Adsorption of strontium on manganese oxide (δ-MnO2) at elevated temperatures: experiment and modeling
- Authors: Karaseva O.N.1, Ivanova L.I.1, Lakshtanov L.Z.1
-
Affiliations:
- D.S. Korzhinskii Institute of Experimental Mineralogy of Russian Academy of Sciences
- Issue: Vol 64, No 10 (2019)
- Pages: 1091-1104
- Section: Articles
- URL: https://journals.eco-vector.com/0016-7525/article/view/17811
- DOI: https://doi.org/10.31857/S0016-752564101091-1104
- ID: 17811
Cite item
Full Text
Abstract
Strontium adsorption has been studied by the method of acid-base potentiometric titrations at three different temperatures: 25, 50, 75°C. The effect of pH, ionic strength, sorbate/sorbent ratio, and temperature on adsorption was investigated. Experimental data were simulated using two various surface complexation models, with two different electrostatic descriptions of the interface: the constant capacitance model (CCM) and the triple-layer model (TLM). Although the both models used are able to account for the acid-base reactions and surface complexation of strontium on birnessite, we consider that the TLM is more applicable for a description of heterophaseous system H+ – ≡MnOH – Sr2+. Under conditions of low ionic strength and negatively charged surface, Sr2+ ions compete with the electrolyte ions and form outer-sphere complexes along with inner-sphere complexes. Consequently, using the CCM for description of strontium adsorption data could be mathematically satisfactory, but physically senseless. The equilibrium model proposed here consists of the complexes of inner (≡MnOHSr2+, ≡MnOSr+, ≡MnOSrOH0) and outer types ([≡MnO–– Sr2+]+). The corresponding intrinsic equilibrium constants of the formation of these surface complexes were calculated for 25,50, and 75°C.
Full Text
ВВЕДЕНИЕ
Подвижность и транспорт токсичных веществ, в частности тяжелых металлов и радионуклидов, в геосфере в основном контролируются тремя геохимическими факторами: химическими реакциями в водном растворе, сорбционными реакциями с минералами, а также диффузионным и адвективным транспортом в пористой среде.
Миграция токсичных веществ в природных водах может быть уменьшена их сорбцией на минеральных поверхностях (Collins et al., 1998; O’Day et al., 2000). Способность различных минералов поглощать токсичные и радиоактивные элементы из раствора является основой многих технологий защиты окружающей среды (Fenter et al., 2000).
Реакции сорбции могут приводить к эффективной задержке токсичных веществ и предотвращению их выделения в биосферу. Эти реакции могут быть описаны феноменологически с помощью так называемого коэффициента распределения Kd [л/кг], являющегося отношением концентраций сорбированного и растворенного компонентов. Однако использование коэффициента распределения не дает никакой информации о механизме сорбционной реакции. Применимость такого подхода ограничена, поскольку невозможна экстраполяция для сколь-нибудь широкого интервала геохимических условий.
Сорбция, то есть поглощение компонентов раствора твердой фазой, на молекулярном уровне обычно контролируется четырьмя механизмами: (1) внешнесферным поверхностным комплексообразованием (или физической адсорбцией); (2) внутрисферным поверхностным комплексообразованием (или хемосорбцией); (3) ионным обменом, (4) структурным инкорпорированием с последующим образованием твердого раствора.
Обычно для коротких временных интервалов, характерных для лабораторных экспериментов, накопление компонентов раствора контролируется адсорбцией на поверхности минералов.
Адсорбция ― накопление вещества на границе раздела минерал−раствор ― является основой поверхностно-химических процессов. Адсорбция влияет на распределение вещества между раствором и твердой фазой, на электростатические свойства взвешенных частиц и коллоидов, что в свою очередь обусловливает их склонность к агрегированию, влияет на реакционную способность поверхностей. Скорость таких процессов, как осаждение (гетерогенное зародышеобразование и поверхностное осаждение) и растворение минералов (имеет важное значение в выветривании горных пород, в формировании почв и осадков), критически зависят от свойств поверхности.
Инкорпорирование компонентов в структуру минерала-хозяина также представляет собой важный механизм сорбции, эффективность которого возрастает с увеличением времени реакции, что крайне важно, например для прогноза безопасности захоронения радиоактивных отходов.
В последние годы в Лаборатории гидротермальных процессов ИЭМ РАН проведены исследования, затрагивающие все вышеперечисленные аспекты сорбционных процессов: адсорбцию и комплекообразование Au, Cd и Sr на гематите (Karasyova et al., 1998; Pivovarov, Lakshtanov, 2003; Karasyova et al., 1999), адсорбцию и соосаждение Zn и Sr при старении ферригидрита (Karaseva et al., 2007), ионный обмен на глинах (Pivovarov, 2009), адсорбцию и соосаждение Eu и Ni с кальцитом (Lakshtanov, Stipp, 2004, 2007; Belova et al., 2014), адсорбцию биополимеров на кальците и ее влияние на скорость осаждения кальцита (Karaseva et al., 2018; Lakshtanov et al., 2018).
В настоящей работе приводятся и обсуждаются результаты исследования адсорбции стронция на оксиде марганца ― бернессите — в зависимости от соотношения сорбат/сорбент, ионной силы раствора и температуры. Знание и учет активных механизмов адсорбции позволяет создать термодинамическую модель гетерофазной системы, пригодную для экстраполяции в широком интервале концентраций, ионной силы и температуры.
Одним из наиболее опасных радиоактивных продуктов ядерного деления является 90Sr, имеющий длительный период полураспада (28,4 года) и являющийся более подвижным, чем другие радионуклиды (например, 137Cs). Кроме того, являясь типичным щелочноземельным металлом, 90Sr легко проникает в организм человека и животных и накапливается в костных тканях, вызывая серьезные заболевания.
(Гидр)оксиды железа и марганца, которые широко распространены в почвах и осадках, могут играть важную роль в замедлении миграции радионуклидов (Fu et al., 1991; Zasoski, Burau, 1988; Loganathan et al., 1977; Catts, Langmuir, 1986; Rao, Laitinen, 1974). К настоящему времени опубликовано большое количество работ, посвященных сорбции металлов на (гидр)оксидах железа (Collins et al., 1998; Karasyova et al., 1999; Ali, Dzombak, 1996; Cowan et al., 1991; Axe et al., 1998). Напротив, адсорбционные свойства (гидр)оксидов марганца исследованы значительно хуже. Марганцевые минералы группы филломанганата, в частности бернессит (δ-MnO2), наиболее распространены в почвах, а также в донных отложениях (Manceau et al., 2002). Исследования сорбции катионов на δ-MnO2 (Fu et al., 1991; Zasoski, Burau, 1988; Loganathan et al., 1977; Catts, Langmuir, 1986; Metwally et al., 2017; Ghaly et al., 2016; Bevara et al., 2018) показали, что этот оксид имеет большую площадь поверхности и высокую способность сорбировать катионы, особенно тяжелые металлы. Адсорбция тяжелых металлов на бернессите происходит при более низких значениях рН по сравнению с адсорбцией на гематите, магнетите, рутиле и глиноземе (Tamura et al., 1996). Кроме того, поверхность бернессита достаточно стабильна (Stroes-Gascoyne et al., 1987), что является важным условием для получения данных, которые можно использовать для надежного моделирования адсорбции. Экспериментальные результаты (электрофорез, потенциометрическое титрование) позволили сделать вывод, что значения pH точки нулевого заряда бернессита (pHpzc) варьируют от 1,5 до 4,5 (Stroes-Gascoyne et al., 1987; Balistrieri, Murray,1982; Murray, 1974). Из-за низкого значения pHpzc существует возможность развития высокого отрицательного поверхностного заряда в широком диапазоне pH. Подробную информацию о структуре, электрохимических и кислотно-основных свойствах поверхности бернессита можно найти в работах (Stroes-Gascoyne et al., 1987; Balistrieri, Murray, 1982; Murray, 1974; McKenzie, 1981).
Настоящая работа посвящена изучению взаимодействия поверхности бернессита с ионами Sr2+. Адсорбционное поведение стронция изучено не очень хорошо, и, как правило, исследования по адсорбции щелочноземельных металлов на оксидах марганца очень немногочисленны. В работе (Appelo, Postma, 1999) использована теория поверхностного комплексообразования для описания экспериментальных данных по адсорбции Ca2+, Mg2+, Ba2+ и Sr2+ на бернессите. По мнению авторов, сорбция щелочноземельных металлов приводит к образованию поверхностных комплексов следующей стехиометрии (например, для стронция): >MnO3HSr+ и >MnO3Sr. В этом случае поверхностные группы >MnO3H2 рассматриваются как адсорбционные центры.
В литературе до сих пор нет единого мнения о механизмах адсорбции стронция на оксидах. Спектроскопические исследования (EXAFS, XAS) были проведены для определения локальной молекулярной координации атома стронция, адсорбированного на поверхности минерала. В работе (Fenter et al., 2000) сделан вывод, что адсорбция стронция может быть интерпретирована как образование ковалентной химической связи между Sr и поверхностной группой рутила, то есть внутрисферное комплексообразование. Результаты работы (Axe et al., 1998) предполагают, что ион стронция остается гидратированным при адсорбции на поверхностях каолинита, аморфного кремнезема и гетита, что указывает на физический тип адсорбции. По мнению авторов работы (Collins et al., 1998), в зависимости от рН стронций может образовывать как внутрисферные, так и внешнесферные комплексы на поверхности гетита.
В нашей работе (Karasyova et al., 1999), посвященной адсорбции стронция на гематите, путем моделирования экспериментальных данных с помощью расширенной модели постоянной емкости (ECCM) и термодинамического анализа был сделан вывод о внутрисферном поверхностном комплексообразовании стронция. Было показано, что сорбция стронция приводит к образованию внутрисферных поверхностных комплексов следующего состава: FeOHSr2+ и FeOSrOH. В отличие от поверхности гематита с pHpzc 8.5, pHpzc поверхности бернессита значительно ниже. Поэтому практически во всей области рН>3 поверхность бернессита заряжена отрицательно, а кулоновские силы являются притягивающими. Таким образом, на бернессите вероятность образования внешнесферных комплексов должна быть выше.
Цель настоящей работы ― получение информации о механизме адсорбции стронция на поверхности бернессита и создание термодинамической модели гетерофазной системы бернессит (>MnOH)−H+−Sr2+. Влияние pH, ионной силы, соотношения сорбат/сорбент (Sr2+/>MnOH) и температуры на адсорбцию мы изучали с помощью экспериментального метода, представляющего собой комбинацию потенциометрического кислотно-основного титрования поверхности и данных по адсорбции металла.
Для описания экспериментальных данных использованы две различные модели поверхностного комплексообразования с двумя различными электростатическими моделями поверхности раздела (модель постоянной емкости ― CCM, трехслойная модель ― TLM; Stumm, 1992). Предлагаются стехиометрии поверхностных реакций, полученные с использованием различных моделей, а также обсуждаются сложности применения этих моделей.
МАТЕРИАЛЫ И МЕТОДЫ
Диоксид марганца был получен окислением MnCl2 медленным добавлением KMnO4 в соответствии со следующей реакцией (Balistrieri, Murray,1982):
2KMnO4 + 3MnCl2 + 2H2O = 5MnO2 + 4H+ + 2K+ + 6Cl–. (1)
Для удаления Mn2+ бернессит обрабатывали 0,1 М HCl и затем промывали 0,1 М NaCl до установления постоянного значения pH суспензии (скорость изменения ЭДС менее 0,6 мВ/ час). Анализ водного раствора суспензии бернессита показал присутствие незначительного количества Mn2+ (<1% от общей концентрации поверхностных групп) при низких значениях pH. Удельная площадь поверхности бернессита, определенная методом BET по адсорбции криптона, составила 235 м2/г.
Для титрования суспензии использовали 0,05 М растворы HCl и NaOH. Раствор HCl готовили из стандартного раствора, а раствор NaOH ― растворением твердого NaOH (высокой степени чистоты) и стандартизировали по известной концентрации HCl. Исходный раствор SrCl2 готовили растворением взвешенного количества SrCl2 • 6H2O (BDH Chemicals p.a.). Все растворы готовили с использованием бидистиллированной воды. Все растворы доводили до 0,1 М или 0,01 М ионной силы путем добавления NaCl.
Это исследование было выполнено как серия кислотно-основных потенциометрических титрований при 25; 50 и 75 ± 0,2°С. Экспериментальная установка для потенциометрического титрования подробно описана в работах (Karasyova, 1998, 1999). Начальная концентрация твердого вещества во всех экспериментах составляла 2 г/л. Концентрация протонов в растворе [Н+] измерялась ЭДС ячейки:
E = E0 – 2,30 RT / F p[H+] + Ej, (2)
где E0 ― константа, определяемая для каждого эксперимента кислотно-основным титрованием раствора фонового электролита. Было обнаружено, что потенциал жидкостного соединения Ej в экспериментальном диапазоне pH составляет менее 0,1 мВ, и им можно пренебречь. Измерение ЭДС проводилось с точностью до 0,6 мВ (0,01 единицы рН). Использование шкалы концентрации p[H+] вместо pH будет объяснено ниже. Была проведена серия экспериментов для определения общей концентрации поверхностных групп, B0, титрованием поверхности бернессита разбавленным раствором NaOH. В качестве таких групп рассматриваются поверхностные гидроксильные группы >MnOH, образующиеся на поверхности минерала в контакте с водным раствором. Избыток гидроксилов оценивали по данным в диапазоне 11< pH <11,5, где было обнаружено, что буферный эффект поверхностных гидроксильных групп является низким. Концентрация гидроксильных групп может быть определена по разнице между общей концентрацией протонов Htot и концентрацией свободных протонов [H+]:
B0 = Htot – [H+] + Kw / [H+], (3)
где Kw ― ионное произведение воды.
Расчет общей концентрации протонов Htot выполнялся следующим образом:
где V0 ― начальный объем суспензии (мл), V1 ― объем добавленной кислоты (мл), V2 ― объем добавленного основания (мл), c1 и c2 ― концентрации кислоты и основания (моль/л) соответственно.
Адсорбция Sr на поверхности бернессита была исследована при различных начальных концентрациях Sr в области 2≤ р[H+] ≤12 при 25; 50 и 75°С. Раствор Sr известной концентрации добавлялся к суспензии при р[Н+] ~2−2,5, и титрование продолжали разбавленным NaOH до р[H+] ~12. Аликвоты суспензии отбирали при известных значениях р[H+] и центрифугировали. Общая концентрация стронция в водной фазе определялась методом атомно-абсорбционной спектрометрии (относительная погрешность 2%).
ОБРАБОТКА ЭКСПЕРИМЕНТАЛЬНЫХ ДАННЫХ
В настоящей работе адсорбционные равновесия рассматриваются как реакции комплексообразования стронция с поверхностными гидроксильными группами и могут быть записаны как:
p H+ + q ≡MnOH + r Sr2+ =
= [Hp(≡MnOH)qSrr](p+2r); βinp,q,r, , (4)
для внутрисферного комплексообразования и
p H+ + q ≡MnOH + r Sr2+ = [(Hp(≡MnOH)q] p… (Srr)] (p+2r) ; βoutp,q,r , (5)
для внешнесферного комплексообразования, где p, q и r ― стехиометрические коэффициенты.
Кроме того, необходимо учитывать кислотно-основные равновесия на поверхности:
p H+ + q ≡MnOH– = [Hp(≡MnOH)q]р ; βp,q,0, (6)
и гидролиз Sr в растворе:
p H+ + r Sr2+ = HpSrr(p+2r) βp,0,r, (7)
βinp,q,r, ,βoutp,q,r, βp,q,0, как определено уравнениями (4–6), являются кажущимися константами равновесия, которые необходимо скорректировать на электростатическую энергию заряженной поверхности, чтобы получить соответствующие внутренние (int) константы:
βinp,q,0 (int) = βinp,q,0 e(pFΨ(0)/RT) , (8)
βinp,q,r (int) = βinp,q,r e((p+2r)FΨ(0)/RT) , (9)
βoutp,q,r(int) = βoutp,q,r• e(pFΨ(0)/RT) • e((p+2r)FΨ(β)/RT), (10)
где F ― постоянная Фарадея, R ― газовая постоянная, T ― температура (в К), Ψ(0) ― электростатический потенциал в плоскости поверхности, а Ψ(β) ― потенциал в плоскости β (для слабосвязанных ионов).
Существуют различные модели двойного электрического слоя (ДЭС) для выражения взаимосвязи между поверхностным зарядом и потенциалом (Stumm, 1992). Среди них модель постоянной емкости (CCM) является одной из наиболее часто применяемых моделей (Stumm, 1992; Lützenkirchen, 1999). CCM предполагает, что все адсорбированные ионы занимают плоскость, непосредственно прилегающую к поверхности. Образованные поверхностные комплексы, таким образом, аналогичны внутрисферным аквакомплексам. Электрический потенциал в нулевой плоскости Ψ0 (плоскость поверхности) связан с электрическим зарядом σ0 емкостью поверхности бернессита C (К В/м2) (Stumm, 1992):
σ= Ψ × С. (11)
Здесь поверхностный потенциал не зависит от ионной силы, и поэтому CCM не может быть использована для прогнозирования изменений адсорбции ионов в результате изменения ионной силы. Поэтому для CCM требуются различные наборы поверхностных констант протонирования и депротонирования (уравнение (6)) и константы комплексообразования с ионами металла (уравнения (4, 5)) для каждого значения ионной силы. Поскольку емкость C не может быть непосредственно измерена, она должна рассматриваться как подгоночный параметр (Herbelin, Westall, 1994).
Коэффициенты активности в растворе можно считать постоянными, и обработка на основе концентрационной шкалы возможна из-за неизменности ионной силы.
Согласно трехслойной модели (TLM) (Lützenkirchen, 1999; Herbelin, Westall, 1994; Guerin, Seaman, 2002; Righetto et al., 1995), ионы на границе раздела оксид/вода связаны в двух плоскостях ― 0-плоскость (плоскость поверхности) и β-плоскость, в которой находятся адсорбированные ионы. Модель TLM позволяет различать внутрисферные и внешнесферные поверхностные комплексы (Herbelin, Westall, 1994). Экспериментальные данные, полученные при разных ионных силах, могут быть включены в расчет, поэтому в этом случае необходимо скорректировать коэффициенты активности. Если значения ионной силы малы (менее 0,5−0,8), коэффициенты активности могут быть рассчитаны по уравнению Дэвиса:
log fi = z2i A (I 1/2 / (1+ I 1/2) – C I), (12)
где z ― заряд иона, I ― ионная сила (моль/л), A и C ― параметры, зависящие от свойств растворителя (плотность, диэлектрическая проницаемость) и температуры T.
Согласно TLM, связь между поверхностным зарядом и потенциалом дается уравнениями (Lützenkirchen, 1999; Herbelin, Westall, 1994):
σ0 + σβ + σd = 0, (13)
σ0 = C1 (ψ0 – ψβ), (14)
σd = C2(ψd – ψβ), (15)
σd = –0.1174√ I sinh (zFψd/2RT), (16)
где индексы o, β и d относятся к трем TLM-плоскостям, C1 и C2 ― емкости внутреннего и внешнего слоев соответственно.
Обработка экспериментальных данных с помощью TLM довольно трудоемка, поскольку используются следующие параметры: C1 и C2, а также константы комплексообразования (βoutNa и βoutCl) фонового электролита (NaCl):
≡MnO– – H+ + Na+ =
= ≡MnO– …Na+ βoutNa (17)
≡MnOH2 + H+ + Cl– =
= ≡MnOH2+…Cl– βoutCl (18)
Процедура обработки данных методом TLM подробно описана в (Herbelin, Westall,1994).
Поверхностные заряды T(σо) и Т(σβ) в плоскости β можно выразить (моль/л) :
Tσо = Σ p βinp,q,0 (int) e –(pFψ(0)/RT) • hp • bq +
+ Σ p βinp,q,r (int) e –((p+2r)Fψ(0)/RT) • hp • bq • cr , (19)
Тσβ = Σ p βoutp,q,r• e(pFψ(0)/RT) • e((p+2r)Fψ(β)/RT) hp • bq • cr, (20)
или в электростатических величинах (К В м-2):
σ0 = T(σ0) • F/ s • a, (21)
σβ = T(σβ) • F/ s • a, (22)
где s ― удельная площадь поверхности (м2/г), а ― концентрация суспензии (г/л).
Стехиометрические составы и соответствующие им константы равновесия для реакций на границе раздела бернессит−раствор были рассчитаны с помощью компьютерной программы FITEQL 3.1 (Herbelin, Westall, 1994). Основным показателем качества соответствия экспериментальным данным является величина V (Y), которая представляет собой взвешенную сумму ошибок для всех точек титрования, деленную на величину k = np nII – nu, где np ― количество точек титрования, nII ― количество компонентов, для которых известны общая и свободная концентрации, nu ― количество подгоночных параметров (констант равновесия). Значения V (Y) от 0,1 до 20 указывают на достаточно хорошее соответствие эксперименту (Herbelin, Westall, 1994). Детали процедуры оптимизации были описаны, например, в работах (Karasyova et al., 1999; Herbelin, Westall, 1994; Villalobos, Leckie, 2001).
Диаграммы распределения также были построены с помощью программы FITEQL.
РЕЗУЛЬТАТЫ
Кислотно-основные свойства поверхности бернессита
Протоны H+ и гидроксил-ионы OH− являются потенциал-определяющими ионами для (гидр)оксидных поверхностей (Stumm, 1992), поэтому любая модель адсорбции должна основываться на описании кислотно-основных свойств поверхности минерал−раствор.
Чтобы охарактеризовать адсорбцию потенциал-определяющих ионов (Н+ и ОН−), было выбрано среднее количество H+, прореагировавшего с одной поверхностной группой >MnOH, ZB, рассчитанное для каждой экспериментальной точки с использованием следующего уравнения:
ZB = ( Htot – [H+] + Kw/[H+] ) /B, (24)
где Htot и [Н+] ― общая и свободная концентрации протона.
Кривые титрования представлены на рис. 1 для значений ионной силы NaCl 0,1 М и 0,01 М при 25 и 75°С. Они пересекаются при каждой температуре при четко определенном значении pH (pHpzc). pHpzc смещается к более низким значениям при повышении температуры и составляет 2,90 и 2,30±0,02 для 25 и 75°C соответственно.
Чтобы оценить температурную зависимость адсорбции протонов и гидроксильных ионов, объединим реакции, представленные в табл. 1, и перепишем общую реакцию
≡MnOH+2 = ≡MnO– + 2H+, βin(-1)1,1,0 • βin-1,1,0 (25)
и pHpzc = 0.5 ( log βin1,1,0 – βin-1,1,0). (26)
Чтобы экстраполировать pHpzc на 50 и 75°C, вместо уравнения (25) нам нужна изокулоновская реакция, которая может быть получена путем объединения константы диссоциации воды с данной реакцией ионизации (Machesky et al., 1994; Schoonen, 1994). Эта экстраполяция возможна, потому что значительные изменения в парциальных молярных теплоте и объемах компенсируются. Изокулоновская реакция может быть записана как:
≡MnOH+2 +OH– = ≡MnO– + H+ +H2O, K1, (27)
log K1 = pKw – 2 pHpzc. (28)
В нашем случае для границы раздела бернессит−раствор до 75°С эта разница приблизительно постоянна (log K1 = 7,94±0,05). Близкие значения были получены и для многих других оксидов и гидроксидов (Machesky et al., 1994, 1998; Tewari, Campbell, 1976).
Рис. 1. Экспериментальные данные кислотно-основного титрования в 0,01 М NaCl и 0,1 М NaCl при 25 и 75°С.
Экспериментальные данные по адсорбции Н+ и ОН−, полученные потенциометрическим титрованием для двух значений ионной силы, были использованы для оценки констант кислотно-основных реакций с различными моделями ДЭС.
Экспериментальные данные были описаны моделью CCM для ионных сил 0,1 и 0,01 М по отдельности в диапазоне р[Н+] 2−11, т.е. с обеих сторон от точки нулевого заряда. В этом случае наилучшее согласие с экспериментальными данными было достигнуто путем изменения одного параметра ― емкости C (Ф м−2). Значения констант кислотно-основных поверхностных равновесий βin 1,1,0 , βin−1,1,0 и емкости C, соответствующих наилучшему согласию с экспериментом для двух ионных сил, приведены в таблице 1.
Таблица 1. Кислотно-основные свойства поверхности раздела бернессит–раствор, рассчитанные с помощью CCM
Реакция на поверхности | β (0.1 M NaCl) | β (0.01 M NaCl) | |||||
25°C | 50°C | 75°C | 25°C | 50°C | 75°C | ||
≡MnOH + H = [≡MnOH2]+ | βin 1.1.0 | 0.84 | 0.77 | 0.66 | 0.69 | 0.57 | 0.51 |
≡MnOH = ≡MnO– + H+ | βin–1.1.0 | –4.96 | –4.37 | –4.07 | –5.15 | –4.6 | –4.25 |
Емкость С (Ф/м2) | 1.80 | 1.55 | 1.25 | 1.55 | 1.35 | 1.1 | |
Качество аппроксимации V(Y) | 3 | 9 | 6 | 5 | 9 | 5 | |
В случае использования TLM емкость C1 и константы связывания ионов фонового электролита являлись подгоночными параметрами (Herbelin, Westall, 1994) и варьировали до установления минимального значения V (Y). Их значения, а также значения констант протонирования и депротонирования представлены в табл. 2. Используемое значение емкости внешнего слоя (C2) составляло 0,2 Ф/м2 (Lyklema, Overbeek, 1961).
В работе (Fu et al., 1991) TLM использовалась для определения внутренних констант кислотности поверхности для >MnO- и >MnO-Na+ (плотность поверхностных групп = 8,1 нм−2, pHpzc = 2,7) и констант устойчивости Cd и Cu на δ-MnO2. Диапазон pH титрования составлял от 2,7 до 10, т.е. в случае pH>pHpzc. Так, реакции образования поверхностных комплексов >MnO- и >MnO- Na+ были включены в расчеты с помощью TLM; значения внутренних констант составляли –5,34 и –3,97 соответственно, емкость внутреннего слоя C1 = 2,4 Ф/м2. Это значение больше, чем 1,0−1,4 Ф/ м2, характерно для других оксидов. Авторы (Fu et al., 1991) предположили, что удельная емкость зависит от плотности поверхностного заряда: более высокая плотность поверхностного заряда соответствует более высокой емкости.
Адсорбция стронция на поверхности бернессита
Адсорбция стронция на бернессите изучалась в зависимости от рН, ионной силы, концентрации стронция и температуры. Соотношения концентраций Sr/>MnOH составляли 0,1 и 1. Исследование адсорбции стронция проводилось в диапазоне 2< рН <12 при 25; 50 и 75°С. Как видно на рис. 2, стронций сильно адсорбируется на поверхности бернессита в исследуемом диапазоне pH при всех температурах. Как и для большинства катионов, адсорбция Sr увеличивается с увеличением рН.
В разбавленных растворах максимальная адсорбция достигалась при рН 6,5 и 25°С и при рН 6,0 и 75°С. Максимальная адсорбция Sr на гематите (Karasyova et al., 1999) наблюдалась при рН выше 10 при 25°С и при рН 9 и 75°С. При высоких концентрациях Sr адсорбция как на гематите, так и на бернессите увеличивается в области выше pHpzc, но для бернессита максимальная адсорбция не была достигнута, и, по-видимому, должна наблюдаться при сильно щелочном pH.
Адсорбция стронция на бернессите зависит от ионной силы, особенно при низких концентрациях Sr. Чувствительность адсорбции щелочноземельных металлов к ионной силе отмечена в ряде работ (Ali, Dzombak, 1996); Kinniburgh,1983). Например, увеличение ионной силы с 0,01 до 0,1 М приводит к заметному уменьшению адсорбции Са2+ на гетите, особенно при рН 10−11 (Ali, Dzombak, 1996).
Все полученные экспериментальные результаты были смоделированы с помощью CCM и TLM.
Оценка модели для системы >MnOH−H+−Sr2+ состояла в систематическом тестировании комбинаций комплексов с различным стехиометрическим составом. Пятнадцать возможных комбинаций поверхностных комплексов были протестированы с использованием CCM. В расчет были включены экспериментальные точки для двух соотношений Sr2+/>MnOH (0,1 и 1,0). Как видно из табл. 3, наилучшее соответствие экспериментальным данным для ионной силы NaCl 0,1 и 0,01 М было получено с помощью модели, состоящей из трех поверхностных комплексов: [>MnOHSr]2+, [>MnOSr]+ и [>MnOSrOH]0. Любая другая комбинация поверхностных комплексов гораздо хуже соответствует экспериментальным данным. Значение V (Y) комбинации, состоящей из трех вышеупомянутых комплексов, равно 18, а для модели, состоящей из двух комплексов, например, [>MnOHSr]2+ и [>MnOSrOH]0, ― порядка 200. Однако следует отметить, что хорошее соответствие экспериментальным данным для низкой концентрации Sr2+ было получено в модели, состоящей всего лишь из одного поверхностного комплекса [>MnOHSr]2+. В этом случае добавление в расчет двух других комплексов [>MnOSr]+ и [>MnOSrOH]0 не приводит к значительному улучшению качества модели, особенно при высокой ионной силе. Как будет обсуждаться ниже, при низких соотношениях Sr2+/>MnOH основная часть Sr адсорбируется на поверхности с образованием одного комплекса [>MnOHSr]2+.
Моделирование системы (>MnOH)−Sr2+−H+ с помощью TLM состояло из тестирования комбинаций внутри- и внешнесферных комплексов с различной стехиометрией. Константы равновесия для кислотно-основных реакций и константы связывания электролита, концентрации поверхностных групп, емкости C1 и C2 (табл. 2) рассматривались как известные параметры и использовались без изменений.
Таблица 2. Кислотно-основные свойства поверхности раздела бернессит–раствор, рассчитанные с помощью TLM (концентрация поверхностных гидроксильных групп 6.4 nm−2)
Реакция на поверхности | β | |||
25°C | 50°C | 75°C | ||
≡MnOH + H = ≡MnOH2+ ≡MnOH = ≡MnO– + H+ ≡MnOH + Na+ = ≡MnO–- Na+ + H+ ≡MnOH + H + Cl– = ≡MnOH2+- Cl– Емкость внутреннего слоя C1 (Ф/m2) Качество аппроксимации V(Y) | βin1.1.0 βin–1.1.0 βoutNa βoutCl | 2.82 –3.34 –3.0 2.82 1.55 9 | 2.50 –2.5 –2.35 2.90 1.4 6 | 2.43 –2.16 –2.19 2.59 1.35 13 |
Рис. 2. Зависимость адсорбции Sr от рН на бернессите (δ-MnO2) при 25 и 75°С. [>MnOH]tot = 5,0 мМ. Символы представляют следующее соотношение: [Sr ]tot / [>MnOH]tot : 0,1 (□ ― в 0,01 М NaCl; ∆ ― в 0,1 М NaCl) и 1,0 (■ ― в 0,01 М NaCl; ▲ ― в 0,1 М NaCl).
Таблица 3. Модель комплексообразования Sr на поверхности бернессита, рассчитанная с помощью CCM для 25; 50 и 75°C
Реакция на поверхности | β (0.1 M NaCl) | β (0.01 M NaCl) | |||||
25°C | 50°C | 75°C | 25°C | 50°C | 75°C | ||
≡MnOH + H = [≡MnOH2]+ | βin1.1.0 | 0.84 | 0.77 | 0.66 | 0.69 | 0.57 | 0.51 |
≡MnOH = ≡MnO– + H+ | βin–1.1.0 | –4.96 | –4.37 | –4.07 | –5.15 | –4.60 | –4.25 |
≡MnOH + Sr2+ = [≡MnOHSr]2+ | βin 0.1.1 | 1.21 | 1.78 | 1.97 | 1.31 | 1.91 | 2.14 |
≡MnOH + Sr2+ = [≡MnOSr]+ + H+ | βin –1.1.1 | –4.45 | –3.7 | –2.91 | –4.65 | –3.52 | –3.1 |
≡MnOH + Sr2+ + H2O = [≡MnOSrOH]0 + 2H+ | βin –2.1.1 | –13.78 | –11.93 | –11.50 | –13.88 | –12.00 | –11.51 |
Емкость С (Ф/м2) | 1.8 | 1.55 | 1.30 | 1.55 | 1.35 | 1.1 | |
Качество аппроксимации V(Y) | 18 | 19 | 18 | 15 | 13 | 27 | |
Таблица 4. Модель комплексообразования Sr на поверхности бернессита, рассчитанная с помощью TLM для 25; 50 и 75°C
Реакция на поверхности | β | |||
25°C | 50°C | 75°C | ||
≡MnOH + H = ≡MnOH2+ | βin1.1.0 | 2.82 | 2.50 | 2.03 |
≡MnOH = ≡MnO– + H+ | βin–1.1.0 | –3.34 | –2.5 | –2.16 |
≡MnOH + Na+ = ≡MnO–– Na+ + H+ | βoutNa | –3.0 | –2.35 | –2.19 |
≡MnOH + H + Cl– = ≡MnOH2+– Cl- | βoutCl | 2.82 | 2.90 | 2.59 |
≡MnOH + Sr2+ = [≡MnOHSr]2+ | βin0.1.1 | –1.20 | –1.70 | –1.95 |
≡MnOH + Sr2+ = [≡MnOSr]+ + H+ | βin–1.1.1 | –5.85 | –5.25 | –4.4 |
≡MnOH + Sr2+ + H2O = [≡MnOSrOH]0 + 2H+ | βin–2.1.1 | –12.53 | –11.72 | –10.6 |
≡MnOH + Sr2+ =[≡MnO–– Sr2+]+ + H+ | βout–2.1.1 | –1.07 | –0.90 | –0.6 |
Емкость внутреннего слоя C1 (Ф/м2) | 1.55 | 1.40 | 1.35 | |
Качество аппроксимации V(Y) | 15 | 12 | 19 | |
Хорошее соответствие с экспериментом было получено только с одной моделью, состоящей из четырех комплексов с общей стехиометрией, определенной в соответствии с уравнениями (4−5). Эти стехиометрические составы могут быть истолкованы как образование трех внутрисферных и одного внешнесферного монодентатных комплексов. Любая другая комбинация поверхностных комплексов более чем из 30 возможных не могла быть вообще оптимизирована. Константы соответствующих адсорбционных равновесий приведены в табл. 4. Для низкой концентрации Sr адсорбционные данные могут быть успешно описаны моделью, состоящей из двух поверхностных комплексов, внутрисферного [>MnOHSr]2+ (этот комплекс был получен также с помощью CCM) и внешнесферного [>MnO−Sr2+]+.
ОБСУЖДЕНИЕ
Обработка экспериментальных данных с помощью CCM указывает на образование трех внутрисферных поверхностных комплексов: [>MnOHSr]2+, [>MnOSr]+ и [>MnOSrOH]0. Как показано на рис. 3, при высокой концентрации Sr ([Sr2+] / [>MnOH] = 1,0) образуются три поверхностных комплекса стронция. В этом случае преобладающим комплексом является [>MnOSr]+ и его концентрация увеличивается с ростом температуры и уменьшением ионной силы. Значительная концентрация комплекса >MnOSrOH наблюдается при рН>9, т.е. в области рН существенного гидролиза стронция в растворе. Подобное распределение было отмечено в работе (Ali, Dzombak, 1996) для поверхностных комплексов кальция на гетите, однако в расчет были еще включены бидентатные комплексы (>FeOH)2Ca2+, значительно улучшавшие согласие с экспериментом при низких значениях pH.
Рис. 3. Диаграммы распределения поверхностных комплексов Sr при 25 и 75°C, рассчитанные с использованием CCM. [Sr]tot/[>MnOH]tot = 1,0. Сплошные линии ― расчетные значения для 0,1 М NaCl, пунктирные ― для 0,01 М NaCl.
Рис. 4. Диаграммы распределения поверхностных комплексов Sr при 25 и 75оC, рассчитанные с использованием TLM. [Sr]tot/[>MnOH]tot = 1,0. Сплошные линии ― расчетные значения для 0,1 М NaCl, пунктирные линии ― для 0,01 М NaCl.
В работе (Karasyova et al., 1999), посвященной адсорбции Sr на гематите, предложенная модель адсорбции состоит из двух внутрисферных поверхностных комплексов ― >FeOHSr2+ и >FeOSrOH. Вероятно, диапазон pH появления промежуточных внутрисферных комплексов >FeOSr+ был слишком малым из-за гораздо более узкого диапазона pH адсорбции Sr на гематите и относительно высокой концентрации аквакомплекса SrOH+ в этой области pH, что способствовало образованию нейтрального поверхностного комплекса (>FeOSrOH).
Диаграммы распределения поверхностных комплексов стронция, полученные с помощью TLM, представлены на рис. 4. Как обсуждалось выше, при адсорбции Sr кроме трех внутрисферных комплексов появляется один внешнесферный комплекс [>MnO−−Sr2+]+. Можно отметить, что концентрация внешнесферных комплексов на бернессите выше при низкой ионной силе и заметно уменьшается с ростом температуры; такое поведение характерно для физической адсорбции. Доминирование внутрисферных комплексов Sr при более высоком рН может быть объяснено все более отрицательным поверхностным зарядом на бернессите вследствие депротонирования поверхностных групп и, следовательно, их более сильного притяжения к положительно заряженным ионам Sr2+ из раствора. Аналогичное предположение было сделано в работе (Collins et al., 1998), где изучена координационная сфера иона Sr2+, адсорбированного на гетите, и обнаружены внешнесферные комплексы Sr при рН 9,2 и внутрисферные комплексы при рН 10,2.
При высокой концентрации Sr влияние ионной силы на адсорбцию значительно слабее. С повышением температуры и общей концентрации стронция >MnOSr+ становится доминирующим поверхностным комплексом.
Сравнивая результаты для различных моделей, следует отметить, что обе использованные модели способны учитывать кислотно-основные реакции и комплексообразование стронция на поверхности бернессита. Однако процедура описания экспериментальных данных различными моделями (CCM и TLM) существенно различаются. В случае применения CCM мы используем только один параметр для оптимизации (удельная емкость C). Поэтому, с одной стороны, эта модель является более простой в применении. С другой стороны, необходимо иметь в виду, что с помощью CCM мы можем обрабатывать экспериментальные данные, полученные только при постоянной ионной силе. CCM успешно описывает адсорбцию, например, тяжелых металлов, которые сильно взаимодействуют с поверхностными гидроксильными группами и образуют внутрисферные комплексы (Lövgren et al., 1990; Gunneriusson, Sjöberg, 1993), и их адсорбция практически не зависит от ионной силы (Ali, Dzombak, 1996).
При применении TLM нам нужно оптимизировать четыре параметра (C1, C2, βoutNa, βout Cl) одновременно. Несомненно, обработка данных TLM кажется более трудоемкой.
Однако, как известно из литературы по адсорбции щелочноземельных металлов, они не обладают такими прочными связями с поверхностными группами, как тяжелые металлы (Ali, Dzombak, 1996; Dzombak, Morel, 1990). Их адсорбция чувствительна к изменениям ионной силы (рис. 4), что может указывать на внешнесферное комплексообразование. TLM может быть применима в случае переменной ионной силы и, кроме того, в отличие от CCM, TLM различает специфически и неспецифически адсорбированные ионы стронция.
В нашей работе (Karasyova et al., 1999), посвященной изучению адсорбции стронция на гематите, реакции сорбции описывались расширенной моделью постоянной емкости (ECCM) (Nilsson, 1995). Этот подход аналогичен TLM, но внешнесферное комплексообразование ионов фонового электролита не учитывается. Имеется в виду, что при достаточно высокой ионной силе электростатический эффект диффузного облака ионов электролита сравнительно мал и может быть включен в константу устойчивости поверхностных комплексов. В результате моделирования мы пришли к выводу, что Sr может образовывать только внутрисферные поверхностные комплексы. Когда с помощью ECCM мы протестировали комбинации с комплексами как внутри-, так и внешнесферными, мы не смогли достичь минимума значения V (Y): оно постепенно уменьшалось по мере увеличения C1, приближаясь к значению V (Y), полученному с помощью простой модели CCM. Значение удельной емкости С, полученное для поверхности гематита с помощью CCM, составило 2,49 Ф/м2 (I = 0,1 М NaCl, Т = 25°С), что соответствует толщине двойного электрического слоя d = 2,8 Å. Примечательно, что радиус гидратированного иона Sr2+ составляет 3,09 Å. Сопоставляя эти два значения и полагая, что расстояние β между 0-плоскостью и β-плоскостью определяется главным образом доминирующим катионом электролита в растворе (т.е. Na+) (Sverjensky, 2001), мы можем заключить, что ионы Sr2+ могут адсорбироваться на поверхности, теряя, по крайней мере, часть их гидратной сферы.
Значения C зависят от типа оксида, электролита, ионной силы и состояния гидратации ионов электролита (Sverjensky, 2001). Значение удельной емкости для поверхности бернессита, полученной в CCM, меньше, чем для гематита (1,8 Ф/м2 при I = 0,1 М NaCl и Т = 25°С), и соответствует d = 3,8 Å. Соответственно, сравнивая радиус гидратации стронция и расстояние β для поверхности бернессита, мы можем предположить, что стронций может образовывать как внешне-, так и внутрисферные поверхностные комплексы.
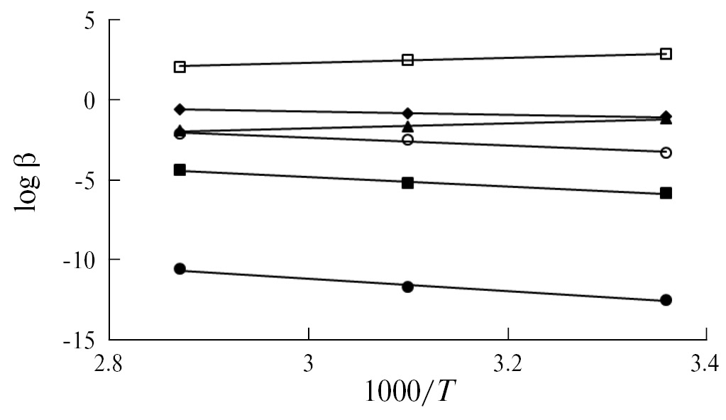
Рис. 5. Температурная зависимость констант образования комплексов, представленных в модели TLM (табл. 4). Символы обозначают >MnOH2+ (□), >MnO− (○), >MnOHSr2+ (▲), >MnOSr+ (■), >MnOSrOH0 (○), [>MnO−−Sr2+]+ (♦).
Модель, полученная с помощью TLM для поверхностного комплексообразования Sr на бернессите, состоит из трех внутрисферных комплексов и одного внешнесферного комплекса. Константы образования этих комплексов зависят от температуры (табл. 4). Эти константы и уравнение Вант-Гоффа можно использовать для оценки изменения энтальпии реакций, приведенных в таблице 4:
log β= −∆H / 2.3RT + ∆S / 2.3R, (29)
где ∆H и ∆S ― изменение энтальпии и энтропии реакции соответственно.
При условии, что энтальпия и энтропия реакций являются постоянными в исследованном интервале температур, график зависимости logβ от 1/T дает прямую линию с наклоном −∆H/2.3R (рис. 5).
В табл. 5 приведены изменения энтальпии для адсорбции Sr, полученные из температурных зависимостей констант поверхностного комплексообразования, приведенных в таблице 4. Можно отметить, что ∆H адсорбции протонов и ∆H образования поверхностного комплекса >MnOHSr2+ отрицательны и свидетельствуют об экзотермичности реакций. Напротив, реакции образования поверхностных комплексов >MnOSr+, >MnOSrOH и [>MnO−−Sr2+]+ являются эндотермическими (табл. 5). Вероятно, положительные ∆H этих комплексов могут быть следствием десорбции протонов или коадсорбции гидроксилов, в то время как протонирование и реакция образования поверхностного комплекса >MnOHSr2+ (присоединение H+ или Sr2+ к нейтральным поверхностным гидроксильным группам >MnOH) протекают с выделением тепла. Аналогичное наблюдение было сделано в работе (Kosmulski, 1997) при изучении адсорбции тяжелых металлов на оксидах.
Таблица 5. Энтальпия поверхностных реакций на бернессите
Реакция на поверхности | AH кДж/моль |
≡MnOH + H+ = ≡MnOH2+ | -32 |
≡MnOH = ≡MnO– + H+ | 49 |
≡MnOH + Sr2+ = ≡MnOHSr2+ | -30 |
≡MnOH + Sr2+ = ≡MnOSr+ + H+ | 56 |
≡MnOH + Sr2+ + H2O = ≡MnOSrOH0 + 2H+ | 77 |
≡MnOH + Sr2+ = [≡MnO–– Sr2+]+ + H+ | 19 |
∆H образования внутрисферных комплексов Sr невелики, но попадают в диапазон параметров, характерных для адсорбции тяжелых металлов (Kosmulski, 1997; Trivedi, Axe, 2001), для которых эта энергия необходима для дегидратации ионов. Кроме того, как видно из таблицы 5, значение ∆H для внутрисферного комплекса >MnOSr+ (56 кДж/моль) значительно выше, чем у внешнесферного комплекса (19 кДж/моль) того же состава [>MnO−−Sr2+]+. Таким образом, существует значительная разница в энергетике адсорбции Sr. Это также подтверждает вывод, полученный при аппроксимации экспериментальных данных, о том, что стронций может образовывать на поверхности бернессита как внешне-, так и внутрисферные комплексы.
Рассчитанные коэффициенты распределения Kd [л/кг] изменяются от 32 до 240 при возрастании pH от 4 до 8. Наблюдаемая корреляция значений Kd с pH подразумевает простую связь между относительной подвижностью стронция и pH водоносного горизонта. Значения Kd могут быть упрощенным образом связаны с относительной миграционной скоростью (скорость металла, Vm, относительно скорости потока воды в порах, Vw) (Freeze, Cherry, 1979):
Vm/Vw = (1 + ρ / ε Kd)−1 (30)
или для песчаного водоносного пласта (средняя плотность пласта ρ = 1.6 кг/л, пористость ε = 0.3)
Vm/Vw ≈ (5Kd)−1. (31)
Относительная скорость Sr в зависимости от pH показана на рис. 6. Видно, что подвижность Sr в песчаном водоносном пласте, где гидроксиды марганца могут присутствовать в виде тонкозернистых агрегатов или тонкослойных покрытий на зернах песка, сильно снижена практически во всем интервале pH. Лишь в кислой области pH<3 стронций может обладать заметной подвижностью.
Рис. 6. Относительная скорость миграции стронция в зависимости от pH.
ЗАКЛЮЧЕНИЕ
Полученные в настоящей работе результаты показывают, что бернессит (δ-MnO2) может играть важную роль в регулировании концентрации Sr путем прямой адсорбции. Адсорбция Sr усиливается при уменьшении ионной силы. Это связано с конкуренцией ионов Sr2+ с ионами электролита и, как следствие, наряду с внутрисферными комплексами образуются внешнесферные поверхностные комплексы стронция. В этом случае именно внешнесферное комплексообразование отвечает за общее увеличение адсорбции стронция в близнейтральной области pH. Концентрация внешнесферных комплексов на бернессите выше при низкой ионной силе и заметно уменьшается с ростом температуры. Наблюдаемая закономерность характерна для физической адсорбции. Доминирование внутрисферных комплексов Sr при более высоком рН может быть объяснено все более отрицательным поверхностным зарядом на бернессите вследствие депротонирования поверхностных групп и, следовательно, их более сильного притяжения к положительно заряженным ионам Sr2+ из раствора.
Поэтому, выбирая модель для описания процессов адсорбции Sr (или других щелочноземельных металлов), необходимо учитывать условия, в которых такие процессы происходят. При низкой ионной силе и отрицательно заряженной поверхности оксида марганца более адекватна модель TLM. Использование модели CCM для описания адсорбции стронция может быть математически удовлетворительным, но не имеет физического смысла. При высокой ионной силе концентрация поверхностных внешнесферных комплексов на бернессите незначительна, и поэтому использование CCM может быть допустимым.
About the authors
O. N. Karaseva
D.S. Korzhinskii Institute of Experimental Mineralogy of Russian Academy of Sciences
Author for correspondence.
Email: olga@iem.ac.ru
Russian Federation, Moscow
L. I. Ivanova
D.S. Korzhinskii Institute of Experimental Mineralogy of Russian Academy of Sciences
Email: olga@iem.ac.ru
Russian Federation, Moscow
L. Z. Lakshtanov
D.S. Korzhinskii Institute of Experimental Mineralogy of Russian Academy of Sciences
Email: olga@iem.ac.ru
Russian Federation, Moscow
References
- Ali M.A., Dzombak D.A. (1996) Effects of simple organic acids on sorption of Cu2+ and Ca2+. Geochim. Co. smochim. Acta 60, 291−304.
- Appelo C.A.J., Postma D. (1999) A consistent model for surface complexation on birnessite (δ-MnO2) and its application to a column experiment. Geochim.Cosmochim. Acta 63, 3039−3048.
- Axe L., Bunker G.B., Anderson P.R., Tyson T.A. (1998) An XAFS analysis of strontium at the hydrous ferric oxide surface. J. Colloid. Interface Sci. 199, 44−52.
- Balistrieri L.S., Murray J.W. (1982) The surface chemistry of MnO2 in major ion seawater. Geochim. Cosmochim. Acta 46, 1041−1052.
- Belova D.A., Lakshtanov L.Z., Carneiro J.F., Stipp S. (2014) Nickel adsorption on chalk and calcite. J. Contaminant Hydrology 170, 1–9.
- Bevara S., Giric P., Acharya S.N., Bhalleraod G., Mishra R.K., Kumar A., Kaushik C.P., Tyagi A.K. (2018) Synthetic Na/K-birnessite for efficient management of Sr(II) from nuclear waste. J. Environ. Chem. Eng. 6, 7200–7213.
- Catts J.G., Langmuir D. (1986) Adsorption of Cu, Pb and Zn by MnO2: Applicability of the site binding surface complexation model. Applied Geochemistry 1, 255–264.
- Collins C.R., Sherman D.M., Ragnarsdóttir K.V. (1998) The adsorption mechanism of Sr2+ on the surface of goethite. Radiochim. Acta 81, 201–206.
- Cowan C.E., Zachara J.M., Resch C.T. (1991) Cadmium adsorption on iron oxides in the presence of alkaline-earth elements. Environ. Sci. Technol. 25, 437−446.
- Dzombak D.A., Morel F.M.M. (1990) Surface Complexation Modeling: Hydrous Ferric Oxide. New York: Wiley, 416 p.
- Fenter P., Cheng L., Rihs S., Machesky M., Bedzyk M.J., Sturchio N.C. (2000) Electrical double-layer structure at the rutile-water interface as observed in situ with small-period X-ray standing waves J. Colloid. Interface Sci. 225, 154−165.
- Freeze R.A., Cherry J.A. (1979) Groundwater. NJ: Prentice-Hall, Englewood Cliffs, 604 p. Fu G., Allen H.E., Cowan C.E. (1991) Adsorption of cadmium and copper by manganese oxide. Soil Scince 152, 72−81.
- Ghaly M., El-Dars F.M.S.E., Hegazy M.M., Abdel Rahman R.O. (2016) Evaluation of synthetic Birnessite utilization as a sorbent for cobalt and strontium removal from aqueous solution. Chem. Eng. J. 284, 1373–1385.
- Guerin M., Seaman J. (2002) Accounting for diffuse layer ions in triple-layer models. J. Colloid. Interface Sci. 250, 492−495.
- Gunneriusson L., Sjberg S. (1993) Surface complexation in the H+-goethite ([alpha]- FeOOH)Hg (II)-chloride system. J. Colloid. Interface Sci. 156, 121−128.
- Herbelin A.L., Westall J.C. (1994) FITEQL: A computer program for determination of chemical equilibrium constants from experimental data, Version 3.1. Report 94−01. Dept. of Chemistry, Oregon State Univ. Corvallis, OR, USA.
- Karasyova O.N., Ivanova L.I., Lakshtanov L.Z., Lvgren L., Sjberg S. (1998) Complexation of gold(III)-chloride at the surface of hematite. Aquatic geochemistry 4, 215−231.
- Karasyova O.N., Ivanova L.I., Lakshtanov L.Z., Lvgren L. (1999) Strontium sorption on hematite at elevated temperatures. J. Colloid. Interface Sci. 220, 419−428.
- Karasyova O.N., Lakshtanov L.Z., Ivanova L.I. (2007) The behaviour of strontium and zinc during ageing of Fe(III) hydroxide. Geochim. Cosmochim. Acta 71, A463−A463.
- Karaseva O.N., Lakshtanov L.Z., Okhrimenko D.V., Belova D.A., Generosi J., Stipp S. (2018) Biopolymer Control on Calcite Precipitation. Crystal Growth & Design 18, 2972−2985.
- Kinniburgh D.G. (1983) The H+/M2+ exchange stoichiometry of calcium and zinc adsorption by ferrihydrite. J. Soil Sci. 34, 759−768.
- Kosmulski M. (1997) Standard enthalpies of adsorption of di- and trivalent cations on alumina. J. Colloid. Interface Sci. 192, 215−227.
- Lakshtanov L.Z., Stipp S.L.S. (2004) Experimental study of Europium (III) partitioning to calcite. Geochim. Cosmochim. Acta 68, 819−827.
- Lakshtanov L.Z., Stipp S.L.S. (2007) Experimental study of nickel(II) interaction with calcite: Adsorption and coprecipitation. Geochim. Cosmochim. Acta 71, 3686−3697.
- Lakshtanov L.Z., Okhrimenko D.V., Karaseva O.N., Stipp S. (2018) Limits on calcite and chalk recrystallisation. Crystal Growth & Design 18, 4536−4543.
- Loganathan P., Burau R.G., Fuerstenau D.W. (1977) Influence of pH on the sorption of Co2+, Zn2+ and Ca2+ by a hydrous manganese oxide. Soil Sci. Soc. Am. J. 41, 57−62.
- Lvgren L., Sjberg S., Schindler P.W. (1990) Acid/Base reactions and AI(III) complexation at the surface of goethite. Geochim. Cosmochim. Acta 54, 1301−1306.
- Ltzenkirchen J. (1999) Parameter estimation for the constant capacitance surface complexation model: analysis of parameter interdependencies. J. Colloid. Interface Sci. 210, 384−390.
- Ltzenkirchen J. (1999) The Constant capacitance model and variable ionic strength: an evaluation of possible applications and applicability J. Colloid. Interface Sci. 217, 8−18.
- Lyklema J., Overbeek J.Th.G. (1961) Electrochemistry of silver iodide the capacity of the double layer at the silver iodide-water interface. J. Colloid. Interface Sci. 16, 595−608.
- McKenzie R.M. (1981) The surface charge on manganese dioxides. Aust. J. Soil Res. 19, 41−50.
- Murray J.W. (1974) The surface chemistry of hydrous manganese dioxide. J. Colloid. Interface Sci. 46, 357−371.
- Machesky M.L., Palmer D.A., Wesolowski D.J. (1994) Hydrogen ion adsorption at the rutile ― water interface to 250°C. Geochim. Cosmochim. Acta 58, 5627−5632.
- Machesky M.L., Wesolowski D.J., Palmer D.A., Ichiro-Hayashi K. (1998) Potentiometric titrations of rutile suspensions at 250°C. J. Colloid. Interface Sci. 200, 298−309.
- Manceau A., Lanson B., Drits A. (2002) Structure of heavy-metal sorbed birnessite: Part 3. Geochim. Cosmochim. Acta 66, 2639–2663.
- Metwally S.S., Ghaly M., El-Sherief E.A. (2017) Physicochemical properties of synthetic nano-birnessite and its enhanced scavenging of Co2+ and Sr2+ ions from aqueous solutions. Mat. Chem. Phys. 193, 63−72.
- Nilsson N. (1995) Inner/outer Sphere Complexation of Phosphate and Organic Ligands at the Goethite-Water Interface. Ph.D. dissertation, Umea univ.
- O’Day P.A., Newville M., Neuhoff P.S., Sahai N., Carroll S.A. (2000) X-Ray Absorption Spectroscopy of Strontium(II) Coordination. J. Colloid. Interface Sci. 222, 184−197.
- Pivovarov S., Lakshtanov L.Z. (2003) Cadmium adsorption on hematite. Geochem. Int. 41, 1013−1027.
- Pivovarov S. (2009) Diffuse sorption modeling: Apparent H/Na, or the same, Al/Na exchange on clays. J. Colloid Interface. Sci. 336, 898−901.
- Rao R., Laitinen H.A. (1974) Studies of heavy metal adsorption by hydrous iron and manganese oxides. Anal. Chem. 46, 2022−2026.
- Righetto L., Azimonti G., Missana T., Bidoglio G. (1995) The Triple Layer Model Revised. Colloids and Surface 95, 141−157.
- Schoonen M.A.A. (1994) Calculation of the point of zero charge of metal oxides. Geochim. Cosmochim. Acta 58, 2845−2851.
- Stroes-Gascoyne S., Kramer J.R., Snodrass W.J. (1987) Preparation, characterization and aging of δ-MnO2, for use in trace metal speciation studies. Applied Geochemistry 2, 217−226.
- Stumm W. (1992) Chemistry of the solid-water interface. New York: Wiley, 428 p.
- Sverjensky D.A. (2001) Interpretation and prediction of triple-layer model capacitances and the structure of the oxide– electrolyte–water interface. Geochim. Cosmochim. Acta 65, 3643−3655.
- Tamura H., Katayama N., Furuichi R. (1996) Modeling of ion-exchange reactions on metal oxides with the frumkin isotherm. 1. Acid-base and charge characteristics of MnO2, TiO2, Fe3O4r and AI2O3 surfaces and adsorption affinity of alkali metal ions. Environ. Sci. Technol. 30, 1198−1204.
- Tewari P.H., Campbell A.B. (1976) Temperature dependence of point of zero charge of cobalt, and nickel oxides and hydroxides. J. Colloid. Interface Sci. 55, 591−600.
- Trivedi P., Axe L. (2001) Ni and Zn Sorption to Amorphous versus Crystalline Iron Oxides: Macroscopic Studies. J. Colloid. Interface Sci. 244, 221−229.
- Villalobos M., Leckie J.O. (2001) Surface Complexation Modeling and FTIR Study of Carbonate Adsorption to Goethite. J. Colloid. Interface Sci. 235, 15−32.
- Zasoski R.J., Burau R.G. (1988) Sorption and sorptive interaction of cadmium and zinc on hydrous manganese oxides. Soil Sci. Soc. Am. J. 52, 81−87.
Supplementary files








