Minerals of the Pb-As-Sb-S и Cu-Pb-As-Sb-S systems in the ores of berezitovoe gold-polymetallic deposit (Upper Amur region, Russia)
- 作者: Vakh A.S.1,2, Avchenko O.V.1, Gvozdev V.I.1, Goryachev N.A.3,4, Karabtsov А.А.1, Vakh E.A.2
-
隶属关系:
- Far East Geological Institute, Far Eastern Branch of the Russian Academy of Sciences
- Far Eastern Federal University
- N.A. Shilo North-East Interdisciplinary Scientific Research Institute, Far Eastern Branch of the Russian Academy of Sciences
- A.P. Vinogradov Institute of Geochemistry, Siberian Branch RAS of the Russian Academy of Sciences
- 期: 卷 61, 编号 3 (2019)
- 页面: 64-84
- 栏目: Articles
- URL: https://journals.eco-vector.com/0016-7770/article/view/13462
- DOI: https://doi.org/10.31857/S0016-777061364-84
- ID: 13462
如何引用文章
全文:
详细
Composition and genesis of arsenium-antimony sulfosalts of lead from the gold-bearing ores of the Berezitovoe deposit located in the eastern part of Mongol-Okhotsk orogenic belt (Upper Amur Area) were considered. Lead sulfosalts (Cu and Pb) are presented by tsugaruite, dufrenoysite, boulangerite, menehinite, bismuthic menehinite (with Bi up to 11.5 mass%), as well as minerals of jordanite-geocronite and bournonite-seligmannite series. The studies have revealed basic features of the lead sulfosalts relationship with ore and silicate minerals in different mineral association of vain ores and regularities in their composition variations. It was found that the composite arsenium-antimony sulfosalts form quasicontinuous series of solid compounds strongly differing from each other by the rate of semimetals as well as semimetals-Pb ratio in their composition.
The suggestion has been made that the main typomorphic features of composition of the arsenium-antimony sulfosalts of lead from ores of the Berezitovoe deposit were determined by the specific processes of partial melting of sulfides under the high temperature metamorphism of primary polymetallic ores.
全文:
ВВЕДЕНИЕ
Природные минеральные соединения систем Pb-As-Sb-S и Cu-Pb-As-Sb-S, представленные сурьмяными, мышьяковыми и сурьмяно-мышьяковыми сульфосолями Pb (Pb и Cu соответственно), весьма распространены в Pb-Zn рудах колчеданных, гидротермальных и метаморфизованных месторождений (Минералы, 1960; Рамдор, 1962; Чвилева, 1976; Справочник, 1988). Значительно реже рассматриваемые минералы встречаются в составе золоторудных месторождений (Тимофеевский, 1963, 1968; Брызгалов и др., 2011; Ciobanu et al., 2005). Многие сурьмяно-мышьяковые сульфосоли Pb образуют сложные гомологические ряды нестехиометричных соединений (Мозгова, 1985). Их индикаторная роль в решении вопросов генезиса и PT-условий формирования рудных месторождений до сих пор остается относительно слабо изученной.
Рассматриваемые в данной статье сульфосоли систем Pb-As-Sb-S и Cu-Pb-As-Sb-S имеют длительную и сложную историю изучения. Выделение некоторых минеральных соединений в качестве самостоятельных минералов, которое было сделано еще в конце XIX – начале XX века, до сих пор остается предметом дискуссий в силу их недостаточной изученности (Moëlo et al., 2008). В настоящее время, по материалам комиссии CNMNC IMA1, в системе Pb-As-Sb-S выделяется 28 самостоятельных минералов, а в системе Cu-Pb-As-Sb-S – 6. При этом наибольшее количество минералов выявлено в группе сульфоантимонитов Pb (Pb и Сu), где они представлены как широко распространенными сульфосолями (буланжерит, цинкенит, бурнонит, менегинит), так и весьма редкими (дисульфодадсонит, фалькманит, робинсонит, хиршлит). Собственно мышьяковые и сурьмяно-мышьяковые сульфосоли Pb (Pb и Сu) распространены в природе менее значительно. Они относятся к разряду редких, а некоторые – весьма редких минералов, установленных в последние годы в виде единичных находок на отдельных месторождениях мира (цугароит, марумоит, мэдокит, бернарлоттиит).
Сульфосольная минерализация в целом не характерна для золотосодержащих свинцово-цинковых руд Березитового месторождения. Сульфосоли встречаются в рудах месторождения весьма локально в качестве второстепенных и редких минералов. На месторождении выделяются следующие основные группы сульфосолей: I – сурьмяные, мышьяковые и сурьмяно-мышьяковые сульфосоли Pb (Pb и Cu соответственно); II – минералы группы блеклых руд (тетраэдрит – теннантит – фрейбергит); III – висмутовые и сурьмяно-висмутовые сульфосоли Pb и Ag; IV – теллуриды Bi, Ag и Au, сульфотеллуриды Bi и Pb. Наиболее распространены в рудах месторождения сульфосоли первой и второй групп. Однако роль сульфосолей на месторождении весьма велика, поскольку их проявления всегда сопровождаются самородным золотом. В связи с этим детальное изучение сульфосолей крайне важно для выявления природы золотого оруденения в полиметаллических рудах месторождения, что и определяет актуальность представленной работы.
ОБЩАЯ ХАРАКТЕРИСТИКА МЕСТОРОЖДЕНИЯ БЕРЕЗИТОВОЕ
Березитовое месторождение Верхнего Приамурья представляет собой особый тип золоторудных объектов, который по составу рудовмещающих метасоматических пород и характеру рудной минерализации не имеет аналогов среди известных золоторудных проявлений Восточного Забайкалья и Дальнего Востока России. Традиционно данный рудный объект большинство исследователей относят к золото-полиметаллическому типу, учитывая широкое распространение на месторождении полиметаллической минерализации и наличие тесной пространственной связи ее с золотым оруденением. Месторождение является одним из крупных золоторудных объектов Верхнего Приамурья, который с 2007 года эксплуатируется золотодобывающим предприятием ООО “Березитовый рудник”, входящим в настоящее время в состав компании Nordgold.
Березитовое месторождение имеет весьма простое геологическое строение (Вах и др. 2008; Vakh et al., 2016). Оно представлено крупной крутопадающей рудной зоной, протяженностью около 1 км, при максимальной мощности 120–150 м (фиг. 1). Рудная зона состоит из относительно однородных сульфидизированных метасоматических пород, сложенных преимущественно кварцем и мусковитом, с обильной вкрапленностью альмандин-спессартинового граната и турмалина. Помимо второстепенных силикатных минералов в составе метасоматитов отмечаются ганит (Вах, Сапин, 1982), гротит (Вах и др., 20101), и червандонит-(Се) (Вах, и др., 20102). Вмещающими породами рудной зоны являются палеозойские граниты и гранодиориты (Вах и др., 2013).
На месторождении авторами выделяется два морфологических типа руд (прожилково-вкрапленный и жильный), различающихся по геологической позиции, минеральному составу и содержаниям в них Au.
Основной тип руд на месторождении представлен прожилково-вкрапленными золотосодержащими сульфидными рудами, которые находятся в турмалин-гранат-мусковит-кварцевых метасоматитах в виде гнезд, прожилков и рассеянной вкрапленности (фиг. 2а). Они слагают основное промышленное рудное тело месторождения. Сульфидные руды в метасоматитах имеют простой минеральный состав и сложены крупнозернистыми гранобластовыми агрегатами сфалерита и галенита (фиг. 2б), часто с неравномерно распределенной более мелкозернистой массой пирита, пирротина и реже халькопирита и арсенопирита. Содержание Zn и Pb в сульфидных рудах составляет от 0.1 до 1.5%. Руды характеризуются относительно равномерной, но невысокой золотоносностью. Концентрации Au составляют 1–5, Ag – до 10–20 г/т. Они сложены разновозрастными минеральными парагенезисами: ранним – пирит-I–галенит-I–сфалеритовым и поздним – пирротин–магнетит–пирит-II–арсенопирит–халькопиритовым. Золотая минерализация наложена на полиметаллическое оруденение и тесно связана с минералами позднего парагенезиса. Самородное золото находится преимущественно в пирите-II и арсенопирите в виде микровыделений с размерами от 0.1 до 5 мкм, реже – 10–20 мкм.
Жильный тип оруденения, представленный золото-сульфидной, золото-кварц-сульфидной и золото-кварц-гранат-сульфидной ассоциациями, развит на месторождении незначительно и проявлен весьма локально. Характеризуется аномально высокими концентрациями Au – от десятков до первых сотен г/т. Руды представлены преимущественно маломощными жильными телами и тонкими прожилками, которые приурочены к секущим рудную зону субширотным разрывным нарушениям. В пределах метасоматической зоны золотоносные жильные тела рассекают минерализованные метасоматиты с золотосодержащими сульфидными Pb-Zn рудами, а также метаморфизованные дайки основного состава – метапорфириты. Маломощные жильные тела часто выходят за пределы основной рудной зоны месторождения и часто фиксируются во вмещающих ее гранитах. В минералогическом плане золоторудные тела жильного типа характеризуются наличием крупных видимых агрегатов самородного золота, широким развитием тонкозернистых агрегатов позднего галенита-II (с повышенными концентрациями Bi и Ag до 1–3 мас.%), реже – арсенопирита и халькопирита, а также большим разнообразием сложных сульфосолей, в состав которых входят Ag, Bi, Sb, As, Те.
Фиг. 1. Геологический план Березитового месторождения. Схема строения рудной зоны месторождения на горизонте 676 м (по материалам геологической службы ПГО “Дальгеология”). 1 – позднепалеозойские порфировидные гранодиориты и граниты; 2 – метасоматически измененные порфировидные гранодиориты и граниты; 3 – гранат-ортоклаз-биотит-плагиоклаз-мусковит-кварцевые метасоматиты с вкрапленной пиритовой минерализацией, турмалин-гранат-ортоклаз-мусковит-кварцевые метасоматиты с преимущественно пиритовой минерализацией, турмалин-гранат-мусковит-кварцевые метасоматиты с гнездовидной и прожилково-вкрапленной золотосодержащей пирит-галенит-сфалеритовой минерализацией; турмалин-гранат-кварц-мусковитовые метасоматиты с гнездовидной и прожилково-вкрапленной золотосодержащей пирит-пирротин-сфалеритовой минерализацией; 7 – реликты частично измененных гранодиоритов; 8 – дайки метапорфиритов гранат-кварц-плагиоклаз-биотитового состава; 9 – неизмененные пострудные дайки спессартитов и диоритовых порфиритов; 10 – зона катаклазированных и милонитизованных гранитов с прожилковой сульфидной минерализацией; 11 – основные тектонические нарушения: а – зоны дробления пород, б – разломы; 12 – подземные разведочные горные выработки. На врезке показано географическое положение Березитового месторождения.
Фиг. 2. Текстурно-структурные особенности основных типов руд Березитового месторождения. а–б – золото-полиметаллические руды: а – брекчии метасоматитов турмалин-гранат-мусковит-кварцевого состава (светлое), сцементированные золотосодержащими пирит-сфалеритовыми рудами; б – типовой образец золото-полиметаллических руд, сложенный гранобластовыми крупнокристаллическими агрегатами галенита и сфалерита. ¬Серое – вмещающие метасоматиты турмалин-гранат-мусковит-кварцевого состава. в–з – золотоносные прожилковые руды. Золото-сульфидная ассоциация (в–г): в – заполнение мелкозернистой галенит-сфалеритовой минерализацией тектонических трещин в милонитизированных гранитах (рудная зона Милонитовая); г – развитие галенит-пиритовой минерализации по трещине скола в гранитах. Золото-кварц-сульфидная ассоциация (д–е): д – образец кварцевых руд с пирит-галенит-сульфосольной минерализацией и крупными выделениями самородного золота; е – форма выделений агрегатов геокронита (основная масса) в кварце. Золото-кварц-гранат-сульфидная ассоциация (ж–з): ж – кварц-гранат-сульфидный прожилок в турмалин-гранат-мусковит-кварцевых метасоматитах; з – образец кварц-гранатовых руд с выделениями самородного золота. Сокращения: Qz – кварц; Grt – гранат; Sf – сфалерит; Cn – галенит; Py – пирит; Gkr – геокронит; Au – самородное золото.
Фиг. 3. Cеверная и центральная части рудной зоны Березитового месторождения. Положение жильного рудного тела “Милонитовое” по отношению к основной рудоносной зоне месторождения. Карьер ООО “Березитовый рудник” 2011 г.
Золото-сульфидная ассоциация на месторождении представлена сульфидными прожилковыми рудами преимущественно пирит-галенитового состава, которые фиксируются как внутри метасоматической зоны месторождения, так и за ее пределами. Характерным представителем оруденения данного типа является рудное тело Милонитовое, которое было выявлено уже в процессе отработки месторождения. Жильное тело приурочено к крупному разрывному нарушению северо-восточного простирания и хорошо фиксируется в бортах действующего карьера ООО “Березитовый рудник” (фиг. 3). Представлено мощной (до 5–7 м) зоной катаклазированных гранитов, сцементированных сульфидной минерализацией (фиг. 2в). Основными минералами являются пирит, тонкозернистый галенит и сфалерит (клеофан). Реже в составе руд отмечаются халькопирит, полибазит, шеелит, самородное золото, самородное серебро, гессит, фрейбергит и довольно редкий сульфотеллурид Ag и Sb – бенлеонардит. В других участках месторождения золото-сульфидная ассоциация представлена тонкими прерывистыми сульфидными прожилками (2–10 мм), сложенными преимущественно мелкозернистым галенитом и пиритом. Эти прожилки наиболее ярко проявлены в дайках метапорфиритов и в гранитах, где они приурочены к трещинам скалывания (фиг. 2г). В золотосодержащих сульфидных прожилках глубоких горизонтов северной части рудной зоны широко распространены минералы из группы сульфовисмутитов Ag и Pb, теллуриды Pb, Ag, Bi и Au, сульфотеллуриды Ag Bi и Pb.
Золото-кварц-сульфидная ассоциация представлена маломощными кварц-сульфидными прожилками и жилами (мощностью от первых до 20–80 см) в метасоматитах месторождения и вмещающих гранитоидах. Маломощные кварцевые жилы фиксируются в центральных и северных частях рудного тела, где они пространственно тяготеют к секущим рудную зону северо-восточным разломам, а также к тектоническим контактам даек метапорфиритов. Прожилки и жилы сложены светло-серым кварцем с неравномерно распределенной вкрапленной сульфидной минерализацией (фиг. 2д). В составе прожилков часто отмечаются угловатые обломки вмещающих метасоматитов, а также единичные крупночешуйчатые агрегаты биотита и черного турмалина. Изредка в кварце фиксируются небольшие гнезда, выполненные преимущественно сидеритом, реже – Mn-содержащим монгеймитом (Mn,Zn,Fe)CO3. Основные рудные минералы ассоциации – галенит и пирит, реже – арсенопирит, халькопирит, самородное золото, сурьмяно-мышьяковые сульфосоли Pb, а также блеклые руды теннантит-тетраэдритового состава.
Золото-кварц-гранат-сульфидная ассоциация развита только в пределах рудоносной зоны. Ассоциация представлена кварц-гранатовыми и кварц-гранат-сульфидными прожилками (фиг. 2ж). Наиболее широко эта ассоциация была проявлена только на верхних горизонтах центральной части месторождения. С данной ассоциацией связаны наиболее высокие концентрации Au (до первых сотен г/т) в рудах месторождения. Характеризуется наличием крупных выделений самородного золота, а также своеобразных срастаний самородного золота с гранатом альмандин-спессартинового состава (фиг. 2з). Агрегаты альмандин-спессартинового граната, слагающего ассоциацию, по своему составу полностью идентичны вкрапленным гранатам из вмещающих ее метасоматических пород. Рудные минералы представлены преимущественно мелкозернистым галенитом II, сфалеритом, пиритом, пирротином, магнетитом, ильменитом, арсенопиритом, сульфосолями Pb, блеклыми рудами и самородным золотом.
Поскольку в отдельных случаях в подземных горных выработках месторождения неоднократно наблюдался переход от кварц-гранат-сульфидных прожилков к существенно кварц-сульфидным, а в составе собственно сульфидных прожилков иногда отмечалось появление в значительных количествах кварца, можно предполагать, что это единая система жильных тел различного состава, представляющая собой одновременные золотоносные образования.
В формировании рудной минерализации месторождения авторами выделяется два этапа: ранний – полиметаллический и поздний – золотой, с сопутствующей As-Bi-Sb-Te минерализацией. Развитые на месторождении специфические метаморфизованные дайки метапорфиритов гранат-мусковит-биотит-кварц-анортитового состава являются внутрирудными образованиями, которые пересекают рудно-метасоматические породы с золотосодержащей полиметаллической минерализацией и рассекаются жильно-прожилковыми золотоносными рудами сульфидного, гранат-кварц-сульфидного и кварц-сульфидного состава. Рудно-метасоматические породы Березитового месторождения, содержащие полиметаллическое оруденение, претерпевали высокотемпературные метаморфические преобразования (Авченко и др., 2013, 2014). Условия преобразования полиметаллических руд месторождения, рассчитанные по минеральным равновесиям гранатсодержащих рудоносных метасоматитов и даек метапорфиритов: Т = 560–620 °С, Р = 4.2–4.4 кбар (Авченко и др., 2015).
МЕТОДЫ ИССЛЕДОВАНИЙ
Состав сурьмяно-мышьковых сульфосолей свинца и других рудных минералов изучался в Аналитическом Центре Дальневосточного геологического института (г. Владивосток) микрорентгеноспектральным методом с помощью четырехканального микроанализатора JEOL JXA 8100, оснащенного тремя волновыми спектрометрами, а также энергодисперсионным спектрометром INCAx – sight, производство OXFORD Instruments, UK. Условия съемки: ускоряющее напряжение – 20 кВ; ток зонда – 10 нА, диаметр зонда – 1–2 мкм. Стандарты – чистые элементы, соединения или минералы, поставляемые фирмой Micro-Analysis Consultants Ltd, Oxford, UK. При изучении состава сурьмяно-мышьяковых сульфосолей свинца эталонами служили природные и синтетические соединения PbS (PbLá), Sb2S3 (SbLá), GaAs (AsKá), ZnS (SKá), Bi2S3(BiLá), Cu (CuKá). Предварительно агрегаты сульфосолей были исследованы под оптическим микроскопом. Кроме того, сульфосоли изучались методами рентгеновской дифракции в лаборатории рентгеновских методов ДВГИ ДВО РАН на минидифрактометре MiniFlex, Rigaku, Япония, излучение медное. Обработка рентгенограмм производилась на базе программного комплекса минидифрактометра.
ХАРАКТЕРИСТИКА СУЛЬФОСОЛЕЙ
В рудах Березитового месторождения минеральные образования Pb-As-Sb-S системы, согласно систематике сульфосолей (Moёlo et al., 2008), представлены минералами иорданитовой гомологической серии (иорданит-геокронитовый ряд, цугаруит), сарторитовой гомологической серии (дюфренуазит) и буланжеритового гомологического типа (буланжерит) (фиг. 4а). Наиболее распространены сульфосоли иорданит-геокронитового ряда.
Минералы Cu-Pb-As-Sb-S системы имеют в рудах весьма незначительное распространение и представлены минеральными образованиями менегинитовой гомологической серии (менегинит, висмутовый менегинит) и бурнонитовой изохимической серии (бурнонит-зелигманитовый ряд) (фиг. 4б). Рассмотрим изученные минеральные системы в указанном порядке.
Минералы иорданит-геокронитового ряда. К этой группе относится непрерывная серия твердых растворов с теоретической формулой Pb14(As6-4,Sb0-2)6S23–Pb14(As4-2,Sb2-4)6S23 (Birnie, Burnham, 1976; Moёlo et al., 2008). Собственно сурьмянистая минеральная разновидность этого ряда, имеющая формулу Pb14(Sb)6S23, была названа шульцитом (Справочник, 1988). Однако, согласно рекомендации Комиссии CNMNC IMA, это название было дискредитировано как синоним геокронита (Moёlo et al., 2008). Поэтому в настоящее время этот минеральный вид не имеет собственного названия. По мнению ряда исследователей (Biagioni et al., 2016), термин геокронит необходимо использовать для минерала Pb14(Sb)6S23 – как крайнего члена этого ряда.
Фиг. 4. Составы минералов систем Pb–As–Sb–S и Cu–Pb–As–Sb–S Березитового месторождения на диаграммах PbS–As2S3–Sb2S3 (а) и PbS+Сu2S–As2S3–Sb2S3(б). 1 – теоретические составы; 2 – сульфосоли Pb (Pb и Cu) Березитового месторождения Верхнего Приамурья. Формулы минералов, приведенные на рисунке: плюмозит – Pb2Sb2S5; семсейит – Pb9Sb8S21; буланжерит – Pb5Sb4S11; фалькманит – Pb3Sb2S6; мэдокит – Pb19(Sb,As)16S43 ; лопаткаит – Pb5Sb3AsS11; веенит – Pb2(Sb,As)2S5; арсеномаркобалдиит – Pb12(As3.2Sb2.8)6S21; геокронит – Pb14(Sb,As)6S23; иорданит – Pb14As6S23; грейтонит – Pb9As4S15; цугаруит – Pb4As2S7; дюфренуазит – Pb2As2S5; ливейнгит – Pb20As24S56; бурнонит – CuPbSbS3; менегинит – CuPb13Sb7S24; зелигманит – CuPbAsS3
Фиг. 5. Форма выделений сульфосолей Pb иорданит-геокронитового ряда в золотосодержащих полиметаллических рудах Березитового месторождения. а – развитие микровкрапленности иорданита (Jrd), галенита (Gn) и арсенопирита (Asp) по границе распространения агрегатов As-содержащего пирита (As-Py, светлые образования) в пирите (Py, серый фон) полиметаллических руд; б – увеличенный фрагмент рисунка а (показан рамкой). Микровыделение иорданита (Jrd) в тесных срастаниях с арсенопиритом (Asp) в агрегате пирита (Py). Обр. Б-1. Здесь и далее составы всех минералов, приведенные на рисунках, подтверждены микрорентгеноспектральным анализом на микроанализаторе JEOL JXA 8100, выполненным в Аналитическом Центре ДВГИ ДВО РАН. Снимки в отраженных электронах.
Первоначально в жильных кварц-сульфидных рудах Березитового месторождения был детально описан только крайний представитель ряда сурьмяно-мышьяковых сульфосолей Pb – иорданит – Pb14As6S23 (Вах, Сапин, 1984). Однако в последние годы было установлено наличие в этих рудах и геокронита, с значительными вариациями содержаний в его составе Sb и As (Вах и др., 20161).
В собственно золотоносных полиметаллических рудах сульфосоли этого ряда отмечаются крайне редко, обычно в виде микровкрапленности в агрегатах As-содержащего пирита в тесной ассоциации с Ag-Bi-содержащим галенитом II и арсенопиритом (фиг. 5а, б). В незначительном количестве эти минералы отмечаются и в составе золото-сульфидной и золото-кварц-гранат-сульфидной ассоциаций. В последнем случае чаще всего отмечается наличие сульфосолей Pb в виде микровыделений в агрегатах граната (фиг. 6а) совместно с галенитом, арсенопиритом и блеклой рудой теннантит-тетраэдритового ряда.
Наиболее широко сульфосоли иорданит-геокронитового ряда распространены в составе золото-кварц-сульфидной ассоциации, где наряду с пиритом, галенитом и арсенопиритом слагают основную массу рудных выделений в кварцевом агрегате. В отдельных образцах золото-кварц-сульфидных руд они, образуя крупнокристаллические выделения размером в первые сантиметры, являются основными рудными минералами (см. фиг. 2е). Сульфосоли Pb чаще всего образуют многочисленные отдельные призматически-удлиненные кристаллы в кварце либо представлены агрегатами неправильной формы находящиеся в тесных срастаниях с другими рудными минералами. Повсеместно по агрегатам рассматриваемых сульфосолей Pb отмечается развитие галенита II, часто с выделениями самородного золота (фиг. 6б, в), а также блеклых руд теннантит-тетраэдрит-фрейбергитового состава. Последние замещают сульфосоли Pb (фиг. 6г), либо сульфосоли Pb находятся в теннантите в виде отдельных мелких округлых ксеноморфных выделений (фиг. 6д).
Таблица 1. Химический состав и коэффициенты в эмпирических формулах минералов иорданит-геокронитового гомологического ряда Березитового месторождения
n/n | Номер образца | Содержание элементов, мас.% | Коэффициенты в формулах | |||||||||
Pb | As | Sb | S | Сумма | Pb | As | Sb | S | Sb/As | Pb/(As+Sb) | ||
1 | 96-2 | 69.02 | 4.85 | 7.91 | 17.52 | 99.30 | 14.19 | 2.76 | 2.77 | 23.28 | 1.00 | 2.57 |
2 | 96-2 | 70.90 | 8.85 | 1.93 | 17.82 | 99.50 | 14.26 | 4.92 | 0.66 | 23.16 | 0.13 | 2.55 |
3 | 1350-1 | 71.47 | 8.13 | 1.60 | 17.59 | 98.79 | 14.61 | 4.60 | 0.56 | 23.24 | 0.12 | 2.84 |
4 | 1751 | 70.87 | 8.37 | 2.62 | 17.47 | 99.33 | 14.42 | 4.71 | 0.91 | 22.97 | 0.19 | 2.57 |
5 | 1225 | 71.77 | 9.14 | 1.45 | 17.68 | 100.04 | 14.44 | 5.08 | 0.50 | 22.98 | 0.10 | 2.59 |
6 | 1225 | 70.78 | 9.29 | 0.72 | 17.37 | 98.16 | 14.50 | 5.26 | 0.25 | 22.99 | 0.05 | 2.63 |
7 | 1225-2* | 70.67 | 9.86 | 0.60 | 17.58 | 98.71 | 14.30 | 5.52 | 0.21 | 22.98 | 0.04 | 2.50 |
8 | 1225* | 70.52 | 9.97 | 0.54 | 17.63 | 98.66 | 14.24 | 5.57 | 0.19 | 23.01 | 0.03 | 2.48 |
9 | 1286-1* | 70.59 | 9.64 | 0.98 | 17.75 | 98.96 | 14.21 | 5.37 | 0.34 | 23.09 | 0.06 | 2.49 |
10 | 1286-4* | 70.47 | 9.74 | 0.76 | 17.59 | 98.56 | 14.27 | 5.45 | 0.26 | 23.02 | 0.05 | 2.50 |
11 | 1481 | 70.67 | 8.98 | 1.64 | 17.84 | 99.13 | 14.23 | 5.00 | 0.56 | 23.21 | 0.11 | 2.56 |
12 | 1750-1** | 69.55 | 3.76 | 8.59 | 17.06 | 98.96 | 14.60 | 2.18 | 3.07 | 23.15 | 1.41 | 2.78 |
13 | 1750-1** | 71.95 | 9.78 | 1.29 | 17.94 | 100.96 | 14.25 | 5.36 | 0.43 | 22.96 | 0.08 | 2.46 |
14 | 1750-2** | 70.87 | 6.90 | 3.81 | 16.97 | 98.55 | 14.79 | 3.98 | 1.35 | 22.88 | 0.34 | 2.77 |
15 | 1750-2** | 71.48 | 9.51 | 1.60 | 17.99 | 100.58 | 14.18 | 5.22 | 0.54 | 23.06 | 0.10 | 2.46 |
Фиг. 6. Формы выделений минералов системы Pb–As–Sb–S в прожилковых золотоносных рудах и характер их соотношений с другими минеральными агрегатами. а – микровключения иорданита, теннантита, арсенопирита, галенита и халькопирита в гранате; б – развитие агрегатов галенита по периферии геокронита; в – замещение геокронита галенитом в срастаниях с самородным золотом; г – соотношение между геокронитом и блеклой рудой, представленной теннантитом, тетраэдритом и фрейбергитом. Развитие Sb-разновидности блеклой руды (тетраэдрита) по границе агрегатов блеклой руды и геокронита, а также наличие реликтов тетраэдрита в геокроните; д – ксеноморфные округлые выделения иорданита в теннантите; е – срастания агрегатов геокронита и дифренуазита; ж – форма выделений агрегатов буланжерита в кварц-гранатовых агрегатах; з – микровыделения агрегатов буланжерита, в срастаниях с высокопробным самородным золотом, в агрегатах граната. Сокращения: Qz – кварц; Grt – гранат; Bln – буланжерит; Gn – галенит; Ccp – халькопирит; Asp – арсенопирит; Jrd – иорданит; Gkr – геокронит; Dfr – дифренуазит; Tnt – теннантит; Ttr – тетраэдрит; Frb – фрейбергит; Au – самородное золото. 928 – значение пробности самородного золота. Снимки в отраженных электронах.
Изучение состава минералов иорданит-геокронитового ряда показало, что среди них преобладают существенно мышьяковистые разновидности, изредка представленные практически чистым иорданитом (табл. 1). И лишь только в единичных образцах золото-кварц-сульфидных руд отмечается появление минералов геокронитового ряда. Детальные исследования образцов, отобранных из кварц-сульфидной жилы центральной части месторождения на горизонте 620 м (обр. 1750-1 и обр. 1750-2, см. фиг. 2д), выявило, что однородные по составу отдельные агрегаты сульфосолей Pb существенно различаются между собой по содержанию As и Sb (см. табл. 1). Состав их изменяется от мышьяковистого иорданита (до 9.78 мас.% As) до сурьмянистого геокронита (до 8.59 мас.% Sb). При этом разные по составу агрегаты сурьмяно-мышьяковых сульфосолей свинца всегда находятся изолированно друг от друга и не образуют совместных срастаний. По соотношению As/Sb сульфосоли свинца иорданит-геокронитового ряда образуют квазинепрерывный ряд твердых соединений, где отчетливо выделяется три обособленных группы (фиг. 7а). Характерной особенностью состава изученных сульфосолей является значительное отклонение их реального состава от теоретического при пересчете анализов на 43 атома, исходя из общепринятой формулы Pb14(As,Sb)6S23. Эти отклонения определяются резким превышением доли атомов Pb в формуле минерала при явном дефиците суммы полуметаллов (As + Sb), что показано на диаграмме соотношений металлов и полуметаллов в составе сульфосолей иорданит-геокронитового ряда (фиг. 7б). При этом отчетливо устанавливается линейная зависимость между соотношениями количества формульных единиц Pb и полуметаллов в составе сульфосолей Pb. Выявленная линейная зависимость между содержаниями Pb и суммой полуметаллов в составе сульфосолей Pb иорданит-геокронитового ряда, а также квазинепрерывное изменение в них соотношений As/Sb, позволяют отнести минералы иорданит-геокронитового ряда Березитового месторождения к разряду гомологических соединений нестехиометрического состава.
Таблица 2. Химический состав и коэффициенты в эмпирических формулах минералов группы сульфоарсенидов и сульфоантимонитов свинца Березитового месторождения
n/n | Номер образца | Содержание, мас.% | Коэффициенты в формуле | |||||||||||
Pb | As | Sb | Cu | Ag | S | Сумма | Pb | As | Sb | Cu | Ag | S | ||
1 | 1135 | 66.77 | 10.88 | 1.63 | 0.52 | – | 18.59 | 98.39 | 3.92 | 1.77 | 0.16 | 0.10 | 0.00 | 7.05 |
2 | 1135 | 67.32 | 11.47 | 1.86 | – | – | 18.22 | 98.87 | 3.98 | 1.87 | 0.19 | 0.00 | 0.00 | 6.96 |
3 | 1135 | 63.77 | 12.46 | 1.28 | 0.82 | 2.46 | 19.53 | 100.31 | 3.54 | 1.91 | 0.12 | 0.15 | 0.26 | 7.01 |
4 | 1135 | 62.86 | 13.00 | 0.00 | 1.23 | 2.95 | 19.89 | 99.92 | 3.45 | 1.97 | 0.00 | 0.22 | 0.31 | 7.05 |
5 | 1135 | 68.35 | 12.72 | 1.23 | – | – | 19.59 | 101.89 | 3.83 | 1.97 | 0.12 | 0.00 | 0.00 | 7.09 |
6 | 1135 | 55.61 | 17.42 | 1.76 | – | 2.12 | 21.84 | 98.75 | 1.99 | 1.72 | 0.11 | 0.00 | 0.15 | 5.04 |
7 | 1135 | 56.39 | 19.28 | 0.96 | – | 0.75 | 21.79 | 99.17 | 2.00 | 1.89 | 0.06 | 0.00 | 0.05 | 5.00 |
8 | 1750–2 | 57.16 | 19.83 | 1.15 | – | – | 22.40 | 101.05 | 1.99 | 1.91 | 0.07 | 0.00 | 0.00 | 5.04 |
9 | 1750–2 | 56.82 | 20.20 | 0.95 | – | – | 22.22 | 100.19 | 1.98 | 1.95 | 0.06 | 0.00 | 0.00 | 5.01 |
10 | 1751 | 54.32 | – | 26.32 | – | – | 18.91 | 99.55 | 4.91 | 0.00 | 4.05 | 0.00 | 0.00 | 11.04 |
11 | 1751 | 55.69 | – | 25.55 | – | – | 18.58 | 99.82 | 5.08 | 0.00 | 3.97 | 0.00 | 0.00 | 10.95 |
12 | 1751 | 55.76 | – | 26.03 | – | – | 18.54 | 100.33 | 5.07 | 0.00 | 4.03 | 0.00 | 0.00 | 10.90 |
13 | 1751 | 53.32 | – | 26.06 | – | – | 18.71 | 98.09 | 4.88 | 0.00 | 4.06 | 0.00 | 0.00 | 11.06 |
14 | 1751 | 53.74 | – | 25.95 | – | – | 19.06 | 98.75 | 4.86 | 0.00 | 4.00 | 0.00 | 0.00 | 11.14 |
15 | 1751 | 53.83 | – | 25.98 | – | – | 18.61 | 98.42 | 4.93 | 0.00 | 4.05 | 0.00 | 0.00 | 11.02 |
16 | 1751 | 55.10 | – | 26.05 | – | – | 18.78 | 99.93 | 4.99 | 0.00 | 4.02 | 0.00 | 0.00 | 10.99 |
Фиг. 7. Диаграммы соотношений As–Sb (А) и (As+Sb)–Pb (Б) (коэффициенты атомов в формуле) в составе сурьмяно-мышьяковых сульфосолей Pb иорданит-геокронитового ряда. 1 – месторождение Березитовое, Верхнее Приамурье, 2 – золоторудное месторождение Дарасун, Восточное Забайкалье (Брызгалов и др., 2011); 3 – Zn-Pb-(Cu) месторождение Блейквассли (Bleikvassli), Норвегия (Cook et al., 1998); 4 – Pb-Zn проявление Шахта Поллоне (Pollone Mine), Италия (Biagioni et al., 2016); 5 – Au-Teместорождение Сакаримб (Sacarimb), Румыния (Ciobanu et al., 2005); 6 – теоретические составы; 7 – линия тренда изменения составов сурьмяно-мышьяковых сульфосолей свинца Березитового месторождения.
Фиг. 8. Дебаеграммы минералов. а – смесь геокронита и цугаруита, Березитовое месторождение Верхнего Приамурья; б – геокронит, Корнуолл (Cornwal), Англия, эталон № 01-076-1734 (Birnie, Burnham, 1976); в – цугаруит, шахта Юносава (Yunosawa mine), Япония, эталон 00-051-1568 (Shimizu et al., 1998).
Сульфоарсениды свинца (цугаруит и дюфренуазит). Эти минералы редко встречаются в золото-кварц-сульфидных рудах в виде единичных самостоятельных микроскопических (не более 10–30 мкм) выделений в кварце, реже – в тесных срастаниях с геокронитом (фиг. 6е). Полученные в процессе изучения составов минералов анализы хорошо пересчитываются на химическую формулу цугаруита – Pb4As2S7 и дюфренуазита – Pb2As2S5 (табл. 2) В их составе постоянно присутствует Sb – на уровне 1–2%, эпизодически – Ag (1–3%). Для цугаруита и дюфренуазита характерны значительные вариации содержаний Pb и As. Наличие цугаруита, находящегося в тесных срастаниях с геокронитом, подтверждается их рентгенограммой, на которой, помимо линий геокронита, отчетливо выделяются линии спектра, характерные только для цугаруита (фиг. 8).
Сульфоантимониты свинца. Эта группа минералов представлена в рудах Березитового месторождения одним минералом – буланжеритом (Pb5Sb4S11). Развит буланжерит незначительно и достоверно диагностирован только в составе золото-кварц-гранат-сульфидной ассоциации, где агрегаты этого минерала иногда слагают относительно крупные (до 0.5–0.7 мм) кристаллические образования, часто с характерной удлиненно-призматической или игольчатой формой (фиг. 6ж). Также буланжерит часто отмечается непосредственно в гранатовых агрегатах в виде мелких ксеноморфных микровключений в тесных срастаниях с галенитом II и самородным золотом (фиг. 6з). Минерал имеет постоянный стехиометрический состав, который довольно близок к теоретической формуле буланжерита (табл. 2).
Таблица 3. Химический состав и коэффициенты в эмпирических формулах минералов системы Cu-Pb-As-Sb-S Березитового месторождения
n/n | Номер образца | Содержание, мас.% | Коэффициенты в формуле | |||||||||||
Pb | Cu | As | Sb | Bi | S | Сумма | Pb | Cu | As | Sb | Bi | S | ||
1 | 1350 | 61.06 | 1.23 | – | 19.07 | – | 17.37 | 98.73 | 13.10 | 0.86 | 0.00 | 6.96 | 0.00 | 24.08 |
2 | 1350 | 61.96 | 1.13 | – | 19.86 | – | 17.72 | 100.67 | 13.03 | 0.77 | 0.00 | 7.11 | 0.00 | 24.09 |
3 | 1350 | 60.54 | 1.43 | – | 19.28 | – | 17.22 | 98.47 | 13.02 | 1.00 | 0.00 | 7.05 | 0.00 | 23.93 |
4 | 1350 | 60.80 | 1.21 | – | 19.41 | – | 17.42 | 98.84 | 13.01 | 0.84 | 0.00 | 7.07 | 0.00 | 24.08 |
5 | 1751 | 60.93 | 1.18 | – | 20.15 | – | 17.53 | 99.79 | 12.91 | 0.82 | 0.00 | 7.27 | 0.00 | 24.01 |
6 | 1751 | 62.01 | 1.24 | – | 19.99 | – | 17.64 | 100.88 | 13.03 | 0.85 | 0.00 | 7.15 | 0.00 | 23.96 |
7 | 1751 | 60.59 | 1.13 | – | 19.76 | – | 17.31 | 98.79 | 13.00 | 0.79 | 0.00 | 7.21 | 0.00 | 24.00 |
8 | 1350 | 58.90 | 1.19 | – | 16.83 | 4.95 | 16.50 | 98.37 | 13.06 | 0.86 | 0.00 | 6.35 | 1.09 | 23.64 |
9 | 1350 | 59.67 | 1.02 | – | 17.29 | 4.99 | 16.91 | 99.88 | 12.99 | 0.72 | 0.00 | 6.41 | 1.08 | 23.80 |
10 | 1350 | 58.13 | 1.06 | – | 16.47 | 5.99 | 16.2 | 97.85 | 13.06 | 0.78 | 0.00 | 6.30 | 1.33 | 23.53 |
11* | 96 | 59.11 | 1.04 | – | 15.31 | 7.54 | 16.96 | 99.96 | 12.93 | 0.74 | 0.00 | 5.70 | 1.64 | 23.99 |
12 | 96–2 | 56.87 | 1.11 | – | 14.32 | 9.64 | 16.81 | 98.75 | 12.60 | 0.80 | 0.00 | 5.40 | 2.12 | 24.08 |
13 | 1292 | 57.99 | 1.09 | – | 15.71 | 6.57 | 16.85 | 98.21 | 12.81 | 0.79 | 0.00 | 5.91 | 1.44 | 24.06 |
14 | 1292 | 57.06 | 0.80 | – | 15.98 | 6.87 | 16.71 | 97.42 | 12.73 | 0.58 | 0.00 | 6.07 | 1.52 | 24.10 |
15 | 1292 | 58.16 | 1.31 | – | 14.63 | 7.70 | 16.33 | 98.13 | 13.05 | 0.96 | 0.00 | 5.59 | 1.71 | 23.69 |
16 | 1292 | 58.81 | 1.42 | – | 14.55 | 7.78 | 16.41 | 98.97 | 13.10 | 1.03 | 0.00 | 5.52 | 1.72 | 23.63 |
17 | 1292 | 59.14 | 1.4 | – | 15.01 | 7.79 | 16.59 | 99.93 | 13.03 | 1.01 | 0.00 | 5.63 | 1.70 | 23.63 |
18 | 1292 | 57.9 | 1.17 | – | 15.14 | 7.83 | 16.05 | 98.09 | 13.09 | 0.86 | 0.00 | 5.83 | 1.76 | 23.46 |
19 | 1292 | 56.37 | 1.15 | – | 16.27 | 7.85 | 16.61 | 98.25 | 12.50 | 0.83 | 0.00 | 6.14 | 1.73 | 23.80 |
20 | 1292 | 58.65 | 1.21 | – | 14.23 | 7.94 | 16.37 | 98.4 | 13.16 | 0.89 | 0.00 | 5.44 | 1.77 | 23.75 |
21 | 1292 | 56.61 | 0.91 | – | 15.94 | 8.18 | 16.52 | 98.16 | 12.64 | 0.66 | 0.00 | 6.06 | 1.81 | 23.83 |
22 | 1292 | 57.51 | 0.94 | – | 14.57 | 8.94 | 16.24 | 98.2 | 12.99 | 0.69 | 0.00 | 5.60 | 2.00 | 23.71 |
23 | 1292 | 57.49 | 0.83 | – | 15.27 | 9.41 | 16.43 | 99.43 | 12.83 | 0.60 | 0.00 | 5.80 | 2.08 | 23.69 |
24 | 1292 | 55.15 | 0.97 | – | 14.51 | 10.86 | 16.4 | 97.89 | 12.42 | 0.71 | 0.00 | 5.56 | 2.43 | 23.88 |
25 | 1292 | 55.03 | 1.01 | – | 14.94 | 11.46 | 16.64 | 99.08 | 12.22 | 0.73 | 0.00 | 5.65 | 2.52 | 23.88 |
26 | 1750–1 | 42.12 | 12.92 | 0.42 | 24.20 | – | 19.42 | 99.08 | 1.00 | 1.00 | 0.03 | 0.98 | 0.00 | 2.99 |
27 | 1750–1 | 46.20 | 12.93 | 8.31 | 11.36 | – | 20.62 | 99.42 | 1.05 | 0.96 | 0.52 | 0.44 | 0.00 | 3.03 |
Фиг. 9. Формы выделений минералов системы Cu–Pb–As–Sb–S в прожилковых золотоносных рудах и характер их соотношений с другими минеральными агрегатами. а – лучистые кристаллические и зернистые ксеноморфные агрегаты менегинита в кварц-гранатовой массе; б – развитие пирит-арсенопирит-халькопиритовой минерализации в гранате в тесных срастаниях с менегинитом, галенитом и самородным золотом; в – развитие галенита по менегиниту; г – форма выделений агрегата висмутового менегинита в галените, содержащего единичные микровыделения самородного висмута; д – структура распада твердого раствора, представленная грубомирмекитовыми срастаниями висмутового менегинита и галенита; е – развитие зелигманита на контакте геокронита и галенита. Сокращения: Qz – кварц; Grt – гранат; Gn – галенит; Ccp – халькопирит; Asp – арсенопирит; Gkr – геокронит; Py – пирит; Mng – менегинит; Bi-Mng – висмутовый менегинит; Slm – минералы бурнонит-зелигманитового ряда; Bi – самородный висмут; Au – самородное золото. 887 – значение пробности самородного золота. Снимки в отраженных электронах.
Минералы менегинитовой гомологической серии. Представлены в рудах месторождения собственно менегинитом (Pb13CuSb7S24) и его разновидностью – висмутовым менегинитом (Балицкая, Вах и др., 1987). Менегинит развит в золото-кварц- гранат-сульфидных рудах, где образует крупнозернистые агрегаты игольчатой, призматической формы, которые по характеру выделений очень похожи на буланжерит (фиг. 9а). Часто находится в тесных срастаниях с галенитом II, арсенопиритом, халькопиритом, пиритом и самородным золотом (фиг. 9б), причем агрегаты галенита II замещают менегинит (фиг. 9в). Химический состав менегинита довольно постоянен (табл. 3) и близок к теоретическому, что позволяет рассматривать данный минерал как стехиометричное соединение.
Висмутовый менегинит является весьма характерным и специфическим минералом для руд Березитового месторождения, поскольку повышенные концентрации Bi довольно редко отмечаются в природе в составе этого минерала. Первая находка этого минерала в рудах месторождения, с содержаниями Bi до 8.24 мас.%, была детально охарактеризована в ранней публикации (Балицкая, Вах и др., 1987).
Данный минерал довольно часто встречается в рудах золото-сульфидной, реже золото-кварц-гранат-сульфидной ассоциаций. Находится в тесных срастаниях с галенитом II, с размером агрегатов до 1–2 мм (фиг. 9г), либо образует характерные мирмекитовые выделения в галените II(фиг. 9д). Для галенита II характерны концентрации Ag и Bi до 0.5–1.5 мас.%, а также наличие микровкрапленности (до 1–10 мкм) самородного висмута (см. фиг. 9г), в единичных случаях – самородного золота, гессита и цнигриита (Ag9SbTe3S3).
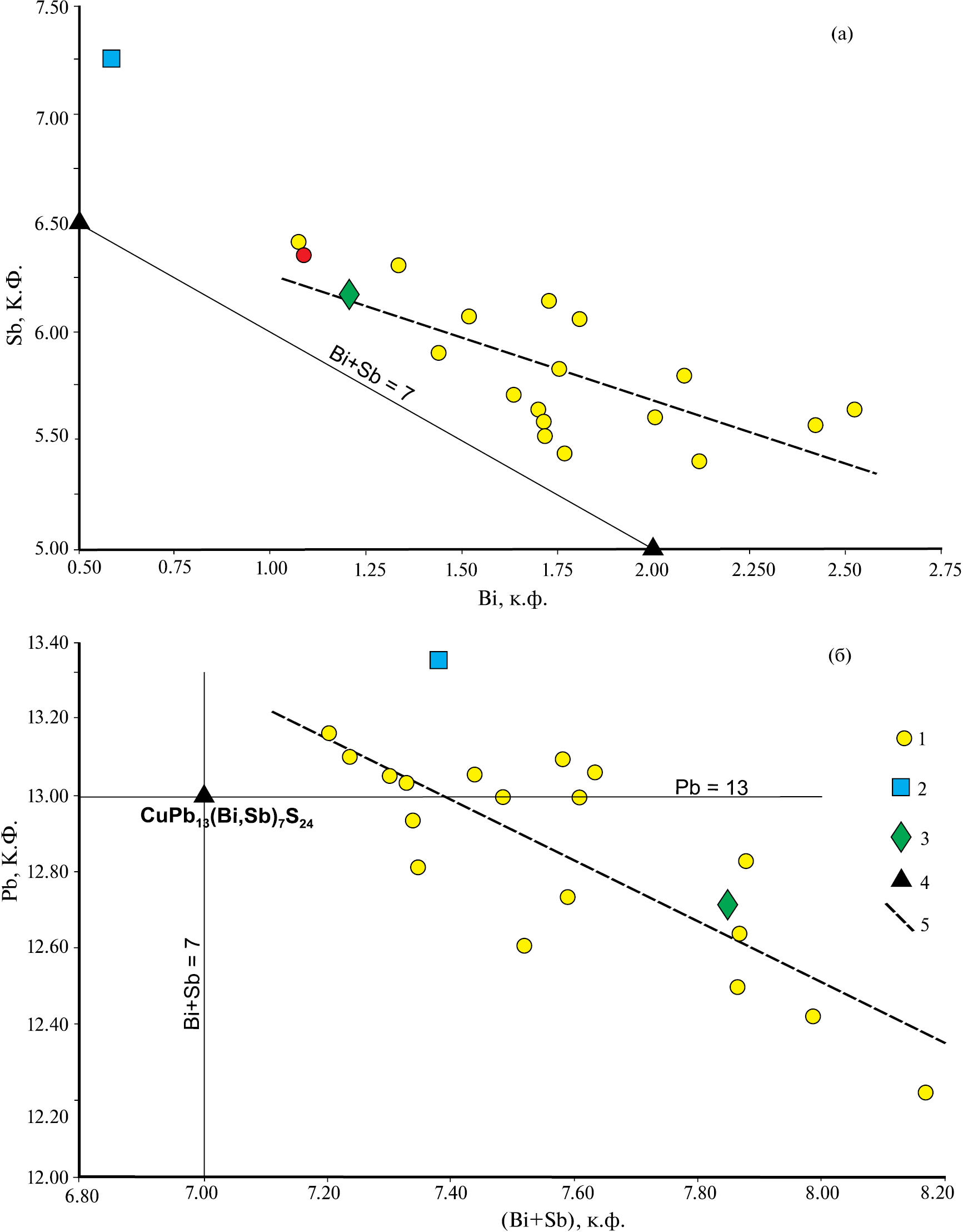
Установлено, что содержание Bi в составе висмутовых менегинитов Березитового месторождения колеблется от 4.95 до 11.46 мас.% (табл. 3). При этом вхождение Bi в структуру данного минерала приводит к значительным изменениям соотношений элементов в кристаллохимической формуле менегинита. Состав висмутового менегинита характеризуется переменными соотношениями Sb/Bi = 2.24–5.95 и Pb/(Bi+Sb) = 1.50–1.89, что свидетельствует о нестехиометричной природе данного минерала. Сумма элементов Sb + Bi во всех анализах в значительной степени превышает теоретическое значение, равное 7 (фиг. 10а). Наличие взаимосвязей между Pb-Sb-Bi в структуре данного минерала устанавливается и на диаграммах соотношений этих элементов (фиг. 10а, б), где отчетливо видно, что увеличение концентраций Bi в их составе в целом приводит к уменьшению содержаний не только Sb, но и Pb. Учитывая наличие дефицита металлов и избыток полуметаллов в составе данного минерала, можно предполагать, что при значительных концентрациях Bi в менегините часть его изоморфно замещает Sb и Pb.
Минералы бурнонит-зелигманитового ряда. Минералы бурнонит-зелигманитового ряда [PbCu(Sbx,As1-x)S3] представляют собой минеральные соединения переменного состава, с наличием изоморфных замещений между Sb и As. Крайние члены этой серии представлены бурнонитом (PbCuSbS3) и зелигманитом (PbCuAsS3). Бурнонит является широко распространенным минералом, а зелигманнит в природе встречается весьма редко.
В рудах Березитового месторождения минералы данного ряда выявлены и детально изучены в образце руд золото-кварц-сульфидной ассоциации (Вах и др., 20162). Представлены микроскопическими выделениями, которые приурочены к контакту галенита и геокронита. Минералы образуют около геокронита характерную тонкую кайму, либо находятся непосредственно в галените в форме типичных мирмекитовых выделений (фиг. 9е). Размер агрегатов колеблется от 1 до 10–20 мкм.
Агрегаты минералов бурнонит-зелигманнитового ряда гомогенны и характеризуются значительными вариациями химического состава, от почти чистого бурнонита (в виде мелких выделений в галените) до промежуточных разностей, где концентрации As достигают 8.3 мас.% (табл. 3). Они образуют дискретный ряд стехиометричных твердых соединений, с колебаниями формульных коэффициентов As в составе минералов от 0.2 до 1.2. По соотношению As к Sb в их составе в пределах изоморфного ряда твердых соединений PbCuSbS3 — PbCuAsS3 отчетливо выделяется нескольких обособленных групп (фиг. 11), где основное количество анализов попадает в центральную часть этого ряда. По составу минералы бурнонит-зелигманитового ряда Березитового месторождения близки к подобным соединениям, установленным в составе руд Pb-Zn месторождения Раджпура-Дариба, Индия (Бесу и др., 1984) и золоторудного месторождения Хемло, Канада (Harris, 1989) (см. фиг. 11).
ОБСУЖДЕНИЕ РЕЗУЛЬТАТОВ
Геологическая позиция, особенности состава и температурные условия формирования сульфосолей свинца
Проведенные исследования позволили выявить ряд новых закономерностей, отражающих особенности локализации и химического состава минералов Pb-As-Sb-S и Сu-Pb-As-Sb-S систем в рудах Березитового месторождения, которые несомненно имеют важное значение для выявления физико-химических и генетических условий формирования золото-сульфосольной минерализации этого уникального рудного объекта. В первую очередь, необходимо акцентировать внимание на геологической позиции сульфосолей Pb. Они развиты в жильных рудах, которые рассекают ранние золотосодержащие полиметаллические руды и дайки метапорфиритов. При этом следует особо отметить, что область распространения на месторождении сульфосолей Pb в жильных рудах четко ограничивается контуром развития турмалин-гранат-мусковит-кварцевых метасоматических пород с прожилково-вкрапленной золотосодержащей Pb-Zn-сульфидной минерализацией. В составе прожилковых руд, локализованных в гранитах, за пределами рудной зоны, несмотря на наличие в них минералов As и Sb (арсенопирит, блеклые руды, бенлеонардит), рассматриваемые сульфосоли Pb не выявлены.
Фиг. 10. Диаграммы соотношений Bi–Sb (а) и (Bi+Sb)–Pb (б) (коэффициенты атомов в формуле) в составе висмутового менегинита в рудах Березитового (Верхнее Приамурье), свинец-цинкового Почекуевского (Восточное Забайкалье) и Арсеньевского Sn-сульфидного (Приморье) месторождений. 1 – Березитовое месторождение; 2 – Почекуевское месторождение (Бородаев, Мозгова, 1975); 3 – Арсеньевское месторождение (Финашин, Чубаров, 1983); 4 – теоретические составы; 5 – линия тренда изменения состава висмутового менегинита Березитового месторождения.
Устанавливается определенная зависимость между минеральным составом прожилково-жильных тел и набором сульфосолей, входящих в состав этих руд. Мышьяковые и сурьмяно-мышьяковые сульфосоли Pb, представленные минералами иорданит-геокронитового и бурнонит-зелигманитового рядов, а также цугаруитом и дюфренуазитом, наиболее широко распространены в составе золото-кварц-сульфидной ассоциации. Сульфоантимониты Pb (Pb и Сu), представленные буланжеритом и менегинитом, выявлены только в золото-кварц-гранат-сульфидной ассоциации. Висмутовый менегинит, c высокими концентрациями Bi характерен для прожилковых руд золото-сульфидной ассоциации.
Фиг. 11. Диаграмма соотношений As и Sb (коэффициенты атомов в формуле) в составе минералов бурнонит-зелигманнитового ряда. 1 – золото-полиметаллическое месторождение Березитовое, Верхнее Приамурье; 2 – Pb-Zn месторождение Раджпура-Дариба (Radjpura Dariba), Индия (Бесу и др., 1984); 3 – Zn-Pb-(Cu) месторождение Блейквассли (Bleikvassli), Норвегия (Cook et al., 1998); 4 – Pb-Zn месторождение Озеро Осборн (Osborne Lake), Канада (Tomkins et al., 2006); 5 – золоторудное месторождение Хемло (Hemlo), Канада (Harris, 1989); 6 – минеральное проявление Ленгенбах (Lengenbach), Швейцария (Handbook of Mineralogy); 7 – Au-Te месторождение Сакаримб (Sacarimb), Румыния (Ciobanu et al., 2005).
Рассматривая набор сульфосолей Pb в рудах месторождения, следует отметить, что все они представлены наиболее богатыми свинцом минеральными разновидностями (см. фиг. 3). По степени распространенности сульфосолей Pb в рудах месторождения отмечается явное превосходство сложных As-Sb соединений над собственно сурьмяными и мышьяковыми разновидностями. При этом для состава сложных сульфосолей Pb характерно преобладание As над Sb (см. фиг. 3), что указывает на значительную роль As в составе рудных флюидов, формирующих жильный золото-кварц-сульфидный тип руд.
Сурьмянистые и мышьяковые сульфосоли Pb существенно различаются между собой по стехиометрии и характеру вариации элементов в составе минералов. Сульфоантимониты Pb (Pb и Cu), представленные в рудах буланжеритом и менегинитом, имеют в рудах постоянный состав и относятся к типичным стехиометричным соединениям. Сульфоарсениды Pb практически постоянно содержат небольшую примесь Sb (см. фиг. 3). Они имеют непостоянный состав с различными соотношениями концентраций в них Pb и As. Сложные мышьяково-сурьмяные сульфосоли Pb (Pb и Cu) и сурьмяно-висмутовые сульфосоли Pb также характеризуются весьма значительными вариациями состава, где широко изменяются соотношения не только между полуметаллами, но и между Pb и суммой полуметаллов. Эти природные соединения образуют нестехиометричные серии твердых растворов. Исключение составляют только минералы бурнонит-зелигманнитового ряда, которые, несмотря на широкий изоморфизм между Sb и As, образуют дискретный ряд стехиометричных твердых соединений.
Главной типоморфной особенностью состава сложных сурьмяно-мышьяковых и сурьмяно-висмутовых сульфосолей Pb Березитового месторождения является их гетерогенность. Однородные по составу агрегаты этих минералов образуют квазинепрерывный ряд твердых природных соединений, которые в пределах одного образца руд существенно различаются между собой по соотношению содержаний в них полуметаллов и Pb. При этом, для состава минералов иорданит-геокронитового ряда отмечается явный избыток Pb (по отношению к теоретическому составу), тогда как для висмутового менегинита – дефицит Pb.
Температурные условия формирования сульфосолей Pb и сопутствующей золотой минерализации косвенно могут быть оценены по термодинамическим данным устойчивости минералов сульфидных систем Pb-As-S и Pb-Sb-S. Верхний температурный предел кристаллизации минералов иорданит+галенит составляет 549 °С (Ronald, 1968), дюфренуазит+иорданит – 487 °С (Ronald, 1968), буланжерита – 638 °С (Craig et al., 1973), зелигманнита – 460 °С (Tesfaye, Taskinen, 2011). Нижнюю границу формирования сульфосолей – 271 °С можно оценить по наличию в агрегатах галенита II округлых микровыделений самородного висмута (Воган, Крейг, 1988), а также по отсутствию в прожилковых рудах низкотемпературных минералов системы Pb-As-S, представленных сарторитом и грейтонитом, устойчивых при T ≤ 300 °С.
Генезис сульфосолей свинца в рудах Березитового месторождения
Анализ геологических условий нахождения редких сурьмяно-мышьяковых сульфосолей Pb в рудных месторождениях мира показывает, что эта группа минералов довольно часто отмечается в минеральном составе высокометаморфизованных колчеданных и колчеданно-полиметаллических месторождений. Так, например, минералы зелигманнит-бурнонитового ряда широко развиты в Pb-Zn рудах метаморфизованных месторождений Блейквессли, Норвегия (Cook et al., 1998), Раджпура-Дариба, Индия (Бесу и др., 1984; Mishra, Bernhardt., 2009), Осборн Лейк, Канада (Tomkinset al., 2006), а также в метаморфизованных рудах золоторудного месторождения Хемло, Канада (Harris, 1989; Powel et al., 1999).
Сульфосольная минерализация в высокометаморфизованных рудных объектах, как правило, широко развита в секущих первичные руды жильных телах, формирование которых тесно связано с процессами ремобилизации сульфидной минерализации при высокотемпературном термальном преобразовании первичных руд (Ручкин, 1981; Добрецов и др., 1987; Vokes, 1971; Plimer, 1977; Marshall, Gilligan, 1993; Spry et al., 2000). Широкое распространение в жильных регенерированных рудах сложных по составу сульфосолей Pb, Ag, Cu и Вi (часто в ассоциации с самородным золотом, теллуридами и сульфотеллуридами) является характерной особенностью большинства высокометаморфизованных месторождений (Викеньев, 2004; Молошаг, 2011; Vokes, Craig, 1993; Cook et al., 1998; Wagner et al., 2005). В этих рудах для сульфосолей часто отмечаются своеобразные формы выделений, которые представлены специфическими структурами распада твердых растворов в галените (Рамдор, 1962) и блеклых рудах (Шадлун, 1980), а также грубо мирмекитовыми срастаниями и реакционными образованиями, формирующимися на границах сульфидных минералов (Cook et al., 1998).
PT-условия преобразования ранних полиметаллических руд Березитового месторождения, рассчитанные по минеральным равновесиям гранатсодержащих рудоносных метасоматитов и даек метапорфиритов, составляют: Т = 560–620 °С, Р = 4.2 – 4.4 кбар (Авченко и др., 2015). По степени термального метаморфизма полиметаллических руд Березитовое месторождение сопоставимо с хорошо изученными типовыми метаморфизованными рудными объектами Австралии, Европы и Канады (Frost et al., 2005; Hofmann, Knill, 1996; Rosenberg, Froese, 1998; Bristol et al., 1998; Powel et al., 1999), для которых доказана возможность частичного плавления сульфидных минералов при умеренных и высоких ступенях регионального метаморфизма (Hofmann, 1994; Frost et al., 2002; Tomkins et al., 2004; 2006; 2007). Экспериментальные данные по изучению фазовых соотношений в сульфидных системах свидетельствуют, что в системе Pb-Zn-Fe-S частичное плавление сульфидных минералов возможно при T= 500–600 °C, и даже гораздо ниже, при наличии в этой системе халькофильных элементов с низкой температурой плавления (Frost et al., 2002), представленных As, Sb, Pb, Bi, Ag, Se, Te, Tl, In, Ga, Hg, Zn. Основываясь на этом, а также опираясь на изложенные выше геологические и минералогические наблюдения, мы предполагаем определяющую роль подобного процесса и в рудах Березитового месторождения. С этих позиций широкое развитие сульфосолей Pb в жильных рудах месторождения, вероятней всего, определяется частичным плавлением первичных полиметаллических руд в процессе их высокотемпературного преобразования, приводящего к формированию сульфидного расплава, обогащенного Pb и халькофильными элементами. В последующем, при охлаждении, происходит фракционирование сульфидного расплава, его эвтектический распад, с формированием в области субсолидусных температур самостоятельных гомогенных минеральных фаз, представленных преимущественно сложными по составу сульфосолями Pb, Ag-Bi-содержащим галенитом II и арсенопиритом. Этот механизм, вероятней всего, и определяет выявленные закономерности локализации сульфосолей в жильных минеральных ассоциациях, а также особенности их состава.
ЗАКЛЮЧЕНИЕ
В рудах Березитового месторождения Верхнего Приамурья детально изучены природные минеральные соединения систем Pb-As-Sb-S и Cu-Pb-As-Sb-S, находящиеся в единой ассоциации с самородным золотом. Они представлены минералами иорданитовой гомологической серии (иорданит-геокронитовый ряд, цугаруит), сарторитовой гомологической серии (дюфренуазит), булажеритового гомологического типа (буланжерит), менегинитовой гомологической серии (менегинит, Bi-менегинит, с содержаниями Bi до 11.5 мас.%) и бурнонитовой изохимической серии (бурнонит-зелигманитовый ряд).
Проведенные исследования позволили выявить следующие основные закономерности локализации сульфосолей Pb в рудах Березитового месторождения.
- Сульфосоли Pb являются характерными типоморфными минералами для золотоносных прожилково-жильных тел, находящихся только в пределах контура рудного тела с широко проявленным полиметаллическим оруденением.
- Набор сульфосолей Pb, развитых в рудах месторождения, характеризуется наличием минеральных разновидностей, содержащих в своем составе наиболее высокие концентрации Pb.
- Каждый жильный тип золотоносных руд имеет четко выраженный минералого-геохимический профиль проявления сульфосольной минерализации: в золото-сульфидных – существенно сурьмяно-висмутовый, в золото-кварц-гранат-сульфидных – преимущественно сурьмяный; в золото-кварц-сульфидных – сурьмяно-мышьяковый.
- Наиболее распространены сложные сульфосоли Pb иорданит-геокронитового ряда, которые характерны для жильных золотоносных кварц-сульфидных образований.
- Простые минералы из группы сульфоантимонитов свинца имеют постоянный стехиометричный состав, сульфоарсениды свинца – переменный.
- Сложные мышьяково-сурьмяные и висмуто-сурьмяные сульфосоли Pb (Pb и Cu) представлены гомологическими рядами твердых соединений переменного состава, для которых характерны изоморфные замещения не только между полуметаллами, но и между Pb и полуметаллами. Состав минералов иорданит-геокронитового ряда характеризуется избытком Pb и дефицитом полуметаллов, а висмутового менегинита – дефицитом Pb и избытком полуметаллов.
- Однородные агрегаты сложных сульфосолей Pb (Pb и Cu) в пределах локального пространства (одного образца руд, одного аншлифа) резко контрастны между собой по составу (эффект гомогенной неоднородности).
По термодинамическим данным об устойчивости сульфосолей Pb в сульфидных системах, температурные условия формирования золото-сульфосольной минерализации в прожилковых рудах месторождения оцениваются примерно в диапазоне от 450 до 300 °С. Предполагается, что генезис сульфосолей Pb в золотоносных рудах Березитового месторождения определяется частичным плавлением сульфидных руд в процессе высокотемпературного метаморфизма руд, приводящего к образованию сульфидного расплава, обогащенного Pb и халькофильными элементами.
БЛАГОДАРНОСТИ
Авторы выражают благодарность руководству и геологическому персоналу ООО “Березитовый рудник” компании Nordgold за содействие в проведении полевых исследований по изучению месторождения, а также сотрудникам лаборатории рентгеновских методов Аналитического центра Г.Б. Молчановой и Н.И. Екимовой за выполнение аналитических исследований. Авторы признательны рецензенту и старшему научному сотруднику ИГЕМ РАН к.-г.м.н. О.Ю. Плотинской за скрупулезный анализ статьи и ценные замечания, которые позволили существенно ее улучшить.
ФИНАНСИРОВАНИЕ
Исследования выполнены при частичной поддержке грантов Российского фонда фундаментальных исследований (№ 15-05-00809, № 16-05-00283, № 16-35-60098), а также ДВО РАН № 18-2-001.
1 Комиссия по новым минералам, номенклатуре и классификации Международной минералогической ассоциации. http://nrmima.nrm.se/IMA_Master_List_%282018-03%29.pdf
作者简介
A. Vakh
Far East Geological Institute, Far Eastern Branch of the Russian Academy of Sciences; Far Eastern Federal University
编辑信件的主要联系方式.
Email: goryachev@neisri.ru
俄罗斯联邦, Vladivostok; Vladivostok
O. Avchenko
Far East Geological Institute, Far Eastern Branch of the Russian Academy of Sciences
Email: goryachev@neisri.ru
俄罗斯联邦, Vladivostok
V. Gvozdev
Far East Geological Institute, Far Eastern Branch of the Russian Academy of Sciences
Email: goryachev@neisri.ru
俄罗斯联邦, Vladivostok
N. Goryachev
N.A. Shilo North-East Interdisciplinary Scientific Research Institute, Far Eastern Branch of the Russian Academy of Sciences; A.P. Vinogradov Institute of Geochemistry, Siberian Branch RAS of the Russian Academy of Sciences
Email: goryachev@neisri.ru
俄罗斯联邦, Magadan; Irkutsk
А. Karabtsov
Far East Geological Institute, Far Eastern Branch of the Russian Academy of Sciences
Email: goryachev@neisri.ru
俄罗斯联邦, Vladivostok
E. Vakh
Far Eastern Federal University
Email: goryachev@neisri.ru
俄罗斯联邦, Vladivostok
参考
- Авченко О.В., Вах А.С., Горячев, А.Н., Александ¬ров И.А., Веливецкая Т.А., Капитонов И.Н. Геохронологическая и изотопно-геохимическая характеристика Березитового золото-полиметаллического месторождения (Верхнее Приамурье) // ДАН. 2013. Т. 453. № 2. С. 185–169.
- Авченко О.В., Вах А.С., Чудненко К.В., Худоложкин В.О. Генезис гранатсодержащих пород Березитового месторождения (Верхнее Приамурье, Россия) // Геология руд. месторождений. 2014. Т. 56. № 1. С. 19–40.
- Авченко О.В., Вах А.С., Чудненко К.В. Термобарометрия минеральных равновесий в метасоматитах и метапорфиритах Березитового месторождения // Вестник КРАУНЦ. Науки о Земле. 2015. Вып. 25. № 1. С. 231–236.
- Балицкая О.В., Вах А.С., Сивцов А.В., Мозгова Н.Н. Ультрамикросрастания сульфосолей системы Pb-Cu-Sb-Bi-S // Минералогический журнал. 1987. Т. 9. № 3. С. 35–45.
- Бесу К., Бортников Н.С., Мукерджи А., Мозгова Н.Н., Цепин А.И. Минералого-геохимические особенности стратиформного полиметаллического месторождения Раджпура-Дариба, Раджастаан, Индия. В сб.: Геология и полезные ископаемые древних платформ. М.: Наука, 1984. С. 99–105.
- Бородаев Ю.С., Мозгова Н.Н. О висмуто-сурьмяных сульфосолях свинца Почекуевского месторождения (Восточное Забайкалье) // Геология руд. месторождений. 1975. Т. 17. № 2. С. 118–126.
- Брызгалов И.А., Кривицкая Н.Н., Спиридонов Э.М. Первая находка минералов ряда иорданит-геокронит-шульцит на одном месторождении (Дарасун, Восточное Забайкалье) // ДАН. 2011. Т. 438. С. 635–638.
- Вах А.С., Сапин В.И. Первая находка железистого ганита на Дальнем Востоке // Доклады АН СССР. 1982. Т. 264. № 5. 1199–1202.
- Вах А.С., Сапин В.И. Новая находка иорданита в рудах золото-полиметаллического месторождения // Доклады АН СССР. 1984. Т. 276. № 2. С. 446–450.
- Вах А.С., Степанов В.А., Авченко О.В. Березитовое золото-полиметаллическое месторождение: геологическое строение и состав руд // Руды и металлы. 2008. № 6. С. 44–55.
- Вах А.С., Авченко О.В., Карабцов А.А., Степанов В.А. Гротит в минеральных ассоциациях Березитового золото-полиметаллического месторождения // Записки Российского минералогического общества. 20101. № 6. С. 127–140.
- Вах А.С., Авченко О.В., Карабцов А.А. Червандонит–(Се) в рудах Березитового месторождения – вторая находка в мире // Тихоокеанская геология. 20102. Т. 29. № 3. С. 14–23.
- Вах А.С., Авченко О.В., Киселев В.И., Сергеев С.А., Пресняков С.Л. Геохронологические U-Pb изотопные исследования цирконов из гранитов и рудоносных метасоматитов Березитового золото-полиметаллического месторождения (Верхнее Приамурье, Россия) // Тихо¬океанская геология. 2013. Т. 32. № 6. С. 20–39.
- Вах А.С., Авченко О.В., Горячев Н.А. , Гвоздев В.И., Карабцов А.А. Новые данные о составе сурьмяно-мышьяковых сульфосолей свинца иорданит-геокронитового гомологического ряда в рудах Березитового месторождения (Верхнее Приамурье, Россия) // ДАН. 20161. Т. 467. № 6. С. 687–693.
- Вах А.С., Авченко О.В., Горячев Н.А., Гвоздев В.И., Карабцов А.А., Вах Е.А. Минералы бурнонит-зелигманнитовой серии в рудах Березитового месторождения (Верхнее Приамурье, Россия) // Записки Российского минералогического общества. 20162. Ч. CXLV. № 6. C. 80–90.
- Викентьев И.В. Условия формирования и метаморфизм колчеданных руд. М.: Научный мир. 2004. 340 с.
- Воган В., Крейг Дж. Химия сульфидных минералов. М.: Мир, 1981. 575 с.
- Добрецов Н.Л., Меляховецкий А.А., Ащепков И.В, Картавченко В.Г., Габов Н.Ф., Могилев В.А., Шадаев М.А., Рипп Г.С., Скляров Е.В. Структурно-минералогические критерии метаморфогенного оруденения (на примере колчеданных месторождений). Новосибирск: Наука, 1987. 166 с.
- Минералы. Справочник. M.: Изд-во АН СССР. Т. 1. 1960. 616 с.
- Мозгова Н.Н. Нестехиометрия и гомологические ряды сульфосолей. М.: Наука, 1985. 264 с.
- Молошаг В.П. Теллуридная минерализация колчеданных месторождений Урала: новые данные // Литосфера. 2011. № 6. С. 91–102.
- Рамдор П. Рудные минералы и их срастания. М.: Ин. литература, 1962. 1132 с.
- Ручкин Г.В. Модель регионального метаморфизма докембрийских колчеданных месторождений // Геология руд. месторождений. 1981. № 5. С. 19–32.
- Справочник-определитель рудных минералов в отраженном свете / Т.Н. Чвилева, М.С. Безсметрная, Э.М. Спиридонов и др. М.: Недра, 1988. 504 с.
- Тимофеевский Д.А. Свинцово-цинковая минерализация на золоторудных месторождениях Восточного Забайкалья. Труды ИГЕМ. 1963. Вып. 83. С. 445–525.
- Тимофеевский Д.А. Геокронит и шульцит в рудах серебро-свинцового-цинкового месторождения Усть-Теремки Восточного Забайкалья // Записки ВМО. 1968. Ч. XCVII. Вып. 4. С. 431–439.
- Финашин В.К., Чубаров В.М. О серебро-сурьмяно-висмутовых и сурьмяно-висмутовых сульфосолях в оловянных рудах Кавалеровского района (Приморье) // Рудные месторождения Дальнего Вос¬тока. Владивосток: ДВНЦ АН СССР, 1983. С. 66–75.
- Чвилева Т.Н. Минералогическая характеристика и диагностика сульфоантимонитов свинца. М.: Наука, 1973. 161 с.
- Шадлун Т.Н. Текстуры руд как показатели условий формирования минеральных парагенезисов в различных типах стратиформных стратиформных свинцово-цинковых месторождений // Методы исследований рудообразующих сульфидов и их парагенезисов. М.: Наука, 1980. С. 110–126.
- Biagioni C., Dini A., Orlandi P., Moëlo Y., Pasero M., Zaccarini F. Lead-Antimony Sulfosalts from Tuscany (Italy). XX. Members of the Jordanite–Geocronite Series from the Pollone Mine, Valdicastello Carducci: Occurrence and Crystal Structures // Minerals. 2016. Vol. 6. P. 1–15.
- Birnie R., Burnham C.W. The crystal structure and extent of solid solution of geocronite //Amer. Mineral. 1976. Vol. 61. P. 963–970.
- Bristol C.C., Froese E. Highly metamorphosed altered rocks associated with the Osborne Lake volcanogenic massive sulfide deposit, Snow Lake area, Manitoba // Canad. Miner.1989. Vol. 27. P. 593–600.
- Ciobanu C.L., Cook N.J., Capraru N., Damian G., Cristea P. Mineral assemblages from the vein salband at Sacarimb, Golden Quadrilateral, Romania: I. Sulphides and sulphosalts // Geochemistry, Mineralogy and Petrology. 2005. Vol. 43. Bulgarian Academy of Sciences, Sofia, Bulgaria. P. 47–55.
- Cook N.J., Spry P.G., Vokes F.M. Mineralogy and textural relationships among sulphosalts and related minerals in the Bleikvassli Zn-Pb-(Cu) deposit, Nordland, Norway // Miner. Deposit.1998. Vol. 34. P. 35–56.
- Frost B.R., Mavrogenes J.A., Tomkins A.G. Partial melting of sulfide ore deposits during medium- and high-grade metamorphism // Canad. Mineral. 2002. Vol. 40. P. 1–18.
- Frost B.R., Swapp S.M., Gregory R.W. Prolonged existence of sulphide melt in the Broken Hill orebody, New South Wales. Australia // Canad. Mineral. 2005. Vol. 43, P. 479–494.
- Handbook of Mineralogy / Anthony J.W., Bideaux R.A., Bladh K.W., Nichols M.C. Mineralogical Society of America, Chantilly. VA 20151–1110, USA. http://www.handbookofmineralogy.org/.
- Harris D.C. The mineralogy and geochemistry of the Hemlo gold deposit // Geol. Surv. Can., Econ. Geol. Rep. 1989. Vol. 38. 88 p.
- Hofmann B.A. Formation of a sulfide melt during Alpine metamorphism of the Lengenbach polymetallic sulfide mineralization, Binntal, Switzerland // Miner. Deposit. 1994. Vol. 29. P. 439–42.
- Hofmann B.A., Knill M.D. Geochemistry and genesis of the Lengenbach Pb-Zn-As-Tl-Ba-mineralisation, Binn Valley, Switzerland // Miner. Deposit. 1996. Vol. 31. P. 319–339.
- Marshall B, Gilligan L.B. Remobilization, syn-tectonic processes and massive sulfide deposits // Ore Geol. Rev. 1993. Vol. 8: P. 39–64.
- Mishra B., Bernhardt H.-J. Metamorphism, graphite crystallinity, and sulfide anatexis of the Rampura–Agucha massive sulfide deposit, northwestern India // Miner. Deposit. 2009. Vol. 44. P. 183–204.
- Moëlo Y., Makovicky E., Mozgova N.N., Jambor J.L., Cook N., Pring A., Paar W., Nickel E.H., Graeser S., Karup-Møller S., Balic-Žunic T., Mumme W.G., Vurro F., Topa D., Bindi L., Bente K., Shimizu M. Sulfosalt systematics: a review. Report of the sulfosalt sub-committee of the IMA Commission on Ore Mineralogy // Eur. J. Mineral. 2008. N. 20, P. 7–46.
- Powell W.G., Pattison D.R.M., Johnston P. Metamorphic history of the Hemlo gold deposit from Al2SiO5 mineral assemblages, with implications for the timing of mineralization: Canadian Journal of Earth Sciences. 1999. Vol. 36. P. 33–46.
- Ronald G.W. System Pb-As-S – Composition and tability of Jordanite // Mineral. Deposit. 1968. Vol. 3. P. 249–260.
- Rosenberg J.L., Spry P.G., Jacobson C.E. Thermobarometry of the Bleikvassli Zn-Pb-(Cu) deposit, Nordland, Norway // Mineral. Deposit. 1998. Vol. 34. P. 19–34.
- Shimizu M., Miyawaki R., Kato A., Matsubara S., Matsuyama F., Kiyota K. Tsugaruite, Pb4As2S7, a new mineral species from the Yunosawa mine, Aomori Prefecture, Japan // Mineral. Magazine. 1998, Vol. 62. P. 793–799.
- Tesfaye F., Taskinen P. Phase Equilibria and Thermodynamics of the System Zn-As-Cu-Pb-S at Temperatures Below 1173 K. Aalto University publication series Science + Technology. 2011. Vol. 7. 46 p.
- Tomkins A.G., Pattison D.R.M., Frost B.R. On the initiation of metamorphic sulfide anatexis // Journal of Petrology. 2007. Vol. 48. P. 511–535.
- Tomkins A.G., Frost B.R., Pattison D.R.M. Arsenopyrite melting during metamorphism of sulfide ore deposits. Can. Miner. 2006. Vol. 44. P. 1045–1062.
- Tomkins A.G., Pattison D.R.M., Zaleski E. The Hemlo gold deposit, Ontario: an example of melting and mobilization of a precious metal – sulfosalt assemblage during amphibolite facies metamorphism and deformation // Econ. Geol. 2004. Vol. 99. P. 1063–1084.
- Vakh A.S., Khomich V.G., Boriskina N.G., Santosh M. The Berezitovoe gold-polymetallic deposit (Upper Amur region, Russia): Structure, mineralogy and genetic aspects // Geoscience Frontiers. 2016. N. 7. P. 483–494.
- Vakh A.S., Avchenko O.V., Goryachev N.A., Gvozdev V.I., Karabtsov A.A., Vakh E.A. // Minerals of the Bournonite–Seligmannite Series in Ore of the Beresitovoe Deposit, Upper Amur Region, Russia. Geology of Ore Deposits. 2017. Vol. 59. N. 8. P. 738–745.
- Vokes P.M. Some aspects of regional metamorphism mobilisation of preexisting sulphide deposits // Miner. Deposit. 1971. Vol. 6. P. 112–129.
补充文件












