Equilibrium and kinetic simulation of groundwater demanganation and deironing
- Authors: Ryzhenko B.N.1, Mironenko M.V.1, LImantseva O.A.1
-
Affiliations:
- Vernadsky Institute of Geochemistry and Analytical Chemistry of Russian Academy of Sciences
- Issue: Vol 64, No 12 (2019)
- Pages: 1247-1260
- Section: Articles
- URL: https://journals.eco-vector.com/0016-7525/article/view/18743
- DOI: https://doi.org/10.31857/S0016-752564121247-1260
- ID: 18743
Cite item
Full Text
Abstract
Analysis of chemical equilibria among iron and manganese aqueous species at various Eh-pH conditions and aqueous CO2 concentration is done. Thermodynamic and equilibrium-kinetic simulation of iron and manganese aqueous species oxidations is developed for groundwater demanganation and deironing.
Numerical simulation of chemical interactions in the system “groundwater-aqueous oxygen-rock minerals-aqueous carbon dioxide” is shown that deironing is effective enough but aqueous manganese(II) concentration is increased. It occurs because (Fe,Mn)CO3 solubility rate is too slow and (Fe,Mn)CO3 dissolution and removal of aqueous iron species results in secondary MnCO3 formation.
Using published experimental data on carbonate dissolution kinetics, iron and manganese oxidation kinetics and the critical values of rate constants of iron and manganese homogenous oxidation, iron and manganese carbonates solubility, manganese homogenous catalytical oxidation on iron hydroxide suspension are chosen. The kinetics-thermodynamics model of underground oxidation of iron and manganese by dissolved oxygen have been developed. By numerical simulation of chemical interactions in the system “groundwater saturated by oxygen-stratal water-intake rock minerals” shows that deironing occurs effective enough but aqueous manganese concentration increased. It happens due to aqueous manganese slow oxidation and dissolution of (Fe,Mn)CO3. Also secondary MnCO3 formation is possible due to removal of aqueous iron specis. So underground demanganation is possible if there is no (Fe,Mn)CO3 among intake rock minerals or inconvenience of water contact with it.
Full Text
ВВЕДЕНИЕ
Химические процессы, происходящие при подземном окислении растворенных в подземной воде железа и марганца в степени окисления 2+, крайне сложны для количественного описания. Это обусловлено рядом факторов.
- Многокомпонентность системы требует описания сразу многих химических взаимодействий. Термодинамическое моделирование способно описать лишь конечное состояние системы, не отвечая на вопрос о времени достижения равновесия.
- Кинетическое моделирование геохимических систем на современном уровне его развития способно рассчитывать реакции гомогенного окисления Fe2+ и Mn2+ как реакции псевдопервого порядка, протекающие при постоянных концентрациях кислорода и кислотности, а реакции растворения минералов – как реакции псевдонулевого порядка, протекающие при постоянной кислотности.
- В рассматриваемой многокомпонентной гетерогенной системе водозабора подземное окисление Fe2+ и Mn2+ само по себе вызывает расход кислорода и изменение рН. Кроме того, оно сопровождается растворением карбонатов, содержащих железо и марганец, что дает поток этих компонентов в водный раствор, а также изменяет его кислотность.
В представленной работе авторы попытались учесть как многокомпонентность системы, так и различные переменные во времени скорости отдельных химических реакций. Это достигнуто в равновесно-кинетической модели, которая основана на принципе частичного равновесия и представляет собой временную последовательность равновесий систем, материальный баланс которых частично рассчитывается из кинетических уравнений.
ОБЪЕКТ ИССЛЕДОВАНИЯ
Месторождение подземных вод расположено в междуречье рек Амура и Тунгуски, в 10 км западнее города Хабаровска. По запасам подземных вод, а также по химическому составу месторождение является уникальным: высокие концентрации железа и марганца на фоне низких значений рН и больших концентраций растворенной углекислоты. Для его использования требуется специальная водоподготовка, заключающаяся в окислении и осаждении ряда загрязняющих компонентов (железо, марганец, барий и кремний).
Воды горизонта безнапорные и местами слабонапорные. Глубина залегания уровня подземных вод составляет 6–8 м при мощности самого горизонта 40–50 м. Водопроводимость водоносной толщи 2500–6000 м2/сутки, средний коэффициент фильтрации порядка 50–80 м/сутки (Кулаков и др., 2006).
Согласно описанию месторождения (Кулаков и др., 2006; Кулаков, 2011, 2013; Кулаков, Штенгелов, 2015), температура воды 6–7 °С, состав пород близок к суглинкам. Химический состав подземной воды по площади и по вертикали существенно не изменяется: минерализация 200–300 мг/л, содержание SiO2(aq) 20–40 мг/л, Fe(aq) 15–25 мг/л, CO2(aq) 120–220 мг/л, pH=6.0–6.35, Eh от -100 до +100 мВ, преимущественно от -50 до +50 мВ.
Eh-pH РАВНОВЕСИЯ В СИСТЕМЕ Fe-Mn-H2O
Редокс-условия рассматриваемого водозабора допускают существование железа и марганца, преимущественно в степени окисления 2+. На месторождении определено растворенное органическое вещество в концентрации 1–4 мг/л (перманганатная окисляемость 0.4–3.4 мг O2/л). Комплексообразование катионов Mn2+ и Fe2+ с органическими лигандами способствует накоплению в водной фазе восстановленных форм марганца и железа, и даже окисленных форм железа. Известно, чем прочнее образующиеся комплексы, тем лучше защищены эти элементы от окисления. Таким образом, растворенное органическое вещество препятствует окислению Mn2+ и Fe2+, а также может “съедать” часть кислорода, закачиваемого для окисления марганца и железа.
Как видно из Eh-pH диаграмм рисунков 1 и 2 (Крайнов и др., 2012), для перехода катионов этих элементов в более высокую степень окисления, когда происходит осаждение соответствующих оксидов (гидроксидов), необходимо Eh более положительное для марганца, чем для железа.
Простейшее описание процесса растворения карбоната (Fe, Mn)CO3(s) представляется таковым:
где в квадратных скобках – концентрации соответствующих водорастворенных частиц. Как видно из уравнений (1) и (2), рост концентрации растворенной углекислоты и снижение pH благоприятствуют повышению концентраций Mn(aq) и Fe(aq). Для реакции растворения MnCO3 при 25 °С pK1=6.26 и при 6 °С pK1=5.97. Для реакции растворения FeCO3 – при 25 °C pK2=9.76 и при 6 °С pK2=9.46.
Рис. 1. Eh-pH диаграмма Fe-H2O при 25 °С. 1 – типы железосодержащих вод; 2 – направления увеличения концентрации железа. а – кислые воды районов сульфидных месторождений; b – грунтовые с высокой концентрацией органических веществ; c – бескислородные и бессульфидные; d – сульфидные.
Рис. 2. Eh-pH диаграмма Mn-H2O при 25 °С. Положение марганецсодержащих (>1 мг/воды) вод: 1 – кислые воды районов сульфидных месторождений; 2 – бескислородные и бессульфидные подземные воды; 3 – подземные воды с высокой концентрацией органических веществ; 4 – граница Fe2+/Fe(OH)3. Стрелка – направление увеличения концентрации марганца.
Подставив в уравнения (1) и (2) выражение для [HCO3–] = Kуг[CO2(aq)]/[H+], где Kуг – константа ионизации угольной кислоты по первой ступени, получаем возможность для вычисления концентрации Mn2+ и Fe2+ над осадком карбонатов на Тунгусском месторождении; приняв pH=6.16, [CO2(aq)]=200 мг/л=0.00455m, имеем:
Из уравнений (3) и (4) следует сравнительное обогащение водной фазы марганцем при растворении карбоната (Fe,Mn)CO3(s). Обратим внимание, что отношение Fe/Mn (s) в водоносной породе (грунте) в зависимости от точки опробования изменяется в двадцать раз, преимущественно Fe/Mn (s) = 10.1–22.0.
Процесс окисления Fe2+(aq) и Mn2+(aq) описывается следующими уравнениями:
где оксид Mn3+ является промежуточным продуктом окисления марганца. При лабораторных и натурных экспериментах установлена фаза β-MnOOH при 6 °С (Hem, 1981), курнакит и пиролюзит, при других параметрах (Morgan, 2005).
Уравнения (1–4) дают представление о направленности процессов, но их совместное действие можно оценить количественно только компьютерным моделированием системы “породы месторождения – вода – углекислота”.
МОДЕЛИРОВАНИЕ РАВНОВЕСИЙ В СИСТЕМЕ FE-MN-H2O
Вначале мы смоделировали упрощенную по составу термодинамически закрытую систему, содержащую только марганец и железо с суммарной массой 1 г/л воды в трех вариантах отношений: (а) в равных долях, (б) десятикратный избыток железа над марганцем и (в) присутствует только марганец.
Если количества железа и марганца одинаковы (рис. 3), то при закачке воды с увеличивающейся концентрацией растворенного кислорода вначале в равновесном процессе происходит окисление железа (кислорода 1 мг/л и более), затем железа и марганца (кислорода 40 мг/л). При избытке в системе железа (рис. 4) марганец окисляется до пиролюзита только при внесении 70 мг/л кислорода. В системе, содержащей только марганец (рис. 5), происходит окисление Mn2+ вначале до курнакита, затем образуется ассоциация курнакит+пиролюзит (кислорода 20 мг/л); при кислороде 30 мг/л и более образуется только пиролюзит.
Концентрации растворенной углекислоты в 200–300 мг/л позволяет принять систему “порода-вода-газ” месторождения термодинамически открытой по CO2, т.е. находящейся под парциальными давлениями углекислоты, создающими постоянные концентрации CO2(aq) около 280 мг/л, 28 мг/л и 2.8 мг/л. Железо окисляется до гематита при минимальной концентрации растворенного O2 в 1 мг/л, и концентрация растворенного железа не превышает 0.2 мг/л. Марганец окисляется до пиролюзита при концентрации кислорода в воде 12 мг/л и более. Концентрация марганца хотя и убывает при внесении растворенного кислорода, но при содержании CO2(aq) 280 мг/л составляет несколько мг/л. Только при CO2(aq) 28 мг/л Mn(aq) снижается до содержаний порядка 1.1 мг/л, и при содержании CO2(aq) 2.8 мг/л концентрация Mn(aq) снижается до 0.05 мг/л.
Рис. 3. Закрытая система “с отношением масс Fe/Mn=1, H2O” при 6 °С (в таблице приведены концентрации минералов, образовавшихся на данном шаге моделирования).
Рис. 4. Закрытая система “с отношением масс Fe/Mn=9, H2O” при 6 °С.
Рис. 5. Закрытая система “Mn-H2O” при 6 °С.
МОДЕЛИРОВАНИЕ РАВНОВЕСИЙ В СИСТЕМЕ «ПОРОДА-ВОДА-ГАЗ» МЕСТОРОЖДЕНИЯ ПОДЗЕМНЫХ ВОД
Исследуемое месторождение имеет более сложный химический состав, чем рассмотренные выше системы. Гидрогеологическая и геохимическая информация о водоносном горизонте позволяет нам описать рассматриваемый объект как систему «суглинок-вода-углекислота», открытую по CO2(г). Для создания полной модели принят химический состав суглинка (табл. 1), который нами был пересчитан на минеральный (равновесный состав в закрытой системе, табл. 2). Влияние растворенного органического вещества при моделировании оценивалось введением 0.001 моль/л гуминовых веществ.
Моделирование заключалось в расчете равновесного состава системы «суглинок-вода-углекислота» при разных величинах отношения масс породы (R) к воде (W), R/W=0.1–10 (т.е. условно при различном водообмене) и различных парциальных давлениях углекислоты. При этом массы твердых фаз (минеральный состав исследуемой системы) не являлись критическими характеристиками, так как не растворялись полностью. В водную фазу поступал поток следующих веществ: FeCO3, CaCO3, MnCO3, CaMg(CO3)2, FeS2, NaAlSi3O8 SiO2, KAlSi3O8, KAl3Si3O12H2, CaAl2Si2O22H12, TiO2, MnO2, FeOOH. Для моделирования обежелезнения и деманганации в баланс масс-системы «суглинок-вода-углекислота» вносился кислород в водорастворенной форме.
В результате расчетов были определены концентрации Na, K, Ca, Mg, HCO3, CO2, SiO2, SO4, Mn и Fe в водной фазе, а также Eh-pH характеристики воды в водоносном комплексе. В целом состав модельного водного раствора соответствовал природному (кальций-бикарбонатному), кроме содержания кремнезема. Концентрация SiO2 в модельном растворе была значительно ниже наблюдаемой концентрации 20–40 мг/л. Наиболее вероятной причиной такого пересыщения природной воды относительно кварца является растворение полевых шпатов. Минерализация модельного раствора превышала минерализацию природной воды, что свидетельствует о более значительной промытости природной водоносной породы, т.е. реальное отношение масс реагирующих породы и воды R/W < 0.1.
Таблица 1. Химический состав суглинка
Окислы | Вес.% |
SiO2 | 56.63 |
Al2O3 | 5.11 |
TiO2 | 0.97 |
Fe2O3 | 6.31 |
CaO | 5.78 |
MgO | 2.85 |
K2O | 1.08 |
Na2O | 1.25 |
SO3 | 0.87 |
ППП | 8.35 |
Таблица 2. Минеральный состав суглинка
Компоненты | Моли |
NaAlSi3O8(альбит) | 3.67 |
CaCO3(кальцит) | 13.1 |
CaMgC2O6(доломит) | 70.7 |
FeOOH(гематит) | 38.0 |
KAlSi3O8(микроклин) | 14.8 |
KAlSi3O12H2(мусковит) | 8.13 |
MnO2(пиролюзит) | 0.93 |
SiO2(кварц) | 662.0 |
MnCO3(родохрозит) | 19.3 |
FeCO3(сидерит) | 10.0 |
FeS2(пирит) | 0.1 |
CaAl2Si2O22H12(стильбит) | 28.7 |
TiO2 | 12.1 |
Термодинамическое моделирование показывает, что добавляемый в систему кислород (20 мг/л) снижает концентрацию Mn(aq) тем существеннее, чем меньше парциальное давление углекислоты, т.е. концентрация CO2(aq). На наш взгляд, это говорит в пользу целесообразности удаления растворенной углекислоты при закачке обогащенного кислородом воздуха (барботаж) через деманганизируемую воду.
Eh–pH условия, создаваемые в водоносном горизонте, обеспечивают концентрации Fe(aq), которые соответствуют санитарным требованиям при всех рассматриваемых концентрациях растворенной углекислоты, но не соответствуют санитарным требованиям для Mn(aq). А комплексообразование Fe2+ и Mn2+ с растворенным органическим веществом (0.001m) приводит к возрастанию концентрации железа более существенному, чем для марганца. Моделированием установлено равновесие с пиритом, что соответствует установленному восстановительному Eh подземной воды (прямо измерение от -50 до + 50 мВ (Кулаков, Тесля и др., 2006), модельное Eh до -160 мВ).
Для достижения соответствия санитарным нормам по железу и марганцу необходимы: закачка растворенного кислорода большей концентрации (что вряд ли целесообразно) и снижение концентрации CO2(aq) как дегазацией, так и повышением pH. Неполная деманганация воды, наблюдаемая на природном объекте, может быть вызвана разными причинами: рассеянием закаченного кислорода в подземном пространстве (динамическая причина) и/или более медленной скоростью окисления Mn2+ сравнительно со скоростью окисления Fe2+ (кинетическая причина). Для оценки влияния кинетических причин на окисление растворенных форм марганца (II) и железа (II) в присутствии железосодержащего сидерита было выполнено кинетико-термодинамическое моделирование процесса окисления.
КИНЕТИЧЕСКИЕ ХАРАКТЕРИСТИКИ РЕАКЦИЙ В СИСТЕМЕ FE-MN-СО2-H2O
Подземное окисление железа и марганца растворенным в воде кислородом протекает параллельно и на фоне растворения карбонатов Fe(II) и Mn(II), содержащихся во вмещающих породах, поэтому нам необходимы представления о кинетике этих реакций, а также константы скоростей реакций окисления железа и марганца водного раствора и константы скоростей конгруэнтного растворения карбонатов.
Кинетика окисления двухвалентных железа и марганца растворенным кислородом описывается реакцией псевдопервого порядка (Millero et al., 1987; Morgan, 2005).
Окисление железа. Скорость окисления железа описывается кинетическим уравнением:
Оно справедливо для условий постоянства рН и концентрации растворенного кислорода [O2], при которых экспериментально изучалась кинетика окисления. Для переменных кислотности раствора и концентрации в нем растворенного кислорода k1Fe = kFe[OH–]2[O2], а выражение для скорости реакции принимает вид
В экспериментальной работе (Millero et al., 1987) изучалась кинетика окисления железа в воде и морской воде в зависимости от рН (5–9), температуры (5–45 °С) и солености (0–35). Были получены зависимости константы реакции (9–10) от температуры и ионной силы:
где
Эти численные значения константы скорости окисления железа использовались в настоящей работе при кинетико-равновесном моделировании.
ОКИСЛЕНИЕ ДВУХВАЛЕНТНОГО МАРГАНЦА
Гомогенное химическое окисление двухвалентного марганца протекает на порядки медленнее, чем окисление двухвалентного железа. Это иллюстрируется информацией в табл. 3 (Morgan, 2005).
При окислении марганца образуются твердые фазы, которые имеют дробную степень окисления, зависящую от условий лабораторного эксперимента или условий протекания химического процесса в природе (Stumm, Morgan, 1996). Отмечено, что (1) скорость окисления пропорциональна квадрату концентрации ионов OH– и (2) существует зависимость скорости окисления от солевого состава водного раствора. Эти закономерности объясняются различиями в величинах констант скорости реакции окисления для различных форм марганца и железа в водном растворе. Увеличение констант скорости окисления установлено для форм, преобладающих в более щелочных средах (Morgan, 2005).
Таблица 3. Константы скорости гомогенного окисления Fe(II) в Fe(III) и Mn(II) в Mn(III) растворенным кислородом (М-1 с-1) по данным (Morgan, 2005) при 25 °С
Частица | Ki,OSa | Ki,fitb |
Mn2+ | 1.6E-18 | <1.0E-10 |
Fe2+ | 1.6E-6 | 1.0E-6 |
MnOH+ | 6.3E-10 | 1.66E-2 |
FeOH+ | 2.0E-2 | 6.3 |
Mn(OH)2 | 7.9E-4 | 20.9 |
Fe(OH)2 | 1.6E+2 | 7.9E+5 |
Примечания. a Предсказано теорией Маркуса для скорости перехода электрона (Rosso, Morgan, 2002); b Fe(II) из ( King, 1998).
Установлено, что под действием марганец- и железоокисляющих бактерий реакция (так называемого биологического) окисления протекает значительно быстрее; при этом для окисления железа время полуреакции в несколько раз меньше, чем для марганца (Katsoyiannis, Zouboulis, 2004). В лабораторных исследованиях процесс биологического окисления был реализован при температурах выше, чем на исследуемом водозаборе (6 °С) и в средах с pH>7 (Apte et al., 2007); на исследуемом водозаборе pH=6.0–6.3. Существуют доказательства благоприятного влияния растворенного железа(II) на окисление растворенного марганца(II) (Gheriany et al., 2009). Недавно опубликовано сообщение о новой бактериальной добавке Pseudomonas putida strain EC112, окислительная активность которой сопровождается потреблением углекислоты; при pH 6.5 и 30 °C коэффициент полунасыщения равен 1.086±0.029 мг/л и константа скорости реакции k=0.180±0.003 мг Mn(II)/ мг(сухого вещества)×час (Snyder, Wang, 2014). Однако механизм этого процесса изучен недостаточно, чтобы его можно было учесть в кинетической модели.
Абиологическое окисление марганца протекает как автокаталитический процесс, скорость которого пропорциональна активной площади поверхности образующегося оксида железа и/или марганца:
где k0Mn – константа скорости окисления водорастворенных форм Mn(II) в гомогенном растворе, k1 – константа скорости автокаталитического окисления Mn(II) на осадке оксида железа и/или марганца. Лабораторными исследованиями установлено, что произведение k1Mn [активная поверхность оксида]>>k0Mn, и, следовательно, первым слагаемым в круглых скобках кинетического уравнения можно пренебречь.
Следует отметить, что опубликованные результаты экспериментов по каталитическому окислению марганца в условиях буферирования концентрации растворенного кислорода, рН, и содержания взвешенного гидроксида трехвалентного железа в растворе (Morgan, 2005; Sung, Morgan, 1981) в силу их недостаточной формализованности сложно обрабатывать для получения константы скорости реакции окисления при переменных рН, концентрации кислорода и содержания взвешенных частиц гидроксида. Тем не менее мы пересчитали численное значение константы уравнения скорости каталитического окисления марганца на гетите
предложенного (Davies, Morgan,1989), в форму
используя параметры эксперимента и численные значения константы скорости поверхностного окисления для лепидокрокита (25 °С) k″ = 0.05 мин–1 атм–1, константу поверхностного комплексообразования β2 = 3×10–13 моль л–1, а также значение плотности поверхностных позиций [SOH] = 0.002 моль г–1, приведенные в (Morgan, 2004). В этой работе указано, что для рН=8, PO2=0.21 атм., А =1 мг/л, получается константа скорости реакции 1-го порядка около 10–3 ч–1.
Пересчет константы k″ в секунды и в концентрацию растворенного кислорода при [O2]=1 моль л–1 дает:
где 10–2.96 моль л–1 – константа Генри (В) для кислорода при 25 °С.
Для условий эксперимента, описанных в (Morgan, 2004) (mO2 = PO2 × B = 0.21×10–2.96 = 2.3×10–4 моль/л; [H+] = 1×10–8 и А=10–3 г/л), константа KMn реакции – d[Mn2+]/dt = KMn[Mn2+], вычисленная из полученной нами величины K0Mn, составляет 1.05×10–6 с–1, или примерно 3.8×10–3 час–1, что неплохо согласуется с вышеприведенной оценкой Моргана.
Растворение минералов. Скорости растворения минералов в зависимости от рН, как правило, хорошо описываются уравнением Лэйдлера (кинетическое уравнение реакций нулевого порядка). Для скорости растворения родохрозита вдали от насыщения при 25 °С мы использовали уравнение из (Duckworth, Martin, 2003):
В работе (Duckworth, Martin, 2004) показано, что это же уравнение примерно соответствует рН-зависимости скорости растворения сидерита.
Для скоростей растворения халцедона и других минералов мы использовали кинетические параметры, содержащиеся в нашей базе данных GEOCHEQ_M (Мироненко и др., 2008). Замедление реакции при приближении к равновесию, согласно теории переходного состояния (Lasaga, 1981; Aagaard, Helgeson, 1982), в общем виде выражается уравнением R=Ro [1-exp(ΔG/RT)], где ΔG – движущая сила реакции, показывающая степень отклонения от насыщения. Мы использовали это уравнение в нашей модели. Из уравнения видно, что скорость реакции становится нулевой при ΔG=0, т.е. при насыщении раствора в отношении минерала.
Подземное окисление железа и марганца (1) сопровождается расходом растворенного в воде кислорода и (2) само по себе изменяет кислотность раствора. Кроме того, кислотность раствора меняется вследствие растворения и возможного осаждения карбонатов и других минералов. Поэтому параметры кинетических уравнений реакций псевдопервого порядка для окисления железа и марганца, экспериментально полученные для больших объемов раствора и малых содержаний Fe2+ и Mn2+, так же как и параметры уравнений реакций псевдонулевого порядка для растворения минералов, полученные в проточных условиях при постоянном рН, в нашем случае справедливы лишь на коротких промежутках времени, когда влияние изменений величин рН и [O2 aq] на скорости реакций несущественны.
Для моделирования подземного окисления железа и марганца растворенным кислородом с учетом взаимодействия воды с вмещающими породами, нами применена кинетико-термодинамическая модель необратимых взаимодействий в системе вода-порода, более детально описанная в (Мироненко, Золотов, 2012; Zolotov, Mironenko, 2007). Протекание взаимодействий воды с минералами во времени моделируется серией последовательных частичных равновесий, рассчитываемых для каждого k-го шага по времени. Результатом таких расчетов на каждом шаге по времени является текущий равновесный состав водного раствора и массы вновь осажденных минералов, если они должны осаждаться.
Для расчета k-го химического равновесия баланс bjk по каждому j-му химическому элементу рассчитывается из химического состава bj,k – 1(aq) водного раствора на предыдущем шаге и масс минералов Δxik, которые должны быть растворены на текущем шаге по времени:
где υji – число стехиометрических единиц j-го химического элемента в формуле i-го минерала. Мольное количество минерала Δxik, растворенного на k-том шаге, рассчитывается по формуле Δxik = Sik rik Δtk , где
– доступная раствору площадь поверхности i-го минерала, м2; Δtk – продолжительность шага по времени, с; rik – текущая скорость растворения минерала, моль м–2 с–1. Минералы, осажденные на предыдущих шагах, рассматриваются как первичные и могут быть подвергнуты растворению, если не находятся в равновесии с текущим составом водного раствора.
Fe2+ и Mn2+ одновременно окисляются растворенным в воде кислородом. Константы скоростей окисления реакций псевдопервого порядка k1Fe = kFe [OH–]2[O2] в отношении Fe2+ и KMn = K0Mn × A × [H–2] × [O2] для Mn2 вычисляются на каждом шаге по времени для текущих рН и концентрации растворенного кислорода [O2 aq] (а для марганца еще и для текущей концентрации взвешенных частиц гидроксида железа А, г/л). Следует отметить, что текущая концентрация растворенного кислорода [O2] не включается в материальный баланс системы, а служит лишь для того, чтобы рассчитать текущую скорость реакции и таким образом определить, сколько кислорода надо добавить в систему на текущем шаге для окисления.
Мы рассматривали кинетику окисления катиона М2+ (Fe3+ или Mn3+) как последовательные реакции (а) растворения карбоната МСО3 → М2+ + СО32– и (б) окисления М2+(aqueous) → М3+(aqueous). Изменение концентрации М2+ в растворе определяется следующим кинетическим уравнением:
где kdissol = ΣiriSiυi – суммарная скорость поступления М2+ за счет реакций 0-го порядка растворения минералов, содержащих υi атомов М2+ на формульную единицу; kM – константа скорости окисления растворенного М2+ при текущих рН, концентрации растворенного кислорода [O2], а в случае М = Mn – и текущей концентрации взвеси FeOOH в воде. После интегрирования уравнения (16) можно вычислить количество катиона М2+, окисленное за время Δt:
где [M2+]0 – концентрация катиона M2+ в начале шага по времени. Уравнение (17) используется нами для того, чтобы рассчитать количество молей кислорода, которое следует добавить в систему на данном шаге для окисления: например, Fe2+ по реакции Fe2+ + 0.25О2 + Н+ = Fe3+ + 0.5Н2О. Если при вычислении химического равновесия на этом шаге по времени концентрация окисленного катиона превысит его насыщенную концентрацию, он будет осажден в виде соответствующего гидроксида.
Однако возникает проблема параллельного окисления Fe2+ и Mn2+. В данном случае недостаточно рассчитать общее количество кислорода, необходимое на окисление, а требуется еще и распределить его так, чтобы соотношение количества кислорода, израсходованного на окисление железа и пошедшего на окисление марганца, соответствовало соотношению скоростей этих реакций. Это достигается искусственным приемом: мы вводим в систему два кислорода – обычный О2, предназначенный для окисления железа, и (ОМ)2 – для окисления марганца. Их сумма равняется изначальному содержанию растворенного кислорода в растворе и затем уменьшается по мере расхода на окисление железа и марганца. Для того чтобы в значительной мере минимизировать некоторую термодинамическую некорректность этого приема, химические формулы минералов и водных частиц двухвалентного марганца записываются через обычный кислород: родохрозит MnCO3, MnOH+aq, Mn(OH)20aq, а трехвалентного марганца – через обычный и дополнительный «марганцевый» кислород: курнакит MnO(OM)0.5, манганит MnO(OM)H, undefined
КИНЕТИКО-ТЕРМОДИНАМИЧЕСКОЕ МОДЕЛИРОВАНИЕ РЕАКЦИЙ В СИСТЕМЕ «ПОРОДЫ-ВОДА-ГАЗ» МЕСТОРОЖДЕНИЯ ПОДЗЕМНЫХ ВОД
Входные данные. Взята порода, содержащая в расчете на килограмм: доломит CaMg(CO3)2 2 моля, марганецсодержащий сидерит Fe0.9Mn0.1CO3 4 моля (соотношение железа и марганца соответствует результатам анализа кислотных вытяжек из водовмещающих пород водозабора), аморфный кремнезем 1 моль. Прочие минералы считались химически инертными. Это допущение, учитывая малые, сравнительно с карбонатами, скорости растворения алюмосиликатов, вполне правомерно для промежутка времени в первые годы. Исходный размер зерен минералов составлял 0.05 мм. Поскольку константа скорости окисления марганца известна лишь для комнатной температуры, была взята температура 25◦С.
Были рассчитаны несколько сценариев процесса.
Для выявления основных химических реакций, определяющих механизмы изменения концентраций железа и марганца во времени, была рассчитана ситуация, когда степень доступности поверхности минералов водному раствору Fi равняется единице (полная доступность Sexposed = Fi × Sgeom). Следует сразу отметить, что это допущение неправдоподобно, поскольку в породе высоко содержание аморфного кремнезема, склонного к переотложению и, таким образом, к образованию защитных пленок на поверхности минералов. Химический состав воды соответствует обычной подземной воде с рН=6. Содержание растворенного кислорода составляло 20 мг/л (6.25×10-4 моль/л). Соответственно, по мере протекания окисления убывала концентрация растворенного кислорода и увеличивалась концентрация взвеси FeOOH, на которой происходило каталитическое окисление марганца.
Благодаря достаточно большой скорости окисления железа (и его осаждения в виде гетита), его содержание в растворе через 7.66 часов от начала процесса не превышает 1.5×10-15 моль/ кг воды, несмотря на то, что в силу большой распространенности железа в породе его поступление в водный раствор на порядок превышает поступление марганца. Марганец не успевает окислиться, и его концентрация в растворе составляет 1×10-4 моль/кг.
В целом, описывая динамику изменения содержаний марганца в водном растворе в этом сценарии, следует отметить, что благодаря меньшей скорости его окисления, чем скорость окисления железа и скорость растворения Mn-содержащего сидерита, происходит постепенное накопление марганца в водном растворе вплоть до того, что в результате обезжелезивания раствора водный раствор постепенно насыщается относительно чистого карбоната марганца – родохрозита (рис. 6).
Это приводит к стабильно повышенному содержанию марганца в растворе во времени на уровне 6.5 мг/л (рис. 7). Положение усугубляется тем, что в результате удаления из раствора железа, поступающего в него в виде карбоната, образуется избыток углекислоты, поддерживающий рН на достаточно низком уровне, что также не способствует ускорению окисления марганца и, кроме того, вызывает гидролиз карбонат-иона в недиссоциированную СО2aq, и таким образом способствует понижению содержания СО32– и повышению насыщенной (в отношении родохрозита) концентрации марганца.
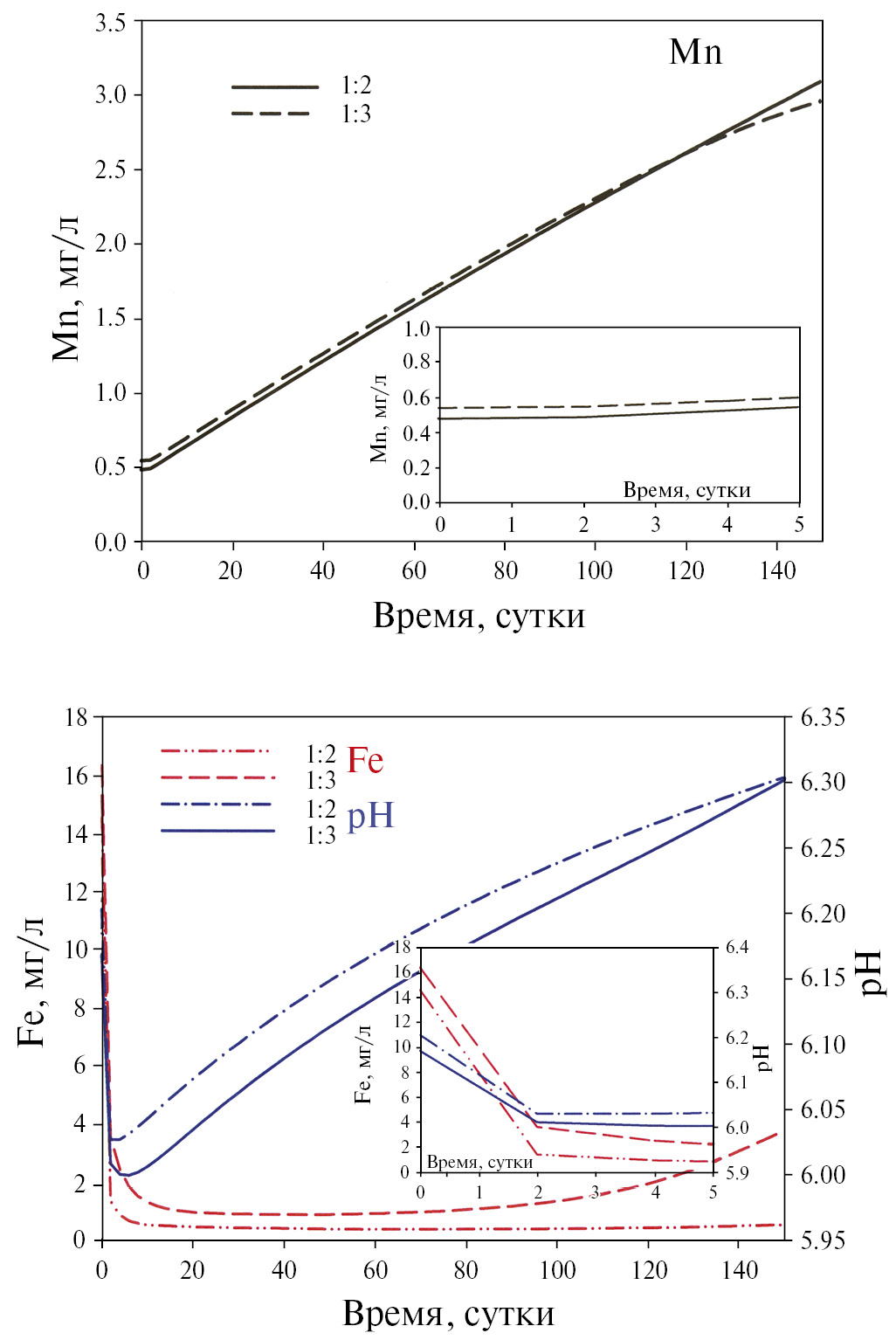
Исследование влияния соотношений закаченной и пластовой воды. К пластовой воде была закачена чистая вода с нейтральным рН в соотношениях 1:2 и 1:3. Степень доступности поверхности минералов раствору полагалась равной F=1×10–3. Содержание кислорода в закаченной воде 20 мг/л. Проведен расчет протекания химических взаимодействий во времени в смеси, находящейся в контакте с вмещающими породами.
Рис. 6. Рассчитанное в модели осаждение окисленного Fe2+ и Mn2+ в виде гетита и манганита, а также избытка неокисленного Mn2+ в виде родохрозита. Fi=1, исходная [O2aq]= 6.25×10–4 моль/кг.
Рис. 7. Рассчитанные изменения рН и концентрации Mn в закаченной воде во времени. Fi=1, исходная [O2aq]= 6.25×10–4 моль/кг (20 мг/л).
Рис. 8. Изменение во времени концентраций марганца, железа и рН в смеси «закаченная вода+пластовая вода» при их соотношениях 1:2 и 1:3 при степени доступности поверхности минералов раствору F=1×10–3. Содержание кислорода в закаченной воде 20 мг/л.
На рис. 8 даны врезки для первых пяти суток взаимодействий. Видно, что концентрации марганца и железа некоторое время сохраняются на относительно низких уровнях, затем начинают постепенно возрастать, причем низкая концентрация железа удерживается значительно дольше. При этом соотношение объемов закаченной и пластовой вод не имеет существенного значения.
Исследование влияния степени доступности поверхности карбонатов водному раствору. Для смеси, закаченной (содержание кислорода 20 мг/л) и пластовой воды в соотношении 1:3, проведены расчеты протекания химических взаимодействий во времени в условиях контакта с вмещающей породой (рис. 9) для степеней доступности поверхности минералов водному раствору F=1×10–2 и F=1×10–3. Расчеты показали, что степень доступности поверхности минералов в воде заметно влияет на изменение концентрации марганца в водном растворе. Меньшая доступность поверхности Mn-содержащего сидерита приводит к значительному замедлению роста концентрации марганца. Однако скорость реакции растворения карбоната настолько превышает скорость окисления марганца, что даже 99.9%-ная изоляция поверхности Mn-содержащего сидерита в итоге не способна предотвратить рост концентрации марганца в растворе.
Исследование влияния концентрации растворенного кислорода в закачиваемой воде на поведение железа и марганца. Были рассчитаны протекания химических превращений во времени в системе «смесь закаченной и пластовой воды (1:3)–водовмещающая порода (F=1×10–3)» при концентрациях кислорода в закаченной воде 20 и 50 мг/л. Повышение [O2 aq] с 20 до 50 мг/л резко понижает концентрацию железа и практически не сказывается на изменении концентрации марганца во времени (рис. 10).
Рис. 9. Изменение во времени концентраций марганца, железа и рН в смеси «закаченная вода+пластовая вода» в соотношении 1:3 при различных степенях доступности поверхности минералов. Содержание кислорода в закаченной воде 20 мг/л.
Рис. 10. Изменение во времени концентраций марганца, железа и рН в смеси «закаченная вода+пластовая вода» в соотношении 1:3 при степени доступности поверхности минералов раствору F=1×10–3 при содержаниях кислорода в закаченной воде 20 мг/л и 50 мг/л.
Поэтому, согласно расчетам, увеличение концентрации кислорода до 50 мг/л в закаченной воде не скажется на деманганации.
В результате кинетико-термодинамического моделирования была разработана модель протекания химических взаимодействий во времени в системе «О2-содержащий водный раствор – халцедон – доломит – Mn-содержащий сидерит», учитывающая скорость окисления Fe2+ растворенным кислородом, скорость каталитического окисления Mn2+ растворенным кислородом на гидроксиде железа (III), скорости растворения карбонатов, включая Mn0.1Fe0.9CO3. Модель одновременно учитывает изменение рН, расход кислорода, изменение содержаний Fe2+ и Mn2+ в растворе и влияние этих изменений на кинетику химических реакций, осаждение малорастворимых гидроксидов железа (III) и марганца (III). Было проведено моделирование протекания химических взаимодействий, имеющих место при закачках кислородсодержащей воды в водоносные горизонты месторождения с целью обезжелезивания и деманганации пластовой воды. При этом в качестве входных данных взяты реальные химические составы вод и оценочный минералогический состав водовмещающего горизонта. Моделирование позволило выявить принципиальные химические взаимодействия, определяющие состав воды. Исследовано влияние изменения различных параметров (содержание растворенного кислорода, соотношение объемов откачки и закачки, доступность поверхности минералов воде) на эффективность процессов очистки. Выявлено, что ни концентрация растворенного кислорода, ни соотношение объемов закачки и откачки (в разумных пределах) не влияют на понижение концентрации марганца в растворе в той мере, в которой на нее влияет уменьшение поступления марганца в раствор за счет растворения Mn-содержащего карбоната.
Расчеты показали, что железо раствора окисляется и выпадает в виде гетита достаточно быстро – быстрее, чем растворяется сидерит. Это хорошо согласуется с реально наблюдаемой ситуацией. Скорость каталитического окисления марганца значительно меньше, чем скорость окисления железа, и меньше, чем скорость поступления марганца в воду за счет растворения Mn-содержащего сидерита. Это приводит к тому, что марганец не только не выводится из водного раствора, но и в условиях полного контакта воды с Mn-содержащим сидеритом постепенно накапливается в нем вплоть до достижения насыщенной концентрации в отношении родохрозита (MnCO3). Уменьшение рН водного раствора в результате окисления железа по реакции
увеличивает скорости растворения карбонатов и вызывает гидролиз избыточного CO32–, образующегося в результате вывода железа из раствора, по реакции:
и, таким образом, способствует понижению концентрации иона CO32– и повышению насыщенной концентрации марганца, а также увеличивает парциальное давление углекислоты.
ВЫВОДЫ
Проведенное моделирование системы показало, что для окисления марганца до пиролюзита (MnO2) требуются бóльшие концентрации растворенного кислорода в воде, создать которые крайне затруднительно, а также повышение щелочности, которое можно было бы достичь, обеспечив дегазацию углекислоты из водного раствора. Однако и окисления марганца до трехвалентного состояния было бы вполне достаточно для деманганации воды. Следует отметить, что термодинамическое моделирование способно определить лишь конечное равновесное состояние системы, но не может оценить времени его достижения.
Кинетико-термодинамическое моделирование химических взаимодействий в системе “вода с растворенным кислородом – минералы водоносного горизонта” показало, что железо должно удаляться из водной фазы достаточно эффективно, что и происходит в реальности. Подземная деманганация воды в силу более медленной кинетики окисления марганца может протекать эффективно лишь в отсутствии в водоносном горизонте Mn-содержащих карбонатов или при достаточно полной изоляции их поверхности пленками плотных слаборастворимых минералов, например аморфного кремнезема.
Умозрительно можно предложить двухстадийную схему обработки воды: 1) подземное обезжелезивание и 2) поверхностную деманганацию в открытом бассейне над рыхлым осадком гидроксидов железа для каталитического окисления марганца. В этом случае в бассейне не будет происходить накопления новообразованного гидроксида железа. Возможно, биологическое окисление марганца растворенным кислородом оказалось бы эффективным, но современное состояние изучения этого процесса не позволяет даже примерно моделировать его скорость, не говоря уже о его практическом применении в промышленных масштабах. Возможно лишь формально моделировать кинетику биологического окисления марганца, гипотетически приняв константу скорости реакции окисления на 3–4 десятичных порядка большей, чем для каталитического на гидроксиде железа.
About the authors
B. N. Ryzhenko
Vernadsky Institute of Geochemistry and Analytical Chemistry of Russian Academy of Sciences
Author for correspondence.
Email: wri-lab@geokhi.ru
Russian Federation, Moscow
M. V. Mironenko
Vernadsky Institute of Geochemistry and Analytical Chemistry of Russian Academy of Sciences
Email: wri-lab@geokhi.ru
Russian Federation, Moscow
O. A. LImantseva
Vernadsky Institute of Geochemistry and Analytical Chemistry of Russian Academy of Sciences
Email: wri-lab@geokhi.ru
Russian Federation, Moscow
References
- Крайнов С.Р., Рыженко Б.Н., Швец В.М. (2012) Геохимия подземных вод. Теоретические, прикладные и экологические аспекты. М.: ЦентрЛитНефтеГаз, 672 с.
- Кулаков В.В. (2013) Использование внутрипластовой очистки подземных вод от железа и марганца (на примере водоснабжения г. Хабаровск). Вестник ДВО РАН (2), 84-89.
- Кулаков В.В. (2015) Формирование техногенного биогеохимического реактора в водоносном горизонте для получения питьевых подземных вод. Геологическая эволюция взаимодействия воды с горными породами. Владивосток. Материалы конференции. Дальнаука, 71-74.
- Кулаков В.В. (2011) Геохимия подземных вод Приамурья. Хабаровск. ИВЭП ДВО РАН, 254 с.
- Кулаков В.В., Тесля В.Г., Штенгелов Р.С. (2006) Тунгусское месторождение подземных вод Хабаровского водного узла. Сборник докладов 7-го международного конгресса ЭКВАТЭК-2006 “Вода: экология и технология”. М., 30.05-2.06., Часть 1, 255-256.
- Кулаков В.В., Штенгелов Р.С. (2015) Покровные отложения амуро-тунгусского междуречья - биогеохимический барьер от загрязнения подземных вод. Биогеохимия и гидроэкология наземных и водных экосистем. Хабаровск. ИВЭП ДВО РАН. Выпуск 21, 80-87.
- Мироненко М.В., Мелихова Т.Ю., Золотов М.Ю., Акинфиев Н.Н. (2008) GEOCHEQ_M - комплекс для термодинамического и кинетического моделирования геохимических процессов. Версия 2008 года. URL: http://www.scgis.ru/russian/cp1251/h_dgggms/1-2008/informbul-1_2008/mineral-22.pdf
- Мироненко М.В., Золотов М.Ю. (2012) Равновесно-кинетическая модель взаимодействий вода-порода. Геохимия (1), 3-9.
- Mironenko M.V., Zolotov M.Y. (2012) Equilibrium-kinetic model of water-rock interaction. Geochem. Int. 50(1), 1-7.
- Aagaard P., Helgeson H.C. (1982) Thermodynamic and kinetic constrains on reaction among minerals and aqueous solutions. I. Theoretical consideration. Amer. J. Sci. 282, 237-285.
- Apte S.C., Adams M.S., Melville F., Andersen L., Hales L.T. (2007) Manganese Oxidation Study. CSIRO Land Water Sci. Report 12/07. March.
- Davies SHR, Morgan JJ. (1989) Manganese (II) oxidation kinetics on metal oxide surfaces. J. Coloid Interface Sci. 129(1), 63-77.
- Duckworth O. W. and Martin S. T. (2003) Connections between surface complexation and geometric models of mineral dissolution investigated for rhodochrosite. Geochim. Cosmochim. Acta 67(10), 787-1801.
- Duckworth O. W. and Martin S. T. (2004) Role of molecular oxygen in the dissolution of siderite and rhodochrosite. Geochim. Cosmochim. Acta 68(3), 607-621.
- Gheriany I.A., Bocioaga D., Hay A.G., Ghiorse W.C., Shuler M.L., Lion L.W.(2009) Iron requirement for Mn(II) Oxidation by Leptothrix descophora SS-1. Appl. Environm. Microbiology 75(5), 1229-1235.
- Hem J.D. (1981) Rates of manganese oxidation in aqueous systems Geochim. Cosmochim. Acta 45, 1369-1374.
- Katsoyiannis I.A., Zouboulis A.I. (2004) Biological treatment of Mn(II) and Fe(II) containing in groundwater: kinetic considerations and product characterization. Water Research 38, 1922-1032.
- Lasaga A.C. (1981) Transition state theory. In: Kinetics of Geochemical Processes (eds. A.C. Lasaga and R.J. Kirkpatrick). MSA (8), 135-169.
- Millero F.J., Sotolongo S., Izaguirre M. (1987) The oxidation kineics of Fe(II) in seawater. Geochim. Cosmochim. Acta 51, 793-801.
- Morgan JJ (2004) Rates of Mn(II) oxidation in solutions of inorganic ligands. Conference: 227th National Meeting of the American-Chemical Society Location: Anaheim, CA Date: MAR 28-APR 01, 2004 ABSTRACTS OF PAPERS OF THE AMERICAN CHEMICAL SOCIETY (227), U1203-U1203, Part: 1 Meeting Abstract: 074-GEOC Published: MAR 28 2004.
- Morgan J.J. (2005) Kinetics of reaction between O2 and Mn(II) species in aqueous solution Geochim. Cosmochim. Acta 69, 35-48.
- Snyder M., Wang Y.T. (2014) Mn(II) Oxidation by Batch Cultures of Pseudomonas putida Strain EC112 J. Environm. Engineering September 22. ASCE, ISSN 0733-9372/04014066(9)
- Stumm W., Morgan J.J. (1996) Aquatic chemistry: chemical equilibria and rates in natural waters. N.Y. Wiley, 195 p.
- Sung W., Morgan J.J. (1981) Oxidative removal of Mn (II) from solution catalysed by the γ-FeOOH (lepidocrocite) surface. Geochim. Cosmochim. Acta 45(12), 2377-2383.
- Zhang J., Lion L.W., Nelson Y.M., Shuler M.L., Ghiorse W.C.( 2002) Kinetics of Mn(II) oxidation by Leptothrix descophora SS1. Geochim. Cosmochim. Acta 65(5), 773-781.
- Zolotov M.Yu. and Mironenko M.V. (2007) Timing of acid weathering on Mars: A kinetic-thermodynamic assessment J. Geophys. Research [Planets]. 112, E07006.
Supplementary files












