Results of the simulation of tracked vehicles ride considering the interaction with a deformable road
- Authors: Nosov S.V.1, Peregudov N.E.1
-
Affiliations:
- Lipetsk State Technical University
- Issue: Vol 89, No 2 (2022)
- Pages: 121-132
- Section: Theory, designing, testing
- Submitted: 20.04.2022
- Accepted: 30.07.2022
- Published: 18.11.2022
- URL: https://journals.eco-vector.com/0321-4443/article/view/106446
- DOI: https://doi.org/10.17816/0321-4443-106446
- ID: 106446
Cite item
Full Text
Abstract
BACKGROUND: Tracked vehicles motion on a deformable road, which can be, for instance, cross-country terrain or field of various agricultural plants, is defined with various indicators. Depending on environment conditions, road surface properties etc., some of these indicators are chosen as main criteria of vehicles operational and technical performance assessment. Search of optimal parameters and operation modes of tracked vehicles demands using numerical modelling of considered processes.
AIMS: Using imitational modelling, to obtain visual representation of influence of path unevenness, path microprofile, tracked vehicle velocity, its layout, nature of relation between particular unit assemblies, systems and their properties, physical and mechanical road properties regarding rheological approach to determination of them, state parameters of road material on change of tracked vehicles ride comfort indicators.
METHODS: Results of simulation of ride comfort indicators for various tracked vehicles, obtained with the known earlier mathematical model, which considers design and technological properties of them as well as road surface state parameters, presented as physical and mechanical properties, based on a well-known rheological approach, are presented in the article. Agricultural tractors of different mass and the S-300 anti-aircraft missile systems, based on the 832M tracked chassis, are considered as tracked vehicles.
RESULTS: Analysis of obtained relations, based on use of imitational modelling, revealed a set of patterns of tracked vehicles ride comfort indicators changing. It is defined that consideration of rheological characteristics and state parameters of a soil layer helps to improve simulation accuracy significantly. The obtained data shows the influence of velocity, mass and base length of tracked vehicles, offset of pressure center of caterpillar mover and other design parameters on growth of vertical and longitudinal-angular oscillations.
CONCLUSIONS: The conducted study contributes to optimal development of tracked vehicles and assembling of different machine-tractor units, performing demanded technological operations in different conditions with specific road surface state parameters.
Keywords
Full Text
Introduction. The movement of tracked vehicles on a deformable support base, which can be, for example, rough terrain or a field of various crops, is characterized by different indicators. Depending on the environmental conditions, the parameters of the support base, etc., some of these indicators are selected as the main criteria for assessing the operational and technical characteristics of machines. The task of finding the optimal parameters and modes of operation of tracked vehicles can be so complicated that it is necessary to apply mathematical modeling of the processes under consideration. In this case, the number of factors taken into account can be so large that the question arises of a sufficiently high degree of uncertainty in the processes of interaction of tracked vehicles with a deformable support base. Here, such factors can and are forced to appear, which were not previously paid enough attention when applying the mathematical modeling of the processes under consideration. Thus, in recent periods of scientific research on this problem, it has been established that in such situations it is necessary to take into account the rheological properties of a deformable support base, moreover, using the theory of hereditary creep of elastic-viscous-plastic materials, when the functions of creep rates should be described by exponential-power-law expressions, which provides more deep penetration into the essence of the physical processes of interaction of tracked vehicles and their individual systems with a supporting base and allows improving their operational and technical characteristics [1 - 4]. During the movement of tracked vehicles on an uneven deformable support base with different rheological properties, forced vibrations of both the machines and the seats of the operator's workplace occur. For the tracked vehicles themselves, these vibrations are estimated by the amplitude values of vertical and longitudinal-angular movements, which determines their movements such as bouncing and galloping. At the same time, to simplify research, other oscillations are often neglected, reducing the problem to a planar one. The work [5] presents a mathematical model for evaluating the smoothness of a tracked tractor, which makes it possible to evaluate vertical and longitudinal-angular vibrations depending on the roughness of the track, the microprofile of the track, the speed of the tracked vehicle, its layout, the nature of the connections of individual units and systems, as well as their properties, physical and mechanical properties of the supporting base, taking into account the rheological approach to their determination, the parameters of the state of its material. This model is accepted as the main one in assessing the smoothness of the course of tracked vehicles of two types: a tracked agricultural tractor and a military unified anti-aircraft missile system S-300V4, adopted by the Russian army. This article presents the results of simulation modeling of the smooth running of tracked vehicles according to the mathematical model presented in [5] with an assessment of the influence on their vertical and longitudinal-angular oscillations of the main operational and structural characteristics of the machines, as well as the state parameters of the support base, expressed through rheological characteristics, which determines its scientific novelty. Purpose of research. To obtain, by means of simulation modeling, graphical representations of the influence of track roughness, track microprofile, tracked vehicle speed, its layout, the nature of the connections of individual units and systems, as well as their properties, the physical and mechanical properties of the support base, taking into account the rheological approach to their determination, state parameters of its material on the change in the smoothness of the tracked vehicles. Materials and methods. The implementation of the research goal is based on the previously developed method for assessing the compacting effect of a caterpillar mover on the soil layer [2 - 4] and the method for modeling the smoothness of the tracked vehicles [5]. The initial data for obtaining the results of mathematical modeling are as follows. On fig. 1 shows a dynamic model of a tracked vehicle for studying vertical and angular vibrations, taking into account the rheological properties of an uneven support base. When implementing this model, the following assumptions were made: 1) the tracked vehicle moves in a straight line and at a constant speed; 2) the profile of the supporting surface under the right and left propellers of the machine is the same; 3) caterpillars maintain constant contact with the supporting surface; 4) transmission torsional vibrations are not taken into account, and there are no movement resistance forces; 5) the underlying layer in relation to the deformable layer is absolutely rigid; 6) a rigidly interlocked suspension of road wheels is adopted; 7) external mechanical effects on the deformable layer of the support base from the underlying layer are given by the functions ; , (one) where Аu , Bu , A , B - amplitude values of vibrations; - frequency of external mechanical action.
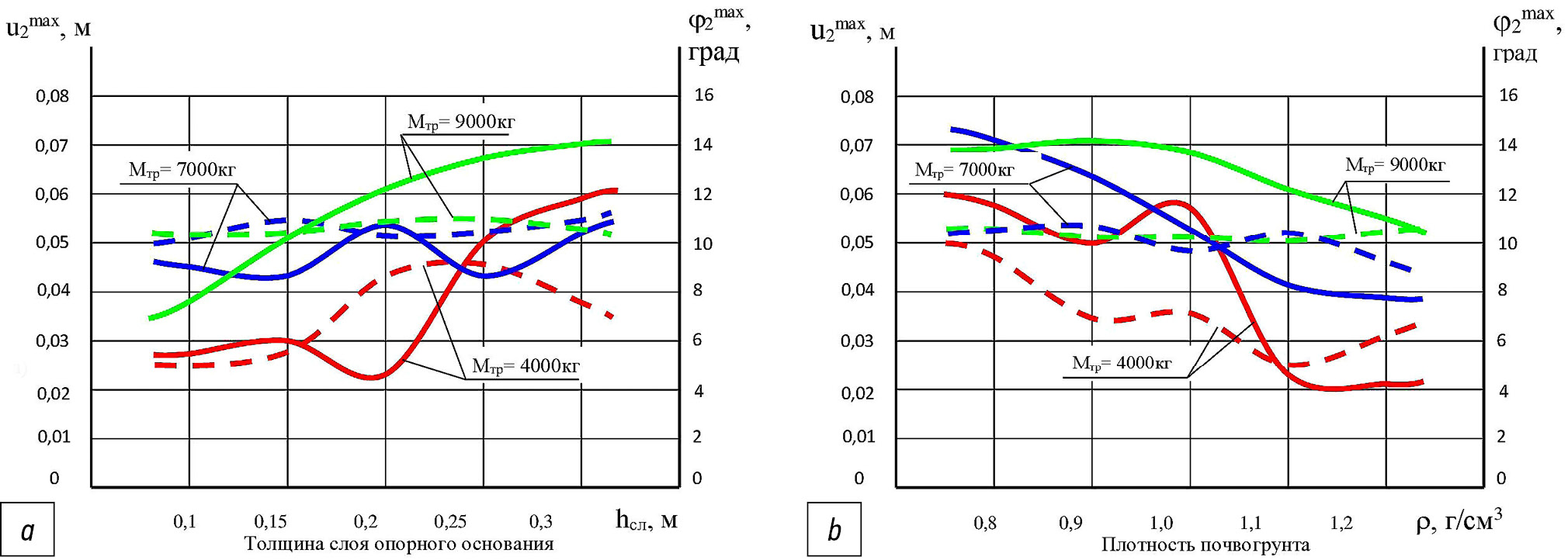
Rice. 1. Dynamic model of a caterpillar tractor for the study of vertical and angular oscillations, taking into account the rheological properties of the support base: 1 - underlying uneven layer; 2 - deformable layer of the supporting base; 3 - tracked vehicle as an absolutely rigid product with mass m2; ui , i – vertical and angular displacements of the underlying layer (i = 1) and tracked vehicle (i = 2); l is the distance between the center of gravity of the machine and the middle of the bearing surface of the tracks; L - the length of the bearing surface of the caterpillar In the i-th section of the deformable layer of the support base, the displacements are determined by the expression . (2) The vertical and angular reactions of the deformable layer on the tracked vehicle are determined by summing the vertical reactions Px(t) and the moments from them xPx(t) along the length of the bearing surface L: ; (3) , (4) where Е = (ЕFк)/((t)hsl) – display of the instantaneous modulus of deformation per unit thickness of the deformable layer of the support base; Fc – stamp area; (t) is the relative deformation of the support base layer when it is loaded through a stamp according to the Heaviside law [6]; hsl is the thickness of the deformable layer of the support base; k = 123 is the similarity function of creep curves for various state parameters of the deformable layer of the support base (1), lug parameters (2) and force action characteristics (3), determined experimentally under invariant conditions ; S(t-) = Ae-tt-1 – relaxation kernel [6]; A, , - core parameters determined from the basic creep curve of the support base layer obtained during stamp tests with contact stresses k; e is the base of natural logarithms; t is the current time; E - instantaneous modulus of deformation of the deformable layer of the supporting base , (5) where K(t-) is the creep kernel [6]. When solving the system of equations (1) - (5), calculation formulas [5] were obtained, by which it is possible to determine the characteristics of vertical u2(t) and longitudinal-angular 2(t) vibrations of a tracked vehicle when moving on an uneven support base with different rheological properties. At the same time, it is possible to evaluate the effect of its main design parameters on the vibrations of a tracked vehicle. Due to complex mathematical expressions, these formulas are not given in this article. Results and their analysis. On fig. 3 - 4 shows graphs of changes in vertical and longitudinal-angular oscillations of caterpillar tractors weighing 4000, 7000 and 9000 kg, depending on the parameters of the state of the soil layer, and in fig. 5 - 8 - depending on some design parameters of the tractors and the caterpillar mover when moving across the plowing with continuous cultivation with a characteristic of irregularities according to Anilovich V.Ya. [7]. Here, the initial values in the simulation were as follows (Fig. 2): soil moisture 20%, soil density 1 g/cm3, soil layer thickness 0.3 m, parameters of the base creep curve = 0.075, = 2.0, A = 0.077 , Еbase = 2.5 MPa, tractor speed 2 m/s, length of irregularities 3 m, displacement of the center of gravity of the tractor from its middle forward 0.2 m, track width 0.35 m, longitudinal base of the tractor 2 m, height, width and length of the tractor respectively 2 m , 2m and 3.5m, installation angle, height and pitch of the lugs are 45o, 2cm and 15cm, respectively, tractor pulling force Fdraught = 10 kN. Rice. 2. Screen form of the program for calculating the smooth running indicators of caterpillar tractors Rice. Fig. 3. Influence of the thickness of the soil layer (a) and its density (b) on the vertical (solid lines) and longitudinal-angular oscillations (dashed lines) of a caterpillar tractor Rice. Fig. 4. Influence of soil layer moisture (a) and its deformation modulus (b) on vertical (solid lines) and longitudinal-angular vibrations (dashed lines) of a caterpillar tractor Rice. Fig. 5. Influence of the installation angle of the lugs (a) and their height (b) on the vertical (solid lines) and longitudinal-angular oscillations (dashed lines) of a caterpillar tractor Rice. Fig. 6. Influence of lugs pitch (a) and track width (b) on vertical (solid lines) and longitudinal-angular oscillations (dashed lines) of a caterpillar tractor Rice. Fig. 7. Influence of the longitudinal base of the tractor (a) and displacement of the center of pressure (b) on the vertical (solid lines) and longitudinal-angular vibrations (dashed lines) of a caterpillar tractor Rice. Fig. 8. Influence of the mass of a caterpillar tractor (a) and traction force on the hook (b) on vertical (solid lines) and longitudinal-angular oscillations (dashed lines)
The uneven change in the desired indicators is explained by the delay in time effects on the system sequentially from the front and rear areas of the supporting surface. Therefore, depending on the angular velocity of the longitudinal-angular oscillations and the changing modulus of deformation of the support base layer along the length of the support surface, the oscillations increase or decrease. The maxima and forms of the presented characteristics can change and depend not only on the speed of movement and the load on the tractor hook, but also on the main design parameters, such as the mass of the tractor, the length and width of the track bearing surface, and the displacement of the center of pressure of the tractor. There is a significant influence of the parameters of lugs for light tractors. A significant influence of the change in the state parameters of the support base layer, in combination with the change in the nature of the force impact on it from the side of the tractor chassis, on the amplitude values of vertical and longitudinal-angular vibrations, changing their values up to 2 ... 2.8 times, has been established. At the same time, the change in soil moisture most significantly affects the change in oscillations for all tractors, and for light tractors, the thickness of the deformable layer of the supporting base is also of greater importance. On fig. 10 - 11 shows graphs of changes in the vertical oscillations of the S-300V3 or S-300V4 anti-aircraft missile system (SAM) with a mass of 45400 kg, depending on the parameters of the state of the soil layer, and in fig. 12 - 15 - depending on some of their design parameters when driving over rough terrain with amplitude values of vertical displacements Вu = 0.2 m and angular displacements В = 10о. At the same time, the initial values for simulation modeling were the following (Fig. 9): soil moisture 20%, soil density 1 g/cm3, soil layer thickness 0.3 m, parameters of the basic creep curve are similar to the conditions of movement of caterpillar tractors (for comparison) = 0.075 , = 2.0, A = 0.077, Ebase = 2.5 MPa, the speed of the anti-aircraft missile system is 2 m/s, the length of the irregularities l1 = 13 m and l1 = 20 m, the displacement of the center of gravity of the S-300V3 and S- 300B4 from the middle of the bearing surface of the track back 0.472m, track width 0.58m, longitudinal base 5m, height, width and length of the air defense system, respectively, 3.252 m, 3.380 m and 9.400 m, installation angle, height and pitch of the lugs, respectively 90o, 2.5 cm and 9.75 cm, the traction force of the air defense system Fthrust = 0 kN. Rice. 9. Screen form of the program for calculating the indicators of smooth running anti-aircraft missile system based on tracked chassis 832M Rice. 10. Dependence of the vertical oscillations of the S-300V3 air defense system on the thickness of the soil layer (a) and its density (b) Rice. 11. Dependence of the vertical oscillations of the anti-aircraft missile system C-300 on the moisture content of the soil layer (a) and its modulus of deformation (b) Rice. 12. Dependence of the vertical oscillations of the S-300 anti-aircraft missile system from the angle of installation of the lugs (a) and their height (b) Rice. 13. Dependence of the vertical oscillations of the S-300 anti-aircraft missile system from the step of the lugs (a) and the width of the caterpillar (b) Rice. Fig. 14. Dependence of vertical (solid lines) and longitudinal-angular oscillations (dashed lines) of the S-300 anti-aircraft missile system from the longitudinal base (a) and the displacement of the center of pressure (b) Rice. 15. Dependence of the vertical oscillations of the S-300 anti-aircraft missile system on the speed of movement (a) and the vertical movement of the support profile (b) The calculations showed that the longitudinal-angular oscillations of the S-300V3 or S-300V4 air defense systems based on the 832M tracked chassis, with the given initial values of the parameters, were within 4 ... most importantly, the vertical coordinate of the common center of gravity, which is 2.102 m from the surface of the supporting base or the supporting surface of the caterpillar. Such insignificant values of longitudinal-angular oscillations confirm the correctness of the choice of the design solutions of the anti-aircraft missile system at the time, which ensures the minimum values of inertial loads of the structural arrangement of various nodes and systems, and, consequently, internal dynamic loads in these nodes and systems, which significantly increases their resource metrics. The layout of the S-300V3 and S-300V4 air defense systems, which provided a horizontal displacement of the center of gravity (center of pressure) relative to the middle of the track bearing surface by 0.472 m back, also made it possible to reduce the amplitude values of the vertical oscillations of the air defense system, which vary differently depending on various factors of the oscillatory systems presented in the mathematical model (1) - (5). It should be noted in a special way that further displacement of the center of pressure of the caterpillar mover back in the direction of the air defense system leads to a significant decrease in the traction and coupling qualities of the undercarriage system, an increase in resistance to movement, slippage and a decrease in the overall cross-country ability of the air defense system, which is unacceptable in especially difficult conditions of movement.
As shown by separate calculations, the displacement of the center of gravity of the vehicle by at least 0.2 m forward would lead to significant and unacceptable increases in the vertical oscillations of the air defense system in various operating conditions, sharply reducing the smoothness of the tracked vehicle in question. Many years and even decades of efforts of designers and testers of military equipment, through numerous trial and error, nevertheless made it possible to create an almost perfect S-300V3 or S-300V4 anti-aircraft missile system in terms of the high reliability of the 832M tracked chassis and the like. Such time-consuming design, construction, manufacture and testing of the considered air defense systems are explained by the absence at that time of the development of science of a rheological approach to assessing the physical and mechanical characteristics of the support base of tracked vehicles, taking into account the time factor and the rate factor of change in contact pressures under the tracked propulsion, which were not previously received little or no attention. The absence at that time of modern computer technology, software and IT-technologies significantly hampered the effective design and creation of diverse technical systems, including various mobile power facilities. Conclusion. The presented mathematical model for assessing the smooth running parameters of tracked vehicles made it possible to obtain the results of simulation modeling of oscillations of tracked tractors and the S-300 anti-aircraft missile system based on the 832M tracked chassis when moving along an uneven deformable support base with a description of its characteristics based on a recently developed rheological approach. It has been established that for less heavy tracked vehicles, the smoothness of the ride changes much more intensively depending on various influencing factors, which primarily include structural and technological, as well as environmental conditions that affect the change in the state parameters of the support base. Also, the longitudinal base (the length of the bearing surface of the track) of the machine and the displacement of the center of pressure of the caterpillar mover from the middle of its bearing surface have a significant impact on the change in the smoothness characteristics of the tracked vehicles. Simulation modeling of the smooth running of the S-300 anti-aircraft missile system confirmed the adequacy of the applied mathematical model and the optimal choice of the design parameters of the tracked vehicle. The most important of all was the parameter of the displacement of the center of gravity relative to the middle of the bearing surface of the track of the 832M tracked chassis.
About the authors
Sergei V. Nosov
Lipetsk State Technical University
Author for correspondence.
Email: nosovsergej@mail.ru
ORCID iD: 0000-0001-8427-1606
SPIN-code: 2387-5413
Dr. Sci. (Engin.), Professor, "Vehicles and Technosphere Safety" Department
Russian Federation, 30 Moskovskaya street, B.B, Lipetsk, 398055Nicholay E. Peregudov
Lipetsk State Technical University
Email: ne_peregoodov@mail.ru
ORCID iD: 0000-0001-8352-3939
SPIN-code: 9664-2946
Cand. Sci. (Engin.), Associate Professor, "Vehicles and Technosphere Safety" Department
Russian Federation, LipetskReferences
- Nosov SV. Mobil’nye energeticheskie sredstva: vybor parametrov i rezhimov raboty cherez reologicheskie svoistva opornogo osnovaniya. Lipetsk: LGTU; 2006. (In Russ).
- Peregudov NE, Nosov SV. Gusenichnyi traktor: issledovaniya osobennostei vzaimodeistviya so sloem pochvy. Elets: Eletskii gosudarstvennyi universitet im. I.A. Bunina; 2020. (In Russ).
- Nosov SV, Peregudov NE. Matematicheskaya model‘ vzaimodeistviya gusenichnogo dvizhitelya s opornym osnovaniem. Traktory i sel’skokhozyaistvennye mashiny. 2006;(11):29–33. (In Russ).
- Nosov SV, Peregudov NE. Razvitie deformatsii i izmenenie plotnosti pochvogrunta pod trakom gusenichnoi mashiny. Traktory i sel’khozmashiny. 2009;(11):14–16. (In Russ).
- Nosov SV. Mathematical modeling of the dynamics of terrestrial transport-technological means in interaction with a deformable support base. Lipetsk: Izd-vo Lipetskogo gosudarstvennogo tekhnicheskogo universiteta; 2016. (In Russ).
- Koltunov MA. Polzuchest‘ i relaksatsiya. Moscow: Vysshaya shkola; 1976. (In Russ).
- Barskii IB, Anilovich VYa, Kut’kov GM. Dinamika traktora. Moscow: Mashinostroenie; 1973. (In Russ).
Supplementary files


















