Physical and chemical conditions of basaltic magmatism of archipelago Franz Josef Land
- Authors: Simonov V.A.1,2,3, Karyakin Y.V.4, Kotlyarov A.V.1,3
-
Affiliations:
- Sobolev Institute of Geology and Mineralogy of Siberian Branch of Russian Academy of Sciences
- Novosibirsk National Research State University
- Kazan Federal University
- Geological Institute of Russian Academy of Science
- Issue: Vol 64, No 7 (2019)
- Pages: 700-725
- Section: Articles
- URL: https://journals.eco-vector.com/0016-7525/article/view/15322
- DOI: https://doi.org/10.31857/S0016-7525647700-725
- ID: 15322
Cite item
Full Text
Abstract
As a result of mineralogical and thermobarogeochemical researches of different-age basaltic complexes of Archipelago Franz Josef Land (FJL) regular changes in time of compositions of plagioclases, clinopyroxenes and melt inclusions are established. Chemical compositions of inclusions directly testify to prevalence in Early Jurassic of plateau basaltic melts similar (according to the content of the basic components, and also trace and rare-earth elements) to typical basalt tholeiitic magma of the Siberian platform. In Early Cretaceous melts already had the enriched subalkaline character. Calculations of conditions of magma generation, spent on the basis of the data on melt inclusions, have shown evolution from Early Jurassic to Early Cretaceous (with allocation of three peaks of magmatic activity: 192.2±2.8, 157.4±3.5 and 131.5±0.8 million years) depths and temperatures (accordingly: 70−110 km and to 120 km, 1430−1580°С; 60−110 km, 1390−1580°С; 50−140 km, 1350−1690°С) of mantle melting with formation of deep sources of the FJL magmas.
Full Text
ВВЕДЕНИЕ
В последнее время магматические комплексы арктических островов и морских бассейнов привлекают все больше внимания исследователей (Силантьев и др., 1991; Столбов, 2002; Карякин и др., 2008; Симонов и др., 2008, 2009; Шипилов, Карякин, 2008, 2010; Пискарев и др., 2009; Кораго и др., 2010; Добрецов и др., 2013; Dibner, 1998; Grachev, 2001; Buchan, Ernst, 2006; Sushevskaya et al., 2008; Senger et al., 2014; и др.). Особенно это касается самого северного региона России ― архипелага Земля Франца-Иосифа (ЗФИ). Значительное число публикаций содержит геолого-петрологические, изотопно-геохимические и минералогические данные о базальтовых комплексах ЗФИ (Столбов, 2002; Карякин и др., 2008, 2010; Карякин, Шипилов, 2008; Шипилов, Карякин, 2008; Пискарев и др., 2009; Столбов, Суворова, 2010; Добрецов и др., 2013; Dibner, 1998; Grachev, 2001; Ntaflos, Richter, 2003; Karyakin et al., 2009, 2011; Sklyarov et al., 2016, и др.). В то же время многие вопросы, связанные с физико-химическими условиями магматических систем, остаются открытыми и решить их с помощью традиционных методов весьма трудно. В частности, базальты из потоков и из даек (силлов) могут иметь близкие геохимические характеристики, но РТ-параметры расплавов были различными, так как первые кристаллизовались на поверхности, а вторые ― практически в интрузивных камерах при повышенных давлениях. В случае базальтовых порфиритов, первыми (и в большинстве случаев на глубине) начинают формироваться вкрапленники и только потом (обычно уже в приповерхностных условиях) из расплавов фактически иного состава (так как часть химических компонентов, и в первую очередь таких как магний, уходит в состав фенокристаллов) кристаллизуются микрокристаллики основной массы. Еще одной проблемой является отбор образцов, наиболее достоверно представляющих составы расплавов, из которых кристаллизовались минералы, так как если будут проанализированы из одного потока (дайки, силла) микрозернистые закалочные образцы и пробы с преобладанием вкрапленников, то результаты анализов будут различны, хотя поступающая глубинная магма была, скорее всего, однородной. Наконец, нельзя не учитывать роль вторичных изменений изучаемых базальтов, которые могут существенно отдалить состав породы от химических характеристик расплава. Есть еще целый ряд факторов, показывающих, что используя только геологические, петрологические и геохимические методы, трудно решить все проблемы генезиса базальтовых комплексов. В связи с этим для выяснения условий магматизма ЗФИ перспективными являются исследования расплавных включений в минералах, успешно используемые для определения параметров кристаллизации базальтовых пород из различных регионов мира (Соболев, Никогосян, 1994; Соболев, 1996; Симонов и др., 1999, 2005, 2010, 2016; Наумов и др., 2006, 2008; Black et al., 2012; Plechov et al., 2015; Sibik et al., 2015; Portnyagin et al., 2015, и мн. др.). Наиболее эффективным является комплексный подход с изучением составов расплавных включений и содержащих их минералов, с помощью которого можно получить достоверную и детальную информацию о физико-химических условиях расплавов, формировавших базальтовые породы ЗФИ.
Исследованные нами юрско-меловые вулканогенные комплексы архипелага ЗФИ входят в состав Баренцевоморской магматической провинции, в строении которой помимо базальтоидов ЗФИ участвуют одновозрастные вулканические образования архипелагов Свальбард (Senger et al., 2014) и Земля Короля Карла (Smith et al., 1976), а также многочисленные силлы, выявленные по геолого-геофизическим данным в акватории Баренцева моря (Шипилов и др., 2009).
Основой проведенных исследований послужили представительные коллекции базальтовых пород, собранные в период с 2006 по 2018 г. во время экспедиций на ЗФИ, в которых принимал непосредственное участие один из авторов статьи (Ю.В. Карякин). Изучение многочисленных образцов, отобранных на архипелаге, позволило получить новые данные об изотопно-геохимических особенностях базальтов ЗФИ (Карякин и др., 2008, 2009, 2010; Карякин, Шипилов, 2009; Karyakin et al., 2011, и др.). В частности, проведенное 40Ar/39Ar датирование на масс-спектрометре Noble Gas 5400 в Институте геологии и минералогии им. В.С. Соболева СО РАН показало, что формирование базальтоидов ЗФИ происходило в период 197−121 млн лет (ранняя юра – ранний мел). В целом было установлено, что на ЗФИ выделяются три пика активной вулканической деятельности: 190.1, 156.8 и 132.5 млн лет (Karyakin et al., 2011). В последнее время нами получены новые определения 40Ar/39Ar возраста вулканитов архипелага, которые не только подтвердили «трехпиковую» вулканическую активность, но и позволили более точно определить абсолютные значения максимумов магматической деятельности: 192.2±2.8, 157.4±3.5 и 131.5±0.8 млн лет. Именно эти значения используются в статье при рассмотрении особенностей эволюции магматизма ЗФИ во времени.
Ранее были проведены также геохимические исследования собранных на архипелаге ЗФИ образцов. Полученные результаты (прежде всего данные по редкоземельным элементам) показали, что в ходе эволюции магматизма на архипелаге ЗФИ происходила последовательная смена составов базальтовых пород от низкокалиевых в ранней юре через низкокалиевые/субщелочные в поздней юре к преимущественно субщелочным в раннем мелу (Карякин и др., 2010; Karyakin et al., 2011).
Как было уже отмечено, в распоряжении авторов имеется представительная коллекция, собранная непосредственно на архипелаге ЗФИ. Проведенные исследования многочисленных образцов базальтовых пород показали, что только в случае девяти из них, отобранных на пяти островах (рис. 1) и представляющих разновозрастные магматические системы и разные фациальные проявления (покровы, дайки, силлы) магматизма ЗФИ (табл. 1), удалось получить представительную информацию по расплавным включениям и содержащим их минералам.
Петрографический состав изученных вулканитов архипелага не отличается большим разнообразием. Большинство покровов сложены базальтами со стеклом (5−20%), дайки и силлы ― долеритами и базальтами (<5% стекла). В составе вкрапленников преобладают плагиоклаз и клинопироксен (авгит), редко оливин. Рудные минералы представлены титаномагнетитом и ильменитом. Структура пород порфировая или долеритовая. Для первой типичны гломеропорфировые или монокристаллические выделения плагиоклаза, реже клинопироксена, достигающие размера до 4−5 мм. Для второй ― наличие каркаса из лейст плагиоклаза длиной более 1 мм, пространство между которыми заполнено преимущественно мелкими зернами клинопироксена. Отмечается незначительная серицитизация плагиоклаза. Оливин и стекло в разной степени замещены палагонитом.
Рис. 1. Схема расположения точек отбора исследованных образцов на островах архипелага Земля Франца-Иосифа (ЗФИ).
Расплавные включения, с которыми было возможно провести высокотемпературные экспериментальные работы в микротермокамере по гомогенизации их содержимого и получения стекла при закалке, были найдены исключительно во вкрапленниках, представленных преимущественно плагиоклазом и редко клинопироксеном. В связи с этим детально изученные образцы базальтовых пород ЗФИ (табл. 1) представляют собой главным образом порфириты, в которых преобладают обычно фенокристаллы плагиоклаза (рис. 2а), либо (в меньшей степени) клинопироксена (рис. 2б), кристаллизовавшиеся раньше и из другого расплава, чем основная микрокристаллическая масса, представляющая собой фактически остаточный расплав. В случае совместного нахождения идиоморфных и близких по размерам фенокристаллов плагиоклаза и клинопироксена в закалочном стекловатом матриксе (рис. 2в) явные критерии последовательности (или одновременности) кристаллизации минералов-вкрапленников отсутствуют.
Рис. 2. Базальтовые породы ЗФИ с вкрапленниками плагиоклаза (а), клинопироксена (б) и с фенокристами обоих минералов (в) в стекловатой основной массе. Фото тонких (0.2 мм) полированных пластинок для исследования расплавных включений.
МЕТОДЫ ИССЛЕДОВАНИЯ
Содержания основных химических компонентов и редких элементов в базальтовых породах ЗФИ определялись химическим методом и рентгенофлуоресцентным анализом (РФА) на спектрометре S4 Pioneer в Геологическом институте РАН (Москва). Концентрации редких и редкоземельных элементов в породах получены на квадрупольном ИСП-масс-спектрометре Agilent 7500 в Институте земной коры СО РАН, г. Иркутск.
Составы минералов и расплавных включений из базальтовых пород ЗФИ определены на микроанализаторе Camebax-micro в ЦКП многоэлементных и изотопных исследований СО РАН, г. Новосибирск. Пределы обнаружения (мас.%) компонентов: SiO2 ― 0.007, TiO2 ― 0.032, Al2O3 ― 0.011, FeO ― 0.019, MnO ― 0.034, MgO ― 0.011, CaO ― 0.008, Na2O ― 0.017, K2O ― 0.009. Cтандаpты ― альбит (АВ), ортоклаз (OR), диопсид (DI).
Расплавные включения в минералах исследовались в Лаборатории геодинамики и магматизма Института геологии и минералогии им. В.С. Соболева СО РАН. Эксперименты с включениями (с установлением температур гомогенизации и закалкой гомогенного содержимого в стекло) проводились в высокотемпературной микротермокамере с инертной средой (Соболев, Слуцкий, 1984) на основе имеющихся методик (Симонов, 1993; Sobolev, Danyushevsky, 1994, и др.). Для исключения процессов окисления препарата в ходе опытов происходила постоянная продувка инертным газом. Учитывая незначительную вязкость базальтовых расплавов, время экспериментов при температуре свыше 1000°С не превышало 10 минут. После фиксации температуры гомогенизации содержимое включений резко закаливалось путем простого выключения электричества. При этом с учетом того, что корпус микротермокамеры постоянно охлаждается проточной холодной водой, а металлический нагреватель остывает практически мгновенно, содержимое включений не успевает раскристаллизоваться и в итоге мы имеем чистое гомогенное стекло во включениях. Необходимо отметить, что во время опытов наблюдение проводилось за несколькими (3−5 штук) включениями, часть из которых при температурах 1100−1200°С (и выше) обычно фактически уничтожалась в основном из-за развития микротрещин, но изучение сохранившихся включений позволяло получить достаточный объем полезной информации.
Содержания редких, редкоземельных элементов и воды в стеклах прогретых расплавных включений определены методом вторично-ионной масс-спектрометрии на ионном микроанализаторе IMS-4f в Ярославском филиале Физико-технологического института РАН (ЯФ ФТИАН) по опубликованной методике (Соболев, 1996). Пределы обнаружения: Н2О ― 0.05 мас.%, редкие и редкоземельные элементы ― 0.01 г/т. Использовались международные стандарты ― NIST 610 и NIST 611.
Учитывая значительную трудоемкость проведения высокотемпературных экспериментов с расплавными включениями, количество данных по температурам гомогенизации получается в большинстве случаев весьма ограничено по сравнению с количеством анализов составов минералов-хозяев. В связи с этим для получения дополнительной представительной информации по температурам кристаллизации клинопироксенов использованы расчеты на основе их составов. Был задействован целый ряд минералогических термометров (Перчук, 1980; Mercier, 1980; Lindnsley, Dixon, 1983; Nimis, Taylor, 2000, и др.), и полученные результаты протестированы с учетом высокотемпературных экспериментов по определению температур гомогенизации расплавных включений. В итоге было выяснено, что наиболее близкие к экспериментальным параметрам (по включениям) расчетные данные (по составам клинопироксена) получены при использовании термометра (Lindnsley, Dixon, 1983).
При обработке полученной по включениям информации применение известной программы PETROLOG (Danyushevsky, Plechov, 2011) позволило рассмотреть возможные причины разного состава стекол прогретых расплавных включений в плагиоклазе и в клинопироксене из одного образца эффузивов ЗФИ.
Таблица 1. Химические составы образцов базальтовых пород ЗФИ, в которых были изучены минералы и расплавные включения
Компонент | о. Земля Александры | о. Нортбрук | о. Гукера | о. Циглера | ||
покров (J1) | покров (K1) | покров (K1) | покров (J3) | покров (J1) | покров (K1) | |
189.9±3.1 млн лет | 131.2±5.9 млн лет | 127.5±5.2 млн лет | 158.4±5.4 млн лет | 189.1±11.4 млн лет | 137.0±8.5 млн лет | |
Образец | ||||||
25-6 | 28-9 | 104-2 | Н-5 | 38-5 | 171-3 | |
SiO2 | 47.13 | 45.95 | 46.41 | 47.07 | 46.90 | 52.20 |
TiO2 | 1.53 | 2.04 | 1.88 | 1.84 | 1.84 | 2.22 |
Al2O3 | 15.10 | 13.50 | 15.20 | 14.90 | 14.80 | 13.40 |
Fe2O3 | 6.85 | 5.12 | 3.86 | 2.06 | 3.43 | 3.63 |
FeO | 5.08 | 9.16 | 9.53 | 9.84 | 8.61 | 8.42 |
MnO | 0.19 | 0.21 | 0.21 | 0.18 | 0.19 | 0.16 |
MgO | 6.02 | 4.67 | 7.00 | 5.90 | 5.67 | 4.90 |
CaO | 12.10 | 11.60 | 11.05 | 12.20 | 12.60 | 7.75 |
Na2O | 2.80 | 2.64 | 2.26 | 3.04 | 2.45 | 2.54 |
K2O | 0.22 | 0.20 | 0.19 | 0.12 | 0.09 | 1.00 |
P2O5 | 0.13 | 0.25 | 0.23 | 0.14 | 0.19 | 0.28 |
ппп | 2.38 | 3.80 | 2.20 | 2.24 | 2.78 | 2.85 |
Сумма | 99.53 | 99.14 | 100.02 | 99.53 | 99.55 | 99.38 |
Sc | 35 | 43 | 39 | 39 | 33 | 30 |
V | 274 | 345 | 351 | 291 | 300 | 285 |
Cr | 144 | 124 | 99 | 150 | 182 | 64 |
Ni | 90 | 86 | 103 | 89 | 95 | 26 |
Co | 43 | 49 | 39 | 39 | 42 | 29 |
Rb | 6.52 | 3.44 | 8.10 | 5.26 | 6.86 | 40 |
Sr | 215.6 | 203.9 | 164.0 | 243.6 | 231.1 | 306 |
Y | 26 | 33 | 27 | 28 | 29 | 28 |
Zr | 99 | 135 | 114 | 118 | 114 | 271 |
Nb | 7.03 | 10.04 | 7.20 | 7.58 | 7.53 | 22 |
Ba | 85 | 133 | 64 | 139 | 104 | 165 |
Th | 1.47 | 1.32 | 0.77 | 1.38 | 1.32 | 4.53 |
U | 0.19 | 0.36 | 0.26 | 0.27 | 0.16 | 1.19 |
Hf | 3.22 | 4.33 | 2.84 | 3.70 | 3.79 | 6.72 |
Ta | 0.56 | 0.79 | 0.06 | 0.62 | 0.62 | 0.52 |
La | 8.26 | 10.28 | 7.46 | 8.51 | 8.55 | 24.75 |
Ce | 20.72 | 25.95 | 19.23 | 22.03 | 22.42 | 57.42 |
Pr | 2.96 | 3.83 | 2.88 | 3.26 | 3.30 | 7.33 |
Nd | 13.88 | 17.92 | 14.05 | 15.68 | 15.86 | 30.21 |
Sm | 4.00 | 5.40 | 4.17 | 4.57 | 4.73 | 7.86 |
Eu | 1.37 | 1.78 | 1.39 | 1.56 | 1.61 | 2.18 |
Gd | 4.56 | 6.07 | 4.67 | 5.26 | 5.42 | 8.05 |
Tb | 0.81 | 1.08 | 0.84 | 0.94 | 0.94 | 1.38 |
Dy | 5.10 | 6.82 | 5.58 | 5.82 | 6.01 | 7.89 |
Ho | 1.07 | 1.41 | 1.22 | 1.25 | 1.25 | 1.58 |
Er | 3.12 | 3.84 | 3.32 | 3.57 | 3.57 | 4.60 |
Tm | 0.45 | 0.57 | 0.50 | 0.52 | 0.51 | 0.66 |
Yb | 2.74 | 3.51 | 3.02 | 3.07 | 3.05 | 4.10 |
Lu | 0.46 | 0.61 | 0.47 | 0.52 | 0.52 | 0.63 |
Gd/Ybn | 1.34 | 1.40 | 1.25 | 1.38 | 1.43 | 1.58 |
La/Smn | 1.30 | 1.20 | 1.13 | 1.17 | 1.14 | 1.98 |
La/Ybn | 2.03 | 1.97 | 1.67 | 1.87 | 1.89 | 4.07 |
Nb/Lapm | 0.85 | 0.97 | 0.96 | 0.88 | 0.87 | 0.88 |
Nb/Thpm | 0.56 | 0.90 | 1.10 | 0.65 | 0.67 | 0.57 |
Th/Lapm | 1.50 | 1.08 | 0.87 | 1.37 | 1.30 | 1.54 |
Компонент | о. Хейса | ||
дайка (K1) | дайка (K1) | силл (K1) | |
133.8±3.4 млн лет | 125.2±5.5 млн лет | 131.6±2.4 млн лет | |
Образец | |||
65-3 | 40-2 | 81-2 | |
SiO2 | 47.54 | 47.74 | 50.19 |
TiO2 | 3.37 | 2.56 | 2.19 |
Al2O3 | 13.90 | 13.40 | 12.72 |
Fe2O3 | 5.74 | 4.60 | 5.53 |
FeO | 8.82 | 7.74 | 9.01 |
MnO | 0.21 | 0.18 | 0.18 |
MgO | 4.79 | 4.57 | 5.64 |
CaO | 9.50 | 9.50 | 8.59 |
Na2O | 2.70 | 2.52 | 2.52 |
K2O | 0.42 | 1.11 | 0.69 |
P2O5 | 0.53 | 0.38 | 0.16 |
ппп | 2.66 | 5.57 | 2.27 |
Сумма | 100.18 | 99.87 | 99.69 |
Sc | 34 | 30 | 34 |
V | 280 | 297 | 370 |
Cr | 32 | 77 | 13 |
Ni | 26 | 62 | 41 |
Co | 33 | 36 | 41 |
Rb | 6 | 30 | 23.68 |
Sr | 470 | 298 | 241 |
Y | 39 | 40 | 38 |
Zr | 170 | 229 | 170 |
Nb | 16 | 12 | 12.85 |
Ba | 390 | 247 | 130 |
Th | 2.49 | 4.70 | 2.66 |
U | 0.68 | 1.18 | 0.45 |
Hf | 5.65 | 7.71 | 5.55 |
Ta | 1.70 | 1.28 | 0.98 |
La | 23.37 | 21.43 | 14.34 |
Ce | 58.96 | 55.18 | 36.87 |
Pr | 8.13 | 7.80 | 5.21 |
Nd | 36.59 | 34.62 | 23.14 |
Sm | 9.55 | 8.94 | 6.62 |
Eu | 3.34 | 2.73 | 2.09 |
Gd | 10.03 | 9.54 | 7.28 |
Tb | 1.61 | 1.55 | 1.28 |
Dy | 9.31 | 9.13 | 7.75 |
Ho | 1.83 | 1.78 | 1.58 |
Er | 4.89 | 4.74 | 4.37 |
Tm | 0.67 | 0.67 | 0.63 |
Yb | 3.83 | 4.04 | 3.73 |
Lu | 0.61 | 0.67 | 0.64 |
Gd/Ybn | 2.11 | 1.91 | 1.57 |
La/Smn | 1.54 | 1.51 | 1.36 |
La/Ybn | 4.11 | 3.58 | 2.59 |
Nb/Lapm | 0.68 | 0.56 | 0.89 |
Nb/Thpm | 0.76 | 0.30 | 0.57 |
Th/Lapm | 0.90 | 1.85 | 1.56 |
Примечания. Возраст ― значения 40Ar/39Ar датировок пород. n ― нормировано к хондриту согласно (Boynton, 1984). pm ― нормировано к примитивной мантии согласно (McDonough et al., 1991). J1, J3, K1 ― принадлежность к раннеюрской (J1), позднеюрской (J3) или раннемеловой (K1) активной вулканической деятельности на ЗФИ. Основные компоненты ― мас.%. Редкие и редкоземельные элементы ― ppm.
Расчетное моделирование на основе данных по составам стекол прогретых включений дало возможность оценить параметры формирования мантийных источников глубинных расплавов ЗФИ. Основой расчетов послужили результаты предыдущих исследований базальтов и базальтовых стекол, свидетельствующие о зависимости их химических составов от глубины магмогенерации (Klein, Langmuir, 1987; Langmuir et al., 1992; Shen, Forsyth, 1995; Schilling et al., 1995; и др.). В частности было показано, что повышение давления приводит к росту FeO в расплаве (Langmuir et al., 1992; Shen, Forsyth, 1995). Содержание Na2О также весьма информативно и поэтому для определения глубин образования магм используется соотношение Na8–Fe8 (Langmuir et al., 1992; Shen, Forsyth, 1995). Значения Na8 и Fe8 представляют собой содержания Na2О и FeO (в мас.%), скорректированные для MgO = 8 мас.%, которые вычисляются по формулам: Na8 = Na2O + 0.373(MgO) − 2.98 и Fe8 = FeO + 1.644(MgO) − 13.313 (Klein, Langmuir, 1987). Для корректировки эффектов гетерогенности мантии были рассчитаны значения Na(8,0.1 ) и Fe(8,0.1) согласно данным из работы (Shen, Forsyth, 1995): Na(8,0.1) = Na8 – 2.791(K2O/ TiO2 – 0.1) и Fe(8,0.1) = Fe8 + 9.643(K2O/TiO2 – 0.1), содержания K2O, TiO2 в мас.%.
В целом данный подход успешно использовался для реконструкции условий магмогенеза в современных океанах, включая и случаи развития океанических «горячих точек» (Shen, Forsyth, 1995), генетически связанных с плюмовым магматизмом. Учитывая то, что магматические системы архипелага ЗФИ, судя по имеющейся информации (Карякин и др., 2009; Шипилов и др., 2009; Добрецов и др., 2013; Симонов и др., 2015; Karyakin et al., 2009, и др.), также связаны с действием мантийного плюма, использование этой методики вполне обосновано.
Для получения наиболее достоверных данных об условиях магмогенеза использовалась также методика определения давлений и температур глубинных океанических магм (на основе данных по составам базальтовых стекол), описанная в работе (Schilling et al., 1995). В этой статье указано, что при расчете РТ-условий плавления мантии применялись модели (Klein, Langmuir, 1987; Langmuir et al., 1992), в которых связываются вариации параметров расплавов и изменение Na8 в их составе. Основой расчетов служили результаты исследований базальтов и базальтовых стекол, свидетельствующие о зависимости их химических составов от глубины магмогенерации (Klein, Langmuir, 1987; Langmuir et al., 1992). Нами были использованы основные принципы этой методики применительно к стеклам прогретых гомогенизированных включений в минералах из пород архипелага Земля Франца-Иосифа. При этом формулы, находящиеся в публикациях (Klein, Langmuir, 1987; Sсhilling et al., 1995), были адаптированы к программе Excel. В целом использован следующий алгоритм расчета исходных параметров плавления мантии (глубины, км) ― Zo, (температуры, оС) ― To, (давления, кбар) ― Po: Zo = Po / 0.33; To = 1150 + 12Po; Po = (F + F2) / 0.006. F (степень плавления) = (a + b/Na8 + c/Na82 + d/Na83 + e/Na84) / 2. Na8 = Na2O + 0.373MgO – 2.98 (см. выше).
Коэффициенты для расчета F: a = −0.07802; b = 0.896582; c = −0.73549; d = 0.803368; e = −0.31765.
В целом необходимо отметить, что основой расчетов параметров глубинных магм с помощью отмеченных выше методик служили главным образом данные по базальтовым стеклам, наиболее полно отвечающим составам существовавших расплавов. Стекла прогретых первичных включений играют такую же роль, соответствуя составам реальных расплавов, из которых рос минерал. В связи с этим подтверждается правомерность их использования для реконструкций условий глубинных источников магм ЗФИ.
Результаты определения глубин магмогенерации округляются и приводятся в виде интервалов с шагом не менее 10 км.
СОСТАВЫ ПОРОД
Результаты петрохимических и геохимических исследований образцов, собранных на островах архипелага ЗФИ, опубликованы частично ранее (Карякин и др., 2010; Karyakin et al., 2011; Sklyarov et al., 2016; и др.). Петрохимический анализ с привлечением данных и других исследователей (Balley, Brooks, 1988; Grachev, 2001; Ntaflos, Richter, 2003) свидетельствует о том, что породы ЗФИ относятся к базальтам нормальной щелочности и формируют отчетливый тренд увеличения суммы (Na2O+K2O) на фоне роста SiO2, вдоль которого располагаются составы образцов, в которых нами были детально изучены расплавные включения (рис. 3). Из рассмотренных проб наибольший разброс компонентов характерен для «молодых» (ранний мел) покровов и силлов. Более древние (юрские) покровы и «молодые» (ранний мел) дайки находятся компактно, тесно ассоциируя с мезозойскими диабазами архипелага Шпицберген, находящимися в поле базальтов ЗФИ. В целом, большинство данных по базальтовым породам ЗФИ располагается в поле толеитовых платобазальтов Сибирской платформы, а наиболее обогащенные ассоциируют с данными по субщелочным платобазальтам Сибирской платформы (рис. 3).
Рис. 3. Диаграмма (Na2O + K2O) – SiO2 для пород ЗФИ. 1 – базальтовые породы ЗФИ (использованы данные из работ Balley, Brooks, 1988; Grachev, 2001; Ntaflos, Richter, 2003; Sklyarov et al., 2016); 2−4 ― составы образцов базальтовых пород ЗФИ, в которых были изучены минералы и расплавные включения: покровы раннемелового (2), позднеюрского (3) и раннеюрского (4) возрастов, дайки (5) и силлы (6). Sp ― поле диабазов мезозойского возраста архипелага Шпицберген (по данным: Шипилов, Карякин, 2010). Поля толеитовых (SPT) и субщелочных (SPSA) базальтовых пород Сибирской платформы (Золотухин и др., 2003; Симонов и др., 2005). Серии пород: субщелочные (SA) и нормальной щелочности (N) (Магматические…, 1983, 1987).
Рис. 4. Диаграмма TiO2–FeO/MgO для пород ЗФИ. Условные обозначения см. на рис. 3.
По соотношению TiO2–FeO/MgO (рис. 4) устанавливается тренд одновременного роста титана и железистости, вдоль которого намечается эволюция составов детально изученных образцов от древних к более молодым. При этом они стартуют в поле толеитовых платобазальтов Сибирской платформы, пересекают поле субщелочных платобазальтов Сибири и показывают максимальные содержания титана, тесно ассоциируя с диабазами архипелага Шпицберген (рис. 4).
В целом, на рис. 3 и 4 видны тренды эволюции составов базальтовых пород ЗФИ с переходом от серий с нормальной щелочностью к обогащенным (субщелочным) эффузивам, что подтверждает опубликованные ранее данные (Карякин и др., 2010; Karyakin et al., 2011).
СОСТАВЫ МИНЕРАЛОВ
Изучены составы плагиоклазов (табл. 2) и клинопироксенов (табл. 3) из базальтовых пород ЗФИ, в которых были найдены расплавные включения.
Плагиоклазы исследованы в образцах 25-6, 28-9, Н-5, 38-5, 65-3, 40-2, 81-2 (рис. 1, табл. 1). Выяснено, что плагиоклазы базальтовых покровов ЗФИ относятся к битовниту. При этом обнаруживается изменение составов минералов во времени (согласно трем пикам магматической активности: 192.2±2.8 → 157.4±3.5 → 131.5±0.8 млн лет) с увеличением диапазона An, обусловленным падением его минимальных значений: 73 → 73 → 69 (рис. 5). В отличие от минералов из покровов плагиоклазы из даек и силлов характеризуются меньшими значениями An (49-71), показывая преобладание лабрадора. При этом фактически одновозрастные покров о. Земля Александры, а также дайка и силл о. Хейса обладают разными по составу вкрапленниками плагиоклаза: An69-86 (покров) и An49-64 (дайка и силл). Это связано с тем, что покровы формируются быстро при застывании изливающихся на поверхность расплавов и в них сохраняются вкрапленники с высокими значениями An. В дайках и особенно в силлах возможны более длительные процессы фракционирования и кристаллизации плагиоклазов с меньшими содержаниями анортитового компонента.
Рис. 5. Особенности изменения состава плагиоклазов в базальтовых породах ЗФИ в зависимости от времени их формирования. Плагиоклазы из покровов раннемелового (1), позднеюрского (2) и раннеюрского (3) возрастов. Плагиоклазы из даек (4) и силлов (5). An = Ca × 100 / (Ca + Na + K).
Рис. 6. Диаграмма К2O–An для плагиоклазов в базальтовых породах ЗФИ. Поля плагиоклазов из базальтовых пород архипелага Шпицберген (Sp, по данным Bailey, Rasmussen, 1997), Сибирской платформы (ESB, по данным Симонов и др., 2005; Black et al., 2012) и фундамента Западной Сибири (WSB; Симонов и др., 2010). Остальные условные обозначения см. на рис. 5.
На диаграмме K2O−An (рис. 6) составы плагиоклазов из покровов ЗФИ попадают в поля минералов из платобазальтов Сибирской платформы. Плагиоклазы из даек и силлов (с меньшими An) тесно ассоциируют с данными по минералам долеритовых силлов из фундамента Западно-Сибирского осадочного бассейна (являющихся продуктом действия Сибирского плюма, Симонов и др., 2010) и из диабазов архипелага Шпицберген. В целом для ЗФИ выделяются три группы: одна объединяет плагиоклазы из покровов и две представляют минералы из даек и силлов (рис. 6).
Таблица 2. Представительные анализы (мас.%) плагиоклазов из базальтовых пород ЗФИ
Компонент | Образец | ||||||||||||||||
25 6 | 25 6 | 25 6 | 25 6 | 25 6 | 28 9 | 28 9 | 28 9 | 28 9 | 28 9 | H-5 | H-5 | H-5 | H-5 | H-5 | 38 5 | 38 5 | |
Анализ | |||||||||||||||||
1 | 9 | 60 | 61 | 66 | 58 | 67 | 76 | 77 | 95 | 5 | 7 | 15 | 20 | 29 | 50 | 67 | |
SiO2 | 48.61 | 48.83 | 47.86 | 49.46 | 47.59 | 49.57 | 51.50 | 50.66 | 46.76 | 48.75 | 50.48 | 49.02 | 49.24 | 47.44 | 49.63 | 49.88 | 49.53 |
TiO2 | 0.05 | 0.05 | 0.02 | 0.05 | 0.02 | 0.05 | 0.06 | 0.04 | 0.01 | 0.04 | 0.06 | 0.06 | 0.07 | 0.04 | 0.06 | 0.07 | 0.04 |
Al2O3 | 32.02 | 32.12 | 32.40 | 31.58 | 33.38 | 31.59 | 30.55 | 30.80 | 33.31 | 32.32 | 29.98 | 31.83 | 31.86 | 33.30 | 31.52 | 30.79 | 31.56 |
Cr2O3 | 0.01 | 0.00 | 0.00 | 0.00 | 0.00 | 0.00 | 0.00 | 0.00 | 0.00 | 0.00 | 0.00 | 0.00 | 0.00 | 0.00 | 0.00 | 0.00 | 0.00 |
FeO | 0.53 | 0.54 | 0.52 | 0.68 | 0.65 | 0.63 | 0.61 | 0.60 | 0.51 | 0.65 | 0.56 | 0.59 | 0.62 | 0.63 | 0.64 | 0.61 | 0.68 |
MnO | 0.00 | 0.01 | 0.00 | 0.01 | 0.00 | 0.01 | 0.00 | 0.00 | 0.00 | 0.00 | 0.00 | 0.01 | 0.00 | 0.00 | 0.00 | 0.00 | 0.00 |
MgO | 0.22 | 0.24 | 0.20 | 0.22 | 0.16 | 0.17 | 0.17 | 0.19 | 0.15 | 0.15 | 0.22 | 0.21 | 0.21 | 0.17 | 0.21 | 0.22 | 0.19 |
CaO | 15.95 | 15.82 | 16.37 | 15.42 | 16.71 | 14.91 | 13.80 | 14.33 | 17.01 | 15.64 | 14.51 | 15.65 | 15.56 | 17.04 | 15.29 | 14.78 | 15.58 |
Na2O | 2.06 | 2.17 | 1.99 | 2.65 | 1.76 | 2.74 | 3.46 | 3.24 | 1.60 | 2.42 | 2.92 | 2.44 | 2.52 | 1.73 | 2.69 | 3.10 | 2.75 |
K2O | 0.05 | 0.06 | 0.05 | 0.07 | 0.04 | 0.05 | 0.08 | 0.08 | 0.02 | 0.03 | 0.06 | 0.05 | 0.06 | 0.02 | 0.05 | 0.08 | 0.06 |
Сумма | 99.49 | 99.81 | 99.42 | 100.14 | 100.31 | 99.71 | 100.24 | 99.94 | 99.36 | 100.01 | 98.78 | 99.86 | 100.13 | 100.37 | 100.07 | 99.52 | 100.37 |
An | 80.81 | 79.85 | 81.71 | 75.99 | 83.80 | 74.81 | 68.46 | 70.62 | 85.34 | 77.98 | 73.04 | 77.77 | 77.08 | 84.38 | 75.63 | 72.17 | 75.55 |
Компонент | Образец | ||||||||||||||||
38 5 | 38 5 | 65-3 | 65-3 | 65-3 | 65-3 | 65-3 | 40-2 | 40-2 | 40-2 | 40-2 | 40-2 | 81-2 | 81-2 | 81-2 | 81-2 | 81-2 | |
Анализ | |||||||||||||||||
96 | 162 | 168 | 169 | 174 | 185 | 190 | 1 | 13 | 20 | 27 | 37 | 1 | 6 | 21 | 22 | 37 | |
SiO2 | 47.51 | 49.20 | 54.50 | 53.23 | 55.69 | 54.18 | 55.50 | 50.35 | 51.33 | 52.36 | 48.96 | 50.26 | 52.56 | 54.31 | 55.01 | 55.91 | 53.64 |
TiO2 | 0.04 | 0.05 | 0.09 | 0.10 | 0.10 | 0.09 | 0.09 | 0.07 | 0.11 | 0.08 | 0.07 | 0.06 | 0.09 | 0.08 | 0.07 | 0.11 | 0.06 |
Al2O3 | 32.57 | 32.58 | 28.46 | 28.78 | 27.39 | 28.61 | 27.63 | 31.12 | 30.62 | 30.24 | 31.61 | 31.83 | 29.00 | 27.96 | 27.03 | 26.92 | 28.63 |
Cr2O3 | 0.00 | 0.00 | 0.00 | 0.00 | 0.00 | 0.00 | 0.00 | 0.03 | 0.02 | 0.00 | 0.00 | 0.00 | 0.00 | 0.00 | 0.00 | 0.00 | 0.00 |
FeO | 0.50 | 0.51 | 0.63 | 0.72 | 0.59 | 0.67 | 0.53 | 0.49 | 0.46 | 0.50 | 0.50 | 0.46 | 0.88 | 0.74 | 0.91 | 0.67 | 0.80 |
MnO | 0.00 | 0.00 | 0.00 | 0.01 | 0.00 | 0.01 | 0.00 | 0.00 | 0.00 | 0.01 | 0.03 | 0.03 | 0.00 | 0.00 | 0.00 | 0.00 | 0.00 |
MgO | 0.17 | 0.15 | 0.11 | 0.10 | 0.09 | 0.12 | 0.10 | 0.16 | 0.14 | 0.15 | 0.16 | 0.14 | 0.14 | 0.12 | 0.12 | 0.11 | 0.13 |
CaO | 16.85 | 16.40 | 10.97 | 11.93 | 10.09 | 11.41 | 10.23 | 14.48 | 13.65 | 13.09 | 15.38 | 15.58 | 12.85 | 11.70 | 10.90 | 10.58 | 12.11 |
Na2O | 1.79 | 2.01 | 5.09 | 4.74 | 5.72 | 4.82 | 5.64 | 3.21 | 3.45 | 3.77 | 2.62 | 2.46 | 3.94 | 4.77 | 5.08 | 5.40 | 4.39 |
K2O | 0.03 | 0.05 | 0.15 | 0.13 | 0.22 | 0.16 | 0.18 | 0.17 | 0.22 | 0.24 | 0.11 | 0.15 | 0.14 | 0.17 | 0.25 | 0.21 | 0.19 |
Сумма | 99.45 | 100.93 | 100.00 | 99.74 | 99.88 | 100.07 | 99.90 | 100.08 | 100.00 | 100.44 | 99.46 | 100.97 | 99.60 | 99.85 | 99.37 | 99.91 | 99.96 |
An | 83.74 | 81.61 | 53.89 | 57.74 | 48.74 | 56.15 | 49.54 | 70.66 | 67.74 | 64.81 | 75.93 | 77.11 | 63.78 | 56.97 | 53.47 | 51.35 | 59.71 |
Примечания. An (анортитовый компонент) = Ca × 100 / (Ca + Na + K).
Таблица 3. Представительные анализы (мас.%) клинопироксенов из базальтовых пород ЗФИ
Компонент | Образец | ||||||||||||||||
28 9 | 28 9 | 28 9 | 28 9 | 28 9 | 104-2 | 104-2 | 104-2 | 104-2 | 104-2 | 104-2 | 104-2 | Н-5 | Н-5 | Н-5 | Н-5 | Н-5 | |
Анализ | |||||||||||||||||
100 | 105 | 108 | 109 | 115 | 61 | 63 | 66 | 74 | 79 | 88 | 104 | 32 | 38 | 44 | 49 | 50 | |
SiO2 | 51.67 | 51.78 | 51.66 | 51.77 | 52.11 | 51.90 | 51.92 | 50.93 | 52.03 | 51.10 | 50.24 | 50.59 | 51.50 | 51.85 | 51.58 | 50.82 | 52.36 |
K2O | 0.60 | 0.64 | 0.65 | 0.55 | 0.67 | 0.56 | 0.49 | 0.71 | 0.67 | 0.61 | 0.92 | 0.72 | 0.72 | 0.64 | 0.67 | 0.81 | 0.58 |
Al2O3 | 2.36 | 1.79 | 2.42 | 2.25 | 2.02 | 2.35 | 1.91 | 2.51 | 2.22 | 2.46 | 3.48 | 2.89 | 3.26 | 2.27 | 2.94 | 3.56 | 2.50 |
Cr2O3 | 0.26 | 0.14 | 0.28 | 0.28 | 0.21 | 0.41 | 0.27 | 0.32 | 0.17 | 0.39 | 0.40 | 0.36 | 0.32 | 0.30 | 0.51 | 0.40 | 0.47 |
FeO | 8.36 | 8.75 | 8.17 | 7.85 | 8.99 | 8.52 | 8.80 | 11.15 | 10.52 | 9.20 | 10.12 | 9.60 | 8.27 | 7.96 | 7.22 | 7.93 | 7.50 |
MnO | 0.22 | 0.23 | 0.20 | 0.19 | 0.22 | 0.18 | 0.28 | 0.29 | 0.28 | 0.23 | 0.25 | 0.21 | 0.21 | 0.16 | 0.18 | 0.20 | 0.17 |
MgO | 16.76 | 16.61 | 16.62 | 16.85 | 16.22 | 16.39 | 16.52 | 15.53 | 15.47 | 16.32 | 15.87 | 16.08 | 16.40 | 16.69 | 16.39 | 16.11 | 17.15 |
CaO | 17.68 | 17.98 | 17.94 | 18.10 | 17.64 | 18.82 | 18.88 | 17.75 | 18.31 | 18.26 | 17.44 | 18.40 | 18.73 | 18.86 | 18.99 | 18.66 | 18.24 |
Na2O | 0.23 | 0.25 | 0.26 | 0.26 | 0.26 | 0.23 | 0.24 | 0.23 | 0.22 | 0.23 | 0.25 | 0.23 | 0.26 | 0.19 | 0.26 | 0.30 | 0.26 |
K2O | 0.00 | 0.00 | 0.00 | 0.00 | 0.00 | 0.00 | 0.01 | 0.00 | 0.01 | 0.00 | 0.00 | 0.00 | 0.00 | 0.00 | 0.00 | 0.00 | 0.00 |
Сумма | 98.14 | 98.17 | 98.20 | 98.09 | 98.34 | 99.37 | 99.31 | 99.42 | 99.89 | 98.80 | 98.96 | 99.08 | 99.66 | 98.91 | 98.74 | 98.79 | 99.22 |
Mg# | 78.13 | 77.18 | 78.38 | 79.27 | 76.28 | 77.42 | 76.99 | 71.28 | 72.38 | 75.97 | 73.65 | 74.90 | 77.94 | 78.89 | 80.18 | 78.36 | 80.29 |
Компонент | Образец | ||||||||||||||||
38-5 | 38-5 | 38-5 | 38-5 | 38-5 | 38-5 | 171-3 | 171-3 | 171-3 | 171-3 | 171-3 | 171-3 | 171-3 | 65-3 | 65-3 | 65-3 | 65-3 | |
Анализ | |||||||||||||||||
11 | 17 | 18 | 38 | 46 | 53 | 2 | 26 | 34 | 39 | 42 | 46 | 48 | 194 | 204 | 205 | 213 | |
SiO2 | 51.97 | 52.51 | 51.73 | 51.90 | 51.53 | 52.13 | 49.10 | 48.70 | 49.02 | 49.16 | 50.03 | 51.10 | 50.73 | 50.43 | 50.47 | 49.18 | 50.25 |
TiO2 | 0.43 | 0.43 | 0.54 | 0.49 | 0.50 | 0.49 | 1.11 | 0.84 | 1.13 | 0.92 | 0.83 | 0.91 | 0.89 | 1.18 | 1.12 | 1.41 | 1.04 |
Al2O3 | 1.89 | 2.00 | 2.72 | 2.58 | 2.53 | 2.48 | 3.16 | 2.17 | 3.79 | 3.11 | 2.28 | 2.54 | 2.81 | 3.96 | 3.95 | 4.29 | 3.06 |
Cr2O3 | 0.52 | 0.38 | 0.55 | 0.40 | 0.49 | 0.62 | 0.00 | 0.12 | 0.17 | 0.03 | 0.05 | 0.23 | 0.28 | 0.00 | 0.00 | 0.00 | 0.03 |
FeO | 7.32 | 8.02 | 8.25 | 7.61 | 7.96 | 7.40 | 11.64 | 10.78 | 10.38 | 11.68 | 11.36 | 8.77 | 9.34 | 10.11 | 10.35 | 10.57 | 10.06 |
MnO | 0.18 | 0.19 | 0.21 | 0.21 | 0.22 | 0.16 | 0.27 | 0.30 | 0.27 | 0.28 | 0.28 | 0.21 | 0.20 | 0.23 | 0.23 | 0.26 | 0.30 |
MgO | 16.97 | 17.19 | 16.62 | 16.94 | 16.62 | 16.78 | 14.77 | 16.02 | 14.87 | 15.12 | 15.56 | 16.45 | 15.84 | 14.78 | 14.87 | 14.61 | 15.55 |
CaO | 18.90 | 19.01 | 18.80 | 19.49 | 19.36 | 19.52 | 18.15 | 17.62 | 18.29 | 17.38 | 17.71 | 18.96 | 18.91 | 17.95 | 17.71 | 17.81 | 17.70 |
Na2O | 0.24 | 0.24 | 0.27 | 0.24 | 0.27 | 0.26 | 0.32 | 0.25 | 0.35 | 0.38 | 0.29 | 0.28 | 0.30 | 0.54 | 0.56 | 0.52 | 0.40 |
K2O | 0.01 | 0.00 | 0.00 | 0.01 | 0.00 | 0.00 | 0.02 | 0.01 | 0.01 | 0.01 | 0.01 | 0.01 | 0.00 | 0.00 | 0.00 | 0.00 | 0.00 |
Сумма | 98.43 | 99.97 | 99.69 | 99.87 | 99.48 | 99.84 | 98.53 | 96.81 | 98.28 | 98.07 | 98.39 | 99.45 | 99.31 | 99.18 | 99.26 | 98.66 | 98.39 |
Mg# | 80.51 | 79.25 | 78.21 | 79.87 | 78.82 | 80.16 | 69.34 | 72.59 | 71.85 | 69.76 | 70.94 | 76.97 | 75.14 | 72.26 | 71.91 | 71.12 | 73.37 |
Примечания. Mg# = Mg × 100 / (Mg + Fe2+).
Клинопироксены, детально изученные в образцах 28-9, 104-2, Н-5, 38-5, 171-3, 65-3 (рис. 1, табл. 1), представлены авгитами. Клинопироксены из покровов показывают рост диапазона магнезиальности во времени (192.2±2.8 → 157.4±3.5 → 131.5±0.8 млн лет), что связано в основном с уменьшением ее минимальных значений: 78 → 78 → 69 (рис. 7).
Состав клинопироксенов (табл. 3) свидетельствует о принадлежности базальтоидов ЗФИ к разным сериям. Это видно на диаграмме TiO2–FeO (рис. 8), где большинство точек пироксенов из покровов ЗФИ располагается в поле толеитовых платобазальтов Сибирской платформы. Часть клинопироксенов из молодых (раннемеловых) покровов и даек ЗФИ находится в полях пироксенов из субщелочных базальтов Сибирской платформы, из долеритов фундамента Западной Сибири и диабазов архипелага Шпицберген. В целом устанавливается тренд накопления FeO и TiO2 в клинопироксенах при переходе от древних к более молодым комплексам ЗФИ, сопровождающийся сменой толеитовых расплавов субщелочными (рис. 8).
На основе составов клинопироксенов получена дополнительная информация к данным по расплавным включениям о температурах кристаллизации базальтовых комплексов ЗФИ. Расчеты проведены с использованием нескольких минералогических термометров. Сопоставление результатов с данными по включениям в клинопироксенах (см. ниже: температуры гомогенизации ― 1130–1210°С) показало, что наиболее близкие к экспериментальным параметрам расчетные цифры получены при использовании термометра (Lindnsley, Dixon, 1983) – 960–1215°С. Сравнение характеристик для разновозрастных базальтоидов свидетельствует о том, что со временем (от 192 до 131 млн лет) максимальные расчетные температуры расплавов увеличились от 1120 до 1215°С и это подтверждается информацией по включениям. При этом от древних к более молодым базальтовым покровам идет расширение температурного диапазона кристаллизации клинопироксенов (рис. 9) от 990–1120°С (ранняя юра) до 960–1215°С (ранний мел), что хорошо согласуется с отмеченными выше закономерными изменениями во времени составов плагиоклазов (рис. 5) и клинопироксенов (рис. 7).
Рис. 7. Особенности изменения состава клинопироксенов в базальтовых породах ЗФИ в зависимости от времени их формирования. Клинопироксены из покровов раннемелового (1): 1а ― образец 28-9; 1б ― образец 104-2; 1в ― образец 171-3; позднеюрского (2) и раннеюрского (3) возрастов. Клинопироксены из даек (4). Mg# = Mg × 100 / (Mg + Fe2+).
Рис. 8. Диаграмма TiO2–FeO для клинопироксенов в базальтовых породах ЗФИ. Поля клинопироксенов из базальтовых пород: фундамента Западной Сибири (WSB, Симонов и др., 2010); архипелага Шпицберген (Sp, по данным Weigand, Testa, 1982); субщелочных (ESBA) и толеитовых (ESBT) серий Сибирской платформы (по данным Шевко, 2002). Остальные условные обозначения см. на рис. 7.
РАСПЛАВНЫЕ ВКЛЮЧЕНИЯ В МИНЕРАЛАХ
Исследования базальтовых пород ЗФИ позволили найти расплавные включения (рис. 10) во вкрапленниках плагиоклаза и клинопироксена из покровов, даек и силлов.
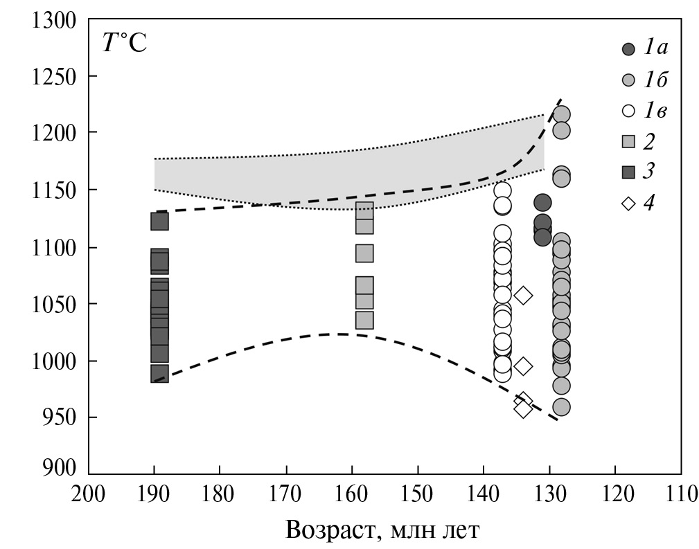
Рис. 9. Эволюция температур кристаллизации клинопироксенов из базальтовых пород ЗФИ в зависимости от времени их формирования. Серым цветом показан диапазон температур гомогенизации расплавных включений в клинопироксенах. Остальные условные обозначения см. на рис. 7.
Расплавные включения в плагиоклазах были изучены в образцах 25-6, 28-9, Н-5, 38-5, 65-3, 40-2 и обр. 81-2 (рис. 1, табл. 1). Фотографии включений в плагиоклазах ЗФИ до опытов и после экспериментов и закалки приведены на рис. 10а, б. Первичные расплавные включения (размерами от 10 до 80 мкм) располагаются равномерно в кристалле и обычно заполнены микрозернистой темной массой, которая в процессе высокотемпературных экспериментов последовательно расплавляется. После полного расплавления микрокристаллических фаз включения содержат чистый прозрачный расплав, в котором располагается уменьшающийся (при дальнейшем повышении температуры) флюидный пузырек. После закалки гомогенизированных включений они могут быть полностью гомогенными (это касается в основном включений небольшого размера), либо (что случается значительно чаще в крупных включениях) появляется флюидный пузырек (рис. 10б). Результаты анализов закалочных стекол прогретых включений в плагиоклазах находятся в табл. 4.
Рис. 10. Первичные расплавные включения в плагиоклазе (а), (б), в клинопироксене (в), и из базальтовых пород ЗФИ (г). Негретые включения ― (а), (в), (г), прогретые включения, содержащие гомогенное стекло или стекло с газовым пузырьком, ― (б).
Таблица 4. Представительные анализы (мас.%) стекол прогретых включений в плагиоклазах из базальтовых пород ЗФИ
Компонент | Образец | |||||||||||||||
25 6 | 25 6 | 25 6 | 25 6 | 25 6 | 28 9 | 28 9 | 28 9 | 28 9 | 28 9 | H-5 | H-5 | H-5 | H-5 | H-5 | 38 5 | |
Анализ | ||||||||||||||||
13 | 21 | 26 | 39 | 62 | 68 | 69 | 74 | 81 | 92 | 2 | 8 | 17 | 18 | 21 | 76 | |
SiO2 | 51.46 | 51.38 | 50.11 | 50.31 | 50.81 | 50.03 | 49.71 | 49.77 | 48.06 | 50.13 | 49.94 | 49.45 | 50.27 | 50.13 | 49.88 | 50.73 |
TiO2 | 1.08 | 1.18 | 1.34 | 1.11 | 1.24 | 1.83 | 1.81 | 1.90 | 0.98 | 1.53 | 1.91 | 1.77 | 1.53 | 1.30 | 1.42 | 1.61 |
Al2O3 | 15.00 | 14.95 | 15.04 | 15.64 | 14.29 | 16.94 | 17.19 | 15.89 | 16.59 | 17.53 | 14.01 | 14.08 | 14.82 | 19.02 | 13.99 | 14.89 |
Cr2O3 | 0.01 | 0.00 | 0.00 | 0.01 | 0.00 | 0.00 | 0.01 | 0.00 | 0.06 | 0.00 | 0.01 | 0.00 | 0.01 | 0.00 | 0.06 | 0.01 |
FeO | 11.15 | 10.91 | 10.94 | 10.35 | 11.85 | 10.97 | 11.16 | 11.12 | 12.60 | 11.11 | 12.04 | 13.12 | 11.97 | 9.93 | 11.72 | 11.86 |
MnO | 0.18 | 0.23 | 0.17 | 0.19 | 0.20 | 0.20 | 0.20 | 0.15 | 0.18 | 0.18 | 0.26 | 0.15 | 0.18 | 0.12 | 0.20 | 0.18 |
MgO | 6.55 | 6.57 | 6.84 | 6.63 | 5.89 | 4.70 | 4.63 | 5.69 | 6.29 | 4.36 | 6.10 | 6.96 | 6.15 | 4.47 | 6.78 | 6.00 |
CaO | 11.11 | 11.23 | 11.34 | 11.47 | 10.54 | 9.95 | 9.93 | 10.02 | 10.42 | 10.45 | 10.93 | 10.63 | 10.75 | 11.91 | 11.84 | 10.52 |
Na2O | 2.28 | 2.22 | 2.17 | 2.26 | 2.49 | 2.90 | 2.70 | 2.68 | 1.99 | 2.59 | 2.42 | 2.00 | 2.37 | 2.47 | 2.12 | 2.69 |
K2O | 0.41 | 0.38 | 0.39 | 0.39 | 0.40 | 0.33 | 0.33 | 0.28 | 0.22 | 0.17 | 0.34 | 0.12 | 0.38 | 0.27 | 0.31 | 0.42 |
Сумма | 99.22 | 99.05 | 98.35 | 98.36 | 97.73 | 97.85 | 97.68 | 97.50 | 97.38 | 98.04 | 97.95 | 98.28 | 98.43 | 99.62 | 98.32 | 98.92 |
Тгом.°С | 1195 | 1195 | 1190 | 1200 | 1210 | 1170 | 1170 | 1170 | 1205 | 1190 | 1150 | 1170 | 1165 | 1165 | 1165 | 1175 |
Компонент | Образец | |||||||||||||||
38 5 | 38 5 | 38 5 | 65-3 | 65-3 | 65-3 | 40-2 | 40-2 | 40-2 | 40-2 | 40-2 | 81-2 | 81-2 | 81-2 | 81-2 | 81-2 | |
Анализ | ||||||||||||||||
105 | 142 | 159 | 159 | 165 | 182 | 18 | 24 | 29 | 40 | 46 | 4 | 8 | 10 | 19 | 32 | |
SiO2 | 50.35 | 49.86 | 50.75 | 49.74 | 51.00 | 50.93 | 48.70 | 49.43 | 48.90 | 49.79 | 49.14 | 52.01 | 51.25 | 50.36 | 53.22 | 53.60 |
TiO2 | 1.47 | 1.92 | 1.30 | 2.76 | 2.72 | 2.83 | 3.62 | 3.07 | 3.52 | 3.41 | 2.84 | 1.90 | 1.75 | 1.84 | 1.81 | 1.45 |
Al2O3 | 14.55 | 15.02 | 14.81 | 16.50 | 15.79 | 15.57 | 13.74 | 15.10 | 14.91 | 15.11 | 15.18 | 16.43 | 17.72 | 17.75 | 16.46 | 17.71 |
Cr2O3 | 0.01 | 0.03 | 0.02 | 0.00 | 0.02 | 0.00 | 0.03 | 0.00 | 0.01 | 0.00 | 0.01 | 0.00 | 0.00 | 0.01 | 0.01 | 0.00 |
FeO | 12.12 | 11.38 | 12.69 | 11.70 | 11.25 | 11.73 | 14.25 | 12.87 | 13.34 | 13.26 | 13.31 | 11.54 | 10.19 | 10.47 | 11.38 | 9.36 |
MnO | 0.17 | 0.15 | 0.17 | 0.17 | 0.25 | 0.20 | 0.25 | 0.21 | 0.25 | 0.19 | 0.17 | 0.20 | 0.11 | 0.15 | 0.14 | 0.13 |
MgO | 6.49 | 6.41 | 6.31 | 3.66 | 3.59 | 3.55 | 5.53 | 5.27 | 5.53 | 5.08 | 5.15 | 3.35 | 3.22 | 3.29 | 2.78 | 2.51 |
CaO | 11.13 | 11.03 | 10.95 | 8.11 | 8.15 | 8.38 | 8.64 | 8.61 | 8.96 | 9.12 | 8.51 | 8.76 | 8.45 | 8.57 | 8.21 | 8.66 |
Na2O | 2.22 | 2.30 | 2.30 | 3.73 | 3.47 | 3.43 | 1.90 | 2.18 | 2.28 | 2.23 | 2.95 | 3.84 | 4.75 | 4.69 | 4.28 | 3.53 |
K2O | 0.19 | 0.33 | 0.16 | 0.66 | 0.77 | 0.75 | 0.84 | 0.91 | 0.83 | 0.80 | 0.97 | 0.67 | 0.67 | 0.62 | 0.90 | 0.80 |
Сумма | 98.42 | 99.47 | 97.03 | 97.01 | 97.36 | 97.50 | 97.65 | 98.52 | 99.00 | 98.24 | 98.70 | 98.11 | 97.74 | 99.19 | 97.75 | |
Тгом.°С | 1185 | 1205 | 1180 | 1165 | 1170 | 1140 | 1175 | 1130 | 1165 | 1165 | 1180 | 1170 | 1170 | 1160 | 1180 | |
Примечания. Тгом.°С – температуры гомогенизации расплавных включений.
Экспериментальные исследования показали, что температуры гомогенизации расплавных включений в плагиоклазах из раннеюрских покровов варьируют в диапазоне 1175−1210°С. Для позднеюрских покровов характерны минимальные температуры кристаллизации ― 1130−1185°С. Данные по включениям в плагиоклазах из раннемеловых покровов (1160−1205°С) близки к информации по раннеюрским породам.
В ходе опытов содержимое включений в плагиоклазах из долеритов даек и силлов полностью расплавляется при разных температурах. В целом исследования включений показали, что плагиоклазы из даек кристаллизовались при снижении температуры в более широком диапазоне (1115−1200°С), чем плагиоклазы из силлов ― 1155−1185°С.
Необходимо отметить, что в отдельных опытах включения меньших размеров гомогенизировались при более низких температурах, чем крупные, но в целом это не носило массовый характер, и поэтому в статье приводятся интервалы температур гомогенизации, в которые попадает явное большинство полученных данных.
Расплавные включения в клинопироксенах были изучены в образцах 28-9, Н-5 и 38-5. Первичные включения (10−50 мкм) обычно располагаются по зонам роста вкрапленников. Включения многофазовые и могут содержать микрокристаллики клинопироксена, плагиоклаза, рудного минерала и стекло (рис. 10в, г). В клинопироксенах из раннеюрских базальтовых покровов расплавные включения в ходе экспериментов полностью гомогенными становятся в интервале 1150−1175°С. Исследования включений показали, что клинопироксены из позднеюрского базальтового покрова кристаллизовались при более низких температурах (1130−1180°С), чем раннемеловые пироксены ― 1175−1210°С. Близкие температуры (1180−1210°С) установлены для включений в клинопироксенах из раннемеловых даек. Составы стекол прогретых включений в клинопироксенах приведены в табл. 5.
Результаты анализа стекол прогретых включений (табл. 4, 5) свидетельствуют о том, что включения в минералах из покровов ЗФИ по своему составу отвечают базальтам с нормальной щелочностью, принадлежащим к толеитовой серии. Часть включений из минералов даек и силлов обогащена щелочами и относится к субщелочной серии.
Включения в минералах из юрских покровов обладают относительно невысокими содержаниями TiO2 (до 2 мас.%) и железистости, располагаясь в полях толеитовых базальтов Сибирской платформы и включений в минералах из платобазальтов Восточной Сибири. Расплавные включения из меловых покровов имеют относительно повышенные значения железистости. Все включения из даек значительно обогащены титаном (до 3.8 мас.% TiO2), ассоциируют с высокотитанистыми включениями из минералов платобазальтовых пород Западной и Восточной Сибири, а также со субщелочными базальтами Сибирской платформы. Принадлежность расплавов, формировавших силлы, к платобазальтовым системам отражена на диаграмме TiO2−FeO/MgO, на которой хорошо видно, что при переходе от юрских покровов к меловым покровам и силлам происходит смена толеитовых платобазальтовых серий субщелочными (рис. 11). В целом данные по расплавным включениям фиксируют действие как бы двух самостоятельных магматических систем. Примитивная (с минимумами титана и железистости) ответственна за формирование покровов, а обогащенная ― принимала участие в кристаллизации пород даек и силлов. В то же время намечаются два тренда (первый, высокотитанистый, ― для даек, второй, умеренно титанистый и «высокожелезистый», ― для отмеченной выше последовательности: древние покровы ― молодые покровы ― силлы), которые фактически связывают между собой магматические системы ЗФИ, а также свидетельствуют о процессах фракционирования исходных расплавов (рис. 11).
Рис. 11. Диаграмма TiO2–FeO/MgO для стекол прогретых расплавных включений в минералах из базальтовых пород ЗФИ. Расплавные включения в минералах из покровов раннемелового (1), позднеюрского (2) и раннеюрского (3) возрастов. Включения в минералах из даек (4) и силлов (5). Поля включений в минералах из платобазальтовых пород фундамента Западной Сибири (WSB, Симонов и др., 2010) и Восточной Сибири (ESB, Симонов и др., 2005; Black et al., 2012; Sibik et al., 2015). Базальты субщелочных (SPSA) и толеитовых (SPT) серий Сибирской платформы (Золотухин и др., 2003; Симонов и др., 2005).
Таблица 5. Представительные анализы (мас.%) стекол прогретых включений в клинопироксенах из базальтовых пород ЗФИ
Компонент | Образец | |||||||||||||
28 9 | 28 9 | 28 9 | 28 9 | H-5 | H-5 | H-5 | H-5 | H-5 | H-5 | H-5 | H-5 | H-5 | H-5 | |
Анализ | ||||||||||||||
101 | 102 | 103 | 104 | 34 | 35 | 39 | 40 | 45 | 46 | 47 | 48 | 51 | 52 | |
SiO2 | 50.79 | 50.91 | 50.81 | 51.49 | 50.30 | 49.81 | 50.50 | 50.64 | 50.91 | 50.78 | 51.12 | 51.03 | 50.06 | 50.31 |
TiO2 | 1.47 | 1.44 | 1.37 | 1.48 | 1.60 | 1.68 | 1.43 | 1.50 | 1.81 | 1.73 | 1.79 | 1.78 | 1.61 | 1.59 |
Al2O3 | 6.75 | 6.68 | 6.70 | 6.89 | 7.96 | 8.07 | 7.28 | 7.65 | 9.88 | 9.91 | 9.84 | 9.80 | 9.88 | 10.00 |
Cr2O3 | 0.11 | 0.11 | 0.08 | 0.09 | 0.13 | 0.13 | 0.19 | 0.13 | 0.05 | 0.08 | 0.11 | 0.10 | 0.20 | 0.12 |
FeO | 11.68 | 11.73 | 11.37 | 12.37 | 11.71 | 12.58 | 12.97 | 12.68 | 13.21 | 12.05 | 12.08 | 12.33 | 11.02 | 10.51 |
MnO | 0.20 | 0.25 | 0.18 | 0.26 | 0.22 | 0.22 | 0.21 | 0.29 | 0.20 | 0.25 | 0.20 | 0.20 | 0.21 | 0.22 |
MgO | 10.73 | 10.62 | 10.90 | 10.39 | 10.39 | 9.84 | 10.85 | 10.22 | 7.92 | 8.70 | 8.97 | 8.69 | 9.87 | 10.15 |
CaO | 13.67 | 13.64 | 13.63 | 13.49 | 13.50 | 13.37 | 12.72 | 13.02 | 11.66 | 11.99 | 12.15 | 12.08 | 12.87 | 13.00 |
Na2O | 1.50 | 1.31 | 1.46 | 1.13 | 1.47 | 1.50 | 1.36 | 1.45 | 2.00 | 1.94 | 1.77 | 1.81 | 1.66 | 1.65 |
K2O | 0.20 | 0.19 | 0.22 | 0.21 | 0.20 | 0.26 | 0.11 | 0.16 | 0.30 | 0.29 | 0.30 | 0.28 | 0.22 | 0.22 |
Сумма | 97.09 | 96.89 | 96.72 | 97.81 | 97.47 | 97.46 | 97.61 | 97.74 | 97.94 | 97.73 | 98.33 | 98.11 | 97.61 | 97.77 |
Тгом.°С | 1210 | 1210 | 1210 | 1210 | 1180 | 1180 | 1180 | 1180 | 1130 | 1130 | 1130 | 1130 | 1160 | 1160 |
Компонент | Образец | |||||||||||||
H-5 | H-5 | 38-5 | 38-5 | 38-5 | 38-5 | 38-5 | 38-5 | 38-5 | 38-5 | 38-5 | 38-5 | 38-5 | 38-5 | |
Анализ | ||||||||||||||
54 | 55 | 5 | 19 | 20 | 21 | 22 | 26 | 27 | 28 | 32 | 35 | 50 | 51 | |
SiO2 | 49.88 | 50.12 | 48.88 | 49.94 | 50.44 | 50.95 | 51.22 | 49.85 | 50.31 | 49.62 | 51.01 | 49.33 | 50.88 | 50.46 |
TiO2 | 1.61 | 1.67 | 1.88 | 1.58 | 1.46 | 1.43 | 1.35 | 1.76 | 1.73 | 1.69 | 1.52 | 2.00 | 1.35 | 1.48 |
Al2O3 | 10.02 | 10.23 | 12.64 | 9.77 | 9.60 | 10.03 | 10.02 | 10.44 | 10.61 | 10.42 | 12.53 | 12.80 | 10.70 | 10.77 |
Cr2O3 | 0.13 | 0.18 | 0.03 | 0.14 | 0.12 | 0.11 | 0.14 | 0.04 | 0.06 | 0.05 | 0.04 | 0.03 | 0.09 | 0.11 |
FeO | 11.28 | 10.65 | 12.63 | 12.06 | 12.37 | 11.65 | 11.53 | 13.69 | 13.14 | 13.47 | 11.98 | 12.86 | 11.84 | 12.02 |
MnO | 0.22 | 0.21 | 0.24 | 0.23 | 0.23 | 0.25 | 0.23 | 0.20 | 0.25 | 0.24 | 0.20 | 0.20 | 0.24 | 0.18 |
MgO | 9.75 | 9.49 | 7.48 | 9.94 | 9.80 | 9.75 | 9.63 | 8.02 | 8.25 | 8.34 | 7.30 | 7.52 | 8.64 | 9.04 |
CaO | 12.61 | 12.67 | 11.16 | 13.13 | 12.87 | 13.11 | 12.97 | 11.82 | 11.84 | 11.78 | 11.29 | 11.64 | 12.34 | 12.53 |
Na2O | 1.70 | 1.77 | 2.22 | 1.58 | 1.61 | 1.70 | 1.70 | 1.78 | 1.87 | 1.76 | 2.15 | 1.98 | 1.91 | 1.84 |
K2O | 0.22 | 0.24 | 0.30 | 0.22 | 0.24 | 0.25 | 0.25 | 0.31 | 0.30 | 0.31 | 0.34 | 0.29 | 0.27 | 0.24 |
Сумма | 97.41 | 97.24 | 97.46 | 98.59 | 98.73 | 99.23 | 99.03 | 97.92 | 98.36 | 97.68 | 98.36 | 98.65 | 98.26 | 98.68 |
Тгом.°С | 1160 | 1160 | 1170 | 1175 | 1175 | 1175 | 1175 | 1170 | 1170 | 1170 | 1170 | 1170 | 1155 | 1155 |
Примечания. Тгом.°С – температуры гомогенизации расплавных включений.
Рис. 12. Вариационные диаграммы для стекол прогретых расплавных включений (мас.%) в минералах из базальтовых пород ЗФИ. Расплавные включения в минералах из покровов раннемелового (1), позднеюрского (2) и раннеюрского (3) возрастов. Расплавные включения в минералах из даек (4) и силлов (5). Поля расплавных включений в минералах из платобазальтовых пород фундамента Западной Сибири (WSB, Симонов и др., 2010) и Восточной Сибири (ESB, Симонов и др., 2005; Black et al., 2012; Sibik et al., 2015).
На вариационных диаграммах (рис. 12) расплавные включения в плагиоклазах и в клинопироксенах из древних (юрских) покровов ЗФИ образуют для всех рассмотренных химических компонентов компактные группы в поле включений из минералов платобазальтов Восточной Сибири. Включения в минералах из более молодых (раннемеловых) покровов в случае FeO, TiO2, K2O близки к расплавам, формировавшим юрские покровы, а по распределению MgO ― разбиваются на две группы с максимальными и минимальными значениями относительно древних. Включения в минералах из даек и силлов показывают тренды эволюции расплавов с падением TiO2, FeO, MgO на фоне увеличения SiO2. В целом они близки к включениям из долеритов фундамента Западной Сибири (рис. 12).
Анализ стекол прогретых включений на ионном зонде (табл. 6) показал, что для магматических систем ЗФИ в целом характерны невысокие содержания воды ― от 0.05 до 0.27 мас.%. Древние (раннеюрские) покровы формировались из наиболее сухих (в среднем 0.05−0.13 мас.% Н2О) расплавов. Для позднеюрских покровов характерны относительно повышенные (0.12−0.24 мас.%) содержания воды в магмах, сравнимые с данными для самых молодых (раннемеловых) покровов (0.15−0.2 мас.%) и даек (0.17−0.27 мас.%). При этом количество воды в расплавах раннемеловых силлов существенно меньше (0.08−0.16 мас.%).
Таблица 6. Представительные анализы содержания редких, редкоземельных элементов (ppm) и воды (мас.%) в стеклах прогретых включений в минералах из базальтовых пород ЗФИ
Компонент | № п/п | ||||||||||||||
1 | 2 | 3 | 4 | 5 | 6 | 7 | 8 | 9 | 10 | 11 | 12 | 13 | 14 | 15 | |
Образец | |||||||||||||||
28 9 | 28 9 | Н-5 | Н-5 | 38-5 | 38-5 | 40-2 | 40-2 | 81-2 | 81-2 | 28 9 | Н-5 | Н-5 | 38-5 | 38-5 | |
Th | 0.95 | 0.84 | 0.92 | 0.44 | 0.83 | 0.58 | 2.67 | 2.06 | 1.31 | 1.32 | 0.68 | 0.67 | 0.50 | 0.75 | 0.69 |
Rb | 15.3 | 12.3 | 14.4 | 10.5 | 22.4 | 24.2 | 38.2 | 33.5 | 24.8 | 26.8 | 14.2 | 14.2 | 12.5 | 24.3 | 23.8 |
Ba | 53 | 48 | 60 | 35 | 66 | 72 | 140 | 126 | 91 | 100 | 37 | 38 | 29 | 68 | 65 |
Sr | 207 | 204 | 179 | 214 | 206 | 202 | 313 | 289 | 273 | 288 | 85 | 90 | 79 | 173 | 172 |
V | 287 | 251 | 293 | 183 | 397 | 392 | 459 | 374 | 302 | 317 | 381 | 393 | 443 | 334 | 397 |
La | 8.70 | 6.66 | 7.09 | 3.66 | 8.16 | 8.07 | 19.74 | 15.30 | 9.86 | 10.38 | 5.59 | 4.87 | 4.33 | 7.39 | 7.32 |
Ce | 21.26 | 17.81 | 18.91 | 10.04 | 21.76 | 20.37 | 51.82 | 42.51 | 26.98 | 27.58 | 15.35 | 13.93 | 11.51 | 20.54 | 20.05 |
Nd | 15.75 | 12.00 | 12.98 | 7.39 | 14.58 | 12.47 | 34.80 | 28.08 | 17.29 | 15.40 | 10.85 | 11.09 | 9.75 | 13.74 | 13.50 |
Sm | 4.49 | 3.64 | 3.85 | 2.27 | 4.41 | 3.81 | 9.61 | 8.44 | 5.10 | 4.03 | 3.49 | 3.46 | 3.78 | 4.41 | 4.50 |
Eu | 1.42 | 1.14 | 1.31 | 0.91 | 1.47 | 1.47 | 2.95 | 2.29 | 1.29 | 1.32 | 1.15 | 1.17 | 1.20 | 1.25 | 1.34 |
Gd | 4.77 | 4.16 | 3.89 | 2.80 | 5.70 | 4.31 | 4.54 | 4.47 | 5.57 | 5.11 | 3.57 | 3.88 | 3.04 | 5.41 | 5.49 |
Dy | 5.42 | 4.28 | 4.49 | 2.95 | 5.20 | 4.26 | 10.16 | 7.45 | 5.64 | 4.72 | 4.39 | 4.60 | 4.76 | 4.56 | 4.99 |
Er | 3.57 | 3.17 | 2.96 | 1.98 | 3.47 | 2.68 | 5.80 | 4.77 | 3.80 | 2.85 | 3.20 | 3.26 | 3.00 | 3.03 | 3.47 |
Yb | 3.58 | 2.71 | 2.92 | 1.92 | 3.16 | 2.69 | 6.11 | 4.73 | 4.18 | 2.64 | 2.82 | 3.13 | 3.35 | 2.75 | 3.31 |
Y | 30.2 | 23.5 | 27.0 | 15.2 | 31.2 | 26.6 | 53.9 | 42.3 | 31.7 | 27.3 | 24.6 | 24.1 | 25.5 | 27.8 | 30.1 |
Zr | 109.8 | 88.1 | 97.0 | 37.4 | 116.5 | 101.3 | 284.3 | 240.8 | 135.6 | 135.8 | 67.0 | 68.1 | 57.6 | 112.0 | 113.1 |
Nb | 8.8 | 6.9 | 6.3 | 2.5 | 8.1 | 6.8 | 17.3 | 13.3 | 10.9 | 12.5 | 5.1 | 3.9 | 3.5 | 7.3 | 7.1 |
Ta | 0.82 | 0.62 | 0.70 | 0.36 | 0.86 | 0.73 | 1.79 | 1.30 | 1.10 | 1.11 | 0.56 | 0.63 | 0.61 | 0.87 | 0.80 |
H2O | 0.20 | 0.20 | 0.24 | 0.16 | 0.13 | 0.06 | 0.17 | 0.27 | 0.16 | 0.08 | 0.15 | 0.12 | 0.21 | н.о. | 0.07 |
Gd/Ybn | 1.08 | 1.24 | 1.08 | 1.18 | 1.46 | 1.29 | 0.60 | 0.76 | 1.08 | 1.56 | 1.02 | 1.00 | 0.73 | 1.59 | 1.34 |
La.Smn | 1.22 | 1.15 | 1.16 | 1.01 | 1.16 | 1.33 | 1.29 | 1.14 | 1.22 | 1.62 | 1.01 | 0.89 | 0.72 | 1.05 | 1.02 |
La/Ybn | 1.64 | 1.66 | 1.64 | 1.29 | 1.74 | 2.02 | 2.18 | 2.18 | 1.59 | 2.65 | 1.34 | 1.05 | 0.87 | 1.81 | 1.49 |
Nb/Lapm | 1.00 | 1.03 | 0.88 | 0.68 | 0.99 | 0.84 | 0.87 | 0.86 | 1.10 | 1.20 | 0.91 | 0.80 | 0.80 | 0.98 | 0.96 |
Nb/Thpm | 1.09 | 0.97 | 0.81 | 0.67 | 1.15 | 1.38 | 0.76 | 0.76 | 0.98 | 1.12 | 0.88 | 0.69 | 0.82 | 1.15 | 1.21 |
Th/Lapm | 0.92 | 1.06 | 1.09 | 1.01 | 0.86 | 0.61 | 1.14 | 1.13 | 1.12 | 1.07 | 1.03 | 1.16 | 0.97 | 0.86 | 0.79 |
Примечания. Включения: в плагиоклазах (1-10), в клинопироксенах (11-15). н.о. – ниже предела определения. n – нормировано к хондриту согласно (Boynton, 1984). pm – нормировано к примитивной мантии согласно (McDonough et al., 1991).
По распределению редкоземельных элементов (РЗЭ) расплавные включения в минералах из покровов ЗФИ соответствуют характеристикам платобазальтов Сибирской платформы (рис. 13а, б). В то же время включения в минералах из раннемеловых силлов содержат больше РЗЭ и их спектры приурочены к верхней границе поля, характерного для толеитовых траппов Сибири. Еще более обогащены РЗЭ включения из даек, графики которых согласуются с данными по субщелочным платобазальтам Сибирской платформы (рис. 13в).
Рис. 13. Распределение редкоземельных элементов в стеклах прогретых расплавных включений. Включения в минералах: (а) ― из покровов раннемелового (1) и позднеюрского (2) возрастов; (б) ― из покровов раннеюрского (1) возраста; (в) ― из даек (1) и силлов (2). Серым цветом показано поле толеитовых платобазальтов Сибирской платформы (Симонов и др., 2004). Точечная линия ― нижняя граница субщелочных серий Сибирской платформы (Золотухин и др., 2003; Симонов и др., 2005).
Рис. 14. Диаграммы распределения редких индикаторных элементов в стеклах прогретых расплавных включений в минералах из базальтовых пород ЗФИ. Расплавные включения в минералах из покровов раннемелового (1), позднеюрского (2) и раннеюрского (3) возрастов, а также из даек (4) и силлов (5). Поля базальтовых пород: внутриплитных океанических островов (OIB), Сибирской платформы (SB), океанических плато (OPB). Области расплавов с плюмовым источником (PS) и без влияния плюмового источника (NPS). Диаграммы построены на основе оригинальных данных с использованием материалов из работ (Симонов и др., 2000; Золотухин и др., 2003; Condie, 2005).
Расплавные включения в минералах из покровов ЗФИ по соотношениям таких индикаторных редких элементов, как Nb, Th, Y, Zr, относятся к сериям с плюмовым мантийным источником и располагаются в основном в поле базальтов океанических плато (рис. 14). Включения из даек и силлов показывают обогащение Y, Zr и ассоциируют с данными по базальтам океанических островов типа OIB (рис. 14).
УСЛОВИЯ ГЕНЕРАЦИИ МАГМ ЗФИ
На основе данных по составам стекол прогретых расплавных включений в минералах были рассчитаны параметры формирования мантийных источников глубинных расплавов ЗФИ. Всего при расчетах задействовано более 350 анализов стекол включений в плагиоклазах и в клинопироксенах из минералов пород различного возраста ЗФИ. Достаточно представительная основа, а также использование нескольких методик (описание которых приведено в соответствующем разделе статьи) – все это позволило получить вполне обоснованные характеристики условий генерации магм ЗФИ.
На диаграмме Na(8,0.1)–Fe(8,0.1), взятой из работы (Shen, Forsyth, 1995), нанесены данные по стеклам прогретых расплавных включений из минералов базальтовых пород ЗФИ (рис. 15). На рис. 15а видно, что точки включений из наиболее древних (раннеюрских) покровов в основном располагаются в центре, свидетельствуя о существенных (90−120 км и возможно более) глубинах магмогенерации и перекрывая в значительной мере поле данных по включениям в плагиоклазах из платобазальтов Восточной Сибири. Они также тесно ассоциируют с данными для океанических базальтовых комплексов, испытавших влияние «горячей точки» Исландии (Shen, Forsyth, 1995), резко увеличившее глубину магмогенерации почти до 120 км по сравнению с уровнем в 50−80 км, характерным для обычного магматизма срединно-океанических хребтов. Для позднеюрских покровов преобладают данные (70−100 км), близкие к информации по более древним комплексам. Самые молодые (раннемеловые) покровы ЗФИ формировались из расплавов, имеющих максимально контрастные по глубине мантийные источники: 40−60 км и около 140 км и глубже (рис. 15а).
Рис. 15. Соотношения значений Na(8,0.1) и Fe(8,0.1) для стекол прогретых расплавных включений в минералах базальтовых пород ЗФИ. Расплавные включения в минералах из покровов раннемелового (1), позднеюрского (2) и раннеюрского (3) возрастов, а также из даек (Di) и силлов (Si). Линии с цифрами ― глубины плавления мантии под океанами (по Shen, Forsyth, 1995). Линия “140”, показанная пунктиром, добавлена к исходным материалам диаграммы в соответствии с закономерностями распределения других линий на рисунке. Поля серого цвета: MOR ― данные по обычным срединно-океаническим хребтам (по Shen, Forsyth, 1995), ESB ― данные по включениям в плагиоклазе из платобазальтов Восточной Сибири (Симонов и др., 2005). Звездочкой обозначена информация по глубинным расплавам типа MORB около “горячей точки” Исландии (по Shen, Forsyth, 1995). Методика расчета значений Fe(8,0.1) и Na(8,0.1) приведена в соответствующем разделе статьи.
Дайки ЗФИ, так же как и молодые покровы, имеют контрастные мантийные источники с минимальными (около 60 км) и максимальными (около 140 км) глубинами. В то же время значительная часть их расплавов поступает из глубин 90−130 км, совпадая по этим характеристикам с глубинными магмами древних покровов ЗФИ и платобазальтов Восточной Сибири. Для расплавов, формировавших силлы, характерен один уровень – 40−100 км (рис. 15б).
В целом, при сравнении с информацией по другим эталонным объектам выясняется, что характеристики мантийных источников магм ЗФИ совпадают с данными по платобазальтам Восточной Сибири, близки к океаническому магматизму с влиянием плюма «горячей точки» и резко отличаются от условий магматических систем срединно-океанических хребтов (рис. 15).
Полученные с помощью диаграммы Na(8,0.1)– Fe(8,0.1) (Shen, Forsyth, 1995) оценки глубин формирования мантийных источников магм ЗФИ в целом подтверждаются результатами расчетов на основе составов стекол прогретых включений в минералах с помощью методики, приведенной в работе (Schilling et al., 1995). Расчеты по этой методике с использованием составов расплавных включений показали, что мантийные источники магм для наиболее древних (раннеюрских) покровов располагались на глубине 70−110 км (рис. 16а), что вполне согласуется с данными по диаграмме Na(8,0.1)–Fe(8,0.1) (рис. 15а). Для позднеюрских покровов рассчитанные глубины (60−110 км) практически совпадают с полученными ранее характеристиками. В случае молодых (раннемеловых) покровов намечаются два интервала (50−100 и 110−140 км), что также не противоречит показанным выше результатам с использованием другой (Shen, Forsyth, 1995) методики.
Рис. 16. Гистограммы распределения глубин плавления мантии (L, км) при формировании первичных расплавов для базальтовых комплексов ЗФИ. Данные по расплавным включениям в минералах: (а) ― из покровов раннемелового (1), позднеюрского (2) и раннеюрского (3) возрастов; (б) ― из покровов раннемелового (1) возраста, из даек (Di) и силлов (Si). n ― количество анализов. Характеристики рассчитаны на основе информации по расплавным включениям по методике (Shilling et al., 1995).
Для разновозрастных даек устанавливаются различные уровни магмогенерации: 134 млн лет тому назад глубины были значительно меньше (60−110 км), чем для даек с возрастом 125 млн лет (110−140 км). В случае силлов намечается один уровень: 70−100 км (рис. 16б). В целом необходимо отметить, что как и в случае покровов, результаты расчетов по обеим методикам для даек и силлов оказались близки.
Рассматривая результаты численного моделирования в общем (после согласования полученных по обеим методикам данных), видим существенные отличия условий генерации наиболее древних (раннеюрских) расплавов от более молодых (раннемеловых) магм ЗФИ (рис. 17). При этом намечаются определенные закономерности в изменении глубин магмогенерации. Если около 190 млн лет тому назад образование расплавов происходило на глубинах 70−110 км (и, возможно, до 120 км), то 158 млн лет тому назад интервал плавления мантии заметно поднялся (60−110 км). В ходе раннемеловой вулканической активности происходит существенное расширение диапазона глубин магмогенерации, который характеризуется не только максимальными (до 140 км), но и минимальными (до 50 км) глубинами плавления мантии. Необходимо отметить, что со временем происходило не только увеличение диапазона плавления мантии по глубине, но и развитие нескольких локальных зон магмогенерации на различных глубинах (рис. 17).
Рис. 17. Глубины плавления мантии с образованием зон магмогенерации в различные периоды вулканической активности ЗФИ. Прямоугольниками показаны мантийные источники магм для покровов раннемелового (1), позднеюрского (2) и раннеюрского (3) возрастов, а также из даек (Di) и силлов (Si). Уровни магмогенерации для разновозрастных даек: Di65 ― 134 млн лет; Di40 ― 125 млн лет. Центры прямоугольников (отмеченные условными знаками) соответствуют возрасту изученных пород. Характеристики рассчитаны на основе данных по расплавным включениям согласно опубликованной методике (Shilling et al., 1995).
Расчеты по методике (Sсhilling et al., 1995) показали, что в соответствии с изменением во времени глубин плавления мантии изменяются и температуры магмогенерации. При этом максимальные значения растут, а минимальные в целом уменьшаются при переходе от древних к молодым магматическим системам: (1430−1580°С) → (1390−1580°С) → (1350−1690°С).
ОБСУЖДЕНИЕ РЕЗУЛЬТАТОВ
Исследования составов минералов и расплавных включений позволили получить представительный объем новых данных, на основе которых оказалось возможным выяснить условия базальтового магматизма ЗФИ.
Минералогические исследования показали эволюцию составов плагиоклазов и клинопироксенов ЗФИ во времени (согласно трем последовательным пикам магматической активности: 192.2±2.8 → 157.4±3.5 → 131.5±0.8 млн лет) с увеличением, соответственно, диапазона An компонента в плагиоклазе и значений магнезиальности в клинопироксене при переходе от юрских к раннемеловым комплексам. Сравнение составов плагиоклазов, разбивающихся на три группы, с данными по минералам из эталонных базальтовых пород показало, что минералы из даек и силлов ЗФИ (обогащенные калием и с относительно минимальными значениями An) тесно ассоциируют с долеритами и диабазами Шпицбергена и фундамента Западной Сибири. В то время как плагиоклазы из покровов ЗФИ (с минимумом калия и максимальными содержаниями An) располагаются в поле минералов платобазальтов Восточной Сибири. Таким образом, сравнительный анализ с другими хорошо изученными объектами свидетельствует о том, что мантийные расплавы при излиянии на поверхность в виде базальтовых покровов сохраняли свои глубинные характеристики, в то время как, попадая в субинтрузивные камеры даек и силлов, глубинные расплавы в ходе кристаллизации долеритов (диабазов) существенно изменяли свой состав с накоплением прежде всего щелочей, что и отразилось на химизме плагиоклазов.
Данные по клинопироксенам свидетельствуют об изменении магматизма ЗФИ от толеитового к субщелочному. Это хорошо видно на диаграмме TiO2–FeO (рис. 8).
Для определения температурного режима кристаллизации базальтовых комплексов ЗФИ перспективным оказалось совместное использование результатов высокотемпературных экспериментов с включениями и расчетных данных по составам клинопироксенов. В итоге была установлена эволюция температур формирования покровов во времени (192.2±2.8 → 157.4±3.5 → 131.5±0.8 млн лет) при переходе от юрских к раннемеловым комплексам с расширением диапазона расчетных температур кристаллизации пироксенов (от 990–1120 до 960–1215°С), что хорошо согласуется с изменениями составов минералов.
Полученные данные по минералам подтверждаются результатами исследования расплавных включений, которые показывают изменение магматических систем во времени от толеитов к субщелочным. Составы включений прямо свидетельствуют о преобладании на раннеюрском этапе магматизма ЗФИ платобазальтовых расплавов, близких по содержанию основных компонентов, а также редких и редкоземельных элементов к типичным базальтовым магмам Сибирской платформы. Для наиболее молодых (раннемеловых) базальтовых комплексов расплавные включения свидетельствуют о кристаллизации пород из обогащенных субщелочных магм, показывая возможное влияние глубинных плюмовых систем типа OIB.
Детальные исследования показали, что стекла прогретых включений из разных минералов одного образца могут заметно отличаться по своему химическому составу. В частности, на диаграмме Al2O3–MgO (рис. 18) включения в плагиоклазе из всех трех представленных образцов разновозрастных покровов явно обогащены алюминием и содержат существенно меньше магния, чем включения в клинопироксенах. Оба минерала формируют в эффузивной породе независимые вкрапленники близкого размера в микрозернистой стекловатой основной массе, и, соответственно, по их взаимоотношениям трудно определить, кто из них кристаллизовался первым. При этом намечается определенная закономерность: для древних (нижнеюрских) покровов данные по включениям из разных минералов наиболее близки между собой, располагаясь в центре диаграммы, в то время как включения из молодых (нижнемеловых) покровов максимально дифференцированы, занимая крайние позиции на графике (рис. 18). Для объяснения отмеченных особенностей мы использовали численное моделирование по программе PETROLOG (Danyushevsky, Plechov, 2011). Были проведены расчеты параметров ликвидусной кристаллизации из расплавов, отвечающих по своему составу стеклам прогретых расплавных включений в минералах из наиболее древних и молодых покровов. Содержание воды задавалось согласно анализам включений с помощью ионного зонда (табл. 6) ― соответственно 0.13 и 0.2 мас.%. В результате выяснено, что в случае древних магматических систем, обладающих относительно близкими составами (рис. 18) и имеющих частично совпадающие температуры гомогенизации включений (около 1175°С для плагиоклаза и 1170°С для клинопироксена), первыми (при температурах около 1175°С и давлении около 7 кбар на глубине примерно 21 км) кристаллизовались плагиоклазы. При подъеме до 18 км (6 кбар) при температурах около 1170°С из расплавов, отвечающих по составу включениям в плагиоклазе, могли образовываться клинопироксены, основная масса которых кристаллизовалась на более высоких горизонтах (около 12 км, 4 кбар и 1170°С) из расплавов, соответствующих стеклам прогретых включений в пироксене.
Рис. 18. Диаграмма Al2O3–MgO для расплавных включений в плагиоклазах (1, 3, 5) и в клинопироксенах (2, 4, 6) из покровов ЗФИ. 1, 2 ― базальтовые покровы раннемелового возраста (образец 28-9); 3, 4 ― позднеюрского возраста (образец Н-5); 5, 6 ― раннеюрского возраста (образец 38-5).
Для молодых покровов с помощью программы PETROLOG (Danyushevsky, Plechov, 2011) также рассматривался образец с близкими температурами гомогенизации включений в плагиоклазе (около 1205°С) и в клинопироксене (около 1210°С). Содержание воды в обоих случаях было определено около 0.2 мас.% (табл. 6). Расчеты показали (в отличие от предыдущего случая с древним покровом) совершенно разные условия образования минералов при близких температурах. Плагиоклаз кристаллизовался на глубине (24 км, 8 кбар и около 1205°С), а формирование клинопироксена происходило в приповерхностных условиях, фактически при этих же температурах (около 1210°С), но практически уже из других расплавов с повышенным содержанием MgO, судя по составам включений в пироксене. Подобные особенности (сохранение высоких температур и увеличение роли магния) свидетельствуют о процессах смешения на верхних горизонтах с высокотемпературными и магнезиальными расплавами.
Представительные данные по составам стекол прогретых расплавных включений послужили основой для расчетов условий формирования мантийных источников для расплавов ЗФИ. Установлена эволюция от ранней юры до раннего мела (в последовательности пиков активизации магматизма: 192.2±2.8 → 157.4±3.5 → 131.5±0.8 млн лет) глубин и температур (70−110 км и возможно до 120 км, 1430−1580°С → 60−110 км, 1390−1580°С → 50−140 км, 1350−1690°С) плавления мантии с образованием источников для магматических систем ЗФИ. При этом изменения параметров генерации магм ЗФИ во времени совпадают с эволюцией составов минералов в тех же временных интервалах. Подобное совпадение не может быть случайностью, а является доказательством реальности рассчитанных параметров глубинной генерации магм ЗФИ.
Численное моделирование на основе данных по расплавным включениям показало несколько уровней образования исходных для ЗФИ расплавов (рис. 17). В целом, параметры древних ― юрских мантийных ― источников (60−110 км, 1390−1580°С) близки к данным для первичных расплавов Сибирской платформы (Симонов и др., 2005), генерация которых напрямую связана с действием плюма. В то же время максимальные характеристики молодых ― раннемеловых магматических систем (до 140 км, до 1690°С) согласуются с информацией по Гавайским островам (эталонная система OIB), где темпеpатуpа плюма на глубине 130−170 км в оcевой чаcти составляет 1560−1600°C (Sobolev et al., 2005). Минимальные параметры образования магм ЗФИ (50−70 км, 1350−1430°С) сравнимы с условиями генерации глубинных расплавов в срединно-океанических хребтах (Симонов и др., 1999; Schilling et al., 1995; и др.). Это кажущееся противоречивое сочетание различных геодинамических ситуаций объясняется подъемом зон магмогенерации ЗФИ в ходе развития рифтогенных структур под воздействием мантийного плюма (Симонов и др., 2010).
В целом, активная роль мантийного плюма при формировании глубинных источников магм ЗФИ хорошо согласуется с гипотезой о том, что Таримский (максимум 285 млн лет), Сибирский (максимум 250 млн лет) плюмы, а также Баренцевоморский (включая базальтовые комплексы ЗФИ ― максимум около 190 млн лет), хр. Альфа (максимум 120 млн лет), Гренландский (90−60 млн лет) ареалы являются следом единого плюма, продолжающего современную активность в Исландии (Добрецов, 2005; Кузьмин и др., 2011).
ОСНОВНЫЕ ВЫВОДЫ
- Исследования вкрапленников плагиоклаза и клинопироксена из разновозрастных базальтовых комплексов ЗФИпоказали эволюцию составов минералов с расширением интервала вариаций их основных характеристик во времени (согласно трем последовательным пикам магматической активности: 192.2±2.8 → 157.4±3.5 → 131.5±0.8 млн лет) от ранней юры до раннего мела, свидетельствуя при этом об изменении магматизма от толеитового к субщелочному.
- Совместное использование результатов высокотемпературных экспериментов с расплавными включениями и расчетов на основе составов клинопироксенов позволило установить эволюцию температур формирования базальтов ЗФИ во времени с расширением диапазона расчетных температур кристаллизации пироксенов (от 990–1120°С до 960–1215°С) при переходе от юрских к раннемеловым комплексам.
- Составы расплавных включений подтверждают эволюцию магматических систем ЗФИ во времени, прямо свидетельствуя о преобладании в юре платобазальтовых расплавов, близких по содержанию основных компонентов, а также редких и редкоземельных элементов к типичным базальтовым магмам Сибирской платформы. Последующие наиболее молодые (раннемеловые) магмы имеют более обогащенный субщелочной характер, показывая возможное влияние наиболее глубинных плюмовых систем типа OIB.
- Расчеты условий магмогенерации, проведенные на основе данных по расплавным включениям, показали эволюцию от ранней юры до раннего мела (192.2±2.8 → 157.4±3.5 → 131.5±0.8 млн лет) глубин и температур (70−110 км и, возможно, до 120 км, 1430−1580°С → 60−110 км, 1390−1580°С → 50−140 км, 1350−1690°С) плавления мантии с формированием источников магм ЗФИ.
Источник финансирования
Работа выполнена по государственным заданиям ИГМ СО РАН и ГИН РАН, при поддержке Арктической программы Президиума РАН, Министерства науки и высшего образования Российской Федерации, договора № 14.Y26.31.0029, гранта РФФИ 18-05-70040.
About the authors
V. A. Simonov
Sobolev Institute of Geology and Mineralogy of Siberian Branch of Russian Academy of Sciences; Novosibirsk National Research State University; Kazan Federal University
Author for correspondence.
Email: simonov@igm.nsc.ru
Russian Federation, Novosibirsk; Novosibirsk; Kazan
Yu. V. Karyakin
Geological Institute of Russian Academy of Science
Email: yukar61@mail.ru
Russian Federation, Moscow
A. V. Kotlyarov
Sobolev Institute of Geology and Mineralogy of Siberian Branch of Russian Academy of Sciences; Kazan Federal University
Email: kotlyarov@igm.nsc.ru
Russian Federation, Novosibirsk; Kazan
References
- Добрецов Н.Л. (2005) Крупнейшие магматические провинции Азии (250 млн лет): сибирские и эмейшаньские траппы (платобазальты) и ассоциирующие гранитоиды. Геология и геофизика 46(9), 870−890.
- Добрецов Н.Л., Верниковский В.А., Карякин Ю.В., Кораго Е.А., Симонов В.А. (2013) Мезозойско-кайнозойский вулканизм и этапы геодинамической эволюции Центральной и Восточной Арктики. Геология и геофизика 54(8), 1126−1144.
- Золотухин В.В., Симонов В.А., Альмухамедов А.И., Медведев А.Я., Васильев Ю.Р. (2003) Сравнительный анализ составов континентальных и океанических платобазальтов. Геология и геофизика 44(12), 1335−1344.
- Карякин Ю.В., Ляпунов С.М., Симонов В.А., Скляров Е.В., Травин А.В., Шипилов Э.В. (2009) Мезозойские магматические комплексы архипелага Земли Франца-Иосифа. Геология полярных областей Земли. Материалы ХLII тектонического совещания, Т.1. М.: ГЕОС, 257−263.
- Карякин Ю.В., Симонов В.А., Скляров Е.В., Травин А.В., Шипилов Э.В. (2008) Магматические комплексы архипелага Земля Франца-Иосифа. Природа шельфа и архипелагов Европейской Арктики, Вып. 8. М.: ГЕОС,160−164.
- Карякин Ю.В., Скляров Е.В., Травин А.В., Шипилов Э.В. (2010) Возраст и состав базальтов центральной и юго-западной частей архипелага Земля Франца-Иосифа. Тектоника и геодинамика складчатых поясов и платформ фанерозоя, Т.1 (Под ред. Кузнецова Н.Б.). М.: ГЕОС, 293−301.
- Карякин Ю.В., Шипилов Э.В. (2009) Геохимическая специализация и 40Ar/39Ar возраст базальтоидного магматизма островов Земля Александры, Нортбрук, Гукера и Хейса (архипелаг Земля Франца-Иосифа). ДАН 425(2), 213−217.
- Карякин Ю.В., Шипилов Э.В. Геохимическая характеристика и 40Ar/39Ar возраст магматических пород архипелага Земля Франца-Иосифа (2008) Общие и региональные проблемы тектоники и геодинамики, Т.1. М.: ГЕОС, 389−393.
- Кораго Е.А., Евдокимов А.Н., Столбов Н.М. (2010) Позднемезозойский и кайнозойский базитовый магматизм северо-запада континентальной окраины Евразии. СПб, 174 с.
- Кузьмин М.И., Ярмолюк В.В., Кравчинский В.А. (2011) Фанерозойский внутриплитовый магматизм Северной Азии: абсолютные палеогеографические реконструкции африканской низкоскоростной мантийной провинции. Геотектоника 6, 1−20.
- Магматические горные породы. (1983) Т. 1. М.: Наука, 766 с.
- Магматические горные породы. (1987) Т. 6. Эволюция магматизма в истории Земли. М.: Наука, 438 с.
- Наумов В.Б., Портнягин М.В., Толстых М.Л., Ярмолюк В.В. (2006) Химический состав и параметры кристаллизации трахибазальтов Джидинского района Южно-Байкальской вулканической области по данным изучения расплавных и флюидных включений. Геохимия (3), 322–331.
- Naumov V.B., Portnyagin M.V., Tolstykh M.L., Yarmolyuk V.V. (2006) Chemical composition and crystallization conditions of trachybasalts from the Dzhida field, Southern Baikal volcanic area: Evidence from melt and fluid inclusions. Geochem. Int. 44(3), 286−295.
- Наумов В.Б., Толстых М.Л., Гриб Е.Н., Леонов В.Л., Кононкова Н.Н. (2008) Химический состав, летучие компоненты и элементы-примеси расплавов карымского вулканического центра (Камчатка) и вулкана Головнина (о. Кунашир) по данным изучения включений в минералах. Петрология 16(1), 3−20.
- Перчук Л.Л. (1980) Пироксеновый барометр и пироксеновые геотермы. ДАН 233(6), 1196−2000.
- Пискарев А.Л., Хойнеман К., Макарьев А.А., Макарьева Е.М., Бахтадзе В., Алексютин М. (2009) Магнитные параметры и вариации состава магматических пород архипелага Земля Франца-Иосифа. Физика Земли 2, 66−83.
- Силантьев С.А., Богдановский О.Г., Савостин Л.А., Кононкова Н.Н. (1991) Магматизм архипелага Де-Лонга (Восточная Арктика): петрология и петрохимия эффузивных пород и ассоциирующих с ними ксенолитов (острова Жохова и Вилькицкого). Геохимия (2), 267−277.
- Симонов В.А. (1993) Петрогенезис офиолитов (термобарогеохимические исследования). Н: Изд-во ОИГГМ СО РАН, 247 с.
- Симонов В.А., Золотухин В.В., Ковязин С.В., Альмухамедов А.И., Медведев А.Я. (2004) Петрогенезис базальтовых серий подводного плато Онтонг Джава–Науру, Тихий океан. Петрология 12(2), 191−203.
- Симонов В.А., Карякин Ю.В., Ковязин С.В., Шипилов Э.В. (2008) Особенности распределения редких и редкоземельных элементов в магматических системах архипелага Земля Франца-Иосифа. Геодинамическая эволюция литосферы Центрально-Азиатского подвижного пояса (от океана к континенту), Т.2. Иркутск: Институт земной коры СО РАН, 94−95.
- Симонов В.А., Карякин Ю.В., Ковязин С.В., Шипилов Э.В. (2009) Физико-химические параметры кристаллизации базальтовых расплавов при формировании даек и силлов о. Хейса, архипелаг Земля Франца-Иосифа. Вулканизм и геодинамика. Материалы IV Всероссийского симпозиума по вулканологии и палеовулканологии, Т.2. Петропавловск-Камчатский: ИВС ДВО РАН, 512−514.
- Симонов В.А., Карякин Ю.В., Котляров А.В. (2015) Петрогенезис базальтовых комплексов архипелага Земля Франца-Иосифа (данные по расплавным включениям). Петрография магматических и метаморфических горных пород. Материалы XII Всероссийского Петрографического совещания с участием зарубежных ученых. Петрозаводск: Карельский научный центр РАН, 75−77.
- Симонов В.А., Карякин Ю.В., Котляров А.В., Ступаков С.И., Травин А.В. (2016) Особенности формирования разновозрастных базальтовых комплексов архипелага Земля Франца-Иосифа. Петрология магматических и метаморфических комплексов, Вып. 8. Томск: Изд-во Томского ЦНТИ, 281−284.
- Симонов В.А., Клец А.Г., Ковязин С.В., Ступаков С.И., Травин А.В. (2010) Физико-химические условия раннего плюмового магматизма Западной Сибири. Геология и геофизика 51(9), 1277−1291.
- Симонов В.А., Ковязин С.В., Васильев Ю.Р., Махони Дж. (2005) Физико-химические параметры континентальных и океанических платобазальтовых магматических систем (данные по расплавным включениям). Геология и геофизика 46(9), 908−923.
- Симонов В.А., Колобов В.Ю., Пейве А.А. (1999) Петрология и геохимия геодинамических процессов в Центральной Атлантике. Новосибирск: Изд-во СО РАН, НИЦ ОИГГМ, 224 с.
- Симонов В.А., Пейве А.А., Колобов В.Ю., Тикунов Ю.В. (2000) Геохимия и геодинамика базитов в районе тройного сочленения Буве. Петрология 8(1), 43−58.
- Соболев А.В. (1996) Включения расплавов в минералах как источник принципиальной петрологической информации. Петрология 4(3), 228−239.
- Соболев А.В., Никогосян И.К. (1994) Петрология магматизма долгоживущих мантийных струй: Гавайские острова (Тихий океан) и о-в Реюньон (Индийский океан). Петрология 2(2), 131−168.
- Соболев А.В., Слуцкий А.Б. (1984) Состав и условия кристаллизации исходного расплава сибирских меймечитов в связи с общей проблемой ультраосновных магм. Геология и геофизика (12), 97−110.
- Столбов Н.М. (2002) К вопросу о возрасте траппового магматизма архипелага Земля Франца-Иосифа по радиологическим данным. Геолого-геофизические характеристики литосферы Арктического региона, Вып. 4. СПб.: ВНИИОкеангеология, 199−204.
- Столбов Н.М., Суворова Е.Б. (2010) О времени образования ареала платобазальтов Земли Франца-Иосифа по геологическим данным. Природа шельфа и архипелагов Европейской Арктики, Вып. 10. М.: ГЕОС, 276−280.
- Шевко А.Я. (2002) Пироксены траппов как показатели их петрогенезиса (Северо-Запад Сибирской платформы). Автореф. дис. ... канд. геол.- мин. наук. Новосибирск: ОИГГМ СО РАН, 24 с.
- Шипилов Э.В., Карякин Ю.В. (2008) Баренцевоморский ареал юрско-мелового базальтоидного магматизма и инициальный этап геодинамической эволюции Арктического океана. Материалы международной научной конференции «Природа шельфа и архипелагов Европейской Арктики», Вып.8. М.: ГЕОС., 395−400.
- Шипилов Э.В., Карякин Ю.В. (2010) Новые данные о базальтоидном магматизме Западного Шпицбергена. ДАН 430(6), 810−815.
- Шипилов Э.В., Карякин Ю.В., Матишов Г.Г. (2009) Баренцевско-Амеразийский юрско-меловой суперплюм и инициальный этап геодинамической эволюции Арктического океана. ДАН 426(3), 369−372.
- Bailey J.C., Rasmussen M.H. (1997) Petrochemistry of Jurassic and Cretaceous tholeiites from Kong Karls Land, Svalbard and relation to Mesozoic magmatism in the Arctic. Polar. Res. 16, 37−62.
- Balley J.C., Brooks C.K. (1988) Petrochemistry and tectonic setting of lower Cretaceous tholeiites from Franz Josef Land, USSR. Bull. Geol. Soc. Denmark. 37, 31−49.
- Black B.A., Elkins Tanton L.T., Rowe M.C., Ukstins Peate I. (2012) Magnitude and consequences of volatile release from the Siberian Traps. Earth Planet. Sci. Lett. 317−318, 363−373.
- Boynton W.V. (1984) Geochemistry of the rare earth elements: meteorite studies. Rare earth element geochemistry (Eds. Henderson P.). Elsevier, 63−114.
- Buchan K.L., Ernst R.E. (2006) The High Arctic Large Igneous Province (HALIP) evidence for an associated giant radiating dyke swarm. Dyke swarms time markets of crustal evolution (eds. Hanski E., Mertanen S., Ramo T., Vuollo J.). Rotterdam: Balkema Publishers.
- Condie K.C. (2005) High field strength element ratios in Archean basalts: a window to evolving sources of mantle plumes? Lithos. 79, 491−504.
- Danyushevsky L.V., Plechov P.Yu. (2011) Petrolog 3: Integrated software for modeling crystallization processes. Geochemistry, Geophysics, Geosystems, 29 July 2011. 12(7), Q07021.
- Dibner V.D. (1998) Geology of Franz Josef Land No.146. Oslo: Norsk Polarinstitutt. Mtddelelser, 190 p.
- Grachev A.F. (2001) A new view on the origin of magmatism of the Franz Josef Land Izv. Phys. Solid Earth. 37, 744−756.
- Karyakin Yu.V., Shipilov E.V., Simonov V.A., Sklyarov E.V., Travin A.V. (2011) Phases and stages of the plume magmatism in the Franz-Josef Land archipelago Large Igneous Provinces of Asia: Mantle Plumes and Metallogeny. Irkutsk: Petrographica, 96−98.
- Karyakin Yu.V., Simonov V.A., Sklyarov E.V., Travin A.V., Shipilov E.V., Kovyazin S.V. (2009) Mantle plume episodes of the Archipelago Franz Joseph Land. Large. Igneous Provinces, mantle plumes and metallogeny. Abstracts of the International Symposium. Novosibirsk: Sibprint, 144−146.
- Klein E.M., Langmuir C.H. (1987) Global correlations of ocean ridge basalt chemistry with axial depth and crustal thickness. Journal of Geophysical Research: Solid Earth 92(B8), 8089−8115.
- Langmuir C.H., Klein E.M., Plank T. (1992) Petrological systematics of mid-ocean ridge basalts: constrants on melt generation beneath ocean ridges. Mantle flow and melt generation at mid-ocean ridges. American Geophysical Union. Washigton, 183−280.
- Lindnsley D.H., Dixon S.A. (1983) Pyroxene thermometry. Amer. Mineralogy 68, 477−493.
- McDonough W.F., Sun S., Ringwood A.E., Jagoutz E., Hofman A.W. (1991) K, Rb and Cs in the earth and moon and the evolution of the earth’s mantle. Gejchim.Cosmochim. Acta. Ross Taylor Symposium volume.
- Mercier J.C.C. (1980) Single-pyroxene thermobarometry. Tectonophysics 70, 1−37.
- Nimis P, Taylor W.R. (2000) Single clinopyroxene thermobarometry for garnet peridotites. Part I. Calibration and testing of a Cr-in-Cpx barometer and an enstatite-in-Cpx thermometer. Contrib. Mineral. Petrol. 139б(5), 541−554.
- Ntaflos T., Richter W. (2003) Geochemical constrains on the origin of the continental flood basalt magmatism in Franz Josef Land, Arctic Russia. Eur, J. Mineral. 15, 649−663.
- Plechov P., Blundy J., Nekrylov N., Melekhova E., Shcherbakov V., Tikhonova M. (2015) Petrology and volatile content of magmas erupted from Tolbachik Volcano, Kamchatka, 2012−13. Journal of Volcanology and Geothermal Research 307, 182−199.
- Portnyagin M., Duggen S., Hauff F., Mironov N., Bindeman I., Thirlwall M., Hoernle K. (2015) Geochemistry of the late Holocene rocks from the Tolbachik volcanic field, Kamchatka: Quantitative modelling of subduction-related open magmatic systems. J. Volcanol. Geotherm. Res. 307, 133−155.
- Schilling J.-G., Ruppel C., Davis A.N., McCully B., Tighe S.A., Kingsley R.H., Lin J. (1995) Thermal structure of the mantle beneath the equatorial Mid-Atlantic Ridge: Influences from the spatial variation of dredged basalt glass compositions. J. Geophys. Res. 100(B7), 10057−10076.
- Senger K., Tveranger J., Ogata K., Braathen A., Planke S. (2014) Late Mesozoic magmatism in Svalbard: A revive. Earth-Science Reviews 139, 123−144.
- Shen Y., Forsyth D.W. (1995) Geochemical constraints on initial and final depths of melting beneath mid-ocean ridges. J. Geophys. Res. 100(B2), 2211−2237.
- Sibik S., Edmonds M., Svensen H. (2015) Magmas erupted during the main pulse of Siberian traps volcanism were volatile-poor. J. Petrol. 56, 2089−2116.
- Sklyarov E.V., Karyakin Yu.V., Karmanov N.S., Tolstykh N.D. (2016) Platinum-group minerals in dolerites from Alexandra Land Island (Franz Josef Land Archipelago). Russian Geology and Geophysics 57(5), 807–814.
- Smith D.S., Harland W.B., Hughes N.F., Pickton C.A.G. (1976) The geology of Kong Karls Land, Svalbard. Geological Magazine 3(3), 193−304.
- Sobolev A.V., Danyushevsky L.V. (1994) Petrology and Geochemistry of Boninites from the North Termination of the Tonga Trench: Constraints on the Generation Conditions of Primary High-Ca Boninite Magmas. J. Petrol. 35, 1183−1211.
- Sobolev A.V., Hofmann A.W., Sobolev S.V., Nikogosian I.K. (2005) An olivine-free mantle source of Hawaiian shield basalts. Nature 434, 590−597.
- Sushevskaya N.M., Korago E.A., Belyatsky B.V., Sirotkin A.N. (2008) Geochemistry of Neogene magmatism at Spitsbergen island. Geochem. Int. 47, 966−978.
- Weigand P.W., Testa S.M. (1982) Petrology and geochemistry of Mesozoic dolerites from the Hinlopenstretet area, Svalbard. Polar Res. 1982, 35−52.
Supplementary files




















