Rare elements — setting markers of the formation of the manganese and iron ore deposits of Kalahari and Postmasburg areas (South Africa). Communication 1. Kalahari manganese field
- Authors: Varentsov I.M.1, Kuleshov V.N.2
-
Affiliations:
- Moscow State Regional University
- Geological Institute, Russian Academy of Sciences
- Issue: No 4 (2019)
- Pages: 364-386
- Section: Articles
- URL: https://journals.eco-vector.com/0024-497X/article/view/15277
- DOI: https://doi.org/10.31857/S0024-497X20194364-386
- ID: 15277
Cite item
Full Text
Abstract
In manganese ores of the Hotazel Formation (Transvaal supergroup) of the Lower Proterozoic, associated with banded ferrous silicites, high concentrations of a number of rare elements (B, Ge, W, Mo, Cr, Ni, Zn, Cd, Pb, Ag, Bi, As, Sb, Te, Se) were determined. High boron contents in oxide-carbonate ores (manganese lutites) are considered as a consequence of the concentration by chemsorbtion of this element on Mn-carbonates. It is proposed that as a result of hydrothermal transformations, a wide range of ore-forming (mainly Fe, Mn) and rare elements (including REE) was removed from the underlying andesite-basaltic hyaloclastite Ongeluk Formation In manganese ores and ferruginous silicites, typical values of cerium (Ce/Ce* 0.28–1.72) and europium (Eu/Eu* 0.57–16.31) anomalies were established, which may indicate that the initial sediments accumulated in the marginal shallow sea basin with a pronounced oxide surface water layer and close to anoxide conditions near the bottom. Metalliferous (Mn, Fe) sediments of a shallow water basin at different stages of lithogenesis were enriched with europium (positive Eu/Eu*), subjected to metasomatosis (with redistribution of manganese and the formation of manganese carbonates) and, subsequently, regional metamorphism (up to the stage of sericitic green schists).
Full Text
В марганцевых месторождениях докембрия, располагающихся на суше, заключено 83.6% мировых запасов марганцевых руд, ассоциирующих с осадочными породами, что в пересчете на Mn составляет примерно 5.2 млрд т [Beukes, 1983; USGS Mineral …, 2009; Varentsov, 1996; Beukes, Gutzmer, 2009]. Из них около 77% Mn приходится на палеопротерозойские месторождения (2.2 млрд лет) марганцеворудных площадей Калахари и Постмасбург, находящихся в северных районах Капской провинции Южной Африки (рис. 1). Запасы других докембрийских месторождений марганца (3.0–0.6 млрд лет) составляют 6.6% мировых запасов, тогда как с отложениями фанерозоя связано 16.4%. Таким образом, в узком геохронологическом интервале (2.00–2.25 млрд лет) заключены грандиозные запасы как оксидных марганцевых руд, так и их карбонатных разностей.
Рис. 1. Обзорная геологическая карта района месторождений марганцеворудных площадей Калахари и Постмасбург (геологическое время пред-Кару), западное погружение Каапваальского кратона, Южная Африка [Beukes, Smit, 1987]. Интрузивные образования не показаны.
1–4 — отложения Трансваальской Супергруппы: 1 — формация Лукноу (базальные конгломераты, сланцы, кварциты, лавы андезито-базальтов), отделена перерывом от формаций Гамагара-Мопеди, 2 — подгруппа Вёлватер (доломиты, сланцы, железои марганцеворудные формации) и формация Онжелук (андезито-базальты), 3 — формация Макганиен (диамиктиты), 4 — подгруппа Кампбеллрэнд (карбонаты, редко — сланцы); 5 — надвиг; 6 — скважины; 7 — разломы; 8 — направление падения пластов.
Буквами на схеме обозначены формации: V — Онжелук, лавы андезито-базальтов, R‒N — отложения железорудных формаций: R — Нелани-Рооиннекке, N — Нарагас-Дорадел-Панетодже, G — Грикватаун, К — Куруман.
Несмотря на то, что геологическое положение, минералогия и геохимия марганцевых руд месторождений марганцеворудного поля Калахари (МПК) изучены сравнительно детально, а сами месторождения интенсивно разрабатываются более века, происхождение первичных руд марганца и источник рудного вещества в научной литературе до сих пор остаются дискуссионным.
Относительно происхождения первичных марганцевых руд (типа “маматван”) МПК существуют разные точки зрения. Наиболее ранним и распространенным является представление об их осадочном происхождении — химическом осаждении в мелководных морских условиях [Boardman, 1964]. Сторонники этой точки зрения для объяснения способа формирования марганценосных осадков привлекают трансгрессивно-регрессивный или апвеллинговый механизмы.
Согласно трансгрессивно-регрессивной модели [Frakes, Bolton, 1984; Cannon, Force, 1983; Force, Cannon, 1988], формирование марганцерудных отложений происходило на фоне изменений уровня моря, определяющих положение границы распространения оксидов марганца в пределах шельфа. C. Нель с соавторами [Nel et al., 1986] в составе марганцеворудной толщи месторождения Маматван выделяет три горизонта, соответствующих трем трансгрессивно-регрессивным циклам.
По апвеллинговой модели, образование толщи оксидов марганца происходило в результате поступления богатых марганцем глубинных океанических вод в окислительные условия шельфа [Сannon, Force, 1983; Force, Cannon, 1988].
Наряду с указанными моделями, важное место принадлежит представлениям о вулканогенно-эксгалятивном происхождении марганцевых руд. Источником марганца в данном случае служили флюиды гидротермальной системы, выносившие этот элемент из толщи подстилающих андезитов формации Онжелук в придонные воды шельфового бассейна [Cornell, Shutte, 1995]. В качестве разновидности этой модели было высказано предположение [Кулешов, 2012, Кулешов, 2013] о том, что хотя источником марганца, железа и кремния и служили подстилающие андезито-базальты, но в диагенезе и позднее, в уже сформировавшемся рудном осадке, могло происходить метасоматическое перераспределение элементов с образованием карбонатов марганца.
Необходимо отметить, что тонкодисперсные первичные марганцевые руды (лютиты) месторождений площади Калахари на отдельных участках претерпели метаморфические и гидротермальные преобразования, которые во многих случаях “затушевали” исходные признаки (литолого-петрографические, геохимические, изотопные и др.) их генезиса [Beukes et al., 1995; Gutzmer, Beukes, 1995, 1996; Gutzmer et al., 1997].
Задачей данной работы, основанной на результатах изучения концентраций ряда редких элементов (Ge, W, Mo, Cr, Ni, Zn, Cd, Pb, Ag, Bi, As, Sb, Te, Se), поведения бора (редокс-чувствительного элемента), а также редкоземельных элементов (РЗЭ), является выяснение особенностей формирования раннепротерозойских марганцевых руд и полосчатых железистых силицитов (джеспилитов) площади Калахари. Также высказаны предположения о возможном источнике рудного вещества.
МАТЕРИАЛЫ
Исследовалась коллекция представительных образцов (табл. 1), отобранных в виде штуфов И. М. Варенцовым в сентябре 1993 г. во время полевых экскурсий Южно-Африканской Рабочей Группы Проекта 318 Международной Программы Геологической Корреляции (IGCP Project 318): “Генезис и корреляция морских полиметаллических оксидов” и Комиссии по марганцу Международной Ассоциации по Генезису Рудных месторождений (IAGOD), а также образцы марганцевых руд и силицитов, собранные В. Н. Кулешовым во время полевых работ (2004 г.) на месторождениях.
Таблица 1. Список изученных образцов марганцевых руд и пород месторождения марганцеворудного поля Калахари (ЮАР)
№ п/п | № образца | Характеристика образца и место отбора |
1 | Вар-9/09/93 | Метадолерит. Обнажение у дороги Грикватаун-Троблершоп. |
2 | Вар-11/09/93 | Лютит марганцевый оксидно-карбонатный, конкреционный, тонкослоистый. Базальная часть. Нижний цикл. Калахари. Карьер Маматван. |
3 | Вар-11а | Лютит марганцевый апокарбонатно-оксидный, полосчато-кавернозный. Середина рудного пласта. Нижний цикл. Калахари. Карьер Маматван. |
4 | Вар-11б | Лютит марганцевый оксидно-карбонатный, баритизированный. Нижняя часть рудного пласта. Нижний цикл. Калахари. Карьер Маматван. |
5 | Вар-12 | Лютит марганцевый карбонатно-оксидный, баритизированный конкреционный, неясно-слоистый до массивного. Нижняя часть рудного пласта. Нижний цикл. Калахари. Карьер Маматван. |
6 | Вар-14 | Лютит марганцевый силикатно-оксидный, эпигенетически измененный, с силикатно-оксидными прожилками. Калахари. Шахта Смарт. |
7 | Вар-15а | Лютит марганцевый силикатно-оксидный, линзовидно-слоистый. У несогласного контакта формации полосчатых железных руд с пиллоу лавами Онжелук. Калахари. Карьер Хотазель. |
8 | Вар-15а-1 | Джеспилит слоисто-полосчатый. Калахари. Карьер Хотазель. Из контакта формации полосчатых железных руд с пиллоу-лавами Онжелук. |
9 | Вар-16 | Лютит марганцевый силикатно-оксидный, массивный. Шахта Н‘Чванинг. |
10 | Нчв-2/04 | Базальные Fe-Mn-силициты формации Хотазель. Шахта Н‘Чванинг. |
11 | Нчв-7/04 | Перекрывающая рудный горизонт толща железистых силицитов. Формация Хотазель. Шахта Н‘Чванинг. |
12 | Нчв-9/04 | То же. |
ОБЩИЕ ГЕОЛОГИЧЕСКИЕ СВЕДЕНИЯ
Геологическое положение. Марганцеворудная площадь Калахари (МПК) располагается на западном погружении Каапваальского кратона Южно-Африканской платформы. Примерно в 45 км южнее Калахари находится рудоносная площадь Постмасбург [Grobbelaar, Beukes, 1986] (см. рис. 1). Юго-восточные, восточные и северные части Каапваальского кратона сформировались в результате интенсивной аккреции и внедрения гранитоидных интрузий (3.25–3.10 млрд лет). Позднее, около 3 млрд лет назад оформились седиментационные бассейны Доминион, Витватерсранд и Понгола, развитие которых сопровождалось вулканизмом и гранитоидной интрузивной активностью [Eglington, Armstrong, 2004]. В результате протерозойского опускания сформировался Трансваальский бассейн. Радиологический возраст (U-Pb метод) наиболее древних осадков последнего (туффитовый слой формации Врайбург) соответствует 2642±2.3 млн лет [Beukes et al., 1993].
Гигантские месторождения марганцеворудного поля Калахари расположены в северной части Капской провинции, к северу от г. Постмасбурга [Grobbelaar, Beukes, 1986] (см. рис. 1). Марганцеворудные горизонты приурочены к породам формации Хотазель (группа Мооидраай супергруппы Трансвааль) нижнего протерозоя (рис. 2) и непрерывно прослеживаются от месторождения Маматван на юге до шахт Весселс и Блэк Рок на севере провинции. Рудные участки в пределах МПК несущественно различаются по типу строения рудного тела (пласта) [Kleyenstüber, 1984; Beukes, 1983; Miyano, Beukes, 1987]. Наиболее детально строение формации Хотазель изучено на месторождениях марганцевых руд южной части рудного поля — Маматван и Миддельплаатс. В нижней части формации залегает полосчатая толща гематит-кварцевых пород (подформация BIF — Banded Iron Formation), представленная чередованием краснои сероцветных железистых силицитов, с прослоями джеспилитов. Выше залегает толща железо-марганцевых лютитов, образованная пластами, в разной степени обогащенными оксидами железа и марганца (гематитом, якобситом, браунитом, браунитом-2, гаусманитом, биксбиитом и др.) и карбонатами (родохрозитом, манганокальцитом и кутнагоритом, по [Nel et al., 1986; Jennings, 1986; Варенцов, 2011; Варенцов и др., 2011]).
Рис. 2. Литостратиграфическая схема Подгруппы Вёльватер, участок шахты Хотазель [Gutzmer, Beukes, 2009].
В разрезе рудной толщи выделяется три рудных тела (см. рис. 2): нижнее, среднее и верхнее. Однако экономически выгодным является только нижнее, которое и отрабатывается на месторождениях. В его строении по текстурным, минералогическим и химическим особенностям выделяется 11 горизонтов [Nel et al., 1986; Gutzmer et al., 1997]. Максимальная мощность нижнего рудного тела достигает 45 м в пределах южной границы поля (месторождение Маматван) и уменьшается в северном направлении до 5 м на расстоянии около 35 км (месторождение Вессельс). Среднее рудное тело маломощное — до 2 м, верхнее — по мощности достигает 5 м и отрабатывается локально (месторождение Блэк Рок).
Полосчатые железные руды основания формации Хотазель с видимым согласием (не исключающим стратиграфического перерыва [Kirschvink et al., 2000]) залегают на неравномерно измененных субаквальных андезит-базальтовых пиллоу-лавах формации Онжелук (мощностью до 900 м), включающих массивные разности и гиалокластиты. Эта формация является частью мощной серии базальтовых излияний, образующих формации Хекпорт и Онжелук [Beukes, 1983; Kirschvink et al., 2000]. В вулканитах между лавовыми потоками наблюдается несколько тонких джеспилитовых слоев. Это свидетельствует о присутствии в морском палеоводоеме свободного кислорода O2, являющегося продуктом фотосинтетической бактериальной активности или фотоферротрофных процессов [Croal et al., 2004].
Характерной особенностью раннепротерозойских мелководных карбонатов МПК является относительно высокое (до одного процента) содержание в них Mn [Veizer, 1978; Gutzmer, Beukes, 1996].
Ниже по разрезу залегают гляциальные диамиктиты формации Макганиен, которые являются базальными отложениями Группы Постмасбург, залегающей с эрозионным региональным несогласием на породах Подгруппы Коегас (Fe-силициты, сланцы) практически на всей территории Северной Капской провинции [Polteau et al., 2006].
Следует отметить, что марганцевые руды месторождений площади Калахари по времени своего формирования в краевом бассейне западной окраины Каапваальского кратона (2222±13 млн лет [Cornell et al., 1996]) совпадают с образованием раннепротерозойской формации полосчатых железных руд типа “Озера Верхнего”, и соответствуют периоду окончания глобального оледенения — начала “Великого события оксигенизации”.
Типы руд и минералогия. Породы рудной толщи МПК в разной степени подверглись процессам метаморфизма и гидротермальной переработки, что и определило присутствие в них нескольких промышленных типов марганцевых и железо-марганцевых руд: “маматван” (браунитовые лютиты), “вессельс” и “хотазель” (якобситовые лютиты), а также гипергенные руды (развитые по браунитовым лютитам) [Kleyenstüber, 1984; Nel et al., 1986; Beukes et al., 1995]. Однако основные запасы марганца рассматриваемого бассейна (около 95–97%) заключены в рудах типа “маматван”.
Руды типа “маматван”, согласно распространенной точке зрения — первичные седиментационно-диагенетические, с относительно низким содержанием марганца. Они представляют собой карбонатсодержащие оксидные руды и сложены в основном браунитом, гаусманитом, кутнагоритом и манганокальцитом. Карбонаты заключены в реликтах эллипсоидальных ооидов, содержащихся в тонкозернистой основной массе оксидов марганца. Размерность ооидов изменчива, в среднем около 20 мкм. Содержание Mn в рудах типа “маматван” варьирует в пределах 20–40% при низких концентрациях Fe (4–6%); характерны относительно высокие содержания СО2 — 12–18% и СаО — 14–16%.
Руды типа “вессельс” представляют собой продукт гидротермального изменения исходных руд типа “маматван”. Они сложены преимущественно браунитом-2, биксбиитом и гаусманитом с незначительным содержанием кальцита. Руды типа “хотазель” сложены преимущественно биксбиитом и гаусманитом, они представляют собой комбинацию гипергеннои гидротермально-измененных исходных руд типа “маматван”.
В рудах, не подвергшихся гипергенному или гидротермальному окислению, основная часть марганца находится в форме браунита (Mn+2 Mn+36 SiO12), образующего тонкие срастания с Mn-карбонатами — кутнагоритом и/или Mn-кальцитом. Подстилающие полосчатые железные руды образованы железистыми минералами магнетит-гематитового типа. Кутнагорит является характерным минералом карбонатных ооидов и наряду с браунитом встречается в основной массе. Изотопный состав углерода и кислорода (δ13СPDB = -13.5…-6.4‰, δ18ОSMOW = 15.2…20.3‰) в марганцевых рудах рассматриваемого типа можно интепретировать как следствие редукционных диагенетических процессов, в которых восстановление марганца (Mn 4+ → Mn 3+ → Mn 2+) происходило за счет окисления углерода Сорг → СО2 [Tsikos, Beukes, 2003; Кулешов, 2012, 2013].
ГЕОХИМИЯ РЕДКИХ ЭЛЕМЕНТОВ
В рудах и железистых силицитах марганцевых месторождений МПК определены концентрации главных, редких и редкоземельных химических элементов (табл. 2, 3). Для нас представляло интерес выяснить особенности поведения данных элементов в процессе Mnи Fe-рудообразования.
Таблица 2. Содержание (масс. %) главных химических элементов в марганцевых лютитах и джеспилите из месторождений площади Калахари (ЮАР)
№ п/п | № образца | Si | Al | Fe(III) | Fe(II) | Mn(II) | Mn(IV) | СO2 | Al/Si | F(II)/ Fe | Mn(II)/Mn | Mn/Fe |
Джеспилит | ||||||||||||
1 | Вар-15а-1 | 21.53 | 0.48 | 35.32 | 0.50 | 0.29 | не обн. | не обн. | 0.02 | 0.01 | 1.00 | 0.008 |
Mn-лютиты | ||||||||||||
2 | Вар-11 | 2.02 | 0.32 | 3.35 | не обн. | 22.15 | 16.17 | 19.03 | 0.16 | – | 0.58 | 11.44 |
3 | Вар-11а | 1.35 | 0.62 | 4.08 | не обн. | 7.02 | 44.48 | 0.87 | 0.46 | – | 0.14 | 12.62 |
4 | Вар-11б | 0.75 | 0.32 | 3.25 | не обн. | 17.93 | 13.83 | 24.91 | 0.43 | – | 0.56 | 9.77 |
5 | Вар-12 | 5.01 | 0.37 | 3.42 | не обн. | 12.04 | 16.97 | 18.43 | 0.07 | – | 0.42 | 8.48 |
6 | Вар-14 | 6.86 | 0.51 | 5.22 | не обн. | 5.93 | 37.40 | 1.40 | 0.07 | – | 0.14 | 8.30 |
7 | Вар-15а | 2.47 | 0.64 | 4.68 | не обн. | 42.95 | 17.56 | 2.70 | 0.26 | – | 0.71 | 12.93 |
8 | Вар-16 | 4.42 | 0.42 | 4.09 | не обн. | 31.69 | 25.34 | 0.89 | 0.01 | – | 0.56 | 13.94 |
Примечание. Прочерк — нет данных; не обн. — не обнаружено.
Таблица 3. Содержание (г/т) редких элементов в марганцевых лютитах и джеспилите из месторождений марганцеворудной площади Калахари (ЮАР)
Элемен-ты | Mn-лютиты | Джеспилит | |||||||||
Вар-11 | Вар-11a | Вар-11б | Вар-12 | Вар-14 | Вар-15a | Вар-16 | Среднее | Кконт. кора1) | Вар-15a-1 | Кконт. кора | |
Li | 2.464 | 3.509 | 6.337 | 7.857 | 9.754 | 1.717 | 11.700 | 6.191 | 0.16 | 2.844 | 0.18 |
Rb | 0.266 | 7.795 | 0.273 | 6.444 | 14.435 | 0.127 | 0.245 | 4.226 | 0.09 | 0.699 | 0.01 |
Tl | 0.006 | 0.003 | 0.054 | 0.003 | 0.119 | 0.005 | 0.005 | 0.028 | 0.06 | 0.011 | 0.02 |
Cs | 0.058 | 0.558 | 0.057 | 0.186 | 0.214 | 0.038 | 0.033 | 0.163 | 0.08 | 0.120 | 0.06 |
Ba | 166.650 | 108.590 | 559.917 | 221.241 | 80.080 | 23.744 | 40.640 | 171.552 | 0.38 | 86.954 | 0.19 |
Sr | 157.106 | 675.502 | 185.236 | 1262.075 | 4.979 | 6.837 | 3.263 | 327.857 | 1.02 | 12.533 | 0.04 |
Be | 0.296 | 0.374 | 0.048 | 0.362 | 0.223 | 0.462 | 1.497 | 0.466 | 0.24 | 0.720 | 0.38 |
B | 614.529 | 10.282 | 82.394 | 6.140 | 2.760 | 174.937 | 1331.622 | 317.523 | 28.87 | 11.394 | 1.04 |
Sc | 0.400 | 0.217 | не обн. | 0.286 | 1.519 | 0.464 | 0.045 | 0.419 | 0.02 | 0.549 | 0.03 |
Ga | 3.620 | 4.488 | 3.018 | 4.776 | 4.769 | 5.050 | 5.822 | 4.506 | 0.28 | 1.985 | 0.12 |
Ge | 0.467 | 1.155 | 0.144 | 0.029 | 0.565 | 0.985 | 1.391 | 0.677 | 0.52 | 2.280 | 1.75 |
Zr | 3.944 | 3.739 | 1.299 | 2.452 | 49.863 | 4.444 | 4.046 | 9.969 | 0.07 | 4.672 | 0.04 |
Hf | 0.066 | 0.092 | 0.034 | 0.039 | 1.550 | 0.084 | 0.088 | 0.279 | 0.07 | 0.081 | 0.02 |
Nb | 2.537 | 1.658 | 5.891 | 1.605 | 6.446 | 1.385 | 2.966 | 3.212 | 0.40 | 2.339 | 0.29 |
Ta | 0.205 | 0.156 | 0.505 | 0.061 | 0.540 | 0.116 | 0.243 | 0.261 | 0.37 | 0.193 | 0.28 |
W | 1.646 | 2.933 | 1.960 | 0.628 | 0.560 | 1.539 | 2.861 | 1.732 | 1.73 | 2.709 | 3.69 |
Mo | 7.177 | 9.103 | 5.263 | 5.772 | 3.911 | 11.008 | 11.135 | 7.624 | 9.53 | 6.218 | 7.77 |
Re | 0.0004 | 0.0003 | не обн. | не обн. | не обн. | 0.0007 | 0.002 | 0.0005 | 2.66 | 0.001 | 5.32 |
Sn | 0.137 | 0.198 | 0.138 | 0.118 | 0.498 | 0.448 | 0.350 | 0.269 | 0.16 | 0.271 | 0.16 |
V | 2.351 | 5.881 | 1.211 | 55.832 | 18.559 | 1.846 | 7.591 | 13.324 | 0.09 | 12.039 | 0.08 |
Cr | 98.623 | 89.849 | 74.828 | 237.650 | 331.773 | 172.404 | 291.317 | 185.206 | 1.37 | 618.003 | 4.58 |
Co | 43.597 | 32.249 | 19.846 | 41.174 | 45.013 | 14.104 | 19.758 | 30.820 | 1.16 | 4.105 | 0.15 |
Ni | 61.703 | 55.159 | 52.103 | 126.304 | 204.316 | 95.717 | 174.229 | 109.933 | 1.86 | 349.966 | 5.93 |
Cu | 4.523 | 2.721 | 3.017 | 3.474 | 196.461 | 2.714 | 286.278 | 71.313 | 2.64 | 12.288 | 0.45 |
Zn | 71.950 | 112.351 | 32.342 | 15.568 | 22.278 | 1469.499 | 14.051 | 248.291 | 3.45 | 8.995 | 0.01 |
Cd | 0.020 | 0.024 | 0.021 | 0.100 | 0.023 | 0.032 | 0.188 | 0.058 | 0.72 | 0.007 | 0.09 |
Pb | 3.905 | 4.354 | 2.319 | 0.931 | 38.765 | 113.328 | 12.000 | 25.086 | 2.28 | 2.653 | 0.24 |
Ag | 0.092 | 0.055 | 0.124 | 0.064 | 0.637 | 0.038 | 0.138 | 0.164 | 2.93 | 0.087 | 1.55 |
Bi | 0.035 | 0.034 | 0.041 | 0.007 | 0.399 | 0.036 | 0.053 | 0.086 | 0.48 | 0.025 | 0.14 |
As | 6.707 | 7.529 | 2.728 | 6.443 | 13.650 | 17.013 | 15.338 | 9.915 | 3.97 | 6.483 | 2.59 |
Sb | 0.263 | 0.600 | 0.332 | 0.244 | 0.906 | 0.308 | 0.197 | 0.407 | 2.04 | 1.031 | 5.16 |
Te | 0.005 | 0.016 | 0.023 | 0.011 | 0.037 | 0.018 | 0.005 | 0.016 | 16000 | 0.012 | 12.0 |
Se | 0.054 | не обн. | 0.021 | не обн. | 0.773 | 0.057 | 0.029 | 0.133 | 1.02 | - | - |
S | 21.141 | 15.111 | 23.312 | не обн. | не обн. | 9.346 | 19.842 | 12.679 | 0.03 | 21.209 | 0.05 |
Th | 0.483 | 0.667 | 0.268 | 0.222 | 12.244 | 0.388 | 0.587 | 2.123 | 0.38 | 0.343 | 0.06 |
U | 0.284 | 0.838 | 0.271 | 5.246 | 84.958 | 0.464 | 0.840 | 13.272 | 10.21 | 0.157 | 0.12 |
Y | 5.437 | 7.060 | 1.632 | 3.049 | 5.860 | 21.477 | 6.073 | 7.227 | 0.38 | 3.535 | 0.19 |
La | - | 3.575 | - | 1.632 | 10.990 | 4.674 | 8.109 | 4.818 | 0.24 | 3.269 | 0.16 |
Ce | - | 4.517 | - | 1.505 | 20.591 | 4.041 | 6.961 | 6.087 | 0.14 | 4.822 | 0.11 |
Pr | - | 0.708 | - | 0.242 | 2.075 | 2.311 | 0.757 | 0.989 | 0.20 | 0.477 | 0.10 |
Nd | - | 3.245 | - | 1.033 | 7.533 | 10.873 | 3.301 | 4.224 | 0.21 | 1.722 | 0.09 |
Sm | - | 0.766 | - | 0.177 | 1.553 | 1.893 | 0.678 | 0.772 | 0.20 | 0.329 | 0.08 |
Eu | - | 0.210 | - | 0.037 | 0.244 | 0.486 | 0.195 | 0.186 | 0.17 | 0.097 | 0.09 |
Gd | - | 0.605 | - | 0.249 | 1.286 | 0.892 | 0.792 | 0.801 | 0.22 | 0.410 | 0.11 |
Tb | - | 0.143 | - | 0.039 | 0.215 | 0.188 | 0.108 | 0.117 | 0.19 | 0.066 | 0.11 |
Dy | - | 0.994 | - | 0.302 | 1.391 | 0.954 | 0.787 | 0.763 | 0.21 | 0.515 | 0.14 |
Ho | - | 0.215 | - | 0.078 | 0.264 | 0.226 | 0.191 | 0.168 | 0.22 | 0.118 | 0.15 |
Er | - | 0.597 | - | 0.245 | 0.741 | 0.651 | 0.609 | 0.496 | 0.24 | 0.404 | 0.19 |
Tm | - | 0.082 | - | 0.037 | 0.106 | 0.095 | 0.090 | 0.072 | 0.26 | 0.066 | 0.24 |
Yb | - | 0.515 | - | 0.245 | 0.672 | 0.607 | 0.609 | 0.466 | 0.24 | 0.497 | 0.26 |
Lu | - | 0.085 | - | 0.041 | 0.099 | 0.103 | 0.100 | 0.076 | 0.25 | 0.086 | 0.29 |
Примечание. 1) — нормировано на содержание элемента в земной коре [Rudnick, Gao, 2003]; не обн. — не обнаружено; прочерк — нет данных.
Геохимия Cr, Ge, As, Nb, Mo, Ag, Sb, Te, Re, W. Величины содержания этих элементов в изученных породах и рудах марганцевых месторождений Калахари заметно превышают средние концентрации в земной коре [Rudnick, Gao, 2003] и сопоставимы с типичными для гидротермальных осадков спрединговых зон океана [Michard, Albarede, 1986; Варенцов, 2011; Варенцов и др., 2011] (см. табл. 3, табл. 4, рис. 3). Перечисленные элементы в целом принадлежат к группе металлоидов со свойствами катионов, однако некоторые из них образуют также и кислородсодержащие анионы, которые являются маркерами интенсивности окислительных процессов в морской воде [Morford, Emerson, 1999]. В водных растворах они обладают способностью к гидролизу (например, Mo+6 + 4H2O → Mо42+ 8H+). Многие элементы (сурьма, мышьяк, германий, вольфрам, селен и теллур) в морской обычно находятся в форме оксианионов. В подобной форме встречаются также и переходные металлы: хром, молибден, осмий, рений, вольфрам и ванадий. Кроме того, ионы большинства обсуждаемых элементов могут встречаться в разных степенях окисления, например As 3+ и As 5+.
Рис. 3. Средние концентрации B, Cr, As, Nb, Mo, Ag, Sb, Te, Re и W, нормированные на содержание элементов в земной коре [Rudnick, Gao, 2003], в марганцевых рудах (Mn-лютитах) месторождений площади Калахари, Южная Африка.
Таблица 4. Концентрации редких элементов (г/т) и величины, нормализованные к земной коре в рудах и породах месторождений площади Калахари (Южная Африка) и в металлоносных гидротермальных осадках океана
Эле-мент | Джеспилит | Mn-лютит | Гидротермальные осадки | Контин-тальная земная кора, среднее х3) | |||||
Базальная зона Срединно-океанского хребта х1) | Гребневая зона Срединно-океанского хребта х2) | ||||||||
Норм. | г/т | Норм. | г/т | Норм. | г/т | Норм. | г/т | г/т | |
B | ‒ | ‒ | 28.86 | 317.523 | 11.18 | 123 | 45,46 | 500 | 11 |
Cr | 3.79 | 512.426 | 1.37 | 185.206 | 1.370 | 15.000 | 0.407‒7.407 | 55.000‒ 1000.000 | 135 |
Ge | 2.27 | 2.955 | 0.52 | 0.677 | 2.538 | 3.300 | 2.540 | 2.000‒ 20.000 | 1.3 |
As | 2.73 | 6.843 | 3.96 | 9.915 | 72.000‒ 2480.0 | 180.000‒ 6200.000 | 58.000 | 145.000 | 2.5 |
Nb | 1.64 | 13.195 | 0.40 | 3.212 | 0.637 | 5.100 | 0.500 | 4.000 | 8 |
Mo | 6.53 | 5.225 | 9.65 | 7.724 | 12.500‒ 18.750 | 10.000‒ 15.000 | 375.000 | 30.000 | 0.8 |
Ag | 4.92 | 0.276 | 2.92 | 0.164 | 3.214 | 0.180 | 39.286– 110.714 | 2.200‒ 6.200 | 56 |
Sb | 3.57 | 0.715 | 2.03 | 0.407 | 85.000 | 17.000 | 40.500‒ 650.000 | 8.100‒ 130.000 | 0.2 |
Re | 5.31 | 0.001 | 0.0005 | ‒ | ‒ | 10530.638 | 197.976 | 0.188 | |
W | 0.12 | 3.692 | 1.73 | 1.732 | ‒ | ‒ | ‒ | ‒ | 1.0 |
Примечание. [Cronan, 1976]x1); [Li, Schoonmaker, 2005]x2); [Rudnick, Gao, 2003]x3).
Таким образом, оксианионы редких элементов являются чувствительными индикаторами редокс-режима в бассейне, а формы нахождения этих элементов в морской воде в значительной мере влияют на их химическую и биологическую активность.
Можно предполагать, что перечисленные формы нахождения редких элементов в протерозойских морских бассейнах существовали при аноксидных условиях (как правило, локализованных в придонных слоях воды). Однако с окончанием глобального оледенения и началом “Великого события оксигенизации”, по крайней мере, в верхних горизонтах водной толщи бассейнов этого времени возникли условия, благоприятные для трансформации катионных форм в оксианионные (кислородсодержащие), отличающиеся сравнительно высокой растворимостью. В таких условиях новообразованные оксигидроксиды Mn и Fe, концентрация которых в морской воде на несколько порядков превышала концентрации рассеянных элементов, становились активным сорбентами.
Поведение бора. Средние концентрации бора в изученных Мn-лютитах месторождений Калахари являются более высокими по сравнению со средним содержанием этого элемента в земной коре. Среднее содержание бора, рассчитанное для всей совокупности изученных проб, составляет 317.5 г/т, что в 28.86 выше среднего содержания в земной коре (см. табл. 3, рис. 3).
Хорошо известно, что бор является информативным компонентом для оценки величин Eh и рН различных обстановок в морских бассейнах. В морской воде, согласно [Schwarcz et al., 1969; Hemming, Hönisch, 2007], бор присутствует в трехвалентной форме — 80%, в виде В(ОН)3 или диссоциированной борной кислоты (Н3ВО3), а также в четырехвалентной форме — 20%, в виде В(ОН)4-; соотношение этих форм контролируется Eh и рН морской воды. Существенная роль в сорбционном поглощении бора и соосаждении борат-ионов принадлежит гидроксидам металлов, что зависит от величины рН растворов [Видякин и др., 2010; Самбурский, 2011] и является особенно заметным в интервале рН 8–9, типичном для морской воды.
В отложениях раннепротерозойской группы Претория Трансваальской Супергруппы (Южная Африка) установлены высокие содержания бора. Показано [Eriksson et al., 1996], что они детерминированы, главным образом, избирательным сорбционным поглощением этого элемента глинистыми минералами, поступающими в бассейн в результате низкотемпературных гидротермальных изменений продуктов андезит-базальтового вулканизма.
Это наблюдение может быть использовано при интерпретации наших данных. Cледует напомнить, что Mn-рудная формация Хотазель, из которой отобраны пробы, залегает на андезит-базальтовой гиалокластитовой формации Онжелук, гидротермально измененной преимущественно низкотемпературными и, в меньшей мере, высокотемпературными процессами [Cornell et al., 1996]. Обогащение бором продуктов низкотемпературного гидротермального изменения было показано при изучении распределения отношения B/Be в океанских островных базальтах Французской Полинезии [Dostal et al., 1996]. Для оценки геохимической подвижности бора авторы указанной работы сравнивали его с Ве — относительно инертным элементом в процессах гидротермального преобразования базальтов. В ходе эволюции борсодержащей магматической системы (при температурах более 200°C) концентрация бора достаточно стабильна. Однако при низкотемпературных гидротермальных изменениях этот элемент приобретает подвижность и обычно накапливается в измененных вулканических породах. Возрастание величины отношения B/Be объясняется сорбцией бора новообразованными вторичными смектитовыми минералами, например, сапонитом. С таким предположением хорошо согласуются особенности распределения бора в поровых водах осадков, изученных в желобе Нанкай (Япония) по Программе Океанского бурения [You et al., 1995], а также во впадинах Есанаба (США) и Сааниш (Saanich Inlet, США) [James, Palmer, 2000], в троге Окинава [Huang et al., 2005]. Полученные результаты свидетельствуют о резком возрастании концентраций бора, которое начинается с определённой глубины (например, с 980 м ниже дна моря в желобе Нанкай [You et al., 1995]) и продолжается вниз до интервала низкотемпературной гидротермальной смектитизации, расположенного вблизи зоны тектонического срыва океанской коры и пронизанного системой каналов циркулирующих здесь гидротермальных флюидов.
Особенности распределения бора также могут быть проиллюстрированы на примере металлоносных гидротермальных осадков Мирового океана. Так, в базальных осадках областей осевых зон срединно-океанических хребтов установлена средняя концентрация бора 123 г/т, а в вершинных (гребневых) областях — 500 г/т [Cronan, 1976; Li, Schoonmaker, 2005]. Концентрация бора в морских осадках, находящихся вне зоны гидротермальной активности, существенно ниже кларка (0,2 г/т), однако в металлоносных осадках этой зоны содержание бора колеблется в пределах 32.93–314.49 г/т, в металлоносных осадках островных дуг составляет 43.35–315.45 г/т, а в морской воде вблизи гидротермального источника — 38.39 г/т [German, Von Damm, 2006]. В пределах девяти различных гидротермальных полей районов 21° и 13° с. ш. Восточно-Тихоокеанского Поднятия отмечено неравномерное обогащение окружающей морской воды бором гидротермального флюида (концентрация бора — 38.50 г/т, δ 11B — от 30.0±0.4 до 36.8±0.4‰) [Spivack, Edmond, 1987; Spivack et al., 1987].
Распределение средних концентраций бора в изученных нами рудах и силицитах МПК подчиняется отчетливо выраженной закономерности. В железистых силицитах содержание бора не превышает кларкового уровня, тогда как в Мn-лютитах, характеризующихся относительно высокими содержаниями карбонатов Mn и Са, концентрация бора, нормированная на среднее содержание этого элемента в земной коре, достигает 28,86 (см. табл. 3, 4, рис. 3, рис. 4). Повышенное содержание бора в изученных рудах отражено в величинах B/Be (рис. 5).
Рис. 4. Соотношение концентраций бора, нормированных к среднему содержанию в земной коре [Rudnick, Gao, 2003], и Feвал, Mnвал и СО2 (масс. %) в марганцевых и железных рудах месторождений площадей Калахари и Постмасбург, Южная Африка.
B, норм. зем. кор. — бор, нормализованный к земной коре.
1 — гидротермальный металлоносный осадок, базальный, срединно-океанического хребта [Cronan, 1976]; 2 — гидротермальный металлоносный осадок гребневой зоны срединно-океанического хребта [Li, Schoonmaker, 2005]; 3 — яшма, месторождения площади Калахари; 4 — джеспилит, месторождения площади Калахари; 5 — Mn-лютит, месторождения площади Калахари; 6 — Mn-Fe-карстовые руды, месторождения площади Постмасбург; 7 — карстовые руды железа, месторождения площади Постмасбург.
Рис. 5. Распределение величин отношения B/Be (нормированного на отношение средних содержаний элементов в земной коре [Rudnick, Gao, 2003]) в марганцевых и железных рудах месторождений площадей Калахари и Постмасбург.
Марганцеворудная площадь Калахари: 1 — яшма, 2 — джеспилит, 3 — Mn-лютит; марганцеворудная площадь Постмасбург: 4 — Fe-карстовые руды, 5 — Mn-Fe-карстовые руды.
Таким образом, можно предполагать, что повышенные концентрации бора в исследованных нами породах и рудах, так же как и в отложениях раннепротерозойской Группы Претория Трансваальской Супергруппы Южной Африки [Eriksson et al., 1996], являются следствием поступления этого элемента в осадки раннепротерозойского водоема в результате выноса из подстилающих андезито-базальтов формации Онжелук, при низкотемпературных гидротермальных изменениях.
При решении проблемы источника бора могли бы помочь данные по изотопному составу этого элемента. Хорошо известно, что существуют значительные различия в изотопном составе бора морской воды и бора морских осадков, в которых он хемосорбционно экстрагирован карбонатами [Spivack, Edmond, 1987; Spivack et al., 1987; Hemming, Нanson, 1992; Ishikawa, Nakamura, 1993 You et al., 1993, 1995]. Однако в марганцевых, железных рудах и вмещающих отложениях рудных площадей Постмасбург и Калахари такие исследования до сих пор, к сожалению, не проводились.
Поведение мышьяка. Изменения этого элемента позволяют реконструировать эволюцию редокс-обстановок марганцевого рудообразования в морских палеобассейнах. Это особенно актуально для познания процессов и обстановок формирования гигантских докембрийских месторождений железных и марганцевых руд [Bekker et al., 2010; Бергман, Колесов, 2012]. Все типы изученных нами марганцевых, железомарганцевых и железных руд месторождений площади Калахари, несмотря на существенные генетически различия, характеризуются повышенными содержаниями мышьяка (см. табл. 3, 4) относительно среднего содержания этого элемента в земной коре (2.5 г/т, по [Rudnick, Gao, 2003]). В частности, нормализованные при помощи кларкового содержания средние величины концентраций As в джеспилитах (2.74) и Mn-лютитах (3.97) месторождений площади Калахари выделяются своими высокими значениями (см. рис. 3, рис. 6). Важно отметить, что нормированная на содержание в земной коре средняя концентрация мышьяка (Asнорм), рассчитанная для 28 образцов из Трансваальской Супергруппы (2.7–2.05 млрд лет) Трансваальского бассейна составляет 17.46 [Arvestål, 2013].
Рис. 6. Соотношение средних концентраций As, нормированных на содержание в земной коре [Rudnick, Gao, 2003], и валовых концентраций Fe, Mn (масс. %) в марганцевых и железных рудах месторождений площадей Калахари, Постмасбург и в гидротермальных металлоносных осадках восточной части Тихого океана [Cronan, 1976] и гребневых зон срединно-океанических хребтов [Li, Schoonmaker, 2005].
1 — гидротермальные металлоносные осадки базальной части срединно-океанического хребта [Cronan, 1976]; 2 — гидротермальные металлоносные осадки гребневой зоны срединно-океанического хребта [Li, Schoonmaker, 2005]; 3 — джеспилит, месторождения площади Калахари; 4 — Mn-лютит, месторождения площади Калахари; 5 — карстовые Mn-Fe-руды, месторождения площади Постмасбург; 6 — карстовые руды железа, месторождения площади Постмасбург.
Приведенные данные свидетельствуют о доминирующей роли протерозойских гидротермальных систем в поставке грандиозных количеств химических элементов, в частности As, в осадки океанов, мелководных краевых и островодужных бассейнов [Holland, 1973; 2002; James et al., 1995: Bau et al., 1999]. Сходная картина наблюдается и в современных отложениях. В металлоносных осадках осевых зон современного Мирового океана средняя концентрация As составляет 145 г/т, или Asнорм — 58.0 [Cronan, 1976; Li, Schoonmaker, 2005]. На участке 21° с. ш. Восточно-Тихоокеанского Поднятия (ВТП) с высокой гидротермальной активностью, флюиды характеризуются следующими параметрами: концентрации As — от <2.6 до 33.9 мкг/л; pHmin — 3.3; Tmax — 405°C; вмещающие породы — базальты срединно-океанских хребтов (MORB); глубина моря — 2600 м [Von Damm et al., 1985a, b].
Мышьяк принадлежит к числу немногих редких элементов, концентрация которого в океанской воде (0.0023 г/т) значительно выше, чем в речной (~0.001 г/т), что, возможно. является следствием активности подводных гидротермальных систем. Подсчитано, что в Мировой океан из срединно-океанических хребтов поступает от 3.0×10 3 до 1.25×10 8 As кг/год, что значительно превышает речной сток (53.9×10 6 As кг/год), по [Breuer, Pichler, 2013]. Важно также отметить особую роль гидротермальных систем задуговых и островодужных бассейнов, которые являются главными поставщиками As в Мировой океан. Так, единственная небольшая островодужная гидротермальная система площадью 60×100 м в заливе Татум (Папуа — Новая Гвинея) выносит в море 5.5×102 As кг/год [Breuer, Pichler, 2013].
Очевидно, следует предполагать, что в океанских бассейнах докембрия и фанерозоя, так же как в современных океанах, главными факторами, контролирующими поведение As, были редокс-условия, колебания pH, присутствие серы и/или железа, активность бактерий [Lièvremont et al., 2009; Hu et al., 2012]. Восстановительные обстановки с низким содержанием серы и колебаниями pH от 2 до 10, были благоприятны для присутствия мышьяка в форме арсенита (H3AsO3). Однако при сходных величинах pH и столь же низких концентрациях серы, но в окислительных условиях — в морской воде доминируют арсенаты (H2AsO4или HAsO42-) [Hu et al., 2012]. Арсенат считается термодинамически наиболее стабильной формой нахождения мышьяка в морской воде. В этом случае отношение As+5/As+3 теоретически должно быть около 10 26:1, однако в реальности это отношение в современном океане изменяется от 10:1 до 0.1:1 [Mandal, Suzuki, 2002].
В целом, благодаря восстановительной среде, в течение архея As 3+ был доминирующей формой нахождения мышьяка в морской воде, тогда как содержание иона As 5+ заметно возросло к позднему протерозою. По-видимому, окисление As 3+ происходило, в основном, в результате деятельности аноксигенных фотоавтотрофов, а позднее, в связи с появлением кислорода — вследствие аэробного окисления арсенита [Stolz et al., 2010]. Особо следует отметить данные о присутствии As 5+ в кристаллах гематита (до 1.9 масс. %) в виде ангеллитовых кластеров, эпитаксически срастающихся с гематитом [Bolanz et al., 2013]. Это свидетельствует о том, что наряду с сорбцией As 5+ происходит его инкорпорация в гематит.
Следует отметить основные особенности поведения As при формировании марганцевых руд месторождений площади Калахари (см. рис. 3, рис. 6) в результате преобразований, отраженных в последовательности пород: яшма → джеспилит → Mn-браунитовый лютит, образующих нижний Mn-рудный цикл. В этом рудном цикле (см. рис. 2) наиболее высокопродуктивный пласт представлен чередованием слоев марганцевых лютитов (преимущественно оксидных руд пелитово-алевритовой гранулометрической размерности) с линзовидными выдержанными (реже — непрерывными) прослоями, обогащенными карбонатными ооидами. Ниже и выше марганцеворудного пласта залегают массивные и слоистые железистые кварциты формации полосчатых железных руд. Базальная и перекрывающая марганцевый пласт железорудные пачки формации Хотазель представлены джеспилитами. Базальная пачка джеспилитов включает прослои гиалокластитов, андезито-базальтовых вулканитов и залегает на андезито-базальтах формации Онжелук.
Можно полагать, что наиболее ранние гидротермы характеризовались высокими концентрациями As, который накапливался в результате сорбции оксидами Fe при формировании джеспилитов (см. рис. 6). Подобные гидротермальные флюиды сформировались в результате выщелачивания гиалокластитовых андезито-базальтов нижележащей формации Онжелук.
В Mn-лютитах основная доля марганца приходится на браунит (Mn+2 Mn+36 SiO12), который образует тонкие срастания [Cairncross et al., 1997] с Mn-карбонатами (кутнагоритом и/или Mn-кальцитом). Кутнагорит присутствует в составе карбонатных ооидов и, наряду с браунитом, встречается в основной массе. В марганцевых рудах данного типа изотопный состав углерода и кислорода (δ13С = -12 … -8‰, PDB; δ18О = 14…22, SMOW) может быть интерпретирован как результат редукционных диагенетических процессов, в которых восстановление марганца (Mn 4+ → Mn 3+ → Mn 2+) происходило за счет окисления углерода Сорг → СО2. В этом случае Mn 4+ являлся главным акцептором электронов [Tsikos, Beukes, 2003]. Аккумуляция As в Mn-лютитовых рудах происходила в субоксидной диагенетической обстановке, благоприятной для доминирования соединений As 3+ типа арсенитов.
Выявленные особенности поведения мышьяка при формировании марганцевых руд хорошо согласуются с данными исследования растворенных и взвешенных форм As в иловых осадках и поровых водах Бискайского залива. Здесь была установлена прямая зависимость концентраций этого элемента на разных уровнях колонки осадков от редокс-условий в поровых водах. Было показано, что диагенетическое распределение As в значительной мере детерминируется рециклингом Fe и Mn, образующих минералы-носители [Chaillou et al., 2003].
Поведение РЗЭ. Хорошо известно, что РЗЭ в природе представлены преимущественно трехвалентными ионами. Однако такие элементы, как церий и европий в природных условиях склонны к изменениям валентности до 4+ и 2+, соответственно. Подобные свойства РЗЭ в природных обстановках обусловлены их способностью к комплексообразованию (формированию хлоридных, фторидных и сульфатных комплексов — в гидротермальных растворах; карбонат-, фосфат-, гидроксил-ионных — в водоемах), а также к миграции во взвешенной и/или растворенной формах, происходящей в процессах сорбции‒десорбции и окисления-восстановления (для церия и европия) [Дубинин, 2006].
Процессы окисления церия и сорбции РЗЭ из океанской воды, в зависимости от локального редокс-режима, происходят во взвеси, в основном до глубины 1000 м. В более глубоких горизонтах водной толщи могут преобладать процессы восстановления церия органическим веществом и десорбции лантаноидов. Во многих случаях это приводит к тому, что поверхностные воды океана (примерно до глубины 1000 м) бывают обеднены церием (резкая отрицательная аномалия). В восстановительных условиях (в осадках и в придонных водах с дефицитом свободного кислорода) происходит восстановление марганца, железа, церия и переход их в раствор. Индикатором этих процессов может быть положительная цериевая аномалия.
В гидротермальных железомарганцевых корках пелагиали наблюдается отрицательная цериевая аномалия. Корки этого типа, в известной мере, наследуют состав РЗЭ океанических вод. Однако по мере ослабления деятельности гидротермальных источников, состав РЗЭ в них приближается к составу гидрогенных корок [Clauer et al., 1984; Дубинин, Волков, 1989]. В обоих случаях не отмечается выраженной европиевой аномалии.
Железомарганцевые корки и конкреции окраинных и внутренних морей, например, Баренцева моря и Кандалакшского залива Белого моря, характеризуются отрицательной цериевой аномалией [Дубинин, 2006]. Отчетливо выраженной европиевой аномалии в этих железомарганцевых образованиях не отмечается.
В пелагических железомарганцевых конкрециях различных участков Тихого океана с разным редокс-режимом, могут наблюдаться как положительные, так и отрицательные цериевые аномалии, которые зависят от величины Mn/Fe-отношения и влияния гидротермальной деятельности [Дубинин, 1996, 2006; Дубинин, Свальнов, 2000, 2003]. В этом типе конкреций европиевая аномалия также не наблюдается.
Гидротермальные растворы существенно отличаются от морских вод по концентрации и составу РЗЭ. В гидротермальных флюидах содержание РЗЭ на 1–2 и более порядков выше, чем в современной океанской воде, а состав заметно обогащен легкими РЗЭ и Eu [Haskin, Haskin, 1966; Haskin et al., 1966 German et al., 1990; Mills, Elderfield, 1995; Douville et al., 1999, 2002; Дубинин, 2006]. Европий в гидротермальных растворах при высоких температурах (300‒400оС) и низких рН (~3) находится в подвижном двухвалентном состоянии (Eu 2+).
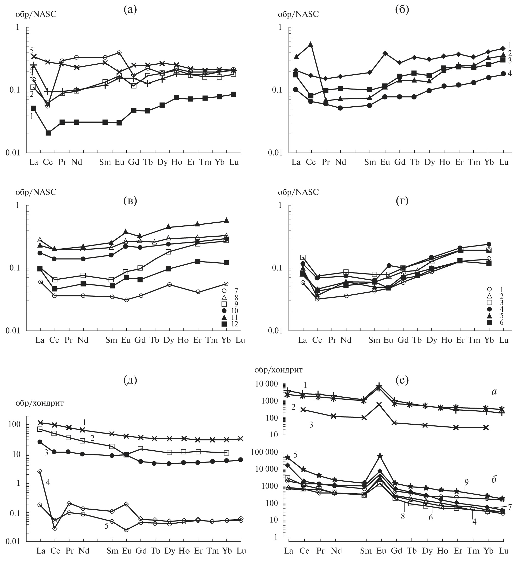
Полученные нами данные по РЗЭ приведены в табл. 4 и показаны на рис. 7, где они нормированы на содержание РЗЭ в Североамериканском сланце (NASC) [Haskin, Haskin, 1966; Haskin et al., 1966]. Показано, что концентрации этих элементов в изученных пробах марганцевых руд (см. рис. 7а), железистых силицитов и джеспилита (см. рис. 7б) существенно ниже (в среднем на порядок) по сравнению с принятым стандартом. Можно отметить, что практически во всех пробах марганцевых руд (Mn-лютиты), за исключением эпигенетически измененного лютита (см. рис. 7а, кривая 5) из шахты месторождения Смарт, отмечается отчетливая отрицательная цериевая аномалия.
Рис. 7. Распределение нормированных (NASC) cодержаний РЗЭ в марганцевых рудах (а), железистых силицитах и джеспилите (б, в) и карбонатах (г) месторождений Калахари (ЮАР) и нормированных (хондрит) содержаний РЗЭ в марганцевых лютитах и андезито-базальтах формации Хотазель (д), гидротермальных флюидах (е).
а — марганцевые руды: 1, 2 — месторождение Маматван (1 — обр. Вар-12, 2 — обр. Вар-11а), 3 — месторождение Хотазель (обр. Вар-15а), 4 — месторождение Н‘Чванинг (обр. Вар-16), 5 — месторождение Смарт (обр. Вар-14); б, в — железистые силициты: б — 1–3 — месторождение Чванинг (1 — обр. Нчв-9/04, 2 — обр. Нчв-2/04, 3 — обр. Нчв-7/04), 4 — месторождение Маматван (обр. Вар-15а-1), в — силициты формации Хотазель [Tsikos, Moore, 1997]: 7–11 — маложелезистые силициты, 12 — железистый силицит; г — карбонаты из отложений формации полосчатых железных руд [Tsikos, Moore, 1997]; д — марганцевые лютиты и андезито-базальты формации Хотазель [Cornel, Shutte, 1995]: 1 — измененная лава андезито-базальтов, 2 — неизмененная лава андезито-базальтов, 3 — валовая проба марганцевых руд (лютиты), 4 — карбонатная составляющая марганцевых руд (лютитов), 5 — современная морская вода; е — составы РЗЭ гидротермальных флюидов (n×106) Восточно-Тихоокеанского поднятия (а — 1–3 [Douville et al., 1999; Michard, Albarede, 1986] и Срединно-Атлантического хребта (б) [James et al., 1995; Bau, Dulski, 1999; Douville et al., 2002]).
В пробах железистых силицитов из месторождений Н’Чванинг и Маматван (см. рис. 7б) отмечается незначительная отрицательная цериевая аномалия (Нчв-7/04), которая в некоторых случаях отсутствует (Нчв-2/04, Вар-15 а-1). Сходное распределение РЗЭ ранее было установлено в железистых силицитах формации Хотазель [Tsikos, Moore, 1997]. В силикатной составляющей этих пород, на фоне снижения концентраций легких лантаноидов примерно в половине случаев наблюдается отчетливая отрицательная цериевая аномалия (см. рис. 7в). Однако в силицитах (Нчв-9/04), непосредственно контактирующих с подстилающими андезито-базальтами формации Онжелук, отмечается резко выраженная положительная (примерно на порядок) аномалия церия (Се/Ce*, где Ce* — содержание элемента в NASC). Такое обогащение легкими лантаноидами связано, по-видимому, с аноксидными условиями и, возможно, с вторичными процессами преобразования пород формации Хотазель. Аналогичная закономерность наблюдается и в распределении РЗЭ марганцевых руд МПК. Показано [Chetty, Gutzmer, 2012], что в ряде месторождений марганца площади Калахари обогащение легкими лантаноидами марганцевых руд связано с процессами их вторичного гидротермального преобразования. В изученных нами образцах железистых силицитов и джеспилита МПК (см. рис. 7б), а также в силицитах формации Хотазель (см. рис. 7в) отмечается отчетливо выраженная европиевая аномалия.
При обсуждении результатов изучения РЗЭ в марганцевых рудах следует учитывать следующее важное обстоятельство. Если в силикатных компонентах железистых силицитов формации Хотазель отрицательная цериевая аномалия проявляется не всегда (см. рис. 7в), то в карбонатной составляющей этих же железистых силицитов (см. рис. 7г) отрицательная аномалия выражена отчетливо. Ранее это было установлено в работе [Cornell, Schutte, 1995], где было показано, что в карбонатной составляющей марганцевых руд отмечается ярко выраженная отрицательная цериевая аномалия (см. рис. 7д, кривая 4), тогда как в валовой пробе (см. рис. 7д, кривая 3) эта аномалия практически отсутствует. Подтверждением выявленной связи является обратная зависимость концентраций СО2 и величин Ce/Ce* (где Ce — содержание элемента в образце, Ce* — содержание элемента в стандарте NASC) в марганцевых рудах (рис. 8а).
Рис. 8. Распределение концентраций СО2 (а, б) и Mn (в) и отношений содержания церия и европия в образце к стандарту NASC (Ce: Образец/NASC и Eu: Образец/NASC, соответственно) в марганцевых рудах месторождений площади Калахари (ЮАР).
Месторождения: 1 — Маматван, 2 — Смарт, 3 — Хотазель, 4 — Н’Чванинг.
При интерпретации этой зависимости необходимо учитывать следующее: во-первых, поведение РЗЭ в бассейнах контролируется, в основном, процессами сорбции/десорбции на оксигидроксидах Mn и Fe, содержание которых, свою очередь, детерминируется локальным редокс-режимом исследуемой части бассейна; во-вторых, отрицательные величины Се/Се* являются следствием оксидных условий, при которых подвижный ион Се 3+ окисляется до Се 4+, осаждающегося в виде твердой фазы СеО2; в-третьих, оксигидроксиды Mn и Fe отличаются несоизмеримо более высокой ёмкостью и интенсивностью поглощения трехвалентных РЗЭ вследствие различий кристаллохимических характеристик субстрата и сорбируемых ионов.
Таким образом, можно предполагать, что отрицательная цериевая аномалия в породах и рудах формации Хотазель свидетельствует об оксидном режиме в морской воде данной части бассейна.
В то же время, важной особенностью руд и вмещающих пород (силицитов) формации Хотазель является положительная европиевая аномалия. Наиболее отчетливо она фиксируется в силицитах (см. рис. 7в), и во многих случаях проявляется в карбонатной составляющей железистых силицитов (см. рис. 7г) и марганцевых руд (см. рис. 7а, д). Также отмечается обратная корреляция концентрации СО2 с величинами Eu/Eu* (где Eu — содержание элемента в образце, Eu* — содержание элемента в стандарте NASC) (см. рис. 8б).
Очевидно, положительная аномалия Eu/Eu* обусловлена воздействием гидротермальных флюидов, обогащенных европием (см. рис. 7е), в результате формирующиеся компоненты рудоносного осадка имеют отчетливые признаки гидротермального происхождения. Положительная аномалия Eu/Eu* связана, главным образом, с привносом марганца в осадок. Это выражено в прямой корреляции содержаний марганца и европия (Eu/Eu*) в рудах (см. рис. 8в). Причем, наиболее высокие аномалии Eu/Eu* отмечаются в интенсивно метаморфизованных марганцевых рудах месторождения Хотазель.
О ГЕНЕЗИСЕ РУД МАРГАНЦА
Приведенные в работе новые данные по геохимии редких элементов (Cr, Ge, As, Nb, Mo, Ag, Sb, Te, Re, W, В и РЗЭ) в железистых силицитах, джеспилитах и марганцевых рудах формации Хотазель позволяют получить информацию об источнике вещества и условиях образования пород рудоносной толщи.
Марганценосная толща Хотазель имеет признаки как осадочного генезиса (сохранение первичных текстур и продуктов диагенеза — деструкции органического вещества и образования карбонатов марганца [Gutzmer et al., 1997; Кулешов, 2013]), так и гидротермального воздействия [Cornell, Schutte, 1995; Tsikos, Moore, 1997; Кулешов, 2013] и в отдельных участках — гидротермально-метасоматической переработки пород [Gutzmer, Beukes, 1996; Gutzmer et al., 1997; Кулешов, 2013]. Подтверждением участия гидротермальных процессов в формировании рудоносной толщи служат повышенные содержания редких элементов (Cr, Ge, As, Nb, Mo, Ag, Sb, Te, Re, W, В).
Привнос марганца в осадок происходил как на стадии седиментогенеза, так и позднее, и был связан с подводной гидротермальной разгрузкой рудоносных (Fe, Mn) растворов, а также последующими эпигенетическими и раннеметаморфическими изменениями первичных мелководных осадков. Источником марганца могли быть андезито-базальты нижележащей формации Онжелук [Cornell, Schutte, 1995; Варенцов, 2011; Варенцов и др., 2011; Кулешов, 2012, 2013].
Важной особенностью марганцевых руд и пород формации Хотазель является положительная европиевая аномалия. Можно предполагать, что относительно высокие концентрации европия участвовали в процессе рудообразования, начиная с седиментации (подводная разгрузка минерализованных гидротерм, в том числе и с рудным веществом) и диагенетического перераспределения марганца с образованием карбонатов марганца, и завершая процессами гидротермального преобразования рудоносной толщи на отдельных участках (метаморфизм руд типа “маматван”). Гидротермальная активность в пределах разных частей палеобассейна, по-видимому, заметно различалась, вследствие этого аномалия Eu/Eu* в изученных пробах из разных месторождений проявлена неодинаково.
Хронологически Mn-рудообразование происходило в терминальный период окончания “глобального оледенения” (Snowball Earth) — начала “Великого события оксигенезации” [Beukes et al., 1993; Evans et al., 1997; Kirschvink et al., 2000; Варенцов, 2011; Варенцов и др., 2011]. Субоксидные и аноксидные условия были следствием появления свободного кислорода в атмосфере и океане, сопровождавшегося редокс-стратификацией морских бассейнов, интенсивной гидротермальной активностью и существенным возрастанием уровня биологической продуктивности.
ЗАКЛЮЧЕНИЕ
Марганцевые месторождения площади Калахари являются крупнейшими Mn-рудными накоплениями на суше, заключающими примерно 80% мировых запасов промышленных Mn-руд. Месторождения МПК тесно ассоциируют с формациями полосчатых железных руд Трансваальской Супергруппы раннего протерозоя.
Получены новые данные по концентрациям ряда редких элементов (Ge, Mo, Cr, Ni, Zn, Cd, Pb, Ag, Bi, As, Sb, Te, Se), поведению редокс-чувствительных элементов (бор, мышьяк и РЗЭ) в раннепротерозойских марганцевых рудах и полосчатых железистых силицитах (джеспилитах) площади Калахари. Особенности распределения этих элементов позволяют судить о процессах формирования марганценосной толщи.
- Величины содержаний ряда редких элементов: Cr, Ge, As, Nb, Mo, Ag, Sb, Te, Re, W в породах и рудах месторождений Калахари, установленные нами, сопоставимы с величинам, типичными для гидротермальных осадков спрединговых зон океана и заметно превышают средние концентрации в земной коре [Rudnick, Gao, 2003]. Это позволяет предположить участие гидротермального источника вещества в процессах образования марганценосной толщи Хотазель.
- Высокие содержания бора в марганцевых лютитах месторождений площади Калахари, вероятно, являются следствием хемосорбционного концентрирования этого элемента на Mn-карбонатах. В результате низкотемпературных гидротермальных изменений подстилающей базальт-андезитовой гиалокластитовой формации Онжелук мощностью 900 м, циркулирующая морская вода существенно обогащалась марганцем, железом и ассоциирующими элементами, включая бор, затем поступала в бассейн рудообразования, где в обстановках диагенеза бор хемосорбционно инкорпорировался карбонатами. Существенная роль в хемосорбционной аккумуляции бора принадлежит также оксигидроксидам Mn, Fe и глинистым частицам (продуктам низкотемпературного изменения вулканитов).
Мышьяк поглощался оксигидроксидами Fe и Mn при хемосорбции, нередко посредством инкорпорирования в структуру Fe-оксидов и/или с образованием эпитаксических нарастаний структурно родственных минералов (ангеллит, Fe2As2O11).
- Установленные отрицательная цериевая (Ce/ Ce*) и положительная европиевая (Eu/Eu*) аномалии в марганцевых рудах свидетельствуют о сложной и длительной истории формирования марганцеворудной формации Хотазель. Исходные металлоносные (Mn, Fe) осадки мелководного бассейна с (отрицательной Ce/Ce*) на разных стадиях литогенеза обогащались европием (приобретая положительную Eu/Eu*): во время седиментации (подводная разгрузка гидротерм, в том числе и рудным веществом), диагенеза (перераспределение марганца и образование Mn-карбонатов), последующих процессов гидротермального преобразования рудоносной толщи на отдельных участках (метаморфизм руд типа “маматван”).
- Формация Онжелук, развитая на площади Гриквалэнд Вест, представлена глубоко измененными андезито-базальтами. Можно предполагать, что в результате низкотемпературных гидротермальных изменений из первичных андезито-базальтов выносился широкий набор элементов, среди которых главенствующая роль принадлежит Si, Mn и Fe.
БЛАГОДАРНОСТИ
Авторы благодарны д. г.-м. н. В. И. Силаеву (Институт геологии Коми НЦ УрО РАН, г. Сыктывкар) и его коллегам за неоценимую помощь и активное содействие в организации аналитических определений химического состава исследуемых материалов. Считаем приятным для себя долгом выразить признательность проф. Н.Дж. Бьюксу и Дж. Гутцмеру (Геологический факультет Рэнд Африкаанс университета, Йоханнесбург, ЮАР) и доктору А. Кляенштюберу (Совет по минеральной технологии, Йоханнесбург, ЮАР) за помощь во время полевых работ и обсуждение вопросов региональной геологии и рудообразования.
ИСТОЧНИК ФИНАНСИРОВАНИЯ
Исследования выполнены в соответствии с планом НИР Геологического института РАН.
About the authors
I. M. Varentsov
Moscow State Regional University
Author for correspondence.
Email: vnkuleshov@mail.ru
Faculty of Geography and Ecology
Russian Federation, ul. Radio 10A, Moscow, 105005V. N. Kuleshov
Geological Institute, Russian Academy of Sciences
Email: vnkuleshov@mail.ru
Russian Federation, Pyzhevskii per. 7, Moscow, 119017
References
- Бергман И. А., Колесов Г. М. Мышьяк, сурьма и висмут, как индикаторы генезиса рудного вещества в железистых кварцитах раннего докембрия // Геохимия. 2012. Т. 50. № 10. С. 909–927.
- Варенцов И. М. Марганцевые гиганты: месторождение Калахари (Южная Африка), к проблеме эволюции марганцевого рудообразования // Минералогические перспективы // Материалы Международного минералогического семинара. Сыктывкар: Геопринт, 2011. С. 190–193.
- Варенцов И. М., Силаев В. И., Симакова Ю. С., Филиппов В. Н. Новые данные по минералогии и геохимии марганцерудных гигантов Калахари (Южная Африка): к проблеме генезиса Mn-руд // Минералогические перспективы // Материалы Международного минералогического семинара. Сыктывкар: Геопринт, 2011. С. 194–197.
- Видякин М. Н., Лазарева Ю. Н., Reisewits R. Мембранная технология удаления бора из природных вод // Водоочистка. Водоподготовка. Водоснабжение. 2010. № 12. С. 60–69.
- Дубинин А. В. Геохимия редкоземельных элементов в океане. М.: Наука, 2006. 360 с.
- Дубинин А. В. О формировании конкреций в Гватемальской котловине по данным геохимии редкоземельных элементов // Геохимия. 1996. № 12. С. 1210–1219.
- Дубинин А. В., Волков И. И. Механизм накопления редкоземельных элементов на гидроксидах железа в океане // Геохимия. 1989. № 8. С. 1089–1100.
- Дубинин А. В., Свальнов В. Н. Геохимия редкоземельных элементов в Fe-Mn микрои макроконкрециях биопродуктивной зоны Тихого океана // Литология и полез. ископаемые. 2000. № 6. С. 586–604.
- Дубинин А. В., Свальнов В. Н. Геохимия марганцеворудного процесса в океане по данным изучения редкоземельных элементов // Литология и полез. ископаемые. 2003. № 2. С. 115–125.
- Кулешов В. Н. Месторождение супергигант — марганцерудное поле Калахари (Северный Кейп, ЮАР): геохимия изотопов (δ13С и δ18О) и генезис // Литология и полез. ископаемые. 2012. № 3. С. 245–263.
- Кулешов В. Н. Марганцевые породы и руды: геохимия изотопов, генезис, эволюция рудогенеза // Тр. Геологического института РАН. Вып. 606. М.: Научный мир, 2013. 506 c.
- Самбурский Г. А. Анализ технико-экономических проблем удаления бора из природной воды // Вестник МИТХТ. 2011. Т. 6. № 4. С. 118–125.
- Arvestål E. H. M. Changes in arsenic levels in the Precambrian oceans in relation to the upcome of free oxygen // Examensarbete vid Institutioen för Geovetenskaper. Uppsala Universitet. Sweden. Department of Earth Sciences. Institutioen för Geovetenskaper. Paleobiologĩ. 2013. 108 p. http://www.diva-portal.org/smash/get/diva2:662871/ FULLTEXT01.pdf. Access: 14.01/2019.
- Bau M., Romer R. L., Lüders V. et al. Pb, O and C isotopes in silicified Mooidraai dolomite (Transvaal Supergroup, South Africa): Implications for the composition of Paleoproterozoic seawater and dating the increase of oxygen in the Precambrian atmosphere // Earth Planet. Sci. Lett. 1999. V. 174. P. 43–57.
- Bau M., Dulski P. Comparing yttrium and rare earth in hydrothermal fluids from the Mid-Atlantic Ridge: Implications for Y and REE behavior during near vent mixing and for the Y/Ho ratio of Proterozoic seawater // Chem. Geol. 1999. V. 155. P. 77–90.
- Bekker A., Stack J. F., Planavsky N. et al. Iron Formation: The sedimentary product of complex interplay among mantle, tectonic, oceanic and biospheric processes // Econ. Geol. 2010. V. 105. № 3. P. 467–508.
- Beukes N. J. Palaeoenvironmental setting of iron-formations in the depositional basins of the Transvaal Supergroup, South Africa // Iron-formations: fact and problems / Eds A. F. Trendell, R. C. Morris. Amsterdam: Elsevier, 1983. P. 131–209.
- Beukes N. J., Gutzmer J., Kleyenstüber A. S. E. The iron and manganese deposits of the Transvaal Supergroup in Griqualand West. Excursion Guide. South Africa Workshop. September 1993. IGCP Project 318: Genesis and Correlation of Marine Polymetallic Oxides. Johannesburg: Rand Afrikaans University, MINTEK, 1993. 223 p.
- Beukes N. J., Burger A. M., Gutzmer J. Fault-controlled hydrothermal alteration of Palaeoproterozoic manganese ore in Wessels Mine, Kalahari manganese field // S. Afr. J. Geol. 1995. V. 98. № 4. P. 430–451.
- Beukes N. J., Gutzmer J. Precambrian manganese deposits: geological setting, metallogenesis and palaeoenvironmental implications // Manganese in the twenty-first century. Short Course. Abstract Volume / Ed. M. Polgári. Hungary, Veszprém, 2009. P. 7–18.
- Beukes N. J., Smit C. A. New evidence for thrust faulting in Griqualand West, South Africa: implications for stratigraphy and age of red beds // Trans. Geol. Soc. S. Afr. 1987. V. 90. № 4. P. 378‒394.
- Boardman L. G. Further geological data on the Postmasburg and Kuruman Manganese Ore Deposit, Northern Cape province // The Geology of some ore deposits of Southern Africa. V. II / Ed. S. H. Haughton. Johannesburg: Geol. Soc. S. Afr., 1964. P. 415–440.
- Bolanz R., Wierzbicka-Wieczore M., Čaplovičová M. et al. Structural incorporation of As 5+ into hematite // Environ. Sci. Technol. 2013 V. 47. № 16. P. 9140–9147.
- Breuer C., Pichler T. Arsenic in marine hydrothermal fluids // Chem. Geol. 2013. V. 348. P. 2–14.
- Cairncross B., Beukes N. J., Gutzmer J. The Manganese Adventure // The South African Manganese Fields. Associated Ore and Metal Cooperation Limited, Marshalltown, Johannesburg 2107, Republic of South Africa, 1997. 236 p.
- Cannon W. F., Force E. R. Potential for high-grade shallow-marine manganese deposits in North America // Unconventional mineral deposits / Ed. W. C. Sranks. N. Y.: Mining Engineers, 1983. P. 175–190.
- Chailluo G., Schӓfer J., Anschutz P. et al. The behavior of arsenic in muddy sediments of The Bay of Biscay (France) // Geochim. et Cosmochim. Acta. 2003. V. 67. № 16. P. 2993–3003.
- Chetty D., Gutzmer J. REE redistribution during hydrothermal alteration of ores of the Kalahari Manganese Deposit // Ore Geol. Rev. 2012. V. 47. № 1. Р. 126–135.
- Clauer N., Stille P., Bonnot-Courtois C., Moore W. C. Nd-Sr isotopic and REE constrains on the genesis of hydrothermal manganese crust in the Galapagos // Nature. 1984. V. 311. P. 743–745.
- Cornell D. H., Schutte S. S. A volcanic-exhalative origin for the world’s largest (Kalahari) manganese field // Miner. Depos. 1995. V. 30. № 3. P. 146–151.
- Cornell D. H., Schutte S. S., Eglingtone B. L. The Ongeluk basaltic andesite formation in Griqualand West, South Africa: submarine alteration in a 2222 Ma Proterozoic sea // Precambrian Res. 1996. V. 79. P. 101–123.
- Croal L. R., Johnson C. M., Beard B. L., Newman D. K. Iron isotope fractionation by Fe (II)-oxidizing photoautotrophic bacteria // Geochim. et Cosmochim. Acta. 2004. V. 68. № 6. P. 1227–1242.
- Cronan D. S. Basal metalliferous sediments from the Eastern Pacific // Geol. Soc. Am. Bull. 1976. V. 87. № 6. P. 928–934.
- Dostal J., Dupuy C., Dudoingnon P. Distribution of boron, lithium and beryllium in ocean island basalts from French Polynesia: implications for B/Be and Li/Be ratios as tracers of the subducted components // Mineral. Mag. 1996. V. 60. P. 563–580.
- Douville E., Bienvenu P., Charlou J. L. et al. Yttrium and rare earth elements in fluids from various deep-sea hydrothermal systems // Geochim. et Cosmochim. Acta. 1999. V. 63. № 4. P. 627–643.
- Douville E., Charlou J. L., Oelkers E. H. et al. The Rainbow vent fluids (36°14’N MAR): the influence of ultramafic rocks and phase separation on trace metal content in Mid-Atlantic Ridge hydrothermal fluids // Chem. Geol. 2002. V. 184. P. 37–48.
- Eglington B. M., Armstrong R. A. The Kaapvaal Craton and adjacent orogens, southern Africa: a geochronological database and overview of the geological development of the craton // S. Afr. J. Geol. 2004. V. 107. P. 13–32.
- Eriksson P. G., Reczko B. F. F., Piper D. P. An interpretation of boron content within a Paleoproterozoic volcano-sedimentary succession: Pretoria Group, Transvaal Supergroup, South Africa // Precambrian Res. 1996. V. 78. P. 273–287.
- Evans D. A., Beukes N. J., Kirschvink J. L. Low-latitude glaciation in the Palaeoproterozoic era // Nature. 1997. V. 386. P. 262–266.
- Force E. R., Cannon W. F. Depositional Model for Shallow-Marine Manganese Deposits around Black Shale Basins // Econ. Geol. 1988. V. 83. № 1. P. 93–117.
- Frakes L. A., Bolton B. R. Origin of manganese giants: sea level change and anoxic-oxic history // Geology. 1984. V. 12. № 1. P. 83–86.
- German C. R., Von Damm K. L. Hydrothermal processes. Chapter 6.10 // Treatise of Geochemistry / Eds K. K. Turrekian, H. D. Holland. Oxford, U. K.: Elsevier, 2006. P. 181–222.
- German C. R., Klinkhammer G. P., Edmond J. M. et al. Hydrothermal scavenging of rare-earth elements in the ocean // Nature. 1990. V. 345. P. 516–518.
- Grobbelaar W. S., Beukes N. J. The Bishop and Glosam manganese mines and Beeshoek iron ore mine of the Postmasburg area // Mineral deposits of southern Africa. V. 1 / Eds C. R. Anhaeusser, S. Maske. Johannesburg: Geol. Soc. S. Afr., 1986. V. 1. P. 957–961.
- Gutzmer J., Beukes N. J. Fauit controlled metasomatic alteration of Early Proterozoic sedimentary manganese ores in the Kalahari manganese field, South Africa // Econ. Geol. 1995. V. 90. P. 823–844.
- Gutzmer J., Beukes N. J. Mineral paragenesis of the Kalahari manganese field, South Africa // Ore Geol. Rev. 1996. V. 11. № 3. P. 405–428.
- Gutzmer J., Beukes N. J., Yeh H.-W. Fauit controlled metasomatic alteration of Early Proterozoic sedimentary manganese ores at Mamatwan mine, Kalahari manganese field, South Africa // S. Afr. J. Geol. 1997. V. 100. № 1. P. 53–71.
- Gutzmer J., Beukes N. J. The giant Kalahari manganese field, South Africa / Ed. M. Polgári // Manganese in the twenty-first century. Short Course. Abstract Volume. Hungary, Veszprém, 2009. P. 19–28.
- Haskin M. A., Haskin L. A. Rare earths in European shales: a redetermination // Science. 1966. V. 154. P. 507–509.
- Haskin L. A., Wideman T. R., Frey F. A. et al. Rare earths in sediments // J. Geophys. Res. 1966. V. 71. P. 6091–6105.
- Hemming N. G., Hanson G. N. Boron isotopic composition and concentration in modern marine carbonates // Geochim. et Cosmochim. Acta. 1992. V. 56. P. 537–543.
- Hemming N. G., Hönisch B. Boron isotopes in marine carbonate sediments and the pH of ocean // Proxies in late Сenozoic paleoceanography. Developments in Marine Geology. V. 1 / Eds C. Hillaire-Marcel, A. de Vernal. Amserdam, London: Elsevier, 2007. P. 717–733.
- Holland H. D. The oceans: a possible source of iron in iron-formations // Econ. Geol. 1973. V. 68. № 7. P. 1169–1172.
- Holland H. D. Volcanic gases, black smokers and the great oxidation event // Geochim. et Cosmochim. Acta. 2002. V. 66. № 21. P. 3811–3826.
- Hu Q. H., Sun G. X., Gao X. B. et al. Conversion, sorption and transport of arsenic species in geological media // Applied Geochemistry. 2012. V.27. № 11. P. 2197‒2203.
- Huang K.-F., You C.-F., Shen M.-L. et al. Geochemistry of major constituents, boron and boron isotopes in pore waters from ODP Site 1202, Okinawa Trough // Terr. Atmos. Ocean Sci. 2005. V. 16. № 1. P. 75–93.
- James R. H., Elderfield H., Palmer M. R. The chemistry of hydrothermal fluids from the Broken Spur site, 29oN Mid-Atlantic Ridge // Geochim. et Cosmochim. Acta. 1995. V. 59. № 4. P. 651–659.
- James R. H., Palmer M. R. Marine geochemical cycles of the alkali elements and boron: The role of sediments // Geochim. et Cosmochim. Acta. 2000. V. 64. № 18. P. 3111–3122.
- Jennings M. The Middelplaats manganese ore deposit, Griqualand West // Mineral deposits of southern Africa. V. 1 / Eds C. R. Anhaeusser, S. Maske. Johannesburg: Geol. Soc. S. Afr., 1986. P. 979–983.
- Ishikawa T., Nakamura E. Boron isotope systematic in marine sediments // Earth Planet. Sci. Lett. 1993. V. 117. № 3–4. P. 567–580.
- Kirschvink J. L., Gaidos E. J., Bertan L. E. et al. Paleoproterozoic snowball Earth: Extreme climatic and geochemical global change and its biological consequences // Proc. Natl. Acad. Sci. USA. 2000. V. 97. P. 1400–1405.
- Kleyenstüber A. S. E. The mineralogy of the manganese-bearing Hotazel Formation of the Proterozoic Transvaal Sequence in Griqualand West, South Africa // Trans. Geol. Soc. S. Afr. 1984. V. 87. P. 257–272.
- Lièvremont D., Bertin Ph. N., Lett M.-C. Arsenic in contaminated waters: Biogeochemical cycle, microbial metabolism and biotreatment processes // Biochimie. 2009. V. 91. № 10. P. 1220‒1237.
- Li Y.-H., Schoonmaker J. E. Chemical composition and mineralogy of marine sediments. // Sediments, Diagenesis and Sedimentary Rocks / Ed. F. T. Mackenzie. Oxford: Elsevier Ltd., 2005. P. 1–36.
- Mandal B. K., Suzuki K. T. Arsenic round the World: A review // Talanta. 2002. V. 58. P. 201–235.
- Michard A., Albarede F. The REE content of some hydrothermal fluids // Chem. Geol. 1986. V. 55. P. 51–60.
- Mills R. A., Elderfield H. Rare earth element geochemistry of hydrothermal deposits from the active TAG Mound, 26oN Mid-Atlantic Ridge // Geochim. et Cosmochim. Acta. 1995. V. 59. № 17. P. 3511–3524.
- Miyano T. Beukes N. J. Physicochemical environments of the formation of quartz-free manganese oxide ores from the Early Proterozoic Hotazel Formation, Kalahari Manganese Field, South Africa // Econ. Geol. 1987. V. 82. P. 706–718.
- Morford J. L., Emerson S. The geochemistry of redox sensitive trace metals in sediments // Geochim. et Cosmochim. Acta. 1999. V. 63. № 11–12. P. 1735–1750.
- Nel C. J., Beukes N. J., De Villiers J. P. R. The Mamatwan Manganese Mine of the Kalahari manganese field // Mineral deposits of Southern Africa. V. 1 / Eds C. R. Anhaeusser, S. Maske. Johannesburg: Geol. Soc. S. Afr., 1986. P. 963–978.
- Polteau S., Moore J. M., Tsikos H. The geology and geochemistry of the Palaeoproterozoic Makganyene diamictite // Precambrian Res. 2006. V. 148. № 3–4. P. 257–274.
- Rudnick P. L., Gao S. Composition of the continental crust. // Treatise on Geochemistry. V. 3 / Ed. R. L. Rudnick. Amsterdam: Elsevier Ltd., 2003. P. 1–64.
- Schwarcz Y. R., Abyei E. K., McMullen C. C. Boron isotopic fractionation during day adsorption from sea-water // Earth Planet. Sci. Lett. 1969. V. 6. P. 1–5.
- Spivack A. J., Edmond J. M. Boron isotope exchange between seawater and oceanic crust // Geochim. et Cosmochim. Acta. 1987. V. 51. № 5. P. 1033–1043.
- Spivack A. J., Palmer M. R., Edmond J. M. The sedimentary cycle of the boron isotopes // Geochim. et Cosmochim. Acta. 1987. V. 51. № 7. P. 1939–1949.
- Stolz J. F., Basu P., Oremland R. S. Microbial arsenic metabolism: New twists and an old poison // Microbe. 2010. V. 5. P. 53–59.
- Tsikos H., Beukes N. J. C. Deposition, diagenesis, and secondary enrichment of metals in the Paleoproterozoic Hotzel Iron Formation, Kalahary Manganese Field, South Africa // Econ. Geol. 2003. V. 98. № 7. P. 1449–1462.
- Tsikos H., Moore J. M. Petrography and Geochemistry of the Paleoproterozoic Hotazel Iron-Formation, Kalahari Manganese Field, South Africa: Implication for Precambrian Manganese Metallogenesis // Econ. Geol. 1997. V. 92. № 1. P. 87–97.
- USGS Mineral Commodity Surveys. Mineral Commodity Summaries 2009 // http: minerals.usgs.gov/minerals/pubs/ mcs/2009/mcs2009.pdf 2009. Access: 14.01.2019.
- Varentsov I. M. Manganese ores of supergene zone: geochemistry of formation. Dordrecht, Boston, London: Kluwer Acad. Publ., 1996. 356 p.
- Veizer J. Secular variations in the composition of sedimentary carbonate rocks. II. Fe, Mn, Ca, Mg, Si and minor constituents // Precambrian Res. 1978. V. 6. P. 381–413.
- Von Damm K. L., Edmond J. M., Measures C. I., Grant B. Chemistry of submarine hydrothermal solutions at Guaymas Basin, Gulf of California // Geochim. et Cosmochim. Acta. 1985a. V. 49. № 11. P. 2121–2137.
- Von Damm K. L., Edmond J. M., Grant B. et al. Chemistry of submarine hydrothermal solutions at 21°N East Pacific Rise. // Geochim. et Cosmochim. Acta. 1985b. V. 49. № 11. P. 2197–2220.
- You C.-F., Spivack A. J., Smith J. H., Gieskes J. M. Mobilization of boron in convergent margins: Implications from the boron geochemical cycle // Geology. 1993. V. 21. № 3. P. 207–210.
- You C. F., Chan L. H., Spivack A. J., Gieskes J. M. Lithium, boron, and their isotopes in sediments and pore waters of Ocean Drilling Program Site 808, Nankai Trough: implications for fluid expulsion in accretionary prism // Geology. 1995. V. 23. № 1. P. 37–40.
Supplementary files










