Influence of parameters of a screw dispenser on its dosing accuracy
- Authors: Bulatov S.Y.1, Isupov A.Y.2, Nechaev V.N.1, Pronin A.N.1, Tareeva O.A.1
-
Affiliations:
- Nizhny Novgorod State Engineering and Economic University
- Federal Agricultural Research Center of the North-East named after N.V. Ruditsky
- Issue: Vol 90, No 5 (2023)
- Pages: 477-486
- Section: Quality, reliability
- Submitted: 19.05.2023
- Accepted: 06.11.2023
- Published: 26.11.2023
- URL: https://journals.eco-vector.com/0321-4443/article/view/430386
- DOI: https://doi.org/10.17816/0321-4443-430386
- ID: 430386
Cite item
Abstract
BACKGROUND: Strict observance of the number of individual components in the total mass of the feed mixture is necessary in the production of compound feeds. In this aspect, the process of components dosing, performing automatically in modern conditions, has a special role. The paper considers the process of feed components dosing with a screw dispenser, which has a number of advantages over other types of dispensers when supplying bulk feed components. However, its main disadvantage is low accuracy due to the presence of a certain amount of free-falling material. The paper describes theoretical studies that help to adjust the operation of screw dispensers in further.
AIMS: Defining the influence of the design features and operating mode of the dispenser, as well as the physical and mechanical properties of the feed components on the mass of the attachment.
METHODS: The mathematical methods based on physical laws are used in the study. The Mathcad Prime 6.0 computer mathematics system was used for conducting the computational experiment.
RESULTS: As a result of the conducted research, the dependence of the amount of the free-falling material on the height of the fall, the material supply and the velocity of the material particles hovering has been studied. At the same time, it was found that with an increase in the height of the fall, the amount of material in the fall increases exponentially. When dosing components with different physical and mechanical properties at fixed values of the material supply and the fall height, a greater number of free-falling components with a lower soaring speed are observed.
CONCLUSIONS: The study is reasonable to use when weighing small appendages up to 500 g for various kinds of additives. The obtained results of the study will help to adjust the dispenser control program.
Keywords
Full Text
ВВЕДЕНИЕ
Итоги работы агропромышленного комплекса Нижегородской области за 2022 г. показали, что регион полностью обеспечивает себя в зерне, картофеле, яйце. Однако не удалось в полной мере решить вопросы самообеспечения молоком и мясом. Уровень самообеспеченности составляет молоком — 82%, мясом — 47% [1].
Важную роль в увеличении производства молока и мяса играет работа по воспроизводству стада, а также обеспечение поголовья сбалансированным питанием. Как отмечают отечественные исследователи, многие мелкие, средние и крупные хозяйства различных форм собственности нуждаются в относительно недорогих, легко проектируемых и эксплуатируемых установках для приготовления комбикормов из сырья местного производства [2, 3]. В современных условиях отрасль животноводства ориентируется на кормлении животных полнорационными кормами, преимущественно с применением мобильных кормораздатчиков [4]. При этом до трети от общей массы кормосмеси составляют микроэлементы и концентрированные корма [5]. Однако, перед сельхозпроизводителями в данном случае встает задача точного введения в кормосмесь всех необходимых элементов и получения однородной смеси. С целью соблюдения рецептуры при приготовлении кормов применяют дозирующие устройства [3, 6–11].
Широкое разнообразие предлагаемых дозирующих машин [12–20] указывает на то, что продолжаются поиски наиболее рационального их типа, который обеспечил бы необходимую производительность с наименьшими энергозатратами, чтобы при его использовании полностью соблюдались зоотехнические и технологические требования по приготовлению кормовых смесей [2, 3]. Согласно [21] различают три варианта дозирования сыпучего материала: объемными дозаторами, комплексом автоматических весов и с использованием комбинированной схемы. Дозаторы для сыпучих компонентов можно классифицировать по: способу дозирования (объемные, весовые); типу рабочих органов (барабанные, тарельчатые, шнековые, вибрационные, ленточные, бункерные); способу регулирования (путем изменения площади поперечного сечения, путем изменения скорости продукта); типу дозирования (непрерывного, дискретного действия); способу подачи дозируемого материала (механический, гидравлический, пневматический, комбинированный); количеству дозируемых компонентов (многокомпонентные, однокомпонентные); типу эксплуатации (стационарные, передвижные).
Большое разнообразие дозаторов обусловлено различными физико-механическими свойствами кормов, используемых в сельскохозяйственном производстве. Наиболее распространенными являются шнековые питатели благодаря простоте конструкции, высокой производительности, надежности и возможности дозирования кормов с различными физико-механическими свойствами. [22–24]. Шнековые дозаторы способны перемещать материал на относительно большие расстояния. При этом в отличие от бункеров-дозаторов достаточно применение одного взвешивающего устройства, так как материал будет подаваться шнеками к нему. Кроме того, взвешивающий элемент может быть установлен в любой точке комбикормового цеха. Важным недостатком таких дозаторов является относительно невысокая точность дозирования, связанная с особенностью конструкции оборудования и работой привода [25, 26]. Поэтому является целесообразным проведение исследований, направленных на оценку точности дозирования в зависимости от конструктивных особенностей и режима работы дозатора, а также физико-механических свойств компонентов комбикорма.
Цель работы
Определить влияние конструктивных особенностей и режима работы дозатора, а также физико-механических свойств компонентов комбикорма на массу навески.
МЕТОДЫ
Принимая во внимание неразрывность потока частиц сыпучего материала, поступающего на горизонтальную площадку с насыпью в момент срабатывания датчика и начало процесса торможения шнека, в воздухе будет находиться некоторая масса сыпучего материала. Образуемый при этом столб будет иметь высоту . Таким образом, масса, находящаяся в состоянии свободного падения может быть найдена как функция от производительности шнека:
Mп = Qtп (1)
Расчетная схема к определению высоты падения и выводу уранения движения частиц сыпучего материала представлена на рис. 1.
Рис. 1. Расчетная схема к определению времени полета частицы сыпучего материла.
Fig. 1. Analytical scheme for determining the fall time of a particle of a bulk material.
Текущая высота падения изменяется с ростом высоты конуса сыпучего материала. Зависимость имеет вид:
hi = H +ẑc− ∆hi-1 (2)
где H — высота от выгрузки шнекового дозатора (нижней точки корпуса дозатора) до горизонтальной поверхности площадки приема / установочная высота, м; ẑc — расстояние от точки центра масс движущегося слоя материла в поперечном сечении шнека дозатора до нижней точки корпуса дозатора (рис. 1), м; ∆hi-1 — текущая высота конуса сыпучего материала, образованная i-1 частями сыпучего материала, м; hi — текущая высота падения i-й части материала, м.
Рис. 2. Расчетные схемы к определению объема конуса a) и центра тяжести матриала, находящегося в межвитковом пространстве шнека b).
Fig. 2. Analytical schemes for determining the volume of the cone a) and the center of gravity of the material located in the inter-turn space of the screw b).
Так как рассматриваемая фигура на рис. 2, b симметрична относительно оси y, то вычислять координату центра масс по оси х нет необходимости. Она равна .
По оси в этом случае запишется как:
. (3)
Данные, необходимые для расчета координаты центра масс представлены в табл. 1.
Таблица 1. Данные для расчета центра масс слоя материала в корпусе дозатора
Table 1. Data for calculating the center of mass of the material layer in the dispenser housing
| Корпус дозатора | Сегмент | Вал шнека |
Площадь фигуры S, м | |||
Координата центра масс фигуры по оси y | 0 | 0 |
Принимаем, что: RВ = kRД, (4)
где k — коэффициент пропорциональности диаметра вала к диаметру шнека дозатора.
Подставив данные таблице 1 в выражение (3), получим:
. (5)
В результате получаем уравнение с неизвестной величиной угла .
Для вычисления угла запишем выражение для расчета доли заполнения материалом поперечного сечения шнека дозатора и, упростив его, получим:
. (6)
Таким образом, получаем систему уравнений, решение которой позволяет вычислить положение центра масс слоя материала в зависимости от его геометрических размеров и доли заполнения поперечного сечения дозатора:
(7)
Тогда расстояние от точки центра масс движущегося слоя материла в поперечном сечении шнека дозатора до нижней точки корпуса дозатора (рис. 1) может быть найдено как:
ẑc = RД – |yс|. (8)
Для определения высоты падения частиц зернового материала определим высоту конуса сыпучего материала (кучи), образовавшегося перед срабатыванием датчика. Для этого вычислим объем образовавшегося конуса из сыпучего материала.
Условие срабатывания датчика имеет вид:
, (9)
где Δ — точность измерений датчика, кг.
Тогда выражение для определения объема образовавшегося конуса из сыпучего материала будет иметь вид:
,
или
Общеизвестная формула для расчёта объема конуса имеет вид:
, (10)
где R — радиус конуса, м; h — высота конуса, м.
Перепишем ее через угол при основании конуса φ:
. (11)
Тогда высота конуса из находящегося на поверхности площадки сыпучего материла может быть найдена как:
. (12)
РЕЗУЛЬТАТЫ
Количество сыпучего материала, находящегося в состоянии свободного падения в момент срабатывания датчика и не оказывающего действие на взвешивающие датчики, зависит от его подачи и высоты падения.
Составим уравнение падения частицы для представленной на рис. 1 расчетной схемы:
, (13)
где R =γv — сила аэродинамического сопротивления, Н; γ — коэффициент парусности.
Коэффициент парусности рассчитывается по известной формуле [27]:
, (14)
где vвит — скорость витания частиц сыпучего материала, м/с.
Спроецируем уравнение (13) на ось ординат согласно рис. 1:
-ma = R – mg или . (15)
Определим постоянную интегрирования при следующих начальных условиях:
t0 = 0 с, v0 = 0 м/с,
откуда получим
. (16)
В итоге после преобразований имеем:
. (17)
Выразим из соотношения (17) скорость v:
. (18)
Проинтегрируем выражение (18) и получим выражение для определения высоты падения частицы (материала):
. (19)
Вычислим постоянную интегрирования C2 в начальный момент падения частицы (начальные условия): t0 = 0 с, z = 0 м;
. (20)
Подставим выражение (20) для константы C2 в формулу (19). Получим следующее выражение:
. (21)
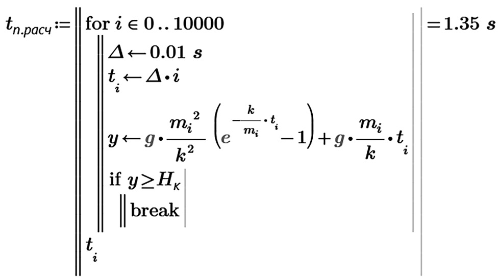
Время падения tп.расч частиц можно найти при численном решении уравнения (21), например, в результате реализации циклического алгоритма c шагом ∆t = 0,01 с в MathCad Prime (рис. 3).
Рис. 3. Пример численного поиска времени падения в MathCad Prime 6.0.
Fig. 3. Example of numerical search for the fall time in the MathCad Prime 6.0.
Тогда масса материала , находящаяся в воздухе, может быт найдена по выражению:
Mп = Qtп.расч. (22)
По выражению (22) построена поверхность, описывающая зависимость количества сыпучего материала в состоянии свободного падения от времени падения и подачи. Зависимость массы материала, находящейся в свободном падении, как от времени падения, так и от подачи находится в прямо пропорциональной зависимости. Как видно из графика (рис. 4), с увеличением одного из параметров степень влияния второго на критерий оценки также возрастает.
Рис. 4. Зависимость количества сыпучего материала в состоянии свободного падения от времени падения и подачи.
Fig. 4. Dependence of the amount of a free-falling bulk material on the fall time and supply.
Проведем оценку влияния высоты падения и подачи на количество материала в состоянии свободного падения. Для этого подставим уравнение (14) для определения коэффициента сопротивления воздуха в выражение (21), проведем преобразование и получим уравнение для определения высоты падения, подаваемого материала, в следующем виде:
. (23)
Уравнение (23) связывает время и высоту падения материала.
При совместном решении уравнений (22) и (23) построено семейство графиков, показывающих изменение количества сыпучего материала в состоянии свободного падения от высоты падения и подачи материала (рис. 5). Графики построены для соли, как одного из самых тяжелых и трудно дозируемых компонентов. При этом принято, что скорость витания соли равна = 9,8 м/с [28].
Рис. 5. Влияние высоты падения и подачи материала на массу в свободном падении.
Fig. 5. The influence of the fall height and the material supply on the free-falling mass.
Обсуждение
Как видно из графиков, с увеличением высоты падения происходит рост количества материала, находящегося в падении, по экспоненциальной зависимости. График позволяет определить массу материала, который находится в свободном падении, при заданных значениях подачи и высоты падения и тем самым внести корректировку в программу управления с учетом данной массы. Так, например, при высоте бункера системы взвешивания 1 м необходимо в программу вносить корректировку 33 г при подаче 4 кг/ч, 29 г — при подаче 3,5 кг/ч и т. д.
Из анализа графиков, представленных на рис. 3 и 4, можно сделать вывод, что наиболее точное дозирование осуществляется при меньших подачах материала и высоте столба падения.
В состав комбикормов входят различные компоненты, скорость витания которых отличается [29]. Рассмотрим влияние скорости витания частиц, характеризующей вид компонента, и высоты падения на количество материала, находящегося в свободном падении, при фиксированной подаче материала Q = 0,8 кг/ч (рис. 6).
Рис. 6. Зависимость высоты столба падения от скорости витания материала и массы материала в свободном падении.
Fig. 6. The dependence of the fall height on the material soaring speed and the mass of the free-falling material.
По построенному графику можно определить разность в массе компонентов при фиксированном значении высоты столба падения. Так, например, при высоте столба падения 200 мм масса компонентов со скоростью витания 1 м/с составляет 4,4 г, а компонента с = 9 м/с — 2,7 г. При увеличении высоты столба падения до 400 мм массы увеличиваются до значений соответственно 8,3 и 4,4 г. То есть данный график позволяет определить погрешность в дозировании компонентов с разными физико-механическими свойствами при одинаковых условиях.
ЗАКЛЮЧЕНИЕ
Как показали исследования, шнековые дозаторы с достаточно высокой точностью отмеривают навески большой массыб. Однако, при взвешивании небольших навесок до 500 г погрешность дозирования резко возрастает [23, 30]. Поэтому полученные результаты исследования позволят скорректировать программу управления работой дозатора при известных физико-механических свойствах дозируемого материала.
Дополнительно
Вклад авторов. С.Ю. Булатов — формулирование идеи, исследовательских целей и задач, проведение критического анализа материалов и формулирование выводов, написание основной части текста; А.Ю. Исупов — анализ полученных результатов и подготовка первоначальных выводов; В.Н. Нечаев — планирование и выполнение исследовательской деятельности; А.Н. Пронин — сбор данных, создание проекта исследовательской модели, проведение исследования; О.А. Тареева — анализ полученных данных, написание текста. Авторы подтверждают соответствие своего авторства международным критериям ICMJE (все авторы внесли существенный вклад в разработку концепции, проведение исследования и подготовку статьи, прочли и одобрили финальную версию перед публикацией).
Конфликт интересов. Авторы декларируют отсутствие явных и потенциальных конфликтов интересов, связанных с проведенным исследованием и публикацией настоящей статьи.
Источник финансирования. Авторы заявляют об отсутствии внешнего финансирования при проведении исследования и подготовке публикации.
Additional information
Authors’ contribution. S.Yu. Bulatov — formulation of the study idea, research aims and tasks, critical analysis of materials and formulating the conclusions, writing the main part of the text; A.Yu. Isupov — analysis of the results obtained and preparation of initial conclusions; V.N. Nechaev — planning and conducting the research activities; A.N. Pronin — data collection, development the research model project, conducting research; O.A. Tareeva — analysis of the data obtained, writing the text. The authors attest that they meet the ICMJE international criteria for authorship (all authors made substantial contributions to the conceptualization, research, and preparation of the article, and read and approved the final version before publication).
Competing interests. The authors declare that they have no competing interests.
Funding source. This study was not supported by any external sources of funding.
About the authors
Sergey Yu. Bulatov
Nizhny Novgorod State Engineering and Economic University
Email: bulatov_sergey_urevich@mail.ru
ORCID iD: 0000-0001-9099-0447
SPIN-code: 8060-9771
Associate Professor, Dr. Sci. (Tech.), Professor of the Technical Service Department
Russian Federation, 22а Oktyabrskaya street, 606340 Knyaginino, Nizhny Novgorod regionAlexey Yu. Isupov
Federal Agricultural Research Center of the North-East named after N.V. Ruditsky
Email: isupoff.aleks@yandex.ru
ORCID iD: 0000-0002-3399-5089
SPIN-code: 5349-5383
Cand. Sci. (Tech.), Associate Professor of the Mechanics and Engineering Graphics Department
Russian Federation, KirovVladimir N. Nechaev
Nizhny Novgorod State Engineering and Economic University
Email: nechaev-v@list.ru
ORCID iD: 0000-0002-7566-6013
SPIN-code: 9562-7900
Cand. Sci. (Tech.), Associate Professor of the Technical and Biological Systems Department
Russian Federation, 22а Oktyabrskaya street, 606340 Knyaginino, Nizhny Novgorod regionAlexey N. Pronin
Nizhny Novgorod State Engineering and Economic University
Email: aleksei031323@yandex.ru
ORCID iD: 0009-0009-2410-3382
SPIN-code: 7573-7552
Postgraduate of the Technical Service Department
Russian Federation, 22а Oktyabrskaya street, 606340 Knyaginino, Nizhny Novgorod regionOksana A. Tareeva
Nizhny Novgorod State Engineering and Economic University
Author for correspondence.
Email: oksya-kn@mail.ru
ORCID iD: 0000-0002-2682-1216
SPIN-code: 1242-4318
Associate Professor, Cand. Sci. (Tech.), Professor of the Technical and Biological Systems Department
Russian Federation, 22а Oktyabrskaya street, 606340 Knyaginino, Nizhny Novgorod regionReferences
- Ministry of Agriculture of the Russian Federation. The results of the work of the agricultural industry for 2022 were summed up during a meeting of the board of the Ministry of Agriculture and Food Resources of the Nizhny Novgorod oblast on April 7. Accessed 12.05.2023. Available from: https://mcx.gov.ru/press-service/regions/itogi-raboty-apk-za-2022-god-podveli-na-kollegii-ministerstva-selskogo-khozyaystva-i-prodovolstvenny/ (In Russ).
- Sabiev UK, Amrin RN, Kushnerik AN. A brief analysis of multicomponent dispensers of bulk feed. Vestnik of Omsk SAU. 2016;2(22):238–241. (In Russ).
- Mishurov NP. Recommended technologies for the production of compound feeds in farms. Journal of VNIIMZH. 2015;4:6–14 (In Russ).
- Sysuev VA, Aleshkin AV, Savinykh PA. Feed preparation machines. Theory, development, experiment. Kirov: Zonal Research Institute; 2009. (In Russ).
- Syrovatka VI. Machine technologies of preparation of compound feeds in farms. Moscow: GNU VNIIMZH; 2010. (In Russ).
- Vedishchev SM. Improvement of technologies and technical means of preparation and distribution of feed mixtures in agricultural pig-breeding organizations [dissertation]. Tambov; 2018. (In Russ). Accessed 12.05.2023. Available from: https://search.rsl.ru/ru/record/01008717393
- Shestov DA. Analysis of the processes of dosing and weighing of bulk materials. Innovations in agriculture. 2012;1 (1):40–44 (In Russ).
- Lyalin EA. Substantiation of the main design and technological parameters of a spiral-screw feed dispenser [dissertation]. Perm; 2019. (In Russ). Accessed 12.05.2023. Available from: https://www.elibrary.ru/item.asp?id=41472660
- Sadov VV. Substantiation of the structure and composition of technological lines for the production of compound feeds in agricultural enterprises [dissertation]. Barnaul; 2017. (In Russ). Accessed 12.05.2023. Available from: https://search.rsl.ru/ru/record/01008705706
- Fedorenko IYa. Technological processes and equipment for the preparation of feed. Moscow: Forum; 2015. (In Russ).
- Fufachev VS. Improving the efficiency of the functioning of the feed unit by improving the technological process and working bodies of the dispenser [Abstract of the dissertation]. Kirov; 2009. (In Russ). Accessed 12.05.2023. Available from: https://search.rsl.ru/ru/record/01003466261
- Patent RUS №2146220 / 15.08.95. Nef P, Byuler K. Mikrodoziruyushchee ustrojstvo. (In Russ). Accessed 12.05.2023. Available from: https://yandex.ru/patents/doc/RU2146220C1_20000310
- Patent RUS №2486479 / 27.06.13. Byul. №18. Kurdyumov VI, Artem’ev VG, Baryshov AO. Dozator — smesitel’ sypuchih materialov (In Russ). Accessed 12.05.2023. Available from: https://yandex.ru/patents/doc/ RU2486479C1_20130627
- Patent RUS №2746166 / 08.04.21. Byul. №10. Kovaleva OV, CHichigin AS, Kamnev KA, et al. SHnekovyj dozator dlya sypuchih komponentov. (In Russ). Accessed 12.05.2023. Available from: https://yandex.ru/patents/doc/RU2746166C1_20210408
- Patent RUS №2213709 / 10.10.03. Byul. №28. Eremenkov VV, Subbotin KYU, Postnikov VV. Pitatel’ sypuchih i komkuyushchihsya komponentov stekol’noj shihty. (In Russ). Accessed 12.05.2023. Available from: https://yandex.ru/patents/doc/RU2213709C2_20031010
- Patent RUS №2235978 / 10.09.04. Byul. №25. Garanin LP, Brekhov GV, Kucenko GV, et al. Vesovoj dozator diskretnogo dejstviya dlya vzryvoopasnyh poroshkoobraznyh materialov. (In Russ). Accessed 12.05.2023. Available from: https://patenton.ru/patent/RU2235978C1
- Patent RUS №2281803 / 20.08.06. Byul. № 23. Baranov NF, Fufachev VS. Dozator sypuchih materialov. (In Russ). Accessed 12.05.2023. Available from: https://www1.fips.ru/registers-doc-view/fips_servlet
- Patent RUS №2011411 / 08.02.91. Vasilenko NV, Ivashov EN, Orinichev SM, et al. Dozator sypuchih materialov. (In Russ). Accessed 12.05.2023. Available from: https://www1.fips.ru/registers-doc-view/fips_servlet
- Patent RUS №2287263 / 20.11.06. Byul. №32. Muhin VA, Shestera YuV, Akul’shin AA, et al. Bunker-dozator sypuchih kormov. (In Russ). Accessed 12.05.2023. Available from: https://www1.fips.ru/registers-doc-view/fips_servlet
- Patent RUS №2742563/ 08.02.21. Byul. №4. Sidorkin VI, Novikov NN, Gajbaryan MA, et al. SHnekovyj dozator tverdyh mineral’nyh udobrenij. (In Russ). Accessed 12.05.2023. Available from: https://www1.fips.ru/registers-doc-view/fips_servlet
- Martynenko YaF. Industrial production. Moscow: Kolos; 1975. (In Russ).
- Kukta GM. Machines and equipment for the preparation of feed. Moscow: Agropromizdat; 1987 (In Russ).
- Sergeev AG, Bulatov SYu, Nechaev VN, et al. Evaluation of the characteristics of the dosing system of feed components in farm conditions. Agrarian Scientific Journal. 2020;8:93–99. (In Russ).
- Korolkov VG. Simulation model of the process control system for dosing feed components. Natural and mathematical sciences in the modern world. 2014;16:67–73. (In Russ).
- Mezhgosudarstvennyj standart GOST 10223-97 «Dozatory vesovye i diskretnogo dejstviya», obshchie trebovaniya, vveden 1 iyulya 1999. (In Russ).
- Khailis GA, et al. Mechanical and technological properties of agricultural materials. Lutsk: LGTU; 1998 (In Russ).
- Melnikov SV. Methods of studying the physical and mechanical properties of agricultural plants. Moscow: VISKHOM; 1960 (In Russ).
- Strojmekhanika. Oborudovanie dlya raboty s sypuchimi materialami proizvodstva razlichnyh suhih smesej [internet] (In Russ). Accessed 12.05.2023. Available from: https://www.stroymehanika.ru/article_3.php
- Skorosti pnevmotransportirovaniya i skorosti vitaniya nekotoryh materialov. [internet] (In Russ). Accessed 12.05.2023. Available from: http://asp-hpz.narod.ru/load/kursovye_proekty/skorosti_pnevmotransportirovanija_i_skorosti_vitanija_nekotorykh_materialov/7-1-0-68
- Bulatov SYu, Nechaev VN, Sergeev AG, et al. Results of studies of weight dosing of feed ingredients. Machinery and equipment for the village. 2021;1(283):20–24. (In Russ).
Supplementary files









