Age, composition and sources of rocks and ores of the Okunevskoe fluorite-leucophanite deposit, Western Sayan: assessment of the contribution of magmatism to ore mineralization
- Authors: Lykhin D.A.1, Yarmolyuk V.V.1, Vorontsov A.A.2
-
Affiliations:
- Institute of Geology of Ore Deposits, Petrography, Mineralogy and Geochemistry RAS
- Vinogradov Institute of Geochemistry, Siberian Branch of the Russian Academy of Sciences
- Issue: Vol 61, No 5 (2019)
- Pages: 37-61
- Section: Articles
- URL: https://journals.eco-vector.com/0016-7770/article/view/17793
- DOI: https://doi.org/10.31857/S0016-777061537-61
- ID: 17793
Cite item
Full Text
Abstract
The paper presents data on the structure of the Okunevskoe fluorite-Leucophanite deposit, located within the Early Paleozoic rare-metal East Sayan rare metal metallogenic zone. The deposit is controlled by alkali granitoids, with ore mineralization concentrated at the contact of granitoids and host carbonates. It is represented by leucophanite-fluorite and pyroxene-fluorite ore types. The Ar-Ar age of granitoids is established at ~485 Ma. Geochemical characteristics of igneous rocks, ores, and host carbonates are determined. It is shown that in geochemical parameters leucophanite-fluorite ores are close to alkaline granites, while pyroxene-fluorite ores are close to alkaline syenites. The characteristics of the Nd isotop composition in rocks and ores of the deposit are given. Igneous rocks (granitoids and basite dikes) are characterized by åNd (t) values from +4 to +5.5. The åNd (t) values in ores range from +1.2 to +4.2, in skarns it is +4.8. The host carbonates have abruptly contrasting values åNd (t) = –4.2. Based on these data, which demonstrate a high compositional similarity between granitoids and ores, a conclusion is drawn about the leading contribution from magmatic processes to the ore mineralization of the Okunevskoe deposit.
Keywords
Full Text
ВВЕДЕНИЕ
Восточная часть Алтае-Саянской складчатой области и прилегающие к ней участки Сибирской платформы представляют одну из наиболее важных редкометальных провинций России. В ее пределах сконцентрирован ряд крупных месторождений редких металлов, редких элементов и редких земель, таких как Бело-Зиминское, Тагнинское, Арысканское, Тостыгское, Улуг-Танзекское, Карасукское, Зашихинское и ряд других (Коваленко и др., 2006, Кузьмин, Ярмолюк, 2014, Ярмолюк и др., 2011). Особый интерес к этой провинции вызван тем, что развитые в ее пределах месторождения возникли в разные металлогенические эпохи и в разных геотектонических обстановках, определивших разные закономерности их распространения и различия в металлогенической специфике (Лыхин и др., 2017; Ярмолюк и др., 2010, 2011). Так, формирование поздненеопротерозойской группы карбонатитовых месторождений (Бело-Зиминское, Тагнинское и др.) определялось краевым расколом Сибирской платформы, связанным с распадом Родинии (Коваленко и др., 2006, Кузьмин, Ярмолюк, 2014, Ярмолюк и др., 2005), а образование позднепалеозойской группы Ta-Nb-REE месторождений (Улуг-Танзекское, Улан-Тологйское, Зашихинское) было связано с Восточно-Саянской зоной редкометальных щелочных гранитов, фиксирующей западное обрамление Баргузинского зонального магматического ареала (Ярмолюк и др., 2011).
Фиг. 1. Схема геологического строения района Окуневского месторождения (по Геологической карте…, 1971). 1 – четвертичные отложения; 2, 3 – нижнепалеозойские отложения: 2 – имирская и тонская свиты, плагиоклазовые и пироксеновые порфириты, базальты, фельзиты, трахиты, туфы, 3 – копинская, осиновая, кизирская свиты, диабазовые и андезитовые порфириты, сланцы, аргиллиты, алевролиты, песчаники, известняки, туфы; 4, 5 – верхнепротерозойские отложения: 4 – овсянковская свита, известняки, мраморы, доломиты, сланцы, 5 – базыбайская свита, гнейсы, кристаллические сланцы, амфиболиты, мигматиты, мраморы; 6–10 – нижнепалеозойские интрузивные образования: 6 – буеджульский и лутагский комплексы, щелочные и субщелочные граниты, биотитовые, роговообманковые граниты, граносиениты и сиениты, 7 – беллыкский комплекс, аляскиты, биотитовые граниты, гранодиориты, диориты, 8 – казырский комплекс, габбро, анортозиты, пироксениты, горнблендиты, роговообманковые перидотиты, 9 – окуневский комплекс, рибекитовые щелочные граниты, 10 – ольховский комплекс, граниты, плагиограниты, гранодиориты, диориты, габбро; 11 – разрывные нарушения; 12–16 – условные обозначения к врезке: 12 – а) проявления магматизма А-типа, б) Окуневский редкометальный рудно-магматический комплекс, 13 – гранитоиды раннего палеозоя, 14 – границы раннепалеозойской магматической провинции, 15 – Центрально-Азиатский складчатый пояс, 16 – Сибирская платформа. На врезке: темно-серым полем выделена раннепалеозойская Восточно-Саянская редкометальная магматическая зона (ВСРМЗ).
В последние годы нами проведены исследования закономерностей проявления в пределах провинции раннепалеозойского редкометального магматизма (Yarmolyuk et al., 2014; Лыхин и др., 2017). К этой возрастной группе относятся сподуменовые пегматиты Тостыга, редкометальные (Y-РЗЭ-Zr) граниты Арысканского месторождения, проявления сиенит-щелочногранитного магматизма, специализированного на Be, W, Mo, Zr, Nb, REE (Куприянова, Шпанов, 2011) и др. Их образование было связано с крупной магматической провинцией, возникшей в восточной части Алтае-Саянской области в раннем палеозое (Владимиров и др., 1999; Izokh et al., 2008). Провинция представлена в основном продуктами гранитоидного магматизма, однако в ее пределах достаточно широко распространены также породы внутриплитной специфики – пикриты, высокотитанистые субщелочные и щелочные габброиды, щелочно-ультраосновные комплексы с карбонатитами, нефелиновые сиениты, щелочные (агпаитовые) граниты и сиениты, литий-фтористые граниты (Izokh et al., 2008; Добрецов, 2011; Yarmolyuk et al., 2014; Ярмолюк и др., 2016). Проявления комплексов таких пород контролируются линейными зонами разломов, тяготеющими преимущественно к краевым участкам провинции (Yarmolyuk et al., 2014; Кузьмин, Ярмолюк, 2014; Лыхин и др., 2017), и характеризуются ярко выраженной редкометальной специализацией. Среди них, возможно, наиболее эффектно выделяется зона Кандатского разлома в северной части магматической провинции (врезка к фиг. 1), в пределах которой прослеживается группа массивов щелочных и литий-фтористых гранитоидов, представляющих перспективные рудные объекты: Попереченский, Арысканский, Катунский, Поселенский, Агсугский, Лево-Казырский, Средне-Катунский (Куприянова, Шпанов, 2011; Лыхин и др., 2017). Для ряда из них в последние годы были получены геохронологические данные, свидетельствующие об их ранне-среднеордовикском возрасте, однако изученность этих массивов в отношении связей магматизма и рудообразующих процессов остается на уровне возможностей второй половины прошлого века. В статье на примере Окуневского месторождения рассмотрены геохимические и минералогические особенности магматических пород, контролирующих оруденение, а также состав его руд, и на этом основании сделаны выводы о роли магматического процесса в образовании рудной минерализации.
ГЕОЛОГИЧЕСКОЕ ПОЛОЖЕНИЕ И СТРОЕНИЕ МЕСТОРОЖДЕНИЯ
Окуневское месторождение относится к формации флюорит-бертрандит-фенакитовых метасоматитов, к флюорит-лейкофановому минеральному типу (Генетические…, 1975; Куприянова, Шпанов, 2011). Оно расположено на северных отрогах Западного Саяна в бассейне реки Казыр и связано с одноименным массивом щелочных гранитов. В геологическом отношении эта территория отвечает Кизир-Казырскому синклинорию (террейну), входящему в состав Сисимо-Казырской раннекаледонской складчатой зоны (Государственная …, 2013). С северо-востока террейн отделен Восточно-Саянским разломом от Дербинского антиклинория, с юга – Кандатским и Северо-Саянским глубинными разломами от структур Западного Саяна и Тувы. Кизир-Казырский террейн в плане имеет вид треугольника, обращенного вершиной в зону сочленения Восточно-Саянского и Кандатского глубинных разломов (Метелкин, 2013). Он сложен терригенно-карбонатными и вулканогенными образованиями, а также в различной степени метаморфизованными породами от верхнего рифея до нижней юры. Стратифицированные отложения синклинория прорваны многочисленными массивами ранне- и среднепалеозойских гранитоидов (фиг. 1).
Вмещающими для месторождения являются вулканогенно-осадочные породы овсянковской свиты нижнего кембрия (Геологическая …, 1965; Объяснительная …, 1973) (фиг. 1). Породы свиты представлены мраморизованными известняками, переслаивающимися с кремнистыми алевролитами, углисто-кремнистыми, глинисто-хлоритовыми сланцами, кварцитами, а также с метаморфизованными диабазовыми порфиритами и туфами. Стратифицированные образования прорваны небольшими телами рибекитовых гранитов окуневского комплекса (Государственная …, 2013) (фиг. 1). Их размещение контролируется разломной зоной северо-восточного простирания (70°–80°), которая имеет протяженность более 12 км при ширине от 0.5 до 2.5 км и относится к системе разломов, оперяющих Кандатский глубинный разлом (Куприянова, Шпанов, 2011). В строении массивов участвуют сиениты, амфиболовые граниты с щелочным амфиболом или обыкновенной роговой обманкой и биотитом, а также альбититы (Объяснительная …, 1973; Куприянова, Шпанов, 2011). Жильные породы окуневского комплекса представлены дайками микродиоритов, плагиоклазовых порфиритов, аплитов, сиенит-порфиров (Геологическая …, 1965). По данным Госгеолкарты-200 РФ (Государственная …, 2013), с гранитоидами окуневского комплекса связано формирование Арысканского месторождения и ряда более мелких рудопроявлений, тяготеющих к Кандатскому разлому.
Собственно Окуневское месторождение располагается в экзоконтакте апикальной части одноименного массива щелочных гранитов. Рудовмещающие известняки овсянковской свиты местами скарнированы (Геологическая …, 1965; Объяснительная …, 1973). Скарны представлены волластонитовыми, волластонит-скаполитовыми, диопсидовыми, гранатовыми и везувиановыми разностями. Месторождение характеризуется бериллиевой минерализацией, сосредоточенной в экзоконтактовой части массива, но кроме того, включает небольшой участок с полиметаллической минерализацией, включающей пирротин, галенит, халькопирит, сфалерит и арсенопирит (Объяснительная …, 1973; Куприянова, Шпанов, 2011).
Фиг. 2. Схема геологического строения Окуневского месторождения (участок Левобережный) по данным Куприяновой, Шпанова, 2011. 1 – четвертичные отложения; 2–5 – раннекембрийская колпинская (балахтисонская) свита: 2 – известняки, 3 – кремнистые алевролиты, 4 – кварциты, 5 – диабазовые порфиры и их туфы; 6 – волластонитовые скарны; 7–8 – раннепалеозойский окуневский (сейбинский) комплекс: 7 – щелочные граниты, 8 – дайки базитов; 9 – флюорит-лейкофановые жилы, залежи, цифрами показаны их номера; 10 – полиметаллические жилы; 11 – канавы.
Месторождение разделено рекой Казыр на две части. Основная масса богатых флюорит-бериллиевых руд приурочена к юго-западному, более изученному Окуневскому (Левобережному) участку (фиг. 1). Менее богатый Флюоритовый, или Правобережный, участок с мелкими рудными телами находится на восточном берегу р. Казыр. Рудные тела образуют жилы и линзы (фиг. 2), иногда залежи неправильной формы, сгруппированные в зоны сближенных тел, реже распространены единичные жилы (Генетические…, 1975; Куприянова, Шпанов, 2011). Они тяготеют к контакту массива с вмещающими карбонатами. Большинство рудных тел имеют четкие контакты с вмещающими породами, также отмечается вкрапленность флюорита в известняках на расстоянии до 10–15 см от контакта. Форма рудных тел трубообразная и линзообразная, они протягиваются на десятки метров при мощности в первые метры. На месторождении встречаются два типа руд – преобладающие лейкофан-флюоритовые и более редкие пироксен-флюоритовые.
МЕТОДЫ ИССЛЕДОВАНИЯ
40Ar/39Ar исследования проводились в ИГМ СО РАН (г. Новосибирск) по методике (Травин и др., 2009). Навески минеральных фракций совместно с навесками стандартного образца биотита МСА-11 (ОСО № 129-88), используемого в качестве монитора, заворачивались в алюминиевую фольгу, помещались в кварцевые ампулы. Биотит МСА-11 был аттестован в качестве 40Ar/39Ar монитора с помощью стандартных образцов мусковита Bern 4m, биотита LP-6. В качестве интегрального его возраста принято среднее результатов калибровки, составившее 311.0 + 1.5 млн лет. Ампулы с образцами запаивались после откачки с прогревом до 200°С, затем помещались в алюминиевый пенал, заполненный для защиты от тепловых нейтронов карбидом бора, и облучались в охлаждаемом водой канале научного реактора типа ВВР-К Физико-технического института при Томском политехническом университете. Градиент нейтронного потока не превышал 0.5% в размере образца. Эксперимент по ступенчатому прогреву проводился в кварцевом реакторе с печью внешнего прогрева, температура прогрева контролировалась термопреобразователем ТХА/ТХК с точностью +1 °С. Холостой опыт по 40Ar (10 мин при 1200 °С) не превышал 5 × 10–10 нсм3. Очистка аргона производилась с помощью ZrAl SAES-геттеров. Изотопный состав аргона измерялся на масс-спектрометре Noble gas 5400. Ошибки измерений, приведенные в тексте и на рисунках, соответствуют интервалу +1ó.
Содержания главных компонентов пород определялись методом рентгено-флюоресцентного анализа (РФА) в ИГЕМ РАН г. Москва, на спектрометре PW-2400 производства компании Philips Analytical B.V. Подготовка препаратов для определения породообразующих элементов выполнена путем плавления 0.3 г порошка с 3 г тетрабората лития в индукционной печи. Точность анализа составляла 1–5 отн.% для элементов с концентрациями выше 0.5 мас.% и до 12 отн.% ниже 0.5 мас.%.
Определение петрогенных элементов и F в рудах было выполнено в химической лаборатории в ИГХ СО РАН, г. Иркутск, методом “мокрой” химии.
Содержания редких и редкоземельных элементов в породах и рудах массива были определены методом ICP-MS в ИАП РАН, г. Санкт-Петербург. Анализы были выполнены на масс-спектрометре с индуктивно-связанной плазмой PlasmaQuad 3 производства фирмы VG Elemental. Относительная погрешность определения элементов не превышает 5–10%.
Микрозондовые исследования рудных и породообразующих минералов были проведены в ИГЕМ РАН на аналитическом сканирующем электронном микроскопе JSM-5610LV с рентгеновским энергодисперсионным спектрометром Oxford INCA 450 в отраженных электронах.
Измерения изотопного состава Nd в изученных образцах, а также содержаний Sm и 7Nd методом изотопного разбавления, проводились на масс-спектрометре TRITON в изотопной лаборатории ИГГД РАН (г. Санкт-Петербург). Точность определения концентраций самария и неодима составила +5%, изотопных отношений 147Sm/144Nd – +0.5%, 143Nd/144Nd – +0.005%.
ВОЗРАСТ МАССИВА
Для Ar-Ar геохронологического исследования был выделен рибекит из щелочных гранитов Левобережного участка. В спектре амфибола около 90% выделенного 39Ar образуют пятиступенчатое плато, соответствующее возрасту 473 + 6 млн лет (фиг. 3) При этом самая большая ступенька (850 °С) имеет возраст 481.5 + 2.7 млн лет, тогда как более высокотемпературные ступени примерно соответствуют 470 млн лет. Такое распределение значений характерно для амфибола с нарушенной 40Ar/39Ar изотопной системой, поэтому для уточнения возраста были выполнены 40Ar/39Ar исследования амфибола из щелочных гранитов Правобережного участка (табл. 1). Получен спектр, средне-высокотемпературные ступени которого соответствуют возрасту 486.5 + 5.8 млн лет (фиг. 3). Полученные оценки – 481.5 + 2.7 млн лет для гранитов Левобережного участка и 486.5 + 5.8 млн лет для гранитов Флюоритового участка – совпадают в пределах погрешности. Это позволяет заключить, что становление щелочных рибекитовых гранитов Окуневского массива произошло в интервале 481–486 млн лет.
ПЕТРОГРАФО-МИНЕРАЛОГИЧЕСКАЯ ХАРАКТЕРИСТИКА ПОРОД И РУД
В строении месторождения принимают участие гранитоиды Окуневского массива, вмещающие его породы и рудные тела и жилы. Собственно Окуневский массив сложен амфиболовыми гранитами и сиенитами, соотношения между которыми, вследствие плохой обнаженности, остались слабо изученными, а также дайками базитов.
Щелочные граниты представлены светло-серыми средне-крупнозернистыми массивными породами. Для них характерна гипидиоморфнозернистая и порфировидная (фиг. 4а, б), реже катакластическая и микрографическая структуры. Породы состоят из калиевого полевого шпата (60–65%), кварца (25–35%), щелочного амфибола (7–10%), иногда встречается моноклинный пироксен (1–2%). Акцессорные и вторичные минералы представлены цирконом, сфеном (титанитом), флюоритом, магнетитом, бастнезитом, ильменитом, эпидотом, кальцитом (табл. 2). По данным И.И. Куприяновой (2011), в гранитах также присутствуют: пирохлор, торит, малакон, галенит, пирит, бетафит и молибденит. Калиевый полевой шпат представлен микроклин-пертитом таблитчатой или неправильной формы размером 0.2–1 до 2 мм. По химическому составу КПШ является чисто калиевой разновидностью и представлен микроклином, диагностированным по микроклиновой решетке, который замещает более ранний КПШ. Кварц часто образует мелкие, подробленные зерна – 0.05–0.2 мм, а также зерна размером до 4 мм неправильной формы, с характерным волнистым погасанием, что является следствием катаклаза. Плагиоклаз представлен альбитом, который образует пертиты таблитчатой и пятнистой формы в КПШ, а также таблитчатые полисинтетические кристаллы – 0.2–0.5 мм по периферии последних (фиг. 4б). Щелочной амфибол образует ксеноморфные выделения, размер которых составляет 0.1–2 мм, реже отмечается в виде идиоморфных зерен (фиг. 4а). По полученным микрозондовым данным диагностируются разновидности амфибола, отвечающие железистым разностям и характеризующиеся низким содержанием Al (AlVI < Fe3+). Согласно классификационным характеристикам (Leake et al., 1997, 2004), одна разновидность отвечает натриево-кальциевому ряду – феррорихтериту, другая натриевому – арфведсониту (табл. 3, № 1). В составе феррорихтерита присутствует до 6.12 масс.% CaO, и по сравнению с арфведсонитом в нем более низкие содержания SiO2, TiO2 и K2O. В феррорихтерите встречаются мелкие (до 10 мкм) зерна ильменита и флюорита (фиг. 4в), распределенные в виде цепочек. К выделениям амфибола тяготеют зерна циркона с размером до 1 мм. В цирконе диагностируются ксенотим и флюорит (фиг. 4г).
Фиг. 3. Результаты 40Ar/39Ar исследования методом ступенчатого прогрева амфибола из щелочных гранитов окуневского комплекса. а – образец Ок-5/11, б – образец Ок-38/11.
Таблица 1. Результаты 40Ar/39Ar датирования
T °C | t (мин) | 40Ar(STP) | 40Ar/39Ar | +1ó | 38Ar/39Ar | +1σ | 37Ar/39Ar | +1ó | 36Ar/39Ar | +1σ | Ca/K | ∑39Ar (%) | Возраст (млн лет) +1ó | +1σ |
Амфибол ОК-5/11, навеска 135,94 мг, J = 0.002477 + 0.000016*; интегральный возраст = 471.2 + 2.7 млн. лет; возраст плато (850–1130°С) = 473.1 + 5.7 млн. лет | ||||||||||||||
600 | 10 | 76.5*e-9 | 123.230 | 0.375 | 0.03790 | 0.00328 | 2.177 | 1.715 | 0.05658 | 0.00274 | 7.84 | 3.8 | 422.4 | 3.9 |
700 | 10 | 112.0*e-9 | 114.845 | 0.137 | 0.02710 | 0.00150 | 2.121 | 0.373 | 0.02205 | 0.00114 | 7.64 | 9.7 | 428.8 | 2.8 |
850 | 10 | 962.1*e-9 | 127.280 | 0.037 | 0.01783 | 0.00022 | 0.414 | 0.058 | 0.01277 | 0.00029 | 1.49 | 55.5 | 481.5 | 2.7 |
925 | 10 | 56.6*e-9 | 125.499 | 0.523 | 0.02252 | 0.00412 | 1.980 | 1.544 | 0.01756 | 0.00399 | 7.13 | 58.2 | 470.6 | 5.2 |
1020 | 10 | 305.7*e-9 | 121.041 | 0.091 | 0.01889 | 0.00061 | 1.644 | 0.042 | 0.00545 | 0.00062 | 5.92 | 73.5 | 467.5 | 2.8 |
1075 | 10 | 196.3*e-9 | 121.807 | 0.223 | 0.00886 | 0.00187 | 0.672 | 0.790 | 0.00252 | 0.00170 | 2.42 | 83.3 | 473.2 | 3.3 |
1130 | 10 | 336.6*e-9 | 121.739 | 0.059 | 0.01695 | 0.00050 | 1.706 | 0.363 | 0.00443 | 0.00038 | 6.14 | 100.0 | 471.0 | 2.7 |
Амфибол ОК-38/11, навеска 102,57 мг, J = 0.005013 + 0.000066*; интегральный возраст = 485.4 + 5.6 млн. лет; возраст плато (850–1050°С) = 486.5 + 5.8 млн. лет | ||||||||||||||
550 | 10 | 23.8*e-9 | 77.498 | 0.595 | 0.06424 | 0.00799 | 0.884 | 0.903 | 0.02049 | 0.00761 | 3.18 | 1.4 | 552.3 | 16.6 |
650 | 10 | 31.1*e-9 | 60.649 | 0.255 | 0.02278 | 0.00399 | 0.935 | 0.177 | 0.00917 | 0.00419 | 3.37 | 3.8 | 460.0 | 10.3 |
750 | 10 | 73.2*e-9 | 59.998 | 0.113 | 0.01587 | 0.00160 | 1.031 | 0.144 | 0.00116 | 0.00164 | 3.71 | 9.5 | 472.0 | 6.5 |
850 | 10 | 249.8*e-9 | 60.971 | 0.088 | 0.01430 | 0.00021 | 0.267 | 0.026 | 0.00115 | 0.00102 | 0.96 | 28.6 | 478.8 | 5.9 |
950 | 10 | 409.0*e-9 | 62.405 | 0.033 | 0.01528 | 0.00029 | 0.144 | 0.036 | 0.00259 | 0.00032 | 0.52 | 59.2 | 485.8 | 5.6 |
1000 | 10 | 243.5*e-9 | 63.029 | 0.058 | 0.01347 | 0.00061 | 0.402 | 0.024 | 0.00228 | 0.00080 | 1.45 | 77.2 | 490.7 | 5.9 |
1050 | 10 | 291.4*e-9 | 62.698 | 0.040 | 0.01498 | 0.00045 | 0.221 | 0.043 | 0.00123 | 0.00025 | 0.80 | 98.9 | 490.6 | 5.7 |
1130 | 10 | 16.2*e-9 | 70.653 | 0.630 | -0.02169 | -0.01225 | 1.911 | 1.040 | 0.05757 | 0.00888 | 6.88 | 100.0 | 429.7 | 19.6 |
* J – параметр, характеризующий величину нейтронного потока.
Таблица 2. Химический состав акцесcорных и редкоземельных минералов (маc.%)
Компо-ненты | Флюорит | Циркон | Торит | Апатит | Сфентитанит | ||||||
1 | 2 | 2 | 2 | 3 | 1 | 4 | 3 | 4 | 4 | 4 | |
SiO2 |
|
|
|
| 34.79 | 33.88 | 17.65 | 1.8 | 32.25 | ||
TiO2 |
|
|
|
|
|
|
| 35.42 | |||
FeO |
|
|
|
|
|
|
| 3.1 | |||
CaO | 66.78 | 60.46 | 62.78 | 55.16 | 53.19 |
| 0.62 | 51.9 | 52.59 | 29.19 | |
Na2O |
|
|
|
|
|
|
|
| |||
P2O5 |
|
|
|
|
|
| 38 | 39.38 |
| ||
Nb2O5 |
|
|
|
|
|
|
| 2.99 | |||
HfO2 |
|
|
|
|
| 0.31 |
|
|
| ||
ZrO2 |
|
|
|
| 64.25 | 64.3 |
|
|
| ||
ThO2 |
|
|
|
|
| 83.66 |
|
| |||
La2O3 |
|
|
|
|
|
|
| 1.62 |
| ||
Y2O3 | 3.09 | 1.2 | 4.88 | 3.84 |
|
|
|
|
| ||
Ce2O3 |
|
|
|
|
|
| 2.85 | 1.93 |
| ||
Pr2O3 |
|
|
|
|
|
|
|
| |||
Nd2O3 |
|
|
|
|
|
|
| 0.85 |
| ||
Sm2O3 |
|
|
|
|
|
|
|
| |||
Gd2O3 |
|
|
|
|
|
|
|
| |||
Dy2O3 |
|
|
|
|
|
|
|
| |||
Er2O3 |
|
|
|
|
|
|
|
| |||
Ho2O3 |
|
|
|
|
|
|
|
| |||
Yb2O3 |
|
|
|
|
|
|
|
| |||
Tb2O3 |
|
|
|
|
|
|
|
| |||
F | 29.73 | 36.14 | 31.43 | 39.04 | 47.03 |
|
| 4.45 | 4.78 |
| |
Сумма | 99.6 | 97.8 | 99.09 | 98.04 | 100.22 | 99.04 | 98.49 | 101.93 | 99 | 101.15 | 102.95 |
Компо-ненты | Ниобие-вый рутил | Ксенотим | Монацит | Бастнезит | Гадолинит-Y | Бритолит | |||||
3 | 1 | 2 | 2 | 1 | 2 | 2 | 2 | 4 | 4 | 4 | |
SiO2 |
|
|
| 12.21 | 34.54 | 37.95 | 39.33 | 21.6 | 22.2 | 21.9 | |
TiO2 | 93.46 |
|
|
|
|
|
|
|
|
| |
FeO | 1.95 |
|
| 7.02 | 3.03 | 3.44 | 7.53 |
|
|
| |
CaO | 0.82 |
|
|
| 10.29 | 7.44 | 1.32 | 14.7 | 18.1 | 14.9 | |
Na2O |
|
|
|
|
|
| 1.72 |
|
|
| |
P2O5 |
| 35.4 | 41.16 | 30.65 |
|
|
|
| 2.5 | 3.3 | 1.57 |
Nb2O5 | 3.87 |
|
|
|
|
|
|
|
|
| |
HfO2 |
|
|
|
|
|
|
|
|
|
| |
ZrO2 |
|
|
|
|
|
|
|
|
|
| |
ThO2 |
|
| 3.37 |
|
|
|
|
|
| 4.58 | |
La2O3 |
|
| 21.35 | 13.7 |
|
| 2.2 | 14.1 | 8.28 | 16.6 | |
Y2O3 |
| 28.8 | 40.3 |
|
| 39.05 | 42.42 | 30.12 | 2.06 | 14.4 | 1.45 |
Ce2O3 |
|
| 34.66 | 32.24 |
|
| 5.37 | 27.7 | 15.5 | 28.7 | |
Pr2O3 |
|
| 3.45 | 4.62 |
|
|
| 2.17 | 1.92 | 3.13 | |
Nd2O3 |
|
| 7.28 | 15.23 | 0.34 |
| 2.46 | 8.81 | 4.72 | 8.31 | |
Sm2O3 |
|
| 1.08 | 0.92 | 4.13 | 0.58 | 0.42 | 0.66 | 1.7 | 1.17 | 0.26 |
Gd2O3 |
| 3.92 | 2.67 | 0.73 |
| 1.84 | 1.45 | 0.73 |
| 1.51 |
|
Dy2O3 |
| 11.9 | 6.03 |
|
| 3.42 | 2.83 | 3.42 |
| 1.92 |
|
Er2O3 |
| 7.72 | 5.19 |
|
|
|
|
|
|
|
|
Ho2O3 |
| 3.91 | 1.07 |
|
| 2.11 | 0.61 | 0.31 |
|
|
|
Yb2O3 |
| 5.11 | 4.2 |
|
|
|
|
|
|
|
|
Tb2O3 |
| 1.7 |
|
|
|
|
|
|
|
| |
F |
|
|
| 6.98 |
|
|
| 2.65 | 3.16 | 3.28 | |
Сумма | 100.1 | 98.46 | 101.7 | 102.41 | 96.13 | 95.2 | 96.56 | 95.17 | 98 | 96.11 | 104.6 |
Примечание. Минералы анализировались на аналитическом сканирующем электронном микроскопе JSM-5610LV, ИГЕМ РАН.- содержание элементов ниже чувствительности метода, 1 – щелочные граниты, 2 – сиениты, 3 – флюорит-лейкофановые руды, 4 – пироксен-флюоритовые руды.
Фиг. 4. Фотографии щелочных гранитов а–г (Ок-5/11) и сиенитов д–и (Ок-9/11). а, б, д – со скрещенными николями; остальные – в отраженных электронах. а – щелочные граниты с гипидиоморфнозернистой структурой с идиоморфным амфиболом; б – щелочные граниты с амфиболом, альбитом, решетчатым микроклином (по зерну микроклина развиваются пертиты); в – щелочные граниты с двумя амфиболами, афведсонитом и феррорихтеритом с ильменитом и флюоритом; г – кристалл циркона с флюоритом и ксенотимом; д – пироксен, ассоциирующий с флюоритом, микроклин, развивающийся по более раннему КПШ (светлое), и альбит, замещающий КПШ; е – сростки монацита с флюоритом и ксенотимом в пироксене из сиенитов; ж – скопление иттрофлюорита, его включения в пироксене и его фрагмент; з – иттрофлюорит с бастнезитом, силикатом Y и фторкарбонатом Y; и – кристаллы циркона и силиката Y. Здесь и далее на фиг. 6, 7 сокращенные обозначения минералов: кварц (Q), калиевый полевой шпат (Kfs), альбит (Ab), амфибол (Amp), афведсонит (Arf), рихтерит (Rich), феррорихтерит (Fe-Rich), ферроэкерманит (Fe-Ec), пироксен (Cpx), флюорит (Fl), иттрофлюорит (Fl-Y), циркон (Zrn), ксенотим (Kc), монацит (Mon), лейкофан (Le), апатит (Ap), торит (Th), торбастнезит (Tb), бритолит (Br), бастнезит (Bst), фторкарбонат (F-Ca), силикат Y (Si-Y), эшинит (Ah), сфен-титанит (Tit).
Таблица 3. Химические составы амфиболов
Компоненты | 1 | 1 | 1 | 2 | 2 | 2 | 3 | 3 | 4 | 4 | 4 |
| Ок-5/11 | Ок-5/11 | Ок-5/11 | Ок-9/11 | Ок-9/11 | Ок-9/11 | Ок-24/11 | Ок-24/11 | Ок-28/11 | Ок-28/11 | Ок-28/11 |
SiO2 | 50.27 | 49.2 | 52.21 | 53.32 | 53.5 | 52.89 | 54.52 | 54.68 | 54.28 | 54.59 | 53.96 |
TiO2 | 0.72 | 0.53 | 1.34 | 1.03 | 1.14 | 0.86 | - | - | 0.37 | 0.78 | - |
Al2O3 | 1.16 | - | - | 0.01 | 0.64 | 0.87 | - | - | - | - | - |
FeOобщ | 36.36 | 35.8 | 36.31 | 28.42 | 28.81 | 29.84 | 18.05 | 17.47 | 25.96 | 24.09 | 27.92 |
MnO | - | 0.57 | 1.2 | 3.03 | 3.41 | 3.81 | 2.13 | 2.13 | 1.53 | 2.14 | 1.53 |
MgO | - | - | - | 4.21 | 3.67 | 2.76 | 11.53 | 11.97 | 7.16 | 7.77 | 6.1 |
CaO | 4.17 | 6.12 | - | 0.83 | 0.75 | 1.08 | 7.69 | 6.24 | 1.48 | - | 1.07 |
Na2O | 6.09 | 7.22 | 7.12 | 6.52 | 6.13 | 6.19 | 4.58 | 5.46 | 7.66 | 8.04 | 8.06 |
K2O | 1.24 | 0.56 | 1.82 | 2.62 | 1.95 | 1.69 | 1.51 | 2.05 | 1.56 | 2.58 | 1.36 |
Сумма* | 100.00 | 100.00 | 100.00 | 100.00 | 100.00 | 100.00 | 100.00 | 100.00 | 100.00 | 100.00 | 100.00 |
Si | 7.92 | 8 | 8.03 | 8 | 7.95 | 7.92 | 8 | 8 | 8 | 8 | 8 |
Ti | 0.08 | 0.06 | 0.16 | 0.12 | 0.13 | 0.1 | - | - | 0.04 | 0.09 | - |
AlIV | 0.08 | - | - | - | 0.05 | 0.08 | - | - | - | - | - |
AlVI | 0.13 | - | - | - | 0.06 | 0.07 | - | - | - | - | - |
Fe3+ | 0.26 | - | 1.16 | 1.11 | 1.37 | 1.35 | - | 0.12 | 0.97 | 1.06 | 1.08 |
Fe2+ | 4.52 | 5.51 | 3.51 | 2.45 | 2.21 | 2.38 | 2.22 | 2.01 | 2.23 | 1.89 | 2.37 |
Mg | - | - | - | 0.94 | 0.81 | 0.62 | 2.52 | 2.61 | 1.57 | 1.7 | 1.35 |
Mn | - | 0.08 | 0.16 | 0.39 | 0.43 | 0.48 | 0.26 | 0.26 | 0.19 | 0.27 | 0.19 |
K | 0.7 | 1.07 | - | 0.13 | 0.12 | 0.17 | 1.21 | 0.98 | 0.23 | - | 0.17 |
Mg/Mg+Fe2+ | - | - | - | 0.28 | 0.27 | 0.21 | 0.53 | 0.56 | 0.41 | 0.47 | 0.36 |
Ca_b | 0.7 | 1.07 | - | 0.13 | 0.12 | 0.17 | 1.21 | 0.98 | 0.23 | - | 0.17 |
(Ca + Na)b | 2 | 1.92 | 1.84 | 1.61 | 1.57 | 1.52 | 1.74 | 1.74 | 1.81 | 1.73 | 1.81 |
(Na + K)a | 0.81 | 1.53 | 0.63 | 0.92 | 0.68 | 0.78 | 1.06 | 1.17 | 0.9 | 1.03 | 0.93 |
Na_b | 1.3 | 0.86 | 1.84 | 1.48 | 1.45 | 1.34 | 0.53 | 0.76 | 1.57 | 1.73 | 1.64 |
Номенклатура амфиболов | Fe-Rich | Fe-Rich | Arf | Fe-Rich | Fe-Rich | Fe-Rich | Rich | Rich | Fe-Eck | Fe-Eck | Fe-Eck |
Примечание: Минералы анализировались на аналитическом сканирующем электронном микроскопе “JSM-5610LV”, ИГЕМ РАН. Минералы пересчитаны по компьютерной программе TPF-2004 ИЭМ РАН (Фонарев и др., 1982). Номенклатура амфиболов определялась по (Leake et al., 1997). - содержание элементов ниже чувствительности, 1 – щелочные граниты, 2 – сиениты, 3 – пироксен-флюоритовые, 4 – лейкофан-флюоритовые руды.
Сиениты на месторождении представлены двумя разновидностями. Одна из них – это темно-серые среднезернистые породы с массивной текстурой, состоящие из калиевого полевого шпата (70–85%), щелочного амфибола (10–15%) и небольшого количества кварца (2%). КПШ и амфибол слагают основную равномернозернистую массу породы, но также встречаются в виде отдельных крупных порфировых выделений ≥2 мм. Акцессорные минералы – циркон, флюорит и магнетит. Вторую разновидность сиенитов представляют породы более глубоких горизонтов массива, вскрытые керном (скважина № 111) на глубине 120 м. Она представлена светло-серой средне-крупнозернистой породой с массивной текстурой и гипидиоморфнозернистой структурой (фиг. 4д). Ее состав определяют идиоморфный калиевый полевой шпат грубо-пертитового строения (70–85%), амфибол (10–15%), пироксен (3–5%) и кварц (2–5%).
КПШ в сиенитах представлен микроклином размером 0.2–2 мм, диагностированным по микроклиновой решетке, который замещает более ранний полевой шпат (фиг. 4д). По КПШ развиваются пертиты альбита, часто почти полностью его замещая. Амфибол, согласно классификации B. E. Leake и др. (1997, 2004), относится к натриево-кальциевым разновидностям с преобладанием Fe (AlVI < Fe3+), соответствующим феррорихтериту (табл. 3, № 2). В них, в отличие от амфиболов из щелочных гранитов, присутствуют (в мас.%): MgO (2.76–4.21), отмечаются более высокие содержания MnO (3.03–3.81), SiO2 (52.89–53.5) и более низкие FeOобщ (28.42–28.81) и CaO (0.83–1.08). Пироксены в сиенитах отвечают эгирину (табл. 4) и представлены ксеноморфными выделениями размером 0.1–1 мм (фиг. 5). В их нормативном составе содержится 72–87% эгиринового, 10–20% геденбергитового и 5–15% диопсидового миналов. Содержание жадеитового компонента колеблется от 0 до 7%, а волластонитового от 0 до 3%. Акцессорные и вторичные минералы представлены цирконом, иттрофлюоритом, апатитом, карбонатом и магнетитом, отмечаются также ксенотим, монацит, бастнезит, фторкарбонат Y и силикат Y (фиг. 4д–и, табл. 2). Наиболее распространен циркон, размеры которого достигают 0.1 мм (фиг. 4и), монацит и ксенотим иногда отмечаются в срастаниях (фиг. 4е). В большом количестве встречается иттрофлюорит, он образует обособленные скопления, отмечается в срастаниях с пироксеном (фиг. 4ж), а также встречается совместно с ильменитом в виде мелких включений в пироксене (фиг. 4ж). Содержание Y2O3 во флюорите колеблется от 1 до 5 мас.%. В иттрофлюорите диагностированы бастнезит, фторкарбонат Y, а также силикат Y (фиг. 4з). Для фторкарбоната Y характерны следующие содержания (в мас.%): CaO (23–26), SiO2 (0–8), Y2O3 (10–31), Ce2O3 (2–8), ThO2 (5–6), F (4–5), что позволяет рассматривать его как минерал ряда паризит-рентгенит. Силикат Y встречается как в иттрофлюорите, так и отдельно, достигая размера 0.04 мм (фиг. 4и). С учетом того, что BeO в анализах не определялся, установленный состав этого силиката (см. табл. 2) позволяет предполагать его соответствие гадолиниту – (Y,Ca)2Fe3 + Be2[SiO4]2(OH,O)2. По данным Н.Н. Амшинского (Объяснительная …, 1973), пироксены на месторождении содержат повышенное количество бериллия, в виде изоморфной примеси. Это косвенно подтверждается результатами наших геохимических исследований (табл. 5, обр. Ок-9/11), в соответствии с которыми содержания ВеО в щелочных эгириновых сиенитах достигают 440 г/т.
Таблица 4. Химические составы пироксенов
Компоненты | 1 | 1 | 1 | 1 | 2 | 2 | 2 | 2 |
| Ок-9/11 | Ок-9/11 | Ок-9/11 | Ок-9/11 | 464-17 | 464-17 | Ок-24/11 | Ок-24/11 |
SiO2 | 52.43 | 51.86 | 49.73 | 52.88 | 52.14 | 53.19 | 51.08 | 52.01 |
TiO2 | 1.55 | 1.87 | - | 0.62 | - | - | - | - |
Al2O3 | - | - | 0.83 | - | - | - | - | - |
FeOобщ | 31.09 | 33.43 | 30.49 | 32.86 | 22.03 | 20.62 | 20.78 | 18.87 |
MnO | 0.86 | 0.69 | 0.7 | 0.69 | 4.27 | 2.77 | 2.49 | 2.84 |
MgO | - | - | - | - | 1.13 | 3.74 | 4.73 | 4.93 |
CaO | 1.35 | 0.7 | 6.75 | 1.94 | 15.51 | 14.04 | 17.71 | 19.02 |
Na2O | 12.71 | 11.44 | 11.49 | 11 | 4.92 | 5.64 | 3.21 | 2.33 |
Сумма* | 100.00 | 100.00 | 100.00 | 100.00 | 100.00 | 100.00 | 100.00 | 100.00 |
X(Mg) | - | - | - | - | 0.1 | 0.34 | 0.36 | 0.32 |
Ca-Fe Tsc | - | - | 10.93 | - | - | - | 1.17 | - |
Ca-Ti Tsc | 4.27 | 5.08 | - | 1.74 | - | - | - | - |
Ca Ts | - | - | 1.84 | - | - | - | - | - |
Wol | 0.51 | - | 2.28 | 3 | 31.86 | 28.26 | 36.33 | 39.17 |
En | - | - | - | - | 3.23 | 10.47 | 13.7 | 14.11 |
Fs | 5.33 | 14.79 | 1.12 | 16.06 | 28.38 | 20.18 | 24.57 | 29.35 |
Jd | 3.1 | 6.68 | - | 7.18 | 8.88 | 7.92 | - | 6.24 |
Ae | 86.78 | 73.45 | 83.82 | 72.02 | 27.65 | 33.17 | 24.22 | 11.13 |
Aug | 10.11 | 19.87 | 16.18 | 20.8 | 63.47 | 58.91 | 75.78 | 82.64 |
Di | 4.78 | 5.08 | 15.05 | 4.7 | 35.09 | 38.73 | 50.03 | 53.28 |
Hed | 10.11 | 19.87 | 16.18 | 20.8 | 60.24 | 48.44 | 60.9 | 68.53 |
Q (Wol + En + Fs) | 5.85 | 14.79 | 3.4 | 19.06 | 63.47 | 58.91 | 74.6 | 82.64 |
Номенклатура пироксенов по I.M.A. классификации | Ae | Ae | Ae | Ae | Ae-Hed | Ae-Hed | Fs | Fs |
Примечание: Минералы анализировались на аналитическом сканирующем электронном микроскопе JSM-5610LV, ИГЕМ РАН. - содержание элементов ниже чувствительности, 1 – сиениты, 2 – пироксен-флюориовые руды. Пересчет произведен по компьютерной программе TPF-2004 ИЭМ РАН (Фонарев и др., 1982). Сумма* – пересчитано на 100%. I. M. A. классификация (Morimoto. 1988).
Базиты даек, развитые в пределах массива, это темно-зеленые массивные породы с микро-мелкозернистой структурой. Основная масса породы состоит из плагиоклаза и амфибола, вкрапленники замещены и были, скорее всего, представлены плагиоклазом и пироксеном. Породы сильно изменены – карбонатизированы, серицитизированы и лимонитизированы. По химическому составу породы соответствуют базальтам и пикробазальтам.
Известняки, участвующие в строении месторождения, это темно-серые, слоистые и массивные мраморизованные породы с включениями углистого вещества и хлорита. По ним развиваются содержащие флогопит гранат-волластонитовые, волластонит-скаполитовые, диопсидовые и везувиановые скарны.
Фиг. 5. Состав пироксенов из сиенита и пироксен-флюоритовых руд на диаграмме Ae–Wo + Fs–Wo + En по классификации (Минералы, 1981). 1 – сиениты; 2 – пироксен-флюоритовые руды. Ae – эгирин, Wo – волластонит, Fs – ферросилит, En – энстатит.
Фиг. 6. Фотографии лейкофан-флюоритовых руд (Ок-28/11, Ок-29/11); а – в проходящем свете; остальные в отраженных электронах. 4а, б – лейкофан-флюоритовые руды; в – кристалл циркона (Zrn) в срастании с флюоритом (Fl); г – кристаллы торита (Th) и его фрагмент; д – зерно торита (Th), замещенного торбастнезитом (Tb); е – кристалл торита (Th), замещенного торбастнезитом (Tb) и ксенотимом (Kc).
Лейкофан-флюоритовые руды являются основной разновидностью на месторождении. Они слагают жилы и линзы, группирующиеся в экзоконтакте гранитоидов в форме сближенных тел. Наряду с ними отмечается также рассеянная флюоритовая минерализация. Лейкофан-флюоритовые руды имеют массивную, полосчатую текстуру, структура руд субграфическая, ячеистая, петельчатая обусловленная прорастаниями флюорита с более светлыми минералами (лейкофан, микроклин и др.) (фиг. 6а). Зернистость меняется от мелкозернистой до средне- или крупнозернистой, с четкими границами между ними. Окраска руд контрастная – темно-фиолетовая (флюорит) со светлыми, белыми пятнами (силикаты). Средний состав руд следующий – флюорит (40–70%), лейкофан (15–30%), КПШ – микроклин (5–10%), амфибол (5–10%), отвечающий по (Leake et al., 1997, 2004) ферроэкерманиту (табл. 3, № 4), а также альбит, кварц, карбонат (~10%). Второстепенные и акцессорные – мусковит, карбонат, апатит, сфен (титанит), циркон, скаполит, бастнезит, малакон, бритолит, ортит, магнетит, касситерит, сульфиды, флюорит, торит (фиг. 6в–е), ниобиевый рутил. Флюорит и лейкофан, наиболее распространенные минералы руд, образуют взаимные прорастания (фиг. 6а, б). Флюорит образует помимо отдельных зерен – 0.1–2 до 2 мм, мономинеральные скопления, веретенообразные сростки и прожилки, а также встречается в виде отдельных мелких зерен в других минералах. Остальные породообразующие минералы встречаются неравномерно и часто слагают скопления и прожилки. Помимо основного бериллиевого минерала – лейкофана, встречающегося неравномерно и образующего неправильной формы зерна и срастания – 0.02–2 мм до 5 мм, в рудах отмечаются – фенакит, гельвин и миларит, слагающие обособленные прожилки. Циркон в рудах встречается достаточно крупный – до 0.2 мм, в нем часто отмечаются кристаллы флюорита (фиг. 6в) и торита. Циркон местами ассоциирует с ферроэкерманитом и торитом. Ториты образуют достаточно крупные выделения до 0.1 мм (фиг. 6г) и, как правило, замещаются торбастнезитом и ксенотимом (фиг. 6д, е).
Фиг. 7. Фотографии пироксен-флюоритовых руд (обр. 464-19). а – в проходящем свете; б – со скрещенными николями; остальные в отраженных электронах. а, б – пироксен-флюоритовые руды; в – срастание кристаллов циркона (Zrn), бритолита (Br) и эшинита (Ah); г – зерно циркона с апатитом и бритолитом; д, е – распад апатита (Ap) с образованием бастнезита (Bst), который также выполняет мелкие трещины в пироксене (Cpx).
Фиг. 8. Диаграмма SiO2 – (Na2O + K2O) для магматических пород Окуневского месторождения (Петрологический кодекс…, 2009). 1 – дайки базитов; 2 – сиениты; 3 – щелочные граниты.
Таблица 5. Химический состав (мас.%) и содержания элементов-примесей (г/т) в магматических и вмещающих породах и рудах Окуневского месторождения.
Компоненты | Щелочные граниты | ||||||||
ОК-2/11 | ОК-3/11 | ОК-5/11 | ОК-7/11 | ОК-8/11 | ОК-19/11 | ОК-26а/11 | ОК-33/11 | ОК-34/11 | |
SiO2 | 76.46 | 76.59 | 76.32 | 74.34 | 75.62 | 72.36 | 73.12 | 73.57 | 75.6 |
TiO2 | 0.08 | 0.1 | 0.09 | 0.14 | 0.13 | 0.24 | 0.2 | 0.2 | 0.09 |
Al2O3 | 12.01 | 11.78 | 11.86 | 12.73 | 12.42 | 12.85 | 12.62 | 12.5 | 11.67 |
FeOобщ | 2.13 | 2.27 | 2.31 | 2.58 | 2.05 | 3.69 | 3.22 | 3.39 | 3.1 |
MnO | 0.11 | 0.05 | 0.04 | 0.13 | 0.08 | 0.11 | 0.1 | 0.16 | 0.08 |
MgO | 0.05 | 0.05 | 0.05 | 0.05 | 0.05 | 0.06 | 0.05 | 0.05 | 0.05 |
CaO | 0.26 | 0.33 | 0.24 | 0.36 | 0.29 | 0.99 | 0.34 | 0.45 | 0.11 |
Na2O | 4.42 | 4.5 | 4.6 | 4.8 | 4.66 | 4.93 | 5.53 | 4.62 | 4.68 |
K2O | 4.15 | 3.9 | 4.14 | 4.23 | 4.2 | 3.89 | 4.36 | 4.54 | 4.25 |
P2O5 | 0.01 | 0.019 | 0.015 | 0.019 | 0.016 | 0.02 | 0.02 | 0.018 | 0.011 |
F | н/о | н/о | н/о | н/о | н/о | н/о | н/о | н/о | н/о |
П.п.п. | 0.36 | 0.37 | 0.32 | 0.59 | 0.52 | 0.825 | 0.47 | 0.42 | 0.28 |
Сумма | 100.02 | 99.95 | 99.98 | 99.97 | 100.03 | 99.95 | 100.03 | 99.92 | 99.91 |
Kа | 0.98 | 0.99 | 1.02 | 0.98 | 0.98 | 0.96 | 1.09 | 1 | 1.05 |
К fe | 97.7 | 97.84 | 97.88 | 98.1 | 97.62 | 98.38 | 98.47 | 98.55 | 98.41 |
Be | 6.08 | 8.18 | 5.97 | 16.1 | 12.2 | 8.04 | 11.1 | 8.8 | 5.34 |
Cr | 25.3 | 22.4 | 19.8 | 28.5 | 29.9 | 24.7 | 21.2 | 24.5 | 14.3 |
Ni | 0.5 | 0.5 | 0.5 | 0.5 | 0.5 | 0.89 | 0.5 | 0.52 | 0.5 |
Co | 7.36 | 7.86 | 8.22 | 8.08 | 8.3 | 8.73 | 7.89 | 7.87 | 8.03 |
V | 7.24 | 7.35 | 7.55 | 7.51 | 7.4 | 7.8 | 7.88 | 7.52 | 7.12 |
Cu | 1.96 | 2.16 | 2.17 | 4.41 | 2.44 | 5.05 | 2.54 | 3.25 | 2.01 |
Zn | 131 | 115 | 135 | 109 | 131 | 47.7 | 74.3 | 106 | 271 |
Ga | 25.9 | 23.9 | 24.8 | 26.5 | 25.1 | 26.5 | 25.3 | 26.3 | 32.7 |
Rb | 245 | 232 | 219 | 195 | 216 | 149 | 193 | 197 | 750 |
Sr | 13 | 3 | 3.1 | 14.2 | 10.2 | 32.9 | 8 | 13.8 | 2.6 |
Y | 46.8 | 53 | 70.6 | 166 | 73.1 | 76.1 | 71.4 | 90 | 51.6 |
Zr | 159 | 178 | 873 | 903 | 407 | 826 | 905 | 897 | 507 |
Nb | 20.7 | 43.5 | 34.7 | 70.1 | 42.9 | 37.1 | 36.2 | 38.7 | 44.2 |
Cs | 1.3 | 2.3 | 2.6 | 2.8 | 2.8 | 4 | 3.4 | 7 | 5.7 |
Ba | 44.7 | 20.6 | 16.7 | 67.2 | 62.3 | 92 | 50.2 | 46.5 | 15.7 |
La | 39.9 | 36.7 | 50.9 | 90.8 | 72 | 118 | 53.4 | 111 | 25 |
Ce | 88 | 81 | 107 | 190 | 143 | 232 | 110 | 220 | 78 |
Pr | 10 | 9.2 | 11 | 21 | 16 | 25 | 13 | 24 | 8 |
Nd | 35.4 | 32 | 36.8 | 73.8 | 52 | 90 | 46.1 | 84 | 32 |
Sm | 8.1 | 6.3 | 7.2 | 18.3 | 11 | 15.8 | 9.3 | 14.7 | 9.24 |
Eu | 0.2 | 0.2 | 0.2 | 0.7 | 0.4 | 0.8 | 0.5 | 0.8 | 0.3 |
Gd | 6.9 | 5.7 | 7.7 | 19.1 | 10.7 | 14 | 9 | 14 | 9 |
Tb | 1 | 1 | 1.32 | 3.6 | 1.7 | 2.2 | 1.5 | 2.3 | 1 |
Dy | 6.5 | 7.7 | 10.2 | 25.8 | 11.1 | 12.7 | 9.7 | 14 | 9 |
Ho | 1.4 | 2 | 2 | 5.85 | 2.3 | 2.7 | 2 | 3 | 1.7 |
Er | 4.81 | 5.64 | 8.2 | 19.3 | 7.19 | 8.21 | 7.26 | 10.2 | 4.7 |
Tm | 0.8 | 1 | 1.56 | 3.17 | 1.3 | 1.3 | 1.3 | 2 | 0.7 |
Yb | 5.18 | 5.9 | 10.7 | 19.5 | 8.15 | 8.97 | 9.1 | 10.1 | 5.63 |
Lu | 0.8 | 1 | 1.68 | 2.66 | 1.3 | 1.5 | 1.6 | 1.6 | 0.9 |
Hf | 4.04 | 4.44 | 22.4 | 24 | 9.8 | 16.2 | 19.2 | 16.6 | 13.7 |
Ta | 1.3 | 3.19 | 1.72 | 6.26 | 2.6 | 2.1 | 2.3 | 1.9 | 3.5 |
Pb | 25.7 | 29.2 | 18.4 | 153 | 52.3 | 19.7 | 19.3 | 56.6 | 44.6 |
Th | 11.1 | 18.2 | 24.9 | 57.2 | 32.9 | 18.5 | 12.4 | 26.8 | 25.4 |
U | 2.31 | 6.93 | 10.2 | 16.8 | 7 | 7.26 | 6.21 | 6.63 | 12.6 |
Компоненты | Щелочные граниты | Сиениты | Базиты | Известняк | |||||
ОК-38/11 | Н-174 | ОК-9/11 | ОК-9а/11 | ОК-20/11 | ОК-32/11 | ОК-35/11 | 464-34 | ОК-10/11 | |
SiO2 | 75.41 | 75.38 | 62.75 | 63.7 | 64.42 | 62.75 | 47.78 | 41.6 | 1.68 |
TiO2 | 0.09 | 0.08 | 0.39 | 0.4 | 0.25 | 0.93 | 0.78 | 1.93 | 0.04 |
Al2O3 | 12.44 | 11.64 | 13.42 | 13.52 | 17.72 | 15.26 | 18.25 | 16.25 | 0.4 |
FeOобщ | 2.57 | 3.06 | 6.09 | 6 | 3.9 | 6.46 | 10.22 | 13.22 | 0.22 |
MnO | 0.07 | 0.09 | 0.41 | 0.4 | 0.25 | 0.29 | 0.174 | 0.24 | 0.03 |
MgO | 0.05 | 0.05 | 0.26 | 0.26 | 0.145 | 0.85 | 5.64 | 7.35 | 0.69 |
CaO | 0.17 | 0.17 | 3.44 | 3.34 | 0.19 | 1.239 | 9.48 | 14.93 | 54.81 |
Na2O | 5.43 | 4.64 | 6.48 | 6.58 | 9.39 | 6.56 | 2.01 | 1.58 | 0.04 |
K2O | 3.32 | 4.47 | 4.3 | 4.2 | 1.3 | 4.64 | 0.68 | 1.39 | 0.01 |
P2O5 | 0.011 | 0.011 | 0.032 | 0.03 | 0.012 | 0.291 | 0.172 | 0.282 | 0.11 |
F | н/о | н/о | н/о | н/о | н/о | н/о | н/о | н/о | 0.041 |
П.п.п. | 0.29 | 0.25 | 1.82 | 1.8 | 2.34 | 0.61 | 4.83 | 1.21 | 42.57 |
Сумма | 99.84 | 99.83 | 99.39 | 100.23 | 99.92 | 99.88 | 100.01 | 99.98 | 100.64 |
Kа | 1.01 | 1.07 | 1.14 | 1.14 | 0.95 | 1.04 | 0.22 | 0.25 | 0.19 |
К fe | 98.09 | 98.39 | 95.906 | 95.85 | 96.42 | 88.41 | 64.46 | 64.27 | 24.18 |
Be | 10.8 | 8.67 | 242 | 441 | 9.82 | 6.85 | 1 | 1.19 | 1 |
Cr | 24.4 | 11.6 | 17.9 | н/о | 14.2 | 14.9 | 38.3 | 154 | 11.7 |
Ni | 0.5 | 0.5 | 0.69 | 1.13 | 0.5 | 2.66 | 31.2 | 24.9 | 0.61 |
Co | 7.8 | 8.05 | 8.31 | н/о | 7.61 | 7.77 | 22.1 | 31 | 13.7 |
V | 6.74 | 6.98 | 10.6 | 5.51 | 8.58 | 26 | 215 | 266 | 8.44 |
Cu | 10.5 | 3.81 | 7.23 | н/о | 3.41 | 4.03 | 48.4 | 20.4 | 4.66 |
Zn | 222 | 373 | 197 | 191 | 38.8 | 120 | 73.5 | 150 | 7.08 |
Ga | 31.4 | 31.9 | 27.6 | 29.3 | 31.9 | 22.6 | 16.1 | 18.4 | 0.38 |
Rb | 407 | 819 | 197 | 194 | 65 | 205 | 15.7 | 102 | 2 |
Sr | 6.2 | 5.3 | 64.6 | 57.3 | 18.4 | 60 | 623 | 483 | 475 |
Y | 68.3 | 74.9 | 3010 | 2520 | 109 | 54 | 21.1 | 24.2 | 2.9 |
Zr | 1080 | 1360 | 965 | 802 | 978 | 302 | 61.2 | 109 | 4.1 |
Nb | 58.7 | 125 | 82 | 105 | 66.7 | 34 | 3.33 | 14.3 | 0.76 |
Cs | 3.5 | 5.8 | 1.8 | н/о | 0.8 | 2.0 | 0.43 | 3.54 | 0.1 |
Ba | 35.3 | 22.9 | 90.2 | 106 | 42.4 | 827 | 383 | 380 | 9.7 |
La | 38.7 | 48 | 341 | 450 | 157 | 50 | 12.4 | 14.7 | 0.62 |
Ce | 93 | 114 | 888 | 1150 | 306 | 112 | 24.7 | 33.9 | 0.78 |
Pr | 11 | 13 | 113 | 154 | 33 | 14 | 3.56 | 4.6 | 0.12 |
Nd | 36 | 43 | 442 | 614 | 118 | 57 | 15.5 | 19.8 | 0.52 |
Sm | 7.3 | 8.5 | 154 | 186 | 21.6 | 11.2 | 3.18 | 4.64 | 0.09 |
Eu | 0.3 | 0.3 | 7.9 | 9.3 | 1.1 | 2.3 | 1.12 | 1.65 | 0.016 |
Gd | 7 | 9 | 171 | 222 | 19 | 11 | 3.45 | 4.88 | 0.11 |
Tb | 1.3 | 1.6 | 44.1 | 57.9 | 2.9 | 1.6 | 0.61 | 0.75 | 0.02 |
Dy | 10.1 | 10.8 | 350 | 434 | 17.7 | 9.2 | 3.43 | 4.43 | 0.14 |
Ho | 2.5 | 2.4 | 83 | 103 | 3.8 | 2 | 0.78 | 0.92 | 0.045 |
Er | 8.94 | 7.61 | 285 | 364 | 11.8 | 5.55 | 2.18 | 2.55 | 0.16 |
Tm | 1.6 | 1.2 | 46.9 | 55.8 | 2.1 | 0.85 | 0.31 | 0.36 | 0.039 |
Yb | 11.5 | 7.74 | 271 | 334 | 13.9 | 5.34 | 2 | 2.12 | 0.16 |
Lu | 1.7 | 1.1 | 35.3 | 38.9 | 2.1 | 0.85 | 0.28 | 0.33 | 0.037 |
Hf | 30.3 | 39.5 | 22 | 24.4 | 21.5 | 6.66 | 1.77 | 2.82 | 0.067 |
Ta | 5.2 | 10.2 | 3 | 4.9 | 2.6 | 1.57 | 0.21 | 0.94 | 0.1 |
Pb | 38.7 | 133 | 66.4 | 137 | 3.8 | 14.2 | 9.36 | 23.1 | 1.12 |
Th | 38 | 56.3 | 613 | 411 | 26.7 | 4.13 | 2.03 | 1.12 | 0.28 |
U | 21.7 | 38.5 | 17.4 | 15 | 7.55 | 1.61 | 0.69 | 0.66 | 1.43 |
Компоненты | Скарн | Лейкофан-флюоритовые руды | Пироксен-флюоритовые руды | ||||||||
ОК-21/11 | ОК-27/11 | ОК-28/11 | ОК-29/11 | 62-19 | 62-16г | 62-13ф | 464-1Б | 464-17Б | 464-19 | ОК-24/11 | |
SiO2 | 48.64 | 14.04 | 16.74 | 19.43 | 15.07 | 14.99 | 15.07 | 13.46 | 12.09 | 19.71 | 15.24 |
TiO2 | 0.8 | 0.14 | 0.08 | 0.31 | 0.02 | 0.18 | 0.02 | 0.12 | 0.96 | 0.13 | 0.12 |
Al2O3 | 13.21 | 3.31 | 3.65 | 1.67 | 3.51 | 0.73 | 0.76 | 0.49 | 0.7 | 0.4 | 0.4 |
FeOобщ | 5.96 | 0.26 | 1.44 | 0.7 | 2.17 | 0.79 | 1.27 | 0.89 | 1.80 | 3.55 | 5.57 |
MnO | 0.11 | 0.03 | 0.11 | 0.23 | 0.03 | 0.12 | 0.16 | 0.06 | 0.16 | 0.7 | 0.66 |
MgO | 2.19 | 0.92 | 0.57 | 1.15 | 0.58 | 0.56 | 0.56 | 0.82 | 0.17 | 2.59 | 2.13 |
CaO | 22.1 | 56.24 | 53.57 | 51.23 | 56.18 | 57.9 | 56.73 | 60.2 | 55.53 | 50.41 | 54.33 |
Na2O | 1.88 | 0.24 | 0.66 | 3.07 | 0.31 | 2.79 | 2.74 | 2.11 | 0.27 | 1.51 | 1.23 |
K2O | 2.48 | 2.68 | 2.85 | 0.96 | 2.95 | 0.74 | 0.76 | 0.61 | 0.43 | 0.23 | 0.24 |
P2O5 | 0.18 | 0.21 | 0.06 | 1.06 | 0.26 | 1.12 | 1.69 | 0.48 | 1.11 | 1.24 | 0.14 |
F | 0.06 | 21.77 | 20.03 | 17.43 | 20.3 | 18.5 | 19.06 | 20.57 | 23.05 | 15.73 | 19.45 |
П.п.п. | 1.98 | 2.87 | 3.38 | 1.62 | 1.52 | 1.65 | 2.4 | 1.35 | 5.43 | 4.35 | 4.1 |
Сумма | 99.59 | 102.71 | 103.14 | 98.86 | 102.9 | 100.07 | 101.22 | 101.16 | 101.7 | 100.55 | 103.61 |
Kа | 0.44 | 1 | 1.14 | 3.6 | 1.06 | 7.4 | 7 | 8.4 | 1.3 | 6.8 | 5.71 |
Кfe | 73.13 | 22.03 | 71.64 | 37.8 | 78.91 | 58.5 | 69.4 | 52 | 91 | 58 | 72.34 |
Be | 1 | 77 | 109 | 7340 | 18 | 4630 | 4490 | 2990 | 777 | 5930 | 205 |
Cr | 22.8 | 13 | 20.4 | 14.7 | н/о | н/о | н/о | н/о | н/о | 14.3 | 13.3 |
Ni | 6.29 | 1.19 | 1.03 | 1.02 | 1.1 | 1.4 | 1.5 | 1.1 | 1.2 | 1.72 | 1.23 |
Co | 13.7 | 14.1 | 17.7 | 14 | н/о | н/о | н/о | н/о | н/о | 15.5 | 14.1 |
V | 207 | 7.94 | 10.6 | 9.31 | 10.0 | 15.4 | 16.7 | 10.5 | 10.9 | 10.1 | 8.64 |
Cu | 7.3 | 3.98 | 4.08 | 4.93 | н/о | н/о | н/о | н/о | н/о | 10.4 | 9.74 |
Zn | 67.2 | 61.1 | 186 | 95.3 | 45.3 | 101.5 | 104.5 | 100.5 | 48.7 | 355 | 588 |
Ga | 18.1 | 3.2 | 5 | 1.28 | 4.55 | 1.33 | 1.52 | 0.96 | 59.66 | 17.7 | 7.9 |
Rb | 70.1 | 215 | 193 | 72.8 | 241.5 | 51.7 | 49.0 | 47.7 | 24.7 | 16.8 | 7.7 |
Sr | 221 | 495 | 726 | 687 | 769 | 1158 | 806 | 987 | 839 | 562 | 396 |
Y | 19.3 | 286 | 491 | 117 | 534 | 69.4 | 147.7 | 53.2 | 13644 | 4820 | 2490 |
Zr | 113 | 392 | 830 | 89.1 | 1545 | 61 | 118.5 | 56.1 | 8180 | 101 | 109 |
Nb | 3.3 | 88.8 | 8.5 | 134 | 14 | 88.2 | 13.2 | 52.4 | 1078 | 42.9 | 50.3 |
Cs | 0.5 | 2.5 | 1.9 | 0.9 | н/о | н/о | н/о | н/о | н/о | 0.4 | 0.2 |
Ba | 322 | 125 | 101 | 76 | 141 | 88.8 | 63.6 | 47.2 | 61.7 | 17.3 | 19.6 |
La | 8.6 | 21.3 | 17.1 | 10.9 | 16.8 | 13.37 | 16.88 | 5.4 | 9471 | 3450 | 1270 |
Ce | 18 | 56 | 51 | 18 | 50 | 22 | 26 | 11 | 18072 | 7570 | 2880 |
Pr | 2 | 5.9 | 8.1 | 1.8 | 7.9 | 2.3 | 3 | 1.3 | 2338 | 754 | 298 |
Nd | 11.2 | 18.6 | 39.3 | 6.2 | 33.4 | 7.9 | 8.4 | 4 | 7283 | 2660 | 1080 |
Sm | 2.73 | 5.56 | 15.4 | 1.6 | 14.87 | 1.8 | 1.6 | 1 | 1553 | 619 | 308 |
Eu | 1 | 0.3 | 1 | 0.3 | 1 | 0.24 | 0.16 | 0.08 | 69 | 29 | 15 |
Gd | 3 | 6.3 | 16.8 | 2.4 | 15.6 | 1.7 | 1.7 | 1.2 | 1579 | 621 | 301 |
Tb | 0.5 | 2.2 | 4.6 | 0.6 | 4.7 | 0.43 | 0.69 | 0.39 | 284 | 108 | 59 |
Dy | 3.2 | 21.7 | 36.9 | 6.1 | 45.5 | 4.4 | 7.7 | 3.6 | 1968 | 641 | 380 |
Ho | 0.7 | 6 | 11 | 2.1 | 13.3 | 1.3 | 2.9 | 1.1 | 450 | 125 | 78 |
Er | 1.95 | 26.2 | 49.7 | 12 | 63.57 | 7.24 | 19.79 | 4.46 | 1514 | 357 | 236 |
Tm | 0.3 | 5.4 | 12.4 | 4.3 | 17 | 2.25 | 8.11 | 1.06 | 245 | 49 | 35 |
Yb | 2.16 | 34.4 | 98 | 46.4 | 148.2 | 21.58 | 94.5 | 8.73 | 1762 | 266 | 190 |
Lu | 0.3 | 4.7 | 15 | 7.67 | 18.5 | 2.77 | 12.85 | 1.27 | 218 | 33 | 25 |
Hf | 2.84 | 7.86 | 17.1 | 0.68 | 26 | 0.87 | 1.46 | 0.78 | 217.1 | 7.8 | 5.2 |
Ta | 0.2 | 0.68 | 0.51 | 0.51 | 1.74 | 2.18 | 1.97 | 2.14 | 8.6 | 1.1 | 1.2 |
Pb | 3.8 | 42.8 | 400 | 86.7 | 312.1 | 32.97 | 42.31 | 54.85 | 5361 | 2480 | 1050 |
Th | 1.56 | 410 | 230 | 47.5 | 1466 | 47.55 | 214.3 | 85.98 | 2735 | 262 | 494 |
U | 2.14 | 4.84 | 9.11 | 5.27 | 22.53 | 3.58 | 3.61 | 1.89 | 233 | 33 | 17 |
Примечание. П.п.п. – потери при прокаливании, н/о – не определялось, Ка – коэффициент агпаитности, FeOобщ – железо общее, Кfe – коэффициент железистости.
Пироксен-флюоритовые руды на месторождении встречаются реже, они образуют маломощные прожилки и жилы среди доминирующих лейкофан-флюоритовых руд. Это массивные, средне-крупнозернистые фиолетово-зеленоватые породы, состоящие из (в об.%): флюорита (40–45), пироксена (35–40), калинатрового полевого шпата (5–10), лейкофана (5–15), амфибола (2–3) (фиг. 7а, б). Флюорит часто образует зональные зерна, размер которых колеблется от 0.02 до 0.1 мм. Пироксен образует ксеноморфные выделения и встречается в основном в срастаниях, размер его 0.01–0.5 мм. По составу (Минералы, 1981) он относится к эгирин-геденбергиту и ферросилиту (фиг. 5, табл. 4). В нем содержится 49–69% геденбергитового, 35–53% диопсидового и 11–33% эгиринового миналов, содержание волластонитового компонента 28–39%, жадеитового – 0–9%. КПШ имеет незначительное распространение, размер его зерен не превышает 0.5 мм, микроклиновой решетки не наблюдалось. Амфибол образует небольшие зерна 0.05–0.2 мм и их скопления, встречается в основном в пироксене (фиг. 7д, е). По составу (Leake et al., 1997, 2004) он отвечает рихтериту (табл. 3, № 3) и отличается от амфибола лейкофан-флюоритовых руд (в мас.%) более высокими содержаниями CaO (6.24–7.69) и MgO (до 12), и более низкими Na2O (4.58–5.46) и Feобщ (18). Лейкофан встречается неравномерно, образуя полисинтетические двойники прорастания зернистого или радиально-лучистого облика между зернами флюорита и пироксена (фиг. 7б), размер его зерен от 0.01–0.5 до 5 мм, в нем содержатся включения мелких зерен флюорита. По данным (Генетические…, 1975; Куприянова, Шпанов, 2011), помимо лейкофана в небольшом количестве встречается гадолинит. Акцессорные и второстепенные минералы ассоциируют в основном с пироксеном и представлены цирконом, сфеном (титанитом), апатитом, бритолитом (табл. 2), бастнезитом, эшенитом-(Y) – приоритом (фиг. 7в–е), ортитом, хлоритом, эпидотом и кальцитом.
Циркон образует достаточно крупные идиоморфные кристаллы до 0.3 мм (фиг. 7в) и обычно ассоциирует с бастнезитом, бритолитом и эшенитом. Зерна бритолита и баснезита аморфные, со множеством прорастаний и замещений с цирконом. В цирконе диагностируются апатит, эшенит-(Y), бритолит – то есть те же минералы, что и на макроуровне (фиг. 7г). Бастнезит встречается и в виде достаточно крупных мономинеральных кристаллов. Встречаются полностью распавшиеся кристаллы бритолита, по которым развивается бастнезит, причем последний обнаружен также в мелких трещинах (фиг. 7д, е). Там же встречается сфен (титанит), часто развивающийся по прожилкам (фиг. 7д).
ПЕТРО-ГЕОХИМИЧЕСКИЕ ХАРАКТЕРИСТИКИ ПОРОД И РУД МЕСТОРОЖДЕНИЯ
В петрохимическом отношении граниты Окуневского месторождения относятся к субщелочному и щелочному ряду Na2O + K2O 8.4–9.93 мас.% (фиг. 8, табл. 5), K2O/Na2O 0.61–0.98, коэффициент агпаитности (Kа) 0.96–1.09 и характеризуются повышенной железистостью (f) = 97.6–98.6. Граниты геохимически достаточно однородны и характеризуются пониженными содержаниями Cs, Ba, Sr, P, Ti, Eu (Eu/Eu* = 0.09–0.18) и повышенными Rb, U, K, Pb, Zr и Hf. В спектре распределения РЗЭ отмечается преобладание легких редких земель над тяжелыми (La/Yb)n = 2.3–9 и нефракционированное распределение элементов в тяжелой и средней частях спектра (фиг. 9а).
Сиениты в целом характеризуются высокими содержаниями щелочей (Na2O + K2O = 10.95–11.28 мас.%) (фиг. 9а, табл. 5) при следующих значениях петрохимических показателей: K2O/Na2O – 0.14–0.71, (Kа) – 0.95–1.14 и (f) – 88.4–96.4. Они характеризуются различными содержаниями РЗЭ и спектрами их распределения. Темно-серые сиениты по геохимическим характеристикам близки к гранитам и имеют сопоставимые с ними содержания большинства рассеянных элементов (фиг. 9а). Они отличаются несколько более высоким фракционированием РЗЭ (La/Yb)n = 6.4–7.7 и варьирующей величиной европиевой аномалии (Eu/Eu* = 0.16 и 0.66), что выделяет их в качестве наименее дифференцированных разновидностей гранитоидов массива. Величина Ка в них составляет 0.95–1.04.
Светло-серые сиениты отличаются от темно-серых более низкими содержаниями Al2O3 (13.5 и ~16 мас.% соответственно), более высокими СаО (3.4 и ~1 мас.% соответственно), а также более высокой величиной Kа (1.14). По сравнению с другими гранитоидами массива они выделяются более высокими содержаними РЗЭ (> 0.4 мас.%), практически горизонтальным спектром их распределения при незначительном преобладании тяжелых редких земель над легкими (La/Yb)n = 0.8–0.9, а также резко выраженной Eu-аномалией (Eu/Eu* = 0.14–0.15). Как и другие гранитоиды, они характеризуются низкими содержаниями Cs, Ba, Sr, P, Ti, Zr, Hf, и повышенными концентрациями Rb, Th, U, Pb.
В координатах дискриминационных петрохимических диаграмм (Whalen et al., 1987; Pearce et al., 1984) граниты и сиениты попадают в поля составов гранитов А-типа или находятся в поле составов внутриплитных гранитов (WRG). По классификации Л. В. Тауссона (1977) они относятся к редкометальным гранитоидам щелочного ряда.
Фиг. 9. Графики распределения элементов-примесей в породах Окуневского месторождения, нормированных к примитивной мантии по (Sun, McDonough, 1989). а – щелочные граниты, сиениты; б – базиты, мраморизованный известняк и гранат-волластонитовый скарн; в – лейкофан-флюоритовые и пироксен-флюоритовые руды. 1, 2 – группа руд.
Известняки характеризуются низкими (относительно примитивной мантии) содержаниями большинства редких и редкоземельных элементов и относительно обогащены типичными для карбонатов элементами Sr, Р, U и Pb (фиг. 9б, табл. 5).
По сравнению с ними скарны на порядок обогащены практически по всему спектру несовместимых элементов, приближаясь по их содержанию к базитам даек, участвующих в строении массива (фиг. 9б, табл. 5). Скарны характеризуются не фракционированным распределением РЗЭ и обогащены Rb, U, K, Pb.
Базиты по составу отвечают щелочным пикробазальтам и базальтам (фиг. 8, табл. 5). Изученные составы характеризуются близкими спектрами распределения редких элементов. Пикробазальты имеют промежуточные характеристики между составами OIB и EMORB (фиг. 9б). В базальтах появляется Ta-Nb минимум, что, возможно, связано с их контаминацией коровым материалом. Спектр распределения РЗЭ в них практически идентичный – слабо фракционированный (La/Yb)n = 4.4–4.9, Eu-аномалия отсутствует, что указывает на недифференцированный состав исходных базальтовых расплавов.
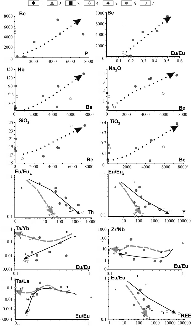
Фиг. 10. Поведение Be относительно петрогенных элементов и поведение Eu/Eu* относительно несовместимых элементов в породах Окуневского месторождения. 1 – мраморизованный известняк; 2 – скарн; 3 – дайка базита; 4 – щелочные граниты; 5 –сиениты; 6 – лейкофан-флюоритовые руды; 7 – пироксен-флюоритовые руды. Точечная стрелка – тренд в поведении бериллиевых руд; черная тонкая стрелка – тренд сиенитов и пироксен-флюоритовых руд; пунктирная серая стрелка – тренд щелочных гранитов.
Фиг. 11. Изотопный состав Nd в породах Окуневского месторождения на графике εNd – Возраст. Условные обозначения см. на фиг. 10.
Лейкофан-флюоритовые и пироксен-флюоритовые руды характеризуются переменными содержаниями петрогенных элементов (в мас.%): SiO2 (12.09–19.71), TiO2 (0.02–0.96), СaO (50.41–60.2), MgO (0.17–2.59), MnO (0.03–0.7), Al2O3 (0.04–3.65), FeOобщ (0.26–5.57), Na2O (0.24–3.07), K2O (0.23–2.95) и P2O5 (0.06–1.69) (табл. 5). Пироксен-флюоритовые руды относительно лейкофан-флюоритовых обеднены K2O, Na2O, Al2O3 и несколько обогащены TiO2, MgO, MnO, FeOобщ. Отмечаемый разброс в содержаниях петрогенных элементов отражает значительные вариации содержаний карбонатов и силикатов в составе руд.
Лейкофан-флюоритовые руды относительно примитивной мантии обеднены Cs, Ba, Ti, Eu (Eu/Eu* ~ 0.29). В то же время они обогащены Th, U, K, Y, Pb, то есть теми же элементами, которыми обогащены щелочные граниты (фиг. 9в, табл. 5). Содержание Ве неравномерно и колеблется от 70 до 7340 г/т. По геохимическим характеристикам руды разделяются на две группы. Одна из них (группа 1 на фиг. 9в) отличается от второй (группа 2 на фиг. 9в) более высокими содержаниями К, Zr и Hf и суммой редких земель (ÓРЗЭ = 215–450 г/т в первых и <200 г/т во вторых), прежде всего, за счет более высоких содержаний средних земель, и более низкими содержаниями Ta, Nb, Sr и Р. Для обеих групп характерно обогащение тяжелыми РЗЭ относительно легких (La/Yb)n= 0.4–0.08. При этом спектр распределения РЗЭ в первой группе линейный с ярко выраженной Eu-аномалией (Eu/Eu* = 0.17–0.2). Спектр РЗЭ во второй группе корытообразный с прогнутой частью спектра в области составов средних РЗЭ, менее проявленной Eu-аномалией (Eu/Eu* = 0.21–0.5) (фиг. 9в, табл. 5).
Пироксен-флюоритовые руды резко отличаются от лейкофан-флюоритовых руд существенно более высокими содержаниями РЗЭ, достигающими в сумме 46800 г/т (фиг. 9в, табл. 5). Они также характеризуются высокими содержаниями Th, U, Pb и низкими Cs, Ba, Nb, Ta, K, Sr, P, Hf, Zr, Ti. В спектре редкоземельных элементов преобладают легкие редкие земли (La/Yb)n~5.7, отмечается ярко выраженная Eu-аномалия (Eu/Eu* = 0.14). При этом распределение средних и тяжелых практически не фракционированное. Содержание Ве также неравномерно и колеблется от 200 до 5930 г/т. Высокие содержания рудных элементов в пироксен-флюоритовых рудах обусловлены присутствием в их минеральном составе таких минералов, как ортит, гадолинит и редкоземельный апатит – бритолит.
Можно отметить, что поведение рудных компонентов в рудах подчиняется согласованным вариациям. Так, содержания Be растут одновременно с увеличением содержания P, Nb, Na2O, Eu/Eu*, в меньшей степени – SiO2 и TiO2 (фиг. 10). Зависимость поведения Ве от содержания Na2O, SiO2 и СaO может быть связана с кристаллизацией лейкофана. Корреляции с P, Nb и TiO2, очевидно, были связаны с образованием бритолита, фторкарбоната и ниобиевого рутила. Содержания Th, Ce и РЗЭ растут по мере уменьшения величины Eu/Eu* (фиг. 10).
ИЗОТОПНЫЙ СОСТАВ ND В ПОРОДАХ И РУДАХ МЕСТОРОЖДЕНИЯ
Изотопный состав Nd определен во всех породах, участвующих в строении Окуневского месторождения – в щелочно-салических породах окуневского комплекса, дайке базитов, различных по составу бериллиевых рудах, скарнах и вмещающих известняках. Так, величина εNd (t), рассчитанная на возраст 485 млн лет, составила в базитах даек +4.3, в щелочных гранитах и щелочных сиенитах от +4 до +4.4, а в альбитизированных щелочных гранитах +5.5 (фиг. 11). В рудах величина εNd (t) меняется от +1.2 до +4.2, в скарнах составляет +4.8, а во вмещающих известняках овсянковской свиты –4.2. Составы базальтов даек и щелочно-салических пород окуневского комплекса на месторождении имеют близкие значения, что указывает на сходство состава изотопных источников их расплавов. Близки они и к изотопному составу вмещающей для них ювенильной коры каледонид Центральной Азии (Коваленко и др., 1996, Ярмолюк и др., 2002, Ковач и др., 2011, Руднев, 2013). Гранат-волластонитовые скарны характеризуются близкими значениями с магматическими породами. Известняки овсянковской свиты попадают в поле супракрустальных толщ региона (Козаков и др., 2003). Две из трех проб с бериллиевым оруденением попадают в область составов магматических пород месторождения, а третья занимает промежуточную позицию между последними и составами вмещающих известняков.
ОБСУЖДЕНИЕ
Полученные результаты позволяют говорить о ведущей роли магматизма в формировании рудной (бериллиевой) минерализации на Окуневском месторождении. Так, геологическим показателем связи щелочных гранитов и оруденения является приуроченность минерализации к зоне контакта гранитоидов с вмещающими карбонатами. Из этих соотношений можно заключить, что оруденение возникло под влиянием гранитных расплавов, то есть одновременно с внедрением массива в толщи карбонатов.
Участие гранитов Окуневского массива в образовании руд подтверждается рядом вещественных показателей. Так, для гранитоидов и руд характерно обогащение флюоритом, что указывает на важную роль фтора в образовании месторождения. Очевидно, что источником фтора являлись магматические расплавы, определившие более или менее равномерное распределение флюорита в гранитоидах массива. Приуроченность рудных тел к контакту гранитоидов и карбонатов, скорее всего, указывает на последние как на геохимический барьер, на котором рудно-магматический флюид терял фтор и сопровождавшую его рудную нагрузку, сформировав в результате флюорит-бериллиевые руды.
Следует отметить, что имеются определенные связи между геохимическими характеристиками магматических пород и руд, что хорошо видно на серии графиков (фиг. 12). Так, особенности распределения редких элементов в лейкофан-флюоритовых рудах первой геохимической группы, выделенной выше, в целом соответствуют их распределению в щелочных гранитах. При этом они имеют систематически более низкие содержания большинства элементов, чем в гранитах. Исключение составляют Sr, P и Y, а также тяжелые редкие земли, демонстрирующие более высокие содержания. На графике приведен также состав вмещающих Окуневский массив известняков. Можно отметить, что все указанные исключения хорошо согласуются с соответствующими аномалиями в составе последних. Это позволяет предполагать, что состав лейкофан-флюоритовых руд первой геохимической группы был сформирован при ведущей роли магматических пород, но при определенном влиянии вмещающих известняков.
Лейкофан-флюоритовые руды второй геохимической группы, очевидно, демонстрируют более высокую степень взаимодействия гранитов с карбонатами (фиг. 12). По геохимическим параметрам эти руды также занимают промежуточную позицию между составами гранитов и карбонатов, однако спектр их распределения в целом повторяет конфигурацию элементов в карбонатах. Обращает внимание появление типичных для последних максимумов содержания Sr и P, резкий спад содержания Zr и Hf и усиление Y-аномалии.
Особенно выразительно геохимическое родство руд и магматических пород прослеживается между пироксен-флюоритовыми рудами и светло-серыми сиенитами (фиг. 12). И те и другие обладают повышенными концентрациями Th, U, Pb (фиг. 12, табл. 5) и пониженными Cs, Ba, Nb, Ta, K, Sr, P, Hf, Zr, Ti и Eu. Отличия этих руд от состава гранитов и, тем более, карбонатов настолько значительны, что влияние последних на состав пироксен-флюоритовых руд следует признать минимальным.
Такое разделение в поведении редких элементов в разных типах руд позволяет предположить, что их образование контролировалось разными типами пород. Возможно, что лейкофан-флюоритовые руды возникли в результате разной степени взаимодействия щелочных гранитов с карбонатами, тогда как формирование пироксен-флюоритовых руд произошло при ведущем вкладе светлых сиенитов.
Полученные изотопные данные для пород Окуневского месторождения позволяют оценить вероятные источники расплавов щелочно-салических пород окуневского комплекса, базитов и сопутствующего бериллиевого оруденения. Выше отмечалось, что щелочные гранитоиды окуневского комплекса на месторождении характеризуются достаточно выдержанными значениями ɛNd (485) от 4 до 5.5, которые типичны как для умеренно деплетированного мантийного источника, так и для ювенильной коры каледонид региона (Коваленко и др., 1996, Ярмолюк и др., 2002, Ковач и др., 2011, Руднев, 2013). Ассоциирующие с гранитоидами базальты имеют близкие характеристики ɛNd (485) ~ 4.3, что свидетельствует о достаточно высокой вероятности участия мантийных расплавов в образовании гранитных магм. Но, учитывая преобладающий объем кислых пород в составе магматической ассоциации, вероятнее всего, полученные изотопные характеристики указывают на то, что источником щелочных гранитоидов служили продукты взаимодействия мантийных магм и континентальной коры региона.
Большой контраст между изотопным составом гранитов (ɛNd (485) ~ +4.4) и вмещающих карбонатов ɛNd (485) –4.2 позволяет с уверенностью говорить, что образование бериллиевых руд, характеризующихся значениями ɛNd (485) от 3.7 до 4.2, происходило при ведущем вкладе магматического источника. Доля вмещающих карбонатных пород в изотопном составе бериллиевых руд оценивается как весьма незначительная, что также следует из фиг. 11.
Фиг. 12. Сравнительные графики распределения элементов-примесей в основных породах Окуневского месторождения, нормированных к примитивной мантии по (Sun, McDonough, 1989).
Фиг. 13. Диаграмма 147Sm/144Nd–143Nd/144Nd для пород месторождения. Условные обозначения см. на фиг. 10.
Отметим еще одну особенность изотопных составов гранитоидов и руд, которую можно рассматривать как подтверждение одновременности формирования магматических пород и рудной минерализации. На графике 147Sm/144Nd–143Nd/144Nd (фиг. 13) их изотопные составы преимущественно рассредоточились вдоль линейного тренда, соответствующего привлеченной для сравнения изохроне 485 млн лет. Приуроченность изотопного состава скарнов к этому тренду, очевидно, свидетельствует о формировании скарнов при активном воздействии магматических пород на карбонаты, что вполне согласуется с их геохимическими характеристиками (фиг. 9). Отклонение одной из рудных проб от выделенного тренда, по-видимому, было связано с их контаминацией вмещающими карбонатами.
ЗАКЛЮЧЕНИЕ
Окуневское месторождение располагается в пределах бериллиеносной Восточно-Саянской металлогенической зоны и подобно другим ее проявлениям, специализированным в отношении Ве, сформировалось в раннем палеозое (Лыхин и др., 2017). Особенностью этой зоны стало развитие редкометального щелочно-гранитоидного магматизма, характеризовавшегося глубокой дифференцированностью и накоплением рудных компонентов, вплоть до рудных содержаний в остаточных дифференциатах магматических расплавов. Подобный механизм, очевидно, действовал и при образовании магматических пород Окуневского массива, благодаря чему его породы были обогащены многими полезными компонентами, в том числе Be, редкоземельными элементами, прежде всего, тяжелыми, а также высокозарядными элементами. Очевидно, процессам фракционирования способствовала обогащенность магматических расплавов фтором, следы которого сохранились в объеме массива в виде вкрапленности флюорита. После внедрения гранитов остаточный магматический флюид, насыщенный фтором и редкими элементами, взаимодействовал с геохимическим барьером, представленным вмещающими породами овсянковской свиты. На контакте гранитов с карбонатами произошло связывание фтора во флюорит. Следствием этого стало разрушение фтор-содержащих комплексов рудного флюида и выделение редких элементов в собственные минеральные формы. Возникшие руды унаследовали геохимические характеристики гранитоидов, что наряду с геологическими данными указывает на когенетичность магматических и рудных процессов в пределах Окуневского месторождения.
ФИНАНСИРОВАНИЕ
Работа выполнена в рамках базовой темы Лаборатории редкометального магматизма ИГЕМ РАН и Программы ПРАН I.48.
About the authors
D. A. Lykhin
Institute of Geology of Ore Deposits, Petrography, Mineralogy and Geochemistry RAS
Author for correspondence.
Email: liha@igem.ru
Russian Federation, Moscow
V. V. Yarmolyuk
Institute of Geology of Ore Deposits, Petrography, Mineralogy and Geochemistry RAS
Email: liha@igem.ru
Moscow
A. A. Vorontsov
Vinogradov Institute of Geochemistry, Siberian Branch of the Russian Academy of Sciences
Email: liha@igem.ru
Russian Federation, Irkutsk
References
- Владимиров А.Г., Гибшер А.С., Изох А.Э., Руднев С.Н. Раннепалеозойские гранитоидные батолиты Центральной Азии: масштабы, источники и геодинамические условия формирования // ДАН. 1999. Т. 369. № 6. С. 795-798.
- Генетические типы гидротермальных месторождений бериллия / Гинзбург А.И., Заболотная Н.П., Куприянова И.И. и др. М.: Недра, 1975. 247с.
- Геологическая карта СССР 1:200 000. Серия Минусинская. Лист N-46-XXIII / Ред. В.В. Савельев. М.: Госгеолтехиздат, 1965.
- Государственная геологическая карта Российской Федерации масштаба 1:200000. Издание второе. Восточно-Саянская серия. Лист N-47-ХIХ (Ак-Суг). Объяснительная записка / Ред. Ю.С. Глухов. Москва, 2013. 214 с.
- Добрецов Н.Л. Раннепалеозойская тектоника и геодинамика Центральной Азии: роль раннепалеозойских мантийных плюмов // Геология и геофизика. 2011. Т. 52. № 12. С. 1957-1973.
- Козаков И.К., Ковач В.П., Ярмолюк В.В., Котов А.Б., Сальникова Е.Б., Загорная Н.Ю. Корообразующие процессы в геологическом развитии Тувино-Монгольского массива: Sm-Nd изотопные и геохимические данные по гранитоидам // Петрология. 2003. Т. 11. № 5. С. 491-511.
- Куприянова И.И., Шпанов Е.П. Бериллиевые месторождения России. М.: ВИМС, 2011. 353 с.
- Коваленко В.И., Пухтель И.С., Ярмолюк В.В. и др. Sm-Nd изотопная систематика офиолитов Озерной зоны (Монголия) // Стратиграфия. Геологическая корреляция. 1996. Т. 4. № 2. С. 3-9.
- Коваленко В.И., Ярмолюк В.В., Андреева И.А. и др. Редкометальный магматизм: ассоциации пород, состав и источники магм, геодинамические обстановки формирования. Москва: Центр инновационных проектов ИГЕМ РАН, 2006. 280 с.
- Ковач В.П., Ярмолюк В.В., Коваленко В.И., Козловский А.М., Котов А.Б., Терентьева Л.Б. Состав, источники и механизмы формирования континентальной коры Озерной зоны каледонид Центральной Азии. II. Геохимические и Nd-изотопные данные // Петрология. 2011. Т. 19. № 4. С. 417-444.
- Кузьмин М.И., Ярмолюк В.В. Мантийные плюмы северо-восточной Азии и их роль в формировании эндогенных месторождений // Геология и геофизика. 2014. Т. 55. № 2. С. 153-184.
- Лыхин Д.А, Ярмолюк В.В., Воронцов А.А., Травин А.В. Возраст и геологическое положение Окуневского редкометального рудно-магматического комплекса (Западный Саян) // ДАН. 2017. Т. 477. № 4. С. 436-440.
- Метелкин Д.В. Кинематическая реконструкция раннекаледонской аккреции на юго-западе Сибирского палеоконтинента по результатам анализа палеомагнитных данных // Геология и геофизика. 2013. Т. 54. № 4. С. 500-522.
- Минералы. Справочник. М.: Наука, 1981. Т. 3. Вып. 2. 687 с.
- Объяснительная записка к геологической карте СССР 1:200 000. Сер. Минусинская. Лист N-46-XXIII. М.: Госгеолтехиздат, 1973. 79 с.
- Руднев С.Н. Раннепалеозойский гранитоидный магматизм Алтае-Саянской складчатой области и Озерной зоны Западной Монголии. Новосибирск: Изд-во СО РАН, 2013. 300 с.
- Петрологический кодекс России. Магматические, метаморфические, метасоматические, импактные образования. С.-Петербург: ВСЕГЕИ, 2009. 195 с.
- Травин А.В., Юдин Д.С., Владимиров А.Г., Хромых С.В., Волкова Н.И., Мехоношин А.С., Колотилина Т.Б., Термохронология Чернорудской гранулитовой зоны (Ольхонский регион, Западное Прибайкалье) // Геохимия. 2009. Т. 11. С. 1181-1199.
- Фонарев В.И., Графчиков А. А. Двупироксеновый геотермометр // Минералогический журнал. 1982. Т. 4. № 5. С. 3-12.
- Ярмолюк В.В., Коваленко В.И., Ковач В.П., Козаков И.К., Котов А.Б., Сальникова Е.Б. Изотопный состав, источники корового магматизма и строение коры каледонид Озерной зоны Центрально-Азиатского складчатого пояса // ДАН. 2002. Т. 387. № 3. С. 387-392.
- Ярмолюк В.В., Коваленко В.И., Сальникова Е.Б., Никифоров А.В., Котов А.Б., Владыкин Н.В. Позднерифейский рифтогенез и распад Лавразии: данные геохронологических исследований щелочно-ультраосновных комплексов южного обрамления Сибирской платформы // ДАН. 2005. Т. 404. № 3. С. 400-406.
- Ярмолюк В.В., Никифоров А.В., Сальникова Е.Б., Травин А.В., Козловский А.М., Котов А.Б., Шурига Т.Н., Лыхин Д.А., Лебедев В.И., Анисимова И.В., Плоткина Ю.В., Яковлева С.З. Редкометальные гранитоиды месторождения Улуг-Танзек (Восточная Тыва): возраст и тектоническое положение // ДАН. 2010. Т. 430. № 2. С. 248-253.
- Ярмолюк В.В., Лыхин Д.А., Шурига Т.Н., Воронцов А.А., Сугоракова А.М. Возраст, состав пород, руд и геологическое положение бериллиевого месторождения Снежное: к обоснованию позднепалеозойской Восточно-Саянской редкометальной зоны (Россия) // Геология руд. месторождений. 2011. Т. 53. № 5. С. 438-449.
- Ярмолюк В. В., Лыхин Д. А., Козловский А. М., Никифоров А.В., Травин А.В. Состав, источники и механизмы формирования редкометальных гранитоидов позднепалеозойской Восточно-Саянской зоны щелочного магматизма (на примере массива Улан-Тологой) // Петрология. 2016. Т. 24. № 5 С. 515-536.
- Izokh A.E., Polyakov G.V., Shelepaev R.A. et al. Early Paleozoic Lagre Igneous Province of the Central Asia Mobile Belt // Published on Large Igneous Provinces Commission. May 2008 LIP of the Month. http://www.largeigneousprovinces.org
- Leake B.E., Woolley A.R., Arps C.E.S. et al. Nomenclature of amphiboles: report of the subcommittee on amphiboles of the International Mineralogical Association, Сommission on New Minerals and Mineral Names // Canad. Miner. 1997. Vol. 35. P. 219-246.
- Leake B.E., Woolley A.R., Birch W.D. et al. Nomenclature of amphiboles: additions and revisions to the International Mineralogical Association’s amphibole nomenclature // Amer. Miner. 2004. Vol. 89. P. 883-887.
- Morimoto N., Fabries J., Ferguson A.K. et al. Nomenclature of pyroxenes // Amer. Miner. 1988. Vol. 73. P. 1123-1133.
- Pearce Y.A., Harris N.B.W., Tindle A.G. Trace element discrimination diagram for the tectonic interpretation of granitic rock // Petrol. 1984. Vol. 70. P. 956-983.
- Sun S.S, McDonough W.F. Chemical and isotopic systematic of oceanic basalts: implications for mantel composition and processes // Magmatism in ocean basalts. Eds. A.D. Saunders, M.J. Norry. Geolog. Soc. London Spec. Publ. 1989. Vol. 42. P. 313-345.
- Whalen, J.B., Currie, K.L., Chappell, B.W. A-type granites, chemical characteristics, discrimination and petrogenesis // Contrib. Mineral. Petrol. 1987. Р. 407-419.
- Yarmolyuk V.V., Kuzmin M.I., Ernst R.E. Intraplate geodynamics and magmatism in the evolution of the Central Asian Orogenic Belt // Journal of Asian Earth Sciences. 2014. Vol. 93. pp. 158-179. doi: 10.1016/j.jseaes.2014.07.004
Supplementary files















