Assessment of the compaction effect and operational characteristics of a crawler tractor based on a rheological approach
- Authors: Nosov S.V.1, Рeregudov N.Е.1
-
Affiliations:
- Lipetsk State Technical University
- Issue: Vol 89, No 1 (2022)
- Pages: 43-51
- Section: Theory, designing, testing
- Submitted: 07.02.2022
- Accepted: 13.02.2022
- Published: 08.07.2022
- URL: https://journals.eco-vector.com/0321-4443/article/view/100293
- DOI: https://doi.org/10.17816/0321-4443-100293
- ID: 100293
Cite item
Full Text
Abstract
BACKGROUND: At considering the issues of crawler tractors interaction with soil the determining factor is the time-varying impact of loads on the soil layer, its stressed and strained state, which, in turn, directly depends on its stress-strain properties. The properties assessment should be carried out with a rheological approach, which allows to explain many phenomena and processes and to develop new high technologies in terms of the criterion of minimizing the impact on the soil.
AIMS: Studying the compacting ability of a crawler tractor in a configuration in various machine-tractor units, obtaining a curve for the effect of the traction load on the tractor hook, tractor speed and tractor mass redistribution over the lower track wheels on changes in soil compaction due to developing deformations, the coefficient of running resistance and skidding of the crawler-mounted mover.
METHODS: The evoluation method for compaction impact of crawler-mounted mover on the soil layer was developed on the base of the previously constructed a general mathematical model for determining ways of reducing the compacting impact of crawler-mounted movers on the bearing surface, computer calculation programmes and the carried out assessment for the deformation development and changes of soil compaction under the crawler track.
RESULTS: There are presented the simulation results of the process with an assessment of the developing dependences of the crawler tractor rut depth and its sliding on the travelling speed and on the displacement of the center of pressure at different loads on the hook, that obtained with the developed metod of analysis and the well-known theory of hereditary creep of elastic-visco-plastic materials. At the same time, the development of vertical and shear deformations of the soil layer in the area of lower track wheels impact is separately analyzed.
The analysis of the constructed dependencies allows to identify a number of patterns for changes of compacting effect indicators of a crawler tractor on the soil with an assessment of the influence of the main design and technological parameters on them. It is established that taking into account the rheological characteristics of the soil layer and its state parameters permit significantly improve the accuracy of calculations for vertical and shear deformations of the soil layer and its final compaction after successive passes of the crawler lower track wheels. At the same time, the desired indicators’ behavior is ambiguously at passes of various lower track wheels.
CONCLUSION: The conducted studies contribute to the optimal selection of parts for various machine-tractor units based on a specific crawler tractor, which perform the appropriate technological operations in certain conditions of work at specific parameters of the soil state.
Full Text
ВВЕДЕНИЕ
На сегодняшний день ключевым среди рассматриваемых вопросов относительно особенностей взаимодействия движителей мобильных энергетических средств с деформируемым опорным основанием становится обязательное использование реологического подхода с применением теории наследственной ползучести упруго-вязко-пластичных материалов [1]. Использование фактора времени, определяющего собой время воздействия движителей машин на опорное основание, а также характер и динамику изменения действующих нормальных и касательных напряжений в материале опорного основания, возникающих в результате воздействия ходовых систем различных машин, позволяет существенно расширить получаемую информацию о рассматриваемых процессах.
Применяемый реологический подход, помимо фактора времени, позволяет рассмотреть и ряд других факторов, на которые ранее не достаточно обращалось внимания, однако без которых невозможно объяснить многие явления и процессы и выйти на разработку новых интенсивных технологий с точки зрения критерия минимизации воздействия на почву [2].
Именно поэтому дальнейшие исследования, направленные на повышение урожайности различных сельскохозяйственных культур путем обеспечения минимального воздействия на почву различных мобильных энергетических средств, включая гусеничные тракторы, на сегодняшний день остаются актуальной народнохозяйственной задачей.
Определяющим фактором при рассмотрении вопросов взаимодействия гусеничных тракторов с почвой является изменяющееся во времени действия нагрузок на слой почвы его напряженно-деформированное состояние, которое, в свою очередь, напрямую зависит от его физико-механических характеристик. Это в первую очередь такие характеристики, как модули линейной и сдвиговой деформации, а также коэффициент поперечной деформации слоя почвы, величины которых зависят от действующих нагрузок и времени их действия. С другой стороны, величины нормальных и касательных напряжений в слое почвы при проходе гусеничного трактора также зависят от характера силового воздействия на него и от его физико-механических (реологических) характеристик. Такая взаимозависимость всех характеристик взаимодействия гусеничного движителя со слоем почвы определяет постоянно изменяющееся во времени сложное напряженно-деформируемое состояние слоя и требует применения сложных и многофазовых расчетов разрабатываемых математических моделей рассматриваемого процесса.
В данной статье представлены результаты имитационного моделирования процесса с оценкой развития общих вертикальных и сдвиговых деформаций и плотности почвы после прохода гусеничного трактора, что определяет научную новизну.
ЦЕЛЬ ИССЛЕДОВАНИЙ
На основе ранее разработанного метода оценки уплотняющего воздействия гусеничного движителя на слой почвы поставлены следующие цели.
- Получить путем имитационного моделирования графические представления по влиянию тяговой нагрузки на крюке трактора на изменение плотности почвы за счет развивающихся деформаций, коэффициента сопротивления движению и буксования гусеничного движителя, характеризующих применение различных машинно-тракторных агрегатов.
- Исследовать уплотняющую способность гусеничного трактора в зависимости от скорости его движения и перераспределения по опорным каткам массы трактора.
МАТЕРИАЛЫ И МЕТОДЫ
На основе разработанной общей математической модели [3], определении путей снижения уплотняющего воздействия движителей гусеничных машин на опорное основание [4], разработанных программ расчета на ЭВМ [5, 6] и проведенной оценки развития деформации и изменения плотности почвы под траком гусеничной машины [7, 8, 9] разработан метод оценки уплотняющего воздействия гусеничного движителя на слой почвы.
В качестве критериев негативного влияния гусеничного трактора на почву рассматриваются такие, как плотность почвы после его прохода, различные виды деформаций слоя почвы, буксование движителя, коэффициент сопротивления движению и некоторые другие, принимаемые в зависимости от характера решаемых задач.
Именно такие показатели взаимодействия гусеничного движителя трактора со слоем почвы позволяют в совокупности наиболее полно охарактеризовать рассматриваемый процесс. При этом все они должны определяться на основе применения теории наследственной ползучести упруго-вязко-пластичных материалов с использованием экспоненциально-степенных функций скоростей ползучести. Последние, кроме фактора времени, дополнительно характеризуются тремя независимыми параметрами А, α и β, инвариантными к способам их определения. В этом и состоит одна из сторон новизны применяемого реологического подхода.
Для заданных условий процесса сдвиговые (касательные) напряжения, развивающиеся под гусеничным движителем в местах воздействия опорных катков, определялись методом последовательных приближений на ЭВМ для момента равновесия всей сложной системы, заложенной в разработанную математическую модель процесса взаимодействия гусеничного трактора со слоем почвы с использованием реологического подхода.
Математическая модель рассматриваемого процесса учитывала изменение физико-механических (реологических, включая модули сдвиговых и линейных деформаций, коэффициент поперечной деформации) характеристик слоя конкретной почвы и характеристик взаимодействия с ним элементов гусеничного движителя под каждым последовательно проходящим опорным катком.
Исходными данными для расчета показателей взаимодействия гусеничного трактора со слоем почвы являлись следующие: конструктивные и технологические параметры трактора, нагрузка на крюке, параметры состояния слоя почвы и кривые линейной и сдвиговой ползучести слоя почвы. Последние определялись в полевых условиях с применением специальной переносной установки [10].
На первом этапе расчета (предварительный расчет без учета сдвиговых деформаций):
- определяются центр давления гусеничного движителя, реакции в каретках движителя, нормальные напряжения в слое почвы под опорными катками;
- производится расчет модулей вертикальной деформации слоя почвы по данным штамповых испытаний и лабораторных исследований для базовой кривой ползучести;
- через критерии подобия физического моделирования процесса определяются нормальные напряжения по длине опорной поверхности гусеничного движителя с учетом их изменения во времени при перекатывании всех опорных катков по каждому траку;
- рассчитываются вертикальные деформации слоя почвы, ее плотность и коэффициент сопротивления качению при проходе каждого опорного катка;
- по условиям предельного буксования под каждым опорным катком гусеничного движителя через касательные напряжения сдвиговые деформации слоя почвы.
На втором этапе расчета (уточненный расчет, с учетом сдвиговых деформаций [11]):
- при уточнении условий деформирования почвы под каждым опорным катком пересчитываются модули деформации слоя почвы;
- под каждой точкой трака определяется эпюра изменения напряжений во времени при перекатывании каждого опорного катка в отдельности с учетом равновесия элементов шарниров гусеницы;
- уточняются вертикальные деформации слоя почвы под траками с опорными катками, коэффициенты сопротивления качению каждого опорного катка трактора и плотность почвы после прохода каждого опорного катка;
- выводятся на печать значения вертикальной и сдвиговой деформаций слоя почвы, плотности почвы после прохода трактора и буксования гусеничного движителя δ.
РЕЗУЛЬТАТЫ И ИХ АНАЛИЗ
В качестве примера в статье представлены результаты расчета по трактору модели ДТ-75М с 4-опорной балансирной подвеской.
На рис. 1–4 представлены результаты расчетов для конкретных параметров состояния слоя почвы (толщине 25 см, влажности почвы 22% и ее начальной плотности 0,9 г/см3).
Рис. 1. Влияние крюковой нагрузки трактора на изменение вертикальных деформаций слоя почвы после прохода каждого опорного катка и общей деформации слоя λверт_общ. / Fig. 1. Tractor hook load impact on change of a soil layer vertical deformation after each lower track wheels pass and general deformation of the layer λверт_общ.
Рис. 2. Влияние крюковой нагрузки трактора на изменение плотности почвы после прохода каждого опорного катка. / Fig. 2. Tractor hook load impact on change of a soil compaction after each lower track wheels pass.
Рис. 3. Влияние крюковой нагрузки трактора на изменение общей горизонтальной деформации λгор_общ слоя почвы и буксования гусеничного движителя δ. / Fig. 3. Tractor hook load impact on change of a soil layer general horizontal deformation λгор_общ and slipping the crawler unit δ.
Рис. 4. Влияние нагрузки на крюке трактора на изменение касательных напряжений τн1, τн2, τн3, τн4 в почвенном слое под каждым из опорных катков гусеничного движителя и общих касательных напряжений τпоч. / Fig. 4. Tractor hook load impact on change of the τн1, τн2, τн3, τн4 shearing stress in a soil layer under each lower track wheels and general shearing stress τпоч.
Из рис. 1 видно, что значения вертикальных деформаций слоя почвы под опорными катками гусеничного движителя ведут себя по-разному с ростом нагрузки на крюке трактора. При отсутствии тяговой нагрузки на крюке наибольшими являются деформаци под первым λверт1 и вторым λверт2 катками по ходу движения машины. В таких условиях движения на них приходится большая часть веса трактора, так как центр давления гусеничного движителя в этом случае смещен вперед относительно середины опорной длины гусеницы. Под третьим и четвертым катками почва практически не подвергается деформированию.
При величине нагрузки на крюке в пределах от 13 до 15 кН деформации слоя почвы под каждым из катков примерно одинаковы, хотя напряжения под траками в зоне расположения катков весьма различны и постепенно увеличиваются от первого катка к последнему по ходу движения трактора. Здесь модули деформации слоя почвы и ее плотность увеличиваются примерно в такой же пропорции.
При дальнейшем росте нагрузки на крюке трактора центр давления гусеничного движителя смещается назад, под передними катками деформация слоя почвы мала, а под третьим катком деформация слоя резко увеличивается. При высоких крюковых нагрузках деформации слоя почвы под задними каретками принимают наибольшие значения вследствие их догружения вертикальной составляющей от взаимодействия трактора с сельскохозяйственным орудием.
В целом же минимальная деформация слоя почвы после прохода трактора обеспечивается при крюковой нагрузке в диапазоне от 5 до 7 кН при указанных параметрах состояния почвенного слоя.
Следует отметить особенное развитие деформации слоя почвы под последним опорным катком λверт4 при постепенным увеличении нагрузки на крюке трактора, когда до значения нагрузки на крюке Ркр, равного 20 кН, деформация слоя представляет собой возрастающую криволинейную функцию, однако при Ркр >20 кН наблюдается ее убывание.
Так как почва при максимальных значениях Ркр практически не уплотняется катками передней каретки, то рыхлый почвенный слой подвергается воздействию значительных нормальных напряжений, приходящихся на третий опорный каток. Резкое деформирование почвы под ним приводит к интенсивному росту плотности почвы. Четвертый каток второй балансирной каретки воздействует уже на более плотную и твердую поверхность почвы и создает меньшую глубину колеи.
В диапазоне Ркр от 5 кН до15 кН наблюдается равномерное распределение весовой нагрузки по каткам трактора, при этом приращение глубины колеи больше под передними опорными катками. Усредненная эпюра давлений под опорной ветвью гусеницы приближается к прямоугольной, вследствие чего рост вертикальных деформаций λверт_общ происходит менее интенсивно. Это подтверждается ранее проведенными исследованиями [1].
Также, в соответствии с [1], на участках кривых при Ркр от 0 кН до 5 кН и от 15 кН до 30 кН нормальные напряжения сконцентрированы, соответственно, в передней или задней частях движителя гусеничного трактора, что приводит к увеличению общей деформации слоя почвы. Заметное увеличение глубины колеи при максимальных нагрузках на крюке требует значительных тяговых усилий, что создает дополнительную вертикальную нагрузку на почвенный слой от взаимодействия с ним рабочего органа.
Рис. 2 демонстрирует особенности влияния крюковой нагрузки на изменения плотности почвы после прохода отдельных опорных катков трактора.
Основное увеличение плотности почвы при незначительной величине нагрузки на крюке трактора Ркр наблюдается после прохода первого и второго опорных катков (ρн1, ρн2). Отсутствие полной аналогии в развитии глубины колеи и плотности почвы под опорными катками гусеничного трактора объясняется неравномерным изменением коэффициента поперечной деформации слоя почвы. Подобная закономерность в изменении плотности почвы наблюдается и при больших значениях Ркр, однако основное уплотнение здесь происходит под задними опорными катками трактора.
На рис. 3 представлено влияние крюковой нагрузки трактора на изменение общей горизонтальной деформации λгор_общ слоя почвы и буксования гусеничного движителя δ.
Как видно из рис. 3, буксование δ находится в пределах допустимой величины (6−7% при номинальном тяговом усилии). Это подтверждает адекватность разработанной математической модели. С увеличением нагрузки на крюке рост общей горизонтальной деформации λгор_общ после прохода трактора обусловлен повышением касательных напряжений в почвенном слое. Сдвиговая деформация слоя характеризует допустимость использования трактора с определенной тяговой нагрузкой на данном почвенном фоне при текущих параметрах его состояния (плотности, влажности). Способность почвы противостоять сдвигу является важной характеристикой с точки зрения агротехники, что положительно влияет на урожайность сельскохозяйственных культур.
Влияние нагрузки на крюке трактора на изменение касательных напряжений τн1, τн2, τн3, τн4 в почвенном слое под каждым из опорных катков гусеничного движителя продемонстрировано на рис. 4.
Необходимая касательная сила тяги гусеничного движителя по сцеплению должна возрастать с ростом суммы сил сопротивления движению. В противном случае не выполнится условие движения трактора. Кривая τпоч отражает зависимость касательных напряжений, необходимых для преодоления сопротивлений движению, от прессования почвы и от тяговой нагрузки. Для трактора ДТ-75М с точки зрения рассматриваемого критерия оптимальным будет диапазон тяговых усилий на крюке от 5 кН до 15 кН. Ход данной кривой подобен зависимости λверт_общ (рис. 1).
Еще одной особенностью взаимодействия гусеничного движителя со слоем почвы является уменьшение касательных напряжений τн1 и τн2 под первыми опорными катками при высоких значениях Ркр. Здесь нормальные напряжения в слое под катками передней каретки слишком малы по сравнению с задней кареткой, на которую приходится 2/3 общего веса машины при Ркр=20 кН и почти полный вес при Ркр=30 кН. Поэтому в создании полезной работы по силе тяги при данных условиях участвуют в основном траки под задними катками. Таким образом, увеличиваются напряжения τн3 и τн4, а кривые τн1 и τн2 стремятся к минимуму.
Отдельно рассмотрено влияние распределения массы гусеничного трактора по опорным каткам и скорости трактора на его уплотняющую способность.
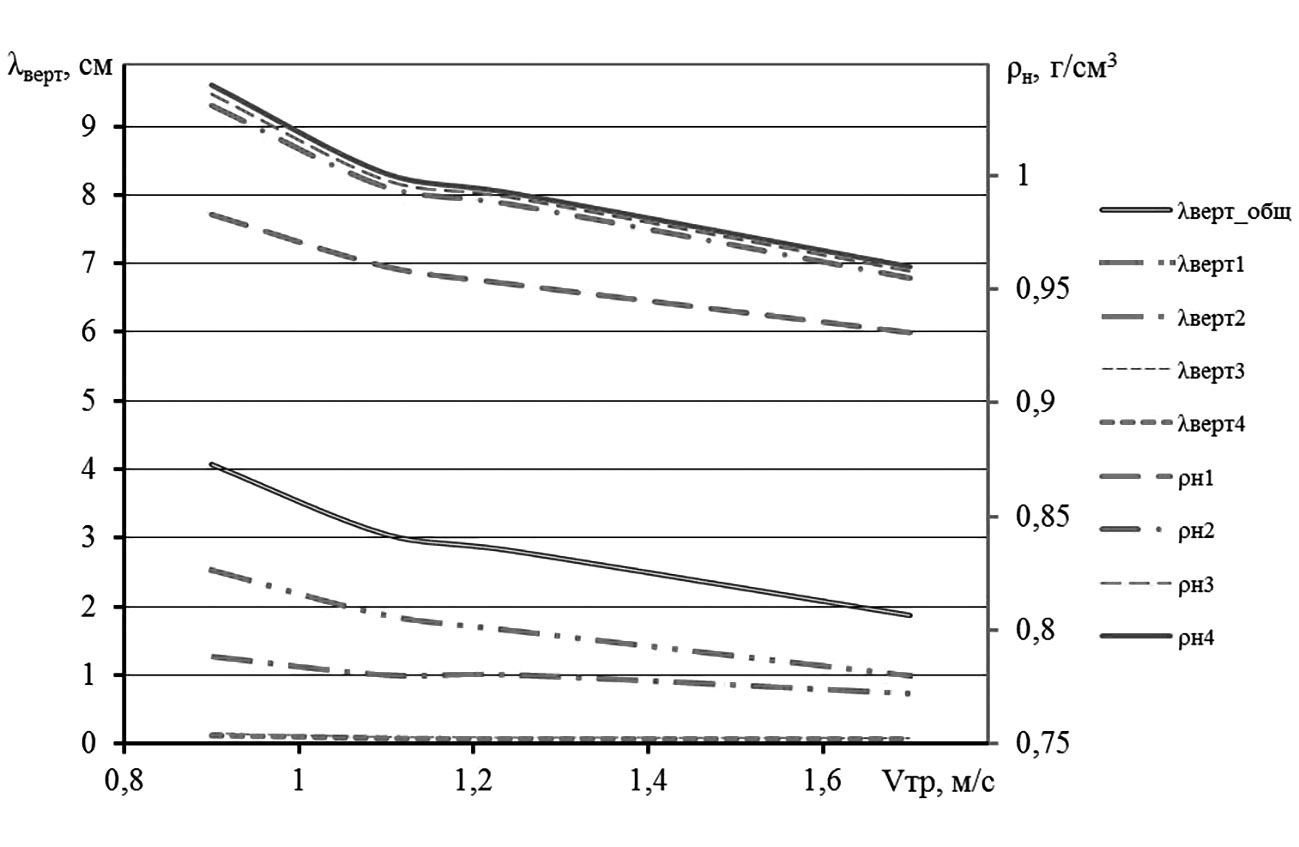
Моделирование на ЭВМ влияния скорости перемещения трактора в свободном режиме (Ркр=0 кН) на значения общей вертикальной деформации почвы и ее плотность после прохода трактора приведено на рис. 5.
Рис. 5. Влияние скорости трактора на развитие вертикальных деформаций слоя λверт1 и плотности почвы ρнi под опорными катками трактора. / Fig. 5. Tractor velocity impact on the development of a soil layer vertical deformation λверт1 and of a soil compaction ρнi under lower track wheels.
Из рисунка видно, что с увеличением скорости трактора уменьшается время взаимодействия гусеничного движителя со слоем почвы. Почва не успевает оседать, вследствие чего максимальная осадка и ее плотность после прохода трактора на больших скоростях уменьшаются. При этом повторяется ранее отмеченная закономерность формирования наибольших деформаций слоя почвы под первыми двумя по ходу движения трактора катками из-за смещения вперед центра давления при Ркр=0 кН. Под третьим и четвертым опорными катками вертикальная деформация слоя почвы ничтожно мала (кривые этих деформаций сливаются на графике в нижней части рисунка).
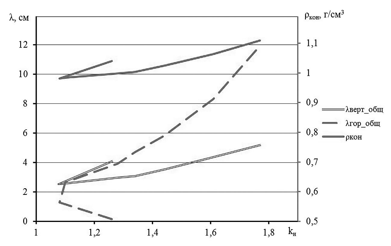
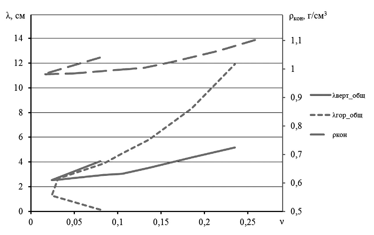
На рис. 6 и 7 показано влияние коэффициента смещения центра давления гусеничного движителя ν и коэффициента неравномерности распределения давления kн на общую вертикальную деформацию слоя почвы λверт_общ, конечную плотность ρкон и общую сдвиговую деформацию λгор_общ после прохода трактора.
Рис. 6. Влияние коэффициента смещения центра давления гусеничного движителя ν на общую вертикальную деформацию слоя почвы λверт__общ, конечную плотность почвы ρкон и общую сдвиговую деформацию λгор_общ после прохода трактора. / Fig. 6. Impact of a shift factor of the crawler unit center ν on general vertical deformation of a soil layer λверт__общ, final soil compaction ρкон and general shear strain λгор_общ after a tractor pass.
Рис. 7. Влияние коэффициента неравномерности распределения давления kн на общую вертикальную деформацию слоя почвы λверт__общ, конечную плотность почвы ρкон и общую сдвиговую деформацию λгор_общ после прохода. / Fig.7. Impact of a irregular press distribution coefficient kн on general vertical deformation of soil layer λверт__общ, final soil compaction ρкон and general shear strain λгор_общ after a tractor pass.
Из рисунков видно, что влияние коэффициентов ν и kн проявляется неоднозначно на глубину колеи и плотность почвы. При значениях ν=0,08 и kн=1,27 наблюдаются существенные различия искомых показателей. Так, например, общая глубина колеи λверт_общ принимает значения 4,07 см и 2,57 см. Здесь смещение центра давления относительно середины опорной поверхности гусеницы хд берется при расчетах в известных выражениях по модулю [12], при этом первое значение получено для свободного режима, при котором Ркр=0. Поэтому здесь нет ошибочных результатов расчетов, а только лишь подтверждается заключение о наименьшем уплотнении почвы при смещении центра давления назад, которое обеспечивается работой трактора с нагрузкой на крюке.
По мере увеличения крюковой нагрузки центр давления размещается в области середины опорной поверхности гусеницы. Здесь коэффициент неравномерности распределения давлений невысок. И лишь начиная со значения ν=0,15 деформация и плотность почвы начинают заметно возрастать. При этом kн=1,44 и в дальнейшем изменяется до момента, при котором максимальное давление превышает среднее почти в 2 раза. Этот эффект проявляется при сильном смещении весовой нагрузки к задним опорным каткам, то есть при больших тяговых сопротивлениях.
Анализ результатов расчета показателей работы гусеничного трактора показал, что тяговая нагрузка на крюке может оказывать как положительное, так и отрицательное влияние на уплотняющее воздействие гусеничного движителя на почву. При небольших значениях нагрузки на крюке Ркр в диапазоне от 5 до 15 кН (хд=0,025÷0,19 м) формируются минимальная глубина колеи и минимальное значение плотности почвы после гусеничного прохода трактора, что положительно его характеризует с экологической точки зрения. Такая крюковая нагрузка для данного трактора благоприятно формирует общую эпюру нормальных давлений под гусеницами. Отсутствие или значительное увеличение Ркр обеспечивает существенный рост смещения центра давления и неравномерности распределения давлений, вызывая интенсивный процесс образования глубины колеи. Это приводит к увеличению сопротивления движению и конечной плотности почвы после прохода трактора, что негативно сказывается на состоянии плодородного слоя и на урожайности сельскохозяйственных культур.
ЗАКЛЮЧЕНИЕ
Представленная методика и полученные результаты позволяют проанализировать степень воздействия гусеничного движителя на слой почвы с учетом изменения его физико-механических (в том числе и реологических) характеристик.
Оценивая влияние формируемых тяговых нагрузок на различных операциях при возделывании сельскохозяйственных культур, выполняемых машинно-тракторным агрегатом, появляется реальная возможность в прогнозировании и выборе наиболее рационального распределения давления трактора по длине опорной ветви гусеницы.
При проектировании новых конструкций гусеничных тракторов в рамках применяемого реологического подхода следует учитывать обоснованный выбор в размещении продольной координаты центра тяжести трактора при работе на различных почвах с теми или иными параметрами состояния почвенного слоя.
Появляется реальная возможность расчетной оценки применения существующей техники на данном почвенном фоне или разработка рекомендаций по ее эффективному применению на основе получаемых опытных данных по реологическим характеристикам конкретных пахотных площадей.
ДОПОЛНИТЕЛЬНАЯ ИНФОРМАЦИЯ
Вклад авторов. С.В. Носов, Н.Е. Перегудов ― поиск публикаций по теме статьи, написание текста рукописи, редактирование текста рукописи, создание изображений. Все авторы подтверждают соответствие своего авторства международным критериям ICMJE (все авторы внесли равноправный вклад в разработку концепции, проведение исследования и подготовку статьи).
Конфликт интересов. Авторы декларируют отсутствие явных и потенциальных конфликтов интересов, связанных с публикацией настоящей статьи.
Источник финансирования. Авторы заявляют об отсутствии внешнего финансирования при проведении исследования.
ADDITIONAL INFORMATION
Funding source. S.V. Nosov, N.E. Peregudov contributed to analysis of research topic publications, data processing and images design, edited the manuscript. All authors certify that they meet the ICMJE international criteria for authorship.
Competing interests. The authors declare no any transparent and potential conflict of interests in relation to this article publication.
Authors’ contribution. Authors state that this research was not supported by any external sources of funding.
About the authors
Sergei V. Nosov
Lipetsk State Technical University
Author for correspondence.
Email: nosovsergej@mail.ru
ORCID iD: 0000-0001-8427-1606
SPIN-code: 2387-5413
DSc in Engineering, Professor
Russian Federation, 30 B.B, Moskovskaya street, Lipetsk, 398055Nicholay Е. Рeregudov
Lipetsk State Technical University
Email: ne_peregoodov@mail.ru
SPIN-code: 9664-2946
Candidate in Engineering, Associate Professor
Russian Federation, LipetskReferences
- Nosov SV. Mobil'nye energeticheskie sredstva: vybor parametrov i rezhimov raboty cherez reologicheskie svoistva opornogo osnovaniya: monografiya. Lipetsk: LGTU; 2006. (In Russ).
- Peregudov NE, Nosov SV. Gusenichnyi traktor: issledovaniya osobennostei vzaimodeistviya so sloem pochvy: monografiya. Elets: Eletskii gosudarstvennyi universitet im. I.A. Bunina; 2020. (In Russ).
- Nosov SV, Peregudov NE. Matematicheskaya model' vzaimodeistviya gusenichnogo dvizhitelya s opornym osnovaniem. Traktory i sel'skokhozyaistvennye mashiny. 2006;(11):29–33. (In Russ).
- Peregudov NE, Nosov SV. Ways to reduce sealing effects propulsion of tracked vehicles on the supporting base through its rheological properties. Proceedings of the Russian science conference «Progress transportnykh sredstv i sistem – 2009»; 2009 Oct 13–15; Volgograd. Available from: https://www.elibrary.ru/item.asp?id=28886152. (In Russ).
- Peregudov NE, Nosov SV. (Lipetsk State Technical University, 30, Moskovskaya street, Lipetsk, Russia, 398600). Assessment of the sealing ability of a caterpillar tractor. Natsional'nyi informatsionnyi fond neopublikovannykh dokumentov, 2008 Mar. Inv. Nomer VNTITs №GR 50200800593. Inv. Nomer OFAP № 10182. (In Russ).
- Peregudov NE, Nosov SV. (Lipetsk State Technical University, 30, Moskovskaya street, Lipetsk, Russia, 398600). The calculation of the gauge, shear strain and density of soil after the passage of the crawler tractor with 4-bearing suspension balancer. Gosudarstvennyi informatsionnyi fond neopublikovannykh dokumentov, 2013 Oct. Inv. Nomer VNTITs №GR 50201350981. Inv. Nomer OFAP № I131001113713. (In Russ).
- Nosov SV, Peregudov NE. Deformation and change of density of soil under the caterpillar machine's track. Traktory i sel''khozmashiny. 2009;(11):14–16. (In Russ).
- Peregudov NE, Nosov SV. A study of the development of deformation under the truck tracked vehicles in operation. Proceedings of the VIII Russian science conference «Problemy i dostizheniya avtotransportnogo kompleksa»; 2010 Apr 20; Yekaterinburg. Available from: https://www.elibrary.ru/item.asp?id=28892603. (In Russ).
- Nosov SV, Peregudov NE. Evaluation of soil compaction by caterpillar movers using the theory of hereditary creep. Proceedings of the Russian science conference «Inzhenernoe obespechenie innovatsionnykh tekhnologii v APK»; 2015 Oct 15–17; Michurinsk. Available from: https://www.elibrary.ru/item.asp?id=28632355. (In Russ).
- Patent RUS №2365916/ 27.08.2009. Byul. №24. Nosov SV, Peregudov NE, Kindyukhin YY. Device for investigation of physical-mechanical characteristics of soil layer. Available from: https://www.elibrary.ru/item.asp?id=37555433. (In Russ).
- Patent RUS № 50201350981/ 02.10.2013. Peregudov NE, Nosov SV. The calculation of the gauge, shear strain and density of soil after the passage of the crawler tractor with 4-bearing suspension balancer. Available from: https://www.elibrary.ru/item.asp?id=32718762. (In Russ).
- Ksenevich IP, Skotnikov VA, Lyasko MI. Khodovaya sistema – pochva – urozhai. Moscow: Agropromizdat; 1985. (In Russ).
Supplementary files










