Near islands Aleutian earthquake with Mw = 7.8 on july 17, 2017: i. Extended rupture along the commander block of the Aleutian island arc from observations in Kamchatka
- Authors: Chebrov D.V.1,2, Kugaenko Y.A.1, Lander A.V.3, Abubakirov I.R.3, Gusev A.A.1,4, Droznina S.Y.1, Mityushkina S.V.1, Ototyuk D.A.1, Pavlov V.M.1, Titkov N.N.1
-
Affiliations:
- Kamchatka Branch, Federal Research Center Geophysical Survey of Russian Academy of Sciences
- Schmidt Institute of Physics of the Earth, Russian Academy of Sciences
- Institute of Earthquake Prediction Theory and Mathematical Geophysics, Russian Academy of Sciences
- Institute of Volcanology and Seismology, Russian Academy of Sciences
- Issue: No 4 (2019)
- Pages: 48-71
- Section: Articles
- URL: https://journals.eco-vector.com/0002-3337/article/view/13456
- DOI: https://doi.org/10.31857/S0002-33372019448-71
- ID: 13456
Cite item
Full Text
Abstract
The largest instrumentally recorded regional back-arc earthquake with MW = 7.8, MC = 8.2 occurred on July 17, 2017 on the Bering transform fault (the boundary between the Beringia minor lithospheric plate and the Komandorskii (Commander) block of the Aleutian island arc). This seismic event, called the Near Islands earthquake or Near Islands Aleutian earthquake, caused the ground to shake with intensity I = 5–6 on Bering Island and a small tsunami wave on the Near Islands. The specific aspects of the peculiarities of the pattern of seismicity of the northwestern segment of the Aleutian arc and the tectonic position of the Near Island Aleutian earthquake, the details of its prompt processing, macroseismic manifestations, analysis results of ground motion peak amplitudes, focal mechanisms, and earthquake source models are discussed. The coseismic displacements according to the GNSS data are presented. It is concluded that the source of the Near Islands Aleutian earthquake did not fill the seismic gap near the Commander Islands, and the possibility of the strongest earthquake hitting the northwestern part of the Aleutian arc remains.
Full Text
ВВЕДЕНИЕ
Землетрясение 17.07.2017 г., названное Ближне-Алеутским землетрясением – БАЗ [Чебров и др., 2017б], произошло в Командорском сегменте Алеутской островной дуги (рис. 1–3, табл. 1). Очаговая область землетрясения протянулась на ~500 км вдоль северо-восточного (обращенного к Берингову морю) склона дуги, частично захватив также ее осевые области. Сотрясения от этого события ощущались на о. Беринга с интенсивностью I = 5–6 баллов по шкале MSK-64.
БАЗ находится в зоне геодинамического аналога Суматранского землетрясения 26.12.2004 г., MW = 9.1 [Ландер и др., 2009; Гордеев и др., 2015; и др.]. Актуальность исследований БАЗ определяется его расположением вблизи зоны относительного сейсмического затишья на западе Алеутской дуги – на границе Командорской сейсмической бреши [Sykes, 1971; Лобковский и др., 2014; Гордеев и др., 2015; Гусяков, 2018], размер которой не определен, но, по мнению ряда исследователей (например, [Лобковский и др., 2014]), соответствует очагу землетрясения с М ~ 9.0. Как уже отмечалось в работе [Чебров и др., 2017б], облако афтершоков и область сейсмического затишья пространственно разнесены, но вполне вероятно, что БАЗ привело к изменениям в поле сейсмотектонических напряжений в районе бреши.
БАЗ позволило получить и проанализировать большой объем новых сейсмологических и геофизических данных. За 7 месяцев, прошедших после БАЗ, в северо-западной части Алеутской дуги локализовано более 900 сейсмических событий, большинство из которых является его афтершоками. Протяженность облака афтершоков БАЗ в несколько раз превышает типичные линейные размеры очага для субдукционных и континентальных землетрясений с М ≈ 7.7–7.8. Форшоковая активность длилась около 11 месяцев, с сентября 2016 г. Косейсмические смещения, вызванные БАЗ, зарегистрированы на GNSS1- станциях в радиусе ~1000 км от эпицентра. Собраны и систематизированы данные о макросейсмических проявлениях и сильных движениях грунта при БАЗ. Разрабатываются модели процесса подвижки в очаге БАЗ. Последовательность сейсмических событий, сопровождавших БАЗ в районе Командорского блока, имеет определенное сходство со сценарием развития Суматранского мегаземлетрясения 26.12.2004 г., MW = 9.1.
Результаты исследований БАЗ мы обобщили в комплексной публикации, которая из-за большого объема разделена на две части. В первой части обсуждается тектоническая позиция БАЗ, механизм и модели очага, косейсмические смещения, анализ записей колебаний грунта, особенности оперативной обработки. Вторая часть посвящена анализу форшок-афтершокового процесса этого сильного землетрясения. Представлены результаты исследований, основанные преимущественно на данных, полученных Камчатской системой сейсмологического и геофизического мониторинга KAGSR (в частности, на Камчатском региональном каталоге землетрясений2). Использованы также данные мировых сейсмологических информационных центров (MOS, NEIС, ISC, IDC)3. Механизмы землетрясений интерпретировались на основе каталога GCMT4. Для расчета тензора сейсмического момента привлекались широкополосные сейсмические записи сетей IRIS, ARN, JP5, которые доступны через центр данных IRIS DMC6.
ТЕКТОНИЧЕСКАЯ ПОЗИЦИЯ ЗЕМЛЕТРЯСЕНИЯ И ОСОБЕННОСТИ СЕЙСМИЧНОСТИ СЕВЕРО-ЗАПАДНОГО СЕГМЕНТА АЛЕУТСКОЙ ОСТРОВНОЙ ДУГИ
Землетрясение произошло в области, прилегающей к границе крупнейших Тихоокеанской и Северо-Американской литосферных плит, протянувшейся вдоль Алеутского глубоководного желоба. Здесь располагается одна из наиболее активных зон сейсмичности, в которой неоднократно зафиксированы землетрясения с магнитудами до M ≈ 8–9 [Ruppert et al., 2007; Балакина, Москвина, 2010]. Современная тектоническая активность этой зоны является следствием высокой скорости относительного перемещения взаимодействующих плит, которая на протяжении Алеутской дуги меняется приблизительно в пределах 60–75 мм/год (здесь и ниже все скорости движения плит и блоков приведены относительно Северо-Американской плиты).
В рассматриваемом регионе основные жесткие массивы Тихоокеанской и Северо-Американской плит непосредственно не соприкасаются, а взаимодействуют через серию пограничных малых плит и блоков (рис. 1). Границы между ними иногда выражены линейными зонами землетрясений, но в регионе широко развиты и области рассеянной сейсмичности. Магнитуды землетрясений, происходящих на этих межблоковых границах, по данным ISC могут превышать 7.5. Крупнейший из пограничных блоков – плита Берингия, занимающая практически всю акваторию Берингова моря и некоторые прибрежные районы [Ландер и др., 1994; Mackey et al., 1997; Гордеев и др., 2015].
Рис. 1. Мозаика малых плит и блоков на севере Тихого океана. Жирные черные линии – границы плит. Сплошным серым цветом выделены относительно жесткие участки дуги: Командорский, Ближний, Крысий и Андреяновский блоки. Темным крапом закрашена остальная часть дуги, где предполагается преобладание продольного растяжения и меньшая степень сцепления с подстилающей погружающейся плитой. Жирные светлые стрелки указывают направление и скорости перемещения Тихоокеанской плиты согласно модели NNR_NUVEL1 A [Argus, Gordon, 1991]. Звездой отмечен эпицентр БАЗ. На врезке белыми стрелками показаны направления перемещения отдельных жестких блоков Алеутской дуги и значения компонент этих скоростей, направленных по ее простиранию [Cross, Freymueller, 2008]. Все скорости приведены относительно Северо-Американской плиты.
Вдоль южного края Берингии протянулась Алеутская островная дуга. Следуя [Geist et al., 1988] в ее центральной и западной части выделяется несколько отдельных, относительно крупных, приподнятых блоков, основные из которых, в соответствии с названием островов: Андреяновский, Крысий, Ближний. В этот ряд следует добавить и наиболее западный Командорский блок (рис. 1). Для южных, обращенных к Алеутскому желобу, склонов блоков и относительно опущенных межблоковых пространств характерен сложный рельеф с многочисленными отрогами и каньонами, в котором дешифрируются разломы, косые и поперечные по отношению к основному простиранию дуги. В противоположность этому с севера рассматриваемая область ограничена серией протяженных продольных впадин и линеаментов, судя по механизмам землетрясений – правосторонних сдвигов (рис. 2, врезка).
Согласно данным GNSS [Cross, Freymueller, 2008] крупные блоки перемещаются вдоль дуги в западном направлении (рис. 1, врезка). Для трех восточных блоков соответствующие компоненты скорости не превышают 15 мм/год. Такие скорости малы по сравнению с относительным движением Тихоокеанской плиты, поэтому большинство пограничных блоков (включая Берингию и Алеутскую дугу) в первом приближении часто относят к Северо-Американской плите. Исключение составляет Командорский блок, кинематика которого ближе к Тихоокеанской плите. Последняя в этом районе перемещается на северо-запад со скоростью около 75 мм/год [Argus, Gordon, 1991]. Командорский блок движется в том же направлении, но с меньшей скоростью: ~ 40–50 мм/год [Левин и др., 2012; Cross, Freymueller, 2008; Kogan et al., 2017]. Таким образом, Командорский блок перемещается достаточно быстро в том же направлении относительно медленной Берингии (удовлетворительные оценки ее скорости отсутствуют).
Таблица 1. Основные параметры Ближне-Алеутского землетрясения 17.07.2017 г. по региональным данным КФ ФИЦ ЕГС РАН (агентство KAGSR) и определениям других обрабатывающих центров
Агентство
| t0, ч мин с
| Гипоцентр
| Магнитуда, класс
| ||
φ°, N
| λ°, E
| h, км
| |||
KAGSR
| 23 34:08.1
| 54.35
| 168.90
| 7
| КS 16.1*; ML 7.3; MW 7.8; MС 8.2
|
MOS
| 23:34:10.90
| 54.43
| 168.82
| 10
| mb 7.0; MS 7.5
|
NEIC
| 23:34:13.74
| 54.443
| 168.857
| 10
| MW 7.7; mb 6.8; MS20 7.7
|
IDC
| 23:34:12.52
| 54.657
| 168.817
| 0
| MS 7.5
|
GCMT**
| 23:34:57.7
| 54.13
| 169.78
| 23
| MW 7.8;
|
Рис. 2. Землетрясения (M ≥ 5) западной части Алеутской дуги, зарегистрированные за время, предшествовавшее началу форшокового процесса БАЗ, по данным каталогов ISC (1903–2014 гг.) и NEIC (с января 2015 г. по август 2016 г.). Белая стрелка указывает положение эпицентра БАЗ. На врезке указаны диаграммы средних нормированных тензоров сейсмического момента, рассчитанных по данным каталога GCMT (с 1977 г. по август 2016 г.) для различных сегментов северного и южного склонов Алеутской дуги. Статистика землетрясений по отрезкам дуги: 1 сегмент – 19 событий, 2–21, 3–8, 4–5, 5–7, 6–13, 7–15, 8–19, 9–27, 10–49, 11–83. Знаком «пружины» отмечено примерное положение Командорской сейсмической бреши, размеры которой остаются дискуссионными.
Движение различных частей дуги вдоль ее простирания является следствием косой субдукции Тихоокеанской плиты. В работе [Ryan, Scholl, 1993] предполагается, что крупные блоки обладают относительно высоким сцеплением с погружающимся слэбом и под действием касательной компоненты субдукции скользят вдоль дуги. Благодаря изгибу дуги касательная составляющая возрастает к западу, и, как следствие, в этом направлении растет и скорость смещения блоков висячего крыла (рис. 1, врезка). В результате дуга испытывает продольное растяжение [McCaffrey, 1992; Lallemant, Oldow, 2000]. Эти деформации реализуются, в первую очередь, в областях, разделяющих крупные блоки, где предполагается более низкое сцепление с подстилающим слэбом. Растяжением объясняется и относительное опускание, и дробление межблоковых областей.
БАЗ, по-видимому, имеет непосредственное отношение к продольным перемещениям блоков Алеутской дуги. Землетрясение произошло на четко выраженном в подводном рельефе, протяженном на ~700 км разломе Беринга [Селиверстов, 1998; Gaedicke et al., 2000], являющемся северо-восточной границей Командорского блока. Узкий, вытянутый по направлению движения Командорский блок имеет две субпаралельные активные границы: юго-западную, проходящую по Алеутскому желобу, и северо-восточную – по разлому Беринга. Движения на обеих границах являются правосторонними сдвигами, что подтверждается механизмами многочисленных землетрясений (диаграммы средних тензоров сейсмического момента для соответствующих сегментов дуги приведены на врезке к рис. 2). Подобная модель движения Командорского блока подтверждается и данными GNSS [Kogan et al., 2017]. Правосторонним сдвигом является и механизм БАЗ. Облако афтершоков БАЗ, в своей юго-восточной части простирается не только вдоль разлома Беринга, но захватывает и все тело дуги, в частности зону растяжения, отделяющую Командорский блок от следующего крупного блока о-в Ближних (рис. 3). Здесь афтершоковая активность может быть связана с движениями подстилающего слэба.
На рис. 2 представлена сейсмичность западной части Алеутской дуги по данным мировых каталогов ISC и NEIC c 1903 по август 2016 гг., то есть за весь период инструментальных наблюдений до начала форшокового процесса БАЗ. Детальный обзор современной и исторической сейсмичности Алеутской дуги был дан в работах [Балакина, Москвина, 2008; 2009; 2010 а; 2010 б].
Основной Командорский блок с глубинами шельфа до 200 м и островами Беринга и Медным располагается между двумя зонами мелкофокусной сейсмичности, проходящими вдоль Алеутского желоба на юго-западе и разлома Беринг на северо-востоке. В обеих зонах надежно зафиксированы землетрясения с М ~ 7. Несколько более сильных событий, представленных в каталогах, соответствуют ранним периодам наблюдений и могут относиться к смежным регионам. В целом за время инструментальных наблюдений северо-восточная граница блока ведет себя заметно активнее, чем юго-западная.
Рис. 3. Очаговая область Ближне-Алеутского землетрясения. На врезке – эпицентр БАЗ по данным KAGSR (звезда) в сопоставлении с данными других агентств (1). Отмечены эпицентры афтершоков БАЗ с М > 5.0 по данным KAGSR (2) с дополнениями по NEIC (3). Штриховкой отмечена область афтершоков первых суток по данным KAGSR (4) и NEIC (5). Для БАЗ приведена стереограмма механизма очага по KAGSR (табл. 4).
В пределах Командорского блока и южнее его наблюдается относительное затишье, особенно ясно выраженное для самых сильных событий, поэтому район рассматривается как сейсмическая брешь [Sykes, 1971, McCann et al., 1979; Лобковский и др., 2014; Гусяков, 2018], (рис. 2, врезка). Неоднократно обращалось внимание [McCaffrey, 1992; Ландер и др., 2009] на аналогию Командорского сегмента Алеутской дуги и северо-западной части Зондской зоны субдукции, где в 2004 г. произошло сильнейшее Суматранское землетрясение7. Зондские аналоги превосходят по линейным размерам Командорские структуры в 2–2.5 раза, а по площади в ~5 раз. Исходя из этих величин и используя эмпирические соотношения, связывающие размеры очага и его магнитуду [Kanamori, Anderson, 1975], магнитуду потенциального сильнейшего Командорского землетрясения можно оценить как 8.1–8.4. Возможность на западе Алеутской дуги события, существенно превосходящего все ранее известные, требует особого внимания к этому региону.
Примерно в 50 км юго-восточнее о-ва Медный северо-восточная ветвь сейсмичности Командорского блока поворачивает к югу, переходит на южный склон дуги и сливается с юго-западной ветвью. Далее к юго-востоку в относительно погруженной части дуги полоса основной концентрации землетрясений постепенно смещается от оси дуги ближе к Алеутскому желобу. Помимо полосы основной концентрации мелкофокусные события фиксируются здесь во всем теле дуги и в ее окрестности. В частности, несколько сильных событий с М ~ 7, возможно, произошли в задуговом бассейне.
Поскольку основная полоса предыдущей сейсмичности восточнее Командорских островов смещается к югу, юго-восточная часть разлома Беринга в период, предшествовавший БАЗ, была менее активна, чем северо-западная (рис. 12а). За время, начиная с 1962 г. (когда точность определения гипоцентров позволяет достаточно надежно соотносить события с движениями по разлому), и до середины 2017 г. на участке (~300 км) разлома Беринга, ограничивающем с северо-востока Командорский блок, произошло 14 землетрясений с MW ≥ 5.5 (исключая два афтершока). За то же время юго-восточнее на оставшемся (~200 км) отрезке разлома зафиксировано лишь 3 события тех же магнитуд (исключая один афтершок). Отметим, что граница между указанными «активным» и «пассивным» сегментами разлома Беринга располагается всего в 20–30 км от эпицентра БАЗ. Ниже мы обсудим предположение о том, что основной разрыв БАЗ соответствовал подвижке по ранее относительно «запертому» юго-восточному участку разлома Беринга.
Если на востоке Алеутской дуги сейсмичность надежно отражает движения в зоне субдукции, то на западе ситуация оказывается более сложной. Погружающаяся плита прослеживается по наличию наклонной сейсмофокальной зоны вплоть до о-в Ближних на западе. При этом максимальная глубина землетрясений уменьшается до 120 км (от максимальных глубин 300–400 км восточнее Крысьих о-в по данным ISC). Как отмечено выше, в соответствии с косвенными данными GNSS, наклонный погруженный слэб Тихоокеанской плиты может продолжаться и дальше на северо-запад, подстилая Командорский блок Алеутской дуги. При этом кинематически слэб должен двигаться параллельно дуге без дальнейшего погружения. Однако западнее Ближних островов при переходе к Командорскому блоку зафиксированы лишь отдельные землетрясения с промежуточными глубинами ~100 км. Недостаточная точность определения гипоцентров (в первую очередь, глубин) не позволяет проследить по сейсмичности наличие под Командорским блоком продолжения Тихоокеанской плиты.
Еще одним косвенным, но достаточно убедительным, подтверждением существования под Командорским блоком погруженного Тихоокеанского слэба, являются механизмы землетрясений с эпицентрами на юго-западном склоне Алеутской дуги на участке между Ближними и Командорскими о-вами, то есть в верхней части предполагаемого западного продолжения зоны субдукции. Для этих событий характерны механизмы с плоскостями разрыва, полого падающими под дугу, и правосторонними подвижками, включающими небольшую взбросовую компоненту (сегменты 8 и 9 на врезке к рис. 2). Такая картина хорошо соответствует кинематике косой субдукции для предполагаемого продолжения погруженной части Тихоокеанской плиты на участке поворота Алеутской дуги между Ближними и Командорскими о-вами. Облако афтершоков БАЗ располагается не только в окрестности разлома Беринга, но также частично распространяется к югу в данную область. По-видимому, в результате основного толчка БАЗ были возбуждены и прилегающие участки зоны косой субдукции. Более того, среди сильных афтершоков БАЗ присутствовало и событие из этой зоны с механизмом косой субдукции (07.01.2018 г., MW = 5.2), что подчеркивает тесное взаимодействие двух областей.
Приведенные тектонические представления были использованы при интерпретации представленных ниже данных, полученных KAGSR.
ОБРАБОТКА ЗЕМЛЕТРЯСЕНИЯ В РЕГИОНАЛЬНОМ ИНФОРМАЦИОННО-ОБРАБАТЫВАЮЩЕМ ЦЕНТРЕ (РИОЦ) «ПЕТРОПАВЛОВСК»
Для обработки БАЗ, его форшоков и афтершоков в региональном информационно-обрабатывающем центре (РИОЦ) «Петропавловск» были использованы записи сейсмических станций, которые расположены на п-ве Камчатка, Дальнем Востоке России и территориях сопредельных государств и доступны в РИОЦ в режиме реального времени (рис. 4). 78 из них входят в Камчатскую региональную сеть [Чебров и др., 2013; Чебров и др., 2017а]. Ближайшей к эпицентру БАЗ является станция «Беринг» (BKI) на о. Беринга (эпицентральное расстояние ∆ ~ 200 км).
РИОЦ «Петропавловск» работает в непрерывном круглосуточном режиме по регламентам Службы предупреждения о цунами (СПЦ) с М > 6.0 и Службы срочных донесений (ССД) с М > 5.0 по всем сильным землетрясениям Дальнего Востока России. По действующему регламенту СПЦ основой для объявления тревоги по сейсмическим данным остается магнитудно-географический критерий: тревога цунами объявляется для землетрясений, эпицентры которых расположены в открытом море, если магнитуда события превышает 7.0. Опорной магнитудой для РИОЦ «Петропавловск» до настоящего времени остается магнитуда по поверхностным волнам MS (PET), определенная по станции «Петропавловск» (PET). Время обработки потенциально цунамигенного землетрясения (М ≥ 6.0), зарегистрированного на расстоянии до 1000 км от РИОЦ «Петропавловск», по регламенту СПЦ не должно превысить 10 минут.
Рис. 4. Сейсмические станции, использовавшиеся в Региональном информационно-обрабатывающем центре (РИОЦ) «Петропавловск» для обработки Ближне-Алеутского землетрясения, его форшоков и афтершоков (1), в том числе привлекавшиеся для определения пиковых амплитуд колебаний грунта (2). Отмечены станции, привлекавшиеся для расчета тензора сейсмического момента (ТМС) (3). Приведены названия станций, упоминающихся в тексте статьи.
Таблица 2. Обработка Ближне-Алеутского землетрясения в региональном информационно-обрабатывающем центре «Петропавловск» по регламентам Службы предупреждения о цунами (СПЦ) и Службы срочных донесений (ССД)
Время
| События и действия дежурных операторов
| Примечание
|
23:34:43
| Вступление P-волны на станции «Беринг» (BKI). Срабатывание сигнализации
| Дежурная смена приступила к обработке землетрясения
|
23:35:00
| Передача сигнала «Регистрируется сильное землетрясение!»
| Информирование Камчатского центра наблюдения и предупреждения о цунами КамУГМС
|
23:35:43
| Вступление волны Р на станции «Петропавловск» (PET)
|
|
23:37:01
| Вступление волны S на станции PET
|
|
23:37:50
| Первая оценка района очага землетрясения и первая энергетическая оценка по станции PET
| Эпицентральное расстояние ∆ = 6.8° (~750 км от г. Петропавловска-Камчатского) Lat = 53.99° с. ш., Lon = 169.72° в. д., H = 16 км, MPSP (PET) = 7.0, KP = 13.2 Время в очаге 23:34:00.8 |
23:42:32
| Уточненная оценка параметров землетрясения
| Lat = 53.9° с. ш., Lon = 169.9° в. д., H = 6 км, MS (PET) = 7.6, MS (20 R) = 7.5, KP = 13.2 Время в очаге 23:33:58.2 |
23:44:09
| Передача сигнала «Тревога цунами» (формы № 2, 2 А) по установленному списку рассылки: Центральный телеграф; ГУ МЧС Камчатского края, Камчатский центр наблюдения и предупреждения о цунами КамУГМС; Администрация Камчатского края, Администрации районов Камчатского края и проч.
| Тревога цунами объявлена согласно магнитудно-географическому критерию: расположение под акваторией Берингова моря, малая глубина гипоцентра, магнитуда MS (PET) = 7.6.
|
23:51:00
| Оценка интенсивности колебаний в населенных пунктах по инструментальным данным (по записям акселерометров Камчатской региональной сети [Дрознин и др., 2017])
| Информирование МЧС Камчатского края
|
Дежурная смена РИОЦ приступила к обработке БАЗ сразу после срабатывания сигнализации при превышении регистрируемым сейсмическим сигналом заданного уровня на станции «Беринг» (BKI). Действия операторов в ходе работы над землетрясением полностью соответствовали требованиям существующих регламентов, табл. 2. По магнитудно-географическому критерию параметры БАЗ соответствовали потенциально цунамигенному землетрясению (расположение под акваторией Берингова моря, малая глубина гипоцентра, магнитуда MS (PET) = 7.6), поэтому была объявлена тревога цунами. По сообщению Pacific Tsunami Warning Center 8 волна цунами была инструментально зарегистрировано на о. Симия (о-ва Ближние), где ее высота составила ~0.1 м. В открытом океане на ближайшей станции DART9, расположенной в ~500 км от эпицентра БАЗ, волна цунами в расчетное время прихода также не превышала ~0.1 м. По данным Центра Цунами Камчатского Управления гидрометеослужбы на побережье Камчатского края волны цунами не наблюдались.
Окончательная обработка БАЗ была произведена по данным 55‑ти сейсмических станций. Ошибка определения составила 10 км по эпицентру и 24 км по глубине. Гипоцентр, рассчитанный в КФ ФИЦ ЕГС РАН, согласуется с определениями других информационно-обрабатывающих центров (табл. 1, рис. 3). Эпицентр БАЗ находится на разломе Беринга на континентальном склоне Берингова моря к юго-востоку от о. Беринга. Положение центроида (по данным GCMT) смещено на ~60 км к юго-востоку относительно инструментально определенного эпицентра.
МАКРОСЕЙСМИКА
Эпицентр БАЗ находился в ~200 км к юго-востоку от пос. Никольское, расположенного на о. Беринга, где интенсивность сотрясений I достигала 5–6 баллов по шкале MSK-64 [Медведев и др., 1965]. Оперативная оценка балльности (Iрасч. = 5.5 балла), полученная по инструментальным данным [Дрознин и др., 2017], находится в хорошем соответствии с результатами опроса населения. Землетрясение ощущали все жители пос. Никольское, многие испугались и покинули помещения. Был слышен подземный гул. Многие люди испытывали головокружение и тошноту, было трудно устоять на ногах; некоторые, теряя равновесие, держались за устойчивые предметы. Домашние питомцы беспокоились, выбегали из укрытия. Землетрясение продолжалось около 2 минут: сначала ощущалась сильная нарастающая тряска, затем плавные колебания, влияющие на координацию. Жертв и разрушений не зафиксировано.
На п-ве Камчатка землетрясение ощущалось слабее: I ~ 3–4 балла в районе поселке Усть-Камчатск (эпицентральное расстояние ∆ ~ 450 км); I ~ 4 балла на кордоне «Кроноки» (∆ ~ 500 км); I ~ 2–3 балла в г. Петропавловске-Камчатском (∆ ~ 690 км); I ~ 1–2 балла в пос. Атласово (∆ ~ 600 км) (рис. 5).
В течение семи месяцев после БАЗ произошли 36 ощутимых афтершоков с интенсивностью сотрясений в пос. Никольское от 2 до 5–6 баллов (∆ ~ 20–260 км), из них 23 землетрясения приходятся на январь 2018 г. Интенсивность сотрясений 5–6 баллов (∆ ~ 50 км) вызвал сильнейший афтершок БАЗ с MW = 6.2, зафиксированный 25.01.2018 г. в северо-западной части очаговой зоны.
Рис. 5. Карта макросейсмического проявления БАЗ на территории Камчатского края.
АНАЛИЗ ПИКОВЫХ АМПЛИТУД КОЛЕБАНИЙ ГРУНТА
Большой интерес представляют записи колебаний грунта, вызванных БАЗ, так как сильное (MW = 7.7–7.8) землетрясение c эпицентром на разломе Беринга – важное событие в сейсмичности Камчатки последних лет. В работе выполнен предварительный анализ пиковых амплитуд колебаний грунта при данном землетрясении (табл. 3).
Сейсмические станции, использовавшиеся для анализа сильных движений грунта, вызванных БАЗ, представлены на рис. 4. К сожалению, функционирование ближайшей к эпицентру станции BKI в пос. Никольское на о. Беринга было нарушено сотрясениями.
Таблица 3. Пиковые амплитуды сильных движений грунта от Ближне-Алеутского землетрясения 17.07.2017 г. MW = 7.8
№
| Код станции
| ∆, км
| АПИК, см/c2
| VПИК, см/с
| ||||
Компонента
| Компонента
| |||||||
N
| E
| Z
| N
| E
| Z
| |||
1
| ADM
| 691
| 0.5
| 0.3
| 0.2
| 0.6
| 0.3
| 0.2
|
2
| DAL
| 683
| 0.3
| 0.4
| 0.2
| 0.6
| 0.3
| 0.2
|
3
| DCH
| 690
| 0.6
| 0.6
| 0.3
| 0.5
| 0.4
| 0.2
|
4
| GPN
| 580
| 1.4
| 1.5
| 0.6
| 0.8
| 0.8
| 0.6
|
5
| IVS
| 692
| 0.8
| 0.7
| 0.6
| 0.4
| 0.6
| 0.2
|
6
| KBG
| 445
| 3.5
| 3.2
| 1.9
| 3.1
| 1.5
| 1.2
|
7
| KLY
| 553
| 1.7
| 1.5
| 0.7
| 2.2
| 1.4
| 0.8
|
8
| KOZ
| 603
| 2.2
| 2.1
| 0.8
| 2.8
| 2.4
| 1.1
|
9
| KRM
| 730
| 1.0
| 0.9
| 0.6
| 0.5
| 0.3
| 0.3
|
10
| KUR
| 1807
| 0.1
| 0.1
| 0.1
| 0.1
| 0.1
| 0.1
|
11
| NIC
| 709
| 0.7
| 1.0
| 0.3
| 0.5
| 0.4
| 0.2
|
12
| NLC
| 641
| 1.2
| 1.0
| 0.4
| 0.7
| 0.3
| 0.4
|
13
| NVA
| 2001
| 0.1
| 0.1
| 0.0
| 0.2
| 0.1
| 0.1
|
14
| OKH
| 1690
| 0.2
| 0.1
| 0.1
| 0.3
| 0.3
| 0.2
|
15
| OSS
| 651
| 0.2
| 0.2
| 0.2
| 0.2
| 0.4
| 0.3
|
16
| PAL
| 757
| 0.1
| 0.2
| 0.1
| 0.2
| 0.3
| 0.1
|
17
| PAU
| 870
| 0.2
| 0.2
| 0.1
| 0.3
| 0.2
| 0.2
|
18
| PET
| 690
| 0.3
| 0.2
| 0.2
| 0.6
| 0.3
| 0.2
|
19
| RIB
| 701
| 0.9
| 0.8
| 0.2
| 0.5
| 0.4
| 0.2
|
20
| SCH
| 691
| 0.5
| 0.5
| 0.2
| 0.5
| 0.5
| 0.2
|
21
| SHO
| 1971
| 0.0
| 0.0
| 0.0
| 0.1
| 0.1
| 0.0
|
22
| SK2
| 957
| 0.4
| 0.5
| 0.3
| 0.3
| 0.2
| 0.2
|
23
| SKR
| 955
| 0.6
| 0.6
| 0.2
| 0.3
| 0.2
| 0.1
|
24
| SPN
| 600
| 0.7
| 0.9
| 0.5
| 0.7
| 0.5
| 0.2
|
25
| SPZ
| 688
| 0.6
| 0.5
| 0.2
| 0.6
| 0.3
| 0.2
|
26
| TL1
| 698
| 0.4
| 0.5
| 0.3
| 0.5
| 0.6
| 0.3
|
27
| TUMD
| 553
| 1.5
| 1.6
| 1.0
| 1.6
| 0.8
| 0.5
|
28
| TYV
| 1802
| 0.0
| 0.1
| 0.0
| 0.1
| 0.1
| 0.1
|
29
| UGL1
| 1926
| 0.1
| 0.1
| 0.1
| 0.2
| 0.1
| 0.1
|
30
| UK1
| 453
| 3.5
| 4.4
| 1.7
| 4.2
| 2.2
| 1.1
|
31
| UK2
| 448
| 3.2
| 2.7
| 1.5
| 4.0
| 1.6
| 1.1
|
32
| UK4
| 455
| 4.5
| 4.6
| 1.9
| 3.7
| 2.5
| 1.0
|
33
| VIL
| 709
| 1.1
| 0.7
| 0.3
| 0.5
| 0.4
| 0.2
|
34
| VST
| 689
| 0.3
| 0.4
| 0.2
| 0.6
| 0.3
| 0.2
|
Примечание: ∆ – эпицентральное расстояние, АПИК – максимальная амплитуда пикового ускорения, VПИК – максимальная амплитуда пиковой скорости.
Использовавшиеся станции оснащены цифровыми акселерометрами (код канала NH*), и/или велосиметрами (коды канала BH*, BL*). Парк приборов преимущественно представлен датчиками производства Guralp, Великобритания (модели CMG-5 TD, CMG-6 TD, CMG3 TB) с частотой опроса 100 Гц [Чебров и др., 2013]. Для обработки записей был применен программный пакет, кратко описанный в работе [Чебров и др., 2013]. На рис. 6 для иллюстрации приведены графики движений грунта на ст. Крутоберегово (KBG). Пиковые значения составляют 3.2, 3.5 и 1.9 см/с2 для ускорения на компонентах EW, NS и Z; аналогично 1.5, 3.1 и 1.2 см/с для скорости и 2.7, 7.5 и 2.6 см для смещения.
На рис. 7 показан характер затухания пиковых амплитуд с гипоцентральным расстоянием r для основного толчка. На рис. 7a отображены пиковые ускорения. Для сопоставления приводится график затухания пиковых амплитуд горизонтального ускорения для землетрясения с MW = 7.8 согласно закону затухания для японских землетрясений, основанному на формуле из статьи [Fukushima, Tanaka, 1992] (в этой формуле грунтовые условия не учитываются).
На рис. 7б отображены пиковые скорости. Для сопоставления приводится расчетный график затухания с расстоянием пиковой скорости горизонтальных каналов согласно калибровочной кривой для энергетического класса Федотова КФ68 [Федотов, 1972] при фактическом значении КФ68 = 16.1. Поскольку эта калибровочная кривая описывает ход параметра А/Т, то для сопоставимости ее значения были умножены на 2π. Точки лежат существенно выше, чем это следует ожидать по калибровочной кривой. Основная причина данного расхождения, по-видимому, следующая. На использованных записях широкополосного цифрового велосиграфа (или их эмуляции по записи цифрового акселерографа) успешно регистрируются максимальные амплитуды группы поверхностных волн с периодами 11–13 с (этот спектральный пик хорошо виден на Фурье-спектрах скорости). В то же время значение КФ68 вычисляется с использованием искусственно ограниченного по полосе сигнала, имитирующего запись 1.2‑секундного сейсмографа ВЭГИК. Эмуляция записи ВЭГИК с использованием широкополосных цифровых записей – необходимый шаг для расчетов КФ68. Расхождения данного рода возникают даже для умеренных магнитуд 4–5, а для MW = 7.8 достигают, как видно из рис. 6б, одного порядка. Качественное согласие тренда наблюденных данных с трендом калибровочной кривой приемлемое.
Рис. 6. Временной ход ускорения, скорости и смещения грунта на сейсмической станции KBG при Ближне-Алеутском землетрясении по данным акселерометра CMG-DM24 (∆=478 км, рис. 4). Пиковые значения помечены кружком. Обработка проведена в полосе частот 0.02–20 Гц.
Рис. 7. Пиковые ускорения и скорости в функции расстояния при Ближне-Алеутском землетрясении: (а) – зависимость ускорения от гипоцентрального расстояния для горизонтальной (1) и для вертикальной (2) компоненты в сравнении с типовой зависимостью для Японских о-вов по [Fukushima, Tanaka, 1992] для MW = 7.7 (3); (б) – зависимость скорости от гипоцентрального расстояния для горизонтальной (4) и вертикальной (5) компоненты и кривая затухания (6), полученная на основе калибровочной кривой класса Федотова [Федотов, 1972] для КS1.2Ф68 = 16.1.
По данным предварительного анализа амплитуд БАЗ можно сделать следующие предварительные выводы:
– уровень пиковых амплитуд ускорения в диапазоне расстояний 400–800 км сопоставим с ожидаемым для типичных землетрясений Японии;
– характер затухания с расстоянием для пиковых скоростей в диапазоне расстояний 500–700 км более резкий, чем для калибровочной кривой шкалы энергетического класса Федотова КФ68;
– уровень пиковых скоростей при фактической магнитуде MW = 7.8 существенно (около 10 раз) превышает ожидаемый по значению A/T для фактического значения КФ68. Этот факт согласуется с существенным различием в рабочих полосах частот широкополосного цифрового регистратора, с одной стороны, и эмулируемого аналогового прибора ВЭГИК, с другой.
МЕХАНИЗМ ОЧАГА
В последние годы в КФ ФИЦ ЕГС РАН для расчета механизма очагов региональных землетрясений стал применяться подход через определение тензора сейсмического момента (ТСМ) по методике, изложенной в работах [Павлов, Абубакиров, 2012; Абубакиров и др., 2015]. Эта методика была использована для определения механизма очага БАЗ. В качестве исходных данных взяты волновые формы, зарегистрированные региональными широкополосными сейсмическими станциями в диапазоне эпицентральных расстояний до 2500 км. Расчет проведен по 27 станциям Дальнего Востока России, Японии и Аляски (рис. 4). Записи получены из коллекции РИОЦ «Петропавловск» и мирового центра данных IRIS DMC.
Из исходных волновых форм, профильтрованных в полосе периодов T = T1÷T2, выделялись фрагменты записей во временном окне [tp, tp + d], где tp – время вступления P-волны, d – ширина окна. Для БАЗ T = 100÷400 с; d = 600 с.
По выделенным фрагментам оценивались следующие параметры: глубина h эквивалентного точечного источника, длительность τ временной функции источника (длительность подвижки в очаге) и тензор сейсмического момента для модели источника типа «двойной диполь без момента».
Решение находится по условию минимума невязки ε, которая является мерой рассогласования наблюденных и синтетических сейсмограмм [Павлов, Абубакиров, 2012]. Невязка вычисляется как сумма квадратов разностей отсчетов реальных и синтетических сейсмограмм, нормированная на сумму квадратов отсчетов реальных сейсмограмм; выражается в процентах. На рис. 8а видно, что в диапазоне глубин h = 5–50 км невязка изменяется незначительно. Это значит, что надежно зафиксировать значение глубины эквивалентного точечного источника по результатам инверсии волновых форм на региональных расстояниях не удается. Поэтому в качестве оценки глубины эквивалентного точечного источника мы принимаем интервал h = 5–50 км.
Рис. 8. Зависимость меры рассогласования наблюденных и синтетических сейсмограмм (невязки ε) от глубины (а) и длительности при фиксированной глубине h*=25 км (б). Невязка ε вычисляется как сумма квадратов разностей отсчетов реальных и синтетических сейсмограмм, нормированная на сумму квадратов отсчетов реальных сейсмограмм. Показаны механизмы в стереографической проекции нижней полусферы. Числа при стереограммах – значения MW. Числа при точках кривой (а) – значение длительности при соответствующей глубине. Крестом отмечены точки, соответствующие минимуму невязки.
Невязка ε чувствительна к длительности подвижки τ. Для диапазона глубин h = 5–50 км нами определен диапазон τ, в котором ε меняется незначительно: τ ≈ 70–90 с. На рис. 8б в примере зависимости ε от τ продемонстрирована чувствительность невязки к длительности подвижки при фиксированной глубине h. В приведенном примере на интервале τ ≈ 70–90 с невязка минимальна и близка к постоянному значению.
По ТСМ был определен механизм очага БАЗ и рассчитаны значения скалярного сейсмического момента M0 и моментной магнитуды MW. Параметры главных осей ТСМ и оценки скалярных параметров эквивалентного точечного источника h, τ, M0 и MW приведены в табл. 4 вместе с независимыми оценками, полученными мировыми агентствами. Приведенные на рис. 8 стереограммы механизмов дают представление о вариабельности механизма БАЗ при инверсии волновых форм на региональных расстояниях.
Таблица 4. Сводка параметров механизма очага Ближне-Алеутского землетрясения 17.07.2017 г.
Параметры ТСМ
| |||||||||||||
Агентство
| 1. Главные оси ТСМ
| 2. Нодальные плоскости
| 3. Диаграмма механизма
| ||||||||||
T
| N
| P
| NP1
| NP2
| |||||||||
azm
| pl
| azm
| pl
| azm
| pl
| stk
| dip
| slip
| stk
| dip
| slip
| ||
KAGSR
| 84
| 16
| 229
| 71
| 351
| 10
| 126
| 71
| 175
| 218
| 86
| 19
|
|
GCMT
| 262
| 2
| 13
| 85
| 172
| 5
| 307
| 85
| –178
| 217
| 88
| –5
|
|
NEIC
| 260
| 15
| 113
| 72
| 352
| 9
| 305
| 86
| 163
| 37
| 73
| 4
|
|
Скалярные параметры эквивалентного точечного источника
| |||||||||||||
Агентство
| Глубина h, км
| Длительность подвижки в очаге τ, с
| Скалярный сейсмический момент M0, Н · м
| Моментная магнитуда MW
| |||||||||
KAGSR
| 5–50
| 70–90
| 6.6 · 1020
| 7.8
| |||||||||
GCMT
| 23
| 37
| 5.4 · 1020
| 7.8
| |||||||||
NEIC
| 30
| 43
| 5.2 · 1020
| 7.7
| |||||||||
Примечание: 1. Главные оси ТСМ: T ― растяжения, P ― сжатия, N ― промежуточная. Ориентация оси задается двумя углами ― азимутом azm и углом погружении pl. 2. Ориентация нодальных плоскостей NP1, NP2 задается двумя углами: азимутом простирания stk и углом падения dip. Угол подвижки slip ― угол в плоскости очага между направлением простирания и вектором подвижки (отсчитывается против часовой стрелки от направления простирания). Значения всех углов приведены в градусах. 3. Диаграммы приведены в равноплощадной проекции нижней полусферы.
h – глубина эквивалентного точечного источника, τ – длительность подвижки в очаге; M0 – скалярный сейсмический момент; MW – моментная магнитуда.
Параметры механизмов очагов, полученные независимыми информационно-обрабатывающими центрами, близки. Плоскости разрыва достаточно крутые, тип подвижки – либо правосторонний сдвиг по плоскости разрыва, соответствующей простиранию разлома Беринга, либо левосторонний сдвиг по альтернативной плоскости, пересекающей островную дугу. Учитывая простирание облака афтершоков БАЗ вдоль разлома Беринга (рис. 3), в качестве плоскости разрыва мы выбираем плоскость NP1 (табл. 4) с простиранием северо-запад–юго-восток.
Отметим значительно большую по сравнению с данными других информационных центров длительность времени подвижки в очаге (τ ≈ 70–90 с), вычисленную в KAGSR по инверсии длиннопериодных волновых форм. В каталогах GCMT значение τ не рассчитывается, а задается по корреляционной зависимости τ (MW) [Ekstrom et al., 1992; 2012] и составляет 37 с, что в ~2 раза меньше указанного значения. Вместе с тем в работе [Lay et al., 2017] по записям короткопериодных Р-волн показано, что разрыв в очаге БАЗ также происходил в течение ~80–100 с. Таким образом, наша оценка τ ≈ 70–90 с подтверждается расчетами по независимым данным.
АНАЛИЗ КОСЕЙСМИЧЕСКИХ СМЕЩЕНИЙ И ОЦЕНКА МОДЕЛЕЙ ОЧАГА ПО ДАННЫМ GNSS
Косейсмические смещения от БАЗ зарегистрированы на большинстве GNSS – станций, установленных на п-ве Камчатка, Командорских и ближайших к эпицентру Алеутских островах (рис. 9).
Косейсмические смещения определялись по временным рядам координат станций, полученным по результатам обработки GNSS – наблюдений в режиме «статика» пакетом программ GAMIT/GLOBK [Herring T. A. et al., 2010]. Обрабатывалась сеть из 51 станции, включающая в себя Камчатскую GNSS – сеть, ближайшие станции сети IGS (International Geodetic System) и пять станций сети PBO (Plate Boundary Observatory) на Алеутских островах. С целью снижения дисперсии рядов обработка выполнялась в условной отсчетной системе, задаваемой по незатронутым землетрясением пунктам сети IGS с начальными априорными скоростями, равными нулю. Для ближайших станций BRNG и AC60 косейсмические смещения находились как разность линий регрессии определенных по 10 отчетам (10 суток) до землетрясения и первого отчета после. Для остальных – как разность 10‑суточных линий регресcии до и после землетрясения. Результаты определения косейсмических смещений приведены в табл. 5.
Рис. 9. Горизонтальные косейсмические смещения, вызванные БАЗ. Черные стрелки соответствуют результатам наблюдений, серые – оптимальной модели О2. Пунктирная линия – граница Тихоокеанской плиты. Прямоугольник О2 – проекция модельного очага О2; прямоугольник В – проекция на дневную поверхность площадки модельного очага из работы [Lay et al., 2017] (двусторонний разрыв). Звездой отмечен эпицентр БАЗ. На врезке – временные ряды перемещений GNSS станции BRNG (№ 3 на рис. 9 и в табл. 5). Смещение пункта BRNG на карте показано вне масштаба.
Таблица 5. Зарегистрированные и модельные косейсмические смещения БАЗ по ГНСС наблюдениям
№
| Пункт ГНСС
| Долгота, ° в. д.
| Широта, ° с. ш.
| Смещения по наблюдениям ошибка, мм
| Модельные смещения, мм
| |||||||||||||
Модель NEIC Finite Fault
| Модель О1
| Модель О2
| Модель C
| |||||||||||||||
E
| N
| U
| E
| N
| U
| E
| N
| U
| E
| N
| U
| E
| N
| U
| ||||
1 2 3 4 5 6 7 8 9 10 11 12 13 14 15 16 17 18 19 20 21 22 23 24 25 26 | AC66 AC60 BRNG KMS1 TILI OSSS _KBG UKAM KLU1 APH1 PIR1 CIR1 BZGD MAYS KOZS ATLS TIGS _ES1 MIL1 AVCH MYAK PETS PETR KMSH APC1 VODO | 179.30 174.08 165.98 166.21 166.15 163.07 162.71 162.59 160.86 160.84 160.77 160.75 160.70 160.06 159.87 159.65 158.67 158.70 158.58 158.74 158.71 158.65 158.61 158.13 157.13 158.08 | 51.38 52.72 55.19 62.47 60.45 59.26 56.26 56.27 56.32 56.00 56.03 56.12 55.94 56.25 56.06 55.61 57.77 55.93 54.68 53.26 52.89 53.02 53.07 52.83 52.93 51.81 | 2.41.8 15.02.2 –71.11.1 0.41.5 0.31.3 1.21.6 –5.20.8 –3.51.5 –5.10.9 –4.80.8 –4.91.2 –6.01.4 –4.60.6 –1.71.6 –5.01.4 –4.31.5 –1.51.1 –3.81.3 –5.60.9 –5.81.2 –6.01.2 –5.01.3 –7.81.0 –4.20.9 –4.10.9 –5.01.0 | –0.81.7 3.61.1 –111.8 –2.11.6 –3.81.1 –2.42.0 –1.01.1 –1.51.2 1.10.8 –0.41.0 0.31.2 0.51.4 0.72.3 0.31.3 0.81.7 0.31.5 0.11.1 –0.11.1 0.41.4 –0.60.9 0.72.1 –0.01.1 0.51.4 –1.51.4 –0.11.7 0.61.0 | –0.44.5 –9.43.3 –145 0.45.7 –2.14.7 1.97.7 –1.04.4 0.23.3 3.63.7 –2.16.0 0.26.7 0.16.4 –0.73.7 –3.17.0 –2.35.0 0.14.1 1.74.0 –0.34.1 0.94.4 3.46.7 –2.28.5 –0.97.0 –7.15.6 –1.15.2 1.06.6 –1.24.5 | 8.9 1.9 –29.8 0.3 0.7 0.5 –4.3 –4.3 –3.5 –4.2 –4.0 –3.8 –4.2 –3.3 –3.5 –3.9 –1.3 –3.0 –3.9 –4.0 –3.8 –3.8 –3.8 –3.4 –3.1 –2.8 | 1.9 0.5 –3.7 –2.3 –4.0 –3.0 –1.3 –1.2 –0.6 –0.5 –0.5 –0.5 –0.5 –0.4 –0.4 –0.3 –0.6 –0.3 –0.4 –0.6 –0.6 –0.6 –0.6 –0.5 –0.4 –0.5 | –0.8 –0.4 –2.8 0.7 1.2 0.7 –1.0 –1.0 –0.9 –1.1 –1.1 –1.0 –1.2 –0.9 –1.0 –1.2 –0.3 –0.9 –1.2 –1.3 –1.2 –1.2 –1.2 –1.1 –1.0 –0.9 | 3.3 15.0 –70.9 0.4 0.8 0.8 –5.9 –5.8 –4.6 –5.6 –5.5 –5.2 –5.6 –4.3 –4.6 –5.4 –1.4 –4.0 –5.3 –5.5 –5.3 –5.3 –5.3 –4.7 –4.1 –4.0 | 0.5 3.0 –9.8 –3.4 –5.8 –5.2 –2.9 –2.7 –1.4 –1.1 –1.1 –1.1 –1.0 –1.0 –0.8 –0.6 –1.4 –0.6 –0.5 –0.6 –0.7 –0.6 –0.6 –0.6 –0.5 –0.5 | –1.1 –4.1 –17.9 1.2 2.0 1.7 –1.5 –1.5 –1.4 –1.9 –1.8 –1.7 –1.9 –1.4 –1.6 –1.9 –0.2 –1.4 –2.0 –2.1 –2.0 –2.0 –2.0 –1.8 –1.6 –1.5 | 3.2 15.0 –70.7 0.4 0.8 0.9 –5.1 –5.0 –4.2 –5.3 –5.1 –4.8 –5.4 –4.0 –4.4 –5.2 –1.2 –3.9 –5.4 –5.8 –5.6 –5.6 –5.6 –5.0 –4.3 –4.2 | 0.6 3.4 –9.5 –3.2 –5.5 –5.1 –3.3 –3.2 –1.6 –1.3 –1.3 –1.3 –1.2 –1.2 –1.0 –0.7 –1.5 –0.7 –0.5 –0.8 –0.8 –0.8 –0.7 –0.7 –0.5 –0.7 | –1.1 –4.7 –9.2 1.2 2.0 1.7 –0.9 –0.9 –1.1 –1.6 –1.5 –1.4 –1.6 –1.1 –1.3 –1.7 –0.0 –1.3 –1.9 –2.2 –2.1 –2.1 –2.1 –1.9 –1.6 –1.6 | 3.6 17.6 –71.1 0.3 0.5 0.3 –5.1 –5.0 –3.9 –4.6 –4.5 –4.3 –4.7 –3.6 –3.9 –4.4 –1.4 –3.4 –4.4 –4.7 –4.5 –4.5 –4.5 –4.0 –3.5 –3.4 | 0.3 1.7 –13.2 –2.7 –4.3 –3.5 –1.6 –1.5 –0.7 –0.6 –0.6 –0.6 –0.5 –0.5 –0.4 –0.3 –0.9 –0.3 –0.2 –0.4 –0.4 –0.4 –0.4 –0.4 –0.3 –0.4 | –1.3 –5.7 –7.2 1.0 1.6 1.1 –1.3 –1.3 –1.2 –1.5 –1.5 –1.4 –1.5 –1.2 –1.3 –1.5 –0.3 –1.2 –1.6 –1.8 –1.7 –1.7 –1.7 –1.5 –1.3 –1.3 |
Наибольшие смещения зарегистрированы на ближайших к эпицентру GNSS станциях BRNG (∆ ~ 200 км, № 3 на рис. 9 и в табл. 5) на о-ве Беринга и AC60 (∆ ~ 600 км, № 2 на рис. 9 и в табл. 5) на о-ве Симия. Станция BRNG в первые сутки сместилась на 72 мм в направлении запад – юго-запад. Этот бросок превышает характерное годовое смещение Командорской микроплиты (~55 мм/год относительно Евразии [Левин и др., 2012]) и отличается от него по направлению.
После события на станции BRNG регистрируется постсейсмическое смещение, что говорит о продолжении инициированной БАЗ активной фазы геодинамического процесса. По состоянию на 19.02.2018 г. его горизонтальные компоненты равнялись –72 мм E и –9 мм N. Тем самым постсейсмическое смещение происходит, практически, в том же направлении, что и косейсмический бросок, и на указанный момент времени сравнялось с последним.
С целью оценки параметров протяженного очага было проведено моделирование косейсмических смещений. Для расчетов использовалась модель протяженного дислокационного источника в однородном упругом изотропном полупространстве [Okada, 1985]. На первом этапе было выполнено сравнение зарегистрированных горизонтальных смещений с многокомпонентной моделью очага NEIC Finite Fault10, состоящей из 400 прямоугольных конечных дислокаций с параметрами подвижек, рассчитанных решением обратной задачи по данным волновых форм. Суммарный размер площадки разрыва – ~375 × 60 км2, смещения на отдельных площадках – от 0 до 3 м. По этим данным, используя пакет программ Coloumb34 [Toda et al., 2011], нами рассчитаны модельные смещения поверхности. В результате оказалась, что модель NEIC Finite Fault плохо соответствует данным GNSS (табл. 5). При ее применении модельные смещения в целом примерно в 1.3 раза меньше наблюдаемых, причем на ближайших к эпицентру станциях BRNG и AC60 – меньше в 2.4 и 1.6 раза, соответственно.
Следующим шагом была выполнена оценка параметров простой модели прямоугольного, однородного по подвижке, дислокационного источника, удовлетворительно описывающая реальные смещения. На большинстве станций зарегистрированные смещения близки к пределу точности GNSS-измерений. Поэтому для построения модели очага сначала были использованы данные только двух ближайших станций BRNG и AC60, на которых зарегистрированы максимальные косейсмические подвижки. Затем, используя найденные параметры модели, были рассчитаны невязки для всей сети станций.
Были рассмотрены две модели, названные О1 и О2 (табл. 6), соответственно с северо-восточным и юго-западным падением плоскости очага. Для О1 азимут простирания, угол падения и угол средней подвижки соответствуют значениям из модели NEIС Finite Fault. Для О2 – ориентации и углу подвижки нодальной плоскости NP1 механизма очага БАЗ, рассчитанного в КФ ФИЦ ЕГС РАН (табл. 4 KAGSR).
Искомые параметры: координаты центра, ширина и длина площадки очага. Поиск велся путем перебора с шагом в 1 км: координат центра по азимуту простирания на 100 км в обе стороны от эпицентра KAGSR (табл. 1); значений ширины и длины в пределах 10–80 км и 50–500 км, соответственно. Остальные очаговые параметры при поиске закреплены. Скалярный сейсмический момент был принят аналогичным модели NEIC Finite Fault M0 = 6.67 · 1020 Н · м. Подвижка рассчитана из зависимости:
Slip = M0 ∕ (S · μ),
где: S – площадь площадки, м2; μ = 4.44 · 1010; Н/м2 – модуль сдвига (средняя сферическая модель ak135f11). За решение принималась площадка, дающая минимальную невязку по станциям BRNG и AC60. Невязка находилась по формуле:
Resudial = ∑│Vmi – Voi│/n,
где: Vmi – вектор модельного горизонтального смещения станции; Voi – наблюдаемый вектор горизонтального смещения станции; n – число станций; |…| – длина вектора.
Таблица 6. Параметры и невязки моделей протяженных дислокационных источников Ближне-Алеутского землетрясения 17.07.2017 г., MW = 7.8
Модель
| 1. Координаты центра площадки широта, ° с. ш. долгота, ° в. д. глубина, км
| Ширина, км
| Длина, км
| 2. Ориентация дислокационной площадки и подвижки, ° strike dip rake
| Подвижка, м
| 3. Невязки модели, мм
| |
Для станций BRNG и AC60
| Для всех станций
| ||||||
NEIC Finite Fault
| 54.19 169.66 32.0 | 61.6
| 375
| 307 72 17030 | ~0–2.99
| 21.15
| 3.20
|
B [Lay et al., 2017] | 54.49 168.96 12.5 | 33
| 468
| 126 77 –17345 | ~0–8.5
| –
| –
|
О1
| 54.30 169.23 10.0 | 19
| 347
| 307 72 174 | 2.28
| 0.85
| 1.58
|
О2
| 54.17 169.11 10.5 | 20
| 354
| 126 71 175 | 2.12
| 0.82
| 1.61
|
Составной очаг C = CI + CII
| |||||||
CI
| 53.90 169.90 10.5 | 20
| 200
| 130 71 175 | 3.04
|
|
|
CII
| 55.30 166.89 10.5 | 20
| 50
| 126 71 175 | 1.00
| 2.71
| 1.39
|
Примечание: 1. Координаты центра, ширина и длина, указаны для суммарной площадки. 2. Азимут простирания (strike) и угол падения (dip) постоянны для каждого элемента; подвижка и ее угол (rake) меняются на элементах в указанных диапазонах. 3. Учитываются только горизонтальные компоненты записей.
Найденные искомые параметры моделей О1 и О2 представлены в табл. 6. Значения невязок и модельных смещений, представленных в табл. 5, показывают, что по имеющимся GNSS-наблюдениям выбор между этими моделями сделать нельзя. Зарегистрированные и вычисленные для модели О2 смещения показаны на рис. 9.
Размеры площадки разрыва оцениваются как ~350 × 20 км2, что по длине в ~1.5 раза меньше протяженности афтершокового облака БАЗ. Центр площадки смещен на юго-восток относительно эпицентра БАЗ на ~23 км (табл. 6, рис. 9). Подвижка в очаге составляет 2.1–2.3 м.
Из рис. 9 видно, что даже в рамках использованной простой модели удается получить неплохое совпадение горизонтальных векторов модельных и реальных смещений. Несколько лучшего совпадения для тех же данных GNSS добились авторы работы [Lay et al., 2017]12, рассмотрев сложную пространственно-временную модель очага, исходно основанную на инверсии записей сейсмических волн. В последней модели очаг также располагается в окрестности разлома Беринга, однако в отличие от двух предыдущих, не предполагается однородного распределения подвижки на разрыве. Согласно полученным оценкам максимальные подвижки располагаются приблизительно в 100 (от 50 до 200) км юго-восточнее эпицентра, а также отдельно вблизи северо-западного конца разрыва.
Ряд независимых наблюдений также указывают на то, что очаг БАЗ, возможно, следует рассматривать как композицию двух почти одновременных событий. В первые часы после главного толчка в центральной части разрыва на протяжении более чем 100 км северо-западнее эпицентра существовал сегмент, на котором не фиксировались афтершоки (рис. 10, рис. 12б). Судя по тому, что к концу первого дня они стали происходить и в этой области, речь здесь следует вести не об участке, на котором напряжения были сняты в процессе главного толчка, а о задержке в активизации данного сегмента.
Учитывая последние соображения и оценки [Lay et al., 2017], мы дополнительно рассмотрели модель БАЗ – C, состоящую из двух субочагов CI и CII, и оценили их возможные сейсмические моменты и магнитуды. Участки максимальных подвижек, полученные в работе [Lay et al., 2017], практически совпадают с областями ранних афтершоков. Поэтому в модели C положение субочагов зафиксировано априори, исходя из размеров разделенного облака афтершоков первых трех часов (рис. 10, рис. 12б).
Модель C состоит из двух прямоугольных субочагов CI и CII, расположенных вдоль разлома Беринга на расстоянии ~100 км друг от друга и немного отличающихся по ориентации в соответствии с меняющимся простиранием разлома (рис. 10, табл. 6):
– CI (юго-восточный) – основной очаг длиной 200 км и шириной 20 км с ориентацией плоскости (strike 130°, dip 71°) и подвижки (rake 175°),
– CII (северо-западный) – дополнительный очаг длиной 50 км, шириной 20 км с ориентацией плоскости и подвижки – strike 126°, dip 71°, rake 175°.
Заметим, что для обоих субочагов параметры dip и rake приняты соответствующими решению механизма очага KAGSR (табл. 4, плоскость NP1). Положение центров субочагов задается географическими координатами, приведенными в табл. 6. Неизвестные оцениваемые параметры модели: UI и UII – величины подвижек в CI и CII, соответственно.
В данном случае при инверсии использованы измеренные значения трех компонент смещения (включая вертикальную) на всех станциях GNSS, представленных в табл. 5. Для оценки неизвестных параметров использован метод из работы [Левин и др., 2010].
Результаты инверсии приведены в табл. 6, а сопоставление наблюденных и модельных компонент смещений представлено на рис. 11. Заметим, что, поскольку инверсия проводилась по данным всех станций GNSS и компонент, результирующие невязки для двух ближайших к эпицентру станций в модели C несколько превосходят соответствующие значения для модели O2, но остаются вполне удовлетворительными.
Рис. 10. Комбинированный очаг С, состоящий из двух дислокационных источников CI и CII. Показаны проекции верхних кромок площадок источников CI, CII (параметры – в табл. 5): 1 – эпицентр KAGSR; 2 – эпицентр NEIC; 3 – центроид GCMT; 4 – геометрические центры проекций; 5 – разлом Беринга; 6 – афтершоки первых 3 х часов (по каталогу NEIC). Приведены механизмы для CI и CII.
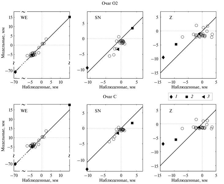
Рис. 11. Сопоставление модельных и наблюденных компонент косеймических смещений для модели О2 (верхний ряд) и комбинированной модели С (нижний ряд). Выделены значения смещений на трех ближайших к очагу БАЗ станциях – BRNG на о-ве Беринга (1), AC60 на о-ве Симия (2) и KBG на п-ве Камчатка (3) (№№ 3, 2 и 7 на рис. 9 и в табл. 5). Косая линия – геометрическое место точек идеального совпадения модельных и наблюденных смещений.
Полученные оценки подвижек UI и UII: 3.04 и 1.00 м, что соответствует оценкам сейсмических моментов и моментных магнитуд: для CI – M0 = 5.4 ∙ 1020 Н ∙ м, MW = 7.8 и для CII – M0 = 4.4 ∙ 1019 Н ∙ м, MW = 7.0.
Таким образом, модель С, состоящая из двух отдельных источников, не противоречит наблюдениям косейсмических смещений.
ОСНОВНЫЕ РЕЗУЛЬТАТЫ И ОБСУЖДЕНИЕ
Ближне-Алеутское землетрясение (БАЗ) 17.07.2017 г. 23:34 UT (18.07.2017 г. 11:34 LT) с магнитудой MW = 7.8 является одним из сильнейших инструментально зарегистрированных сейсмических событий в западной части Алеутской островной дуги. Гипоцентр землетрясения располагается у восточного края шельфа Командорских островов на задуговом трансформном разломе Беринга, на глубине до ~25 км. Полоса форшоков и афтершоков растянулась вдоль простирания дуги на ~500 км. Форшоковая активность проявилась примерно за 11 месяцев до основного толчка, а спадающая последовательность афтершоков продолжалась около 3.5 месяцев после него. В дальнейшем в очаговой области наблюдалась заметная, превышающая фоновую, нестационарная активность, которая по состоянию на начало марта 2018 г. еще не закончилась.
По оперативным данным (согласно регламенту СПЦ время обработки не более 10 мин) инструментально определенный гипоцентр БАЗ располагался на небольшой глубине ~6 км под акваторией Берингова моря, а его магнитуда MS (PET) = 7.6. Согласно опирающемуся на эти параметры магнитудно-географическому критерию, БАЗ соответствовало потенциально цунамигенному землетрясению, поэтому была объявлена цунами-тревога. Однако небольшое цунами-возмущение высотой ~0.1 м было инструментально зарегистрировано только в районе о-вов Ближних Алеутской гряды.
При окончательном анализе данных БАЗ использовались записи 55‑ти сейсмических станций и 51 станции GNSS, основная часть которых относится к Камчатской системе сейсмологического и геофизического мониторинга KAGSR, а остальные станции расположены в сопредельных регионах. Проведены многочисленные устные и письменные опросы населения.
По данным службы сбора макросейсмической информации КФ ФИЦ ЕГС РАН в ближайшем населенном пункте пос. Никольское на о. Беринга (~200 км к северо-западу от эпицентра БАЗ) интенсивность сотрясений I достигала 5–6 баллов по шкале MSK-64. На п-ве Камчатка БАЗ ощущалось с максимальной интенсивностью до I~3–4 баллов.
Выполнен предварительный анализ записей колебаний грунта, вызванных БАЗ. Оценки максимальных значений скоростей и ускорений получены для 34 сейсмических станций, расположенных на расстояниях от ~450 до ~2000 км от эпицентра. Уровень пиковых амплитуд ускорения на расстояниях до 800 км оказался сопоставимым с соответствующими параметрами для типичных землетрясений Японии. В то же время измеренные значения параметров затухания и уровня пиковых скоростей существенно отличаются от ожидаемых согласно калибровочным кривым энергетического класса, используемым в текущей обработке камчатских данных. Последнее объясняется существенным различием в рабочих полосах частот современных широкополосных цифровых регистраторов и аналоговых приборов, по которым была построена калибровочная кривая.
По записям БАЗ на 27 широкополосных сейсмических станциях Дальнего Востока России, Японии и Аляски построены оценки тензора сейсмического момента, глубины эквивалентного точечного источника (5–50 км) и длительности подвижки в очаге (70–90 сек). Полученный механизм землетрясения близок к результатам других агентств и подтверждает преобладание правосторонних сдвиговых подвижек на северо-восточной границе Командорского блока (субвертикальном трансформном разломе Беринга), отражающих быстрое скольжение этого блока относительно литосферной плиты Берингии.
Модель дислокации в очаге БАЗ, использующая построенный механизм, позволяет описать и измеренные косейсмические смещения станций GNSS, параллельно оценив размеры очага и его положение на разломе Беринга. В обработке данных GNSS участвовало большое число станций, однако на большинстве из них зарегистрированные смещения близки к пределу точности измерений. Поэтому для оценки модели очага были использованы в первую очередь данные двух ближайших станций, на которых зарегистрированы максимальные косейсмические подвижки: BRNG (горизонтальное смещение 72 мм) и AC60 (15 мм). Удовлетворительное соответствие данным GNSS удалось получить на основе простейшей модели прямоугольного очага с однородной подвижкой. При этом модель обеспечила неплохое описание и подвижек на удаленных станциях Камчатского региона. Размеры площадки разрыва оцениваются как ~ 350 × 20 км, подвижка в очаге ~2.1–2.3 м.
Тем не менее ряд других фактов и оценок, полученных для БАЗ, не достаточно хорошо описываются моделью единого очага. Оценка длины разрыва, полученная в рамках данной модели, составляет ~350 км, что примерно в 1.5 раза меньше протяженности облака афтершоков БАЗ. С другой стороны та же оценка превосходит типичный размер очага для сдвиговых землетрясений с магнитудами 7.7–7.8. Согласно эмпирическим зависимостям [Wells, Coppersmith, 1994, Papazachos et al., 2004, Thingbaijam et al., 2017] средняя ожидаемая протяженность вспоротого разрыва для MW = 7.8 составляет 180–240 км (учитывая разброс 130–330 км). В первые часы после главного толчка в формирующемся облаке афтершоков существует протяженная (более 100 км) брешь (рис. 12б), что, по-видимому, отражает факт существенной неравномерности распределения главной подвижки вдоль разлома Беринга. На то же указывают и результаты инверсии очаговых параметров, проведенной в работе [Lay et al., 2017].
Рис. 12. Сейсмичность на разломе Беринга: (а) – сильнейшие землетрясения MW ≥ 5.5, с эпицентрами, расположенными в окрестности разлома за период 1962–2014 гг. согласно каталогу ISC-GEM; (б) – афтершоки БАЗ, зарегистрированные в первые 3 часа после главного толчка. Координаты событий приведены согласно каталогу NEIC. Звезда – эпицентр БАЗ. Пунктир – трансформный разлом Беринга.
Эти недостатки простейшей модели удается устранить, предполагая, что главное событие содержало два близких по времени, но пространственно разнесенных по разлому Беринга субочага с размерами 200 × 20 км на юго-востоке и 50 × 20 км на северо-западе (рис. 10, модель С в табл. 6). Приведенные размеры субочагов выбраны по форме двух отдельных облаков афтершоков, возникших в течение первых часов после главного толчка (рис. 12б) и позже объединившихся. В рамках этой модели сценарий БАЗ можно представить следующим образом:
– землетрясение возникло на разломе Беринга, причем основная подвижка CI произошла в его юго-восточной части, которая была относительно мало активна в предыдущие десятилетия (рис. 12а);
– поскольку эпицентр (начало процесса) землетрясения находится у северо-западного окончания сегмента CI, раскрытие трещины, по-видимому, происходило от него в юго-восточном направлении;
– почти одновременно в 100–200 км северо-западнее основного эпицентра (напротив острова Беринга) произошла меньшая по размерам, но близкая по механизму, подвижка, давшая основной вклад в смещение станции BRNG, и, возможно, всего острова;
– в течение нескольких первых часов сегмент, разделяющий два предполагаемых субочага, мог оставаться пассивным (рис. 12б), но к концу первых суток и он был втянут в общую афтершоковую активность, объединившую оба субочага;
– оценки магнитуд, построенные для каждого из субочагов в рамках модели C на основе данных GNSS: MW = 7.8 для основного юго-восточного субочага и MW = 7.0 для меньшего северо-западного; таким образом северо-западное событие было значительно слабее юго-восточного;
– полученные [Lay et al., 2017] и нами оценки длительности процесса вспарывания 70–90 с, по-видимому, следует относить к основному юго-восточному субочагу: комбинация длины (~200 км) и длительности дает оценку скорости распространения фронта вспарывания ~2.5 км/с. Эта оценка явно меньше скорости поперечных волн (3.9 км/с для приповерхностного слоя модели AK135f). Число Маха равно ~0.6;
– выделение юго-восточного субочага как основного, помимо прочего снимает противоречие между слишком большой протяженностью всего очага и типичными размерами землетрясений с М ~7.8; длина сегмента CI ~200 км хорошо соответствует эмпирическим зависимостям этого параметра от магнитуды; то же относится и к меньшему субочагу CII, протяженность которого ~50 км не противоречит полученной для него оценке магнитуды MW = 7.0.
Возникновение БАЗ еще раз подтвердило более высокую сейсмическую активность за время инструментальных наблюдений северо-восточной границы Командорской микроплиты по сравнению с ее юго-западной границей. На последней сохраняется относительное затишье – Командорская сейсмическая брешь. Очаг БАЗ не закрыл брешь, и после этого крупного события контраст между сейсмической активностью на берингийской и тихоокеанской границе Командорского блока стал проявляться еще отчетливее. Структурная и кинематическая аналогия Бирманской и Командорской микроплит, а также сходство реализуемого сценария сейсмичности с событиями, предшествовавшими Суматранскому мегаземлетрясению 26.12.2004 г., говорят о сохранении возможности сильнейшего землетрясения в северо-западной части Алеутской дуги. Опасность цунами от землетрясения из района Командорской бреши подробно рассмотрена в статьях [Лобковский и др., 2014; Mazova et al., 2013]. Отметим, что при взбросо-надвиговой подвижке, которая может реализоваться в случае срабатывания Командорской бреши, потенциальное землетрясение с MW ≥ 7.5 с большой вероятностью окажется цунамигенным. В этой ситуации Командорский район требует повышенного внимания.
Финансирование работы
Работа выполнена в рамках Госзадания ФИЦ ЕГС РАН по темам НИР № АААА-А16-116070550063-8 «Развитие методов цунамигенного потенциала сильных землетрясений на основе анализа параметров их очагов и волновых полей для системы предупреждения о цунами», № АААА-А16-116070550059-1 «Комплексное исследование предвестников землетрясений и развитие методик прогнозирования сейсмической обстановки в сейсмоопасных регионах», № АААА-А16-116070550057-7 «Проведение непрерывного сейсмологического, геофизического и геодинамического мониторинга на глобальном, федеральном и региональном уровнях: разработка и внедрение новых технологий обработки и системного анализа больших объемов данных» при частичной поддержке гранта Минобрнауки России № 14.W03.31.0033 «Геофизические исследования, мониторинг и прогноз развития катастрофических геодинамических процессов на Дальнем Востоке РФ» и гранта РФФИ № 17-05-00185.
[1] GNSS (Global Navigation Satellite Systems) – общее название для спутниковых систем навигации.
[2] Камчатский филиал ФИЦ ЕГС РАН, Единая информационная система сейсмологических данных, региональный каталог Камчатки и Командорских островов. http://www.emsd.ru/sdis/earthquake/catalogue/catalogue.php
MOS – ФИЦ ЕГС РАН, г. Обнинск (www.gsras.ru);
NEIС – National Earthquake Information Center, U.S. Geological Survey https://earthquake.usgs.gov/earthquakes/search/;
ISC – Bulletin of the International Seismological Centre. ftp://ftp.isc.ac.uk/pub/isf/catalogue/
ISC-GEM – Global Instrumental Earthquake Catalogue (1904–2014). http://www.isc.ac.uk/iscgem/index.php
IDC – International Data Centre, Comprehensive Nuclear-Test-Ban Treaty Organization (CTBTO), Vienna, Austria (www.ctbto.org).
[4] GCMT – The Global CMT Project (www.globalcmt.org)
[5] Сети широкополосных сейсмических станций:
IRIS – Global Seismograph Network GSN–IRIS/USGS (https://doi.org/10.7914/SN/IU);
ARN – Alaska Regional Network (https://doi.org/10.7914/SN/AK);
JP – Japan Meteorological Agency Seismic Network (http://www.fdsn.org/networks/detail/JP/).
[6] http://ds.iris.edu/wilber3/
[7] USGS, Earthquake Hazards Program, 2004. M 9.1 – off the west coast of northern Sumatra. https://earthquake.usgs.gov/earthquakes/eventpage/official20041226005853450_30#executive
https://earthquake.usgs.gov/archive/product/poster/20041226/us/1457989040172/poster.pdf
[8] http://www.tsunami.gov/events/PAAQ/2017/07/17/ot9 dh6/2/WEAK51/WEAK51.txt
[9] http://www.ndbc.noaa.gov/download_data.php?filename=21415 t2017.txt.gz&dir=data/historical/dart/
[10] https://earthquake.usgs.gov/earthquakes/eventpage/us20009 x42#finite-fault
[11] http://rses.anu.edu.au/seismology/ak135/ak135f.html
[12] В работе [Lay et al., 2017] также использованы GNSS-данные станции BRNG, входящей в сеть GNSS-станций КФ ФИЦ ЕГС РАН.
About the authors
D. V. Chebrov
Kamchatka Branch, Federal Research Center Geophysical Survey of Russian Academy of Sciences; Schmidt Institute of Physics of the Earth, Russian Academy of Sciences
Email: ku@emsd.ru
Russian Federation, Petropavlovsk-Kamchatskii; Moscow
Yu. A. Kugaenko
Kamchatka Branch, Federal Research Center Geophysical Survey of Russian Academy of Sciences
Author for correspondence.
Email: ku@emsd.ru
Petropavlovsk-Kamchatskii
A. V. Lander
Institute of Earthquake Prediction Theory and Mathematical Geophysics, Russian Academy of Sciences
Email: ku@emsd.ru
Russian Federation, Moscow
I. R. Abubakirov
Institute of Earthquake Prediction Theory and Mathematical Geophysics, Russian Academy of Sciences
Email: ku@emsd.ru
Russian Federation, Petropavlovsk-Kamchatskii
A. A. Gusev
Kamchatka Branch, Federal Research Center Geophysical Survey of Russian Academy of Sciences; Institute of Volcanology and Seismology, Russian Academy of Sciences
Email: ku@emsd.ru
Russian Federation, Petropavlovsk-Kamchatskii
S. Ya. Droznina
Kamchatka Branch, Federal Research Center Geophysical Survey of Russian Academy of Sciences
Email: ku@emsd.ru
Russian Federation, Petropavlovsk-Kamchatskii
S. V. Mityushkina
Kamchatka Branch, Federal Research Center Geophysical Survey of Russian Academy of Sciences
Email: ku@emsd.ru
Russian Federation, Petropavlovsk-Kamchatskii
D. A. Ototyuk
Kamchatka Branch, Federal Research Center Geophysical Survey of Russian Academy of Sciences
Email: ku@emsd.ru
Russian Federation, Petropavlovsk-Kamchatskii
V. M. Pavlov
Kamchatka Branch, Federal Research Center Geophysical Survey of Russian Academy of Sciences
Email: ku@emsd.ru
Russian Federation, Petropavlovsk-Kamchatskii
N. N. Titkov
Kamchatka Branch, Federal Research Center Geophysical Survey of Russian Academy of Sciences
Email: ku@emsd.ru
Russian Federation, Petropavlovsk-Kamchatskii
References
- Абубакиров И.Р., Павлов В.М., Титков Н.Н. Механизм глубокого Охотоморского землетрясения 24.05.2013 г. по статическим смещениям и широкополосным сейсмограммам // Вулканология и сейсмология. 2015. № 4. С. 23–39.
- Балакина Л.М., Москвина А.Г. Особенности сейсмогенного процесса в Алеутской островной дуге. I. Взаимоотношение очагов крупных землетрясений 1957 г., 1986 г., 1996 г. в архипелаге Андреяновских островов // Физика Земли. 2008. № 8. С. 32–62.
- Балакина Л.М., Москвина А.Г. Особенности сейсмогенного процесса в Алеутской островной дуге. II. Крупнейшие землетрясения в архипелаге Крысьих островов – 4.02.1965 г., 17.11.2003 г. // Физика Земли. 2009. № 3. С. 24–49.
- Балакина Л.М., Москвина А.Г. Особенности сейсмогенного процесса в Алеутской островной дуге. III. Землетрясения в западной и восточной окраинах дуги // Физика Земли. 2010а. № 4. С. 9–34.
- Балакина Л.М., Москвина А.Г. Цунамигенное землетрясение 1 апреля 1946 г. в архипелаге Лисьих островов (Алеутская островная дуга) // Физика Земли. 2010б. № 6. С. 35–48.
- Гордеев Е.И., Пинегина Т.К., Ландер А.В., Кожурин А.И. Берингия: cейсмическая опасность и фундаментальные вопросы геотектоники // Физика Земли. 2015. № 4. С. 58–67.
- Гусяков В.К. Мегаземлетрясения – главная угроза безопасности морских побережий // Наука из первых рук. 2018. № 2–3. С. 13–35.
- Дрознин Д.В., Чебров Д.В., Дрознина С.Я., Ототюк Д.А. Автоматизированная оценка интенсивности сейсмических сотрясений по инструментальным данным в режиме близком к реальному времени и ее использование в рамках Службы срочных сейсмических донесений на Камчатке // Сейсмические приборы. 2017. Т. 53. № 3. С. 5–19.
- Ландер А.В., Букчин Б.Г., Дрознин Д.В., Кирюшин А.В. Тектоническая позиция и очаговые параметры Хаилинского (Корякского) землетрясения 8 марта 1991 г.: существует ли плита Берингия? // Вычислительная сейсмология. Вып. 26. М: Наука. 1994. С. 103–122.
- Ландер А.В., Левин В.Е., Титков Н.Н. Современные движения Командорской микроплиты по сейсмологическим и GPS данным. Вулканизм и геодинамика: материалы IV Всероссийского симпозиума по вулканологии и палеовулканологии. Петропавловск-Камчатский: ИВиС ДВО РАН. 2009. С. 621–624.
- Левин В.Е., Бахтиаров В.Ф., Павлов В.М., Титков Н.Н., Сероветников С.С. Геодинамические исследования Олюторского землетрясения 20 (21) 04.2006 по данным Камчатской GPS сети // Вулканология и сейсмология. 2010. № 3. С. 50–59.
- Левин В.Е., Бахтиаров В.Ф., Титков Н.Н., Сероветников С.С., Магускин М.А., Ландер А.В. Мониторинг и исследование современных движений земной коры на Камчатке. Cейсмологические и геофизические исследования на Камчатке. Петропавловк-Камчатский: Новая книга. 2012. С. 188–210.
- Лобковский Л.И., Баранов Б.В., Дозорова К.А., Мазова Р.Х., Кисельман Б.А., Баранова Н.А. Командорская сейсмическая брешь: прогноз землетрясения и расчет цунами // Океанология. 2014. Т. 54. № 4. С. 561–573.
- Медведев С.В., Шпонхойер В., Карник В. Шкала сейсмической интенсивности MSK-64. М.: МГК АН СССР. 1965. 11 с.
- Павлов В.М., Абубакиров И.Р. Алгоритм расчета тензора сейсмического момента сильных землетрясений по региональным широкополосным сейсмограммам объемных волн // Вестник КРАУНЦ. Науки о Земле. 2012. № 2. Вып. 20. С. 149–158.
- Селиверстов Н.И. Строение дна прикамчатских акваторий и геодинамика зоны сочленения Курило-Камчатской и Алеутской островных дуг. М.: Научный мир. 1998. 164 с.
- Федотов С.А. Энергетическая классификация Курило-Камчатских землетрясений и проблема магнитуд. М.: Наука. 1972. 117 с.
- Чебров В.Н., Дрознин Д.В., Кугаенко Ю.А., Левина В.И., Сенюков С.Л., Сергеев В.А., Шевченко Ю.В., Ящук В.В. Система детальных сейсмологических наблюдений на Камчатке в 2011 г. // Вулканология и сейсмология. 2013. № 1. С. 18–40.
- Чебров Д.В., Дрознина С.Я., Сенюков С.Л., Шевченко Ю.В., Митюшкина С.В. Камчатка и Командорские острова. Землетрясения России в 2015 году. Обнинск: ГС РАН. 2017а. С. 67–73.
- Чебров Д.В., Кугаенко Ю.А., Абубакиров И.Р., Ландер А.В., Павлов В.М., Салтыков В.А., Титков Н.Н. Ближне-Алеутс¬кое землетрясение 17.07.2017 г. с MW = 7.8 на границе Командорской сейсмической бреши // Вестник КРАУНЦ. 2017б. № 3. Вып. 35. С. 22–25.
- Argus D.F., Gordon R.G. No-net-rotation model of current plate velocities incorporating plate motion model NUVEL-1 // Geophysical Research Letters. 1991. V. 18. P. 2039–2042. doi: 10.1029/91 GL01532
- Cross R.S., Freymueller J.T. Evidence for and implications of a Bering plate based on geodetic measurements from the Aleutians and western Alaska // J. Geophys. Res. 2008. V. 113. B07405. doi: 10.1029/2007 JB005136
- Ekstrom G., Nettles M., Dziewonski A.M. The global CMT project 2004–2010: Centroid-moment tensors for 13,017 earthquakes // Physics of the Earth and Planetary Interiors. 2012. V. 200. P. 1–9.
- Ekstrom G., Stein R.S., Eaton J.P., Eberhart-Phillips D. Seismicity and geometry of a 110 km-long blind thrust fault 1. The 1985 Kettleman Hills, California, earthquake // J. Geophys. Res. 1992. V. 97. P. 4843–4864.
- Fukushima Y., Tanaka T. The revision of «A New Attenuation Relation for Peak Horizontal Acceleration of Strong Earthquake Ground Motion in Japan» // Fall Meeting of The Seismological Society of Japan. Abstracts. 1992. B18. (in Japanese).
- Gaedicke C., Baranov B., Seliverstov N., Alexeiev D., Tsukanov N., Freitag R. Structure of an active arc-continent collision area: the Aleutian-Kamchatka junction // Tectonophysics. 2000. V. 325. № 1. P. 63–85.
- Geist E.L., Childs J.R., Scholl D.W. The origin of summit basins of the Aleutian Ridge: implications for block rotation of an arc massif // Tectonics. 1988. V. 7. P. 327–341.
- Herring T.A., King R.W., McClusky S.C. GAMIT: GPS Analysis at MIT. Release 10.4. Massachusetts: Institute of Technology. 2010. 171 p.
- Kanamori H., Anderson D.L. Theoretical basis of some empirical relations in seismology // Bulletin of the Seismological Society of America. 1975. V. 65. Is. 5. P. 1073–1095.
- Kogan M.G., Frolov D.I., Vasilenko N.F., Freymueller J.T., Steblov G.M., Göran Ekström, Titkov N.N., Prytkov A.S. Plate coupling and strain in the far western Aleutian arc modeled from GPS data // Geophysical Research Letters. 2017. V. 44. P. 3176–3183.
- Lallemant H.G.A., Oldow J.S. Active displacement partitioning and arc-parallel extension of the Aleutian volcanic arc based on Global Positioning System geodesy and kinematic analysis // Geology. 2000. V. 28. № 8. P. 739– 742.
- Lay T., Ye L., Bai Ye., Cheung K.F., Kanamori H., Freymueller J., Steblov G.M., Kogan M.G. Rupture Along 400 km of the Bering Fracture Zone in the Komandorsky Islands Earthquake (MW = 7.8) of 17 July 2017 // Geophysical Research Letters. 2017. V. 44. № 24. P. 12161–12169. doi: 10.1002/2017 GL076148
- Mackey K.G., Fujita K., Gunbina L.V., Kovalev V.N., Imaev V.S., Kozmin B.M., Imaeva L.P. Seismicity of the Bering Strait region: evidence for a Bering block // Geology. 1997. V. 25. № 11. P. 979–982.
- Mazova R.K., Baranov B.V., Lobkovsky L.I., Baranova N.A., Dozorova K.A., Chaykina O.N. Numerical model study of tsunami generated by potential earthquake within the Komandorsky seisnic gap in the western Aleutian Island Arc // Science of Tsunami Hazards. 2013. V. 32. № 3. P. 131–155.
- McCaffrey R. Oblique plate convergence, slip vectors, and forearc deformation // Journal of Geophysical Research. 1992. V. 97. Is. B6. P. 8905–8915. doi: 10.1029/92jb00483
- McCann W., Nishenko S.P., Sykes L.R., Krause J. Seismic gaps and plate boundaries: seismic potential for major boundaries // Pure and Applied Geophysics. 1979. V. 117. P. 1082–1147.
- Okada Y. Surface deformation due to shear and tensile faults in a half-space // BSSA. 1985. V. 75. № 4. P. 1135–1154.
- Papazachos B.C., Scordilis E.M., Panagiotopoulos D.G., Papazachos C.B., Karakaisis G.F. Global Relations Between Seismic Fault Parameters and Momernt Magnitude of Earthquakes // Bulletin of the Geological Society of Greece. 2004. V. 34. P. 1483–1489.
- Ruppert N.A., Lees J.M., Kozyreva N.P. Seismicity, Earthquakes and Structure Along the Alaska-Aleutian and Kamchatka-Kurile Subduction Zones: A Review/Volcanism and Subduction: The Kamchatka Region. AGU Geophysical Monograph Series. 2007. V. 172. P. 129–144.
- Ryan H.F., Scholl D.W. Geologic Implications of Great Interplate Earthquakes Along the Aleutian Arc // J. Geophys. Res. 1993. V. 98. Is. B12. P. 22135–22146. doi: 10.1029/93 jb02451
- Sykes L.R. Aftershock zones of great earthquakes, seismicity gaps, and earthquake prediction for Alaska and Aleutians // J. Geoph. Res. 1971. V. 76. Is. 32. P. 8021–8041.
- Thingbaijam K.K.S., Mai M.P., Goda K. New empirical earthquake source-scaling laws // BSSA. 2017. V. 107. № 5. P. 2225–2246.
- Toda S., Stein R.S., Sevilgen V., Lin J. Coulomb 3.3 Graphic-rich deformation and stress-change software for earthquake, tectonic, and volcano research and teaching – user guide // U.S. Geological Survey Open-File Report 2011–1060. 63 p. http: //pubs.usgs.gov/of/2011/1060/.
- Wells D.L., Coppersmith K.J. New Empirical Relationships among Magnitude, Rupture Length, Rupture Width, Rupture Area, and Surface Displacement // BSSA. 1994. V. 84. № 4. P. 974–1002.
Supplementary files














