Promising mobile vehicles with ultra-low pressure tires for agricultural production
- 作者: Gojaev Z.A.1, Pryadkin V.I.2, Kolyadin P.A.2, Artemov A.V.2
-
隶属关系:
- Federal Scientific Agroengineering Center VIM
- Voronezh State University of Forestry and Technologies named after G.F. Morozov
- 期: 卷 89, 编号 4 (2022)
- 页面: 277-286
- 栏目: Theory, designing, testing
- ##submission.dateSubmitted##: 01.12.2022
- ##submission.dateAccepted##: 21.12.2022
- ##submission.datePublished##: 27.01.2023
- URL: https://journals.eco-vector.com/0321-4443/article/view/115016
- DOI: https://doi.org/10.17816/0321-4443-115016
- ID: 115016
如何引用文章
详细
BACKGROUND: The article presents the results of experimental studies to assess the vibration load of the dynamic system of the mobile vehicle MEV-600 equipped by an ultra-low pressure tires 1020x420-18 model Bel-79 and an independent suspension during driving on artificial irregularities. As a result of the tests carried out, dependences were obtained to assess the impact on the vibration load of the mobile vehicle of the high-speed mode, tire air pressure and the tank filling degree by process fluid. The obtained dependences show us that their characteristics have a linear dependence in the pre-resonant and post-resonant zones, and a progressive–regressive dependence in the resonant zone. It has been experimentally established that the MES-600 dynamic system has high vibration-proof properties, therefore, an introduction of local springing of operator’s seat is not advisable in the layout scheme, where operator’s cab is located behind the front wheel axle, since the level of vibrations on operator’s seat does not exceed the normative indicators.
AIMS: experimental evaluation of the influence of the parameters of the dynamic system of a mobile power vehicle equipped by an ultra-low pressure tires on its vibration-proof properties and dynamic loading of the structure.
METHODS: The methods of laboratory and field studies on the passage through artificial irregularities are given. The determination of the maximum vertical vibration acceleration on the operator’s seat was carried out using a semi-rigid installation disc, in accordance with the requirements of GOST ISO 10326-1.
RESULTS: The dependences of the tire air pressure and the speed of the MES-600 on the level of vibrations of unsprung and sprung masses when driving over artificial irregularities are obtained. Analysis of these dependencies shows that the characteristics have a pronounced stepwise appearance with three characteristic sections: I – before resonant; II – resonant and III – beyond resonant. In the pre-resonant and over-resonant zones, there is a proportional increase in accelerations on the wheel axis and on the frame above the front axle. In the resonant zone, the characteristics have a progressive-regressive dependence.
CONCLUSIONS: Tests on artificial irregularities have shown that the MES-600 dynamic system has high vibration-proof properties: with full refueling and with 50% refueling of the tank, the level of vibrations over the front axle decreased by five times, and when driving in the current state decreased by 3.7 times, relative to vibrations on the wheel axis; on operator’s seat at various when refueling the tank, the level of fluctuations decreased on average from 3.1 to 4.5 times, relative to fluctuations over the front axle. At high-speed driving modes from 3 m/s to 12 m/s, the level of vibrations on operator’s seat is in the range from 0.063 g to 0.037 g and does not exceed the standard indicators.
全文:
ВВЕДЕНИЕ
Одной из ключевых задач при обеспечении продовольственной безопасности Российской Федерации является разработка современных технологий возделывания сельскохозяйственных культур, основанных на отечественных технических средствах. Согласно Стратегии устойчивого развития сельских территорий Российской Федерации до 2030 года, повышение эффективности производства сельскохозяйственной продукции требует решения проблемы технического перевооружения. В настоящее время в структуре агропромышленного комплекса Российской Федерации важную роль играют крестьянско-фермерские и личные подсобные хозяйства. На их долю в сельскохозяйственном производстве приходится 55% пахотных земель, при этом они производят 30% зерновых культур в стране [1, 2].
Основными мобильными энергетическими средствами (МЭС) при выполнении сельскохозяйственных работ в крестьянско-фермерских хозяйствах (КФХ) являются тракторы различных классов и энергонасыщенности, однако их применение ограничено повышенным давлением движителей на почву при выполнении технологических операций в ранний весенний и поздний осенний периоды [3, 4, 5]. Одним из путей решения этой проблемы является применение МЭС, оборудованных различными экологически безопасными движителями, что позволяет повысить их рабочие скорости на 20-30%, снизить энергозатраты на 30% и обеспечить сохранность посевов в ранний весенний период [6, 7, 8].
Реализация современных высокоэффективных технологий в КФХ требует создания МЭС, обеспечивающих высокую производительность и экономическую эффективность, с жестким соблюдением агротехнического регламента [9, 10]. Однако, рыночная ниша таких МЭС на шинах сверхнизкого давления малой грузоподъемности в настоящее время пустует [11]. С целью удовлетворения этой потребности было разработано МЭС, оборудованное шинами сверхнизкого давления и адаптивной технологической площадкой для агрегатирования с различным оборудованием. Принципиальным отличием данной компоновочной схемы является вынос кабины оператора за ось передних колес, что обусловлено стремлением к росту производительности за счет повышения вместимости технологических емкостей и расширению возможности технологической площадки для монтажа различного оборудования. Комплектование МЭС несколькими сменными модулями, при проведении основных видов работ обеспечивает высокую годовую загрузку и повышает эффективность его использования. Указанные МЭС имеют достаточно короткую базу, обеспечивающую высокую маневренность.
Эксплуатация МЭС на повышенных рабочих скоростях 15–30 км/ч предъявляет более жесткие требования к поиску рациональной компоновочной схемы и выбору оптимальных характеристик динамической системы с учетом условий их эксплуатации [12, 13, 14]. Снижение уровня вибронагруженности в значительной мере влияет на условия труда оператора, улучшение технологических параметров агрегата при выполнении полевых работ и на повышение работоспособности узлов оборудования и деталей МЭС. Однако, исследования по оценке вибронагруженности динамической системы и рабочего места оператора мобильных средств малой грузоподъемности на шинах сверхнизкого давления, при компоновочной схеме, когда кабина расположена перед передней осью, в настоящее время изучены недостаточно.
ЦЕЛЬ ИССЛЕДОВАНИЙ
Экспериментальная оценка влияния параметров динамической системы мобильного энергетического средства, оборудованного шинами сверхнизкого давления на его виброзащитные свойства и динамическую нагруженность конструкции.
МАТЕРИАЛЫ И МЕТОДЫ
Объектом исследований являлось МЭС-600 на шинах сверхнизкого давления, оборудованное штанговым опрыскивателем. Техническая характеристика объекта исследований приведена в таблице 1. Отличительной особенностью МЭС-600 является короткая база, кабина оператора, для улучшения обзорности и повышения вместимости технологической площадки, вынесена вперёд за ось передних управляемых колёс. МЭС-600 имеет передние и задние управляемые колеса и колёсную формулу 4х4.
Таблица 1. Техническая характеристика МЭС-600
Table 1. Technical characteristics of MEV-600
№ п/п | Наименование | Ед. изм | Значение |
1 | Масса | кг | 2000 |
2 | Давление на почву | кПа | 43 |
3 | База | мм | 2200 |
4 | Ширина захвата | м | 18 |
5 | Рабочая скорость | км/ч | 10–35 |
6 | Объем емкости | л | 600 |
7 | Производительность | га/ч | 20–30 |
Оценка вибронагруженности динамической системы МЭС-600 при проведении лабораторно-полевых испытаний производилась с использованием приборного комплекса «АССИСТЕНТ TOTAL» (SIU V3RT). В состав комплекса входил измерительный блок с анализатором вибрации и вибропреобразователь АР38Р. Определение общего уровня вибрации на сиденье оператора осуществлялось с применением полужёсткого установочного диска (ПУД), в соответствии с требованиями ГОСТ ИСО 10326-1. Обработка полученных данных от анализатора и их перевода в формат Microsoft Excel производилась с применением программ для приборного комплекса «АССИСТЕНТ TOTAL» – «Assistent Data Center».
Лабораторно-полевые испытания (рис. 1) проводились на горизонтальном участке дороги, с максимальным уклоном на отдельных участках, не превышающих 2% и длиной не менее 1200 метров. По обе стороны от дороги на расстоянии 10 метров от края было соблюдено условие отсутствия вертикальных неровностей высотой более 0,2 метра во избежание при движении столкновения штанг опрыскивателя с неподвижными препятствиями.
Рис 1. Участок дороги для проведения лабораторно-полевых испытаний МЭС-600.
При проведении лабораторно-полевых испытаний для оценки воздействия неровностей поверхности качения на МЭС-600, были изготовлены искусственные неровность трапециевидного профиля с длиной нижнего основания 700 мм, высотой 75 мм и длиной верхнего основания 100 мм, согласно рекомендациям [15].
Для оценки влияния режимов движения на колебательную систему мобильного энергетического средства МЭС-600, оборудованного шинами сверхнизкого давления, были проведены лабораторно-полевые испытания по проезду через искусственные неровности.
При определении уровня вертикальных колебаний неподрессоренных частях подвески, вибропреобразователь АР38Р крепился на поворотной цапфе левого переднего колеса. Для определения уровня вертикальных ускорений подрессоренных масс подвески вибропреобразователь АР38Р устанавливался на раме мобильного энергетического средства над осью переднего левого колеса. С целью определения максимального вертикального виброускорения на сиденье оператора использовался ПУД, внутри которого был зафиксирован вибропреобразователь АР38Р. При этом блок измерительный с анализатором вибрации располагался при проведении эксперимента в непосредственной близости от оператора МЭС-600 на специальных виброгасителях.
Варьируемыми параметрами при проведении испытаний являлись: давление воздуха в шинах; объем заполнения технологического бака опрыскивателя и скорость движения МЭС-600.
Испытания проводились при заполнении бака на 100% (600 л), на 50% (300 л) и полностью порожнем. Контроль уровня заполнения производился на горизонтальной площадке по специальным отметкам с боковых сторон бака.
Минимальная скорость движения МЭС-600 при проведении испытаний подбиралась исходя из возможности обеспечения достоверности контроля движения при помощи GPS приёмника компьютера для полевых опрыскивателей серии «Вravo 180S». Минимальная скорость составляла 3 м/с, максимальная скорость мобильного энергетического средства была ограничена до 12 м/с, исходя из допустимого уровня колебаний на сиденье оператора. Промежуточные значения для лабораторно-полевых испытаний задавались от минимальной до максимальной скорости движения с интервалом 3 м/с.
Во время проведения лабораторно-полевых испытаний регистрировались следующие параметры мобильного энергетического средства: скорость движения МЭС-600 во время прохождения искусственной неровности; вертикальное ускорение поворотного кулака переднего левого колеса; вертикальное ускорение рамы над передним левым колесом; вертикальное ускорение на сиденье оператора мобильного средства.
РЕЗУЛЬТАТЫ И ОБСУЖДЕНИЕ
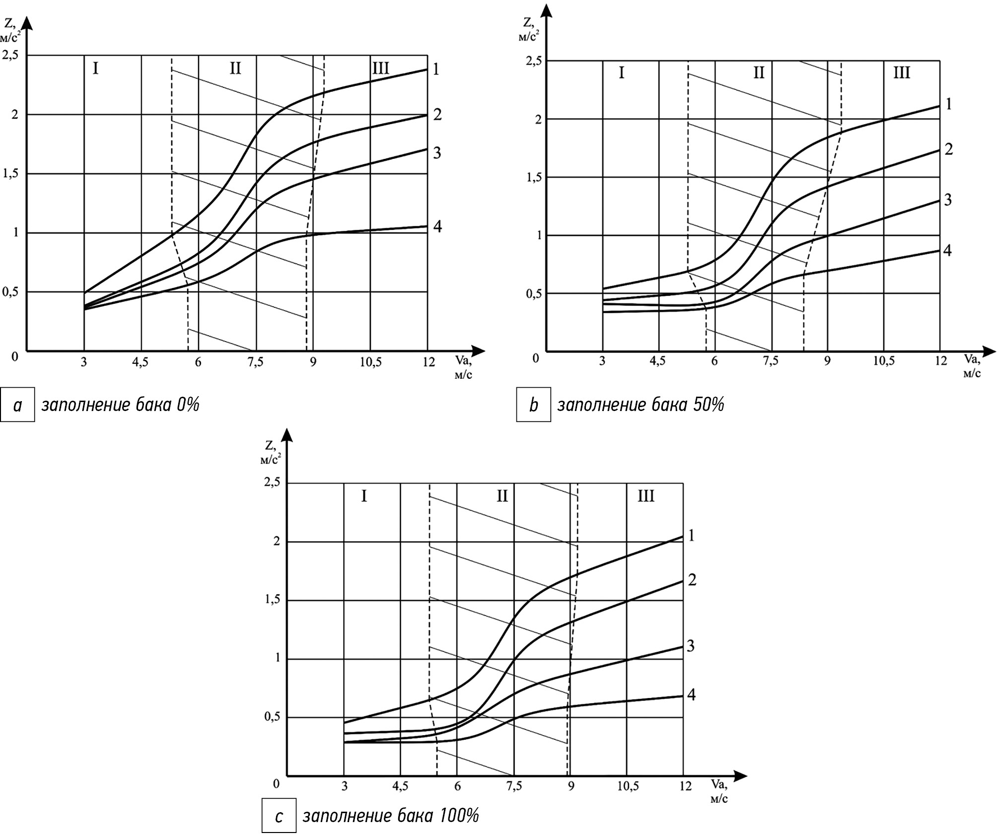
Для оценки воздействия единичных неровностей на вибронагруженность МЭС-600, была проведена серия экспериментов, позволяющих определить уровень колебаний подрессоренных и неподрессоренных масс, а также на сиденье оператора. Результаты испытаний по оценке влияния давления воздуха в шинах и скорости движения МЭС-600 на уровень колебаний неподрессоренных и подрессоренных масс при движении по искусственным неровностям приведены на рис. 2–3. Анализ данных зависимостей показал, что характеристики имеют явно выраженный ступенчатый вид с тремя характерными участками: I – до резонансный; II – резонансный и III – за резонансный. В до резонансной и за резонансной зонах имеет место пропорциональный рост ускорений на оси колеса и на раме над передним мостом. В резонансной зоне характеристики имеют прогрессивно-регрессивную зависимость.
Анализ зависимостей максимальных вертикальных ускорений на оси колеса МЭС-600 при различной степени заполнения бака технологической жидкостью показал (рис. 2), что при движении по искусственным неровностям в диапазоне скоростей 3–6 и 8–12 м/с имеет место пропорциональный рост ускорений на оси колеса. В диапазоне скоростей 6–8 м/с имеет место интенсивный рост ускорений, что объясняется возникновением резонансного режима в динамической системе. При этом с увеличением давления воздуха в шинах резонансная зона увеличивается незначительно.
Рис. 2. Максимальное вертикальное ускорение МЭС-600на оси колеса при заполнении бака: а – заполнение 0%; b – заполнение 50%; c – заполнение 100%; и давлении в шинах 1 – 80 кПа; 2 – 60 кПа; 3 – 40 кПа; 4 – 20 кПа.
При движении без технологической жидкости в баке со скоростью 12 м/с, снижение давления воздуха в шинах с 80 до 20 кПа позволило уменьшить уровень колебаний на оси передних колес в 3,2 раза. Установлено, что с увеличением скорости с 3 до 12 м/с при давлении воздуха в шинах 80 кПа ускорения на оси колеса возрастают в 9 раз, а при давлении воздуха в шинах 20 кПа – в 5 раз. При движении со скоростью 12 м/с и различной степенью заправки бака технологической жидкостью снижении давления воздуха в шинах с 80 до 20 кПа позволяет уменьшить уровень колебаний на оси передних колес в средне в 2,2–2,5 раза, то есть степень заправки бака оказывает меньшее влияния на снижение уровня колебаний. Для скоростей движения 6, 9 и 12 м/с также наблюдается увеличение вертикального ускорения на неподрессоренных частях соответственно – 23%, 19% и 15%.
Результаты испытаний по оценке влияния давления воздуха в шинах и скорости движения МЭС на уровень ускорений на раме над осью колес при движении по искусственным неровностям и различной степени заправки бака технологической жидкостью приведены на рис. 3. Характеристики так же имеют ярко выраженные три характерных участка.
Рис. 3. Максимальное вертикальное ускорение МЭС-600 на раме при различной степени заполнении бака и давлении в шинах 1 – 80 кПа; 2 – 60 кПа; 3 – 40 кПа; 4 – 20 кПа.
Анализ полученных результатов показал, что при движении со скоростью 12 м/с и различной степенью заправки бака технологической жидкостью снижении давления воздуха в шинах с 80 кПа до 20 кПа позволяет уменьшить уровень колебаний на раме над осью передних колес в среднем с 3,2 до 2,1 раза. С увеличением скорости от 3 до 12 м/с при давлении воздуха в шинах 80 кПа ускорения на раме над осью колес возрастают в 4,8 раза, а при давлении воздуха в шинах 20 кПа в 3 раза. Однако при движении на скоростях 6 м/с, 9 м/с и 12 м/с наблюдается увеличение максимального вертикального виброускорения на подрессоренных частях МЭС при уменьшении массы перевозимой жидкости на 54%, 27% и 16% соответственно при давлении воздуха в шинах 80 кПа.
Наиболее вибронагруженным является режим движения при отсутствии жидкости в баке. Однако, степень заправки бака оказывает меньшее влияние на уровень колебаний, чем скорость движения и давление воздуха в шинах.
Испытания показали, что с увеличением давления воздуха в шинах и скорости движения МЭС-600 вибронагруженность на оси колеса и на раме над передним мостом возрастает. Наибольшие значения колебаний имеют место при скорости 12 м/с, однако, дальнейшее увеличение скоростного режима становится невозможным из-за ухудшения безопасности движения.
Экспериментальные исследования вибронагруженности не подрессореных, подрессоренных масс были проведены применительно к широкому диапазону изменения давления воздуха в шине сверхнизкого давления. Однако, согласно результатам испытаний полученным при снятии упругих характеристик шины Бел-79 на стенде СИБ-1 установлено, что оптимальным по напряженно-деформируемому режиму работы шины является давление воздуха в шине – 40 кПа [16]. Поэтому дополнительно были проведены экспериментальные исследования по оценке влияния параметров колебательной системы МЭС-600 на уровень колебаний на сиденье оператора.
Результаты испытаний по оценке вибронагруженности не подрессоренных, подрессоренных масс и колебаний на сиденье оператора при движении МЭС-600 по искусственным неровностям с давлением воздуха в шинах 40 кПа при различных скоростных режимах движения и степенью заправки бака технологической жидкостью приведены на рис. 4.
Рис. 4. Максимальное вертикальное ускорение МЭС-600 при давлении в шинах 40 кПа: 1 – на оси колеса; 2 – на раме над осью; 3 – на сиденье оператора.
Анализ проведенных испытаний показал, что в до резонансной зоне при движении МЭС в диапазоне скоростей от 3 до 6 м/с не зависимо от степени заправки бака технологической жидкостью уровень колебаний на сиденье оператора выше на 30–35%, чем над осью передних колес. Короткая база и максимальная удаленность от центра масс сиденья оператора при отсутствие его подрессоривания, а также характер взаимодействия шин сверхнизкого давления с неровностями является следствием склонности МЭС-600 к галопированию. При движении со скоростью 4,6 м/с имеет место точка пересечения кривых уровней колебаний на сиденье оператора и на раме над осью передних колес, в точке «А» их уровни колебаний равны, далее с увеличением скорости движения уровень колебаний на сиденье оператора снижается, а на раме над осью передних колес возрастает.
В резонансной зоне уровень колебаний на оси колеса возрастает в 2,6 раза, а на раме возрастает в 1,9 раза и достигает 0,7 g, при движении без технологической жидкости в баке. При 50% заправке бака, соответственно возрастает на оси колеса в 3,3 раз, а на раме в 2,3 раза, а при полной заправке на оси колеса взрастает в 3,1 раза, а на раме в 2,5 раза. Заправкой бака обусловлено смещение точки пересечения кривых уровня колебаний на сиденье оператора и над осью передних колес в резонансную зону.
В за резонансной зоне при скорости движения 12 м/с уровень колебаний на сиденье оператора, при различных уровнях заправки, относительно колебаний на оси колеса снижаются с 19,4 до 18,7 раз, а на раме снижается с 4 до 5 раз. Благодаря применению высокоэластичных шин сверхнизкого давления при скорости движения 12 м/с уровень колебаний на оси колеса достигает максимальное значения 0,69 g, а применение независимой подвески обеспечивает снижение колебаний на раме до 0,17 g, что позволяет МЭС-600 иметь высокую плавность хода. В этой зоне уровень колебаний на сиденье ниже, чем на раме, что объясняется уменьшением времени взаимодействия шины сверхнизкого давления с единичной неровностью и высокой её сглаживающей способностью. При различной величине заправки бака технологичной жидкостью на максимальной скорости движения 12 м/с уровень колебаний на сиденье оператора находится в диапазоне 0,03–0,04 g.
С увеличением скоростей движения от 3 до 12 м/с уровень колебаний на сиденье оператора снижается с 0,063 до 0,037 g. Анализ результатов показал, что уровень колебаний на сиденье не превышает нормативных значений согласно «Единым требованиям к конструкции тракторов и сельскохозяйственных машин по безопасности и гигиене труда» и границы комфортной езды (0,25 g) [15].
ВЫВОДЫ
Вариант компоновки МЭС-600 с выносом кабины оператора за ось передних колес, оборудованного шинами сверхнизкого давления с независимой подвеской, позволяет качественно изменить характер вибронагруженности его динамической системы. Характеристика вибронагруженности имеет в до резонансной и за резонансной зонах линейную зависимость, а в резонансной зане – прогрессивно-регрессивную зависимость. Наибольшее влияние на величину колебаний МЭС-600 оказывают изменение давления воздуха в шинах сверхнизкого давления и скорость движения.
Экспериментально установлено, что при скоростных режимах движения от 3 м/с до 12 м/с уровень колебаний на сиденье оператора находится в диапазоне от 0,063 до 0,037 g и не превышает нормативных показателей. Следовательно, введение локального подрессоривания сиденья оператора не целесообразно при компоновочной схеме, где кабина оператора вынесена за ось передних колес.
Испытания на искусственных неровностях показали, что динамическая система МЭС-600 обладает высокими виброзащитными свойствами: при полной заправке и при 50% заправке бака уровень колебаний над передним мостом снизился в пять раз, а при движении в порожнем состоянии снизился в 3,7 раза, относительно колебаний на оси колеса; на сиденье оператора при различных заправках бака уровень колебаний снизился в среднем от 3,1 до 4,5 раз, относительно колебаний над передним мостом.
Разработанное МЭС-600 является платформой для создания семейства отечественных мобильных энергосредств нового поколения для выполнения широкого спектра сельскохозяйственных работ, обеспечивающих высокую годовую загрузку в сельскохозяйственном производстве.
ДОПОЛНИТЕЛЬНАЯ ИНФОРМАЦИЯ
Вклад авторов. З.А. Годжаев – выполнял общее руководство исследованиями, принимал участие в написании текста рукописи; В.И. Прядкин – был инициатором разработки и создания объекта исследований, занимался разработкой программы и методики исследований, принимал участие в написании текста рукописи; П.А. Колядин – принимал участие в создании объекта исследований, участвовал в проведении испытаний, занимался обработкой результатов исследований; занимался редактированием текста; А.В. Артемов – принимал участие в создании объекта исследований, участвовал в проведении испытаний.
Все авторы подтверждают соответствие своего авторства международным критериям ICMJE (все авторы внесли существенный вклад в разработку концепции, проведение исследования и подготовку статьи).
Конфликт интересов. Авторы декларируют отсутствие явных и потенциальных конфликтов интересов, связанных с публикацией настоящей статьи.
Источник финансирования. Авторы заявляют об отсутствии внешнего финансирования при проведении исследований.
ADDITIONAL INFORMATION
Author contribution. Z.A. Gojaev – performed the general management of research, took part in writing the text of the manuscript; V.I. Pryadkin – was the initiator of the development and creation of the object of research, was engaged in the development of the program and methodology of research, took part in writing the text of the manuscript; P.A. Kolyadin – took part in the creation of the object of research, participated in conducting tests, was engaged in processing the results of investigations; was engaged in editing the text; A.V. Artemov – took part in the creation of the object of research, participated in conducting tests.
All authors confirm that their authorship meets the international ICMJE criteria (all authors have made a significant contribution to the development of the concept, research and preparation of the article).
Competing interests. The authors declare no any transparent and potential conflict of interests in relation to this article publication.
Funding. Authors state that this research was not supported by any external sources of funding.
作者简介
Zahid Gojaev
Federal Scientific Agroengineering Center VIM
Email: fic51@mail.ru
ORCID iD: 0000-0002-1665-3730
SPIN 代码: 1892-8405
Corr. Member RAS, Dr. Sci. (Tech.), Professor
俄罗斯联邦, MoscowVladimir Pryadkin
Voronezh State University of Forestry and Technologies named after G.F. Morozov
编辑信件的主要联系方式.
Email: vip16.vgltu@mail.ru
ORCID iD: 0000-0002-5436-1122
SPIN 代码: 6343-4430
Dr. Sci. (Tech.), Associate Professor
俄罗斯联邦, VoronezhPavel Kolyadin
Voronezh State University of Forestry and Technologies named after G.F. Morozov
Email: vip16.vgltu@mail.ru
ORCID iD: 0000-0003-3003-7894
SPIN 代码: 7457-1844
Graduate student
俄罗斯联邦, VoronezhArtem Artemov
Voronezh State University of Forestry and Technologies named after G.F. Morozov
Email: vip16.vgltu@mail.ru
ORCID iD: 0000-0002-6126-1963
SPIN 代码: 2262-1127
Graduate student
俄罗斯联邦, Voronezh参考
- Forecast of scientific and technological development of the agro-industrial complex of the Russian Federation for the period up to 2030 / Ministry of Agriculture of Russia; NRU HSE. Moscow: NRU HSE; 2017. (in Russ.)
- Borodina EN. Peasant (farm) farms in Russia and abroad. Machinery and equipment for the village. 2006;8:2–3. (in Russ.)
- Gojaev ZA, Shevtsov VG, Rusanov AV, et al. The problem of the impact on the soil of running systems of mobile power facilities and effective solutions. In: Innovative development of the agro-industrial complex of Russia on the basis of intelligent machine technologies Collection of scientific reports of the International Scientific and Technical Conference. Mosocw: VIM; 2014:327–329. (in Russ.)
- Gorin GS, Yanchuk AA, Vashchula AV. Analysis of the results of comparative traction properties of wheels with ultra-low pressure tires. Tractors and agricultural machines. 2013;4:14–18. (in Russ.)
- Gojaev ZA, Izmailov AY, Pryadkin VI. The influence of pressure in a highly elastic tire on the traction properties of the co-forest. Automotive industry. 2015;2:9–12. (in Russ.)
- Pryadkin VI. Mobile means of chemicalization with a lifting capacity of 1...2 tons on ultra-low pressure tires. Voronezh: VGLTU; 2017. (in Russ.)
- Pryadkin VI. Energosredstvo novogo generatsii. Technique in agriculture. 2012;3:23–25. (in Russ.)
- Pryadkin VI, Shapiro VYa, Gojaev ZA, et al. Transport and technological means on ultra-low pressure tires. Voronezh: VGLTU; 2019. (in Russ.)
- Kuzina ZhI, Burykina IM, Bogdanovsky VA. Technical equipment and productivity of labor in personal subsidiary farms. Machinery and equipment for the village. 2008;7:6–7. (in Russ.)
- Chernoivanov VI, Goryachev SA. Stimulating the renewal of the machine and tractor park. Machinery and equipment for the village. 2006;11:6–8. (in Russ.)
- Alferyev VP, Fedotov AV. Development of the machinery market in agriculture. Machinery and equipment for the village. 2006;5:9–11. (in Russ.)
- Ksenevich IP, Parfenov AP, Libtsis SE. Agricultural tractors of non-traditional layouts. Minsk: PoliBig; 2003. (in Russ.)
- Zagarin DA. Substantiation of parameters and modes of operation of a small-sized vehicle for small forms of management [dissertation]. Moscow; 2010. (in Russ.)
- Pryadkin VI, Goncharenko SV. Ultra-low pressure tires for agricultural mobile power facilities. Voronezh: VGLTU; 2016. (in Russ.)
- Kutkov GM. Traction dynamics of tractors. Moscow: Mashinostroenie; 1980. (in Russ.)
- Gojaev ZA, Goncharenko SV, Artemov AV, et al. Elastic characteristics of ultra-low pressure tires 1020x420-18 models Bel-79. Part I. Vertical loads. Automotive Industry. 2020;8:18–21. (in Russ.)
补充文件







