Strontium isotopic composition in waters of mud volcanoes of Azerbaijan
- Authors: Bujakaite M.I.1, Lavrushin V.Y.1, Pokrovsky B.G.1
-
Affiliations:
- Geological Institute (GIN), Russian Academy of Sciences
- Issue: No 5 (2019)
- Pages: 391-403
- Section: Articles
- URL: https://journals.eco-vector.com/0024-497X/article/view/16510
- DOI: https://doi.org/10.31857/S0024-497X20195391-403
- ID: 16510
Cite item
Full Text
Abstract
The isotopic composition of strontium was studied in the waters of 22 Azerbaijan mud volcanoes, in which the isotope composition of oxygen and hydrogen, as well as the concentration of macro and micro elements, was previously [Lavrushin et al., 2015] determined. 87Sr/86Sr ratios in the waters of Azerbaijan mud volcanoes are within 0.7067…0.7083. The minimum ratio was established in Neftechala Yuzhnaya volcano, located in the south of the territory ‒ in the Kura region, which is characterized by the lowest average values of 87Sr/86Sr = 0.7070±0.0003 and δ18O = 2.0±1.8‰ compared to volcanoes situated northern ‒ in Shemakha ‒ Gobustan, Absheron and Caspian regions (87Sr/86Sr average = 0.7076±0.0005, δ18O average = 4.8±2.5‰). The relation between the strontium isotopic composition and the isotopic composition of oxygen suggests that the formation of the isotopic characteristics of the mud volcanic waters of Azerbaijan involves two main sources, one of which is predominantly associated with sedimentary carbonates of Cretaceous-Paleogene age, and the second, prevailing in the Kura region, has traces of isotopic exchange with volcanic rocks. The role of strontium dissolved in the sea water, as well as strontium, which could be extracted from modern terrigenous sediments of the Caspian Sea and terrigenous clay rocks of the Maikop series in the mud volcanic waters of Azerbaijan is insignificant.
Keywords
Full Text
Возникновение грязевых вулканов, широко распространенных в нефтегазоносных районах, связывают с целым рядом факторов: избыточным гидростатическим давлением; гравитационными силами, выдавливающими относительно легкую обводненную пульпу к поверхности, подобно тому, как это происходит с соляными куполами; с высоким содержанием в осадочных породах газов и др. [Холодов, 2002, 2012; Dimitrov, 2002; Koph, 2002; Керимов, Рачинский, 2011]. Изотопные исследования, которые особенно интенсивно проводились в последние десятилетия, позволили внести ясность в представления о происхождении газовой компоненты в грязевулканических флюидах. Изотопный состав углерода однозначно свидетельствует о том, что метан и углекислый газ грязевых вулканов являются продуктами деструкции органического вещества в породах осадочного чехла [Лаврушин и др., 1996, 2005, 2015].
Сложнее обстоят дела с грязевулканическими водами. Характерные для них высокие значения δD и δ18О (обычно от 0 до -50‰ и от 0 до +10‰, соответственно), по мнению большинства исследователей [Дубинина и др., 2004; Лаврушин и др., 2005, 2015; Dia et al., 1999; Dahlmann, DeLange, 2003], указывают на доминирование в них элизионных растворов, формирующихся в результате дегидратации глинистых минералов при температурах 100‒150°C на глубинах >3 км. Этот вывод, однако, не согласуется с данными по изотопному составу стронция: в водах многих грязевых вулканов установлены низкие значения отношения 87Sr/ 86Sr<0.708, которые свидетельствуют об изотопном обмене с вулканическими породами [Dia et al., 1999; Chen-Feng You еt al., 2004] или с докайнозойскими морскими карбонатами [Буякайте и др., 2014], либо с теми и другими одновременно [Hensen et al., 2015].
В настоящей статье обсуждаются результаты изучения изотопного состава стронция в водах крупнейшей на Земле Азербайджанской грязевулканической области [Якубов и др., 1980], которые позволяют существенно скорректировать выводы, сделанные ранее и основанные на данных гидрохимии и результатах определения изотопного состава кислорода и водорода [Лаврушин и др., 2015].
ГЕОЛОГИЧЕСКОЕ СТРОЕНИЕ
Хорошо известно, что изотопный состав стронция в природных водах контролируется процессами взаимодействия в системе “вода‒порода” [Фор, 1989]. Поэтому, прежде чем перейти к изложению и интерпретации полученных данных, необходимо кратко остановиться на строении осадочного чехла, в пределах которого — по геофизическим данным на глубинах около 8–9 км [Якубов и др., 1980; Рахманов, 1987; Гулиев и др., 1988; Геология Азербайджана …, 2008] — располагаются корни грязевых вулканов.
Мощность осадочного чехла Южно-Каспийской впадины — более 20 км, и о строении его нижней части, недоступной для опробования скважинами, известно мало. Если судить по породам, выходящим на поверхность в восточной части Малого Кавказа и на южном склоне Большого Кавказа, докайнозойские отложения Южно-Каспийской впадины представлены сложным комплексом вулканогенных, вулканогенно-осадочных, терригенных и карбонатных пород, возможно содержащих также гипсы и ангидриты [Геология Азербайджана …, 2005]. Наиболее древние, верхнепалезойские отложения вскрываются в юго-восточной части Малого Кавказа. Девонские отложения, общей мощностью до 1 км, представлены здесь чередованием песчаников, глин и известняков. Среди отложений карбона и перми, общей мощностью до 1 км, преобладают осадочные карбонатные породы (известняки, реже доломиты) при подчиненном развитии терригенных пород. Отложения триаса, занимающие значительные территории на юго-востоке Малого Кавказа, также представлены преимущественно карбонатными отложениями.
Юрские отложения широко распространены как на южном (Малый Кавказ), так и на северном (юго-восточный склон Большого Кавказа) бортах Южно-Каспийской впадины. В нижней и средней юре Большого Кавказа преобладают терригенные породы: песчаники, алевролиты и глинистые сланцы, общей мощностью в несколько километров, тогда как верхняя юра представлена, преимущественно, карбонатными породами, мощностью не менее 1 км. В отнесенной к оксфорду шахдагской свите (Гусарский район Азербайджана) установлены мощные (до 60 м) пласты гипса, переслаивающиеся с глинисто-карбонатными породами [Геология Азербайджана …, 2005].
Литологические особенности юрских отложений Малого Кавказа: в средней и верхней юре преобладают вулканогенные и вулканогенно-осадочные породы, которые в самой верхней части, соответствующей титонскому ярусу, сменяются известняками и доломитами, иногда гипсоносными [Геология Азербайджана …, 2005]. В разрезе Саатлинской сверхглубокой скважины, пробуренной в 180 км западнее г. Баку, юрские отложения практически полностью представлены эффузивами андезито-базальтового состава, которые начинаются с глубины 1310 м и продолжаются до забоя скважины на глубине 8324 м [Геология Азербайджана …, 2005].
Широко развиты на территории Азербайджана меловые породы, мощность которых достигает первых километров; в ряде районов они выходят на дневную поверхность, разбурены многочисленными скважинами и обнаружены среди продуктов выброса грязевых вулканов. В разрезе мела представлены терригенные, карбонатные, вулканогенные и вулканогенно-осадочные породы. Терригенные породы, преимущественно глинистые, характерны для нижнемеловых толщ, тогда как верхнемеловые — сложены осадочными карбонатами и разнообразными вулканитами, причем мощность последних в разных районах меняется в очень широких пределах.
Палеоцен представлен на территории Азербайджана преимущественно глинистыми породами, включающими многочисленные прослои карбонатов; менее распространены вулканогенно-осадочные породы. В эоцене роль вулканитов усиливается, однако их распространение крайне неравномерное. Центры вулканической активности располагались, вероятно, на Малом Кавказе, так как максимальные мощности (до 1 км) вулканогенно-осадочных пород достигаются в среднем эоцене в южной части Средне-Куринской впадины [Геология Азербайджана …, 2005], в Шемаха-Гобустанской области они образуют отдельные пачки среди терригенных глинистых пород. Мощность эоценовых отложений в этих областях заметно меняется — от 0.5–1 км на северо-западе Шамахино-Гобустанской области до 3 км в прибрежных районах Прикуринской области.
С олигоценом на территории Азербайджана отождествляется майкопская свита, основную часть разреза которой слагают глинистые породы. Наряду с глинами заметную роль в майкопской свите играют глинисто-карбонатные породы, тогда как известняки и грубообломочные терригенные породы (песчаники) встречаются значительно реже, залегая в виде прослоев небольшой мощности. В юго-восточной части Азербайджана (Лянкяранский район) майкопская свита представлена туфогенно-осадочным комплексом (мощность более 2 км), в котором туфо-песчаники и туфо-алевролиты составляют значительную часть разреза. Отмечалось, что глинистые минералы отчасти являются продуктами катагенетической переработки вулканических пеплов [Геология Азербайджана …, 2005]. Предполагается, что основными источниками сноса обломочного материала в Майкопский бассейн на севере и северо-востоке Азербайджана были мел-палеогеновые осадочные комплексы, развитые в юго-восточной части Большого Кавказа, а на юге и юго-востоке — осадочные и изверженные породы, широко распространенные на Малом Кавказе и в Талашских горах. На большей части территории развития грязевого вулканизма мощность майкопской свиты не превышает 1.5 км, и только в Лянкяранском районе она увеличивается до 3 км [Геология Азербайджана …, 2005].
Среди неоген-четвертичных отложений Азербайджана, мощность которых также изменяется в широких пределах, резко доминируют терригенные породы: пески, алевриты и глины. Вулканические пеплы и осадочные карбонаты встречаются в виде маломощных (первые сантиметры) прослоев.
АНАЛИТИЧЕСКИЕ МЕТОДЫ
В основу работы положены определения изотопного состава стронция, растворенного в воде из выбросов 22 грязевых вулканов Азербайджана.
Подготовка проб и выделение стронция для изотопного анализа проводилось в лаборатории геохимии изотопов и геохронологии ГИН РАН. Аликвоты образцов (от 6 г до 0.3 г) фильтровались с использованием обеззоленных фильтров, упаривались и растворялись в соляной кислоте HCl N 2.66. Выделение стронция для изотопного анализа проводилось стандартным методом ионообменной хроматографии. Колонки первой ступени очистки стронциевой фракции откалиброваны HCl N 2.66; колонки второй ступени очистки – HCl 2N. Величины отношений 87Sr/ 86Sr измерялись на масс-спектрометре MAT-260. Точность определения 87Sr/ 86Sr составляла ±0.00008.
Концентрации стронция и хлора определялись на масс-спектрометре с индуктивно-связанной плазмой (Х-7 ICP-MS Thermo Elemental, США), в Аналитическом центре Института проблем технологии микроэлектроники и особочистых материалов РАН. Погрешность определения составляла 10‒15%.
Для определения изотопного состава кислорода в карбонатах и водах использовался комплекс аппаратуры корпорации Thermoelectron, включающий масс-спектрометр Delta V Advаntage и установку Gas-Bench-II. Изотопный состав кислорода в воде и изотопный состав растворенного неорганического углерода определялись одновременно из одной и той же пробы, для этого вода (1 мл) вводилась шприцем в предварительно продутый гелием виал, содержащий 2‒3 капли 100%-й ортофосфорной кислоты. Изотопный обмен между выделившимся из воды углекислым газом и водой проводился в течение 24 часов при температуре 25°C. Значения δ18О приводятся в промилле (‰) относительно стандарта V-SMOW; точность определения δ18О находится в пределах ±0.2‰.
РЕЗУЛЬТАТЫ ИССЛЕДОВАНИЙ
Общий разброс величин отношений 87Sr/ 86Sr в изученных образцах находится в интервале 0.7067‒0.7083 (n = 22) (таблица). Прослеживается географическая зональность в их распределении. Минимальное значение отношения установлено в вулкане Нефтечала Южная, расположенном на юге территории — в Прикуринской области. Для вод вулканов этого района в целом характерны наиболее низкие значения 87Sr/ 86Sr ( 87Sr/ 86Sr среднее = 0.7070±0.0003). Они заметно контрастируют с отношениями стронция в вулканах северных районов Азербайджана, расположенных в Шемаха-Гобустанской ( 87Sr/ 86Sr среднее = 0.7076±0.0004) и Абшеронской ( 87Sr/ 86Sr среднее = 0.7075±0.0005) областях. Самое высокое значение стронциевого изотопного отношения (0.7083) зарегистрировано в одном из северных вулканов региона — Зарат Хыдырзынды-2, расположенном в Прикаспийской области (рис. 1). Величины отношения Rb/Sr в грязевулканических водах невелики (0.011–0.0002). Если принять для этих вод эоценовый возраст (~40 млн лет) и допустить крайне маловероятную химическую изоляцию этих вод от вмещающих пород, то наибольшее из этих значений приводит к поправке изотопного отношения стронция на радиоактивный распад рубидия равной 0.00002, а остальные значения дают поправку как минимум на порядок меньшую. Корреляция между Rb/Sr и 87Sr/ 86Sr отсутствует.
Рис. 1. Схема расположения грязевых вулканов Азербайджанской провинции (звездочки) с указанием величин отношения 87Sr/86Sr грязевулканических водах (жирные числа) и в водах поверхностных водоемов (числа в овалах).
Пунктирные линии — границы грязевулканических областей: I — Прикаспийской; II — Абшеронской; III — Шемаха-Гобустанской; IV — Прикуринской.
Таблица. Rb-Sr изотопные системы, значения δ18O и концентрации отдельных компонентов в грязевых вулканах, реках и минеральных водах западного Азербайджана
№ | Вулкан | 87Sr/86Sr | δ18O, ‰ SMOW | Sr, мг/л | (Rb/Sr) ×1000 | Cl, г/л | Соленость, г/л |
Прикаспийская область | |||||||
29/10 | Зарат Хыдырзынды-2 | 0.70831 | 7.2 | 45.1 | 2.6 | 21.56 | 28.2 |
Апшеронская область | |||||||
3/10 | Учтепе | 0.70724 | 7.4 | 2.8 | 1.1 | 2.46 | 7.4 |
10/10 | Пельпеля-Гарадаг | 0.70707 | 3.1 | 5.0 | 0.40 | 7.66 | |
19/10 | Давабойну | 0.70818 | 3.2 | 18.0 | 0.6 | 10.78 | 14.1 |
34/10 | Чегалдаг | 0.70755 | 6.2 | 1.7 | 3.4 | 3.90 | 7.5 |
Шемахино-Гобустанская область | |||||||
1/10 | Пирекяшкюль, сев. группа | 0.70812 | 3.1 | 0.6 | 11.5 | 4.11 | 8.7 |
4-1/10 | Дашгиль, сопочное поле | 0.70705 | 2.0 | 32.5 | 0.23 | 15.2 | 27.0 |
5/10 | Бахар | 0.70713 | 4.1 | 5.1 | 0.76 | 7.16 | 10.6 |
6/10 | Сарыбога, зап. группа | 0.70724 | 3.2 | 9.2 | 0.28 | 7.52 | 12.2 |
8/10 | Айрантекян | 0.70715 | 1.2 | 8.7 | 0.46 | 8.30 | 12.7 |
20/10 | Галендарахтарма | 0.70792 | 5.6 | 0.5 | 2.2 | 3.69 | 7.8 |
22-2/10 | Демирчи, серая пульпа | 0.70805 | 10.3 | 5.2 | 2.96 | 1.56 | 4.5 |
26-1/10 | Чеилдаг, сев. группа | 0.70823 | 4.7 | 0.68 | 6.6 | 2.91 | 6.7 |
30/10 | Гылыч | 0.70777 | 4.8 | 5.8 | 3.4 | 6.45 | 11.2 |
33/10 | Шехидан | 0.70751 | 8.2 | 1.3 | 6.1 | 2.77 | 5.8 |
14-12 | Большой Харани | 0.70710 | ‒ | 7.0 | ‒ | ‒ | ‒ |
Прикуринская область | |||||||
9/10 | Хыдырлы | 0.70690 | 1.0 | 42.5 | 0.14 | 17.8 | 30.1 |
13/10 | Нефтечала Южная | 0.70668 | -0.6 | 154 | 0.59 | 54.7 | 114 |
14/10 | Малыя Мишовдаг | 0.70689 | 2.3 | 25.0 | 0.37 | 10.4 | 17.5 |
24/10 | Калмаз | 0.70722 | 4.4 | 18.3 | 0.20 | 8.37 | 13.3 |
27/10 | Ахтарма-Пашалы | 0.70707 | 1.5 | 16.3 | 0.41 | 7.80 | 10.8 |
35/10 | Бяндован | 0.70755 | 3.7 | 25.8 | 0.26 | 16.0 | 19.6 |
Пресные водоемы | |||||||
1p/10 | р. Кура | 0.70770 | -10.2 | 0.60 | 2.17 | ‒ | ‒ |
5p/10 | р. Самур | 0.70841 | -11.5 | 0.40 | 6.25 | ‒ | ‒ |
6p/10 | водохранилище | 0.70861 | -10.2 | 0.47 | 21.3 | ‒ | ‒ |
Минеральные источники | |||||||
8-11 | Скв. Нефтечала, глубина 742.9 м | 0.70765 | -5.4 | 130.0 | ‒ | 30.8 | ‒ |
9-11 | Скв. Нефтечала, глубина 1533.2 м | 0.70736 | -2.0 | 326 | 0.22 | 122.0 | ‒ |
10-11 | Мин. источник Талыш-Астара-Истису | 0.70562 | -9.5 | 78.0 | 4.3- | 13.8 | 27.4 |
13-11 | Мин. источник Талыш-Истису-Масалы | 0.70516 | -10.0 | 86.0 | 4.6 | 10.6 | 21.3 |
15-13 | Мин. источник Талыш-Хафтани | 0.70490 | -11.8 | 12 | 3.3 | ‒ | ‒ |
Примечание. Изотопный состав кислорода, соленость, содержание Cl, Sr, Rb — из работы [Лаврушин и др., 2015]. Прочерк — не определялось.
Наряду с грязевулканическими водами, изотопный состав стронция был определен также в водах рек Кура и Самур, которые по этому показателю мало отличаются от вод грязевых вулканов (см. таблицу). Величины 87Sr/ 86Sr в рассолах, изливающихся из скважин йодо-бромного завода, пробуренных вблизи г. Нефтечала (0.7076 — с глубины 742.9 м и 0.7074 — с глубины 1533.2 м) также располагаются в пределах интервала, установленного для грязевых вулканов в целом. В то же время, эти величины заметно выше установленных в соседних вулканах Прикуринской области. Интересно отметить, что с глубиной вода, отобранная из этих скважин, несколько обедняется радиогенным стронцием, тогда как концентрация стронция в водах заметно возрастает. В приведенную таблицу включены также данные по минеральным источникам Талышской области [Лаврушин и др., 2018], расположенным в 50‒70 км к югу от самых южных грязевых вулканов Куринской области. В водах этих источников величины 87Sr/ 86Sr (0.7049‒0.7056) существенно ниже, чем в грязевых вулканах.
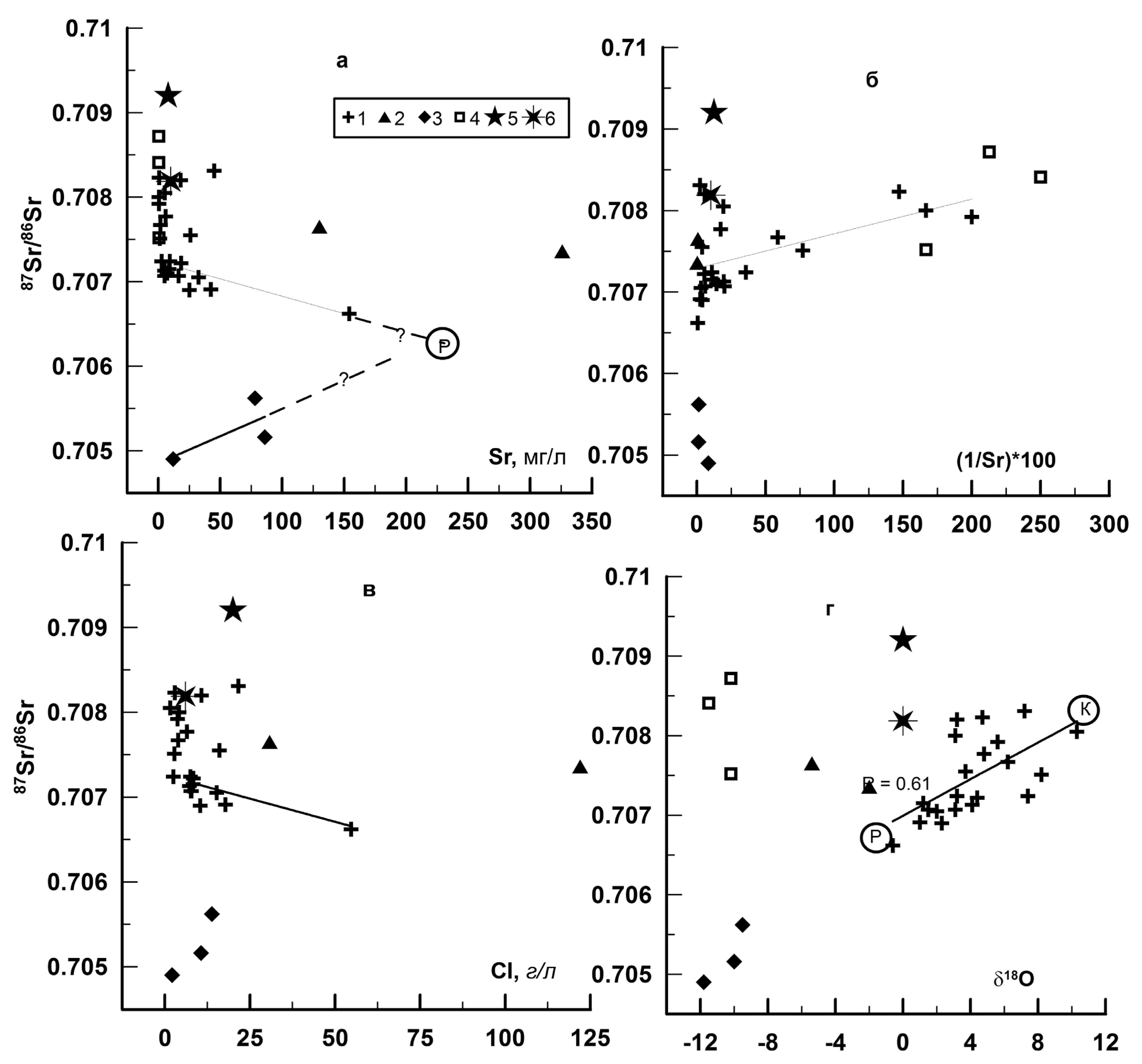
Содержание стронция в водах грязевых вулканах Азербайджана варьирует в широких пределах — от 0.5 мг/л, т. е. такого, как в обычных реках, до очень высоких значений ‒ 154 мг/л, встречающихся только в рассолах или продуктах растворения соленосных отложений. Наиболее высокие средние концентрации Sr (25±10 мг/л) установлены в Прикуринской области, где для грязевых вулканов характерны наиболее низкие величины отношения 87Sr/ 86Sr; в пределах этой области располагается вулкан Нефтечала Южная, в воде которого содержание Sr (154 мг/л) значительно превышает среднюю величину. При движении к северу — в вулканах Шемаха-Гобустанской и Абшеронской областей, уменьшение содержания Sr сопровождается возрастанием величин отношения 87Sr/ 86Sr в воде. На рис. 2а соотношения величин 87Sr/ 86Sr и концентраций стронция просматривается отрицательный тренд, который, однако, не достигает статистически значимой величины. Вместе с тем, учитывая значительную площадь и геологическую неоднородность опробованной территории, его полезно принять во внимание при интерпретации изотопных данных.
Рис. 2. Соотношение изотопного состава стронция с содержанием стронция (а), величинами (1/Sr)*100, (б), содержанием хлора (в), изотопным составом кислорода (г) в водах грязевых вулканов, минеральных источниках и речных водах Азербайджана.
1 — грязевые вулканы; 2 — минеральные воды скв. Нефтечалы Южная; 3 — минеральные источники Талыша (данные из работы [Лаврушин и др., 2018]); 4 — речные воды Азербайджана; 5 — современная океаническая вода (данные из работ [Craig, Gordon, 1965; Кузнецов и др., 2012], 6 — вода Каспийского моря (данные из работ [Николаев, 1995; Clauer et al., 2009]).
Содержание Sr в минеральных водах Талыша (12‒86 мг/л) примерно такое же, как в водах грязевых вулканов ближайшей к Талышу Прикуринской области, тогда как в скв. Нефтечалы содержание Sr существенно выше — до 326 мг/л (см. таблицу). Соотношение между изотопным отношением и содержанием стронция в водах Талышских минеральных источников обратное тому, которое отмечено в водах грязевых вулканах: с увеличением содержания Sr, величины отношения 87Sr/ 86Sr также увеличиваются (см. рис. 2а). Продолжение линии этого тренда на графике дает основание предположить, что грязевулканические воды Прикуринской области и минеральные воды Талыша имеют гипотетический общий высокостронциевый “рассольный” источник, воды которого в грязевулканических процессах и при формировании минеральных вод смешиваются с принципиально различными компонентами.
На рис. 2б изотопный состав стронция сопоставлен с величиной, обратной его концентрации в водах. На приведенном графике наблюдается положительный тренд, показывающий, что в грязевулканических водах снижение концентрации Sr ниже 4‒5 мг/л сопровождается контаминацией этих вод радиогенным стронцием. Изотопный состав стронция в контаминанте близок изотопному составу стронция в речных водах, однако было бы ошибкой предполагать на основании этого, что грязевулканические воды контаминируются поверхностными водами, которые резко отличаются от грязевулканических по изотопному составу кислорода (см. таблицу).
Связь изотопного состава стронция с содержанием хлора в водах грязевых вулканов (см. рис. 2в) примерно такая же, как и с содержанием стронция, что вполне ожидаемо, поскольку ранее [Лаврушин и др., 2015] в водах азербайджанских грязевых вулканов была установлена положительная корреляция между содержаниями хлора и стронция. На графике 87Sr/ 86Sr–Cl (см. рис. 2в) тренды грязевулканических вод и минеральных вод Талыша также пересекаются, что подтверждает вероятность существования общего “рассольного” источника.
Между изотопным составом стронция и изотопным составом кислорода грязевулканических вод Азербайджана установлена положительная корреляция (R = 0.61, n = 22). Линия этого тренда на графике (см. рис. 2г) может интерпретироваться, как отражающая смешение вод из двух основных источников, один из которых (К) характеризуется относительно высокими величинами 87Sr/ 86Sr≥0.7083 и δ18О≥10‰, а второй (Р) — низкими 87Sr/ 86Sr≤0.7067 и δ18О≤-0.5‰ (см. рис. 2г). Важно отметить, что концентрации стронция и хлора в источнике (Р) выше, чем в нормальной морской воде, и существенно выше, чем в водах Каспийского моря (см. рис. 2а, 2в), а в источнике (К) — заметно ниже. Отклонения от линии смешения характерны для грязевулканических вод, тяготеющих к источнику (К) (см. рис. 2г). Возможно, эти отклонения связаны с подмешиванием воды, близкой по изотопным характеристикам воде Каспийского моря; менее вероятным представляется подмешивание пресных поверхностных вод, так как они обеднены 18О более чем на 10‰, по сравнению с грязевулканическими водами. В источнике Р маловероятно участие как пресных, так и морских поверхностных вод.
ОБСУЖДЕНИЕ РЕЗУЛЬТАТОВ
Изотопный состав стронция, растворенного в речных водах, определяется составом дренируемых ими пород. Большинство крупных рек, дренирующих как относительно бедные радиогенным стронцием осадочные карбонаты ( 87Sr/ 86Sr ~0.705‒0.709), так и древние силикатные породы, а также продукты их денудации ( 87Sr/ 86Sr>0.715), характеризуются величинами отношения 87Sr/ 86Sr, лежащими в пределах интервала 0.710‒0.712 [Palmer, Edmond, 1992; Banner, 2004]. Существенно более высокие величины отношения 87Sr/ 86Sr установлены в водах рек Ганг (0.7257) и Брахмапутра (0.7210), эродирующих древние метаморфические породы Гималаев, тогда как в водах р. Волги (0.7081), в бассейне которой широко распространены поздне-докембрийские и палеозойские морские карбонатные породы, они существенно ниже [Clauer et al., 2009].
Относительно невысокие значения 87Sr/ 86Sr также характерны для рек, дренирующих вулканические породы. Так, в водах р. Кочечумо, стекающей с траппового плато Путорана, величины отношения 87Sr/ 86Sr (0.707‒0.708) ниже, чем в водах р. Нижняя Тунгуска (0.708‒0.709), в которую впадает Кочечумо, однако обе эти величины заметно выше, чем установленные в траппах (~0.7045) [Bagard et al., 2011]. Следует учитывать, что в речном стоке доля стронция, происходящего из карбонатов, существенно выше, чем доля стронция силикатных пород, поскольку в карбонатах, во-первых, содержится больше стронция, а во-вторых — они растворяются значительно быстрее, превышая скорости растворения силикатных пород на 2‒3 порядка величины.
Реки Закавказья по изотопному составу стронция (см. таблицу и [Clauer et al., 2009]) мало отличаются от рек Волги [Clauer et al., 2009] и Кубани на Северном Кавказе [Буякайте и др., 2014]. Очевидно, что доля силикатного корового стронция в них незначительна. Сложнее оценить вклад стронция из пород различного генезиса в питании таких рек, как, например, Кура, которая начинается на кайнозойском лавовом плато, а затем протекает в литологически разнообразных породах и принимает притоки, дренирующие, в том числе, мезозойские осадочные карбонаты. Вероятно, роль быстрорастворимых карбонатов в ее питании выше, чем вулканических пород, однако доказать это без детального опробования невозможно.
Изотопный состав стронция в подземных водах, так же как в реках, определяется составом коллекторов [Фор, 1989], но с учетом того обстоятельства, что на глубине процессы взаимодействия вода-порода происходят при повышенных температурах и при низких отношениях вода/порода, что наиболее ярко проявляется в изотопном составе кислорода грязевулканических вод [Dia et al., 1999; Лаврушин и др., 2005, 2015; Дубинина и др., 2004; Буякайте и др., 2014].
Источник (К), установленный в грязевулканических водах Азербайджана, аналогичен источнику, выделенному ранее при изучении таманских грязевых вулканов [Буякайте и др., 2014]. Как отмечалось в этой работе, изотопный состав стронция и кислорода в грязевых водах Тамани обусловлен, главным образом, интенсивностью обмена элементами с осадочными карбонатами мел-палеогенового возраста, при незначительном участии терригенных глинистых пород, накопившихся в результате поступления осадочного материала с Русской плиты, Скифско-Туранской плиты и Большого Кавказа (рис. 3). Следует отметить, что данные об изотопном составе стронция в кайнозойских глинистых породах Азербайджанской грязевулканической области в настоящее время отсутствуют, однако у нас нет оснований полагать, что в среднем по этому параметру они заметно отличаются от глин майкопской серии [Буякайте и др., 2014] и плейстоценовых осадков Каспийского моря [Pierret et al., 2012]. И в тех, и в других величины отношения 87Sr/ 86Sr>0.712, т. е. значительно выше, чем в водах грязевых вулканов.
Рис. 3. Изотопный состав стронция и кислорода в грязевулканических водах Азербайджана и Тамани в сопоставлении с изотопными характеристиками вероятных источников.
1 — грязевые вулканы Азербайджана; 2 — грязевые вулканы Таманского п-ова; 3 — морская вода; 4 — вода Каспийского моря.
“Карбонаты” — вода, равновесная при 100–150°С с морскими осадочными карбонатами мел-палеогенового возраста; “Глины” — то же, с терригенными глинистыми породами; “Эффузивы” — то же, с вулканогенными породами, измененными в результате взаимодействия с морской водой.
Следует подчеркнуть, что изотопный состав стронция в морской воде и морских карбонатах в течение мезозозоя и кайнозоя изменялся в довольно широких пределах: от величин 87Sr/ 86Sr 0.7068‒0.7070 в поздней юре и до 0.7090‒0.7092 в плейстоцене [McArthur et al., 2012]. Поэтому определить, c чем cвязан разброс значений 87Sr/ 86Sr в источнике, который условно нами назван “карбонатным” ‒ с участием в его формировании карбонатов разного возраста или с небольшой примесью терригенного стронция, невозможно. Учитывая, что в районе преобладают позднеюрские и меловые карбонатные породы, в которых отношение 87Sr/ 86Sr не превышает 0.7075 [McArthur et al., 2012], следует допустить, что все воды с более высокими величинами этого отношения содержат небольшую примесь терригенного стронция. Однако даже в грязевом вулкане Зарат Хыдырзынды-2, расположенном в Прикаспийской области, в котором зарегистрировано максимальное значение отношения 87Sr/ 86Sr = 0.7083, доля терригенного стронция вряд ли превышает 20% (принимая 87Sr/ 86Sr ~0.714 для терригенного стронция и 87Sr/ 86Sr ~0.707 для карбонатного стронция). Вулканогенные породы, присутствующие в разных горизонтах осадочного чехла, вряд ли могут иметь какое-то отношение к источнику (К), так как при равновесии с вулканитами, характеризующимися (включая измененные разности) величинами δ18О 6‒8‰, при температурах ниже 200°C значения δ18О в воде не могут превышать 6‰ [Zhao, Zheng, 2003]. С ними, однако, может быть связан источник (Р), природа которого рассмотрена ниже.
Теоретически, положительный тренд, который устанавливается в координатах 87Sr/ 86Sr‒δ18О (см. рис. 2г) можно интерпретировать как линию, отражающую смешение вод глубинного “карбонатного” (К) источника и представленных в Талышских минеральных источниках подземных вод атмосферного питания, изотопный состав стронция в которых определяется обменом с изверженными породами мантийного генезиса [Лаврушин и др., 2018].
Этому предположению, однако, противоречит ряд фактов: 1) значительная удаленность талышских источников и отсутствие аналогичных источников в зоне развития грязевого вулканизма; 2) большой разрыв на изотопных графиках между полями талышских источников и грязевых вулканов при отсутствии точек с промежуточными значениями 87Sr/ 86Sr и δ18О; 3) наличие нескольких трендов, отражающих зависимость величины 87Sr/ 86Sr от содержания Sr и Cl, и их пересечение на приведенных графиках (см. рис. 2а, 2в), из чего следует, что воды талышских источников и грязевых вулканов смешиваются не друг с другом, а с каким-то третьим источником. Последний характеризуется высокими содержаниями стронция и хлор-иона, величинами 87Sr/ 86Sr — 0.706‒0.707 и значениями δ18О, близкими к нулю. Такими характеристиками могли обладать, в частности, захороненные позднеюрские морские воды или вторичные рассолы, связанные с растворением позднеюрских эвапоритов.
Длительное захоронение морских вод представляется маловероятным из геологических соображений: крайне сомнительно, что резервуар с неизмененной морской водой мог просуществовать в недрах тектонически активного региона на протяжении 120‒130 млн лет. Изотопный обмен и растворение позднеюрских эвапоритов, на первый взгляд, кажется более вероятным. Значения δ18О в сульфатах, осаждающихся из морской воды (12‒16‰ [Claypool et al., 1980]), значительно ниже, чем в морских карбонатах (25‒30‰ [Veizer et al., 1999]), поэтому гипотетическая “ангидритовая” вода должна быть существенно обеднена 18О по сравнению с рассмотренной выше “карбонатной” водой. Фракционирование изотопов кислорода между ангидритом и водой при температуре ~150‒200°C, которую можно было бы ожидать на глубинах (6‒8 км) залегания юрских пород, оценивается 14.3‒10.7‰ [Zheng et al., 1999]. Соответственно, в воде, которая находится в равновесии с ангидритом при этих температурах, можно предполагать близкие к нулю или слабо положительные значения δ18О. Такая вода могла иметь изотопный состав стронция позднеюрских хемогенных осадков до тех пор, пока находилась внутри позднеюрского ангидритового коллектора, и вряд ли могла сохранить наблюдаемые весьма низкие отношения 87Sr/ 86Sr при подъеме с больших глубин сквозь толщу существенно терригенных пород.
Наиболее вероятной представляется связь источника (Р) с дегидратацией эоцен-олигоценовых вулканогенно-осадочных отложений. Попадая в морскую воду, вулканогенный материал начинает довольно быстро замещаться глинистыми минералами, обогащенными 18О и 87Sr. Разброс значений δ18О и 87Sr/ 86Sr в базальтах, подвергшихся выветриванию на морском дне, очень широк: от δ18О — 6‒7‰ и 87Sr/ 86Sr — 0.702‒0.703 в наименее измененных разностях, до δ18О — 15‒20‰ и 87Sr/ 86Sr — 0.707‒0.709 в наиболее измененных. Уже в течение первых 10 млн лет экспозиции на поверхности морского дна, в среднем около 10% магматогенного вещества подвергается замещению глинистыми минералами [Muehlenbachs, 1979; Hart, Staudigel, 1970]. В базальтах, слагающих слой 2 океанической земной коры современных океанов, наиболее типичными являются значения δ18О — 8‒12‰ и 87Sr/ 86Sr — 0.704‒0.706, при содержании гидроксильной воды 4‒6% [Muehlenbachs, 1979, 1986]. Сходные изотопные характеристики установлены в раннепалеозойских вулканитах именновской свиты, вскрытых Уральской сверхглубокой скважиной [Покровский и др., 1996; Покровский, 2000].
Сопоставление приведенных выше значений δ18О с данными по фракционированию изотопов кислорода между вулканогенными породами базальтового состава и водой при температурах 100‒150°C (11.5‒7‰ [Zhao, Zheng, 2003]), можно прийти в выводу о том, что вода, освобожденная в результате дегидратации измененных на морском дне вулканогенных и вулканогенно-осадочных пород, или испытавшая взаимодействие и интенсивный изотопный обмен с этими породами, вполне могла иметь изотопные характеристики, сходные с характеристиками грязевулканических вод Прикуринской области и источника (Р). Этот вывод хорошо согласуется с присутствием в грязевулканических эманациях Прикуринской области мантийного гелия [Якубов и др., 1980; Дадашев, Кабулова, 2003], который не установлен в грязевых вулканах других областей Азербайджана.
Значительно более высокие, по сравнению с морской водой, концентрации хлора (до 50 г/л) и стронция (до 154 мг/л) в этом источнике, превышающие содержания этих элементов в морской воде почти на 2 порядка величины, по-видимому, связаны с растворением соленосных отложений, локализация которых в разрезе не известна. Следует подчеркнуть, что обогащение грязевулканических вод и рассолов из скважины п. Нефтечала (см. таблицу) хлором не может быть результатом выпаривания морской воды, так как при температурах ниже 400°C обогащенный солями остаточный раствор обогащается не легким, а тяжелым изотопом кислорода [Horita, Wesolowski, 1994].
В изотопном составе стронция и стронций-кислородной изотопной систематике грязевулканических вод Азербайджана имеются как черты сходства, так и существенные отличия от грязевулканических вод Тамани, изученных ранее [Буякайте и др., 2014]. Как уже отмечалось выше, общим является доминирование источника, который мы связываем с дренированием до-неогеновых мезо-кайнозойских морских карбонатов (см. рис. 3). Этот источник по изотопному составу стронция сходен с местными речными водами ( 87Sr/ 86Sr = 0.708±0.0005), но отличается от них очень высокими значениями δ18О — до 10‰ в Азербайджане и до 14‰ на Тамани, свидетельствующими о высокотемпературном (>100°C) обмене c осадочными существенно карбонатными породами на больших глубинах. Исходный изотопный состав кислорода в грязевулканических водах модифицирован настолько сильно, что установить его “первичную” (морскую или атмосферную) природу очень трудно, если вообще возможно.
На Таманском полуострове высокие значения отношения 87Sr/ 86Sr>0.710, указывающие на заметную роль стронция терригенных глинистых пород, установлены в единственном из 11 опробованных грязевых вулканов — Гладковском [Буякайте и др., 2014]. В грязевулканических водах Азербайджана значения 87Sr/ 86Sr>0.7083 не обнаружены; очевидно, участие терригенных пород здесь проявлено еще слабее, чем на Тамани. Вместе с тем, в Азербайджане выявлен отсутствующий на Тамани источник грязевулканических вод, изотопные характеристики которого ( 87Sr/ 86Sr<0.7072) указывают на изотопный обмен с вулканогенными и вулканогенно-осадочными породами.
ЗАКЛЮЧЕНИЕ
В настоящее время у большинства литологов и геохимиков не вызывает сомнений генетическая связь грязевулканических вод с терригенными глинистыми породами. Об этом, казалось бы, убедительно свидетельствует облик грязевых вулканов, их ассоциация с мощными толщами глинистых пород, обычно достаточно низкая минерализация, которую можно объяснить дегидратацией глинистых минералов, а также изотопный состав водорода и кислорода.
Эта гипотеза, однако, находится в резком противоречии с изотопным составом стронция в грязевулканических водах Таманского полуострова [Буякайте и др., 2014] и Азербайджана, рассмотренных в данной статье. В современных глинистых осадках Каспийского моря и олигоценовых глинах майкопской серии, которые служат фундаментом грязевых вулканов Азербайджана, величины отношения 87Sr/ 86Sr>0.712, тогда как грязевулканических водах 87Sr/ 86Sr<0.7083, а в большинстве случаев — меньше 0.708. Такие низкие значения 87Sr/ 86Sr не могут быть результатом изотопного обмена, дегидратации и какого-либо взаимодействия с терригенными породами в целом, а свидетельствуют об изотопном обмене с до-неогеновыми морскими осадочными карбонатами или с вулканогенными породами. Целый ряд признаков, важнейшим из которых является изотопный состав кислорода, свидетельствует о том, что грязевулканические воды Азербайджана связаны как с вулканогенными источниками-коллекторами, поставляющими воду со слабо отрицательными величинами δ18О≤-0.5‰ и низкими величинами 87Sr/ 86Sr<0.7065‒0.7070, так и с карбонатными коллекторами, на вероятность обмена с которыми при температурах >100°C указывает сильное обогащение вод тяжелым изотопом кислорода, вплоть до значений δ18О≥10‰.
Наиболее отчетливо участие вулканогенного источника проявлено в грязевых вулканах прилегающей к Талышским горам Прикуринской области, что хорошо согласуется с присутствием в эманациях этих вулканов мантийного гелия, который не установлен в вулканах, расположенных севернее. Локализация этого источника в разрезе осадочного чехла неизвестна; вероятно, он связан с отложениями эоцена и олигоцена, формирование которых сопровождалось сносом осадочного материала с Малого Кавказа, где располагались центры вулканической активности. Характерную для грязевулканических вод Прикуринской области общую высокую минерализацию (до 114 г/л), а также высокие концентрации стронция — до 154 мг/л и хлора — до 54.7 г/л, невозможно объяснить взаимодействием с вулканогенными и вулканогенными породами. Скорее всего, ассоциация низких отношения 87Sr/ 86Sr и высокой минерализации не является генетически обусловленной, а связана с растворением соленосных отложений водами при подъеме к поверхности.
ИСТОЧНИКИ ФИНАНСИРОВАНИЯ
Работа выполнена при поддержке гранта РНФ № 18-17-000245, полевые исследования были проведены при поддержке РФФИ (проекты № 14-05-00967-а и № 11-05-00590-а).
About the authors
M. I. Bujakaite
Geological Institute (GIN), Russian Academy of Sciences
Author for correspondence.
Email: margarita.bujakaite@gmail.com
Russian Federation, Pyzhevskii per. 7, Moscow, 119017
V. Yu. Lavrushin
Geological Institute (GIN), Russian Academy of Sciences
Email: margarita.bujakaite@gmail.com
Russian Federation, Pyzhevskii per. 7, Moscow, 119017
B. G. Pokrovsky
Geological Institute (GIN), Russian Academy of Sciences
Email: margarita.bujakaite@gmail.com
Russian Federation, Pyzhevskii per. 7, Moscow, 119017
References
- Буякайте М. И., Лаврушин В. Ю., Покровский Б. Г. и др. Изотопные системы стронция и кислорода в водах грязевых вулканов Таманского полуострова (Россия) // Литология и полез. ископаемые. 2014. № 1. С. 52-59.
- Геология Азербайджана. Т. II. Литология. Баку: “Nafta Press”, 2005. 253 с.
- Геология Азербайджана. Т. VII. Нефть и газ. Баку: “Nafta Press”, 2008. 672 с.
- Гулиев И. С., Павленкова Н. И., Раджабов М. М. Зона регионального разуплотнения в осадочном чехле Южно-Каспийской впадины // Литология и полез. ископаемые. 1988. № 5. С. 123-136.
- Дадашев Ф. Г., Кабулова А. Я. Изотопы гелия в природных газах Азербайджана // Известия НАНА. Науки о Земле. 2003. Т. 2. С. 3-9.
- Дубинина Е. О., Лаврушин В. Ю., Авдеенко А. С. Изотопный аспект формирования вод грязевых вулканов // ДАН. 2004. Т. 398. № 5. С. 672-674.
- Керимов В. Ю., Рачинский М. З. Геофлюидодинамика нефтегазоносных подвижных поясов. М.: Недра, 2011. 599 с.
- Кузнецов А. Б., Семихатов М. А., Горохов И. М. Изотопный состав Sr в водах мирового океана, окраинных и внутренних морей: возможности и ограничения Sr-изотопной стратиграфии // Стратиграфия. Геол. корреляция. 2012. Т. 20. № 6. С. 3-19.
- Лаврушин В. Ю., Поляк Б. Г., Прасолов Э. М., Каменский И. Л. Источники вещества в продуктах грязевого вулканизма (по изотопным, гидрохимическим и геологическим данным) // Литология и полез. ископаемые. 1996. № 6. С. 625-647.
- Лаврушин В. Ю., Дубинина Е. О., Авдеенко А. С. Изотопный состав кислорода и водорода вод грязевых вулканов Тамани (Россия) и Кахетии (Восточная Грузия) // Литология и полез. ископаемые. 2005. № 2. C. 143-158.
- Лаврушин В. Ю., Гулиев И. С., Киквадзе О. Е. и др. Воды грязевых вулканов Азербайджана: изотопно-химические особенности и условия формирования // Литология и полез. ископаемые. 2015. № 1. С. 3-29.
- Лаврушин В. Ю., Исрафилов Ю. Г., Поляк Б. Г. и др. Условия формирования термоминеральных вод Талышской складчатой зоны Малого Кавказа (Азербайджан) по изотопно-геохимическим данным ( 3Не/ 4Не, δ 13ССО2, δ 13ССН4, δ 15NN2, 87Sr/ 86Sr, δDН2О и δ 18ОН2О) // Литология и полез. ископаемые. 2018. № 1. C. 58-82.
- Николаев С. Д. Изотопная палеогеография внутриконтинентальных морей. М.: ВНИРО, 1995. 127 с.
- Покровский Б. Г., Викентьев И. В., Розен О. М. Уральская сверхглубокая скважина: геохимия стабильных изотопов и некоторые параметры гидротермальных рудообразующих систем // Литология и полез. ископаемые. 1996. № 2. С. 168-181.
- Покровский Б. Г. Коровая контаминация мантийных магм по данным изотопной геохимии. М.: Наука, 2000. 228 с.
- Рахманов Р. Р. Грязевые вулканы и их значение в прогнозировании газонефтеносности недр. М.: Недра, 1987. 174 с.
- Фор Г. Методы изотопной геологии. М.: Мир, 1989. 590 с.
- Холодов В. Н. Грязевые вулканы: закономерности размещения и генезис. Сообщение 2. Геолого-геохимические особенности и модель формирования // Литология и полез. ископаемые. 2002. № 4. C. 339-358.
- Холодов В. Н. Грязевые вулканы: распространение и генезис // Геология и полезные ископаемые мирового океана. 2012. № 4. С. 5-27.
- Якубов А. А., Григорьянц Б. В., Алиев А. Д. и др. Грязевой вулканизм Советского Союза и его связь с нефтегазоносностью. Баку: ЭЛМ, 1980. 165 с.
- Bagard M.-L., Chabaux F., Pokrovsky O. S. et al. Seasonal variability of element fluxes in two Central Siberian rivers draining high latitude permafrost dominated areas // Geochim. et Cosmochim. Acta. 2011. V. 75. P. 3335-3357.
- Banner J. L. Radiogenic isotopes: systematics and applications to earth surface processes and chemical stratigraphy // Earth-Sci. Rev. 2004. V. 65. P. 141-194.
- Chen-Feng You, Gieskes J. M., Typhoon Lee et al. Geochemistry of mud volcano fluids in the Taiwan accretionary prism // Appl. Geochem. 2004. V. 19. P. 695-707.
- Clauer N., Pierret M. C., Chaudhuri S. Role of subsurface brines in salt balance: the case study of the Caspian Sea and Kara Bogaz Bay // Aquat. Geochem. 2009. V. 15. P. 237-261.
- Claypool G. E., Holser W. T., Kaplan I. R. et al. The age curves of sulfur and oxygen isotopes in marine sulfate and their mutual interpretation // Chem. Geol. 1980. V. 28. P. 199-260.
- Craig H., Gordon L. I. Deuterium and oxygen 18 variations in the ocean and the marine atmosphere // In Stable isotopes in oceanographic studies and paleotemperatures / Ed. E. Tongiorgi. Consiglio nazionale delle ricerche, Laboratorio di geologia nucleare, Pisa. 1965. P. 9-130.
- Dählmann A., De Lange G. J. Fluid-sediment interactions at Eastern Mediterranean mud volcanoes: a stable isotope study from ODP Leg 160 // Earth Planet. Sci. Lett. 2003. V. 212. № 3-4. P. 377-391.
- Dia A. N., Сastrec-Rouelle M., Boulegue J., Comeau P. Trinidad mud volcanoes: Where do the expelled fluids come from? // Geochim. et Cosmochim. Acta. 1999. V. 63. № 7/8. P. 1023-1038.
- Dimitrov L. I. Mud volcanoes — the most important pathway for degassing deeply buried sediments // Earth-Sci. Rev. 2002. V. 59. P. 49-76.
- Hart S. R., Staudigel H. Ocean crust-seawater interaction sites 417 and 418 // Init. Rep. Deep Sea drill. Proj. 1979. V. 51-53. Part 2. P. 1169-1176.
- Hensen Ch., Scholz F., Nuzzo M. et al. Strike-slip faults mediate the rise of crustal-derived fluids and mud volcanism in the deep sea // Geology. 2015. V. 43. № 4. P. 339-342.
- Horita J., Wesolowski D. J. Liquid-vapor fractionation of oxygen and hydrogen isotopes of water from the freezing to the critical temperature // Geochim. et Cosmochim. Acta. 1994. V. 58. P. 3425-3437.
- Koph A. Significance of mud volcanism // Rev. Geophys. 2002. V. 40. P. 1-52.
- McArthur J. M., Howarth R. J., Shields G. A. Strontium isotope stratigraphy // The Geologic Time Scale / Eds F. M. Gradstein, J. G. Ogg, M. D. Schmitz, G. M. Ogg. Boston, USA: Elsevier, 2012. Ch. 7. P. 127-144.
- Muehlenbachs K. Alteration and aging of the basaltic layers of sea flor: Oxygen isotope evidence from DSDP/IPOD legs 51, 52, 53 // Init. Rep. Deep Sea drill. Proj. 1979. V. 51-53. Рart 2. P. 1159-1168.
- Muehlenbachs K. Alteration of the oceanic crust and 18O history of seawater // Rev. Mineral. Geochem. 1986. V. 16. P. 425-444.
- Palmer M. R., Edmond J. M. Controls over the strontium isotope composition of river water // Geochim. et Cosmochim. Acta. 1992. V. 56. P. 2099-2111.
- Pierret M. C., Chabaux F., Leroy S. A. G., Causse C. A record of Late Quaternary continental weathering in the sediment of the Caspian Sea: evidence from U-Th, Sr isotopes, trace element and palynological Data // Quat. Sci. Rev. 2012. V. 51. P. 40-55.
- Veizer J., Ala D., Azmy K. et al. 87Sr/ 86Sr, δ13C and δ18O evolution of Phanerozoic seawater // Chem. Geol. 1999. V. 161. P. 59-88.
- Zheng Y.-F. Oxygen isotope fractionation in carbonate and sulfate minerals // Geochem. J. 1999. V. 33. P. 109-126.
- Zhao Z. F., Zheng Y. F. Calculation of oxygen isotope fractionation in magmatic rocks // Chem. Geol. 2003. V. 193. P. 59-80.
Supplementary files





