Synrift sandstones and clayey rocks: bulk chemical composition and location on a number of discriminant paleogeodynamic diagrams
- Authors: Maslov A.V.1,2, Podkovyrov V.N.3, Gareev E.Z.2, Nozhkin A.D.4
-
Affiliations:
- Zavaritsky Institute of Geology and Geochemistry, Ural Branch, RAS
- Institute of Geology, Ufa Federal Research Centre, RAS
- Institute of Precambrian Geology and Geochronology, RAS
- Institute of Geology and Mineralogy, Siberian Branch, RAS
- Issue: No 5 (2019)
- Pages: 439-465
- Section: Articles
- URL: https://journals.eco-vector.com/0024-497X/article/view/16513
- DOI: https://doi.org/10.31857/S0024-497X20195439-465
- ID: 16513
Cite item
Full Text
Abstract
The bulk chemical composition of synrift sandstones and associated clayey rocks has been analized, and the distribution of the fields they form has been studied on discriminant paleogeodynamic SiO2–K2O/Na2O [Roser, Korsch, 1986] and DF1–DF2 [Verma, Armstrong-Altrin, 2013] diagrams. The studied sandstones in terms of bulk chemical composition mainly correspond to greywacke, lititic, arkose and subarkose psammites; Sublitites and quartz arenites are also found. A significant part in the analyzed data massif consists of psammites, in which log(Na2O/K2O)<-1.0; missing on the Pettijohn classification chart. This confirms our conclusion, based on the results of mineralogical and petrographic studies, that the sedimentary infill of rift structures unites immature sandstones, the detrital framework of which was formed due to erosion of local sources, represented by various magmatic and sedimentary formations. Synrift clayey rocks, compared with sandstones, are composed of more mature fine-grained siliciclastics. As follows from the distribution of figurative data points of clayey rocks on the F1–F2 diagram [Roser, Korsch, 1988], its sources were mainly sedimentary deposits. The content of most of the main rock-forming oxides in the synrift sandstones is almost the same as in silt-sandstone rocks present in the Upper Precambrian-Phanerozoic sedimentary mega-complex of the East European Plate, but at the same time differs significantly from the Proterozoic and Phanerozoic cratonic sediments, as well as from the average composition upper continental crust. It is shown that the distribution of the fields of syntift sandstones and clayey rocks on the SiO2–K2O/Na2O diagram does not have any distinct features, and their figurative data points are localized in the areas of terrigenous rocks of passive and active continental margins. On the DF1–DF2 diagram, the fields of the studied psammites and clayey rocks are located in areas of riftogenous and collisional environments. We have proposed a different position of the border between these areas in the diagram, which will require further verification.
Full Text
Для интерпретации палеогеодинамических обстановок формирования терригенных толщ с последней четверти XX в. привлекаются данные о валовом химическом составе песчаников и глинистых пород. В это время были опубликованы дискриминантные диаграммы K2O/Na2O– SiO2/Al2O3 [Maynard et al., 1982], (Fe2O3*+MgO)–K2O/Na2O, (Fe2O3*+MgO)–Al2O3/SiO2 и другие [Bhatia, 1983], SiO2–K2O/Na2O [Roser, Korsch, 1986], (K2O+Na2O)–SiO2/20–(TiO2+ Fe2O3+MgO) [Kroonenberg, 1994] и др., которые позволяют относить исследуемые терригенные породы к образованиям следующих палеогеодинамических обстановок: пассивных и активных континентальных окраин, океанических и континентальных вулканических дуг. В последующие годы не было предложено новых диаграмм подобного типа, а количество критических отзывов о диаграммах 1980-х гг. возрастало [Armstrong-Altrin, Verma, 2005; Ryan, Williams, 2007; Caracciolo et al., 2012; и др.]. Это подробно обсуждалось нами ранее [Маслов и др., 2012а, 2012б, 2016а, 2016б]. Затем были опубликованы дискриминантные диаграммы DF1–DF2 для терригенных пород с высоким (63–95 мас. %) 1 и низким (35–63 мас. %) 2 содержанием SiO2adj 3 [Verma, Armstrong-Altrin, 2013], на которых впервые появилась область составов, свойственных рифтогенным обстановкам. На более ранних диаграммах фигуративные точки синрифтовых песчаников и глинистых пород концентрировались в основном в областях терригенных пород пассивных континентальных окраин.
Наиболее ответственной операцией при создании дискриминантных диаграмм является выбор эталонных объектов. Для разработки диаграмм DF1–DF2 [Verma, Armstrong-Altrin, 2013] были привлечены аналитические данные по осадочному выполнению континентальных рифтов Калифорнии, Бразилии, Испании, Нигерии, Уганды, Замбии, Австралии, Китая, Монголии и ряда других структур. В то же время разнообразие источников силикокластики не учитывалось, хотя, казалось бы, очевидно, что осадочное выполнение рифтов, питающихся продуктами разрушения различных магматических пород, должно отличаться по валовому химическому составу от синрифтовых осадочных образований, которые были сформированы за счет многократно рециклированного обломочного материала.
РИФТОВЫЕ СТРУКТУРЫ И ПРОЦЕССЫ ОСАДКОНАКОПЛЕНИЯ В НИХ
Проблемам классификации рифтовых структур, выяснению особенностей их формирования и анализу процессов осадконакопления, протекающих в этих структурах посвящены сотни публикаций [Логачев, 1968, 1977 и др.; Милановский, 1976, 1983 и др.; Грачев, 1987; Казьмин, 1987; Разваляев, 1988; Маслов, 1994а; Эринчек, Мильштейн, 1995; Самойлов, Ярмолюк, 1992; Леонов, 2001; Осадочные …, 2004; Чамов, 2016; Illies, Greiner, 1978; McKenzie, 1978; Reading, 1982; Kingston et al., 1983; Crossley, 1984; Christie-Blick, Biddle, 1985; Keen, 1985; Mulugeta, 1985; Quinlan, 1987; Rosendahl, 1987; Wernicke et al., 1988; Morley, 1989; Chorowicz, 1990; Buck, 1991; Woelk, Hinze, 1991; Schlishe, 1991; Jones et al., 1992; Van Schmus, 1992; Ziegler, 1994; Continental …, 1995; Friedmann, Burbank, 1995; Sengör, 1995; Mack et al., 1997; Brun, 1999; Deverchère, 1999; Sengör, Natal’in, 2001; Ziegler, Cloetingh, 2004; Corti, 2009 и др.], поэтому настоящий раздел не претендует на полное и детальное их освещение.
Как отмечалось в работе [Осадочные …, 2004], рифты принадлежат к разряду структур, занимающих особое место в процессах формирования осадочных бассейнов. При этом подчеркивается, что “…главным диагностическим признаком рифтов является тектоническая структура и геодинамический режим, в котором она сформировалась. Остальные признаки: с о с т а в п о р о д, з а п о л н я ю щ и х р и ф т (разрядка — А. В. Маслов и др.), наличие и тип магматизма и пр. важны, и многие из них выражены в рифтах достаточно характерно” [Осадочные …, 2004, с. 45].
Процессы осадконакопления в рифтовых бассейнах тесно связаны с тектоническими процессами: последние контролируют объем и общую архитектуру области аккомодации. Так, например, в рифтовых структурах, образованных за счет смещений, подобных “эффекту домино”, общий объем аккомодационного пространства определяется амплитудой запрокидывания отдельных блоков. Это приводит к появлению многочисленных локальных ловушек, заполнение которых обломочным материалом контролируется взаимодействием погружающихся и воздымающихся блоков. В целом, формирование осадочного заполнения рифтов — процесс в значительной степени неравновесный и незавершенный. В подобных обстановках следует ожидать, что синрифтовые осадочные образования будут весьма неоднородными (“пестрыми”) как по петрографическому, так и по валовому химическому составу. И если первое — достаточно известный факт [Ingersoll et al., 1990; Garzanti et al., 2001 и др.], то опубликованные обобщающие данные по валовому химическому составу практически отсутствуют.
К числу первых наиболее обстоятельных отечественных работ, посвященных рифтогенным бассейнам, относятся монографии Е. Е. Милановского [1976, 1983], в которых были выделены и подробно охарактеризованы внутриконтинентальные, межконтинентальные и внутриокеанические рифтовые пояса и зоны. Эпиплатформенные межконтинентальные рифты рассматривались как структуры с платформенной “рамой”, а эпиорогенные — с “рамой” молодых складчатых сооружений. Во внутриконтинентальные эпиплатформенные рифтовые пояса и зоны были объединены сводово-вулканические и щелевые рифты. Характер отложений, выполняющих эти рифты, контролировался совокупностью факторов — тектоникой, климатом, вулканической и гидротермальной деятельностью. Щелевые рифты включают, как правило, два комплекса отложений: нижний, или молассоидный, представленный песчано-алевритово-глинистыми осадками озерного, болотного и аллювиального генезиса, и верхний, или молассовый, сложенный гранулометрически более “пестрым” набором пород озерного, аллювиального, пролювиального, флювиогляциального и ледникового генезиса [Милановский, 1976; Логачев, 1977 и др.]. В строении комплекса выполнения сводово-вулканических рифтовых зон ведущая роль принадлежит вулканическим образованиям. Присутствующие здесь осадочные породы, так же как и в случае щелевых рифтов, весьма неоднородны по своим фациальным характеристикам. Отложения, заполняющие бассейны эпиорогенных рифтовых зон, сходны с осадочным выполнением межгорных впадин орогенных областей. Они представлены генетически разнообразными континентальными образованиями, включающими ту или иную долю вулканических пород [Милановский, 1976].
В перечисленных выше и многих других работах сведения о валовом химическом составе синрифтовых осадочных пород, как правило, не приводятся, так как, в отличие от магматических образований, в 1970-е гг. и позднее такая информация не использовалась для анализа процессов формирования осадочного выполнения бассейнов растяжения. Подобные данные появились значительно позднее, и настоящая публикация, основанная на результатах исследования валового химического состава синрифтовых песчаников и ассоциирующих с ними глинистых пород, в какой-то мере заполняет указанный пробел.
Нам представляется, что анализ валового химического состава синрифтовых песчаников и, одновременно, глинистых пород позволит подобрать для детальных исследований объекты, наиболее информативные с точки зрения палеогеодинамических реконструкций, поскольку песчаники рифтовых зон образованы, как правило, за счет локальных источников сноса, тогда как тонкозернистые глинистые и алевритово-глинистые осадки отражают петрофонд более обширных территорий. Выбранный нами подход учитывает результаты исследований Р. Куллерса [Cullers, Stone, 1991; Cullers, 1994, 2000 и др.], который показал, что минеральный и отчасти химический состав алевритов и тонкозернистых песков, по сравнению с средне- и крупнозернистыми песчаниками, более полно отражает “набор пород” в областях размыва, тогда как величины отношения “элемент/Al2O3” для многих элементов в тонкозернистых обломочных породах и песчаниках статистически сопоставимы [Cullers, 2000]. Хорошо известно также, что фигуративные точки химических составов глинистых пород и песчаников из одной и той же осадочной последовательности на многих дискриминантных палеогеодинамических диаграммах имеют различную локализацию [Sun et al., 2008; Tao et al., 2013 и др.].
При рассмотрении аналитических данных для синрифтовых песчаников и глинистых пород мы использовали систематику рифтов Дж. Шенгёра [Sengör, 1995; Sengör, Natal’in, 2001 и др.]. Принципиально важной ее особенностью является положение о том, что рифты формируются на всех стадиях цикла Уилсона. Эта систематика сочетает геометрический, кинематический и динамический подходы. По геометрическим характеристикам выделяются отдельные небольшие рифты, рифтовые звезды, рифтовые цепочки, рифтовые кластеры и сети. Кинематический подход учитывает характеристики границ плит, а также общие особенности перемещений и напряжений. Здесь выделяется ряд соподчиненных категорий: к наиболее крупным относятся внутриплитные рифты (категория k1), рифты на дивергентных (k2), консервативных (k3) и конвергентных границах плит (k4), а также тройные их сочленения (k5). В свою очередь, рифты на дивергентных границах плит включают структуры, заложившиеся в результате сводообразования (k21, например, рифтовые долины Восточной Африки), и не связанные с предрифтовым сводообразованием (категория k22, трог Салтон, Южная Калифорния). Рифты на консервативных границах плит объединяют структуры, сформированные в транстенсивных обстановках (k31), пул-апарт бассейны (k32) и клинораздвиги (k33). Рифты на конвергентных границах ассоциируют с зонами субдукции (k41) или с зонами континентальной коллизии (k42). Первые включают: рифты, связанные с вулканическими дугами, испытывающими растяжение (k411, трог Окинава, Идзу-Бонинская дуга), рифты “нейтральных” дуг (k412) и структуры, локализованные в дугах, находящихся на стадии сжатия (k413). К рифтам, приуроченным к зонам континентальной коллизии, принадлежат: импактогены (k421, Верхнерейнский грабен, рифты Осло и Викинг), структуры, образованные в интраконтинентальных поясах столкновения (k422), и зоны деформаций, напоминающие поверхность паковых льдов (k423, регион Эгейского моря, запад Анатолийского плоскогорья) [Sengör, Natal’in, 2001]. Динамический подход учитывает процессы, определяющие формирование рифтов. Наиболее крупные подразделения — рифты активного типа, или “связанные с плюмами” (d1) и пассивного типа, или “связанные с границами плит” (d2).
МАТЕРИАЛ И МЕТОДЫ
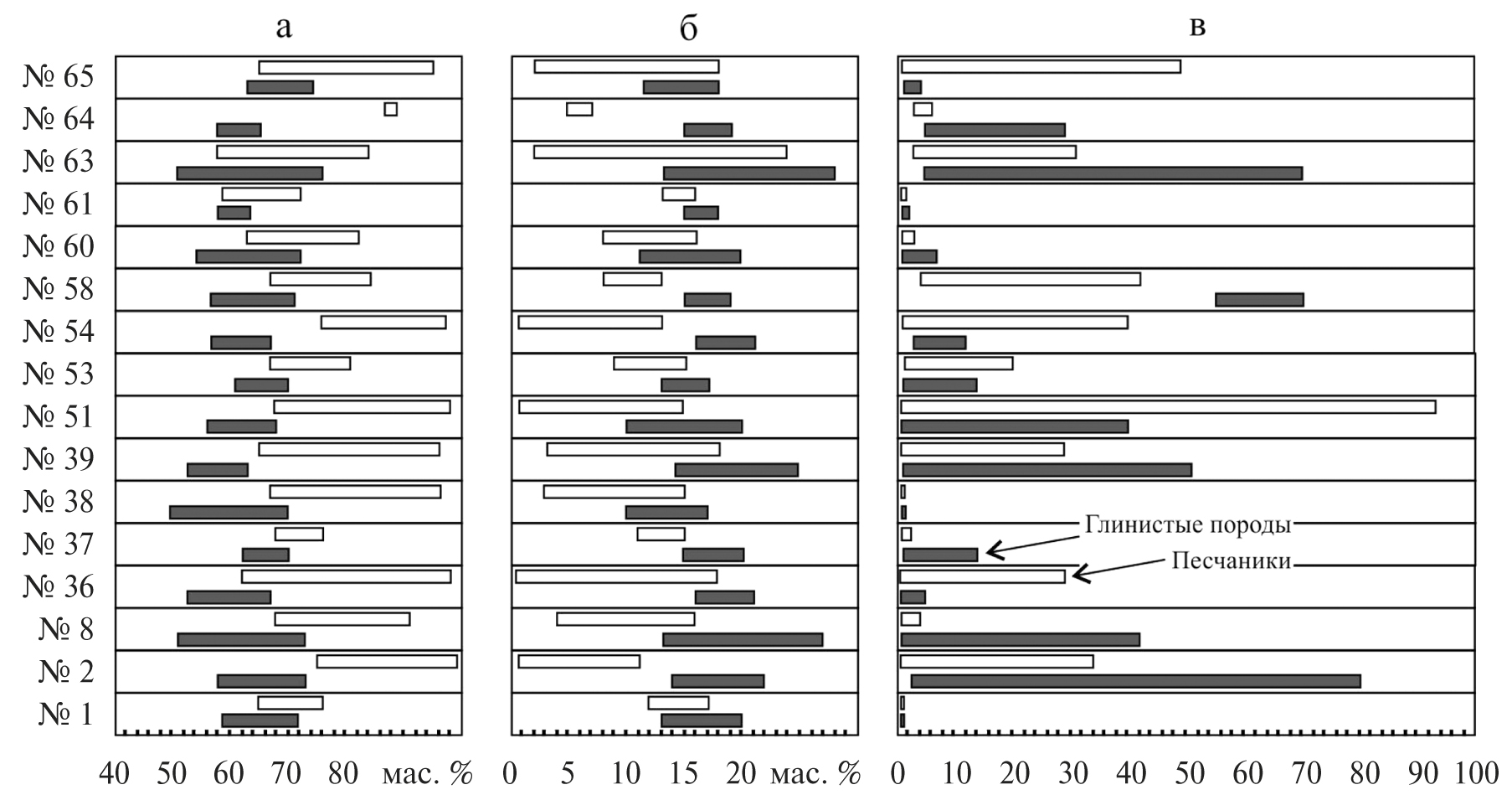
В работе использован крупный массив данных о валовом химическом составе (содержание основных породообразующих оксидов, редких и рассеянных элементов) глинистых пород и песчаников из более 40 осадочных последовательностей разного возраста, накапливавшихся в рифтовых структурах различного типа. Основным инструментом исследований являлся анализ расположения полей фигуративных точек песчаников (260 химических анализов) и ассоциирующих с ними аргиллитов, глинистых сланцев и метапелитов (210 химических анализов) из 15 подобных последовательностей (рис. 1) на дискриминантных палеогеодинамических диаграммах 4 SiO2–K2O/Na2O [Roser, Korsch, 1986] и DF1–DF2 [Verma, Armstrong-Altrin, 2013]. Изученные последовательности накапливались: в интракратонных рифтах 5 (№ 2 6, 36, 51, 53, 54, 60 и др., см. рис. 1); в рифтах, сформированных на этапах распада суперконтинентов (№ 8, 58), в пул-апарт бассейнах (№ 39, см. рис. 1) и в рифтовых структурах, связанных с процессами субдукции (№ 1, 38, 61, см. рис. 1) (рис. 2). Были проанализированы песчаники и глинистые породы: 1) неогенового бассейна Йиянг (Jiyang), Северный Китай (№ 1) [Cai et al., 2008, 2011]; 2) неопротерозойской серии Юинта Маунтин (Uinta Mountain), США (№ 2) [Condie et al., 2001]; 3) палеопротерозойской формации Серпент (Serpent) надсерии Гурон, Канада (№ 8) [Fedo et al., 1997]; 4) мезопротерозойской уйской серии, Учуро-Майский регион, Россия (№ 36) [Подковыров, 2001; Подковыров и др., 2002; Khudoley et al., 2001; Cullers, Podkovyrov, 2002]; 5) отложений мезо-неопротерозоя юго-восточной части блока Янцзы, Южный Китай (№ 37) [Deru et al., 2007]; 6) неопротерозойской формации Гамбл Брук (Gamble Brook), Авалонский террейн, Канада (№ 38) [Murphy, 2002]; 7) перми и триаса Центральной Индии (№ 39) [Ghosh et al., 2012]; 8) мезопротерозойской надсерии Белт-Перселл, США (№ 51) [González-Álvarez, 2005]; 9) айской свиты нижнего рифея (бурзяния) Башкирского мегантиклинория (№ 53) [Маслов и др., 2002; Maslov, Isherskaya, 2002 и др.]; 10) машакской свиты среднего рифея (юрматиния) той же структуры (№ 54) [Маслов и др., 2002; Maslov, Isherskaya, 2002 и др.]; 11) мелового бассейна Доуала (Douala) Юго-Восточного Камеруна (№ 58) [Ngueutchoua et al., 2017]; 12) серии Верхний Оранжемунд (Upper Oranjemund), Намибия, Южная Африка (№ 60) [Basei et al., 2005]; 13) формации Нанмингшу (Nanmingshui) нижнего карбона Северо-Восточного Джунгара (Junggar), Китай (№ 61) [Tao et al., 2014]; 14) неопротерозойской чингасанской серии Енисейского кряжа (№ 63) [Ножкин и др., 2007, 2008; Лиханов, Ревердатто, 2015]; 15) прикамской свиты нижнего рифея Волго-Уральской области (№ 64) [Маслов, 1994б; Маслов, Ишерская, 1998].
Рис. 1. Рифтогенные структуры, терригенные породы осадочного заполнения которых рассмотрены в настоящей работе, географическая основа — по [Verma, Armstrong-Altrin, 2013], с изменениями.
1 — неогеновый бассейн Йиянг, Северный Китай; 2 — неопротерозойская серия Юинта Маунтин, США; 8 — палеопротерозойская формация Серпент надсерии Гурон, Канада; 36 — мезопротерозойская уйская серия, Учуро-Майский регион, Россия; 37 — отложения мезо-неопротерозоя юго-восточной части блока Янцзы, Южный Китай; 38 — неопротерозойская формация Гамбл Брук, Авалонский террейн, Канада; 39 — отложения перми и триаса Центральной Индии; 51 — мезопротерозойская надсерия Белт-Перселл, США; 53 — айская свита нижнего рифея (бурзяния), Южный Урал, Россия; 54 — машакская свита среднего рифея (юрматиния), Южный Урал, Россия; 58 — отложения мелового бассейна Доуала, Юго-Восточный Камерун; 60 — серия Верхний Оранжемунд, Намибия, Южная Африка; 61 — формации Нанмингшу, нижний карбон Северо-Восточного Джунгара, Китай; 63 — неопротерозойская чингасанская серия, Енисейский кряж, Россия; 64 — прикамская свита нижнего рифея Волго-Уральской области, Россия.
Рис. 2. Классификация рифтов, по [Sengör, 1995; Sengör, Natal'in, 2001], с упрощениями. Серым отмечены категории рифтов, терригенные породы осадочного заполнения которых рассмотрены в настоящей работе.
Для сравнения использованы сведения о валовом химическом составе глинистых сланцев (22 обр.) и песчаников (32 обр.) зигазино-комаровской и авзянской свит среднего рифея западного склона Южного Урала, соответствующих категории “надрифтовых” образований (№ 65 и 66, соответственно) [Маслов и др., 2012а]. Кроме того, привлекались данные о составе алевропесчаных пород ряда эратем рифея и систем фанерозоя Русской плиты (№ 67) [Ронов и др., 1995].
Настоящая работа продолжает исследование особенностей химического состава псаммитов из различных геодинамических обстановок [Маслов и др., 2013, 2015, 2016а, 2016 б и др.]. Поскольку ранее нами были изучены толщи песчаников рифея Южного Урала [Маслов, Гареев, 1992], значительная доля которых, согласно [Иванов, 1977, 1980, 1981; Иванов и др., 1986 и др.; Парначев, 1981, 1987; Парначев и др., 1986 и др.], накапливалась в рифтогенных или рифтоподобных структурах, сформировавшихся в связи с субглобальными плюмовыми событиями, остановимся на некоторых общих особенностях накопления рифейских (мезо-неопротерозойских) осадочных последовательностей западного склона Южного Урала и Волго-Уральской области.
Раннерифейские осадочные образования на этой территории выполняют широкую надрифтовую впадину, фундамент которой был раздроблен в результате рифтогенеза. В составе комплекса представлены вулканогенные и грубообломочные континентальные и прибрежно-морские терригенные породы, которые слагают айскую и прикамскую свиты (№ 53 и 64) и соответствуют рифтовому этапу развития рассматриваемой территории. Присутствуют также отложения умеренно глубоководных бассейнов (в т. ч., вероятно, с ограниченной циркуляцией придонных вод), которые слагают суранскую, бакальскую, юшинскую и другие свиты, формирующие “надрифтовые” отложения [Маслов, 1994б и др.]. Субщелочные базальты в составе навышской подсвиты айской свиты 7 принадлежат субглобальному плюмовому эпизоду, проявления которого зафиксированы как в типовой местности рифея, так и на других континентах в интервале ~1780–1750 млн лет [Пучков, 2013, 2016].
В начале среднего рифея (юрматиния), во время т. н. Машакского рифтогенного события [Ронкин и др., 2005]), на востоке Башкирского мегантиклинория сформировалась узкая рифтовая депрессия, в которой накопилось около 3300 м вулканогенных и осадочных пород (преимущественно песчаников и конгломератов) машакской свиты (№ 54). Впоследствии эта структура трансформировалась в надрифтовую впадину, охватывавшую также и прилегающие районы Волго-Уральской области, где сформировались отложения зигальгинской, зигазино-комаровской, авзянской, тукаевской и ольховской свит [Маслов, Ишерская, 1998 и др.]. Базальты и риолиты машакской свиты, вместе с Главной дайкой Бакальского рудного поля, гранитами-рапакиви Бердяуша, Кусинско-Копанскими массивами габброидов и рядом других магматических образований, соответствуют второму субглобальному плюмовому эпизоду [Пучков, 2016]. Машакское рифтогенное событие (~1380 млн лет назад) примерно соответствует финальным стадиям распада Колумбии, или Нуны [Ронкин и др., 2016].
В позднем рифее (каратавии) на рассматриваемой территории сформировался крупный перикратонный прогиб, который протягивался, по-видимому, от Южного Урала до северной периферии Кольского полуострова. В начале каратавия в этот прогиб с запада и северо-запада в громадных объемах поступал аркозовый и полевошпат-кварцевый обломочный материал, который накапливался в аллювиальных, аллювиально-дельтовых и прибрежных бассейновых обстановках. Средняя и верхняя части каратавия сложены мелководными силикокластическими и карбонатными последовательностями [Маслов, 1988; Маслов и др., 2002; Maslov, Isherskaya, 2002].
РЕЗУЛЬТАТЫ И ИХ ОБСУЖДЕНИЕ
Валовый химический состав синрифтовых песчаников и ассоциирующих с ними глинистых пород
Средние (SiO2среднее), минимальные и максимальные содержания основных породообразующих оксидов в изученных синрифтовых песчаниках и ассоциирующих глинистых породах, а также значения ряда индикаторных величин, рассчитываемых как отношения этих оксидов, приведены в таблице. Анализ этих данных показывает, что среднее содержание SiO2 в песчаниках различных рифтогенных структур варьирует от ~64.0 мас. % (формация Нанмингшу, № 61) до ~90.0 мас. % (серия Юинта Маунтин, № 2). Среднее содержание оксида кремния в изученных нами синрифтовых песчаниках составляет ~77.0 мас. %, тогда как среднее содержание SiO2 в протерозойском кратонном песчанике — ~92.0 мас. % [Condie, 1993], а в породах верхней континентальной коры — ~67.0 мас. % [Rudnick, Gao, 2003]. Минимальные содержания SiO2 в синрифтовых псаммитах различных объектов варьируют от ~58.0 (№ 63) до 87.0 мас. % (№ 64), а в глинистых породах изменяются от ~49 до 62 мас. % (соответственно, № 38 и 37) (рис. 3). Максимальные величины содержания SiO2 в песчаниках разных объектов варьируют от ~72 до 99 мас. % (№ 13 и 2), а в глинистых породах — от ~63.0 до 81.0 мас. % (№ 39 и 53). В “надрифтовых” псаммитах среднего рифея Южного Урала, среднее содержание SiO2 изменяется от ~81.0 до 90.0 мас. %, тогда как алевропесчаные породы Восточно-Европейской плиты (ВЕП) характеризуются значениями SiO2среднее от ~67.0 до 81.0 мас. % (см. таблицу).
Рис. 3. Минимальные и максимальные содержания оксидов кремния (а, б), алюминия (в, г), калия (д, е), натрия (ж, з) и значения K2O/Na2O (и, к) в синрифтовых песчаниках и ассоциирующих глинистых породах из различных рифтогенных структур.
ПКП — средний протерозойский кратонный песчаник, PAAS — средний постархейский австралийский глинистый сланец, все по [Condie, 1993].
На горизонтальной оси обозначены рифтогенные структуры (см. рис. 1, таблицу).
Таблица. Средние, минимальные и максимальные содержания основных породообразующих компонентов в синрифтовых песчаниках и глинистых породах различных рифтогенных структур, мас. %
Компоненты, параметры | Бассейн Йиянг, неоген, Северный Китай | Серия Юинта Маунтин, неопротерозой, США | Формация Серпент, палеопротерозой, Канада | Уйская серия, Учуро-Майский регион, мезопротерозой, Россия | Юго-восток блока Янцзы, мезонеопротерозой, Южный Китай | Формация Гамбл Брук, неопротерозой, Авалония, Канада | Пермо-триасовые отложения Центральной Индии | |||||||
№ 1 | № 2 | № 8 | № 36 | № 37 | № 38 | № 39 | ||||||||
Аргиллиты | Песчаники | Аргиллиты | Песчаники | Аргиллиты | Песчаники | Аргиллиты | Песчаники | Аргиллиты | Песчаники | Аргиллиты | Песчаники | Аргиллиты | Песчаники | |
SiO2 | 64.45±3.40 59.10–71.66 | 71.01±3.50 65.14–75.93 | 64.79±5.00 57.54–73.20 | 89.66±7.46 75.11–99.14 | 62.21±5.63 51.15–73.30 | 81.36±7.02 67.97–90.60 | 62.12±3.77 52.48–67.00 | 78.41±11.04 62.42–98.10 | 67.22±3.20 61.84–70.47 | 72.34±2.87 68.00–75.84 | 60.25±10.50 49.29–70.23 | 79.63±13.50 67.07–96.19 | 59.66±2.55 53.41–63.23 | 81.47±7.02 65.10–95.55 |
TiO2 | 0.83±0.13 0.56–1.05 | 0.49±0.15 0.24–0.77 | 0.92±0.07 0.77–1.00 | 0.14±0.12 0.04–0.37 | 0.58±0.13 0.32–0.79 | 0.15±0.11 0.04–0.38 | 1.03±0.14 0.77–1.41 | 0.52±0.38 0.03–1.34 | 0.83±0.07 0.74–0.94 | 0.71±0.09 0.53–0.84 | 0.92±0.43 0.42–1.18 | 0.40±0.32 0.08–0.88 | 0.76±0.10 0.66–0.98 | 0.37±0.19 0.08–0.80 |
Al2O3 | 16.89±1.70 13.08–19.96 | 14.24±1.34 12.21–17.10 | 18.52±2.87 14.41–22.38 | 4.45±3.67 0.55–10.91 | 18.21±3.34 12.60–27.02 | 8.58±3.64 4.16–16.08 | 17.17±1.27 15.73–20.46 | 8.78±4.92 0.43–17.86 | 17.31±1.92 15.18–20.60 | 12.93±1.22 10.67–14.95 | 14.22±4.59 8.92–16.93 | 9.57±5.90 2.62–14.90 | 18.04±3.36 14.08–25.33 | 9.56±3.81 2.73–17.52 |
Fe2O3* | 5.89±1.25 3.34–8.68 | 4.27±1.41 1.98–6.54 | 5.16±1.50 2.93–7.66 | 1.97±3.15 0.05–12.37 | 4.70±2.36 1.77–11.96 | 1.31±1.04 0.37–3.65 | 6.28±2.10 3.48–10.00 | 3.67±2.56 0.23–10.47 | 7.51±1.94 6.35–8.82 | 6.58±1.35 5.10–9.19 | 6.58±4.06 2.00–9.75 | 3.65±3.31 0.51–9.02 | 6.13±2.13 1.57–9.98 | 2.25±1.50 0.06–7.71 |
MnO | 0.04±0.04 0.01–0.24 | 0.04±0.03 0.01–0.11 | 0.02±0.02 0.01–0.07 | 0.01±0.03 0.01–0.13 | 0.04±0.03 0.01–0.10 | 0.02±0.02 0.002–0.05 | 0.05±0.03 0.01–0.10 | 0.06±0.06 0.01–0.24 | 0.13±0.06 0.07–0.30 | 0.35±0.26 0.12–0.79 | 0.15±0.08 0.06–0.22 | 0.10±0.14 0.002–0.34 | 0.09±0.07 0.02–0.29 | 0.06±0.04 0.01–0.19 |
MgO | 1.37±0.30 0.83–1.99 | 0.82±0.28 0.53–1.24 | 1.48±0.64 0.89–2.87 | 0.32±0.28 0.04–0.97 | 2.60±0.99 1.34–4.93 | 0.82±0.56 0.34–2.38 | 2.14±0.57 1.21–2.89 | 1.54±1.05 0.10–4.46 | 2.05±0.31 1.58–2.51 | 1.52±0.70 0.12–2.65 | 5.25±2.72 2.20–7.45 | 1.02±0.77 0.13–2.15 | 2.32±1.01 0.56–3.61 | 0.65±0.58 0.02–2.36 |
CaO | 0.89±0.59 0.45–3.14 | 0.66±0.16 0.54–1.14 | 0.12±0.05 0.02–0.21 | 0.08±0.08 0.01–0.28 | 0.54±0.59 0.003–2.44 | 0.89±1.45 0.05–4.23 | 0.47±0.31 0.07–0.96 | 0.92±0.90 0.03–3.22 | 0.61±0.72 0.21–2.72 | 1.94±1.91 0.25–5.96 | 6.04±3.27 2.85–9.39 | 1.38±1.17 0.14–2.63 | 1.06±1.06 0.18–3.49 | 0.34±0.22 0.07–1.17 |
K2O | 2.60±0.32 1.48–3.08 | 3.03±0.31 2.62–3.49 | 4.13±1.00 2.81–6.21 | 1.53±1.21 0.15–3.61 | 6.07±2.09 3.27–11.21 | 2.99±1.14 1.67–5.85 | 4.26±0.55 3.02–4.98 | 1.90±1.35 0.05–4.71 | 4.19±0.72 2.84–5.41 | 1.92±0.97 0.67–3.16 | 1.81±0.91 0.84–2.65 | 2.08±1.34 0.44–3.17 | 3.95±0.78 2.34–4.87 | 1.94±1.27 0.01–3.92 |
Na2O | 1.95±0.27 1.45–2.90 | 2.22±0.27 1.68–2.64 | 0.50±0.52 0.07–1.44 | 1.03±1.25 0.02–3.29 | 2.25±1.21 0.27–4.65 | 1.95±0.98 0.77–4.21 | 1.63±0.45 1.00–2.67 | 1.55±1.10 0.01–3.22 | 1.34±0.51 0.46–2.47 | 2.16±0.86 1.36–3.95 | 2.84±1.06 1.83–3.94 | 2.01±1.38 0.67–3.58 | 0.69±0.63 0.09–2.03 | 0.69±0.94 0.05–3.22 |
P2O5 | 0.10±0.16 0.01–0.86 | 0.04±0.03 0.003–0.09 | 0.07±0.03 0.05–0.11 | 0.03±0.02 0.02–0.11 | 0.18±0.04 0.10–0.28 | 0.07±0.02 0.03–0.10 | 0.21±0.18 0.03–0.60 | 0.19±0.16 0.02–0.48 | 0.14±0.02 0.12–0.18 | 0.15±0.02 0.11–0.17 | 0.15±0.05 0.10–0.19 | 0.09±0.05 0.02–0.14 | 0.09±0.06 0.03–0.19 | 0.06±0.05 0.01–0.25 |
ппп | 5.14±0.74 3.39–6.00 | 3.40±0.70 2.36–4.80 | 4.12±1.35 0.71–5.86 | 0.84±0.88 0.15–3.61 | 2.48±0.87 1.10–4.49 | 1.33±1.11 0.20–3.49 | 4.09±0.86 2.10–4.95 | 2.02±1.29 0.25–4.50 | – | – | 1.79±1.47 0.49–3.38 | 0.68±0.45 0.01–1.15 | 7.03±0.99 5.24–8.14 | 2.99±1.21 0.62–4.93 |
K2O/Na2O | 1.35±0.20 0.91–1.75 | 1.37±0.12 1.11–1.56 | 27.82±6.53 2.36–80.43 | 6.14±7.96 0.23–33.75 | 5.68±9.43 0.85–41.52 | 1.85±1.00 0.68–3.88 | 2.82±0.91 1.41–4.65 | 4.19±7.79 0.25–29.33 | 3.93±2.82 1.15–11.76 | 1.05±0.71 0.17–2.08 | 0.61±0.13 0.46–0.71 | 1.07±0.43 0.64–1.75 | 16.44±18.47 1.77–51.11 | 9.14±8.84 0.08–28.60 |
DF1 | -1.31±0.58 -2.48…0.08 | -1.85±0.48 -2.77…-1.15 | 1.07±1.73 -2.48…3.37 | -1.26±2.10 -5.46…3.39 | 0.08±0.85 -1.36…1.94 | -0.27±1.09 -1.71…1.95 | -0.69±0.75 -2.45…0.37 | 0.05±1.86 -2.74…3.56 | 0.34±0.58 -0.39…1.57 | -0.79±2.43 -6.77…0.57 | 1.79±2.44 -0.97…3.64 | -1.07±0.91 -2.21…0.21 | 2.17±1.12 0.40…4.86 | 0.87±2.29 -5.91…6.14 |
DF2 | -3.55±0.51 -4.51…-2.18 | -3.91±0.38 -4.41…-3.20 | -7.52±1.65 -9.68…-5.06 | -7.55±2.43 -11.27…-2.22 | -4.27±1.33 -7.09…-2.23 | -4.35±1.01 -6.11…-3.26 | -4.81±1.01 -6.46…-3.14 | -3.81±2.25 -9.70…-0.77 | -4.22±0.95 -6.11…-2.31 | -2.03±1.43 -3.84…0.24 | -0.31±1.58 -1.64…1.44 | -3.47±1.42 -5.03…-2.05 | -4.90±1.94 -8.01…-2.74 | -5.25±3.17 -10.51…1.89 |
n | 35 | 12 | 12 | 17 | 18 | 12 | 15 | 20 | 11 | 8 | 3 | 5 | 11 | 30 |
Примечание. В числителе — среднее арифметическое и стандартное отклонение, в знаменателе — минимальное и максимальное значения. Прочерк — нет данных. ппп — потери при прокаливании. Fe2O3* — общее Fe. DF1 и DF2 — дискриминантные функции (см. сноски 1 и 2 в тексте). n — число образцов в аналитической выборке. | ||||||||||||||
Таблица. Продолжение
Компоненты, параметры | Надсерия Белт-Перселл, мезопротерозой, США | Айская свита, нижний рифей, Южный Урал, Россия | Машакская свита, средний рифей, Южный Урал, Россия | Меловые отложения бассейна Доуала, Юго-Восточный Камерун | Серия Верхний Оранжемунд, Намибия, Южная Африка | Формация Нанмингшу, нижний карбон, Северо-Восточный Джунгар, Китай | Чингасанская серия, неопротерозой, Енисейский кряж, Россия | |||||||
№ 51 | № 53 | № 54 | № 58 | № 60 | № 61 | № 63 | ||||||||
Аргиллиты | Песчаники | Аргиллиты | Песчаники | Аргиллиты | Песчаники | Аргиллиты | Песчаники | Аргиллиты | Песчаники | Аргиллиты | Песчаники | Аргиллиты | Песчаники | |
SiO2 | 63.28±3.07 55.90–67.54 | 81.59±8.87 68.30–97.50 | 65.61±3.01 60.50–70.00 | 71.66±4.10 67.30–80.90 | 61.13±3.06 57.35–67.50 | 88.89±6.17 76.18–97.53 | 62.7±5.03 56.9–70.80 | 77.16±6.18 67.30–84.10 | 63.05±6.17 54.02–71.97 | 74.52±4.66 63.12–82.24 | 60.06±1.65 57.81–63.5 | 63.74±3.99 58.79–71.82 | 60.89±8.31 51.38–76.53 | 72.45±7.52 57.50–83.60 |
TiO2 | 0.63±0.12 0.40–0.96 | 0.34±0.21 0.02–0.67 | 0.71±0.12 0.38–0.90 | 0.49±0.18 0.27–0.82 | 0.80±0.10 0.61–0.92 | 0.30±0.15 0.10–0.65 | 0.89±0.22 0.62–1.21 | 0.57±0.47 0.12–1.07 | 0.81±0.08 0.66–0.93 | 0.59±0.09 0.47–0.83 | 0.80±0.07 0.65–0.90 | 0.69±0.13 0.49–1.00 | 0.96±0.34 0.11–1.22 | 0.96±0.39 0.42–1.92 |
Al2O3 | 16.35±2.45 10.11–19.69 | 8.69±4.52 0.92–16.17 | 15.52±1.13 13.44–17.00 | 11.73±1.72 8.60–15.07 | 18.52±1.47 15.80–20.50 | 4.98±3.61 0.70–12.86 | 16.63±1.82 14.9–19.4 | 11.38±2.07 8.03–13.10 | 15.79±2.88 11.30–19.58 | 11.30±1.86 8.34–15.87 | 16.85±0.74 15.31–18.64 | 14.94±1.16 12.56–16.43 | 17.73±4.76 13.00–28.40 | 13.63±5.51 1.96–24.00 |
Fe2O3* | 5.79±1.52 3.46–8.95 | 2.39±1.44 0.16–5.07 | 4.95±2.02 1.72–9.50 | 2.56±1.84 0.34–7.01 | 11.95±4.82 5.96–17.40 | 2.95±3.12 0.17–12.61 | 4.21±2.38 1.75–7.52 | 2.70±2.37 0.17–6.22 | 7.32±1.71 4.47–9.94 | 4.15±1.02 2.90–6.71 | 6.98±0.72 5.69–7.97 | 5.35±1.46 2.61–6.81 | 5.74±4.01 1.66–13.01 | 5.38±4.27 1.04–18.99 |
MnO | 0.07±0.11 0.002–0.52 | 0.03±0.04 0.002–0.18 | 0.03±0.01 0.01–0.05 | 0.03±0.02 0.01–0.09 | 0.04±0.04 0.01–0.09 | 0.01±0.01 0.001–0.05 | 0.03±0.03 0.01–0.09 | 0.03±0.03 0.01–0.07 | 0.08±0.02 0.04–0.13 | 0.05±0.01 0.04–0.07 | 0.05±0.02 0.03–0.09 | 0.08±0.03 0.03–0.12 | 0.05±0.01 0.04–0.07 | 0.10±0.17 0.01–0.72 |
MgO | 3.41±1.76 1.12–7.73 | 1.44±0.99 0.09–4.32 | 1.73±0.96 0.20–3.00 | 1.32±0.68 0.20–2.20 | 2.06±0.59 1.48–3.35 | 0.64±0.59 0.03–2.10 | 1.33±0.45 0.81–1.87 | 0.31±0.52 0.06–1.24 | 3.37±0.90 2.09–5.15 | 1.72±0.59 0.89–3.27 | 3.02±0.35 2.33–3.52 | 2.58±0.72 1.39–3.53 | 2.38±2.08 0.41–5.47 | 0.59±0.33 0.20–1.45 |
CaO | 1.03±2.28 0.12–10.87 | 0.45±0.43 0.02–1.76 | 1.04±1.07 0.27–4.24 | 1.82±1.57 0.27–4.77 | 0.44±0.40 0.09–1.20 | 0.58±0.41 0.11–1.50 | 0.54±0.67 0.04–1.71 | 0.36±0.76 0.01–1.72 | 0.49±0.51 0.19–1.99 | 0.56±0.29 0.24–1.35 | 1.29±0.65 0.64–2.92 | 2.61±0.86 0.56–4.00 | 1.53±1.89 0.08–4.52 | 0.35±0.33 0.07–1.16 |
K2O | 4.63±1.38 1.12–7.89 | 2.23±1.24 0.20–5.45 | 4.70±1.56 2.71–8.85 | 5.87±0.66 4.80–6.84 | 3.49±0.64 2.47–4.45 | 1.43±1.14 0.04–3.69 | 6.95±0.43 6.45–7.50 | 2.62±2.44 0.13–5.83 | 3.26±0.89 1.61–4.47 | 2.51±0.66 1.90–4.13 | 2.97±0.59 1.53–3.59 | 1.96±0.42 1.37–2.86 | 4.01±1.11 2.69–5.96 | 3.40±1.56 0.55–6.06 |
Na2O | 1.36±0.95 0.07–3.63 | 1.13±0.79 0.01–2.62 | 1.89±0.59 0.47–2.67 | 1.83±0.59 0.31–2.89 | 0.62±0.20 0.31–0.96 | 0.09±0.07 0.03–0.32 | 0.11±0.01 0.10–0.13 | 0.08±0.05 0.03–0.14 | 1.98±0.65 0.66–2.99 | 2.14±0.41 1.34–2.75 | 2.68±0.82 1.86–4.41 | 4.18±0.82 3.17–6.30 | 0.30±0.27 0.06–0.87 | 0.37±0.24 0.09–0.88 |
P2O5 | 0.09±0.04 0.02–0.19 | 0.05±0.04 0.003–0.15 | 0.15±0.08 0.003–0.30 | 0.16±0.05 0.08–0.26 | 0.11±0.06 0.05–0.26 | 0.08±0.19 0.03–0.86 | 0.14±0.04 0.10–0.21 | 0.08±0.04 0.02–0.12 | 0.19±0.03 0.12–0.25 | 0.15±0.02 0.11–0.22 | 0.41±0.48 0.18–2.19 | 0.25±±0.07 0.16–0.40 | 0.10±0.06 0.05–0.22 | 0.06±0.04 0.03–0.14 |
ппп | 3.30±0.73 2.05–4.75 | 1.67±0.94 0.20–4.45 | 3.63±1.02 2.08–6.73 | 2.32±1.83 0.46–5.82 | 4.69±0.51 3.84–5.32 | 0.48±0.44 0.02–1.02 | 6.36±1.29 4.37–7.77 | 4.78±1.74 2.91–7.01 | 3.26±0.64 2.18–4.17 | 1.93±0.59 1.29–3.48 | 4.93±0.76 3.56–5.99 | 3.78±0.75 2.50–4.96 | 4.40±0.96 3.08–5.61 | 2.34±1.18 0.40–4.40 |
K2O/Na2O | 9.86±19.85 0.31–93.57 | 9.63±21.60 0.68–100.67 | 3.21±2.78 1.07–11.98 | 4.44±4.84 1.67–20.39 | 6.23±2.36 3.38–10.09 | 20.70±12.02 1.25–40.17 | 62.45±6.38 55.31–70.10 | 26.01±17.65 4.33–42.2 | 2.03±1.44 0.57–6.77 | 1.27±0.60 0.71–2.72 | 1.24±0.48 0.42–1.88 | 0.49±0.15 0.30–0.69 | 28.93±24.86 4.55–70.43 | 11.54±6.61 3.49–31.11 |
DF1 | 1.49±1.54 -1.16…4.45 | 1.25±2.22 -1.70…5.69 | -1.22±2.04 -5.56…1.22 | -2.97±2.46 -6.69…2.59 | -1.05±2.18 -4.46…2.02 | -1.22±6.44 -13.15…9.00 | 2.25±1.30 1.25…4.49 | -0.66±3.93 -5.53…3.85 | 0.31±0.74 -0.75…1.66 | -0.62±0.53 -1.31…0.78 | -0.54±0.67 -1.72…0.29 | -0.62±0.50 -1.39…0.15 | 2.08±2.00 -0.31…5.46 | -0.73±1.83 -4.78…2.90 |
DF2 | -4.26±2.07 -8.05…1.18 | -4.73±2.01 -10.50…-1.30 | -4.75±1.33 -7.60…-2.65 | -5.44±1.73 -10.07…-3.63 | -5.96±1.30 -7.75…-4.41 | -8.71±3.09 -14.52…-5.17 | -9.19±1.31 -10.82…-7.24 | -9.32±1.88 -10.69…-6.77 | -3.27±0.69 -4.51…-1.59 | -3.61±0.55 -4.62…-2.72 | -2.51±0.75 -3.34…-0.91 | -1.10±0.62 -2.50…-0.33 | -6.62±2.08 -9.91…-3.50 | -7.47±1.16 -9.52…-5.61 |
n | 22 | 30 | 15 | 13 | 11 | 17 | 5 | 5 | 18 | 14 | 16 | 12 | 9 | 21 |
Таблица. Окончание
Компоненты, параметры | Прикамская свита, нижний рифей, Волго-Уральская область, Россия | Зигазино-комаровская свита, средний рифей, Южный Урал, Россия | Авзянская свита, средний рифей, Южный Урал, Россия | Алевро-песчаные породы Восточно-Европейской плиты, № 67 | ||||||||||
№ 64 | № 65 | № 66 | ||||||||||||
Аргиллиты | Песчаники | Аргиллиты | Песчаники | Аргиллиты | Песчаники | Нижний рифей | Средний рифей | Кембрий | Ордовик | Силур | Палеоген | Неоген | Четвер- тичный период | |
SiO2 | 61.62±2.33 58.39–65.09 | 88.43±1.24 87.00–89.20 | 67.25±3.22 63.00–74.50 | 80.58±8.05 66.15–94.70 | 60.39±2.79 56.18–65.00 | 89.43±5.14 79.00–93.80 | 73.32 | 81.06 | 77.10 | 69.06 | 66.58 | 79.05 | 80.02 | 80.06 |
TiO2 | 0.64±0.09 0.43–0.75 | 0.10±0.04 0.07–0.14 | 0.78±0.13 0.51–0.99 | 0.43±0.25 0.07–1.12 | 0.92±0.11 0.79–1.13 | 0.15±0.08 0.06–0.27 | 0.59 | 0.50 | 0.30 | 0.11 | 0.15 | 0.49 | 0.41 | 0.45 |
Al2O3 | 17.43±1.38 14.85–18.75 | 6.01±0.88 5.04–6.78 | 15.08±1.60 12.26–17.50 | 8.79±4.07 2.15–18.37 | 17.89±2.10 14.00–20.60 | 3.53±1.32 2.32–6.00 | 10.85 | 7.59 | 9.46 | 7.50 | 2.88 | 5.33 | 6.25 | 6.05 |
Fe2O3* | 5.83±1.04 4.44–7.73 | 1.03±0.20 0.86–1.25 | 5.52±1.57 3.45–8.28 | 4.77±3.91 0.66–14.29 | 6.06±2.74 2.62–10.53 | 1.72±1.22 0.48–3.64 | 3.53 | 3.49 | 4.32 | 3.84 | 3.51 | 2.91 | 2.08 | 2.14 |
MnO | 0.03±0.01 0.02–0.05 | 0.02±0.001 0.02–0.02 | 0.03±0.02 0.01–0.07 | 0.02±0.02 0.001–0.06 | 0.03±0.05 0.01–0.16 | 0.01±0.01 0.001–0.04 | 0.05 | 0.05 | 0.08 | 0.06 | 0.03 | 0.06 | 0.04 | 0.03 |
MgO | 2.58±0.44 1.97–3.17 | 0.38±0.23 0.22–0.55 | 2.65±0.86 1.68–4.00 | 0.94±0.78 0.10–3.42 | 3.63±2.06 1.26–8.87 | 0.75±1.00 0.20–2.98 | 1.96 | 0.48 | 1.04 | 1.68 | 1.16 | 0.75 | 1.01 | 0.91 |
CaO | 0.30 | 0.40±0.26 0.21–0.70 | 0.44±0.12 0.20–0.56 | 0.28±0.39 0.01–1.63 | 0.71±0.44 0.30–1.53 | 0.87±1.22 0.14–3.59 | 1.48 | 1.59 | 1.51 | 7.40 | 12.51 | 2.83 | 2.58 | 3.13 |
K2O | 6.99±1.99 4.50–9.30 | 2.57±0.49 2.16–3.11 | 3.82±1.03 2.03–5.76 | 1.96±1.09 0.06–4.41 | 5.09±1.13 2.74–6.54 | 1.99±1.36 0.02–4.23 | 4.06 | 2.87 | 2.42 | 1.74 | 1.34 | 1.50 | 1.27 | 1.71 |
Na2O | 0.64±0.22 0.30–0.90 | 0.57±0.12 0.50–0.70 | 1.64±0.52 0.93–2.40 | 1.19±0.83 0.01–2.87 | 0.89±0.31 0.37–1.19 | 0.07±0.03 0.04–0.11 | 0.77 | 0.63 | 0.46 | 0.39 | 0.53 | 0.40 | 0.59 | 0.50 |
P2O5 | 0.09±0.01 0.06–0.10 | 0.07±0.03 0.05–0.10 | 0.08±0.04 0.02–0.13 | 0.04±0.03 0.002–0.11 | 0.09±0.04 0.04–0.16 | 0.02±0.02 0.001–0.05 | 0.10 | 0.32 | 0.10 | 1.95 | 0.15 | 0.09 | 0.05 | 0.08 |
ппп | 3.49±0.79 2.30–4.90 | 0.83±0.31 0.50–1.10 | 3.49±0.50 2.88–4.38 | 1.88±1.22 0.05–4.08 | 4.32±0.54 3.40–4.85 | 1.34±1.93 0.15–5.63 | – | – | – | – | – | – | – | – |
K2O/Na2O | 13.29±8.25 5.00–30.40 | 4.74±1.58 3.08–6.23 | 2.46±0.77 1.36–3.97 | 6.03±11.80 0.39–49.00 | 7.14±4.64 2.40–16.49 | 27.00±16.50 0.39–47.00 | 5.27 | 4.56 | 5.26 | 4.46 | 2.53 | 3.75 | 2.15 | 3.42 |
DF1 | 1.50±1.50 0.33…2.71 | 0.23±1.11 -0.95…1.24 | -0.65±2.89 -9.73…0.82 | -1.26±1.78 -5.30…3.42 | 1.08±1.46 -1.93…2.63 | 2.11±2.84 -0.60…7.83 | 1.55 | -1.83 | 0.91 | 1.54 | 0.35 | 0.52 | 1.18 | 0.93 |
DF2 | -5.90±-5.90 -7.04…-4.52 | -5.71±1.37 -7.03…-4.30 | -4.69±1.71 -9.79…-3.12 | -5.72±2.64 -12.09…-3.11 | -5.25±0.70 -6.35…-4.15 | -7.11±3.72 -10.50…0.46 | -4.97 | -6.17 | -4.22 | -2.25 | -2.90 | -5.00 | -4.02 | -4.92 |
n | 11 | 3 | 12 | 25 | 10 | 7 | – | – | – | – | – | – | – | – |
В синрифтовых аргиллитах и глинистых сланцах, ассоциирующих с псаммитами, среднее содержание SiO2 варьирует от ~60.0 мас. % (мезо- неопротерозой юго-востока блока Янцзы, № 37; пермо-триасовые отложения Центральной Индии, № 39; формация Нанмингшу, нижний карбон, № 61) до ~67.0 мас. % (№ 37). Значения SiO2среднее в “надрифтовых” глинистых сланцах среднего рифея Южного Урала также соответствуют указанному интервалу. Среднее содержание SiO2 в изученных синрифтовых глинистых породах в целом, составляет ~63.2 мас. %, и является близким PAAS (62.8 мас. % [Condie, 1993]).
Сопоставление свойственных синрифтовым псаммитам и глинистым породам вариаций содержания оксида кремния, охватывающих диапазон от минимальных до максимальных значений (рис. 4а), показывает, что существует несколько ситуаций. Во-первых, для № 1, 61 и 63, наблюдается существенное, либо почти полное перекрытие интервалов значений SiO2 в песчаниках и глинистых породах. Во-вторых, для ряда объектов наблюдается не только отсутствие видимого перекрытия, но и существенный разрыв между ними (№ 54 и 64). В-третьих, для № 2, 38, 39 и ряда других интервалы содержаний SiO2 в песчаниках “продолжают” такие же интервалы для глинистых пород.
Рис. 4. Вариации содержания оксидов кремния (а), алюминия (б) и значений K2O/Na2O (в) в синрифтовых песчаниках и ассоциирующих глинистых породах из различных рифтогенных структур (см. рис. 1).
Среднее содержание Al2O3 в изученных синрифтовых песчаниках варьирует от ~4.0 мас. % (№ 2) до ~17.0 мас. % (№ 58). В этот интервал попадают средние содержания оксида алюминия в “надрифтовых” псаммитах юрматинской серии Южного Урала, а также в алевропесчаных породах рифея и фанерозоя ВЕП, которые привлекались нами для сопоставления. Синрифтовые аргиллиты характеризуются заметно более узким спектром колебаний величин средних содержаний Al2O3: от ~15.0 мас. % (айская свита, № 53) до ~19.0 мас. % (машакская свита, № 54, и серия Юинта Маунтин, № 2). Сходные вариации средних значений содержания Al2O3 выявлены в “надрифтовых” глинистых породах среднего рифея Южного Урала. Профиль распределения Al2O3 в синрифтовых псаммитах и в ассоциирующих с ними тонкозернистых обломочных породах является “зеркальным” отражением профиля распределения в них SiO2 (см. рис. 4б).
Минимальные содержания Аl2O3 в синрифтовых песчаниках изменяются от ~0.4 до 13 мас. %, а максимальные — от ~7 до 24 мас. %. Среднее содержание Al2O3 в псаммитах изученной выборки составляет 10.1±3.2 мас. %, что почти в 3 раза превосходит средние содержания оксида алюминия в протерозойских и фанерозойских кратонных песчаниках, (3.8 и 3.6 мас. %, соответственно), приведенные К. Конди [Condie, 1993]. Содержание Al2O3 в верхней континентальной коре (UCC), в свою очередь, оценивается в 15.4 мас. % [Rudnick, Gao, 2003]. В синрифтовых глинистых породах минимальные концентрации Al2O3 составляют 9–16 мас. %, а максимальные — 17–28 мас. %. Среднее содержание Al2O3 в глинистых породах исследованной нами выборки — 17.0 ± 1.2 мас. %, что несколько ниже PAAS (18.9 мас. %).
Максимальная величина среднего содержания Fe2O3* в синрифтовых псаммитах составляет ~7.0 мас. % (№ 37), а минимальная — несколько больше 1 мас. % (№ 2 и 64). Примерно такие же вариации среднего содержания Fe2O3* характерны для “надрифтовых” песчаников зигазино-комаровской и авзянской свит Южного Урала и для алевропесчаных образований некоторых стратиграфических уровней ВЕП. В аргиллитах и глинистых сланцах, ассоциирующих с синрифтовыми песчаниками, величины среднего содержания Fe2O3* изменяются от 4.0 мас. % (№ 58) до 12.0 мас. % (машакская свита, № 54). Тонкозернистые обломочные породы “надрифтовых” осадочных последовательностей Южного Урала характеризуются сопоставимыми величинами среднего содержания Fe2O3* (~6.0 мас. %).
Среднее содержание Na2O в синрифтовых псаммитах варьирует от ~0.1 мас. % (машакская свита, № 2; формация Омдурман, № 58) до ~4.2 мас. % (формация Нанмингшу). В алевропесчаных породах ВЕП (см. таблицу) диапазон колебаний Na2Oсреднее составляет ~0.4–0.8 мас. %, а в “надрифтовых” псаммитах среднего рифея Южного Урала — ~0.1–1.2 мас. %. Синрифтовые глинистые породы характеризуются вариациями Na2Oсреднее от ~0.1 мас. % (№ 58) до ~2.8 мас. % (№ 38). В этот интервал попадает и Na2Oсреднее, рассчитанное для “надрифтовых” глинистых сланцев юрматинской серии Южного Урала.
Наиболее низкие концентрации Na2O в синрифтовых псаммитах изменяются от 0.01 до 3.2 мас. %, а максимальные — от 0.1 до 6.3 мас. %. В пределах этого диапазона вариаций находится среднее содержание Na2O в UCC — 3.3 мас. % [Rudnick, Gao, 2003].
Минимальная величина среднего содержания K2O в изученных песчаниках составляет ~1.4 мас. % (машакская свита), максимальная — достигает ~5.9 мас. % (айская свита). В “надрифтовых” псаммитах Южного Урала среднее содержание K2O ~2.0 мас. %, а в исследованных нами алевропесчаных породах с разных стратиграфических уровней ВЕП — варьирует от 1.3 (силурийский ярус) до ~4.0 мас. % (нижний рифей). Разброс минимальных и максимальных содержаний K2O в синрифтовых песчаниках выражен менее ярко по сравнению с колебаниями содержания в них оксида алюминия. Минимальные содержания K2O изменяются в пределах 0.1–4.8 мас. %, а максимальные — 2.9–6.8 мас. %. Среднее содержание K2O в синрифтовых песчаниках изученной выборки составляет 2.5±1.1 мас. %. Это значение примерно в 2.5 раза выше величин, указанных для протерозойских и фанерозойских кратонных песчаников (0.88 и 0.91, соответственно) в работе [Condie, 1993], однако является вполне сопоставимым с содержанием K2O в UCC, которое оценивается в 2.8 мас. % [Rudnick, Gao, 2003].
В тонкозернистых обломочных породах, ассоциирующих с синрифтовыми песчаниками, среднее содержание K2O изменяется от ~1.8 мас. % (№ 38) до ~6.1 (№ 8) и ~7.0 мас. % (меловые отложения бассейна Доуала и прикамская свита нижнего рифея Волго-Уральской области). Сходные значения K2Oсреднее определены в глинистых породах “надрифтовых” осадочных последовательностей среднего рифея Южного Урала. Минимальные содержания K2O варьируют от 0.8 до 6.5 мас. %, а максимальные — от 2.7 до 11.3 мас. %. Среднее содержание оксида калия, рассчитанное нами для глинистых пород этого типа составляет 4.3±1.5 мас. %, что примерно соответствует содержанию K2O в PAAS (3.7 мас. % [Condie, 1993]).
Вариации отношения K2O/Na2O, рассчитанного по средним содержаниям этих оксидов в синрифтовых песчаниках, весьма значительны: от 1.1 (№ 37 и 38) до 11.5 (чингасанская серия, № 63) и ~26.0 (меловые отложения бассейна Доуала, № 58). Минимальные величины K2O/Na2O для синрифтовых песчаников колеблются от 0.1 (№ 39) до 4.3 (№ 58), а максимальные изменяются от ~0.7 (№ 61) до 100 и более (№ 51). Среднее значение K2O/Na2O, рассчитанное для синрифтовых песчаников — около 8.7, тогда как в протерозойских кратонных песчаниках — ~1.7 [Condie, 1993]. В синрифтовых глинистых породах разброс минимальных и максимальных значений K2O/Na2O менее значительный, и составляет от 0.3 до ~55, и от 0.7 до ~94, соответственно.
Среднее значение K2O/Na2O в глинистых породах, ассоциирующих с синрифтовыми песчаниками, составляет 14.4, что существенно выше PAAS (~3.1). В “надрифтовых” псаммитах рифея Южного Урала величина этого отношения изменяется от ~6.0 (зигазино-комаровская свита) до ~27.0 (авзянская свита), а в алевропесчаных породах ВЕП, изученных нами — от 2.2 (неоген) до 5.3 (нижний рифей и кембрий). Синрифтовые глинистые породы, как правило, характеризуются заметно более высоким содержанием K2O, по сравнению с Na2O (~1.2<K2O/Na2O<~62.0), исключением являются тонкозернистые обломочные породы неопротерозойской формации Гамбл Брук (№ 38), которые накапливались в обстановке внутридугового растяжения [Murphy, 2002].
Распределение величин K2O/Na2O между минимальными и максимальными значениями в пределах изученной выборки синрифтовых песчаников и глинистых пород демонстрирует ряд особенностей (см. рис. 4в). В песчаниках и глинах некоторых объектов (1, 38 и 61) вариации K2O/Na2O вполне сопоставимы. Однако во многих других (№ 2, 8, 37, 39, 60, 63 и 64) спектр величин K2O/Na2O, установленных в глинистых породах, значительно шире, чем в песчаниках (например, от 2.4 до 80.4 — в глинистых породах, и от 0.2 до 33.8 — в песчаниках № 2). Кроме того, величины K2O/Na2O в глинистых породах часто бывают заметно выше, чем в песчаниках, и спектры этих величин не перекрываются. Подобная закономерность установлена в меловых отложениях бассейна Доуала Юго-Восточного Камеруна (№ 58), где K2O/Na2O в песчаниках изменяется от 4.3 до 42.2, а в тонкозернистых обломочных породах — от 55.3 до ~70.
Значения K2O/Na2O>20 часто рассматриваются как свидетельство проявления калиевого метасоматоза [Bolnar et al., 2005 и др.]. В пределах изученной выборки подобные значения характерны для тонкозернистых обломочных пород неопротерозойской серии Юинта Маунтин (№ 2), пермо-триаса Центральной Индии (№ 39), мезопротерозойской надсерии Белт-Перселл (№ 51), меловых отложений бассейна Доуала, Юго-Восточный Камерун (№ 58), неопротерозойской чингасанской серии Енисейского кряжа (№ 63), а также нижнерифейской прикамской свиты Волго-Уральской области (№ 64). Среди перечисленных осадочных последовательностей есть и дофанерозойские, для которых, согласно [Fedo et al., 1995 и др.], можно предполагать влияние К-метасоматоза 8 на концентрацию и соотношение щелочных металлов. В то же время высокие значения K2O/Na2O, установленные в более молодых образованиях, вероятно, свидетельствуют о том, что в связи с возрастанием степени выветривания материнских субстратов и накоплением глин первого цикла седиментации, кальций и натрий мобилизуются (“вымываются”) из зоны выветривания, обеспечивая относительное накопление калия в алевритово-глинистых осадках. Подобная закономерность иллюстрируется расчетом индекса химического выветривания [Harnois, 1988] по формуле [CIW = 100×Al2O3/(Al2O3+CaO+Na2O)], не включающей содержание оксида калия. Вероятно, значительные вариации величины K2O/Na2O в изученных тонкозернистых обломочных породах контролируются содержанием калиевых полевых шпатов.
На относительно слабое влияние калиевого метасоматоза и отсутствие существенных трансформаций валового химического состава в изученных глинистых породах, указывает распределение фигуративных точек с их составами на диаграмме K2O/Na2O–SiO2/Al2O3 [Bolnar et al., 2005] (рис. 5). Из диаграммы видно, что подавляющая часть точек сосредоточена в поле значений K2O/Na2O<20. Это же следует и из присутствия в составе ряда осадочных последовательностей (например, № 2, 39, 63) тонкозернистых обломочных пород со значениями K2O/Na2O как превышающими 20, так и существенно более низкими.
Рис. 5. Распределение фигуративных точек синрифтовых глинистых пород на диаграмме K2O/Na2O– SiO2/Al2O3. Серым отмечено поле значений K2O/ Na2O, свидетельствующих о воздействии на породы калиевого метасоматоза, по [Bolnar et al., 2005]. Номера объектов соответствуют показанным на рис. 1 и в таблице; № 65 — зигазино-комаровская свита среднего рифея Южного Урала.
В пользу отсутствия К-метасоматических изменений свидетельствуют также и относительно невысокие величины коэффициента [(Th/U)среднее]/[(Th/U)UCC] 9 — от 0.97±0.33 (№ 51) до 1.58±0.83 (№ 63). Известно, что отношение Th/U (наряду с индексами CIA, CIW и другими) используется для реконструкции процессов выветривания [Тейлор, МакЛеннан, 1988; McLennan et al., 1993, 1995 и др.], поскольку считается, что возрастание интенсивности этих процессов приводит к росту величины коэффициента Th/U. Однако во всех исследованных нами терригенных породах с высокими величинами K2O/Na2O, значения коэффициента Th/Uсреднее не являются аномальными.
На классификационной диаграмме log(SiO2/ Al2O3)–log(Na2O/K2O) [Петтиджон и др., 1976] точки составов изученных нами синрифтовых песчаников сосредоточены преимущественно в полях граувакк, лититов, аркозов и субаркозов, а также сублититов (рис. 6а). Относительно небольшая часть их присутствует в поле кварцевых аренитов. Примерно четверть всей выборки представлена псаммитами с величинами log(Na2O/K2O)<-1.0, однако поле с подобным составом песчаников отсутствует на классификационной диаграмме.
Рис. 6. Распределение фигуративных точек синрифтовых песчаников и ассоциирующих с ними глинистых пород на классификационных диаграммах log(SiO2/Al2O3)–log(Na2O/K2O) [Петтиджон и др., 1976] (а) и K/Al–Mg/Al [Turgeon, Brumsack, 2006] (б), а также на диаграмме F1–F2 (в, г).
Условные обозначения см. рис. 5.
В синрифтовых глинистых породах, как следует из анализа валового химического состава, преобладает гидрослюда с той или иной долей смектита, каолинита и хлорита (см. рис. 6б). В некоторых образцах глинистых пород, представляющих формацию Серпент (№ 8) и меловые отложения бассейна Доуала (№ 58), вероятно, в заметном количестве присутствуют тонкодисперсные полевые шпаты.
Распределение фигуративных точек синрифтовых псаммитов на диаграмме F1–F2 10 [Roser, Korsch, 1988] (см. рис. 6в) позволяет предполагать, что источниками обломочного материала для них являлись разнообразные магматические и осадочные образования. Фигуративные точки глинистых пород, ассоциирующих с песчаниками, на этой диаграмме в основном локализованы в области составов, сформированных за счет богатого кварцем осадочного источника (см. рис. 6г).
Положение полей синрифтовых песчаников и глинистых пород на диаграммах SiO2–K2O/Na2O и DF1–DF2
Рассмотрим особенности распределения полей, образованных фигуративными точками синрифтовых песчаников и глинистых пород, на дискриминантных палеогеодинамических диаграммах SiO2–K2O/Na2O и DF1–DF2.
Диаграмма SiO2–K2O/Na2O. Распределение полей синрифтовых песчаников и ассоциирующих с ними глинистых пород из разных объектов на диаграмме SiO2–K2O/Na2O [Roser, Korsch, 1986] показано на рис. 7. В большинстве случаев песчаники, в целом характеризующиеся более высоким содержанием SiO2 и более низкими концентрациями Al2O3 по сравнению с глинистыми породами, смещены в правую часть диаграммы. В то же время некоторые разновидности песчаников и тонкозернистых обломочных пород (например, № 1, 37, 53 и 61) характеризуются близкими величинами содержания SiO2, и образованные ими поля перекрываются. Какой-либо дифференциации полей синрифтовых песчаников и ассоциирующих с ними тонкозернистых обломочных пород величине K2O/Na2O в большинстве случаев не наблюдается. Однако некоторая часть песчаников из № 36 и 54 демонстрирует более высокие значения K2O/Na2O по сравнению с глинистыми породами, а некоторые псаммиты из № 37, 39 и 61 характеризуются величинами K2O/Na2O, вполне сопоставимыми с глинистыми породами или заметно более низкими.
Рис. 7. Распределение фигуративных точек изученных синрифтовых песчаников и ассоциирующих с ними глинистых пород в границах областей диаграммы SiO2–K2O/Na2O, соответствующих различным палеогеодинамическим обстановкам.
Номера на графиках соответствуют нумерации объектов в таблице и на рис. 1. № 65 — зигазино-комаровская свита, Южный Урал; № 66 — авзянская свита, там же; № 67 — алевропесчаные породы ряда эратем рифея и систем фанерозоя Русской плиты.
1 — песчаники; 2 — глинистые породы; 3–10 — алевропесчаные породы верхнего докембрия и фанерозоя ВЕП [Ронов и др., 1995] (3 — нижний рифей, 4 — средний рифей, 5 — кембрий, 6 — ордовик, 7 — силур, 8 — палеоген, 9 — неоген, 10 — четвертичный период).
Анализ положения полей изученных нами синрифтовых песчаников и глинистых пород на диаграмме SiO2–K2O/Na2O относительно “эталонных” полей составов пород, характерных для различных геодинамических обстановок, позволяет распознать две ситуации. В первом случае наблюдается локализация фигуративных точек песчаников и тонкозернистых обломочных образований (№ 1, 8, 36, 37, 53, 60) в поле пород, формировавшихся в обстановках активных континентальных окраин. Практически все точки псаммитов и значительная часть точек глинистых пород формации Нанмингшу, Северо-Восточный Джунгар (№ 61) сосредоточены в поле пород обстановок океанических островных дуг, что не противоречит геологической ситуации, в которой накапливались эти песчаники и глины. Во втором случае значительная часть фигуративных точек песчаников и глинистых пород явно тяготеет к полю обстановок пассивных континентальных окраин. Наиболее отчетливо это выражено для песчаников и глинистых пород неопротерозойской серии Юинта Маунтин (№ 2 и 51), мезопротерозойской надсериии Белт-Перселл (№ 51) и чингасанской серии неопротерозоя (№ 63). Распределение фигуративных точек “надрифтовых” песчаников и глинистых пород среднего рифея Южного Урала на диаграмме SiO2–K2O/Na2O, близко соответствует второму типу распределения (например, № 65, 39 и 51 и № 66 и 54). Из этого следует, что данная дискриминантная диаграмма не позволяет разграничивать терригенные породы рифтогенных и пострифтогенных обстановок.
Наконец, фигуративные точки алевропесчаных пород ВЕП на диаграмме SiO2–K2O/Na2O, сосредоточены в основном в поле составов, характерных для отложений пассивных континентальных окраин. Исключением являются песчаники и алевролиты силурийского яруса ВЕП, фигуративная точка усредненного состава этих пород располагается на границе полей пород, формировавшихся в обстановках пассивных и активных континентальных окраин.
Положение полей синрифтовых песчаников и ассоциирующих с ними тонкозернистых обломочных образований айской (низы нижнего рифея) и машакской (низы среднего рифея) свит Южного Урала на данной диаграмме различается. Песчаники и глинистые породы айской свиты демонстрируют довольно компактное распределение фигуративных точек на диаграмме, общее поле тяготеет к границе полей пород обстановок пассивных и активных континентальных окраин. Поля фигуративных точек песчаников и глинисто-алевритовых образований машакской свиты, напротив, полностью разобщены. В то время как глинисто-алевритовые породы обеих свит по содержанию SiO2 и величинам K2O/Na2O вполне сопоставимы, синрифтовые псаммиты машакской свиты заметно более зрелые по сравнению с айскими песчаниками (основание рифея). Основной причиной наблюдаемых различий, вероятно, является неодинаковый состав материнских пород, размывавшихся на палеоводосборах в начале раннего и начале среднего рифея, поскольку никаких признаков изменения палеогеодинамической обстановки в указанные временные интервалы на рассматриваемой территории не было установлено [Пучков, 2000; Маслов и др., 2002].
Таким образом, на диаграмме SiO2–K2O/Na2O фигуративные точки синрифтовых песчаников и ассоциирующих с ними глинистых пород из нашего массива данных не имеют определенной локализации и располагаются в границах полей, соответствующих терригенным породам пассивных и активных континентальных окраин, и в некоторых случаях тяготеют к полю составов, присущих отложениям океанических островных дуг. По нашему мнению, это вполне закономерно, так как исследованные объекты представлены широким спектром рифтогенных структур, сформировавшихся на разных этапах цикла Уилсона.
Все рассмотренные выше закономерности проявляются более отчетливо в результате анализа средних содержаний SiO2 и усредненных величин K2O/Na2O, рассчитанных для песчаников и глинистых пород каждого из объектов и оценки значений стандартного отклонения (рис. 8).
Рис. 8. Распределение фигуративных точек усредненного состава синрифтовых песчаников и ассоциирующих с ними глинистых пород в границах полей, соответствующих различным палеогеодинамическим обстановкам на диаграмме SiO2–K2O/Na2O.
1 — точки, рассчитанные для среднего содержания SiO2 и величины K2O/Na2O (а — в синрифтовых глинистых породах, б — в синрифтовых песчаниках); 2 — то же для пород “надрифтовой” авзянской свиты Южного Урала (а — в глинистых породах, б — в песчаниках); 3 — величины стандартных отклонений; 4 — поля песчаников (а) и ассоциирующих с ними глинистых пород (б) одних и тех же рифтогенных структур (показаны в качестве примера). Цифры внутри геометрических фигур на рисунке соответствуют нумерации объектов в таблице и на рис. 1.
Диаграмма DF1–DF2. Как уже было отмечено, на данной диаграмме впервые была обособлена область составов терригенных пород, сформированных в рифтогенных обстановках. Рассмотрим, совпадают ли с этой областью поля составов и фигуративные точки усредненных составов, рассчитанных нами для синрифтовых песчаников и ассоциирующих с ними глинистых пород разного возраста.
В целом, распределение полей песчаников и тонкозернистых обломочных образований различных рифтогенных структур на диаграмме DF1–DF2 более компактное (рис. 9) по сравнению с диаграммой SiO2–K2O/Na2O. Для 13 объектов наблюдается перекрытие полей, образованных фигуративными точками песчаников и глинистых пород. Исключениями являются терригенные породы машакской свиты Южного Урала (№ 54) и чингасанской серии Енисейского кряжа (№ 63), демонстрирующих различную локализацию полей песчаников и глинистых пород (глинистых сланцев и мелкозернистых глинистых алевролитов). Следует отметить, что распределение фигуративных точек гранулометрически различных терригенных пород чингасанской серии на диаграмме DF1–DF2 напоминает особенности локализации полей, образованных точками составов “надрифтовых” песчаников и глинистых сланцев авзянской свиты юрматинской серии Южного Урала. Первые сосредоточены в основном в области рифтогенных образований, а вторые — соответствуют отложениям коллизионных обстановок или располагаются на границе этих двух областей.
Рис. 9. Распределение фигуративных точек изученных синрифтовых песчаников и ассоциирующих с ними глинистых пород в границах полей, соответствующих различным палеогеодинамическим обстановкам на диаграмме DF1–DF2.
Номера на графиках соответствуют нумерации объектов в таблице. Условные обозначения см. рис. 7.
В область отложений собственно рифтогенных обстановок на диаграмме DF1–DF2, попадают только неогеновые терригенные отложения бассейна Йиянг (№ 1), терригенные породы айской свиты нижнего рифея (№ 53) и частично неопротерозойская серия Юинта Маунтин (№ 2). Как правило, фигуративные точки изученных нами синрифтовых песчаников и глинистых пород (№ 8, 36, 37, 39, 51, 60 и 64) примерно поровну распределяются в области рифтогенных образований и в области пород, согласно [Verma, Armstrong-Altrin, 2013], формировавшихся в коллизионных обстановках (см. рис. 9). Кроме того, фигуративные точки синрифтовых песчаников и глинистых пород нижнекаменноугольной формации Нанмингшу Северо-Восточного Джунгара (№ 61), явно тяготеют к центральной части диаграммы DF1–DF2, где сходятся границы областей всех трех палеогеодинамических обстановок, представленных на ней.
Фигуративные точки, рассчитанные по средним содержаниям породообразующих оксидов в алевропесчаных породах верхнего докембрия и фанерозоя ВЕП, на диаграмме DF1–DF2 также в основном сосредоточены около линии, разделяющей области составов пород рифтогенных и коллизионных обстановок. Фигуративная точка, рассчитанная подобным образом для алевропесчаников среднего рифея ВЕП, попадает в область составов рифтогенных отложений.
Отчетливая тенденция тяготения полей составов изученных рифтогенных пород к границе областей рифтогенных и коллизионных геодинамических обстановок, проявляется при нанесении на диаграмму DF1–DF2 точек с усредненными составами рифтогенных песчаников и глинистых пород, рассчитанными для каждого исследованного объекта (рис. 10а) и полей, построенных с учетом величин стандартного отклонения (см. рис. 10б, 10в). При таком подходе особенности распределения полей песчаников и тонкозернистых обломочных образований из одних и тех же рифтогенных структур на данной диаграмме становятся особенно наглядными.
Рис. 10. Распределение фигуративных точек усредненного химического состава синрифтовых песчаников и глинистых пород из различных рифтогенных структур на диаграмме DF1–DF2 (а) и положение полей тонкозернистых обломочных пород (б) и песчаников (в) из одних и тех же объектов (поля построены по средним значениям параметров DF1 и DF2, с учетом величин стандартного отклонения).
Номера на графиках соответствуют нумерации объектов в таблице (индекс “п” — песчаники; “а” — тонкозернистые обломочные породы).
Так, например, поля синрифтовых песчаников и ассоциирующих с ними глинистых пород айской свиты Южного Урала (№ 53) в значительной степени перекрываются. Поле составов тонкозернистых обломочных пород — глинистых сланцев и мелкозернистых глинистых алевролитов машакской свиты Южного Урала (№ 54) заметно более узкое, по сравнению с полем составов песчаников этой же свиты. Фигуративные точки глинистых пород локализованы в области составов рифтогенных образований, в то время как около трети площади поля, образованного составами псаммитов, располагается в пределах области пород, характерных для коллизионных обстановок.
Примерно также располагаются на диаграмме поля песчаников и глинистых пород уйской серии Учуро-Майского региона, построенные по средним значениям DF1 и DF2 с учетом стандартных отклонений (см. 36а и 36п на рис. 10б, 10в).
Поля “надрифтовых” песчаников и глинистых сланцев авзянской свиты юрматиния Южного Урала (см. 66п и 66а на рис. 10б) тяготеют к области составов терригенных пород коллизионных обстановок, причем наблюдается значительное перекрытие указанных полей на диаграмме DF1–DF2, в то время как на диаграмме SiO2–K2O/Na2O они разобщены (см. рис. 8 и 10).
ЗАКЛЮЧЕНИЕ
Анализ приведенных выше данных позволяет судить об особенностях химического состава синрифтовых песчаников и ассоциирующих с ними глинистых пород, а также о распределении полей, образуемых фигуративных точками этих пород на дискриминантных палеогеодинамических диаграммах SiO2–K2O/Na2O [Roser, Korsch, 1986] и DF1–DF2 [Verma, Armstrong-Altrin, 2013].
Изученные нами синрифтовые песчаники по валовому химическому составу принадлежат, в соответствии с классификацией Ф.Дж. Петтиджона с соавторами [1976], преимущественно грауваккам, лититам, аркозам и субаркозам. Существенно меньше среди них сублититов и кварцевых аренитов. Заметную долю в проанализированной выборке составляют псаммиты со значениями log(Na2O/K2O)<-1.0. На классификационной диаграмме Петтиджона подобные песчаники отсутствуют. Это свидетельствует о том, что осадочное выполнение рифтов, как и следовало ожидать, объединяет довольно незрелые в геохимическом отношении песчаники, обломочный каркас которых был сформирован за счет разрушения разнообразных по составу магматических и осадочных образований, и указывает на преимущественно локальные источники кластики в песчаниках осадочного выполнения рифтогенных структур, в отличие, например, от песчаников осадочных последовательностей пассивных континентальных окраин.
Глинистые породы, ассоциирующие с песчаниками в рифтогенных структурах, сложены, судя по особенностям их валового химического состава, в основном гидрослюдой с примесью каолинита, хлорита и тонкодисперсных калиевых полевых шпатов, т. е. являются вполне обычными по составу тонкозернистыми обломочными образованиями. Источниками обломочного материала для этих пород, как следует из положения фигуративных точек на диаграмме F1–F2, были преимущественно осадочные образования. Таким образом, синрифтовые песчаники, по-видимому, образованы обломками относительно недалекого переноса. Глинистые породы, ассоциирующие с песчаниками в рифтогенных структурах, геохимически более однородны и отражают состав материнских пород с более широких площадей водосбора, вероятно, выходящих за пределы рифтов. Вариации содержания основных породообразующих оксидов в синрифтовых песчаниках и в ассоциирующих с ними глинистых породах примерно такие же, как наблюдаются, например в “надрифтовых” псаммитах и глинистых сланцах, или в алевропесчаных породах верхнедокембрийско-фанерозойского осадочного мегакомплекса Восточно-Европейской плиты. В то же время концентрации породообразующих оксидов в синрифтовых псаммитах и, например, в кратонных песчаниках протерозоя или фанерозоя различаются, также существуют различия между валовым химическим составом синрифтовых песчаников и содержанием этих оксидов в терригенных породах верхней части континентальной коры.
Распределение полей составов синрифтовых песчаников и ассоциирующих с ними глинистых пород на диаграмме Б. Розера и Р. Корша [Roser, Korsch, 1986] не имеет каких-либо индивидуальных особенностей. Поля песчаников в большинстве случаев сдвинуты в сторону более высоких содержаний SiO2; по величинам параметра K2O/Na2O синрифтовые песчаники и глинистые породы вполне сопоставимы. Фигуративные точки пород рифтогенных структур локализуются на диаграмме SiO2–K2O/Na2O преимущественно в областях пассивных и активных континентальных окраин. Это не позволяет распознавать рифтогенные осадочные образования с помощью указанной диаграммы.
Ранее [Маслов и др., 2016а] общие особенности распределения полей, образованных фигуративными точками песчаников и глинистых пород из различных осадочных последовательностей (платформенных, рифтогенных и др.) на дискриминантных палеогеодинамических диаграммах разных поколений, нами уже обсуждались. В указанной работе рассмотрены следующие отложения рифтогенных обстановок: песчаники приозерской и салминской свит рифея Пашско-Ладожского грабена, песчаники и глинистые породы айской и машакской свит, песчаники прикамской свиты, а также терригенные образования чингасанской и уйской серий Енисейского кряжа и Учуро-Майского региона. В настоящей публикации представлена более крупная выборка подобных объектов и привлечен более значительный объем аналитических данных. Полученные результаты показывают, что на диаграмме DF1–DF2 нет принципиальных различий в расположении полей терригенных пород платформенных, рифтогенных и коллизионных обстановок, и поля, которые можно было бы отнести к какой-либо одной классификационной области, отсутствуют. Поля фигуративных точек псаммитов и глинистых пород из большинства исследованных нами объектов на этой диаграмме принадлежат породам как рифтогенных, так и коллизионных обстановок (рис. 11). Таким образом, ранее сделанные выводы [Маслов и др., 2016а] принципиально не изменились. Это дает основания предложить иное положение границы, разделяющей терригенные породы рифтогенных и коллизионных палеогеодинамических обстановок (см. рис. 11в), по сравнению с принятым в работе [Verma, Armstrong-Altrin, 2013]. Однако для подтверждения предложенной границы или дальнейшего уточнения ее положения на диаграмме DF1–DF2, необходимо привлечение более значительного объема данных о химическом составе терригенных пород, формировавшихся не только в рифтогенных структурах, но и в коллизионных обстановках. Для получения корректных выводов, в данном случае следует анализировать химический состав песчаников и более тонкозернистых (в первую очередь, глинистых) обломочных пород.
Рис. 11. Распределение фигуративных точек и полей составов терригенных пород из различных рифтогенных структур на диаграмме DF1–DF2 [Маслов и др., 2016 а] (а, б) и скорректированное по результатам настоящего исследования положение границ областей, соответствующих различным палеогеодинамическим обстановкам (в).
а, б — 1 — песчаники рифея Пашско-Ладожского грабена, 2 — песчаники айской и машакской свит Южного Урала, 3 — песчаники прикамской свиты Камско-Бельского авлакогена, 4 — глинистые породы айской и машакской свит, 5 — терригенные породы карьерной, лопатинской и оленьинской свит Енисейского кряжа, 6 — терригенные породы чингасанской серии той же структуры, 7 — песчаники и глинистые породы уйской серии Учуро-Майского региона.
Нумерация объектов на рис. 11 в соответствует рис. 1 и таблице.
БЛАГОДАРНОСТИ
Авторы искренне признательны за содействие в проведении исследований С. Г. Ковалеву. Иллюстрации к статье подготовлены Н. С. Глушковой.
ИСТОЧНИК ФИНАНСИРОВАНИЯ
Исследования выполнены при финансовой поддержке РНФ (грант № 16-17-10192).
Примечания:
1 Здесь DF1 = [-0.263ln(TiO2/SiO2adj] + [0.604ln(Al2O3/SiO2)adj] + [-1.725ln(Fe2O3 общ/SiO2)adj] + [0.660ln(MnO/SiO2)adj] + [2.191ln(MgO/SiO2)adj] + [0.144ln(CaO/SiO2)adj] + [-1.304ln(Na2O/SiO2)adj] + [0.054ln(K2O/SiO2)adj] + [-0.330ln(P2O5/SiO2)adj] + 1.588, а DF2 = [-1.196ln(TiO2/SiO2)adj] + [1.064ln(Al2O3/SiO2)adj] + [0.303ln(Fe2O3 общ/SiO2)adj] + [0.436ln(MnO/SiO2)adj] + [0.838ln(MgO/SiO2)adj] + [-0.407ln(CaO/SiO2)adj] + [1.021ln(Na2O/SiO2)adj] + [-1.706ln(K2O/SiO2)adj] + [-0.126ln(P2O5/SiO2)adj] — 1.068.
2 В данном случае DF1 = [0.608ln(TiO2/SiO2)adj] + [-1.854ln(Al2O3/SiO2)adj] + [0.299ln(Fe2O3 общ/SiO2)adj] + [-0.550ln(MnO/SiO2)adj] + [0.120ln(MgO/SiO2)adj] + [0.194ln(CaO/SiO2)adj] + [-1.510ln(Na2O/SiO2)adj] + [1.941ln(K2O/SiO2)adj] + [0.003ln(P2O5/SiO2)adj] — 0.294, а DF2 = [-0.554ln(TiO2/SiO2)adj] + [-0.995ln(Al2O3/SiO2)adj] + [1.765ln(Fe2O3 общ/SiO2)adj] + [-1.391ln(MnO/SiO2)adj] + [-1.034ln(MgO/SiO2)adj] + [0.225ln(CaO/SiO2)adj] + [0.713ln(Na2O/SiO2)adj] + [0.330ln(K2O/SiO2)adj] + [0.637ln(P2O5/SiO2)adj] — 3.631.
3 (SiO2)adj — содержание оксида кремния после пересчета 10 основных породообразующих оксидов на безводную основу.
4 На первой диаграмме нет собственно области составов, характерных для рифтогенных структур, на второй такая область есть.
5 Естественно, что при отнесении тех или иных рифтогенных структур к определенным категориям систематики Дж. Шенгёра мы опираемся на представления авторов цитированных далее работ, хотя отдаем себе отчет в том, что могут существовать и иные точки зрения.
6 Здесь и далее приведены номера перечисленных объектов в нашем банке данных. Они же показаны тем или иным образом на иллюстрациях.
7 По данным [Краснобаев и др., 2013; Пучков и др., 2013], U-Pb (SIMS) возраст указанных вулканитов составляет 1752±11 млн лет. Соответственно, современная оценка нижней границы рифея — 1750 млн лет [Семихатов и др., 2015].
8 Как правило, для “снятия” влияния К-метасоматоза при расчете одного из наиболее широко используемых литохимических палеоклиматических индикаторов — индекса CIA [Nesbitt, Young, 1982] используется диаграмма A‒CN‒K [Fedo et al., 1995]. Но если для коррекции величин CIA алгоритм ее применения апробирован, то введение с помощью названной диаграммы поправок к отношению K2O/Na2O, одному из главных параметров ряда классификационных и дискриминантных палеогеодинамических диаграмм, существенно более дискуссионно.
9 Содержания Th и U в UCC заимствованы из работы [Rudnick, Gao, 2003].
10 Здесь F1 = 30.638TiO2/Al2O3–12.541Fe2O3общ/ Al2O3 + 7.329MgO/Al2O3 + 12.031Na2O/Al2O3 + 35.402K2O/Al2O3–6.382, F2 = 56.5TiO2/Al2O3–10.879Fe2O3общ/Al2O3 + 30.875MgO/Al2O3–5.404Na2O/ Al2O3 + 11.112K2O/Al2O3–3.89.
About the authors
A. V. Maslov
Zavaritsky Institute of Geology and Geochemistry, Ural Branch, RAS; Institute of Geology, Ufa Federal Research Centre, RAS
Author for correspondence.
Email: amas2004@mail.ru
Russian Federation, Vonsovskogo str. 15, Yekaterinburg, 620016; K. Marx str. 16/2, Ufa, 450077
V. N. Podkovyrov
Institute of Precambrian Geology and Geochronology, RAS
Email: vpodk@mail.ru
Russian Federation, Makarov emb. 2, St. Petersburg, 199034
E. Z. Gareev
Institute of Geology, Ufa Federal Research Centre, RAS
Email: emirgareev2015@yandex.ru
Russian Federation, K. Marx str. 16/2, Ufa, 450077
A. D. Nozhkin
Institute of Geology and Mineralogy, Siberian Branch, RAS
Email: nozhkin@igm.nsc.ru
Russian Federation, Koptyug av., 3, Novosibirsk, 630090
References
- Грачев А. Ф. Рифтовые зоны Земли. Л.: Недра, 1987. 247 с.
- Иванов С. Н. О байкалидах Урала // Докл. АН СССР. 1977. Т. 327. № 5. С. 1144-1147.
- Иванов С. Н. О доордовикской истории Урала и предгеосинклинальном развитии земной коры вообще // Доордовикская история Урала. Свердловск: УНЦ АН СССР, 1980. Вып. 1. С. 3-28.
- Иванов С. Н. О байкалидах Урала и Сибири // Геотектоника. 1981. № 5. С. 47-65.
- Иванов С. Н., Пучков В. Н., Иванов К. С. и др. Формирование земной коры Урала. М.: Наука, 1986. 248 с.
- Казьмин В. Г. Рифтовые структуры Восточной Африки — раскол континента и зарождение океана. М.: Наука, 1987. 205 с.
- Краснобаев А. А., Козлов В. И., Пучков В. Н. и др. Цирконология навышских вулканитов айской свиты и проблема возраста нижней границы рифея на Южном Урале // ДАН. 2013. Т. 448. № 4. С. 437-442.
- Леонов Ю. Г. Континентальный рифтогенез: современные представления, проблемы и решения // Геотектоника. 2001. № 2. С. 5-18.
- Лиханов И. И., Ревердатто В. В. Неопротерозойские комплексы-индикаторы континентального рифтогенеза как свидетельство процессов распада Родинии на западной окраине Сибирского кратона // Геохимия. 2015. № 8. С. 675-694.
- Логачев Н. А. Осадочные и вулканогенные формации Байкальской рифовой зоны // Байкальский рифт. М.: Наука, 1968. С. 72-101.
- Логачев Н. А. Вулканогенные и осадочные формации рифтовых зон Восточной Африки. М.: Наука, 1977. 183 с.
- Маслов А. В. Литология верхнерифейских отложений Башкирского мегантиклинория. М.: Наука, 1988. 133 с.
- Маслов А. В. Осадочные комплексы в разрезах рифтогенных структур. Екатеринбург: ИГГ УрО РАН, 1994а. 162 с.
- Маслов А. В. Раннерифейский Волго-Уральский седиментационный бассейн // Литология и полез. ископаемые. 1994б. № 5. С. 99-118.
- Маслов А. В., Гареев Э. З. Основные петрохимические особенности и условия образования аркозовых комплексов рифея и венда Южного Урала // Литология и полез. ископаемые. 1992. № 3. С. 50-60.
- Маслов А. В., Ишерская М. В. Осадочные ассоциации рифея Волго-Уральской области (условия формирования и литофациальная зональность). Екатеринбург: ИГГ УрО РАН, 1998. 286 с.
- Маслов А. В., Оловянишников В. Г., Ишерская М. В. Рифей восточной, северо-восточной и северной периферии Русской платформы и западной мегазоны Урала: литостратиграфия, условия формирования и типы осадочных последовательностей // Литосфера. 2002. № 2. С. 54-95.
- Маслов А. В., Подковыров В. Н., Гареев Э. З. К оценке палеогеодинамических обстановок формирования осадочных последовательностей нижнего и среднего рифея Учуро-Майского региона и Башкирского мегантиклинория // Тихоокеанская геология. 2012а. Т. 31. № 5. С. 55-68.
- Маслов А. В., Гареев Э. З., Ишерская М. В. “Стандартные” дискриминантные палеогеодинамические диаграммы и платформенные песчаниковые ассоциации // Отечественная геология. 2012б. № 3. С. 55-65
- Маслов А. В., Подковыров В. Н., Мизенс Г. А. и др. Дискриминантные палеогеодинамические диаграммы для терригенных пород: опыт сопоставления // Геохимия. 2016а. № 7. С. 579-595.
- Маслов А. В., Мизенс Г. А., Подковыров В. Н. и др. Синорогенные псаммиты: основные черты литохимии // Литология и полез. ископаемые. 2013. № 1. С. 70-96.
- Маслов А. В., Мизенс Г. А., Подковыров В. Н. и др. Синорогенные глинистые породы: особенности валового химического состава и палеотектоника // Геохимия. 2015. № 6. С. 512-538.
- Маслов А. В., Подковыров В. Н., Гареев Э. З., Котова Л. Н. Валовый химический состав песчаников и палеогеодинамические реконструкции // Литосфера. 2016б. № 6. С. 33-55.
- Милановский Е. Е. Рифтовые зоны континентов. М.: Недра, 1976. 280 с.
- Милановский Е. Е. Рифтогенез в истории Земли (рифтогенез на древних платформах). М.: Недра, 1983. 280 с.
- Ножкин А. Д., Постников А. А., Наговицин К. Е. и др. Чингасанская серия неопротерозоя Енисейского кряжа: новые данные о возрасте и условиях образования // Геология и геофизика. 2007. Т. 48. № 12. С. 1307-1320.
- Ножкин А. Д., Туркина О. М. Баянова Т. Б. и др. Неопротерозойский рифтогенный и внутриплитный магматизм Енисейского кряжа как индикатор процессов распада Родинии // Геология и геофизика. 2008. Т. 49. № 7. С. 666-688.
- Осадочные бассейны: методика изучения, строение и эволюция / Под ред. Ю. Г. Леонова, Ю. А. Воложа. М.: Научный мир, 2004. 526 с.
- Парначев В. П. Вулканические комплексы и тектонический режим западного склона Южного Урала в позднем докембрии // Древний вулканизм Южного Урала. Свердловск: УНЦ АН СССР, 1981. С. 18-30.
- Парначев В. П. Магматизм и осадконакопление в позднедокембрийской истории Южного Урала / Автореф. дисс. … доктора геол.-мин. наук. Свердловск: ИГГ УрО АН СССР, 1987. 33 с.
- Парначев В. П., Ротарь А. Ф., Ротарь З. М. Среднерифейская вулканогенно-осадочная ассоциация Башкирского мегантиклинория (Южный Урал). Свердловск: УрО АН СССР, 1986. 104 с.
- Петтиджон Ф.Дж., Поттер П., Сивер Р. Пески и песчаники. М.: Мир, 1976. 534 с.
- Подковыров В. Н. Осадочные последовательности рифея и венда стратотипических регионов Сибири и Урала (литохимия, хемостратиграфия, геодинамические обстановки формирования) / Автореф. дисс. … доктора геол.-мин. наук. СПб.: ИГГД РАН, 2001. 37 с.
- Подковыров В. Н., Ковач В. П., Котова Л. Н. Глинистые отложения сибирского гипостратотипа рифея и венда: химический состав, Sm-Nd систематика источников и этапы формирования // Литология и полез. ископаемые. 2002. № 4. С. 397-418.
- Пучков В. Н. Взаимосвязь плитных и плюмовых процессов в глобальном и региональном масштабе. Плюмовые процессы на Урале // Металлогения древних и современных океанов. 2016. № 22. С. 17-21.
- Пучков В. Н. Палеогеодинамика Южного и Среднего Урала. Уфа: ГИЛЕМ, 2000. 146 с.
- Пучков В. Н. Плюмы в истории Урала // Бюлл. МОИП. Отд. геол. 2013. № 4. С. 64-73.
- Пучков В. Н., Краснобаев А. А., Сергеева Н. Д. Новое в стратиграфии стратотипического разреза рифея // Общая стратиграфическая шкала России: состояние и проблемы обустройства. М.: ГИН РАН, 2013. С. 70-72.
- Разваляев А. В. Континентальный рифтогенез и его предистория. М.: Недра, 1988. 189 с.
- Ронкин Ю. Л., Маслов А. В., Матуков Д. И. и др. “Машакское рифтогенное событие” рифея типовой области (Южный Урал): новые изотопно-геохронологические рамки // Строение, геодинамика и минерагенические процессы в литосфере. Материалы международной научной конференции. Сыктывкар: Геопринт, 2005. С. 305-307.
- Ронкин Ю. Л., Тихомирова М., Маслов А. В. ~1380 млн лет LIP Южного Урала: прецизионные U-Pb ID-TIMS ограничения // Докл. АН. 2016. Т. 468. № 6. С. 674-679.
- Ронов А. Б., Мигдисов А. А., Хане К. Количественные закономерности эволюции состава алевропесчаных пород Русской плиты // Геохимия. 1995. № 3. С. 323-348.
- Самойлов B. C., Ярмолюк В. В. Континентальный рифтогенез: типизация, магматизм, геодинамика // Геотектоника. 1992. № 1. С. 3-23.
- Семихатов М. А., Кузнецов А. Б., Чумаков Н. М. Изотопный возраст границ общих стратиграфических подразделений верхнего протерозоя (рифея и венда) России: эволюция взглядов и современная оценка // Стратиграфия. Геол. корреляция. 2015. Т. 23. № 6. С. 16-27.
- Тейлор С. Р., МакЛеннан С. М. Континентальная кора: ее состав и эволюция. М.: Мир, 1988. 384 с.
- Чамов Н. П. Строение и развитие Среднерусско-Беломорской провинции в неопротерозое. М.: ГЕОС, 2016. 233 с.
- Эринчек Ю. М., Мильштейн Е. Д. Рифейский рифтогенез центральной части Восточно-Европейской платформы. СПб.: ВСЕГЕИ, 1995. 48 с.
- Armstrong-Altrin J. S., Verma S. P. Critical evaluation of six tectonic setting discrimination diagrams using geochemical data of Neogene sediments from known tectonic settings // Sediment. Geol. 2005. V. 177. P. 115-129.
- Basei M. A. S., Frimmel H. E., Nutman A. P. et al. A connection between the Neoproterozoic Dom Feliciano (Brazil/ Uruguay) and Gariep (Namibia/South Africa) orogenic belts — evidence from a reconnaissance provenance study // Precam. Res. 2005. V. 139. P. 195-221.
- Bhatia M. R. Plate tectonics and geochemical composition of sandstones // J. Geol. 1983. V. 91. P. 611-627.
- Bolnar R., Kamber B. S., Moorbath S. et al. Chemical characterization of earth’s most ancient clastic metasediments from the Isua Greenstone Belt, southern West Greenland // Geochim. et Cosmochim. Acta. 2005. V. 69. P. 1555-1573.
- Brun J.-P. Narrow rifts versus wide rifts: inferences for the mechanics of rifting from laboratory experiments // Phil. Trans. Royal Soc. London. Series A. 1999. V. 357. P. 695-712.
- Buck W. R. Modes of continental lithospheric extension // J. Geophys. Res. 1991. V. 96. P. 20161-20178.
- Cai G., Guo F., Liu X., Sui S. Elemental and Sr-Nd isotopic compositions of Cenozoic sedimentary rocks from the Dongying Sag of Jiyang depression, North China: Implications for provenance evolution // Geochem. J. 2011. V. 45. P. 33-55.
- Cai G., Guo F., Liu X. et al. Geochemistry of Neogene sedimentary rocks from the Jiyang basin, North China Block: The roles of grain size and clay minerals // Geochem. J. 2008. V. 42. P. 381-402.
- Caracciolo L., von Eynatten H., Tolosana-Delgado R. et al. Petrological, geochemical, and statistical analysis of Eocene-Oligocene sandstones of the Western Thrace basin, Greece and Bulgaria // J. Sediment. Res. 2012. V. 82. P. 482-498.
- Christie-Blick N., Biddle K. T. Deformation and basin formation along strike-slip faults // Strike-slip deformation, basin formation and sedimentation / Eds K. T. Biddle, N. Christie-Blick. Soc. Econ. Paleont. Mineral., Spec. Publ. 1985. V. 37. P. 1-34.
- Chorowicz J. Dynamics of the different basin-types in the East African Rift // J. African Earth Sci. 1990. V. 10. P. 271-282.
- Condie K. C. Chemical composition and evolution of the upper continental crust: contrasting results from surface samples and shales // Chem. Geol. 1993. V. 104. P. 1-37.
- Condie K. C., Lee D., Farmer G. L. Tectonic setting and provenance of the Neoproterozoic Uinta Mountain and Big Cottonwood groups, northern Utah: constraints from geochemistry, Nd isotopes, and detrital modes // Sediment. Geol. 2001. V. 141-142. P. 443-464.
- Continental rifts: evolution, structure, tectonics / Ed. K. H. Olsen. Oxford: Elsevier, 1995. 465 p.
- Corti G. Continental rift evolution: from rift initiation to incipient break-up in the Main Ethiopian Rift, East Africa // Earth Sci. Rev. 2009. V. 96. P. 1-53.
- Crossley R. Controls of sedimentation in the Malawi Rift Valley, Central Africa // Sediment. Geol. 1984. V. 40. P. 33-50.
- Cullers R. L. The controls on the major and trace element variation of shales, siltstones, and sandstones of Pennsylvanian-Permian age from uplifted continental blocks in Colorado to platform sediment in Kansas, USA // Geochim. et Cosmochim. Acta. 1994. V. 58. P. 4955-4972.
- Cullers R. L. The geochemistry of shales, siltstones and sandstones of Pennsylvanian-Permian age, Colorado, USA: implications for provenance and metamorphic studies // Lithos. 2000. V. 51. P. 181-203.
- Cullers R. L., Podkovyrov V. N. The source and origin of terrigenous sedimentary rocks in the Mesoproterozoic Ui group, southeastern Russia // Precam. Res. 2002. V. 117. P. 157-183.
- Cullers R. L., Stone J. Chemical and mineralogical comparison of the Pennsylvanian Fountain Formation. Colorado, U. S.A. (an uplifted continental block) to sedimentary rocks from other tectonic environments // Lithos. 1991. V. 27. P. 115-131.
- Deru X., Xuexiang G., Pengchun L. et al. Mesoproterozoic-Neoproterozoic transition: Geochemistry, provenance and tectonic setting of clastic sedimentary rocks on the SE margin of the Yangtze Block, South China // J. Asian Earth Sci. 2007. V. 29. P. 637-650.
- Deverchère J. Rifting continental: causes, effects, évolution — Exemple du rift Baikal. HDR Dossier d’Habilitation à Diriger des Recherches. Géosciences Azur — Observatoire Océanologique — Villefranche-sur-Mer, 1999. 276 p.
- Fedo C. M., Nesbitt H. W., Young G. M. Unraveling the effects of potassium metasomatism in sedimentary rocks and paleosols, with implications for paleoweathering conditions and provenance // Geology. 1995. V. 23. P. 921-924.
- Fedo C. M., Young G. M., Nesbitt H. W. Paleoclimatic control on the composition of the Paleoproterozoic Serpent Formation, Huronian Supergroup, Canada: a greenhouse to icehouse transition // Precam. Res. 1997. V. 86. P. 201-223.
- Friedmann S. J., Burbank D. W. Rift basins and supradetachment basins: intracontinental extensional end-members // Basin Res. 1995. V. 7. P. 109-127.
- Garzanti E., Vezzoli G., Ando S., Castiglioni G. Petrology of rifted-margin sand (Red Sea and Gulf of Aden, Yemen) // J. Geol. 2001. V. 109. P. 277-297.
- Ghosh S., Sarkar S., Ghosh P. Petrography and major element geochemistry of the Permo-Triassic sandstones, central India: Implications for provenance in an intracratonic pull-apart basin // J. Asian Earth Sci. 2012. V. 43. P. 207-240.
- González-Álvarez I. J. Geochemical Study of the Mesoproterozoic Belt-Purcell Supergroup, Western North America: Implications for Provenance, Weathering and Diagenesis / A Thesis Submitted to the College of Graduate Studies and Research in Partial Fulfillment of the Requirements for the Degree of Doctor of Philosophy in the Department of Earth Sciences. Saskatoon: University of Saskatchewan, 2005. 243 р.
- Harnois L. The CIW, Index: A New Chemical Index of Weathering // Sediment. Geol. 1988. V. 55. P. 319-322.
- Illies J. H., Greiner G. Rhinegraben and the Alpine system // Geol. Soc. Am. Bull. 1978. V. 89. P. 770-782.
- Ingersoll R. V., Cavazza W., Baldridge W. S., Shaficullah M. Cenozoic sedimentation and paleotectonics of north-central New Mexico: Implication for initiation and evolution of the Rio Grande rift // Geol. Soc. Am. Bulletin. 1990. V. 102. P. 1280-1296.
- Jones C. H., Wernicke B. P., Farmer G. L. et al. Variations across and along a major continental rift: an interdisciplinary study of the Basin and Range Province, Western USA // Tectonophysics. 1992. V. 213. P. 57-96.
- Keen C. E. The dynamics of rifting: deformation of the lithosphere by active and passive driving mechanisms // Geophys. J. Royal Astronom. Soc. 1985. V. 80. P. 95-120.
- Khudoley A. K., Rainbird R. H., Stern R. A. et al. Sedimentary evolution of the Riphean-Vendian Basin of southeastern Siberia // Precam. Res. 2001. V. 111. P. 129-163.
- Kingston D. K., Dishroon C. P., Williams P. A. Global basin classification // AAPG Bull. 1983. V. 67. P. 2175-2193.
- Kroonenberg S. B. Effects of provenance, sorting and weathering on the geochemistry of fluvial sands from different tectonic and climatic environments // Proceedings of the 29th International Geological Congress. 1994. Part A. P. 69-81.
- Mack G. H., Love D. W., Seager W. R. Spillover models for axial rivers in regions of continental extention: the Rio Grande in the Southern Rio Grande rift, USA // Sedimentology. 1997. V. 44. P. 637-652.
- Maslov A. V., Isherskaya M. V. Riphean sedimentary sequences of the eastern and northeastern margins of the Eastern European craton // Russian J. Earth Sci. 2002. V. 4. № 4. P. 271-276.
- Maynard J. B., Valloni R., Ho Shing Ju. 1982. Composition of modern deep-sea sands from arc-related basin // Geol. Soc. London Spec. Publ. 1982. V. 10. P. 551-561.
- McLennan S. M., Hemming S., McDaniel D. K., Hanson G. N. Geochemical Approaches to Sedimentation, Provenance and Tectonics // Geol. Soc. Am. Spec. Paper. 1993. № 284. P. 21-40.
- McLennan S. M., Hemming S., Taylor S. R., Eriksson K. A. Early Proterozoic Crustal Evolution: Geochemical and Nd-Pb Isotopic Evidence from Metasedimentary Rocks Southwestern North America // Geochim. et Cosmochim. Acta. 1995. V. 59. P. 1153-1173.
- McKenzie D. P. Some remarks on the development of continental basins // Earth Planet. Sci. Lett. 1978. V. 40. P. 25-32.
- Morley C. K. Extension, detachments, and sedimentation in continental rifts (with particular reference to East Africa) // Tectonics. 1989. V. 8. P. 1175-1192.
- Mulugeta G. Dynamic models of continental rift valley systems // Tectonophysics. 1985. V. 113. P. 49-73.
- Murphy J. B. Geochemistry of the Neoproterozoic Metasedimentary Gamble Brook Formation, Avalon Terrane, Nova Scotia: Evidence for a Rifted-Arc Environment along the West Gondwanan Margin of Rodinia // J. Geol. 2002. V. 110. Р. 407-419.
- Nesbitt H. W., Young G. M. Early Proterozoic Climates and Plate Motion Inferred from Major Element Chemistry of Lutites // Nature. 1982. V. 299. P. 715-717.
- Ngueutchoua G., Ngantchu L. D., Youbi M. et al. Geochemistry of Cretaceous Mudrocks and Sandstones from Douala Sub-Basin, Kumba Area, South West Cameroon: Constraints on Provenance, Source Rock Weathering, Paleo-Oxidation Conditions and Tectonic Environment // International Journal of Geosciences. 2017. V. 8. P. 393-424.
- Quinlan C. Models of subsidence mechanisms in intra-cratonic basins and their applicability to North America examples // Sedimentary basins and basin-forming mechanisms / Eds C. Beaumont, A. Tankard. Calgary: Canadian Society of Petroleum Geologists, 1987. P. 463-481.
- Reading H. G. Sedimentary basins and global tectonics // Proc. Geol. Ass. 1982. V. 93. P. 321-350.
- Rosendahl B. R. Architecture of continental rifts with special reference to East Africa // Annu. Rev. Earth Planet. Sci. 1987. V. 15. P. 445-503.
- Roser B. P., Korsch R. J. Determination of tectonic setting of sandstone-mudstone suites using SiO2 content and K2O/Na2O ratio // J. Geol. 1986. V. 94. P. 635-650.
- Roser B. P., Korsch R. J. Provenance signatures of sandstone-mudstone suites determined using discriminant function analysis of major-element data // Chem. Geol. 1988. V. 67. P. 119-139.
- Rudnick P. L., Gao S. Composition of the continental crust // Treatise on Geochemistry. V.3 / Eds H. D. Holland, K. K. Turekian. Amsterdam: Elsevier Ltd., 2003. P. 1-64.
- Ryan K. M., Williams D. M. Testing the reliability of discrimination diagrams for determining the tectonic depositional environment of ancient sedimentary basins // Chem. Geol. 2007. V. 242. P. 103-125.
- Schlishe R. W. Half-graben basin filling models: new constrains on continental extentional basin development // Basin Res. 1991. V. 3. P. 123-141.
- Sengör A. M. C. Sedimentation and tectonics of fossil rifts // Tectonics of Sedimentary Basins / Eds C. J. Busby, R. V. Ingersoll. Oxford: Blackwell, 1995. P. 53-117.
- Sengör A. M. C., Natal’in B. A. Rifts of the world // Mantle plumes: their Identification through Time / Eds R. E. Ernst, K. L. Buchan. Geol. Soc. Am. Spec. Pap. 2001. V. 352. P. 389-482.
- Sun W.-H., Zhou M.-F., Yan D.-P. et al. Provenance and tectonic setting of the Neoproterozoic Yanbian Group, western Yangtze Block (SW China) // Precam. Res. 2008. V. 167. P. 213-236.
- Tao H., Sun S., Wang Q., Yang X., Jiang L. Petrography and geochemistry of lower carboniferous greywacke and mudstones in Northeast Junggar, China: Implications for provenance, source weathering, and tectonic setting // J. Asian Earth Sci. 2014. V. 87. P. 11-25.
- Tao H., Wang Q., Yang X., Jiang L. Provenance and tectonic setting of Late Carboniferous clastic rocks in West Junggar, Xinjiang, China: A case from the Hala-alat Mountains // J. Asian Earth Sci. 2013. V. 64. P. 210-222.
- Turgeon S., Brumsack H.-J. Anoxic vs dysoxic events reflected in sediment geochemistry during the Cenomanian-Turonian Boundary Event (Cretaceous) in the Umbria-Marche basin of central Italy // Chem. Geol. 2006. V. 234. P. 321-339.
- Van Schmus W. R. Tectonic setting of the Midcontinent Rift system // Tectonophysics. 1992. V. 213. P. 1-15.
- Verma S. P., Armstrong-Altrin J. S. New multi-dimensional diagrams for tectonic discrimination of siliciclastic sediments and their application to Precambrian basins // Chem. Geol. 2013. V. 355. P. 117-133.
- Wernicke В., Axen G. J., Snow J. N. Basin and range extentional tectonics at the latitude of Las Vegas, Nevada // Geol. Soc. Am. Bull. 1988. V. 100. P. 1738-1758.
- Woelk T. S., Hinze W. J. Model of the Midcontinent Rift System in northeastern Kansas // Geology. 1991. V. 19. P. 277-280.
- Ziegler P. A. Cenozoic rift system of western and central Europe: an overview // Geologie en Mijnbouw. 1994. V. 73. P. 99-127.
- Ziegler P. A., Cloetingh S. A. P. L. Dynamic processes controlling evolution of rifted basins // Earth Sci. Rev. 2004. V. 64. P. 1-50.
Supplementary files













