaWG PbGaamOAaaWdaeqaaOWdbiabg2da9iaaicdacaGGSaaaaa@4418@ если ij MathType@MTEF@5@5@+= feaahqart1ev3aqatCvAUfeBSjuyZL2yd9gzLbvyNv2CaerbuLwBLn hiov2DGi1BTfMBaeXatLxBI9gBaeXafv3ySLgzGmvETj2BSbqefm0B 1jxALjhiov2DaebbnrfifHhDYfgasaacHOaM0xg9vrFfpeea0xh9v8 qiW7rqqrFfpeea0xe9Lq=Jc9vqaqpepm0xbba9pwe9Q8fs0=yqaqpe pae9pg0FirpepeKkFr0xfr=xfr=xb9adbaqaaeGacaGaamaabeqaaq aabaqbaaGcbaaeaaaaaaaaa8qacaWGPbGaeyiyIKRaamOAaaaa@4186@ и горлышки i, j не связаны одним телом поры.

Подставляя (1.7) и (1.8) в уравнение Лагранжа получаем систему из N дифференциальных уравнений второго порядка, определяющих N переменных q i : MathType@MTEF@5@5@+= feaahqart1ev3aqatCvAUfeBSjuyZL2yd9gzLbvyNv2CaerbuLwBLn hiov2DGi1BTfMBaeXatLxBI9gBaeXafv3ySLgzGmvETj2BSbqefm0B 1jxALjhiov2DaebbnrfifHhDYfgasaacHOaM0xg9vrFfpeea0xh9v8 qiW7rqqrFfpeea0xe9Lq=Jc9vqaqpepm0xbba9pwe9Q8fs0=yqaqpe pae9pg0FirpepeKkFr0xfr=xfr=xb9adbaqaaeGacaGaamaabeqaaq aabaqbaaGcbaaeaaaaaaaaa8qacaWGXbWdamaaBaaaleaapeGaamyA aaWdaeqaaOGaiGdGcQdaaaa@41A8@

 

j=1 N k ij q ¨ j + γ ij q ˙ j + α ij q j =0,i= 1,N ¯ . MathType@MTEF@5@5@+= feaahqart1ev3aqatCvAUfeBSjuyZL2yd9gzLbvyNv2CaerbuLwBLn hiov2DGi1BTfMBaeXatLxBI9gBaeXafv3ySLgzGmvETj2BSbqefm0B 1jxALjhiov2DaebbnrfifHhDYfgasaacHOaM0xg9vrFfpeea0xh9v8 qiW7rqqrFfpeea0xe9Lq=Jc9vqaqpepm0xbba9pwe9Q8fs0=yqaqpe pae9pg0FirpepeKkFr0xfr=xfr=xb9adbaqaaeGacaGaamaabeqaaq aabaqbaaGcbaWaaabCaeaacaWGRbWaaSbaaSqaaiaadMgacaWGQbaa beaaaeaacaWGQbGaeyypa0JaaGymaaqaaiaad6eaa0GaeyyeIuoaki qadghagaWaamaaBaaaleaacaWGQbaabeaakiaaykW7cqGHRaWkcaaM c8Uaeq4SdC2aaSbaaSqaaiaadMgacaWGQbaabeaakiqadghagaGaam aaBaaaleaacaWGQbaabeaakiaaykW7caaMc8Uaey4kaSIaaGPaVlab eg7aHnaaBaaaleaacaWGPbGaamOAaaqabaGccaWGXbWaaSbaaSqaai aadQgaaeqaaOGaaGPaVlabg2da9iaaykW7caaIWaGaaGPaVlaacYca caaMc8UaaGPaVlaaykW7caWGPbGaaGPaVlabg2da9maanaaabaGaaG PaVlaaigdacaGGSaGaamOtaaaacaGGUaaaaa@7187@

(1.9)

Подстановка в (1.9) решения вида:

 

q i = A i e λt ,i= 1,N ¯ , MathType@MTEF@5@5@+= feaahqart1ev3aqatCvAUfeBSjuyZL2yd9gzLbvyNv2CaerbuLwBLn hiov2DGi1BTfMBaeXatLxBI9gBaeXafv3ySLgzGmvETj2BSbqefm0B 1jxALjhiov2DaebbnrfifHhDYfgasaacHOaM0xg9vrFfpeea0xh9v8 qiW7rqqrFfpeea0xe9Lq=Jc9vqaqpepm0xbba9pwe9Q8fs0=yqaqpe pae9pg0FirpepeKkFr0xfr=xfr=xb9adbaqaaeGacaGaamaabeqaaq aabaqbaaGcbaGaamyCamaaBaaaleaacaWGPbaabeaakiaaykW7cqGH 9aqpcaaMc8UaamyqamaaBaaaleaacaWGPbaabeaakiaadwgadaahaa WcbeqaaiabeU7aSjaadshaaaGccaaMc8UaaiilaiaaykW7caaMc8Ua aGPaVlaadMgacaaMc8Uaeyypa0Zaa0aaaeaacaaMc8UaaGymaiaacY cacaWGobaaaiaacYcaaaa@5895@

(1.10)

дает систему из N линейных уравнений для амплитуд A i : MathType@MTEF@5@5@+= feaahqart1ev3aqatCvAUfeBSjuyZL2yd9gzLbvyNv2CaerbuLwBLn hiov2DGi1BTfMBaeXatLxBI9gBaeXafv3ySLgzGmvETj2BSbqefm0B 1jxALjhiov2DaebbnrfifHhDYfgasaacHOaM0xg9vrFfpeea0xh9v8 qiW7rqqrFfpeea0xe9Lq=Jc9vqaqpepm0xbba9pwe9Q8fs0=yqaqpe pae9pg0FirpepeKkFr0xfr=xfr=xb9adbaqaaeGacaGaamaabeqaaq aabaqbaaGcbaaeaaaaaaaaa8qacaWGbbWdamaaBaaaleaapeGaamyA aaWdaeqaaOGaiqeGcQdaaaa@4184@

 

j=1 N k ij λ 2 + γ ij λ+ α ij A j =0,i= 1,N ¯ . MathType@MTEF@5@5@+= feaahqart1ev3aqatCvAUfeBSjuyZL2yd9gzLbvyNv2CaerbuLwBLn hiov2DGi1BTfMBaeXatLxBI9gBaeXafv3ySLgzGmvETj2BSbqefm0B 1jxALjhiov2DaebbnrfifHhDYfgasaacHOaM0xg9vrFfpeea0xh9v8 qiW7rqqrFfpeea0xe9Lq=Jc9vqaqpepm0xbba9pwe9Q8fs0=yqaqpe pae9pg0FirpepeKkFr0xfr=xfr=xb9adbaqaaeGacaGaamaabeqaaq aabaqbaaGcbaWaaabCaeaadaqadaqaaiaadUgadaWgaaWcbaGaamyA aiaadQgaaeqaaOGaeq4UdW2aaWbaaSqabeaacaaIYaaaaOGaaGPaVl abgUcaRiaaykW7cqaHZoWzdaWgaaWcbaGaamyAaiaadQgaaeqaaOGa eq4UdWMaaGPaVlaaykW7cqGHRaWkcaaMc8UaeqySde2aaSbaaSqaai aadMgacaWGQbaabeaaaOGaayjkaiaawMcaaaWcbaGaamOAaiabg2da 9iaaigdaaeaacaWGobaaniabggHiLdGccaWGbbWaaSbaaSqaaiaadQ gaaeqaaOGaaGPaVlabg2da9iaaykW7caaIWaGaaGPaVlaacYcacaaM c8UaaGPaVlaaykW7caWGPbGaaGPaVlabg2da9maanaaabaGaaGPaVl aaigdacaGGSaGaamOtaaaacaGGUaaaaa@7307@

(1.11)

Условие согласованности системы (1.11):

 

D λ = k λ 2 +γλ+α =0, MathType@MTEF@5@5@+= feaahqart1ev3aqatCvAUfeBSjuyZL2yd9gzLbvyNv2CaerbuLwBLn hiov2DGi1BTfMBaeXatLxBI9gBaeXafv3ySLgzGmvETj2BSbqefm0B 1jxALjhiov2DaebbnrfifHhDYfgasaacHOaM0xg9vrFfpeea0xh9v8 qiW7rqqrFfpeea0xe9Lq=Jc9vqaqpepm0xbba9pwe9Q8fs0=yqaqpe pae9pg0FirpepeKkFr0xfr=xfr=xb9adbaqaaeGacaGaamaabeqaaq aabaqbaaGcbaGaamiramaabmaabaGaeq4UdWgacaGLOaGaayzkaaGa eyypa0ZaaqWaaeaacaWGRbGaeq4UdW2aaWbaaSqabeaacaaIYaaaaO GaaGPaVlabgUcaRiaaykW7cqaHZoWzcqaH7oaBcaaMc8UaaGPaVlab gUcaRiaaykW7cqaHXoqyaiaawEa7caGLiWoacaaMc8Uaeyypa0JaaG PaVlaaicdacaGGSaaaaa@5D82@

(1.12)

определяет набор из 2N величин λ s MathType@MTEF@5@5@+= feaahqart1ev3aaatCvAUfeBSjuyZL2yd9gzLbvyNv2CaerbuLwBLn hiov2DGi1BTfMBaeXatLxBI9gBaeXafv3ySLgzGmvETj2BSbqefm0B 1jxALjhiov2DaebbnrfifHhDYfgasaacHOaM0xg9vrFfpeea0xh9v8 qiW7rqqrFfpeea0xe9Lq=Jc9vqaqpepm0xbba9pwe9Q8fs0=yqaqpe pae9pg0FirpepeKkFr0xfr=xfr=xb9adbaqaaeGacaGaamaabeqaaq aabaqbaaGcbaaeaaaaaaaaa8qacqaH7oaBpaWaaSbaaSqaa8qacaWG Zbaapaqabaaaaa@40E7@ («собственные моды»), которые, в общем случае имеют комплексную форму:

 

λ s = δ s ±i ω s . MathType@MTEF@5@5@+= feaahqart1ev3aqatCvAUfeBSjuyZL2yd9gzLbvyNv2CaerbuLwBLn hiov2DGi1BTfMBaeXatLxBI9gBaeXafv3ySLgzGmvETj2BSbqefm0B 1jxALjhiov2DaebbnrfifHhDYfgasaacHOaM0xg9vrFfpeea0xh9v8 qiW7rqqrFfpeea0xe9Lq=Jc9vqaqpepm0xbba9pwe9Q8fs0=yqaqpe pae9pg0FirpepeKkFr0xfr=xfr=xb9adbaqaaeGacaGaamaabeqaaq aabaqbaaGcbaGaeq4UdW2aaSbaaSqaaiaadohaaeqaaOGaaGPaVlab g2da9iaaykW7cqGHsislcqaH0oazdaWgaaWcbaGaam4CaaqabaGccq GHXcqScaWGPbGaeqyYdC3aaSbaaSqaaiaadohaaeqaaOGaaiOlaaaa @4F09@

(1.13)

Амплитуды колебаний A si MathType@MTEF@5@5@+= feaahqart1ev3aqatCvAUfeBSjuyZL2yd9gzLbvyNv2CaerbuLwBLn hiov2DGi1BTfMBaeXatLxBI9gBaeXafv3ySLgzGmvETj2BSbqefm0B 1jxALjhiov2DaebbnrfifHhDYfgasaacHOaM0xg9vrFfpeea0xh9v8 qiW7rqqrFfpeea0xe9Lq=Jc9vqaqpepm0xbba9pwe9Q8fs0=yqaqpe pae9pg0FirpepeKkFr0xfr=xfr=xb9adbaqaaeGacaGaamaabeqaaq aabaqbaaGcbaaeaaaaaaaaa8qacaWGbbWdamaaBaaaleaapeGaam4C aiaadMgaa8aabeaaaaa@40E8@ в каждом горлышке, соответствующие s-й собственной моде, рассчитываются из (1.11) при подстановке λ =  λ s . MathType@MTEF@5@5@+= feaahqart1ev3aqatCvAUfeBSjuyZL2yd9gzLbvyNv2CaerbuLwBLn hiov2DGi1BTfMBaeXatLxBI9gBaeXafv3ySLgzGmvETj2BSbqefm0B 1jxALjhiov2DaebbnrfifHhDYfgasaacHOaM0xg9vrFfpeea0xh9v8 qiW7rqqrFfpeea0xe9Lq=Jc9vqaqpepm0xbba9pwe9Q8fs0=yqaqpe pae9pg0FirpepeKkFr0xfr=xfr=xb9adbaqaaeGacaGaamaabeqaaq aabaqbaaGcbaaeaaaaaaaaa8qacqaH7oaBcaGGGcGaeyypa0JaaiiO aiabeU7aS9aadaWgaaWcbaWdbiaadohaa8aabeaakiaac6caaaa@46A6@

Декремент затухания s-й моды [Стрелков, 1964]:

 

θ s =2π δ s ω s . MathType@MTEF@5@5@+= feaahqart1ev3aqatCvAUfeBSjuyZL2yd9gzLbvyNv2CaerbuLwBLn hiov2DGi1BTfMBaeXatLxBI9gBaeXafv3ySLgzGmvETj2BSbqefm0B 1jxALjhiov2DaebbnrfifHhDYfgasaacHOaM0xg9vrFfpeea0xh9v8 qiW7rqqrFfpeea0xe9Lq=Jc9vqaqpepm0xbba9pwe9Q8fs0=yqaqpe pae9pg0FirpepeKkFr0xfr=xfr=xb9adbaqaaeGacaGaamaabeqaaq aabaqbaaGcbaGaeqiUde3aaSbaaSqaaiaadohaaeqaaOGaaGPaVlab g2da9iaaykW7caaIYaGaeqiWda3aaSaaaeaacqaH0oazdaWgaaWcba Gaam4CaaqabaaakeaacqaHjpWDdaWgaaWcbaGaam4CaaqabaaaaOGa aiOlaaaa@4DCB@

(1.14)

2. МОДЕЛИРОВАНИЕ СПЕКТРА ЭКСПЕРИМЕНТАЛЬНО ИЗМЕРЕННОГО АКУСТИЧЕСКОГО ШУМА

С целью исследования особенностей акустического фильтрационного шума, в лаборатории Московского научно-исследовательского центра Шлюмберже проведена серия экспериментов по фильтрации азота через цилиндрические образцы известняка Indiana Limestone (пористость 0.16, проницаемость ~ 100 мД). Радиус образцов 3.1 см, а длина MathType@MTEF@5@5@+= feaahqart1ev3aqatCvAUfeBSn0BKvguHDwzZbqefauqYLwySbsvUL 2yVrwzG00uaeXatLxBI9gBamXvP5wqSXMqHnxAJn0BKvguHDwzZbqe gm0B1jxALjhiov2DaeHbuLwBLnhiov2DGi1BTfMBaebbnrfifHhDYf gasaacH8srps0lbbf9q8WrFfeuY=Hhbbf9v8qqaqFr0xc9pk0xbba9 q8WqFfea0=yr0RYxir=Jbba9q8aq0=yq=He9q8qqQ8frFve9Fve9Ff 0dmeaabaqaciGacaGaaeqabaWaaqaafaaakeaaryqqYLwySbacgaqc LbwaqaaaaaaaaaWdbiaa=nbiaaa@4556@ 6.8 см.

Типичный спектр акустического шума, зарегистрированного при расходе азота 60 л/мин (стандартные условия) и среднем поровом давление 18 атм, представлен на рис. 1.

Как следует из рис. 1, типичные частоты акустического шума находятся в диапазоне 10 MathType@MTEF@5@5@+= feaahqart1ev3aqatCvAUfeBSn0BKvguHDwzZbqefauqYLwySbsvUL 2yVrwzG00uaeXatLxBI9gBamXvP5wqSXMqHnxAJn0BKvguHDwzZbqe gm0B1jxALjhiov2DaeHbuLwBLnhiov2DGi1BTfMBaebbnrfifHhDYf gasaacH8srps0lbbf9q8WrFfeuY=Hhbbf9v8qqaqFr0xc9pk0xbba9 q8WqFfea0=yr0RYxir=Jbba9q8aq0=yq=He9q8qqQ8frFve9Fve9Ff 0dmeaabaqaciGacaGaaeqabaWaaqaafaaakeaaryqqYLwySbacgaqc LbwaqaaaaaaaaaWdbiaa=nbiaaa@4556@ 17 кГц. Резкие пики на частотах до 10 кГц обусловлены резонансами и шумом экспериментальной установки. Особенности спектра до 10 кГц имеют место и при низком расходе, что отличается от спектра в диапазоне от 10 до 17 кГц, которого нет при низких расходах. Причем, согласно полученным экспериментальным данным, частотный диапазон акустического шума слабо зависит от расхода, что согласуется с литературными данными [Метелев, 2016; Николаев, 1992].

 

Рис. 1. Спектры акустического шума, зарегистрированного при фильтрации азота через образец известняка Indiana Limestone.

 

Рис. 2. Резонатор Гельмгольца.

 

Расчет спектра акустического шума на основе модели ансамбля взаимосвязанных резонаторов Гельмгольца может быть выполнен при различной геометрии как тел, так и горлышек пор. Для упрощения, предположим, что все горлышки имеют цилиндрическую форму с длиной l i MathType@MTEF@5@5@+= feaahqart1ev3aqatCvAUfeBSjuyZL2yd9gzLbvyNv2CaerbuLwBLn hiov2DGi1BTfMBaeXatLxBI9gBaeXafv3ySLgzGmvETj2BSbqefm0B 1jxALjhiov2DaebbnrfifHhDYfgasaacHOaM0xg9vrFfpeea0xh9v8 qiW7rqqrFfpeea0xe9Lq=Jc9vqaqpepm0xbba9pwe9Q8fs0=yqaqpe pae9pg0FirpepeKkFr0xfr=xfr=xb9adbaqaaeGacaGaamaabeqaaq aabaqbaaGcbaaeaaaaaaaaa8qacaWGSbWdamaaBaaaleaapeGaamyA aaWdaeqaaaaa@401B@ и радиусом r i MathType@MTEF@5@5@+= feaahqart1ev3aqatCvAUfeBSjuyZL2yd9gzLbvyNv2CaerbuLwBLn hiov2DGi1BTfMBaeXatLxBI9gBaeXafv3ySLgzGmvETj2BSbqefm0B 1jxALjhiov2DaebbnrfifHhDYfgasaacHOaM0xg9vrFfpeea0xh9v8 qiW7rqqrFfpeea0xe9Lq=Jc9vqaqpepm0xbba9pwe9Q8fs0=yqaqpe pae9pg0FirpepeKkFr0xfr=xfr=xb9adbaqaaeGacaGaamaabeqaaq aabaqbaaGcbaaeaaaaaaaaa8qacaWGYbWdamaaBaaaleaapeGaamyA aaWdaeqaaaaa@4021@ и что все поры имеют сферическую форму с радиусом R k MathType@MTEF@5@5@+= feaahqart1ev3aqatCvAUfeBSjuyZL2yd9gzLbvyNv2CaerbuLwBLn hiov2DGi1BTfMBaeXatLxBI9gBaeXafv3ySLgzGmvETj2BSbqefm0B 1jxALjhiov2DaebbnrfifHhDYfgasaacHOaM0xg9vrFfpeea0xh9v8 qiW7rqqrFfpeea0xe9Lq=Jc9vqaqpepm0xbba9pwe9Q8fs0=yqaqpe pae9pg0FirpepeKkFr0xfr=xfr=xb9adbaqaaeGacaGaamaabeqaaq aabaqbaaGcbaaeaaaaaaaaa8qacaWGsbWdamaaBaaaleaapeGaam4A aaWdaeqaaaaa@4003@ (рис. 2). Тогда гидравлическая проводимость цилиндрических горлышек Ki и объем пор Vi:

K i = S i l i , MathType@MTEF@5@5@+= feaahqart1ev3aqatCvAUfeBSjuyZL2yd9gzLbvyNv2CaerbuLwBLn hiov2DGi1BTfMBaeXatLxBI9gBaeXafv3ySLgzGmvETj2BSbqefm0B 1jxALjhiov2DaebbnrfifHhDYfgasaacHOaM0xg9vrFfpeea0xh9v8 qiW7rqqrFfpeea0xe9Lq=Jc9vqaqpepm0xbba9pwe9Q8fs0=yqaqpe pae9pg0FirpepeKkFr0xfr=xfr=xb9adbaqaaeGacaGaamaabeqaaq aabaqbaaGcbaGaam4samaaBaaaleaacaWGPbaabeaakiaaykW7cqGH 9aqpcaaMc8+aaSaaaeaacaWGtbWaaSbaaSqaaiaadMgaaeqaaaGcba GaamiBamaaBaaaleaacaWGPbaabeaaaaGccaGGSaaaaa@48A3@ S i =π r i 2 , MathType@MTEF@5@5@+= feaahqart1ev3aqatCvAUfeBSjuyZL2yd9gzLbvyNv2CaerbuLwBLn hiov2DGi1BTfMBaeXatLxBI9gBaeXafv3ySLgzGmvETj2BSbqefm0B 1jxALjhiov2DaebbnrfifHhDYfgasaacHOaM0xg9vrFfpeea0xh9v8 qiW7rqqrFfpeea0xe9Lq=Jc9vqaqpepm0xbba9pwe9Q8fs0=yqaqpe pae9pg0FirpepeKkFr0xfr=xfr=xb9adbaqaaeGacaGaamaabeqaaq aabaqbaaGcbiqaaaNdcaWGtbWaaSbaaSqaaiaadMgaaeqaaOGaaGPa Vlabg2da9iaaykW7cqaHapaCcaWGYbWaa0baaSqaaiaadMgaaeaaca aIYaaaaOGaaiilaaaa@49A0@ V i = 4 3 π R i 3 . MathType@MTEF@5@5@+= feaahqart1ev3aqatCvAUfeBSjuyZL2yd9gzLbvyNv2CaerbuLwBLn hiov2DGi1BTfMBaeXatLxBI9gBaeXafv3ySLgzGmvETj2BSbqefm0B 1jxALjhiov2DaebbnrfifHhDYfgasaacHOaM0xg9vrFfpeea0xh9v8 qiW7rqqrFfpeea0xe9Lq=Jc9vqaqpepm0xbba9pwe9Q8fs0=yqaqpe pae9pg0FirpepeKkFr0xfr=xfr=xb9adbaqaaeGacaGaamaabeqaaq aabaqbaaGcbaGaamOvamaaBaaaleaacaWGPbaabeaakiaaykW7cqGH 9aqpcaaMc8+aaSaaaeaacaaI0aaabaGaaG4maaaacqaHapaCcaWGsb Waa0baaSqaaiaadMgaaeaacaaIZaaaaOGaaiOlaaaa@4A90@ (2.1)

В общем случае на каждое тело приходится более одного горлышка.

Сгенерируем ансамбль взаимосвязанных пор с помощью метода Монте MathType@MTEF@5@5@+= feaahqart1ev3aqatCvAUfeBSn0BKvguHDwzZbqefauqYLwySbsvUL 2yVrwzG00uaeXatLxBI9gBamXvP5wqSXMqHnxAJn0BKvguHDwzZbqe gm0B1jxALjhiov2DaeHbuLwBLnhiov2DGi1BTfMBaebbnrfifHhDYf gasaacH8srps0lbbf9q8WrFfeuY=Hhbbf9v8qqaqFr0xc9pk0xbba9 q8WqFfea0=yr0RYxir=Jbba9q8aq0=yq=He9q8qqQ8frFve9Fve9Ff 0dmeaabaqaciGacaGaaeqabaWaaqaafaaakeaaryqqYLwySbacgaqc LbwaqaaaaaaaaaWdbiaa=nbiaaa@4556@ Карло, используя макроскопические параметры и распределение пор по размерам известняка Indiana Limestone.

Распределение пор по размерам, полученным на основе обработки данных рентгеновской компьютерной микротомографии, аппроксимируется (рис. 3) нормальным распределением:

 

g ζ = 1 2π σ exp ζμ 2 2 σ 2 , MathType@MTEF@5@5@+= feaahqart1ev3aqatCvAUfeBSjuyZL2yd9gzLbvyNv2CaerbuLwBLn hiov2DGi1BTfMBaeXatLxBI9gBaeXafv3ySLgzGmvETj2BSbqefm0B 1jxALjhiov2DaebbnrfifHhDYfgasaacHOaM0xg9vrFfpeea0xh9v8 qiW7rqqrFfpeea0xe9Lq=Jc9vqaqpepm0xbba9pwe9Q8fs0=yqaqpe pae9pg0FirpepeKkFr0xfr=xfr=xb9adbaqaaeGacaGaamaabeqaaq aabaqbaaGcbaGaam4zamaabmaabaGaeqOTdOhacaGLOaGaayzkaaGa eyypa0ZaaSaaaeaacaaIXaaabaWaaOaaaeaacaaIYaGaeqiWdahale qaaOGaaGPaVlaaykW7cqaHdpWCcaaMc8oaaiGacwgacaGG4bGaaiiC amaadmaabaGaeyOeI0YaaSaaaeaadaqadaqaaiabeA7a6jabgkHiTi abeY7aTbGaayjkaiaawMcaamaaCaaaleqabaGaaGOmaaaaaOqaaiaa ikdacqaHdpWCdaahaaWcbeqaaiaaikdaaaaaaaGccaGLBbGaayzxaa Gaaiilaaaa@5D8F@

(2.2)

где: ζ MathType@MTEF@5@5@+= feaahqart1ev3aqatCvAUfeBSn0BKvguHDwzZbqefauqYLwySbsvUL 2yVrwzG00uaeXatLxBI9gBamXvP5wqSXMqHnxAJn0BKvguHDwzZbqe gm0B1jxALjhiov2DaeHbuLwBLnhiov2DGi1BTfMBaebbnrfifHhDYf gasaacH8srps0lbbf9q8WrFfeuY=Hhbbf9v8qqaqFr0xc9pk0xbba9 q8WqFfea0=yr0RYxir=Jbba9q8aq0=yq=He9q8qqQ8frFve9Fve9Ff 0dmeaabaqaciGacaGaaeqabaWaaqaafaaakeaaryqqYLwySbacgaqc LbwaqaaaaaaaaaWdbiaa=nbiaaa@4556@ размер пор; μ = 231.8 мкм; σ2 = 4655.

Среднее число горлышек, приходящихся на одну пору, определяется координационным числом данной породы (2.6 для известняка Indiana Limestone, согласно [Freire-Gormaly, 2016]).

Для оценки среднего радиуса горлышка воспользуемся следующими допущениями. Предположим, что пористая среда состоит из цепочки двух чередующихся цилиндрических капилляров различных диаметров, но одинаковой длины. Нетрудно показать (см. Приложение), что гидравлическое сопротивление такой цепочки определяется в основном капиллярами малого радиуса (относительный вклад капилляров обратно пропорционален отношению их радиусов в четвертой степени).

 

Рис. 3. Распределение пор по размерам известняка Indiana Limestone, определенное на основе данных рентгеновской компьютерной микротомографии и аппроксимированное нормальным распределением (2.2).

 

Полагая, что течение в капиллярах описывается формулой Пуазейля, объемный расход газа через M цепочек равен:

 

q=Mπ r 2 r 2 8μ Δp l Σ , MathType@MTEF@5@5@+= feaahqart1ev3aqatCvAUfeBSjuyZL2yd9gzLbvyNv2CaerbuLwBLn hiov2DGi1BTfMBaeXatLxBI9gBaeXafv3ySLgzGmvETj2BSbqefm0B 1jxALjhiov2DaebbnrfifHhDYfgasaacHOaM0xg9vrFfpeea0xh9v8 qiW7rqqrFfpeea0xe9Lq=Jc9vqaqpepm0xbba9pwe9Q8fs0=yqaqpe pae9pg0FirpepeKkFr0xfr=xfr=xb9adbaqaaeGacaGaamaabeqaaq aabaqbaaGcbaGaamyCaiabg2da9iaad2eacqaHapaCcaWGYbWaa0ba aSqaaaqaaiaaikdaaaGcdaWcaaqaaiaadkhadaqhaaWcbaaabaGaaG OmaaaaaOqaaiaaiIdacqaH8oqBaaWaaSaaaeaacqqHuoarcaWGWbaa baGaamiBamaaBaaaleaacqqHJoWuaeqaaaaakiaacYcaaaa@4E6F@

(2.3)

где r MathType@MTEF@5@5@+= feaahqart1ev3aqatCvAUfeBSn0BKvguHDwzZbqefauqYLwySbsvUL 2yVrwzG00uaeXatLxBI9gBamXvP5wqSXMqHnxAJn0BKvguHDwzZbqe gm0B1jxALjhiov2DaeHbuLwBLnhiov2DGi1BTfMBaebbnrfifHhDYf gasaacH8srps0lbbf9q8WrFfeuY=Hhbbf9v8qqaqFr0xc9pk0xbba9 q8WqFfea0=yr0RYxir=Jbba9q8aq0=yq=He9q8qqQ8frFve9Fve9Ff 0dmeaabaqaciGacaGaaeqabaWaaqaafaaakeaaryqqYLwySbacgaqc LbwaqaaaaaaaaaWdbiaa=nbiaaa@4556@ радиус узких капилляров (горлышек), lΣ MathType@MTEF@5@5@+= feaahqart1ev3aqatCvAUfeBSn0BKvguHDwzZbqefauqYLwySbsvUL 2yVrwzG00uaeXatLxBI9gBamXvP5wqSXMqHnxAJn0BKvguHDwzZbqe gm0B1jxALjhiov2DaeHbuLwBLnhiov2DGi1BTfMBaebbnrfifHhDYf gasaacH8srps0lbbf9q8WrFfeuY=Hhbbf9v8qqaqFr0xc9pk0xbba9 q8WqFfea0=yr0RYxir=Jbba9q8aq0=yq=He9q8qqQ8frFve9Fve9Ff 0dmeaabaqaciGacaGaaeqabaWaaqaafaaakeaaryqqYLwySbacgaqc LbwaqaaaaaaaaaWdbiaa=nbiaaa@4556@ суммарная длина узких капилляров.

Сопоставив (2.3) с известной формулой закона Дарси:

 

q=A k μ Δp L , MathType@MTEF@5@5@+= feaahqart1ev3aqatCvAUfeBSjuyZL2yd9gzLbvyNv2CaerbuLwBLn hiov2DGi1BTfMBaeXatLxBI9gBaeXafv3ySLgzGmvETj2BSbqefm0B 1jxALjhiov2DaebbnrfifHhDYfgasaacHOaM0xg9vrFfpeea0xh9v8 qiW7rqqrFfpeea0xe9Lq=Jc9vqaqpepm0xbba9pwe9Q8fs0=yqaqpe pae9pg0FirpepeKkFr0xfr=xfr=xb9adbaqaaeGacaGaamaabeqaaq aabaqbaaGcbaGaamyCaiabg2da9iaadgeadaWcaaqaaiaadUgaaeaa cqaH8oqBaaWaaSaaaeaacqqHuoarcaWGWbaabaGaamitaaaacaGGSa aaaa@4726@

(2.4)

найдем

 

k= φ t r 2 8θ , MathType@MTEF@5@5@+= feaahqart1ev3aqatCvAUfeBSjuyZL2yd9gzLbvyNv2CaerbuLwBLn hiov2DGi1BTfMBaeXatLxBI9gBaeXafv3ySLgzGmvETj2BSbqefm0B 1jxALjhiov2DaebbnrfifHhDYfgasaacHOaM0xg9vrFfpeea0xh9v8 qiW7rqqrFfpeea0xe9Lq=Jc9vqaqpepm0xbba9pwe9Q8fs0=yqaqpe pae9pg0FirpepeKkFr0xfr=xfr=xb9adbaqaaeGacaGaamaabeqaaq aabaqbaaGcbiqaaW5dcaWGRbGaaGPaVlabg2da9iaaykW7cqaHgpGA daWgaaWcbaGaamiDaaqabaGcdaWcaaqaaiaadkhadaqhaaWcbaaaba GaaGOmaaaaaOqaaiaaiIdacqaH4oqCaaGaaiilaaaa@4B8A@

(2.5)

где L MathType@MTEF@5@5@+= feaahqart1ev3aqatCvAUfeBSn0BKvguHDwzZbqefauqYLwySbsvUL 2yVrwzG00uaeXatLxBI9gBamXvP5wqSXMqHnxAJn0BKvguHDwzZbqe gm0B1jxALjhiov2DaeHbuLwBLnhiov2DGi1BTfMBaebbnrfifHhDYf gasaacH8srps0lbbf9q8WrFfeuY=Hhbbf9v8qqaqFr0xc9pk0xbba9 q8WqFfea0=yr0RYxir=Jbba9q8aq0=yq=He9q8qqQ8frFve9Fve9Ff 0dmeaabaqaciGacaGaaeqabaWaaqaafaaakeaaryqqYLwySbacgaqc LbwaqaaaaaaaaaWdbiaa=nbiaaa@4556@ длина образца, θ=  l Σ /L, MathType@MTEF@5@5@+= feaahqart1ev3aaatCvAUfeBSjuyZL2yd9gzLbvyNv2CaerbuLwBLn hiov2DGi1BTfMBaeXatLxBI9gBaeXafv3ySLgzGmvETj2BSbqefm0B 1jxALjhiov2DaebbnrfifHhDYfgasaacHOaM0xg9vrFfpeea0xh9v8 qiW7rqqrFfpeea0xe9Lq=Jc9vqaqpepm0xbba9pwe9Q8fs0=yqaqpe pae9pg0FirpepeKkFr0xfr=xfr=xb9adbaqaaeGacaGaamaabeqaaq aabaqbaaGcbaaeaaaaaaaaa8qacqaH4oqCcqGH9aqpcaGGGcGaamiB a8aadaWgaaWcbaGaeu4OdmfabeaakiaaygW7peGaai4laiaaygW7ca WGmbGaaiilaaaa@49D3@ A MathType@MTEF@5@5@+= feaahqart1ev3aqatCvAUfeBSn0BKvguHDwzZbqefauqYLwySbsvUL 2yVrwzG00uaeXatLxBI9gBamXvP5wqSXMqHnxAJn0BKvguHDwzZbqe gm0B1jxALjhiov2DaeHbuLwBLnhiov2DGi1BTfMBaebbnrfifHhDYf gasaacH8srps0lbbf9q8WrFfeuY=Hhbbf9v8qqaqFr0xc9pk0xbba9 q8WqFfea0=yr0RYxir=Jbba9q8aq0=yq=He9q8qqQ8frFve9Fve9Ff 0dmeaabaqaciGacaGaaeqabaWaaqaafaaakeaaryqqYLwySbacgaqc LbwaqaaaaaaaaaWdbiaa=nbiaaa@4556@ площадь сечения фильтрационного потока, φ t = S Σ /A MathType@MTEF@5@5@+= feaahqart1ev3aqatCvAUfeBSjuyZL2yd9gzLbvyNv2CaerbuLwBLn hiov2DGi1BTfMBaeXatLxBI9gBaeXafv3ySLgzGmvETj2BSbqefm0B 1jxALjhiov2DaebbnrfifHhDYfgasaacHOaM0xg9vrFfpeea0xh9v8 qiW7rqqrFfpeea0xe9Lq=Jc9vqaqpepm0xbba9pwe9Q8fs0=yqaqpe pae9pg0FirpepeKkFr0xfr=xfr=xb9adbaqaaeGacaGaamaabeqaaq aabaqbaaGcbaGaeqOXdO2aaSbaaSqaaabaaaaaaaaapeGaamiDaaWd aeqaaOWdbiabg2da9iaadofapaWaaSbaaSqaaiabfo6atbqabaGcca aMb8+dbiaac+cacaaMb8Uaamyqaaaa@4931@ MathType@MTEF@5@5@+= feaahqart1ev3aqatCvAUfeBSn0BKvguHDwzZbqefauqYLwySbsvUL 2yVrwzG00uaeXatLxBI9gBamXvP5wqSXMqHnxAJn0BKvguHDwzZbqe gm0B1jxALjhiov2DaeHbuLwBLnhiov2DGi1BTfMBaebbnrfifHhDYf gasaacH8srps0lbbf9q8WrFfeuY=Hhbbf9v8qqaqFr0xc9pk0xbba9 q8WqFfea0=yr0RYxir=Jbba9q8aq0=yq=He9q8qqQ8frFve9Fve9Ff 0dmeaabaqaciGacaGaaeqabaWaaqaafaaakeaaryqqYLwySbacgaqc LbwaqaaaaaaaaaWdbiaa=nbiaaa@4556@ пористость, обусловленная наличием горлышек: SΣ = Mπr2 MathType@MTEF@5@5@+= feaahqart1ev3aqatCvAUfeBSn0BKvguHDwzZbqefauqYLwySbsvUL 2yVrwzG00uaeXatLxBI9gBamXvP5wqSXMqHnxAJn0BKvguHDwzZbqe gm0B1jxALjhiov2DaeHbuLwBLnhiov2DGi1BTfMBaebbnrfifHhDYf gasaacH8srps0lbbf9q8WrFfeuY=Hhbbf9v8qqaqFr0xc9pk0xbba9 q8WqFfea0=yr0RYxir=Jbba9q8aq0=yq=He9q8qqQ8frFve9Fve9Ff 0dmeaabaqaciGacaGaaeqabaWaaqaafaaakeaaryqqYLwySbacgaqc LbwaqaaaaaaaaaWdbiaa=nbiaaa@4556@ суммарная площадь поперечного сечения горлышек.

В отличие от классической формулы Козени MathType@MTEF@5@5@+= feaahqart1ev3aqatCvAUfeBSn0BKvguHDwzZbqefauqYLwySbsvUL 2yVrwzG00uaeXatLxBI9gBamXvP5wqSXMqHnxAJn0BKvguHDwzZbqe gm0B1jxALjhiov2DaeHbuLwBLnhiov2DGi1BTfMBaebbnrfifHhDYf gasaacH8srps0lbbf9q8WrFfeuY=Hhbbf9v8qqaqFr0xc9pk0xbba9 q8WqFfea0=yr0RYxir=Jbba9q8aq0=yq=He9q8qqQ8frFve9Fve9Ff 0dmeaabaqaciGacaGaaeqabaWaaqaafaaakeaaryqqYLwySbacgaqc LbwaqaaaaaaaaaWdbiaa=nbiaaa@4556@ Кармана (см., например [Dullien, 1992]), формула (2.5) включает не полную пористость образца, а только ту ее часть, которая формируется горлышками. Для оценки радиуса горлышек положим, что, с учетом извилистости пор, lΣ ≈ L. При равной длине узких и широких капилляров отношение пористостей, формируемых этими группами капилляров, равно отношению их площадей, т. е. квадрату радиусов:

 

φ t φ b = S t S b = r 2 R 2 . MathType@MTEF@5@5@+= feaahqart1ev3aqatCvAUfeBSjuyZL2yd9gzLbvyNv2CaerbuLwBLn hiov2DGi1BTfMBaeXatLxBI9gBaeXafv3ySLgzGmvETj2BSbqefm0B 1jxALjhiov2DaebbnrfifHhDYfgasaacHOaM0xg9vrFfpeea0xh9v8 qiW7rqqrFfpeea0xe9Lq=Jc9vqaqpepm0xbba9pwe9Q8fs0=yqaqpe pae9pg0FirpepeKkFr0xfr=xfr=xb9adbaqaaeGacaGaamaabeqaaq aabaqbaaGcbaWaaSaaaeaacqaHgpGAdaWgaaWcbaGaamiDaaqabaaa keaacqaHgpGAdaWgaaWcbaGaamOyaaqabaaaaOGaaGPaVlabg2da9i aaykW7daWcaaqaaiaadofadaWgaaWcbaGaamiDaaqabaaakeaacaWG tbWaaSbaaSqaaiaadkgaaeqaaaaakiaaykW7cqGH9aqpcaaMc8+aaS aaaeaacaWGYbWaaWbaaSqabeaacaaIYaaaaaGcbaGaamOuamaaCaaa leqabaGaaGOmaaaaaaGccaGGUaaaaa@5452@

(2.6)

Комбинация (2.5) и (2.6) дает:

 

r= 8k φ b R 2 4 . MathType@MTEF@5@5@+= feaahqart1ev3aqatCvAUfeBSjuyZL2yd9gzLbvyNv2CaerbuLwBLn hiov2DGi1BTfMBaeXatLxBI9gBaeXafv3ySLgzGmvETj2BSbqefm0B 1jxALjhiov2DaebbnrfifHhDYfgasaacHOaM0xg9vrFfpeea0xh9v8 qiW7rqqrFfpeea0xe9Lq=Jc9vqaqpepm0xbba9pwe9Q8fs0=yqaqpe pae9pg0FirpepeKkFr0xfr=xfr=xb9adbaqaaeGacaGaamaabeqaaq aabaqbaaGcbaGaamOCaiaaykW7cqGH9aqpcaaMc8+aaOqaaeaadaWc aaqaaiaaiIdacaWGRbaabaGaeqOXdO2aaSbaaSqaaiaadkgaaeqaaa aakiaadkfadaahaaWcbeqaaiaaikdaaaaabaGaaGinaaaakiaac6ca aaa@4ABB@

(2.7)

Из распределения пор по размерам следует, что средний размер пор <R> = 231.8 мкм; проницаемость 100 мД; пористость, формируемая широкими капиллярами, близка к общей пористости φ MathType@MTEF@5@5@+= feaahqart1ev3aqatCvAUfeBSn0BKvguHDwzZbqefauqYLwySbsvUL 2yVrwzG00uaeXatLxBI9gBamXvP5wqSXMqHnxAJn0BKvguHDwzZbqe gm0B1jxALjhiov2DaeHbuLwBLnhiov2DGi1BTfMBaebbnrfifHhDYf gasaacH8srps0lbbf9q8WrFfeuY=Hhbbf9v8qqaqFr0xc9pk0xbba9 q8WqFfea0=yr0RYxir=Jbba9q8aq0=yq=He9q8qqQ8frFve9Fve9Ff 0dmeaabaqaciGacaGaaeqabaWaaqaafaaakeaaryqqYLwySbacgaqc LbwaqaaaaaaaaaWdbiaa=z8aaaa@45EC@ b  ≈  φ MathType@MTEF@5@5@+= feaahqart1ev3aqatCvAUfeBSn0BKvguHDwzZbqefauqYLwySbsvUL 2yVrwzG00uaeXatLxBI9gBamXvP5wqSXMqHnxAJn0BKvguHDwzZbqe gm0B1jxALjhiov2DaeHbuLwBLnhiov2DGi1BTfMBaebbnrfifHhDYf gasaacH8srps0lbbf9q8WrFfeuY=Hhbbf9v8qqaqFr0xc9pk0xbba9 q8WqFfea0=yr0RYxir=Jbba9q8aq0=yq=He9q8qqQ8frFve9Fve9Ff 0dmeaabaqaciGacaGaaeqabaWaaqaafaaakeaaryqqYLwySbacgaqc LbwaqaaaaaaaaaWdbiaa=z8aaaa@45EC@ 0 = 0.16. Тогда, согласно (2.7), средний радиус горлышек r = 22.7 мкм, т. е. примерно 10% от среднего радиуса тел пор.

Далее при генерации ансамбля пор полагается, что радиус горлышка равен 10% от радиуса минимальной из двух соединяемых им пор.

Расчет собственных частот производится согласно (1.12) в предположении, что поры заполнены азотом, вязкость и плотность которого соответствует условиям лабораторного эксперимента (среднее поровое давление 18 атм, температура 25 °С): μ = 18.15 мкПа · с, ρ = 20.4 кг/м3.

 

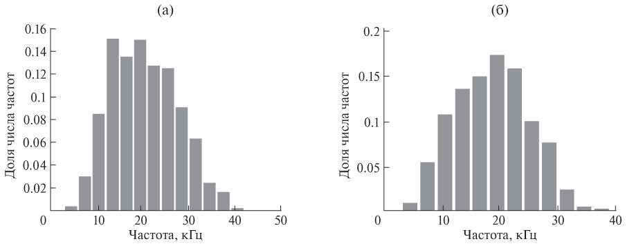
Рис. 4. Распределение числа собственных колебаний по частотам (шаг 3 кГц), рассчитанное по нормальному распределению пор (2.2): (а) – среднее число горлышек, соединенных с одной порой, равно 2.6; (б) – среднее число горлышек, соединенных с одной порой, равно 2.1.

 

Для расчета сгенерировано два ансамбля взаимосвязанных пор, отличающихся только средним числом горлышек, соединенных с одной порой (2.1 и 2.6). Оба ансамбля состоят из 2580 пор. Результат расчетов представлен в виде гистограммы распределения числа собственных колебаний по частотам (рис. 4а, 4б). В обоих случаях учтены только собственные колебания с декрементом затухания θs < 0.35, рассчитанным согласно (1.14).

Расчеты по обоим ансамблям показывают, что большинство собственных частот ансамбля пор лежит в диапазоне 10 MathType@MTEF@5@5@+= feaahqart1ev3aqatCvAUfeBSn0BKvguHDwzZbqefauqYLwySbsvUL 2yVrwzG00uaeXatLxBI9gBamXvP5wqSXMqHnxAJn0BKvguHDwzZbqe gm0B1jxALjhiov2DaeHbuLwBLnhiov2DGi1BTfMBaebbnrfifHhDYf gasaacH8srps0lbbf9q8WrFfeuY=Hhbbf9v8qqaqFr0xc9pk0xbba9 q8WqFfea0=yr0RYxir=Jbba9q8aq0=yq=He9q8qqQ8frFve9Fve9Ff 0dmeaabaqaciGacaGaaeqabaWaaqaafaaakeaaryqqYLwySbacgaqc LbwaqaaaaaaaaaWdbiaa=nbiaaa@4556@ 25 кГц, что соответствует типичному частотному диапазону шумов фильтрационного потока.

Более точный результат может быть получен с использованием сеточных моделей («pore-scale networks») порового пространства, генерируемых на основе анализа трехмерного изображения исследуемой пористой среды (см., например, [Blunt, 2002; van Dijke, 2002]).

 

3. ВЯЗКО-ИНЕРЦИОННЫЙ ЭФФЕКТ КАК МЕХАНИЗМ ГЕНЕРАЦИИ АКУСТИЧЕСКОГО ШУМА

Следуя результатам акустико-гидродинамических исследований пористых сред [Коротаев, 1991], рассмотрим микровихри, образующиеся в порах за счет инерционных эффектов, как основной источник акустического шума при течении газа. Акустический шум, генерируемый микровихрями в порах, имеет широкий спектр частот, но усиливаются только частоты, соответствующие собственным частотам порового пространства. Однофазное вязко-инерционное течение в пористой среде описывается уравнением Форхгеймера [Басниев, 1993; Dullien, 1992]:

 

p= μ k w+βρ w 2 , MathType@MTEF@5@5@+= feaahqart1ev3aqatCvAUfeBSjuyZL2yd9gzLbvyNv2CaerbuLwBLn hiov2DGi1BTfMBaeXatLxBI9gBaeXafv3ySLgzGmvETj2BSbqefm0B 1jxALjhiov2DaebbnrfifHhDYfgasaacHOaM0xg9vrFfpeea0xh9v8 qiW7rqqrFfpeea0xe9Lq=Jc9vqaqpepm0xbba9pwe9Q8fs0=yqaqpe pae9pg0FirpepeKkFr0xfr=xfr=xb9adbaqaaeGacaGaamaabeqaaq aabaqbaaGcbaGaeyOeI0Iaey4bIeTaamiCaiaaykW7cqGH9aqpcaaM c8+aaSaaaeaacqaH8oqBaeaacaWGRbaaaiaadEhacaaMc8Uaey4kaS IaaGPaVlabek7aIjabeg8aYjaadEhadaahaaWcbeqaaiaaikdaaaGc caGGSaaaaa@52F0@

(3.1)

где: ∇p MathType@MTEF@5@5@+= feaahqart1ev3aqatCvAUfeBSn0BKvguHDwzZbqefauqYLwySbsvUL 2yVrwzG00uaeXatLxBI9gBamXvP5wqSXMqHnxAJn0BKvguHDwzZbqe gm0B1jxALjhiov2DaeHbuLwBLnhiov2DGi1BTfMBaebbnrfifHhDYf gasaacH8srps0lbbf9q8WrFfeuY=Hhbbf9v8qqaqFr0xc9pk0xbba9 q8WqFfea0=yr0RYxir=Jbba9q8aq0=yq=He9q8qqQ8frFve9Fve9Ff 0dmeaabaqaciGacaGaaeqabaWaaqaafaaakeaaryqqYLwySbacgaqc LbwaqaaaaaaaaaWdbiaa=nbiaaa@4556@ градиент давления: w MathType@MTEF@5@5@+= feaahqart1ev3aqatCvAUfeBSn0BKvguHDwzZbqefauqYLwySbsvUL 2yVrwzG00uaeXatLxBI9gBamXvP5wqSXMqHnxAJn0BKvguHDwzZbqe gm0B1jxALjhiov2DaeHbuLwBLnhiov2DGi1BTfMBaebbnrfifHhDYf gasaacH8srps0lbbf9q8WrFfeuY=Hhbbf9v8qqaqFr0xc9pk0xbba9 q8WqFfea0=yr0RYxir=Jbba9q8aq0=yq=He9q8qqQ8frFve9Fve9Ff 0dmeaabaqaciGacaGaaeqabaWaaqaafaaakeaaryqqYLwySbacgaqc LbwaqaaaaaaaaaWdbiaa=nbiaaa@4556@ скорость фильтрации; μ MathType@MTEF@5@5@+= feaahqart1ev3aqatCvAUfeBSn0BKvguHDwzZbqefauqYLwySbsvUL 2yVrwzG00uaeXatLxBI9gBamXvP5wqSXMqHnxAJn0BKvguHDwzZbqe gm0B1jxALjhiov2DaeHbuLwBLnhiov2DGi1BTfMBaebbnrfifHhDYf gasaacH8srps0lbbf9q8WrFfeuY=Hhbbf9v8qqaqFr0xc9pk0xbba9 q8WqFfea0=yr0RYxir=Jbba9q8aq0=yq=He9q8qqQ8frFve9Fve9Ff 0dmeaabaqaciGacaGaaeqabaWaaqaafaaakeaaryqqYLwySbacgaqc LbwaqaaaaaaaaaWdbiaa=nbiaaa@4556@ вязкость флюида; ρ MathType@MTEF@5@5@+= feaahqart1ev3aqatCvAUfeBSn0BKvguHDwzZbqefauqYLwySbsvUL 2yVrwzG00uaeXatLxBI9gBamXvP5wqSXMqHnxAJn0BKvguHDwzZbqe gm0B1jxALjhiov2DaeHbuLwBLnhiov2DGi1BTfMBaebbnrfifHhDYf gasaacH8srps0lbbf9q8WrFfeuY=Hhbbf9v8qqaqFr0xc9pk0xbba9 q8WqFfea0=yr0RYxir=Jbba9q8aq0=yq=He9q8qqQ8frFve9Fve9Ff 0dmeaabaqaciGacaGaaeqabaWaaqaafaaakeaaryqqYLwySbacgaqc LbwaqaaaaaaaaaWdbiaa=nbiaaa@4556@ плотность флюида; k MathType@MTEF@5@5@+= feaahqart1ev3aqatCvAUfeBSn0BKvguHDwzZbqefauqYLwySbsvUL 2yVrwzG00uaeXatLxBI9gBamXvP5wqSXMqHnxAJn0BKvguHDwzZbqe gm0B1jxALjhiov2DaeHbuLwBLnhiov2DGi1BTfMBaebbnrfifHhDYf gasaacH8srps0lbbf9q8WrFfeuY=Hhbbf9v8qqaqFr0xc9pk0xbba9 q8WqFfea0=yr0RYxir=Jbba9q8aq0=yq=He9q8qqQ8frFve9Fve9Ff 0dmeaabaqaciGacaGaaeqabaWaaqaafaaakeaaryqqYLwySbacgaqc LbwaqaaaaaaaaaWdbiaa=nbiaaa@4556@ проницаемость породы; β MathType@MTEF@5@5@+= feaahqart1ev3aqatCvAUfeBSn0BKvguHDwzZbqefauqYLwySbsvUL 2yVrwzG00uaeXatLxBI9gBamXvP5wqSXMqHnxAJn0BKvguHDwzZbqe gm0B1jxALjhiov2DaeHbuLwBLnhiov2DGi1BTfMBaebbnrfifHhDYf gasaacH8srps0lbbf9q8WrFfeuY=Hhbbf9v8qqaqFr0xc9pk0xbba9 q8WqFfea0=yr0RYxir=Jbba9q8aq0=yq=He9q8qqQ8frFve9Fve9Ff 0dmeaabaqaciGacaGaaeqabaWaaqaafaaakeaaryqqYLwySbacgaqc LbwaqaaaaaaaaaWdbiaa=nbiaaa@4556@ коэффициент Форхгеймера; гравитационные эффекты в уравнении (3.1) не учитываются.

В правой части (3.1) первый член соответствует режиму фильтрации Дарси, второй член определяет микроскопические инерционные эффекты. Возникновение дополнительного перепада давления в (3.1) объясняется образованием микровихрей, что обосновано [Dullien, 1992] с помощью численного решения на модели трубы с переменным диаметром и продемонстрировано в ряде экспериментальных работ с течением в прозрачных пористых средах, например [Nakajo, 2009].

Нами проведен расчет (COMSOL multiphysics) течения азота в двух различных двумерных геометриях пор: круглой (рис. 5) и квадратной (рис. 6) (с целью анализа влияния прямого угла на формирование вихрей). В качестве граничных условий задан профиль скорости на левой границе левого горлышка и постоянное давление на правой границе правого горлышка. Число Рейнольдса вычислено исходя из диаметра левого горлышка, как характерного размера геометрии течения, и скорости потока в нем. Численные расчеты показывают, что микровихри формируются в порах при малых значениях Рейнольдса порядка ~ 1 MathType@MTEF@5@5@+= feaahqart1ev3aqatCvAUfeBSn0BKvguHDwzZbqefauqYLwySbsvUL 2yVrwzG00uaeXatLxBI9gBamXvP5wqSXMqHnxAJn0BKvguHDwzZbqe gm0B1jxALjhiov2DaeHbuLwBLnhiov2DGi1BTfMBaebbnrfifHhDYf gasaacH8srps0lbbf9q8WrFfeuY=Hhbbf9v8qqaqFr0xc9pk0xbba9 q8WqFfea0=yr0RYxir=Jbba9q8aq0=yq=He9q8qqQ8frFve9Fve9Ff 0dmeaabaqaciGacaGaaeqabaWaaqaafaaakeaaryqqYLwySbacgaqc LbwaqaaaaaaaaaWdbiaa=nbiaaa@4556@ 10, что соответствует условиям течения в призабойной зоне газовой скважины. Критическое число Рейнольдса в значительной степени зависит от геометрии пор.

 

Рис. 5. Результаты численных расчетов (COMSOL Multiphysics) течения азота в двумерной круглой геометрии пор (Rb = 220 мкм, rth = 27 мкм).

 

Рис. 6. Результаты численных расчетов (COMSOL Multiphysics) течения азота в двумерной квадратной геометрии пор (Lb = 440 мкм, rth = 27 мкм).

 

 

ЗАКЛЮЧЕНИЕ

Предложена новая модель, описывающая поровое пространство как ансамбль взаимосвязанных внутренних резонаторов. Ансамбль сгенерирован методом Монте MathType@MTEF@5@5@+= feaahqart1ev3aqatCvAUfeBSn0BKvguHDwzZbqefauqYLwySbsvUL 2yVrwzG00uaeXatLxBI9gBamXvP5wqSXMqHnxAJn0BKvguHDwzZbqe gm0B1jxALjhiov2DaeHbuLwBLnhiov2DGi1BTfMBaebbnrfifHhDYf gasaacH8srps0lbbf9q8WrFfeuY=Hhbbf9v8qqaqFr0xc9pk0xbba9 q8WqFfea0=yr0RYxir=Jbba9q8aq0=yq=He9q8qqQ8frFve9Fve9Ff 0dmeaabaqaciGacaGaaeqabaWaaqaafaaakeaaryqqYLwySbacgaqc LbwaqaaaaaaaaaWdbiaa=nbiaaa@4556@ Карло на основе распределения пор по размерам и макроскопических параметров породы. В качестве модельного примера рассмотрен известняк Indiana Limestone. Приведены расчеты собственных частот при различных координационных числах. Показано, что большая часть собственных частот находится в диапазоне от 10 до 30 кГц, что соответствует типичному частотному диапазону шумов фильтрационного потока.

С помощью COMSOL Multiphysics проведены численные расчеты течения газа через единичные поры. Расчеты показали, что при числах Рейнольдса ~ 1 MathType@MTEF@5@5@+= feaahqart1ev3aqatCvAUfeBSn0BKvguHDwzZbqefauqYLwySbsvUL 2yVrwzG00uaeXatLxBI9gBamXvP5wqSXMqHnxAJn0BKvguHDwzZbqe gm0B1jxALjhiov2DaeHbuLwBLnhiov2DGi1BTfMBaebbnrfifHhDYf gasaacH8srps0lbbf9q8WrFfeuY=Hhbbf9v8qqaqFr0xc9pk0xbba9 q8WqFfea0=yr0RYxir=Jbba9q8aq0=yq=He9q8qqQ8frFve9Fve9Ff 0dmeaabaqaciGacaGaaeqabaWaaqaafaaakeaaryqqYLwySbacgaqc LbwaqaaaaaaaaaWdbiaa=nbiaaa@4556@ 10 в порах начинают формироваться микровихри, которые могут являться источниками акустического шума. Также установлено, что критическое значение числа Рейнольдса в значительной степени зависит от геометрии пор.

Авторы выражают благодарность компании Шлюмберже за разрешение на публикацию данного материала, эксперту SMR В.В. Шако за ценные комментарии и обсуждения, старшему научному сотруднику Бурухину А.А и научным сотрудникам А.В. Жарниковой и Н.И. Рыжикову за помощь при анализе экспериментальных данных, а также И.В. Якимчуку и Н.А. Аношиной за обработку рентгеновской компьютерной микротомографии.

ПРИЛОЖЕНИЕ

Выведем выражение для гидравлического сопротивления при течении газа для системы из трех капилляров, представленной на рис. П1: один капилляр радиуса R и длины H соединен с двумя капиллярами («горлышками») меньшего радиуса r и длины h. Пусть на левом конце системы (x = 0) задано давление p1, а на правом конце (x = 2h + H) MathType@MTEF@5@5@+= feaahqart1ev3aqatCvAUfeBSn0BKvguHDwzZbqefauqYLwySbsvUL 2yVrwzG00uaeXatLxBI9gBamXvP5wqSXMqHnxAJn0BKvguHDwzZbqe gm0B1jxALjhiov2DaeHbuLwBLnhiov2DGi1BTfMBaebbnrfifHhDYf gasaacH8srps0lbbf9q8WrFfeuY=Hhbbf9v8qqaqFr0xc9pk0xbba9 q8WqFfea0=yr0RYxir=Jbba9q8aq0=yq=He9q8qqQ8frFve9Fve9Ff 0dmeaabaqaciGacaGaaeqabaWaaqaafaaakeaaryqqYLwySbacgaqc LbwaqaaaaaaaaaWdbiaa=nbiaaa@4556@ давление p4.

Положим, что течение в капиллярах ламинарное и описывается формулой Пуазейля:

 

q v x = π ζ 4 x 8μ p x , MathType@MTEF@5@5@+= feaahqart1ev3aqatCvAUfeBSjuyZL2yd9gzLbvyNv2CaerbuLwBLn hiov2DGi1BTfMBaeXatLxBI9gBaeXafv3ySLgzGmvETj2BSbqefm0B 1jxALjhiov2DaebbnrfifHhDYfgasaacHOaM0xg9vrFfpeea0xh9v8 qiW7rqqrFfpeea0xe9Lq=Jc9vqaqpepm0xbba9pwe9Q8fs0=yqaqpe pae9pg0FirpepeKkFr0xfr=xfr=xb9adbaqaaeGacaGaamaabeqaaq aabaqbaaGcbaGaamyCamaaCaaaleqabaGaamODaaaakiaaygW7daqa daqaaiaadIhaaiaawIcacaGLPaaacaaMc8Uaeyypa0JaaGPaVlabgk HiTmaalaaabaGaeqiWdaNaeqOTdO3aaWbaaSqabeaacaaI0aaaaOWa aeWaaeaacaWG4baacaGLOaGaayzkaaaabaGaaGioaiabeY7aTbaada WcaaqaaiabgkGi2kaadchaaeaacqGHciITcaWG4baaaiaacYcaaaa@57FE@

(П. 1)

где: ζ MathType@MTEF@5@5@+= feaahqart1ev3aqatCvAUfeBSn0BKvguHDwzZbqefauqYLwySbsvUL 2yVrwzG00uaeXatLxBI9gBamXvP5wqSXMqHnxAJn0BKvguHDwzZbqe gm0B1jxALjhiov2DaeHbuLwBLnhiov2DGi1BTfMBaebbnrfifHhDYf gasaacH8srps0lbbf9q8WrFfeuY=Hhbbf9v8qqaqFr0xc9pk0xbba9 q8WqFfea0=yr0RYxir=Jbba9q8aq0=yq=He9q8qqQ8frFve9Fve9Ff 0dmeaabaqaciGacaGaaeqabaWaaqaafaaakeaaryqqYLwySbacgaqc LbwaqaaaaaaaaaWdbiaa=nbiaaa@4556@ радиус капилляра; μ MathType@MTEF@5@5@+= feaahqart1ev3aqatCvAUfeBSn0BKvguHDwzZbqefauqYLwySbsvUL 2yVrwzG00uaeXatLxBI9gBamXvP5wqSXMqHnxAJn0BKvguHDwzZbqe gm0B1jxALjhiov2DaeHbuLwBLnhiov2DGi1BTfMBaebbnrfifHhDYf gasaacH8srps0lbbf9q8WrFfeuY=Hhbbf9v8qqaqFr0xc9pk0xbba9 q8WqFfea0=yr0RYxir=Jbba9q8aq0=yq=He9q8qqQ8frFve9Fve9Ff 0dmeaabaqaciGacaGaaeqabaWaaqaafaaakeaaryqqYLwySbacgaqc LbwaqaaaaaaaaaWdbiaa=nbiaaa@4556@ вязкость флюида (газ).

При стационарном течении в силу сохранения массы:

 

q m =ρ x q v x =const, MathType@MTEF@5@5@+= feaahqart1ev3aqatCvAUfeBSjuyZL2yd9gzLbvyNv2CaerbuLwBLn hiov2DGi1BTfMBaeXatLxBI9gBaeXafv3ySLgzGmvETj2BSbqefm0B 1jxALjhiov2DaebbnrfifHhDYfgasaacHOaM0xg9vrFfpeea0xh9v8 qiW7rqqrFfpeea0xe9Lq=Jc9vqaqpepm0xbba9pwe9Q8fs0=yqaqpe pae9pg0FirpepeKkFr0xfr=xfr=xb9adbaqaaeGacaGaamaabeqaaq aabaqbaaGcbaGaaGPaVlaadghadaahaaWcbeqaaiaad2gaaaGccaaM c8Uaeyypa0JaaGPaVlabeg8aYnaabmaabaGaamiEaaGaayjkaiaawM caaiaadghadaahaaWcbeqaaiaadAhaaaGcdaqadaqaaiaadIhaaiaa wIcacaGLPaaacaaMc8Uaeyypa0JaaGPaVlaadogacaWGVbGaamOBai aadohacaWG0bGaaiilaaaa@5808@ ?x,

(П. 2)

где: верхний индекс «m» обозначает массовый расход, а верхний индекс «v» обозначает объемный расход; ρ MathType@MTEF@5@5@+= feaahqart1ev3aqatCvAUfeBSn0BKvguHDwzZbqefauqYLwySbsvUL 2yVrwzG00uaeXatLxBI9gBamXvP5wqSXMqHnxAJn0BKvguHDwzZbqe gm0B1jxALjhiov2DaeHbuLwBLnhiov2DGi1BTfMBaebbnrfifHhDYf gasaacH8srps0lbbf9q8WrFfeuY=Hhbbf9v8qqaqFr0xc9pk0xbba9 q8WqFfea0=yr0RYxir=Jbba9q8aq0=yq=He9q8qqQ8frFve9Fve9Ff 0dmeaabaqaciGacaGaaeqabaWaaqaafaaakeaaryqqYLwySbacgaqc LbwaqaaaaaaaaaWdbiaa=nbiaaa@4556@ плотность флюида

Предположим также, что газ идеальный, а процесс течения MathType@MTEF@5@5@+= feaahqart1ev3aqatCvAUfeBSn0BKvguHDwzZbqefauqYLwySbsvUL 2yVrwzG00uaeXatLxBI9gBamXvP5wqSXMqHnxAJn0BKvguHDwzZbqe gm0B1jxALjhiov2DaeHbuLwBLnhiov2DGi1BTfMBaebbnrfifHhDYf gasaacH8srps0lbbf9q8WrFfeuY=Hhbbf9v8qqaqFr0xc9pk0xbba9 q8WqFfea0=yr0RYxir=Jbba9q8aq0=yq=He9q8qqQ8frFve9Fve9Ff 0dmeaabaqaciGacaGaaeqabaWaaqaafaaakeaaryqqYLwySbacgaqc LbwaqaaaaaaaaaWdbiaa=nbiaaa@4556@ изотермический. Тогда уравнение состояния имеет вид:

 

ρ p = ρ ref p ref p , MathType@MTEF@5@5@+= feaahqart1ev3aqatCvAUfeBSjuyZL2yd9gzLbvyNv2CaerbuLwBLn hiov2DGi1BTfMBaeXatLxBI9gBaeXafv3ySLgzGmvETj2BSbqefm0B 1jxALjhiov2DaebbnrfifHhDYfgasaacHOaM0xg9vrFfpeea0xh9v8 qiW7rqqrFfpeea0xe9Lq=Jc9vqaqpepm0xbba9pwe9Q8fs0=yqaqpe pae9pg0FirpepeKkFr0xfr=xfr=xb9adbaqaaeGacaGaamaabeqaaq aabaqbaaGcbaGaeqyWdi3aaeWaaeaacaWGWbaacaGLOaGaayzkaaGa aGPaVlabg2da9iaaykW7cqaHbpGCdaWgaaWcbaGaamOCaiaadwgaca WGMbaabeaakmaalaaabaGaamiCamaaBaaaleaacaWGYbGaamyzaiaa dAgaaeqaaaGcbaGaamiCaaaacaGGSaaaaa@508A@

(П. 3)

где: ρref MathType@MTEF@5@5@+= feaahqart1ev3aqatCvAUfeBSn0BKvguHDwzZbqefauqYLwySbsvUL 2yVrwzG00uaeXatLxBI9gBamXvP5wqSXMqHnxAJn0BKvguHDwzZbqe gm0B1jxALjhiov2DaeHbuLwBLnhiov2DGi1BTfMBaebbnrfifHhDYf gasaacH8srps0lbbf9q8WrFfeuY=Hhbbf9v8qqaqFr0xc9pk0xbba9 q8WqFfea0=yr0RYxir=Jbba9q8aq0=yq=He9q8qqQ8frFve9Fve9Ff 0dmeaabaqaciGacaGaaeqabaWaaqaafaaakeaaryqqYLwySbacgaqc LbwaqaaaaaaaaaWdbiaa=nbiaaa@4556@ плотность газа при некотором опорном давлении pref (например, атмосферном pref = pатм).

Подстановка (П. 1) и (П. 3) в (П. 2) и последующее интегрирование в пределах от x = 0 до x = x* дает:

 

q m = π ρ атм 8μ 0 x * dx ζ 4 x 1 p 2 x * p 1 2 2 p атм , MathType@MTEF@5@5@+= feaahqart1ev3aqatCvAUfeBSjuyZL2yd9gzLbvyNv2CaerbuLwBLn hiov2DGi1BTfMBaeXatLxBI9gBaeXafv3ySLgzGmvETj2BSbqefm0B 1jxALjhiov2DaebbnrfifHhDYfgasaacHOaM0xg9vrFfpeea0xh9v8 qiW7rqqrFfpeea0xe9Lq=Jc9vqaqpepm0xbba9pwe9Q8fs0=yqaqpe pae9pg0FirpepeKkFr0xfr=xfr=xb9adbaqaaeGacaGaamaabeqaaq aabaqbaaGcbaGaaGPaVlaadghadaahaaWcbeqaaiaad2gaaaGccaaM c8Uaeyypa0JaaGPaVpaalaaabaGaeqiWdaNaeqyWdi3aaSbaaSqaai aadcdbcaWGcrGaamipeaqabaaakeaacaaI4aGaeqiVd0gaamaadmaa baWaa8qCaeaadaWcaaqaaiaadsgacaWG4baabaGaeqOTdO3aaWbaaS qabeaacaaI0aaaaOWaaeWaaeaacaWG4baacaGLOaGaayzkaaaaaaWc baGaaGimaaqaaiaadIhadaahaaadbeqaaiaacQcaaaaaniabgUIiYd aakiaawUfacaGLDbaadaahaaWcbeqaaiabgkHiTiaaigdaaaGcdaWc aaqaaiaadchadaahaaWcbeqaaiaaikdaaaGcdaqadaqaaiaadIhada ahaaWcbeqaaiaacQcaaaaakiaawIcacaGLPaaacaaMc8UaeyOeI0Ia aGPaVlaadchadaqhaaWcbaGaaGymaaqaaiaaikdaaaaakeaacaaIYa GaamiCamaaBaaaleaaieGacaWFWqGaa8Nqeiaa=Xdbaeqaaaaakiaa cYcaaaa@6EF9@

(П. 4)

где p1 = p(x = 0).

 

Рис. П. 1. Упрощенная геометрия пор: капилляр большего диаметра («тело» поры) соединен с двумя капиллярами меньшего радиуса («горлышками») пор.

 

Сохранение массового расхода в сечениях (2) и (3) дает систему двух уравнений для двух неизвестных давлений p2 и p3:

p 2 2 p 1 2 =α p 3 2 p 2 2 , MathType@MTEF@5@5@+= feaahqart1ev3aqatCvAUfeBSjuyZL2yd9gzLbvyNv2CaerbuLwBLn hiov2DGi1BTfMBaeXatLxBI9gBaeXafv3ySLgzGmvETj2BSbqefm0B 1jxALjhiov2DaebbnrfifHhDYfgasaacHOaM0xg9vrFfpeea0xh9v8 qiW7rqqrFfpeea0xe9Lq=Jc9vqaqpepm0xbba9pwe9Q8fs0=yqaqpe pae9pg0FirpepeKkFr0xfr=xfr=xb9adbaqaaeGacaGaamaabeqaaq aabaqbaaGcbaWaaeWaaeaacaWGWbWaa0baaSqaaiaaikdaaeaacaaI YaaaaOGaaGPaVlabgkHiTiaaykW7caWGWbWaa0baaSqaaiaaigdaae aacaaIYaaaaaGccaGLOaGaayzkaaGaaGPaVlabg2da9iaaykW7cqaH XoqydaqadaqaaiaadchadaqhaaWcbaGaaG4maaqaaiaaikdaaaGcca aMc8UaeyOeI0IaaGPaVlaadchadaqhaaWcbaGaaGOmaaqaaiaaikda aaaakiaawIcacaGLPaaacaGGSaaaaa@59D5@

 

p 4 2 p 3 2 =α p 3 2 p 2 2 , MathType@MTEF@5@5@+= feaahqart1ev3aqatCvAUfeBSjuyZL2yd9gzLbvyNv2CaerbuLwBLn hiov2DGi1BTfMBaeXatLxBI9gBaeXafv3ySLgzGmvETj2BSbqefm0B 1jxALjhiov2DaebbnrfifHhDYfgasaacHOaM0xg9vrFfpeea0xh9v8 qiW7rqqrFfpeea0xe9Lq=Jc9vqaqpepm0xbba9pwe9Q8fs0=yqaqpe pae9pg0FirpepeKkFr0xfr=xfr=xb9adbaqaaeGacaGaamaabeqaaq aabaqbaaGcbaWaaeWaaeaacaWGWbWaa0baaSqaaiaaisdaaeaacaaI YaaaaOGaaGPaVlabgkHiTiaaykW7caWGWbWaa0baaSqaaiaaiodaae aacaaIYaaaaaGccaGLOaGaayzkaaGaaGPaVlabg2da9iaaykW7cqaH XoqydaqadaqaaiaadchadaqhaaWcbaGaaG4maaqaaiaaikdaaaGcca aMc8UaeyOeI0IaaGPaVlaadchadaqhaaWcbaGaaGOmaaqaaiaaikda aaaakiaawIcacaGLPaaacaGGSaaaaa@59D9@

(П. 5)

где α= R r 4 h H . MathType@MTEF@5@5@+= feaahqart1ev3aqatCvAUfeBSjuyZL2yd9gzLbvyNv2CaerbuLwBLn hiov2DGi1BTfMBaeXatLxBI9gBaeXafv3ySLgzGmvETj2BSbqefm0B 1jxALjhiov2DaebbnrfifHhDYfgasaacHOaM0xg9vrFfpeea0xh9v8 qiW7rqqrFfpeea0xe9Lq=Jc9vqaqpepm0xbba9pwe9Q8fs0=yqaqpe pae9pg0FirpepeKkFr0xfr=xfr=xb9adbaqaaeGacaGaamaabeqaaq aabaqbaaGcbaGaeqySdeMaaGPaVlabg2da9iaaykW7daqadaqaamaa laaabaGaamOuaaqaaiaadkhaaaaacaGLOaGaayzkaaWaaWbaaSqabe aacaaI0aaaaOWaaSaaaeaacaWGObaabaGaamisaaaacaGGUaaaaa@4A55@

Итоговое соотношение между массовым расходом и давлениями на левом и правом концах системы капилляров имеет вид:

 

q m = π ρ атм 8μ r 4 h α 1+2α p 4 2 p 1 2 2 p атм . MathType@MTEF@5@5@+= feaahqart1ev3aqatCvAUfeBSjuyZL2yd9gzLbvyNv2CaerbuLwBLn hiov2DGi1BTfMBaeXatLxBI9gBaeXafv3ySLgzGmvETj2BSbqefm0B 1jxALjhiov2DaebbnrfifHhDYfgasaacHOaM0xg9vrFfpeea0xh9v8 qiW7rqqrFfpeea0xe9Lq=Jc9vqaqpepm0xbba9pwe9Q8fs0=yqaqpe pae9pg0FirpepeKkFr0xfr=xfr=xb9adbaqaaeGacaGaamaabeqaaq aabaqbaaGcbaGaaGPaVlaadghadaahaaWcbeqaaiaad2gaaaGccaaM c8Uaeyypa0JaaGPaVpaalaaabaGaeqiWdaNaeqyWdi3aaSbaaSqaai aadcdbcaWGcrGaamipeaqabaaakeaacaaI4aGaeqiVd0gaamaalaaa baGaamOCamaaCaaaleqabaGaaGinaaaaaOqaaiaadIgaaaWaaSaaae aacqaHXoqyaeaacaaIXaGaey4kaSIaaGOmaiabeg7aHbaadaWcaaqa aiaadchadaqhaaWcbaGaaGinaaqaaiaaikdaaaGccaaMc8UaeyOeI0 IaaGPaVlaadchadaqhaaWcbaGaaGymaaqaaiaaikdaaaaakeaacaaI YaGaamiCamaaBaaaleaacaWGWqGaamOqeiaadYdbaeqaaaaakiaac6 caaaa@64DA@

(П. 6)

В случае 2 α >> 1 выражение (П. 6) упрощается:

 

q m = π ρ атм 8μ r 4 2h p 4 2 p 1 2 2 p атм . MathType@MTEF@5@5@+= feaahqart1ev3aqatCvAUfeBSjuyZL2yd9gzLbvyNv2CaerbuLwBLn hiov2DGi1BTfMBaeXatLxBI9gBaeXafv3ySLgzGmvETj2BSbqefm0B 1jxALjhiov2DaebbnrfifHhDYfgasaacHOaM0xg9vrFfpeea0xh9v8 qiW7rqqrFfpeea0xe9Lq=Jc9vqaqpepm0xbba9pwe9Q8fs0=yqaqpe pae9pg0FirpepeKkFr0xfr=xfr=xb9adbaqaaeGacaGaamaabeqaaq aabaqbaaGcbaGaaGPaVlaadghadaahaaWcbeqaaiaad2gaaaGccaaM c8Uaeyypa0JaaGPaVpaalaaabaGaeqiWdaNaeqyWdi3aaSbaaSqaai aadcdbcaWGcrGaamipeaqabaaakeaacaaI4aGaeqiVd0gaamaalaaa baGaamOCamaaCaaaleqabaGaaGinaaaaaOqaaiaaikdacaWGObaaam aalaaabaGaamiCamaaDaaaleaacaaI0aaabaGaaGOmaaaakiaaykW7 cqGHsislcaaMc8UaamiCamaaDaaaleaacaaIXaaabaGaaGOmaaaaaO qaaiaaikdacaWGWbWaaSbaaSqaaiaadcdbcaWGcrGaamipeaqabaaa aOGaaiOlaaaa@5FEF@

(П. 6*)

Как следует из (П. 6), относительный вклад капилляров в общее гидравлическое сопротивление системы обратно пропорционален отношению их радиусов в четвертой степени и прямо пропорционален отношению их длин. Тем самым, при близких длинах капилляров, гидравлическое сопротивление системы практически полностью определяется капиллярами малого радиуса.

×

About the authors

E. A. Ivanova

Moscow Institute of Physics and Technology

Author for correspondence.
Email: elvira.alekseevna3@gmail.com
Russian Federation, Dolgoprudnyi

D. N. Mikhailov

Schlumberger Moscow Research Center

Email: DMikhailov2@slb.com
Russian Federation, Moscow

References

  1. Басниев К.С., Кочина И.Н., Максимов В.М. Подземная гидромеханика. М.: Недра. 1993. 416 с.
  2. Заславский Ю.М. К теории акустической эмиссии при фильтрации газа частично флюидонасыщенной средой // Техническая Акустика. 2005. Вып. 5.
  3. Заславский Ю.М., Заславский В.Ю. Исследование акустического излучения при фильтрации воздушного потока сквозь пористую среду // Акустический журнал. 2012. Том 58. № 6. С. 756–761.
  4. Ипатов А.И., Городнов А.В., Ипатов С.И., Марьенко Н.Н., Петров Л.П., Скопинцев С.П. Исследование амплитудно-частотных спектров сигналов акустического и электромагнитного шума при фильтрации флюидов в породах // Геофизика. 2004. № 2. С. 25–30.
  5. Ипатов А.И., Кременецкий М.И. Геофизический и гидродинамический контроль разработки месторождений углеводородов. М: НИЦ «Регулярная и хаотическая динамика. 2006. 780 с.
  6. Коротаев Ю.П. Исследование и режимы эксплуатации скважин. М.: ВНИИЭгазпром. 1991. 74 с.
  7. Красновидов Е.Ю. Создание методики акустико-гидродинамических исследований пористых сред и скважин. Дис… канд. тех. наук. М.: Российский Государст¬венный университет нефти и газа им. И.М. Губкина. 2005. 171 с.
  8. Ландау Л.Д., Лифшиц Е.М. Теоретическая физика. Т. 6. Гидродинамика. М.: Наука. 1986. 736 с.
  9. Метелев И.С., Марфин Е.А., Гайфутдинов Р.Р. Применение спектральной шумометрии при исследовании физических свойств коллекторов нефти и газа. Инженерная геофизика/12 я научно-практическая конференция и выставка. 2016.
  10. Николаев С.А., Овчинников М.Н. Генерация звука фильтрационным потоком в пористых средах // Акустический журнал. 1992. Т. 38. Вып. 1. С. 114–118.
  11. Овчинников М.Н. Реологические модели и эволюция физических полей в подземной гидросфере. Дис… док. физ.-мат. наук. Казань: Казанский государственный университет им. В.И. Ульянова-Ленина. 2004. 291 с.
  12. Стрелков С.П. Введение в теорию колебаний. М.: Наука. 1964. 440 c.
  13. Blunt M.J., Jackson M.D., Piri M., Valvatne P.H. Detailed physics, predictive capabilities and macroscopic consequences for pore-network models of multiphase flow // Adv.Water Resour. 2002. V. 25. P. 1069–1089.
  14. Boutin, C. Acoustics of porous media with inner resonators // J. Acoust. Soc. Am. 2013. V. 134. №. 6. P. 4717–4729.
  15. Dullien F.A.L. Porous media: fluid transport and pore structure. San Diego: Academic Press. 1992. 574 p.
  16. Freire-Gormaly M., Ellis J.S., Bazylak A., MacLean H.L. Pore Structure Characterization of Indiana Limestone and Pink Dolomite from Pore Network Reconstructions // IFP Energies nouvelles. 2016. V. 71. P 33.
  17. Ghalem S., Serry A.M., Al-felasi A., Berrim A., Keshtta O.M., Filenev M., Draoui E., Mohamed A., Abu Chaker H., Gabdrakhmanova A., Aslanyan A. Innovative Logging Tool Using Noise Log and High Precision Temperature Help to Diagnoses Complex Problems // SPE 161712. 2012.
  18. Lamb H. The dynamical theory of sound. London: E. Arnold. 1910. 238 p.
  19. Nakajo S., Shigematsu T., Tsujimoto G., Takehara K. An experimental study on turbulence induced by porous media. Proceedings of the Coastal Engineering Conference. 2009. P. 4738–4750.
  20. Rayleigh Lord. The Theory of Sound.V. II. London: Macmillan. 1896. 534 p.
  21. Van Dijke M.I.J., Sorbie K.S. Pore-scale network model for three-phase flow in mixed-wet porous media // Phys. Rev. E. 2002. V. 66. №. 4. P. 046302/1–046302/14.

Supplementary files

Supplementary Files
Action
1. JATS XML
2. Fig. 1. The acoustic noise spectra recorded by filtering nitrogen through a Indiana Limestone sample.

Download (55KB)
3. Fig. 2. Helmholtz resonator.

Download (12KB)
4. Fig. 3. Pore size distribution of Indiana Limestone limestone, determined on the basis of X-ray computed tomography data and approximated by a normal distribution (2.2).

Download (20KB)
5. Fig. 4. The distribution of the number of natural oscillations by frequency (step 3 kHz), calculated by the normal distribution of pores (2.2): (a) - the average number of necks connected to one pore is 2.6; (b) - the average number of necks connected to one pore is 2.1.

Download (20KB)
6. Fig. 5. Results of numerical calculations (COMSOL Multiphysics) of nitrogen flow in a two-dimensional circular pore geometry (Rb = 220 µm, rth = 27 µm).

Download (166KB)
7. Fig. 6. Results of numerical calculations (COMSOL Multiphysics) of nitrogen flow in a two-dimensional square pore geometry (Lb = 440 μm, rth = 27 μm).

Download (193KB)
8. Fig. P.1. Simplified pore geometry: a capillary with a larger diameter (“body” pores) is connected to two capillaries of a smaller radius (“necks”) of pores.

Download (23KB)

Copyright (c) 2019 Russian academy of sciences