Prediction of nitrogen oxide emissions from diesel exhaust gases when using composite fuel
- Authors: Buzikov S.V.1
-
Affiliations:
- Vyatka State University
- Issue: Vol 89, No 6 (2022)
- Pages: 377-385
- Section: Environmentally friendly technologies and equipment
- Submitted: 29.07.2022
- Accepted: 17.08.2022
- Published: 03.04.2023
- URL: https://journals.eco-vector.com/0321-4443/article/view/109533
- DOI: https://doi.org/10.17816/0321-4443-109533
- ID: 109533
Cite item
Abstract
BACKGROUND: The problem of using composite fuel (CF) in diesel engines consists in a wide variation of their physicochemical properties, which affect the emission of nitrogen oxides (NOx) with ex-haust gases (EG). Therefore, the predictive assessment of the formation of NOx with EG when using CF is very relevant.
AIMS: Predictive assessment of quantitative NOx emission with diesel EG when using various types and compositions of CF. Scientific novelty lies in development of the method of prediction of NOx emission by a diesel engine when using CF.
METHODS: The method of prediction of quantitative NOx emissions with diesel EG regarding the use of various CF kinds and compositions has been developed. Predictive indicators of NOx emissions have been defined. Multi-parameter characteristics of NOx emission with EG of the D-245.582 diesel engine of 4ChN 11.0/12.5 size have been obtained experimentally. Degree of convergence of the experimental data with the calculated values is assessed.
RESULTS: As a result of the carried-out studies, it was theoretically established that the load (pe) increase from 0.2 to 1.0 MPa, the engine speed (n) decrease from 1800 to 1400 min-1 and decrease of mass fraction of rapeseed oil (RO) and ethanol (E) in CF from 40 to 20% lead to increased NOx emissions with diesel EG from 131 to 2225 ppm and from 75 to 1450 ppm respectively. The increase in NOx emissions with the EG from 152 to 2125 ppm for CF consisting of DF and RO and from 175 to 1550 ppm for CF consisting of DF and E in the above mentioned operating modes experimentally confirmed. The degree of convergence of the experimental data with the calculated values is 90.14%, which in turn indicates the possibility of using the developed methodology as a predictive indicator.
CONCLUSIONS: As a result of the studies, it was established that the developed method of prediction of quantitative NOx emissions with diesel EG is highly likely to use for preliminary assessment when various CF kinds and compositions are considered, as the degree of convergence of the experimental data with the calculated values, assessed with a statistical processing method and experimental error calculation, is 90.14%.
Full Text
ВВЕДЕНИЕ
На сегодняшний день достоверно установлено, что оксиды азота () образуются в камере сгорания дизеля путем окисления азота воздуха и азота, содержащегося в молекулах топлива [1]. Окисление азота происходит при температуре среды более 2000 К в замкнутом объеме путем химического взаимодействия с кислородом воздуха, содержащегося в свежем заряде, с образованием преимущественно монооксида азота () [1]. Механизм его образования по Зельдовичу является наиболее широко распространенным. Согласно данному механизму, выделяют пять основных реакций кинетической модели образования [2]. Так как основная часть реакций является эндотермической, то определяющее воздействие на эмиссию в отработавших газах (ОГ) дизеля оказывает преимущественно температура среды. Также эмиссия зависит от скорости охлаждения ОГ. При температурах ниже 650–700 К вне камеры сгорания дизеля, в выпускной системе, при наличии атмосферного воздуха начинает окисляться до диоксида азота () [3].
В работе [4] установлено, что в процессе расширения рабочего тела в цилиндре дизеля при значении коэффициента избытка воздуха (), когда температура газов в цилиндре уменьшается, концентрация не снижается до равновесного, а остается на уровне максимальной [1]. На большинстве рабочих режимов дизеля температура ОГ выше указанных значений, поэтому большая часть приходится на долю [4].
При использовании смесевого топлива (СТ), состоящего из дизельного топлива (ДТ) и альтернативного топлива (АТ), одним из параметров, оказывающих влияние на эмиссию в ОГ, являются физико-химические свойства применяемого СТ, а также изменение температуры и концентрации кислорода в ОГ при горении на начальной стадии такта расширения [6]. При сгорании СТ, как правило, доля азотсодержащих молекул в топливе ничтожно мала [7], поэтому в основном рассматривается окисление только атмосферного азота. При горении СТ в дизеле рабочая смесь почти всегда бедная и значение всегда больше 1, поэтому образование определяется количеством добавки АТ в СТ и температурой ее сгорания [1]. В таких условиях наиболее интенсивно атмосферный азот окисляется до момента достижения максимальной температуры цикла [4]. Содержание в ОГ дизеля составляет в среднем 90% всех [4]. Дальнейшее доокисление в происходит уже в атмосферном воздухе и может длиться в течение десятков часов [1].
В связи с вышесказанным возникает проблема использования того или иного вида и состава СТ, т. к. варьирование их физико-химических свойств, оказывающих влияние на эмиссию с ОГ дизеля, довольно широко. Поэтому прогнозная оценка образования в ОГ при использовании того или иного вида и состава СТ в зависимости от нагрузочного и скоростного режимов работы и технических характеристик дизеля является весьма актуальной.
ЦЕЛЬ ИССЛЕДОВАНИЙ
В связи с вышесказанным целью настоящей работы является прогнозная оценка количественной эмиссии с ОГ дизеля на всех рабочих нагрузочных и скоростных режимах работы при использовании различных видов и составов СТ. Научная новизна заключается в разработке методики прогнозирования эмиссии дизелем на всех его рабочих нагрузочных и скоростных режимах работы при использовании различных видов и составов СТ.
МАТЕРИАЛЫ И МЕТОДЫ
Для достижения поставленной цели необходимо решить несколько задач.
Во-первых, разработать методику прогнозирования количественной эмиссии с ОГ дизеля при работе на всех нагрузочных и скоростных режимах в зависимости от применения различных видов и составов СТ.
Во-вторых, определить прогнозные показатели эмиссии с ОГ дизеля.
В-третьих, экспериментально апробировать разработанную методику и дать оценку степени сходимости с расчетными значениями.
В работах [8, 9] для расчета прогнозной количественной эмиссии с ОГ дизеля использовалось выражение [10]:
, (1)
где: – плотность ОГ дизеля, кг/м3; – фактор, характеризующий свойства СТ, (К1/3·м3)/кг; – среднеобъемная температура выкипания 50% фракций СТ, К; – плотность СТ при нормальных условиях, кг/м3; – масса испарившегося СТ за период задержки воспламенения, кг; – коэффициент избытка воздуха; – цикловая подача СТ, кг/цикл.
Так как эмиссия с ОГ в выражении (1) имеет размерность плотности или массы (концентрации) в единице объема, кг/м3, то согласно ГОСТ [11] для представления ее в млн-1 проведен ряд преобразований:
, (2)
где – молярный объем при нормальных условиях, м3/моль; – молярная масса , кг/моль.
Как было утверждено ранее [4], содержание в ОГ дизеля составляет около 90% всех , исходя из этого, определяли молярный объем :
, (3)
где , – молярные объемы и при нормальных условиях, м3/моль.
Тогда молярную массу находили:
, (4)
где , – молярные массы и при нормальных условиях, кг/моль.
Плотность ОГ дизеля на основании ранее проведенных нами исследований определяли [12]:
, (5)
где – массовый часовой расход воздуха дизелем, кг/ч; – массовый часовой расход СТ дизелем, кг/ч; – универсальная газовая постоянная, Дж/(моль·К); – температура воздуха, К; – относительная влажность воздуха, %; – парциальное давление насыщенного водяного пара, Па; – молярная масса воды, кг/моль; – абсолютное атмосферное давление, Па; – молярная масса сухого воздуха, кг/моль; – температурный коэффициент объемного расширения воды, K-1; – температура воздуха при нормальных условиях, К; – плотность воды при температуре воздуха , кг/м3; – суммарный дополнительный объем ОГ дизеля, образующий при сгорании 1 кг СТ, м3/кг.
Массовый часовой расход воздуха дизелем на основании ранее проведенных нами исследований находили [12]:
, (6)
где – литраж дизеля, л; – частота вращения коленчатого вала дизеля, мин-1; – коэффициент дозарядки цилиндров дизеля; – геометрическая степень сжатия; – давление во впускном коллекторе дизеля, МПа; – потери давления за счет сопротивления впускной системы и затухания скорости движения заряда в цилиндре дизеля, МПа; – коэффициент очистки цилиндров дизеля; – давление окружающей среды, МПа; – коэффициент, учитывающий давление ОГ на номинальном режиме работы дизеля, 1/мин-2; – температура окружающей среды, К; – показатель политропы сжатия воздуха в компрессоре; – коэффициент, учитывающий подогрев свежего заряда на номинальном режиме работы дизеля, К/мин-1.
Потери давления за счет сопротивления впускной системы и затухания скорости движения заряда в цилиндре дизеля определяли [12]:
, (7)
где – коэффициент затухания скорости движения заряда в рассматриваемом сечении цилиндра; – коэффициент сопротивления впускной системы, отнесенный к наиболее узкому ее сечению; – радиус кривошипа, м; – число Пи; – диаметр поршня, м; – кинематический показатель; – площадь наименьшего сечения впускной системы, м2.
Коэффициент, учитывающий давление ОГ на номинальном режиме работы дизеля, находили:
, (8)
где – давление ОГ на номинальном режиме работы дизеля, МПа; – частота вращения коленчатого вала дизеля на номинальном режиме, мин-1.
Коэффициент, учитывающий подогрев свежего заряда на номинальном режиме работы дизеля, определяли:
, (9)
где – температура подогрева свежего заряда на номинальном режиме работы дизеля, К.
Массовый часовой расход СТ дизелем определяли исходя из равенства ввода теплоты в цилиндры дизеля [8, 9], т. е. на основании предположения, что:
, (10)
где , – эффективный удельный расход ДТ и СТ, соответственно, г/(кВт·ч); , – низшая расчетная теплота сгорания ДТ и СТ, соответственно, МДж/кг.
Тогда массовый часовой расход СТ дизелем находили:
, (11)
где – эффективная мощность дизеля, кВт.
Низшую расчетную теплоту сгорания ДТ или СТ определяли:
, (12)
где – массовые доли водорода, углерода, серы, азота и кислорода в 1 кг ДТ или СТ.
Парциальное давление насыщенного пара определяли согласно правилам Федерального Регистра [13]:
(13)
Суммарный дополнительный объем ОГ дизеля, образующийся при сгорании 1 кг СТ, находили:
(14)
где – дополнительные удельные объемы газа, образующиеся при окислении водорода, углерода, серы, азота и кислорода, содержащегося в СТ, м3/кг.
Дополнительный удельный объем водорода:
. (15)
Дополнительный удельный объем углерода:
. (16)
Дополнительный удельный объем серы:
. (17)
Дополнительный удельный объем азота:
. (18)
Дополнительный удельный объем кислорода:
, (19)
где – молярные объемы кислорода, азота и воды, монооксидов углерода и азота, диоксидов углерода, серы и азота, соответственно, м3/моль; – молярная атомная масса водорода, углерода, серы и азота, соответственно, кг/моль; – молярная масса молекулы азота и кислорода, соответственно, кг/моль.
Фактор, характеризующий свойства СТ, находили как:
, (20)
где , – среднеобъемная температура выкипания 50% фракций ДТ и АТ, соответственно, К; , – относительные молярные массы ДТ и АТ; , – плотность ДТ и АТ при 20 °С, кг/м3.
Плотность СТ при нормальных условиях находили из условия аддитивности компонентов, входящих в состав:
. (21)
Массу испарившегося СТ за период задержки воспламенения находили:
, (22)
где – период задержки воспламенения, с; – коэффициент остаточных газов; – коэффициент расхода топлива распылителем; – площадь проходных сечений распылителя, м2; – угловая скорость движения плунжера ТНВД (согласно характеристики, установленной заводом-изготовителем), м/град.
Период задержки воспламенения на основании ранее проведенных нами исследований можно определить [12]:
, (23)
где , , – вириальные коэффициенты; – давление заряда в цилиндре дизеля перед началом впрыска СТ, МПа; , – молярная теплоемкость свежего заряда при постоянном давлении и постоянной температуре, соответственно, Дж/(моль·К); – относительное содержание кислорода в свежем заряде; – эффективная энергия активации СТ, Дж; – температура свежего заряда в цилиндре дизеля перед началом впрыска СТ, К.
Коэффициент избытка воздуха находили как:
, (24)
Цикловую подачу СТ определяли:
. (25)
Для экспериментальной апробации разработанной методики прогнозирования эмиссии были проведены стендовые испытания работы дизеля Д-245.5S2 размерностью 4ЧН 11,0/12,5. Установка для проведения стендовых испытаний состояла из нагрузочного стенда RAPIDO, балансирной маятниковой машины SAK N670 и установленного на нем вышеназванного дизеля, а также приборной базы для определения эффективных и экологических показателей. На момент проведения испытаний все приборы прошли государственную поверку.
Исследования были проведены на 2 видах и 4 составах СТ. На первом этапе исследовали 2 состава СТ: ДТ и рапсовое масло (РМ) в пропорции ДТ-80%+РМ-20% и ДТ-60%+РМ-40% по массе, соответственно. На втором этапе также были проведены исследования на 2 составах СТ: из ДТ и этанола (Э) в пропорции ДТ-80%+Э-20% и ДТ-60%+Э-40% по массе, соответственно. Методика проведения стендовых испытаний соответствовала ГОСТ [11]. Необходимый состав СТ получали путем предварительного смешивания массовых долей составляющих компонентов ДТ и РМ или Э. После этого производилась заправка составом СТ топливного бака дизеля.
В связи с тем, что СТ, по сравнению с чистым ДТ, имеет меньшее значение удельной низшей расчетной теплоты сгорания, то для обеспечения паспортных значений эффективной мощности и максимального крутящего момента, согласно данным завода-изготовителя, необходимо было увеличить цикловую подачу во всем диапазоне рабочих режимов. В связи с этим была произведена перерегулировка топливного насоса высокого давления (ТНВД) по цикловой подаче путем увеличения активного хода плунжера на величину разницы значений низшей расчетной удельной теплоты сгорания СТ и чистого ДТ. Поэтому при проведении испытаний на различных видах и составах СТ каждый раз производилась данная процедура.
Перед проведением исследований были получены регулировочные характеристики дизеля на вышеназванных составах СТ, в результате которых определены значения установочного угла опережения начала впрыскивания топлива равного 26° до ВМТ.
РЕЗУЛЬТАТЫ И ОБСУЖДЕНИЕ
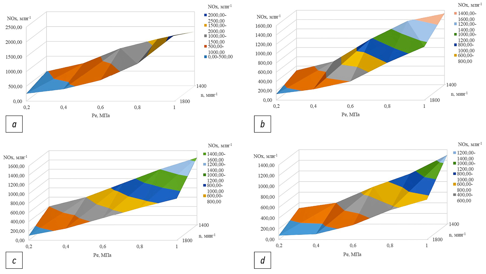
На рис. 1 представлены результаты теоретических исследований, расчета прогнозирования эмиссии с ОГ тракторного дизеля марки Д-245.5S2 размерностью 4ЧН 11,0/12,5 при использовании СТ, состоящих из ДТ + РМ и ДТ + Э, согласно выражениям со (2) по (25).
Рис. 1. Результаты расчетов зависимостей эмиссии NOx с ОГ дизеля в зависимости от pe и n при работе на: а – СТ, состоящем из ДТ-80%+РМ-20%; b – СТ, состоящем из ДТ-60%+РМ-40%; c – СТ, состоящем из ДТ-80%+Э-20%; d – СТ, состоящем из ДТ-60%+Э-40%.
Анализ полученных расчетных значений (рис. 1) свидетельствует о том, что увеличение с 0,2 до 1 МПа и уменьшение с 1800 до 1400 мин-1, а также массовой доли РМ и Э в СТ с 40 до 20% приводит к увеличению эмиссии с ОГ дизеля с 131 до 2225 млн-1 и с 75 до 1450 млн-1, соответственно.
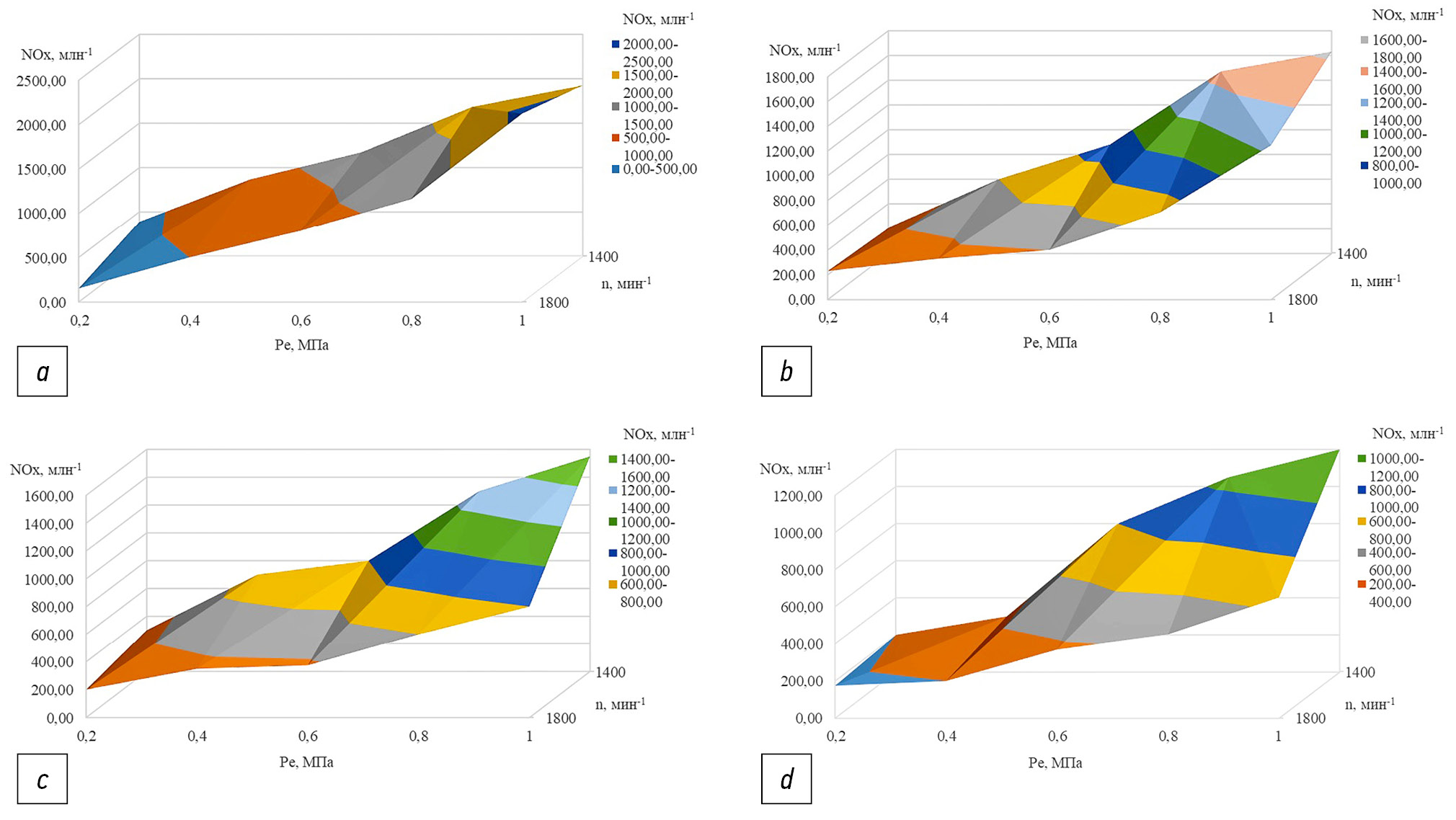
В результате проведенных стендовых испытаний были получены многопараметровые характеристики эмиссии в зависимости от нагрузки () и частоты вращения коленчатого вала тракторного дизеля () марки Д-245.5S2 размерностью 4ЧН 11,0/12,5 при работе на 2 видах и 4 составах СТ (рис. 2).
Рис. 2. Результаты экспериментальных данных зависимостей эмиссии NOx с ОГ дизеля в зависимости от pe и n при работе на: а – СТ, состоящем из ДТ-80%+РМ-20%; b – СТ, состоящем из ДТ-60%+РМ-40%; c – СТ, состоящем из ДТ-80%+Э-20%; d – СТ, состоящем из ДТ-60%+Э-40%.
Анализ полученных экспериментальных значений (рис. 2) свидетельствует о том, что увеличение с 0,2 до 1 МПа и уменьшение с 1800 до 1400 мин-1, а также массовой доли РМ и Э в СТ с 40 до 20% приводит к увеличению эмиссии с ОГ дизеля с 152 до 2125 млн-1 и с 175 до 1550 млн-1, соответственно.
Сходимость полученных экспериментальных данных с расчетными определенными по выражениям со (2) по (25) методом статистической обработки и расчета ошибок эксперимента составила 90,14%, что в свою очередь свидетельствует об удовлетворительной сходимости экспериментальных данных с расчетными. Абсолютная ошибка эксперимента не превысила 3,95%, а средняя абсолютная ошибка 2,84%, что свидетельствует об адекватности полученных экспериментальных данных.
ВЫВОДЫ И ЗАКЛЮЧЕНИЕ
- Разработана методика прогнозирования количественной эмиссии с ОГ дизеля при работе на всех нагрузочных и скоростных режимах в зависимости от применения различных видов и составов СТ.
- Определены расчетные значения количественной эмиссии с ОГ дизеля при работе на всех нагрузочных и скоростных режимах в зависимости от применения различных видов и составов СТ. Таким образом, увеличение с 0,2 до 1 МПа и уменьшение с 1800 до 1400 мин-1, а также массовой доли РМ и Э в СТ с 40 до 20% приводит к увеличению эмиссии с ОГ дизеля с 131 до 2225 млн-1 и с 75 до 1450 млн-1, соответственно.
- Экспериментально установлено, что увеличение с 0,2 до 1 МПа и уменьшение с 1800 до 1400 мин-1, а также массовой доли РМ и Э в СТ с 40 до 20% приводит к увеличению эмиссии с ОГ дизеля с 152 до 2125 млн-1 и с 175 до 1550 млн-1, соответственно.
- В результате проведенных исследований установлено, что с большей долей вероятности разработанную методику количественной эмиссии с ОГ дизеля можно использовать для предварительной оценки при использовании различных видов и составов СТ, т. к. сходимость полученных экспериментальных данных с расчетными значениями, определенными по выражениям со (2) по (25) методом статистической обработки и расчета ошибок эксперимента, составила 90,14%.
ДОПОЛНИТЕЛЬНО
Вклад авторов. Ш.В. Бузиков ― поиск публикаций по теме статьи, написание текста рукописи, редактирование текста рукописи, создание таблиц, экспертная оценка и утверждение финальной версии. Автор подтверждает соответствие своего авторства международным критериям ICMJE (автор внес существенный вклад в разработку концепции, проведение исследования и подготовку статьи).
Конфликт интересов. Автор декларирует отсутствие явных и потенциальных конфликтов интересов, связанных с публикацией настоящей статьи.
Источник финансирования. Автор заявляет об отсутствии внешнего финансирования при проведении исследования.
ADDITIONAL INFORMATION
Author’s contribution. Sh. V. Buzikov ― search for publications, writing the text of the manuscript, editing the text of the manuscript, editing the text of the manuscript, table creation, expert opinion, approval of the final version. The author confirms the compliance of his authorship with the international criteria of ICMJE (the author made a significant contribution to the development of the concept, research and preparation of the article).
Competing interests. The author declares no any transparent and potential conflict of interests in relation to this article publication.
Funding source. This study was not supported by any external sources of funding.
About the authors
Shamil V. Buzikov
Vyatka State University
Author for correspondence.
Email: shamilvb@mail.ru
ORCID iD: 0000-0003-3769-3253
SPIN-code: 3833-2048
Cand. Sci. (Tech.), Associate Professor at the Construction Engineering Department
Russian Federation, KirovReferences
- Assad MS, Penyazkov OG. Combustion products of liquid and gaseous fuels: formation, calculation, experiment. Minsk: Belaruskaya navuka; 2010. 258 р. (In Russ).
- Zeldovich YaB. Selected works. Chemical physics and hydrodynamics. Ed. by Yu.V. Kharitonov. Moscow: Nauka; 1984. 374 p. (In Russ).
- Likhanov VA, Saikin AM. Reduction of toxicity of automotive diesel engines. 2nd revised and updated. Moscow: Kolos; 1994. 221 p. (In Russ).
- Zvonov VA. Toxicity of internal combustion engines. 2nd ed., updated. Moscow: Mashinostroenie; 1981. 160 p. (In Russ).
- Markov VA, Kozlov SI. Fuels and fuel supply of multi-fuel and gas-diesel engines. Moscow: Publishing House Bauman Moscow State Technical University; 2000. 296 р. (In Russ).
- Dugin GS. Application of bioethanol fuel on motor transport. Alternative fuel transport. 2010;(5):48–51. (In Russ).
- Plotnikov SA. Creation of new alternative fuels. Scientific-methodological electronic journal «Concept». 2014;(S10):26–30. (In Russ).
- Kartashevich AN, Plotnikov SA, Tovstyka VS. The use of rapeseed oil-based fuels in tractor diesels. Kirov: Avangard; 2014. 144 p. (In Russ).
- Kartashevich AN, Plotnikov SA, Gurkov GN. Application of ethanol-containing fuels in diesel. Part I. Kirov: Avangard; 2011. 116 p. (In Russ).
- Kamfer GM. Scientific foundations of the effective use of fuels of various compositions in automotive diesel engines [dissertation abstract]. Moscow; 2004. 33 p. (In Russ).
- GOST 18509-88 (Amended version, Ed. N 1). The state standard of the USSR. Tractor and combine diesel engines. Methods of bench tests. (In Russ). Available from: https://docs.cntd.ru/document/1200010002 Accessed: 15.12.2022.
- Buzikov ShV, Plotnikov SA. Substantiation of methods for determining the effectiveness of alternative fuels in automotive diesel engines. Izvestiya Moskovskogo gosudarstvennogo mashinostroitel’nogo universiteta. 2021;15(4):2–8. (In Russ). doi: 10.31992/2074-0530-2021-50-4-2-8
- Federal Register. Environmental Protection Agency. 40 CFR Parts 89, 90, and 91. Air Pollution Control; Gasoline Spark-Ignition Marine Engines; New Nonroad Compression-Ignition and Spark-Ignition Engines, Exemptions; Rule. Rules and Regulations. 1996;61(194):52087–52169.
Supplementary files





