Сорбция катионов Y 3+, La 3+ и Се 3+ на кобальтоносных марганцевых корках Магеллановых гор и поднятия Маркус-Уэйк Тихого океана
- Авторы: Новиков Г.В.1, Лобус Н.В.1, Дроздова А.Н.1, Диков Ю.П.2
-
Учреждения:
- Институт океанологии им. П. П. Ширшова РАН
- Институт геологии рудных месторождений, петрографии, минералогии и геохимии РАН
- Выпуск: № 4 (2019)
- Страницы: 318-336
- Раздел: Статьи
- URL: https://journals.eco-vector.com/0024-497X/article/view/15274
- DOI: https://doi.org/10.31857/S0024-497X20194318-336
- ID: 15274
Цитировать
Полный текст
Аннотация
Установлено, что кобальтоносные марганцевые корки и корково-конкреционные образования гайотов Тихого океана являются природными высокоселективными сорбентами катионов редкоземельных металлов Ce3+, Y3+, La3+. Обменная емкость рудных минералов — вернадита, Fe-вернадита и Mn-фероксигита — возрастает в ряду La3+
Ключевые слова
Полный текст
Практическая ценность кобальтоносных марганцевых корок (КМК) определяется содержанием в них кобальта, никеля, марганца и меди. В настоящее время разработаны схемы переработки КМК с получением этих металлов. С другой стороны, на примере корок, собранных на различных подводных поднятиях Тихого океана, экспериментальными методами было установлено, что они являются природными высокоселективными сорбентами катионов тяжелых металлов, таких как: Co 2+, Cu 2+, Ni 2+, Mn 2+, Zn 2+, Cd 2+, Ba 2+ и Pb 2+ [Новиков, 1996, 1998, 2011, 2018; Новиков, Скорнякова, 1998; Новиков и др., 1993, 1995, 2014б, 2016]. Выяснено, что основными рудными минералами-сорбентами являются вернадит, Fe-вернадит и Mn-фероксигит, главными ионообменными характеристиками которых являются: химическая форма нахождения катионов тяжелых металлов, обменная емкость, селективность сорбции, сорбционный механизм концентрирования катионов металлов из растворов различного солевого состава.
В последнее время интерес к КМК повысился вследствие возрастающего спроса на редкоземельные металлы/элементы (РЗМ/РЗЭ) для различных отраслей промышленности. Известно, что содержание РЗМ в марганцевых корках выше, чем в пелагических конкрециях океана, поэтому первые рассматриваются как потенциальное попутное сырье на эти металлы [Андреев, 2016; Дубинин, 2016; Кобальтобогатые …, 2002; Мельников, 2005; Мельников, Плетнев, 2009; Мельников, Седышева, 2014]. Однако в существующих технологических схемах переработки корок, так же как пелагических конкреций, извлечение редкоземельных металлов не рассматривается и, следовательно, данные металлы безвозвратно теряются.
Аналогичная ситуация наблюдается при изучении сорбционных свойств корок (а также конкреций) в отношении катионов редкоземельных металлов. Количество работ, в которых отмечается факт поглощения отдельных катионов РЗМ марганцевыми минеральными фазами, в целом незначительно [Davrancheetal et al., 2005, 2008; Koeppenkastor, De Carlo, 1992; Music, Ristic, 1998; Ohta, 2001; Quinn, 2006; Tanaka et al., 2010]. Таким образом, остаются невыясненными многие аспекты, в том числе: максимальная равновесная обменная емкость рудных минералов корок в отношении катионов РЗЭ, поведение сорбированных катионов РЗМ в водных растворах электролитов и химическая форма их нахождения в рудных минералах.
Наиболее интересным в составе изучаемой триады редкоземельных элементов является церий, для которого отмечается корреляционная связь как с гидроксидами железа [Дубинин, Волков, 1986; Elderfield et al., 1981], так и с минералами марганцевой ассоциации [Кобальтобогатые …, 2002]. По мнению E. Гольдберга [Goldberg, 1961], катионы Се 3+ окисляются в океанской воде, при определенном окислительно-восстановительном потенциале, до малорастворимого Се 4+, с последующем его вхождением в Mn-фазы конкреций. И. М. Варенцов [1993] считал, что редкоземельные металлы накапливаются в корках сорбционным способом, при этом тяжелые РЗМ поглощаются в основном железистыми минералами, тогда как легкие РЗМ — марганцевыми. Дж. Хейн с соавторами [Hein et al., 1985] полагают, что РЗМ накапливаются как в рудных, так и в нерудных минералах железомарганцевых корок. Совершенно очевидно, что нет единого мнения о том, в каких минеральных фазах и каким способом накапливаются катионы Се 3+ в железомарганцевых образованиях океана. Кроме того, считается, что поведение катионов Се 3+ аналогично поведению катионов Со 2+.
Исходя из вышеизложенного, цель настоящей работы заключалась в изучении ионообменных свойств рудных минералов кобальтоносных марганцевых корок в отношении катионов редкоземельных металлов.
МАТЕРИАЛ И МЕТОДЫ ИССЛЕДОВАНИЙ
Материалом для исследований являлись корки гайотов Вулканолог (ст. 09Д12) и Коцебу (ст. 9Д124) Магеллановых гор и поднятия Маркус-Уэйк: корки гайота Батисса (ст. 12Д301), а также корково-конкреционное образование (ККО) гайота Хемлер (ст. 12Д263). Текстурно-структурные особенности, химический и минеральный состав этих образований приведены в работах [Новиков и др., 2014а, 2015, 2017]. Изученные нами образцы КМК и ККО характеризуются близкими содержаниями Mn и Fe (табл. 1). Основными рудными минералами в них являются структурно плохо упорядоченные Fe-вернадит и Mn-фероксигит, в меньшем количестве присутствует хорошо окристаллизованный и структурно упорядоченный вернадит, в качестве примесей — асболан-бузерит и бернессит. Для детальных экспериментов по сорбции катионов РЗМ и Со 2+ были отобраны корки гайота Вулканолог (ст. 09Д12) Магеллановых гор, состоящие из 4 слоев: I-1, II, III-1 и его “сухаристой” разновидности — III-2. Основными в слоях I-1, II и III-1 являются перечисленные выше рудные минералы, тогда как слой III-2 состоит из плохо упорядоченного вернадита с примесью асболан-бузерита и бернессита [Новиков и др., 2017].
Таблица 1. Средние значения обменной емкости (мг-экв/г) железомарганцевых корок Магеллановых гор и поднятия Маркус-Уэйк по катионам редкоземельных металлов (Ce3+, Y3+, La3+) и Со2+
Название гайота | № станции | Тип ЖМО* | Содержание, масс. % | Cо2+ | Ce3+ | Y3+ | La3+ | |
FeOOH | MnO2 | |||||||
Магеллановы горы | ||||||||
Коцебу | 9Д124 | КМК** | 16.70 | 27.34 | 2.27 | 2.63 | 1.96 | 1.67 |
Вулканолог | 09Д12 | КМК | 15.26 | 27.68 | 2.60 | 2.78 | 2.11 | 1.79 |
Поднятие Маркус-Уйэк | ||||||||
Хемлер | 12Д263 | ККО*** | 19.64 | 27.46 | 2.40 | 2.66 | 1.85 | 1.78 |
Батисса | 12Д301 | КМК | 17.40 | 28.63 | 2.60 | 2.84 | 2.08 | 1.70 |
Примечание. * — железомарганцевые образования; ** — кобальтоносные марганцевые корки; *** — корково-конкреционные образования.
Подготовка КМК и ККО к исследованиям проводилась по методике, приведенной в работе [Новиков, 2005]. В экспериментах использовались корки и ККО крупностью 0.25–0.1 мм. Содержание рудного вещества в них составляло ~85–90%, что свидетельствует о чистоте материала, подготовленного к изучению ионообменных свойств.
Ионообменные реакции катионов редкоземельных металлов на рудных минералах корок и ККО проводились в статическом режиме при соотношении жидкой (Ж) и твердой (Т) фаз равном 100; при температуре 22±1°C и интенсивном перемешивании. В экспериментах использовались следующие растворы солей металлов: 0.15 М Ce2(SO4)3·8H2O; 0.5 M LaCl3·7H2O; 0.5 М Y(NO3)3·8H2O; 0.5 М CoCl2·7H2O. Для извлечения сорбированных катионов металлов из соответствующих форм рудных минералов корок использовались те же растворы солей металлов, а также 2М раствор Н2SO4. Время получения форм рудных минералов, обогащенных катионами Со 2+, Се 3+, La 3+ и Y 3+ в результате сорбции (далее — катионных форм) составляло 10–12 суток. Десорбция этих катионов из соответствующих катионных форм проводилась раствором серной кислоты в течение 4 часов. Эксперименты на усредненных пробах корок и отдельных слоях корки гайота Вулканолог (ст. 09Д12) проводились в одинаковых условиях.
Определение содержаний катионов исследуемых металлов в исходных железомарганцевых корках и в экспериментально полученных катионных формах выполнено методами атомно-эмиссионной спектрометрии с индуктивно связанной плазмой ИСП-АЭС и масс-спектрометрии с индуктивно связанной плазмой ИСП-МС с использованием спектрометров iCAP-6500 и Х-7, соответственно (ThermoScientific, USA) в Аналитическом сертифицированном испытательном центре Института проблем технологии микроэлектроники и особо чистых материалов РАН.
Структурно-химические исследования сорбированных катионов металлов (Се, Со) в корках проводились методом рентгеновской фотоэлектронной спектроскопии на спектрометре 5950ESCA фирмы Hewlett-Packard. Возбуждение фотоэлектронов проводилось с помощью монохроматизированного Кα, r излучения Al. Время накопления сигнала для переходных элементов составляло 100 сек. Идентификация структурно-химического состояния зарегистрированных элементов проводилась на основе базы данных NIST XPS data base photoelectron lines [NIST …, 2012]. Зарядовые состояния элементов калибровались к энергиям связи 1s Cи и Au 4f 7/2. Кроме того, с целью выяснения особенностей распределения сорбированных катионов Со 2+ и Се 3+ в минеральных зернах корок, проводилось исследование на поверхности зерен после их аргонового травления, в 250 и 500 нм ниже поверхности, а также после растирания зерен.
РЕЗУЛЬТАТЫ И ИХ ОБСУЖДЕНИЕ
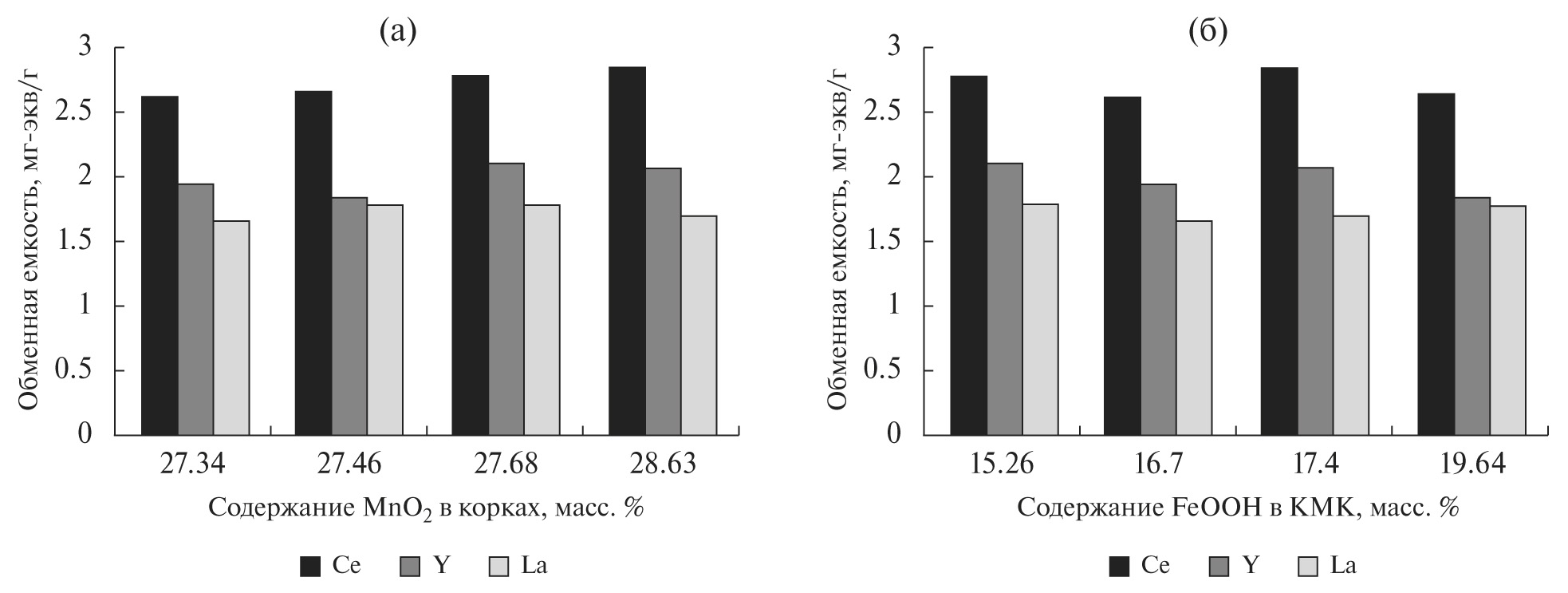
На первоначальном этапе исследований были проведены сорбционные эксперименты на усредненных пробах корок и ККО, отобранных с указанных выше гайотов. Взаимодействие растворов солей иттрия, лантана, церия и кобальта с рудными минералами КМК и ККО приводит к интенсивному поглощению этих элементов. Fe-вернадит, Mn-фероксигит и вернадит проявляют высокую способность к поглощению катионов Се 3+ и Со 2+, обменная емкость составляет 2.63–2.84 и 2.27–2.60 мг-экв/г, в то время как для катионов Y 3+ и La 3+ она заметно более низкая — 1.85–2.11 и 1.67–1.79 мг-экв/г, соответственно (см. табл. 1). Обменная емкость рудных минералов в отношении каждого из исследованных редкоземельных металлов и Со 2+ изменяется в узком интервале значений, что объясняется близкими содержаниями в корках MnO2 и FeOOH (рис. 1). Кроме того, установлено, что зависимость величин обменной емкости рудных минералов корок от их географического положения отсутствует. Так, емкость корок из гайотов Вулканолог и Коцебу северо-западной части Магеллановых гор практически не отличается от емкости корок из гайотов восточной части поднятия Маркус-Уэйк — Хемлер и Батисса. Следовательно, рудные минералы корок являются природными высокоселективными сорбентами катионов не только тяжелых металлов [Новиков, 1996, 2011, 2018; Новиков, и др., 1993, 1995, 2014б, 2016], но и редкоземельных.
Рис. 1. Обменная емкость по катионам РЗМ и ее зависимость от содержания MnO2 (а) и FeOOH (б) в железомарганцевых корках Магеллановых гор и поднятия Маркус-Уэйк.
Ранее [Новиков, 2011, 2018] было установлено, что марганцевые минералы океанских железомарганцевых образований в результате ионообменных реакций под действием сорбированных катионов Ni 2+ и Со 2+ испытывают трансформации. Для учета подобных трансформаций в случае ионообменных реакций с участием катионов Y 3+, La 3+ и Се 3+, после завершения сорбционных процессов проводился контроль минерального состава продуктов реакций. Результаты исследования показали, что в данном случае минеральный состав рудных минералов КМК и ККО не изменился, это свидетельствует о структурной стабильности Fe-вернадита, Mn-фероксигита, вернадита и гетита в растворах солей вышеперечисленных редкоземельных металлов.
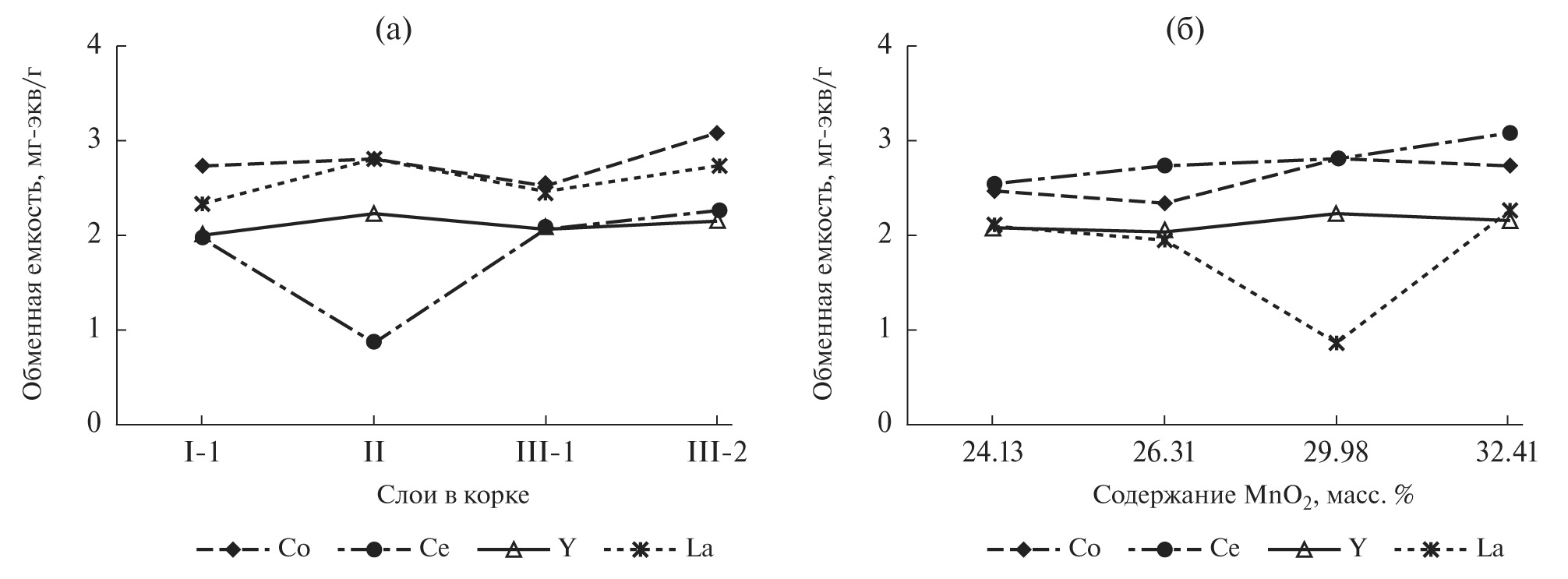
Детальное исследование сорбции катионов РЗМ и Со 2+ проводилось для каждого из разновозрастных слоев корки гайота Вулканолог (ст. 09Д12) Магеллановых гор. Из данных таблицы 2 видно, что при переходе от слоя к слою содержание FeOOH изменяется в небольшом интервале значений — от 14.00 до 17.50 масс. %, тогда как содержание MnO2 варьирует более значительно — от 24.13 до 32.41 масс. %. Следовательно, можно предположить, что поступление Fe в формирующуюся корку было довольно равномерным, тогда как поступление Mn имело пульсационный характер.
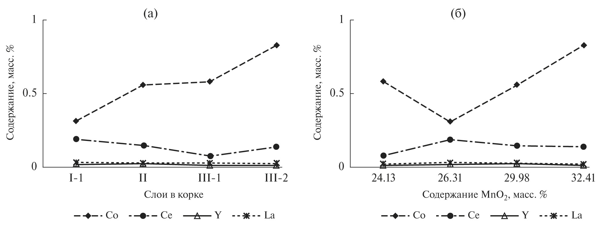
Как было показано ранее [Новиков и др., 2017], катионы редкоземельных металлов и Со 2+ в слоях корки также распределены неодинаково. Так, содержание Со 2+ возрастает от слоя I-1 к слою III-2 — от 0.31 до 0.83 масс. %, в то время как содержание катионов Се 3+ изменяется в узком интервале значений — от 0.08 до 0.19 масс. %, и отмечается двукратное уменьшение концентрации Се 3+ от cлоя I-1 к слою III-1 (рис. 2а). В отличие от катионов Со 2+ и Се 3+, распределение катионов Y 3+ и La 3+ в слоях одинаковое, при незначительном уменьшении содержаний от слоев I-1 и II к слоям III-1 и III-2 (см. рис. 2а). Полученные профили распределения катионов редкоземельных металлов в слоях марганцевой корки полностью совпадают со статистическими данными, приведенными в работе [Мельников, Седышева, 2014].
Рис. 2. Содержание катионов РЗМ и Со2+ в разных слоях железомарганцевой корки (гайот Вулканолог, обр. 09Д12) (а) и его зависимость от содержания MnO2 (б).
Распределение в тех же слоях содержаний катионов Со 2+ и Се 3+, отнесенных к содержанию MnO2, показывает иной характер, тогда как распределение содержаний катионов Y 3+ и La 3+ в этом случае не меняется (см. рис. 2б).
Распределение катионов Со 2+ наиболее явно зависит от содержания MnO2 в слоях корки и характеризуется отчетливо выраженной V-образной кривой, на которой минимальное содержание катионов Со 2+ (0.31 масс. %), соответствует 26.3 масс. % MnO2. Распределение катионов Се 3+ демонстрирует обратную зависимость от содержаний MnO2, выраженную в виде слабо выгнутой кверху кривой, на которой максимальное содержание Се 3+ (0.19 масс. %) также соответствует 26.3 масс. % MnO2. Минимальное содержание катионов Се 3+ (0.08 масс. %) на этой кривой соответствует минимальному содержанию MnO2 — 24.31 масс. %, установленному в слое III-1, тогда как содержание FeOOH в этом слое, напротив, максимальное — 17.50 масс. % (см. табл. 2). Таким образом, на современном этапе роста корки (слой III — плиоцен-квартер) происходило, по-видимому, одновременное поступление катионов Се 3+и Mn 2+ из океанской воды, тогда как в других слоях корки признаки подобной связи не наблюдаются.
Таблица 2. Содержание элементов (масс. %) в железомарганцевых корках гайота Вулканолог (ст. 09Д12) до и после ионообменных реакций
Катионная форма | Элементы | ||||||||||||||
FeOOH | MnO2 | Ce | Y | La | Na | K | Ca | Mg | Mn2+ | Co | Cu | Ni | Ba | Pb | |
Слой I-1 | |||||||||||||||
Исх. КМК* | 14.52 | 26.30 | 0.19 | 0.021 | 0.030 | 1.05 | 0.25 | 7.84 | 0.76 | 0.38 | 0.31 | 0.093 | 0.27 | 0.30 | 0.18 |
Ce | – | – | 12.7 | 0.020 | 0.026 | 0.12 | 0.02 | 5.46 | 0.10 | 0.06 | 0.31 | 0.07 | 0.16 | 0.24 | 0.16 |
Y | – | – | 0.17 | 5.95 | 0.034 | 013 | 0.03 | 6.41 | 0.09 | 0.24 | 0.31 | 0.09 | 0.26 | 0.28 | 0.18 |
La | – | – | 0.17 | 0.019 | 9.11 | 0.14 | 0.03 | 6.86 | 0.08 | 0.27 | 0.31 | 0.09 | 0.25 | 0.27 | 0.18 |
Со | – | – | 0.18 | 0.020 | 0.025 | 0.13 | 0.05 | 5.64 | 0.18 | 0.02 | 7.72 | 0.092 | 0.13 | 0.28 | 0.17 |
Слой II | |||||||||||||||
Исх. КМК | 14.00 | 29.98 | 0.15 | 0.026 | 0.027 | 1.34 | 0.37 | 2.24 | 0.80 | 0.45 | 0.56 | 0.15 | 0.55 | 0.17 | 0.22 |
Ce | – | – | 13.1 | 0.13 | 0.051 | 0.004 | 0.04 | 0.27 | 0.10 | 0.05 | 0.54 | 0.14 | 0.40 | 0.17 | 0.13 |
Y | – | – | 0.024 | 6.56 | 0.025 | 0.01 | 0.04 | 0.40 | 0.16 | 0.28 | 0.53 | 0.14 | 0.54 | 0.16 | 0.12 |
La | – | – | 0.025 | 0.022 | 4.02 | 0.04 | 0.02 | 0.22 | 0.07 | 0.31 | 0.22 | 0.06 | 0.20 | 0.16 | 0.05 |
Со | – | – | 0.15 | 0.026 | 0.027 | 0.05 | 0.09 | 0.50 | 0.20 | 0.03 | 8.87 | 0.10 | 0.30 | 0.17 | 0.16 |
Слой III-1 | |||||||||||||||
Исх. КМК | 17.50 | 24.13 | 0.084 | 0.014 | 0.022 | 1.21 | 0.34 | 1.70 | 0.75 | 0.35 | 0.58 | 0.091 | 0.34 | 0.11 | 0.13 |
Ce | – | – | 11.8 | 0.012 | 0.020 | 0.005 | 0.024 | 0.02 | 0.10 | 0.05 | 0.58 | 0.078 | 0.24 | 0.08 | 0.13 |
Y | – | – | 0.082 | 6.12 | 0.021 | 0.004 | 0.023 | 0.076 | 0.096 | 0.25 | 0.56 | 0.09 | 0.34 | 0.09 | 0.12 |
La | – | – | 0.084 | 0.013 | 9.58 | 0.005 | 0.024 | 0.24 | 0.11 | 0.29 | 0.58 | 0.09 | 0.33 | 0.10 | 0.12 |
Со | – | – | 0.083 | 0.012 | 0.019 | 0.05 | 0.05 | 0.17 | 0.17 | 0.02 | 7.87 | 0.090 | 0.19 | 0.11 | 0.13 |
Слой III-2 | |||||||||||||||
Исх. КМК | 15.47 | 32.41 | 0.14 | 0.013 | 0.022 | 1.16 | 0.39 | 1.97 | 0.85 | 0.51 | 0.83 | 0.09 | 0.54 | 0.14 | 0.14 |
Ce | – | – | 14.3 | 0.012 | 0.020 | 0.04 | 0.02 | 0.04 | 0.10 | 0.08 | 0.83 | 0.053 | 0.26 | 0.11 | 0.12 |
Y | – | – | 0.12 | 6.37 | 0.022 | 0.004 | 0.030 | 0.16 | 0.15 | 0.26 | 0.82 | 0.077 | 0.49 | 0.13 | 0.12 |
La | – | – | 0.14 | 0.011 | 10.41 | 0.004 | 0.034 | 0.32 | 0.18 | 0.32 | 0.82 | 0.081 | 0.48 | 0.13 | 0.13 |
Со | – | – | 0.14 | 0.013 | 0.022 | 0.05 | 0.06 | 0.19 | 0.17 | 0.04 | 8.00 | 0.088 | 0.21 | 0.14 | 0.13 |
Примечание. * — исходные образцы кобальтоносных марганцевых корок (крупность — 0.25–0.10 мм); прочерк — содержание не определялось. Жирным шрифтом выделено содержание катионов металлов после сорбции на корках.
Сорбция катионов РЗМ и Со 2+ приводит к значительному увеличению их содержания (масс. %) в рудных минералах слоев марганцевой корки: Се 3+ — до 11.8–14.3; Y 3+ — до 5.95–6.56, La 3+ — до 4.02–10.41 и Со 2+– до 7.72–8.87 (см. табл. 2). Соответственно, коэффициенты обогащения корок в целом (среднее значение по четырем слоям) катионами редкоземельных металлов составляют: Се 3+ — 100, Y 3+ — 365 и La 3+ — 340.
Обменная емкость (мг-экв/г) рудных минералов, содержащихся в разных слоях корки, по катионам Се 3+ и Со 2+ составляет 2.53–3.06 и 2.34–2.82, соответственно, а по Y 3+ и La 3+ — 2.01–2.21 и 0.87–2.24, соответственно (табл. 3). Исследованные металлы составляют следующие ряды возрастания обменной емкости: в слое I-1 — La<Y<Co<Ce; в слое II — La<Y<Ce ≈ Co; в слое III-1 — La, Y<Co<Ce; в слое III-2 — Y<La<Co<Ce.
Таблица 3. Обменная емкость (мг-экв/г) рудных минералов слоев корок гайота Вулканолог (ст. 09Д12) по катионам редкоземельных металлов и кобальта
№ слоя | Со2+ | Се3+ | Y3+ | La3+ |
I-1 | 2.34 | 2.72 | 2.01 | 1.97 |
II | 2.82 | 2.80 | 2.21 | 0.87 |
III-1 | 2.47 | 2.53 | 2.07 | 2.07 |
III-2 | 2.73 | 3.06 | 2.15 | 2.24 |
Изменения обменной емкости рудных минералов по катионам РЗМ и Со 2+ в слоях корки указывают на разные тенденции в их поглощении. Так, в отношении катионов Се 3+ отмечается в целом возрастание сорбционной емкости рудных минералов от слоя I-1 к слою III-2 — с 2.72 до 3.06 мг-экв/г, при этом минимальное значение зафиксировано в слое III-1 — 2.53 мг-экв/г (рис. 3а). Емкость рудных минералов по Со 2+ также возрастает от слоя I-1 к слою III-2, максимальное значение фиксируется в слое II — 2.82 мг-экв/г (см. рис. 3а). Емкость (мг-экв/г) рудных минералов по катионам Y 3+ в слоях корки характеризуется незначительными флуктуациями, возрастая от минимального значения в слое I-1 (2.01) до максимального значения (2.21) в слое II, затем в слое III-1 снижается до 2.07, а в слое III-2 — составляет 2.15 (см. рис. 3а). Для катионов La 3+ наблюдается отчетливо выраженная V-образная кривая изменения с резко выраженным уменьшением обменной емкости при переходе от слоя I-1 к слою II, а затем — увеличением в слоях III-1 и III-2 (см. рис. 3а).
Рис. 3. Обменная емкость рудных минералов по Ce3+, La3+, Y3+, Co2+ в разных слоях железомарганцевой корки (а) и ее зависимость от содержания MnO2 (б).
Изменения обменной емкости по катионам Со 2+, Y 3+ и La 3+ в слоях корки с разным содержанием MnO2 практически такие же, что и рассмотренные выше (см. рис. 3б). И только для катионов Се 3+ наблюдается прямолинейное возрастание емкости рудных минералов при увеличении в них содержания MnO2 (см. рис. 3б).
Сорбция катионов Се 3+, Y 3+, La 3+ и Со 2+ слоями корки сопровождается интенсивным переходом в раствор солей металлов, присутствующих в виде катионов в составе обменного комплекса рудных минералов — Na+, K+, Ca 2+, Mg 2+ и Mn 2+ (см. табл. 2). Вклад этих катионов в обменную емкость минералов составляет ~98.5%. Среди тяжелых металлов в растворы солей наиболее активно переходят катионы Mn 2+ и Ni 2+, что особенно заметно при сорбции катионов Со 2+ и Се 3+ рудными минералами корки (см. табл. 2).
Результаты исследования методом рентгеновской фотоэлектронной спектроскопии исходного образца корки гайота Вулканолог, а также полученных из нее при сорбции Сои Со-Се-форм рудных минералов (слой I-1) показывают, что все катионы кобальта, присутствующие на поверхности зерен Mn-минералов, на глубине 250 и 500 нм ниже поверхности и распределенные в объеме зерен (до 95.5%) находятся в трехвалентном состоянии Со 3+. И только незначительное количество (4.5–8.0%) катионов Со 2+ распределено в объеме зерен Сои Со-Се-форм исследуемых рудных минералов (табл. 4).
Таблица 4. Характеристики основных элементов в исходных железомарганцевых корках и в Со-, Сеи Со-Се формах их рудных минералов, полученные методом рентгеновской фотоэлектронной спектроскопии
Катионная форма | Элемент, линия | Энергия связи, eV | Интенсив- ность, имп/с | Содержание, ат. % | Степень окисления | Химическое cоединение по [NIST..., 2012] |
Исходные корки | в объеме зерен: | |||||
Mn1 2p3/2 Mn2 2p3/2 Mn3 2p3/2 | 641.40 641.73 642.54 | 3.8 103 5.1 103 2.6 104 | 1.5 2.0 10.3 | 3+ 3+ 4+ | MnO(OH) Mn2O3 MnO2 | |
Fe1 2p3/2 Fe2 2p3/2 | 710.46 711.29 | 4.4 103 2.7 104 | 1.5 9.1 | 3+ 3+ | Fe2O3 FeO(OH) | |
Co1 2p3/2 Co2 2p3/2 | 780.23 781.40 | 1.9 104 1.5 104 | 3.6 2.9 | 3+ 2+ | CoO(OH) Co(OH)2 | |
Ce1 3d5/2 | 886.16 | 1.2 104 | 0.1 | 3+ | Ce(OH)3 | |
Cо-форма | поверхность зерен: | |||||
Co 2p3/2 | 782.17 | 4.9 103 | 6.0 | 3+ | Со(ОН)3 | |
Mn 2p3/2 | 641.83 | 6.9 104 | 10.3 | 3+ | MnO(OH) | |
Fe 2p3/2 | 711.80 | 1.7 105 | 11.2 | 3+ | FeO(OH) | |
250 нм ниже поверхности зерен: | ||||||
Co 2p3/2 | 782.21 | 6.2 103 | 3.7 | 3+ | Co(OH)3 | |
Mn 2p3/2 | 641.80 | 9.4 103 | 11.6 | 3+ | MnO(OH) | |
Fe 2p3/2 | 711.82 | 7.9 103 | 8.3 | 3+ | FeО(OH) | |
500 нм ниже поверхности зерен: | ||||||
Co 2p3/2 | 782.17 | 7.4 103 | 6.4 | 3+ | Co(OH)3 | |
Mn 2p3/2 | 641.78 | 8.6 103 | 10.3 | 3+ | MnO(OH) | |
Fe 2p3/2 | 711.80 | 1.1 104 | 11.2 | 3+ | FeО(OH) | |
в объеме зерен: | ||||||
Co1 2p3/2 Co2 2p3/2 Co3 2p3/2 | 779.91 780.18 781.33 | 9.8 103 2.9 104 1.7 103 | 1.6 4.8 0.3 | 3+ 3+ 2+ | Co2O3 CoO(OH) Co(OH)2 | |
Mn1 2p3/2 Mn2 2p3/2 Mn3 2p3/2 | 641.35 641.72 642.49 | 3.5 103 4.4 103 4.7 104 | 1.2 1.5 16.0 | 3+ 3+ 4+ | MnO(OH) Mn2O3 MnO2 | |
Fe1 2p3/2 Fe2 2p3/2 | 710.47 711.35 | 2.8 103 4.0 104 | 0.8 11.5 | 3+ 3+ | Fe2O3 FeO(OH) | |
Се-форма | поверхность зерен: | |||||
Ce 3d3/5 | 886.12 | 4.1 104 | 5.1 | 3+ | Ce(OH)3 | |
Mn 2p3/2 | 641.89 | 8.4 103 | 6.2 | 3+ | MnO(OH) | |
Fe 2p3/2 | 711.85 | 9.6 103 | 6.0 | 3+ | FeO(OH) | |
250 нм ниже поверхности зерен: | ||||||
Ce 3d3/5 | 886.12 | 5.9 104 | 4.0 | 3+ | Ce(OH)3 | |
Mn 2p3/2 | 641,45 | 1.7 104 | 7.6 | 3+ | MnO(OH) | |
Fe 2p3/2 | 711.84 | 1.6 104 | 5.5 | 3+ | FeO(OH) | |
500 нм ниже поверхности зерен: | ||||||
Ce 3d3/5 | 886.15 | 4.8 104 | 5.3 | 3+ | Ce(OH)3 | |
Mn 2p3/2 | 641.42 | 1.7 104 | 9.1 | 3+ | MnO(OH) | |
Fe 2p3/2 | 711.80 | 2.4 104 | 10.0 | 3+ | FeO(OH) | |
в объеме зерен: | ||||||
Ce1 3d5/2 Ce2 3d5/2 | 885.81 886.19 | 4.2 103 4.1 104 | 0.3 3.2 | 3+ 3+ | Ce2O3 Ce(OH)3 | |
Mn1 2p3/2 Mn2 2p3/2 Mn3 2p3/2 | 641.40 641.73 642.54 | 3.2 103 4.4 103 1.9 104 | 1.5 2.0 8.7 | 3+ 3+ 4+ | MnO(OH) Mn2O3 MnO2 | |
Fe1 2p3/2 Fe2 2p3/2 | 710.46 711.29 | 3.8 103 2.9 104 | 1.5 11.2 | 3+ 3+ | Fe2O3 FeO(OH) | |
Со-Се-форма | в объеме зерен: | |||||
Co1 2p3/2 Co2 2p3/2 Co3 2p3/2 | 779.88 780.20 781.37 | 5.7 103 2.2 104 1.4 103 | 1.1 2.3 0.3 | 3+ 3+ 2+ | Co2O3 CoO(OH) Co(OH)2 | |
Ce1 3d5/2 | 886.22 | 3.8 104 | 2.1 | 3+ | Ce(OH)3 | |
Mn1 2p3/2 Mn2 2p3/2 Mn3 2p3/2 | 641.41 647.80 642.52 | 3.3 103 3.9 103 5.2 104 | 1.0 1.1 15.1 | 3+ 3+ 4+ | MnO(OH) Mn2O3 MnO2 | |
Fe1 2p3/2 Fe2 2p3/2 Fe3 2p3/2 | 710.43 710.74 711.39 | 3.9 103 4.4 103 5.1 104 | 1.0 1.1 12.6 | 3+ 3+, 2+ 3+ | Fe2O3 Fe3O4 FeO(OH) | |
Ранее [Новиков, 1996, 2011; Новиков и др., 2005, 2006а, б, 2007, 2009, 2010, 2014б; Vikentyev et al., 2007] экспериментально было установлено, что сорбированные катионы Со 2+ вступают в реакцию окисления-восстановления с октаэдрическими катионами Mn (IV) марганцевых минералов и их синтетических аналогов, в результате которой окисленные катионы Со 3+ изоморфно замещают катионы Mn (IV) в кристаллохимических структурах этих минералов. Подобная реакция отмечалась в ~90% проведенных экспериментов, что позволяет считать ее характерной постсорбционной реакцией, протекающей в Mn-минералах и объясняющей присутствие Со 3+ в этих минералах. Данные, полученные в настоящей работе, свидетельствуют о том, что постсорбционное окисление катионов Со 2+происходит, в первую очередь, на поверхности или вблизи поверхности зерен Mn-минералов, а затем охватывает весь их объем. Этот вывод вполне согласуется с кинетическими параметрами сорбции катионов Со 2+ на марганцевых минералах конкреций и корок [Новиков, 1998, 2011].
Результаты детального изучения исходного образца железомарганцевой корки и ее Сеи Со-Се-форм показывают, что во всех обследованных областях рудных минералов слоя I-1 этой корки присутствуют только катионы Се 3+ (см. табл. 4). Таким образом, катионы Се 4+ в рудных минералах корки отсутствуют, что можно было предполагать на основании сходства их поведения с катионами кобальта.
Поскольку оба катиона — Се 3+ и Со 3+ присутствуют в Mnи Fe-минералах, то в Сои Со-Се-формах этих минералов были изучены степени окисления катионов Fe и Mn. Результаты исследований однозначно свидетельствуют о нахождении катионов железа в степени окисления Fe (III) как на поверхности, так и в объеме зерен рудных минералов корки (см. табл. 4).
Для катионов Mn были получены следующие результаты. В изученных Со-, Ceи Co-Ce-формах железомарганцевой корки, на поверхности зерен рудных минералов и в 250 и 500 нм ниже поверхности, катионы марганца находятся только в степени окисления Mn(III) (см. табл. 4). Марганец, распределенный в объеме зерен этих форм, представлен двумя степенями окисления — Mn(IV) и Mn(III), причем в Сои Со-Се-формах содержание Mn(IV) значительно преобладает над количеством Mn(III): 85.5 и 14.5% и 87.8 и 12.2%, соответственно. В составе Се-формы содержания Mn(IV) и Mn(III) составляют, соответственно, 71.5 и 28.5% (см. табл. 4). При этом катионы Mn 2+ отсутствуют во всех исследованных областях зерен.
Теоретическое обоснование присутствия Mn(III) в составе марганцевых минералов было дано в целом ряде работ [Bricker, 1965; Hem, 1980; Hem, Lind, 1983; Morgan, 1965, 2005; Yang, Wang, 2002]. Предполагается, что окисление катионов Mn 2+ протекает, скорее всего, через стадию образования гидроксида марганца (III) и Mn3O4, которые затем диспропорционируют на Mn 2+ и Mn 4+ (в виде MnO2). По мнению Г. Ю. Бутузовой с соавторами [Бутузова и др., 1988] и А. А. Морозова [Морозов, 1995], катионы Mn (III) образуются в результате твердофазной реакции окисления-восстановления: Mn 2+ + Mn 4+ = 2Mn 3+. Однако аналитически достоверно установленные содержания катионов Mn 3+ в этих публикациях не приводятся.
Отсутствуют также достоверные данные по содержанию Mn(III) и в работах, посвященных изучению кристаллохимии Mn-минералов — вернадита, бернессита, тодорокита и асболана океанских конкреций и корок [Чухров и др., 1989; Cui et al., 2008, 2009; Drits et al., 1997; Feng et al., 2010; Kwon et al., 2013; Manceau et al., 1987, 1997, 2002, 2007; Peacock, Sherman, 2007; Silvester et al., 1997; Takahashi et al., 2007; Villalobos et al., 2006]. В них указывается, что часть марганца может находиться в виде катионов Mn(III), которые либо образуют марганцевые октаэдры — [Mn(III)O6], либо заселяют вакантные позиции в межслоевом (туннельном) пространстве минералов подобно катионам переходных металлов — Ni 2+, Cu 2+, Co 2+, Zn 2+.
В то же время, гидроксид Mn(III) может не только диспропорционировать, о чем говорилось выше, но и окисляться до MnO2 [Morgan, 2005]. Экспериментально было показано [Морозов и др., 2001; Новиков, 2018], что пропускание воздуха через смесь растворов MnCl2, NaCl, NaOH приводит к выпадению осадка, состоящего из гидратированного диоксида марганца MnO2 (в форме вернадита и бузерита-I) и гидроксида марганца (III) — β-MnOOH (в форме файткнехтита). Присутствие в составе осадков файткнехтита и высоких содержаний катионов Mn 2+ является следствием неполного окисления исходных катионов Mn 2+ до Mn(IV). Подобную картину образования файткнехтита наблюдал и Р. Джиованоли [Giovanoli, 1980]. Однако, как было показано в работах [Морозов и др., 2001; Новиков, 2018], при замене воздуха на чистый О2 содержание файткнехтита резко уменьшилось (с ~30% до <10%), а при взаимодействии смеси растворов с Н2О2 файткнехтит не образовывался (при температуре раствора от 2 до 5°С). Отсутствие в полностью окисленных осадках гидратированного диоксида марганца — файткнехтита β-MnOOH хорошо согласуется с данными по океанским железомарганцевым образованиям, в которых он также не обнаруживается. Следовательно, файткнехтит проявляет низкую химическую устойчивость как в гипергенных условиях океана, так и в условиях, имитирующих океанскую среду марганцевого минералообразования. Вместе с тем, для конкреций из рудной провинции Кларион-Клиппертон этим же методом было установлено присутствие катионов Mn(III) [Челищев и др., 1992], теперь они определены и в корках, что, по-видимому, может считаться не редким явлением. Однако авторы настоящей работы считают, что говорить о природе аналитически установленных катионов Mn(III) в марганцевых минералах железомарганцевых корок преждевременно, необходимы дополнительные исследования в этом направлении.
Особый интерес представляло изучение поведения сорбированных катионов металлов РЗМ и Со 2+ в обменных реакциях друг с другом. Исследования проводились на полученных Co-, Ceи Со-Сe-формах рудных минералов наиболее древнего слоя I-1 и современного слоя III-1 железомарганцевой корки. На каждом слое были проведены “прямые” (например, Се 3+КМК + Y 3+р) и “обратные” (например, Y 3+КМК + Се 3+р) обменные реакции, параметры которых представлены в таблице 5. Из приведенной таблицы видна хорошая сходимость результатов для каждой пары катионов металлов, что позволяет представить полученные данные в обобщенном виде.
Пара Се-Y. Обменная реакция между катионами Се 3+КМК и Y 3+р сопровождается частичным вытеснением сорбированных Се 3+ из Се-форм рудных минералов слоев I-1 и III-1 катионами Y 3+, которое составляет в обоих слоях 0.86 мг-экв/г, или 31.2 и 35.6% (см. табл. 5). В то же время, извлечение катионов Се 3+ из Се-форм рудных минералов обоих слоев достигает практически 100%. Дополнительное извлечение катионов Се 3+КМК в раствор сопровождается интенсивным поглощением из него протонов Н+, которые вместе с катионами Y 3+р вступают в обменную реакцию с катионами Се 3+КМК. В “обратной” реакции катионы Се 3+р также эквивалентно вытесняют Y 3+КМК в количестве 1.80 мг-экв/г из обоих слоев корки, степень извлечения которых составляет соответственно 89.2 и 87.1% (см. табл. 5).
Таблица 5. Параметры обменных реакций катионов редкоземельных металлов и Со2+ в железомарганцевых корках гайота Вулканолог (ст. 09Д12)
Слой I-1 (класс крупности 0.25–0.1 мм) | ||||||||||||||||
Параметры | Ионообменные реакции | |||||||||||||||
реакция Се3+КМК* + Y3+р** | реакция Y3+КМК + Се3+р | реакция Се3+КМК + La3+р | реакция La3+КМК + Се3+р | |||||||||||||
СеКМК | YКМК | YКМК | СеКМК | СеКМК | LaКМК | LaКМК | СеКМК | |||||||||
1 | 2 | 1 | 2 | 1 | 2 | 1 | 2 | 1 | 2 | 1 | 2 | 1 | 2 | 1 | 2 | |
Содержание Mn+ в катионных формах до (1) и после (2) сорбции, мг-экв/г | 2.72 | 0.006 | 0.007 | 0.86 | 2.01 | 0.21 | 0.036 | 2.08 | 2.72 | 1.42 | 0.006 | 1.44 | 1.97 | 0.20 | 0.036 | 1.97 |
Степень извлечения Мn+ КМК из катионной формы, % | Се — 31.2 | Y — 89.2 | Се — 47.8 | La — 89.7 | ||||||||||||
реакция Y3+КМК + La3+р | реакция La3+КМК + Y3+р | реакция Се3+КМК + Со2+р | реакция Со2+КМК + Се3+р | |||||||||||||
YКМК | LaКМК | LaКМК | YКМК | СеКМК | СоКМК | СоКМК | СеКМК | |||||||||
1 | 2 | 1 | 2 | 1 | 2 | 1 | 2 | 1 | 2 | 1 | 2 | 1 | 2 | 1 | 2 | |
Содержание Mn+ в катионных формах до (1) и после (2) сорбции, мг-экв/г | 2.01 | 0.46 | 0.006 | 1.54 | 1.97 | 1.17 | 0.007 | 0.78 | 2.72 | 1.75 | 0.061 | 0.82 | 2.62 | 0.70 | 0.038 | 2.09 |
Степень извлечения Мn+КМК из катионной формы, % | Y — 77.0 | La — 40.5 | Се — 30.1 | Со — 73.4 | ||||||||||||
реакция Y3+КМК + Со2+р | реакция Со2+КМК + Y3+р | реакция La3+КМК + Со2+р | реакция Со2+КМК + La3+р | |||||||||||||
YКМК | СоКМК | СоКМК | YКМК | LaКМК | СоКМК | СоКМК | LaКМК | |||||||||
1 | 2 | 1 | 2 | 1 | 2 | 1 | 2 | 1 | 2 | 1 | 2 | 1 | 2 | 1 | 2 | |
Содержание Mn+ в катионных формах до (1) и после (2) сорбции, мг-экв/г | 2.01 | 1.13 | 0.01 | 1.70 | 2.62 | 1.03 | 0.007 | 2.21 | 1.97 | 0.97 | 0.025 | 1.64 | 2.62 | 0.90 | 0.006 | 0.58 |
Степень извлечения Мn+ КМК из катионной формы, % | Y — 43.8 | Со — 60.8 | La — 44.8 | Co — 21.8 | ||||||||||||
Слой III-1 (класс крупности 0.25–0.1 мм) | ||||||||||||||||
Параметры | Ионообменные реакции | |||||||||||||||
реакция Се3+КМК + Y3+р | реакция Y3+КМК + Се3+р | реакция Се3+КМК + La3+р | реакция La3+КМК + Се3+р | |||||||||||||
СеКМК | YКМК | YКМК | СеКМК | СеКМК | LaКМК | LaМК | СеКМК | |||||||||
1 | 2 | 1 | 2 | 1 | 2 | 1 | 2 | 1 | 2 | 1 | 2 | 1 | 2 | 1 | 2 | |
Содержание Mn+ в катионных формах до (1) и после (2) сорбции, мг-экв/г | 2.53 | 0.001 | 0.004 | 0.86 | 2.07 | 0.27 | 0.018 | 2.20 | 2.53 | 1.50 | 0.007 | 0.83 | 2.07 | 0.29 | 0.018 | 2.28 |
Степень извлечения Mn+КМК из катионной формы, % | Ce — 35.6 | Y — 87.1 | Ce — 32.8 | La — 78.2 | ||||||||||||
реакция Y3+КМК + La3+р | реакция La3+КМК + Y3+р | реакция Се3+КМК + Со2+р | реакция Со2+КМК + Се3+р | |||||||||||||
YКМК | LaКМК | LaКМК | YКМК | СеКМК | СоКМК | СоКМК | СеКМК | |||||||||
1 | 2 | 1 | 2 | 1 | 2 | 1 | 2 | 1 | 2 | 1 | 2 | 1 | 2 | 1 | 2 | |
Содержание Mn+ в катионных формах до (1) и после (2) сорбции, мг-экв/г | 2.07 | 0.58 | 0.004 | 1.55 | 2.07 | 0.002 | 0.004 | 1.97 | 2.53 | 1.45 | 0.20 | 0.93 | 2.67 | 1.01 | 0.018 | 1.95 |
Степень извлечения Мn+КМК из катионной формы, % | Y — 72.1 | La — 95.2 | Ce — 36.8 | Co — 62.2 | ||||||||||||
реакция Y3+КМК + Со2+р | реакция Со2+КМК + Y3+р | реакция La3+КМК + Со2+р | реакция Со2+КМК + La3+р | |||||||||||||
YКМК | СоКМК | СоКМК | YКМК | LaКМК | СоКМК | СоКМК | LaКМК | |||||||||
1 | 2 | 1 | 2 | 1 | 2 | 1 | 2 | 1 | 2 | 1 | 2 | 1 | 2 | 1 | 2 | |
Содержание Mn+ в катионных формах до (1) и после (2) сорбции, мг-экв/г | 2.07 | 0.66 | 0.19 | 1.97 | 2.67 | 1.40 | 0.004 | 1.93 | 2.07 | 0.87 | 0.20 | 1.95 | 2.67 | 1.21 | 0.004 | 1.58 |
Степень извлечения Мn+ КМК из катионной формы, % | Y — 68.1 | Со — 47.5 | La — 58.0 | Со — 54.7 | ||||||||||||
Примечание. Мn+ — катионы Ce3+, Y3+, La3+, Co2+; * — катионы РЗМ3+ и Со2+ в железомарганцевых корках; ** — катионы РЗМ3+ и Со2+ в растворе.
Пара Ce-La. Взаимодействие Се-форм рудных минералов с раствором соли лантана приводит к частичному эквивалентному обмену катионов Се 3+КМК на катионы La 3+р в количестве 1.30 и 0.82 мг-экв/г для слоев I-1 и III-1, соответственно; степень извлечения Се 3+КМК из этих слоев составляет 47.8 и 32.8% (см. табл. 5). При “обратной” обменной реакции катионы Се 3+р более интенсивно вытесняют катионы La 3+ из La-форм рудных минералов: в слое I-1 — 1.77 мг-экв/г, или 89.7%, в слое III-1 — 1.62 мг-экв/г, или 78.2% (см. табл. 5). При этом эквивалентность обмена между этими катионами металлов также сохраняется. В рассматриваемых реакциях также принимают участие протоны Н+, но в значительно меньшем количестве по сравнению с обменом в паре Ce-Y.
Пара Y-La. “Прямые” и “обратные” реакции между катионами Y 3+ и La 3+ в обоих слоях корки характеризуются эквивалентным обменом между ними, но количество вытесненных катионов металлов из рудных минералов различно. Катионы La 3+р обмениваются с катионами Y 3+КМК в количестве 1.54 мг-экв/г (76.1%) в слое I-1 и 1.55 мг-экв/г (72.0%) в слое III-1 (см. табл. 5). В свою очередь, катионы Y 3+р вытесняют La 3+КМК на 0.78 мг-экв/г (40.5%) в слое I-1 и 1.97 г-экв/г (95.2%) в слое III-1 (см. табл. 5). Как и для пары Се-La, количество участвующих в данных обменных реакциях протонов Н+ минимально.
Пара Се-Со. В “прямых” обменных реакциях катионы Со 2+р эквивалентно, но в незначительных количествах вытесняют катионы Се 3+ из Се-форм рудных минералов: в слоях I-1 и III-1 это количество, соответственно 0.82 и 0.93 мг-экв/г, или 30.1 и 36.8% (см. табл. 5). В данных реакциях, наряду с катионами Со 2+р, поглощаются в незначительном количестве протоны Н+, что приводит к электронейтральности зарядов рудных минералов. В “обратных” реакциях катионы Се 3+р вытесняют более чем в два раза больше катионов Со 2+ из Со-форм рудных минералов: в слое I-1 это составляет 2.09 мг-экв/г, или 73.4%, в слое III-1 — 1.95 мг-экв/г, или 62.2% (см. табл. 5). В данных реакциях протоны Н+ переходят в раствор вместе с катионами Со 2+КМК.
Пара Y-Со. “Прямые” ‒ Y 3+КМК + Со 2+р и “обратные” ‒ Со 2+КМК и Y 3+р реакции обмена так же, как и для других пар катионов, сопровождаются частичным эквивалентным обменом между ними. В “прямых” реакциях в слоях I-1 и III-1 это составляет 1.70 и 1.97 мг-экв/г или, соответственно, 84.6 и 75.2% (см. табл. 5). В “обратных” реакциях катионы Y 3+р вытесняют Со 2+КМК из слоев I-1 и III-1 в количестве 2.21 и 1.93 мг-экв/г, или 84.3 и 72.3% (см. табл. 5). В этих реакциях отмечается следующая особенность: в “прямых” и “обратных” реакциях катионы Со 2+р и Y 3+р, соответственно, вытесняют одинаковое эквивалентное количество противоионов из катионных форм минералов из слоев I-1 и III-1 корок. При этом во всех реакциях в незначительном количестве принимают участие протоны Н+.
Пара La-Co. Данные катионы металлов в “прямых” и “обратных” реакциях обмениваются между собой в эквивалентных количествах. В слоях I-1 и III-1 в “прямых” реакциях катионы Со 2+р вытесняют катионы La 3+КМК приблизительно в равных количествах — 1.00 и 1.20 мг-экв/г (44.8 и 58.0%), тогда как в “обратных” реакциях катионы La 3+р переводят в раствор катионы Со 2+КМК из слоя I-1 в количестве 0.57 мг-экв/г (21.8%), а из слоя III-1 — в 2.5 раза больше, или 1.46 мг-экв/г (54.7%) (см. табл. 5). Как и во всех предыдущих случаях, в данных обменных реакциях также принимают участие протоны Н+.
Анализ поведения сорбированных катионов РЗМ и Со 2+ в солевых системах свидетельствует об эквивалентном обмене между ними. По степени извлечения в растворы, катионы металлов разбились на три группы. К первой относятся наиболее полно переходящие в растворы катионы Y 3+ и La 3+, степень извлечения которых составляет: для Y — 87.1–89.2% при сорбции Се 3+, 72.1–77.0% при сорбции La 3+ и 43.8–68.1% при сорбции Со 2+; для La — 78.2–89.7% при сорбции Се 3+, 95.2% (слой III-1) и 40.5% (слой I-1) при сорбции Y 3+ и при сорбции Со 2+ — 44.8–58.0%. Вторую группу образуют катионы Со 2+, степень извлечения которых при сорбции Се 3+ составляет 62.2–73.4%, при сорбции Y 3+ и La 3+ — 47.5–60.8% и 21.8–54.7%, соответственно. К третьей группе относятся катионы Се 3+, степень извлечения которых практически не зависит от сорбируемого катиона металла и находится в интервале 30.1–36.8%. Исходя из совокупности полученных данных, ряд возрастания селективности рудных минералов железомарганцевых корок — вернадита, Fe-вернадита, Mn-фероксигита — по отношению к рассматриваемому спектру металлов выглядит следующим образом:
La 3+ ≈ Y 3+<Co 2+<Ce 3+.
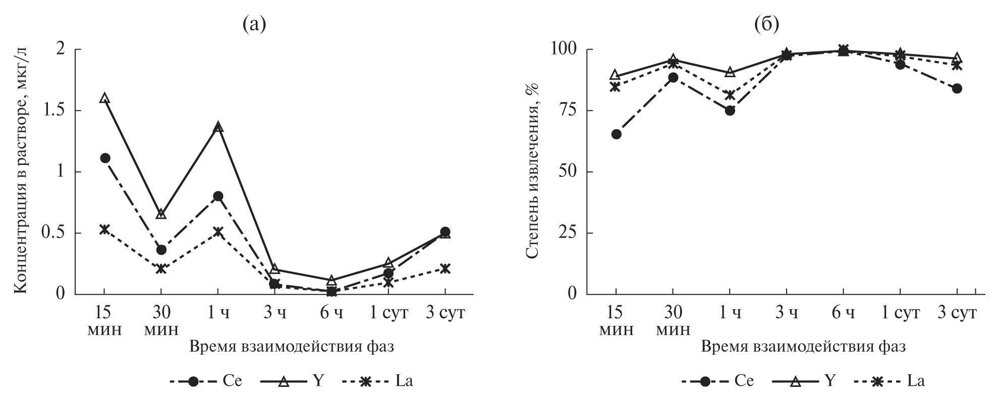
Эффективность любого сорбента, в том числе природного, оценивается по результатам селективного извлечения соответствующих катионов металлов из многокомпонентных растворов. Для решения данной задачи был приготовлен модельный раствор океанской воды, имитирующий ее состав на глубине 2200 м при сохранении соотношения между катионами РЗМ [Bruland, Lohan, 2004]. Содержание катионов La 3+, Ce 3+ и Y 3+ в таком растворе составляло 3.50, 3.30 и 14.22 мкг/л, соответственно. В эксперименте использовался материал корки крупностью 0.25–0.1 мм с гайота Вулканолог (ст. 09Д12).
Взаимодействие фаз в течение всего времени эксперимента сопровождается сорбцией всех катионов РЗМ на рудных минералах корки (рис. 4а, б). В первые 30 минут наблюдается резкое уменьшение концентрации катионов La 3+, Y 3+ и Ce 3+ в растворе, степень извлечения которых составляет 94.4, 95.4 и 89.0%, соответственно. После 60 минут отмечается незначительный тренд уменьшения сорбции всех катионов РЗМ — степень извлечения La 3+, Y 3+ и Ce 3+ составляет 81.4, 90.4 и 75.1%, соответственно. Максимальная сорбция всех катионов РЗМ из раствора достигается в интервале 3–6 часов, степень извлечения достигает 95.0–99.2%. После 3 суток взаимодействия фаз, извлечение La 3+ и Y 3+ остается практически на том же высоком уровне — 93.8 и 96.4%, тогда как извлечение катионов Се 3+снижается до 84.2%. Таким образом, результаты эксперимента свидетельствуют о потенциальном использовании железомарганцевых корок в качестве сорбента для извлечения микроколичеств катионов РЗМ из раствора солей металлов.
Рис. 4. Зависимость концентрации катионов Ce3+, La3+, Y3+ в растворе (а) и степени их извлечения (б) от времени взаимодействия фаз.
Выше было рассмотрено поведение сорбированных рудными минералами катионов РЗМ и Со 2+ в растворах солей металлов. Не менее важно было изучить поведение этих катионов в реакции протонизации (с 2 М раствором H2SO4). Результаты взаимодействия катионных форм рудных минералов обоих слоев корки с раствором кислоты свидетельствуют о различном извлечении из них сорбированных катионов металлов (табл. 6). По характеру извлечения катионы металлов так же, как и в предыдущем случае, разбились на три группы: первую образуют Y 3+ и La 3+, вторую — Се 3+ и третью — Со 3+ и Со 2+. Катионы первой группы извлекаются практически полностью из соответствующих форм рудных минералов слоев I-1 и III-1, при этом степень извлечения Y 3+КМК составляет 95.8 и 97.2%, а La 3+КМК — 95.7 и 96.6%. Извлечение катионов Се 3+ из Се-форм рудных минералов этих же слоев существенно меньше — 65.1% из слоя I-1 и 48.0% из слоя III-1. Катионы Со 2+КМК полностью извлекаются в раствор кислоты, тогда как катионы Со 3+ характеризуются наименьшим извлечением по сравнению с катионами РЗМ: из слоев I-1 и III-1 извлекается, соответственно, 43.8 и 36.0%. Важно отметить, что для катионов Се 3+ и Со 3+ наблюдается одинаковая тенденция — из слоя I-1 их извлечение больше в 1.3 раза, чем из слоя III-1. Скорее всего, такая разница в извлечении катионов металлов связана с кристаллохимическими особенностями их вхождения в структуру рудных минералов, которые в данных слоях корки идентичны. Ранее [Новиков, 1997; Новиков и др., 2014б; Челищев и др., 1992] также было установлено низкое извлечение катионов Со 3+ из рудных минералов корок и конкреций при обработке их растворами серной кислоты. Такое поведение катионов Со 2+ и Со 3+ объясняется как различными химическими формами их нахождения в рудных марганцевых минералах конкреций и корок, так и различными структурными позициями, которые они заселяют в этих минералах. Одинаковое поведение катионов Се 3+ и Со 3+ при сорбции и десорбции позволяет предположить идентичность кристаллохимических свойств рудных марганцевых минералов и по отношению к катионам Се 3+.
Таблица 6. Содержание Ce3+, Y3+ и La3+, Со2+ в катионных формах рудных минералов железомарганцевой корки после сернокислотной обработки
Параметр | Со-форма | Се-форма | Y-форма | La-форма |
Слой I-1 | ||||
Содержание, масс. %: до после | 7.72 4.00 | 12.7 4.43 | 5.95 0.25 | 9.11 0.40 |
Степень извлечения, % | 48.3 | 65.1 | 95.8 | 95.7 |
Слой III | ||||
Содержание, масс. %: до после | 7.87 5.04 | 11.8 6.14 | 6.12 0.17 | 9.58 0.33 |
Степень извлечения, % | 36.0 | 48.0 | 97.2 | 96.6 |
Результаты проведенных исследований позволяют остановиться на экономическом аспекте данного исследования. Во введении статьи отмечалось отсутствие практического интереса со стороны технологов к редкоземельным металлам в составе корок. Однако, как показывают наши исследования, ценность корок резко возрастает при использовании их в качестве сорбента катионов редкоземельных металлов и кобальта (табл. 7). Суммарная стоимость указанных металлов в природных КМК составляет 317.92 $, а после одноразового их использования в качестве сорбента рассматриваемых катионов металлов ‒ 10 392.6 $, то есть стоимость возрастает в 32.5 раза. Прирост ценности корок в этом случае 10 074.7 $/т руды. В дальнейшем корки, обогащенные катионами редкоземельных металлов и кобальта, могут быть направлены в гидрометаллургическую переработку с исходной рудой. Это позволит получать из корок не только основные металлы — Co, Ni, Mn и Cu, но и редкоземельные, что улучшит технико-экономические показатели переработки корок.
Таблица 7. Расчет прироста ценности КМК после сорбции катионов РЗМ и Со2+
Название показателей | Единицы измерений | Металлы | Суммарная стоимость | |||
La | Ce | Y | Co | |||
Стоимость металлов на международных рынках | $/т | 9 000 | 9 000 | 65 000 | 55 250 | |
Содержание металлов в природных КМК | кг/т руды | 0.272 | 1.47 | 0.196 | 5.24 | |
Содержание металлов в КМК после сорбции | кг/т руды | 82.8 | 129.8 | 62.5 | 79.94 | |
Стоимость металлов в природных КМК | $ | 2.45 | 13.23 | 12.74 | 289.5 | 317.92 |
Стоимость металла в КМК-сорбенте | $ | 745.2 | 1168.2 | 4062.5 | 4416.7 | 10 392.6 |
Прирост ценности КМК | $/т руды | 742.75 | 1154.9 | 4049.76 | 4127.2 | 10 074.7 |
ЗАКЛЮЧЕНИЕ
Проведенные экспериментальные исследования свидетельствуют о том, что кобальтоносные марганцевые корки и корково-конкреционные образования гайотов Тихого океана являются природными высокоселективными сорбентами катионов редкоземельных металлов — Ce 3+, Y 3+, La 3+, а также Со 2+. Обменная емкость рудных минералов КМК и ККО возрастает в ряду: La 3+<Y 3+<Co 2+<Ce 3+и составляет (средние значения) от 1.67 по La 3+ до 2.84 мг-экв/г по Се 3+, что является высокими показателями для природных минеральных ионообменников. Поглотительная способность КМК и ККО по катионам редкоземельных металлов не зависит от географического расположения гайотов, которые значительно удалены друг от друга. Результаты сорбции катионов Ce 3+, Y 3+ и La 3+ также свидетельствуют об отсутствии влияния возраста минералов на их сорбционные свойства. Следовательно, поглощение катионов РЗМ определяется физико-химическими и кристаллохимическими свойствами рудных минералов.
Реакции ионного обмена катионов Ce 3+, Y 3+ и La 3+ на рудных минералах корок сопровождаются интенсивным поглощением этих катионов при таком же интенсивном извлечении катионов Na+, K+, Ca 2+, Mg 2+ и Mn 2+. Катионы щелочных, щелочно-земельных, Mn 2+ и других тяжелых металлов составляют обменный комплекс рудных минералов корок, при этом вклад первых четырех катионов металлов в обменную емкость оценивается в ~98.5%.
Результаты экспериментов указывают на одинаковое протекание обменных реакций катионов Ce 3+, Y 3+, La 3+ и Со 2+ на рудных минералах корок, тогда как процессы десорбции этих элементов характеризуются индивидуальными особенностями. В солевых и кислотных растворах сорбированные на рудных минералах корок катионы редкоземельных металлов частично, в эквивалентных количествах обмениваются между собой и с протонами Н+. Это позволяет говорить о двух формах нахождения РЗМ в рудных минералах корок — сорбированной и химически связанной. Катионы Y 3+ и La 3+ находятся, в основном, в сорбированной форме (72.1–97.2%) и в меньшей степени — в химически связанной форме, тогда как для катионов Се 3+ и Со 3+, напротив, химически связанная форма является основной и составляет около 70%, а остальное их количество находится в сорбированной форме. Катионы металлов, находящиеся в сорбированной форме, достаточно легко переходят в растворы электролитов, тогда как катионы металлов в химически связанной форме в растворы не извлекаются (при данных условиях экспериментов). Кроме того, полученные результаты свидетельствуют о существенно более высокой селективности рудных минералов корок к катионам Се 3+ по сравнению с Y 3+ и La 3+. Скорее всего, именно это свойство минералов во многом объясняет факт повышенного содержания церия в корках подводных гор океана по сравнению с другими катионами редкоземельных металлов.
Не менее важен вывод о том, что предварительное использование кобальтоносных марганцевых корок в качестве сорбента катионов редкоземельных металлов может существенно повысить технико-экономические показатели всего гидрометаллургического процесса их передела и позволит получить из них не только основные, но и попутные металлы.
ИСТОЧНИКИ ФИНАНСИРОВАНИЯ
Часть работы, связанная с подготовкой проб к химико-аналитическим работам и экспериментальным исследованиям выполнена по базовой теме № 0149-2019-0005; экспериментальные физико-химические исследования и аналитические определения катионов металлов выполнены при финансовой поддержке Российского Научного Фонда, грант № 14-50-00095.
Об авторах
Г. В. Новиков
Институт океанологии им. П. П. Ширшова РАН
Автор, ответственный за переписку.
Email: gvnovikov@yandex.ru
Россия, 117997 Москва, Нахимовский проспект, 36
Н. В. Лобус
Институт океанологии им. П. П. Ширшова РАН
Email: gvnovikov@yandex.ru
Россия, 117997 Москва, Нахимовский проспект, 36
А. Н. Дроздова
Институт океанологии им. П. П. Ширшова РАН
Email: gvnovikov@yandex.ru
Россия, 117997 Москва, Нахимовский проспект, 36
Ю. П. Диков
Институт геологии рудных месторождений, петрографии, минералогии и геохимии РАН
Email: gvnovikov@yandex.ru
Россия, 119017 Москва, Старомонетный пер., 35
Список литературы
- Андреев С. И. “Все на дно!” или гонка за лидером // Редкие земли. 2016. № 1. С. 27–39.
- Бутузова Г. Ю., Морозов А. А., Дриц В. А., Горшков А. И. Минералогия и процессы формирования окисных форм железа и марганца в рифтовой зоне Красного моря // Литология и полез. ископаемые. 1988. № 6. С. 17–30.
- Варенцов И. М. Fe-Mn-оксигидроксидные корки подводной горы Безымянная-640, Восточная Атлантика: геохимия редкоземельных элементов, модель формирования // Геология рудных месторождений. 1993. Т. 35. № 4. С. 291–306.
- Дубинин А. В. Редкоземельные богатства океана // Редкие земли. 2016. № 1. С. 50–57.
- Дубинин А. В., Волков И. И. Механизм накопления редкоземельных элементов на гидроксидах железа в океане // Геохимия. 1986. № 8. С. 1089–1100.
- Кобальтобогатые руды Мирового океана. СПб.: ВНИИОкеангеология, 2002. 167 с.
- Мельников М. Е. Месторождения кобальтоносных марганцевых корок. Геленджик: ФГУГП ГНЦ, 2005. 230 с.
- Мельников М. Е., Плетнев С. П. Распределение церия в скоплениях железомарганцевых корок различного ранга на Магеллановых горах (Тихий океан) // Геология и полезные ископаемые Мирового океана. 2009. № 1. С. 23–36.
- Мельников М. Е., Седышева Т. Е. Редкоземельные элементы в железомарганцевых корках Магеллановых гор (Тихий океан) // Благородные, редкие и радиоактивные элементы в рудообразующих системах // Материалы Всеросс. научной конференции с международным участием (Новосибирск 28‒30 октября 2014 г.) Новосибирск: ИНГГ СО РАН, 2014. С. 442–449. [Электр. ресурс] http://shakhov.igm.nsc.ru/pdf Access: 15.12.2018.
- Морозов А. А. Марганец в раннем диагенезе и образование ЖМК (на примере осадков и конкреций южной части Гватемальской котловины). Сообщение 2. О механизме формирования ЖМК // Литология и полез. ископаемые. 1995. № 4. С. 390–411.
- Морозов А. А., Новиков Г. В., Куликова Л. Н. Океанское низкотемпературное железомарганцевое минералообразование: вопросы формирования химического и минерального состава. Синтез и сорбционные свойства оксид-гидроксидных марганцевых фаз // Геохимия. 2001. № 8. С. 845–861.
- Новиков Г. В. Океанические железо-марганцевые образования — сорбенты ионов металлов: химико-минералогический аспект // Зап. ВМО. 1996. № 3. С. 38–51.
- Новиков Г. В. К вопросу о формах некоторых элементов в составе океанских железомарганцевых образований (по экспериментальным данным) // Океанология. 1997. Т. 37. № 3. С. 373–380.
- Новиков Г. В. Кинетика сорбции катионов металлов на железомарганцевых образованиях подводных гор // Теория и практика сорбционных процессов. Воронеж: Изд-во ВГУ, 1998. С. 141–158.
- Новиков Г. В. Методы оценки сорбционных свойств железомарганцевых отложений Мирового океана. М.: Граница, 2005. 48 с.
- Новиков Г. В. Сорбционные типы железомарганцевых образований Мирового океана // Минералого-технологическая оценка месторождений полезных ископаемых и проблемы раскрытия минералов. Петрозаводск: Карельский научный центр РАН, 2011. С. 68–82.
- Новиков Г. В. Вопросы генезиса железомарганцевых образований. Гипотезы и экспериментальное физико-химическое моделирование // Мировой океан. Т. 3. Твердые полезные ископаемые и газовые гидраты в океане. М.: ООО “Научный мир”, 2018. С. 323–354.
- Новиков Г. В., Скорнякова Н. С. Сорбционные особенности океанских железомарганцевых конкреций и корок // Геохимия. 1998. № 5. С. 505–17.
- Новиков Г. В., Андреев С. И., Аникеева Л. И. Сорбционная активность железомарганцевых образований океана // Литосфера океана: состав, строение, развитие, прогноз и оценка минеральных ресурсов. СПб.: ВНИИОкеангеология. 1995. С. 291–304.
- Новиков Г. В., Челищев Н. Ф., Сметанникова О. Г. и др. О вхождении цветных металлов в марганцевые минералы океанических конкреций и корок // Зап. ВМО. 1993. № 3. С. 49–61.
- Новиков Г. В., Куликова Л. Н., Богданова О. Ю. и др. Синтез и сорбционные свойства гидратированного диоксида марганца слоистой структуры, насыщенного катионами щелочных металлов // Журнал неорганической химии. 2005. Т. 50. № 12. С. 1972–1980.
- Новиков Г. В., Викентьев И. В., Богданова О. Ю. Сорбция катионов тяжелых металлов низкотемпературными отложениями гидротермальных полей Тихого океана // Геология рудных месторождений. 2006а. Т. 48. № 4. С. 351–374.
- Новиков Г. В., Куликова Л. Н., Богданова О. Ю., Сычкова Г. И. Синтез и сорбционные свойства гидратированного диоксида марганца слоистой структуры, насыщенного катионами щелочноземельных металлов // Журнал неорганической химии. 2006б. Т. 51. № 2. С. 220–232.
- Новиков Г. В., Мурдмаа И. О. Ионообменные свойства океанских железомарганцевых конкреций и вмещающих пелагических осадков // Литология и полез. ископаемые. 2007. № 2. С. 153–186.
- Новиков Г. В., Куликова Л. Н., Богданова О. Ю. и др. Синтез и сорбционные свойства гидратированного диоксида марганца слоистой структуры, насыщенного катионами s-, pи d-элементов // Журнал неорганической химии. 2009. Т. 54. № 2. С. 212–222.
- Новиков Г. В., Свальнов В. Н., Богданова О. Ю., Сивцов А. В. Ионообменные свойства минералов марганца и железа океанских микроконкреций // Литология и полез. ископаемые. 2010. № 5. С. 461–476.
- Новиков Г. В., Мельников М. Е., Богданова О. Ю., Викентьев И. В. Природа кобальтоносных железомарганцевых корок Магеллановых гор Тихого океана. Сообщение 1. Геология, минералогия, геохимия // Литология и полез. ископаемые. 2014а. № 1. С. 3–25.
- Новиков Г. В., Яшина С. В., Мельников М. Е. и др. Природа кобальтоносных железомарганцевых корок Магеллановых гор Тихого океана. Сообщение 2. Ионообменные свойства рудных минералов // Литология и полез. ископаемые. 2014б. № 2. С. 137–164.
- Новиков Г. В., Мельников М. Е., Лобковский Л. И. и др. Рудоносность поднятия Маркус-Уэйк (Тихий океан) // ДАН. 2015. Т. 465. № 4. С. 469–472.
- Новиков Г. В., Богданова О. Ю., Мельников М. Е. и др. Поведение катионов Zn 2+, Cd 2+, Ba 2+ и Pb 2+ железомарганцевых корок поднятия Маркус-Уэйк (Тихий океан) в водных растворах солей металлов // Океанология. 2016. Т. 56. № 1. С. 70–75.
- Новиков Г. В., Мельников М. Е., Богданова О. Ю. и др. Минералогия и геохимия кобальтоносных марганцевых корок гайотов Говорова и Вулканолог Магеллановых гор Тихого океана // Океанология. 2017. Т. 57. № 5. С. 716–722.
- Челищев Н. Ф., Грибанова Н. К., Новиков Г. В. Сорбционные свойства океанических железомарганцевых конкреций и корок. М.: Недра, 1992. 317 с.
- Чухров Ф. В., Горшков А. И., Дриц В. А. Гипергенные окислы марганца. М.: Наука, 1989. 208 с.
- Bricker O. P. Some stability relation in the system Mn–O–H2O at 25°c and 1 atmosphere total pressure // Am. Mineral. 1965. V. 50. P. 1296–1354.
- Bruland K. W., Lohan M. C. Controls of trace metals in sea water // The oceans and marine geochemistry. V. 6. Treatise of geochemistry / Eds H. D. Holland, K. K. Turekian. Amsterdam: Elsevier, 2004. P. 23–47.
- Cui H. J., Liu X. W., Tan W. F. et al. Influence of Mn (III) availability on the phase transformation from layered buserite to tunnel–structured todorokite // Clays and Clay Miner. 2008. V. 56. P. 397–403.
- Cui H. J., Qui G. H., Feng X. H. et al. Burnessite with different average manganese oxidation states were synthesized, characterized, and transformed to todorokite at atmospheric pressure // Clays and Clay Miner. 2009. V. 57 (6). P. 715–724.
- Davranche M., Pourret O., Gruau G. et al. Adsorption of REE(III)–hymate complexes onto MnO2: experimental evidence for cerium anomaly and lanthanide tetrad effect suppression // Geochim. et Cosmochim. Acta. 2005. V. 69. P. 4825–4835.
- Davranche M., Pourret O., Gruau G. et al. Competitive binding of REE to humic acid and manganese oxide: impact of reaction kinetics on development of cerium anomaly and REE adsorption // Chem. Geol. 2008. 247. P. 154–170.
- Drits V. A., Silvester E., Gorshkov A. I., Manceau A. The ctructure of synthetic monoclinic Na–rich birnessite and hexagonal birnessite. Part 1. Results from X–ray diffraction and selected area electron diffraction // Amer. Mineral. 1997. V. 82. P. 946–961.
- Elderfield H., Hawkesworth C. J., Creaves M. J., Calvert S. E. Rare earth geochemistry of oceanic ferromanganese nodules and associated sediments // Geochim. et Cosmochim. Acta. 1981. V. 45. № 4. P. 513–528.
- Feng X. H., Zhu M., Ginder–vogel M. et al. Fjrmation of nano–crystlline todorokite from biogenic Mn oxides // Geochim. et Cosmochim. Acta. 2010. V. 74. № 11. P. 3232–3245.
- Giovanoli R. On natural and synthetic nodules // Geology and Geochemistry of Manganese. V. 1 / Eds M. Varentsov, G. Grasselly. Stuttgart: E. Schweizerbart’sche Verlagsbuchhandlung, 1980. P. 169–202.
- Goldberg E. D. Chemistry in the oceans // Oceanography / Ed. M. Sears. Washington, D. C., Publ. Am. Assoc. Advan. Sci. 1961. № 67. P. 358–367.
- Hein J. R., Manheim F. T., Schwab W. C. et. al. Ferromanganese crusts from Necker Ridge, Horizon Quyot and S. P. Lee Guyot: geological consideration // Mar. Geol. 1985. V. 69. № 112. P. 25–54.
- Hem J. D. Redox coprecipitation mechanisms of manganese oxides // Particulates in water: characterization, fate, effects, and removal / Eds M. C. Kavanaugh, J. O. Leckie. Advances in Chemistry. V. 189. Amer. Chem. Soc. Washington, D. C., 1980. P. 45–72.
- Hem J. D., Lind C. J. Nonequilibrium nodels for predicting forms of precipitation manganese oxides // Geochim. et Cosmochim. Acta. 1983. V. 47. № 11. P. 203–2046.
- Koeppenkastor D., De Carlo E. H. Sorption of rare–earth elements from seawater onto synthetic mineral particles: An experimental approach // Chem. Geol. 1992. 95. P. 251–263.
- Kwon K. D., Refson K., Sposito G. Understanding the trends of transition metal sorption by vacancy sites in birnessite // Geochim. et Cosmochim. Acta. 2013. V. 101. P. 222–232.
- Manceau A., Llorca S., Calas G. Crystal chemistry of cobalt and nickel in lithiophorite and asbolan from New Caledonia // Geochim. et Cosmochim. Acta. 1987. V. 51. № 1. P. 105–113.
- Manceau A., Drits V. A., Silvester E. et al. Structural mechanism of Co 3+ oxidation by the phyllomanganate buserite // Amer. Mineral. 1997. V. 82. P. 1150–1175.
- Manceau A., Lanson B., Drits V. A. Sructure of heavy metal sorbed birnessite. Part III: results from powder and polarized extended X–ray absorption fine structure spectroscopy // Geochim. et Cosmochim. Acta. 2002. V. 66. P. 2639–2663.
- Manceau A., Lanson M., Geoffroy N. Natural speciation of Ni, Zn, Ba and As in ferromanganese coatings on quartz using of X-ray fluorescents, adsorption, and diffraction // Geochim. et Cosmochim. Acta. 2007. V. 71. P. 95–128.
- Morgan J. J. Chemistry of aqueous manganese II and IV. Harvard, 1965.
- Morgan J. J. Kinetics of reaction between O2 and Mn (II) species in aquatic solutions // Geochim. et Cosmochim. Acta. 2005. V. 69. № 1. P. 35–48.
- Music S., Ristic M. Adsorption of trace elements or radionuclides on hydrous iron oxides // J. Radioanal. Nucl. Chem. Art. 1998. V. 120 (2). P. 289–304.
- Naumkin A. V., Kraut-Vass A., Gaarenstroom S. W., Powell C. J. NIST X-ray Photoelectron Spectroscopy Database. Version 4.1.1 // NIST Standard Reference Database. V. 20. Gaithersburg, MD: U. S. Dept. of Commerce, Technology Administration, National Institute of Standards and Technology, 2012.
- Ohta A., Kawabe I. REE (III) adsorption onto Mn dioxide (δ-MnO2) and Fe oxyhydroxide: Ce (III) oxidation by δ-MnO2 // Geochim. et Cosmochim. Acta. 2001. V. 65. № 5. P. 695–703.
- Quinn K. A., Byrne R. H., Schijf J. Influence of solution and surface chemistry on yttrium and rare earth element sorption // Mar. Chem. 2006. V. 93. P. 128–150.
- Peacock C. L., Sherman D. M. Crystal-chemistry of Ni in marine ferromanganese crusts and nodule // Am. Mineral. 2007. V. 92. P. 1087–1092.
- Silvester E., Manceau A., Drits V. A. The structure of synthetic monoclinic Na-rich birnessite and hexagonal birnessite. Part 2: Results from chemical studies and EXAFES spectroscopy // Am. Mineral. 1997. V. 82. P. 962–978.
- Takahashi Y., Manceau A., Geoffroy N. et al. Chemical and structure control of the partitioning of Co, Ce and Pb in marine ferromanganese oxides // Geochim. et Cosmochim. Acta. 2007. V. 71. P. 984–1008.
- Tanaka K., Tani Y., Takahashi Y. et al. A specific Ce oxidation process during sorption of rare earth elements on biogenic Mn oxide produced by Acremonium sp. strain KR21–2 // Geochim. et Cosmochim. Acta. 2010. V. 74 (19). P. 5463–5477.
- Vikentyev I. V., Novikov G. V., Bogdanova O.Yu. Sorption of heavy metal cations by low-temperature deposits of Pacific hydrothermal fields / Eds C. J. Andrew et al. // Didding Deeper. Proc. of the Ninth Biennial SGA Meeting. Dublin, Ireland, 2007. P. 797–800.
- Villalobos M., Lanson B., Manceau A. et al. Structural model for the biogenic Mn oxide produced by Pseudomonas putida // Am. Mineral. 2006. V. 91. P. 489–502.
- Yang D. S., Wang M. K. Syntheses and characterization of birnessite by oxidizing pyrochroite in alkaline condition // Clays and Clay Miner. 2002. V. 50. P. 63–69.
Дополнительные файлы






