Mathematical model of the condensation process in a cylinder of a piston engine
- Authors: Kolunin A.V.1, Lazarev E.S.2, Kaminskiy V.N.1, Korytov M.S.3, Ruzimov A.O.4
-
Affiliations:
- Moscow Polytechnic University
- Omsk State Transport University
- Siberian State Automobile and Highway University
- Ministry of Defense of the Russian Federation
- Issue: Vol 90, No 5 (2023)
- Pages: 395-404
- Section: Environmentally friendly technologies and equipment
- Submitted: 09.10.2023
- Accepted: 09.11.2023
- Published: 26.11.2023
- URL: https://journals.eco-vector.com/0321-4443/article/view/607362
- DOI: https://doi.org/10.17816/0321-4443-607362
- ID: 607362
Cite item
Abstract
BACKGROUND: In recent years, there has been a trend of increasing activity towards the development of polar territories. A characteristic feature of the North is negative ambient temperatures that have a negative impact on the condition of piston engines of ground transport, mobile and stationary power plants and labor saving tools. An engine is the least adapted unit for use in such conditions. There is a chain of negative factors that consistently links negative ambient temperatures, in which the equipment is operated, and the condition of the mechanisms and engine systems. The primary link of this chain is condensation processes. The existence of condensation processes during low-temperature operation of the engine has been experimentally proved. The latter takes place when warming up in conditions of negative ambient temperatures. The question «How much water changes the state during the warm-up period?» arises.
AIMS: Development of a mathematical model that makes possible to obtain unbiased information about the activity of condensation processes and to estimate the amount of water that changes the state during the warm-up period.
METHODS: Solving the given tasks is based on classical theories describing operational processes of boilers. The high labor intensity and significant financial costs in organizing such experiments require the search for new research methods. Mathematical models help to solve the task of defining the mass amount of water condensing in a cylinder of a piston engine computationally.
RESULTS: The mathematical model that is characterized by its adaptation to piston engines and is capable of determining the mass amount of water changing the state during the warm-up period iteratively, using the differences in partial pressures and the density of the mass flow of water condensate, has been developed.
CONCLUSIONS: The existence of water has a negative impact on conditions of a piston engine. The information about the amount of water condensing in a cylinder during the warm-up period stimulates to continue studies in the field of motor oils watering, active acids formation and corrosive wear of surfaces of details.
Full Text
BACKGROUND
At the turn of the 21st century, several governments have turned their attention to the polar territories of our planet. This interest is motivated by the presence of countless mineral reserves, undeveloped to this day, and of great geopolitical importance. This undertaking involves uniting the outskirts of the continents of Eurasia and North America, the Arctic Ocean with islands, and adjacent parts of the Atlantic and Pacific oceans. In addition, the Northern Sea Route is the shortest route between the European part of Russia and the Far East. The Northwest Passage is a sea route between the Atlantic and Pacific oceans and an air bridge between North America and Southeast Asia. The Arctic can be developed and explored using advanced technologies and ground transportation suitable for the harsh conditions of the polar territories. Ground vehicles are used to perform most tasks involving transportation and technological work. A special feature of such places is the negative temperatures, which shorten the life cycle of equipment.
Analysis of work and statistical data revealed that the piston engine is one of the least adapted units to such conditions. Low adaptability is explained by operating in wide temperature and load ranges, with chemically active compounds. At low temperatures, the fragility of structural materials and the viscosity of operating materials increase, the friction conditions of the mating surfaces of parts worsen, and the completeness of fuel combustion decreases while increasing the activity of the formation of chemically active compounds. The reliability of the operation is reduced, and the life cycle is shortened.
A factor adversely impacting the engine condition is the water vapor condensation processes on the surfaces of parts and oil [1].
Water is formed by the oxidation of fuel hydrogen by oxygen atoms. According to various sources, the exhaust gases of a piston engine contain 8%–12% water vapor by volume. Water vapor present in the working body of the engine, in exhaust gases, and in crankcase fumes under optimal temperature conditions is removed through exhaust and ventilation systems without much harm. The possibility of a low-temperature state preceding the engine reaching this mode should be considered. Initially, during the oxidation of fuel hydrocarbons in the combustion chamber, a large amount of heat is released, heating combustion products to 1500%–2000 ºС and increasing pressure in the cylinder to 6–10 MPa. Such parameters ensure high saturation pressure and gasify water in a mixture of gases. However, cold parts and oil reduce the saturation pressure near their surfaces. Condensation occurs upon contact with a cylinder wall surface at a temperature below the saturation temperature at the current partial pressure of water vapor. The activity of the condensation process, characterized by mass flow, is unstable. Important differences in temperature and pressure determine high destabilization conditions. As the engine warms up, the temperature of the cylinder wall increases, and condensation stops once the dew point is reached
The relevance of the work pertains to the negative impact of water on the engine condition. Water inevitably enters the crankcase space at the interface between the parts of the cylinder–piston group, dissolves in the engine oil, disrupting colloidal stability, and initiates an increase in intermolecular interactions of products of low aggregate stability [2]. Slightly watering the motor oil can deactivate the additive package introduced into the base oil during its production. This effect is cumulative when the engine is repeatedly started at subzero temperatures.
The influence of water on structural materials should be considered. Being a corrosive compound, water initiates processes of corrosive wear on the surfaces of parts. Parts of the cylinder–piston group are largely susceptible to such wear.
PROBLEM FORMULATION
These processes can occur in engine mechanisms and systems. The areas of condensation processes must be systematized. Primary areas include spaces where water is directly formed by the oxidation of fuel hydrogen atoms, namely, the combustion chamber and the inner surface of the cylinder sleeve. Secondary areas include internal surfaces of parts and assembly units that provide gas removal. Finally, the surfaces in the crankcase volume represent area 3 of such processes [3]. The mass formation of water is difficult to calculate, requiring a systematic approach considering many factors influencing the activity of processes. According to the presented system of areas, a mathematical model must be developed that describes condensation processes in the engine cylinder, namely, a mathematical model that provides a promising solution to the problem of determining the amount of water condensing in the cylinder during the warmup period. This model is created according to such factors as significant differences in temperature and pressure, the turbulization of gases, changes in piston velocity, and the activity of heat exchange processes.
MATHEMATICAL MODEL
When developing a mathematical model, assumptions were made that did not have a substantial impact on the calculation error.
Assumption 1. The thickness of the metal cylinder wall and heat transfer from the coolant do not provide thermal resistance. The oil film and water condensate have negligibly thin layers. To simplify the algorithm of the mathematical model, the thermal resistance of the coolant, cylinder wall, oil film, and water condensate are neglected. The temperatures of the cylinder wall, combustion chamber, and coolant are assumed to be equal.
Assumption 2. When gas moves near the cylinder wall, because of the action of viscosity force, a layer of slow motion of the substance is formed [4]. The same layer resists the free movement of gas molecules, including water vapor. Because of the high turbulence caused by the piston movement, the concentrations of water vapor at the boundary layer edge and throughout the volume of the cylinder are assumed to be equal.
Assumption 3. The partial pressure on the cylinder wall is equal to the saturation pressure at the water vapor saturation temperature equal to the coolant temperature.
Assumption 4. The reciprocating motion of the piston ensures high turbulence of gases in the cylinder, intense mixing, and highly uniform distributions of the components in the gas mixture. Therefore, the water vapor is considered uniformly distributed in the volume of the cylinder, except at the near-wall layer.
Assumption 5. Since the duration of an operating cycle is negligible relative to the warmup time, the coolant and the amount of heat transferred from the working fluid to the cylinder wall in one cycle does not produce substantial heating of the coolant and oil, so the cylinder wall temperature within one cycle is considered constant.
Assumption 6. The moisture content of fuel and air is neglected because of low absolute values.
The following indicators are taken as initial data:
- Engine indicator characteristics;
- Elemental composition of the fuel;
- Piston stroke, S, m;
- Cylinder diameter, d, m;
- Crank radius, R, m;
- Combustion chamber area, m2;
- Angle of rotation of the crankshaft, φ, °csr;
- Excess air coefficient, á;
- Regression equation describing the change in coolant temperature;
- Crankshaft rotation speed, n, rpm.
The mass amount of condensate formed on the cylinder sleeve’s inner surface depends on the activity of condensation processes and the duration of the period determined by the dynamics of the temperature increase.
The formation of a certain amount of water condensate characterizes each operating cycle. Knowing the number of cycles that have passed in the estimated time at a specific coolant temperature and the law of change in coolant temperature, integration over time can be used to obtain the total mass of condensate:
, (1)
where Jцикл is the mass flow per cycle, kg/cycle; τпрогр and is the time for heating the coolant to the operating level, s.
Mixture component mass flow [5]:
, (2)
where J is the mass flow, kg/s; mi is the mass of the diffusing component of the mixture, kg; τ is time, s; j is the mass flow density, kg/(s·m2); and F is the condensation area, m2.
The J mass of condensate condensing on the cylinder walls is summed over the duration of each stroke according to the crankshaft angle of rotation. The zero value of the angle is taken as the top center position before the intake stroke. Dividing the entire cycle into four separate steps, we transform Eq. (1) into the following form:
. (3)
Each of the four terms on the right side of Eq. (3) corresponds to a separate cycle.
Since the moisture content of air at negative temperatures is negligible, the first two terms of Eq. (3) can be discarded as unimportant. Then, the average value of the mass flow over the cycle is determined using the following equation:
, (4)
where Jцикл — is the mass flow per cycle, kg/cycle.
To solve the problem of calculating the mass of condensate condensing on the cylinder wall during the intake stroke, we consider an annular section of the wall with a height determined by the piston S movement. The area of this section is determined from the product of three factors:
, (5)
where F is the area of an elementary cylindrical section, m2; d is a cylinder diameter, m; and S is the piston displacement, m.
The piston movement along the cylinder axis obeys the cosine law; thus, the height of the section under consideration is expressed by the following dependence [6]:
, (6)
where R is the radius of the crank, m; λ is the ratio of the crank radius to the crank length, ; and φ is the angle of the crankshaft rotation in degrees, °csr.
Then, the area of the cylinder’s internal surfaces on which the condensation process occurs is determined as the sum of the working surface and the surface of the combustion chamber:
, (7)
where Fкс is the surface area of the combustion chamber, m2.
The mass flow density can be determined using the following equation [5]:
, (8)
where ρ is the density of the gas mixture, kg/m3; β is the mass transfer coefficient, m/s; mп0 — is the mass fraction of vapor concentration in the main volume of the cylinder; and mп.гр — is the mass fraction of vapor concentration on the condensation surface.
The density of gases will vary depending on temperature, cylinder pressure, and composition.
The dependence of pressure and temperature in the cylinder on the crankshaft rotation angle is expressed in the indicator diagram of a specific engine model.
According to [7] and ideal gas law, the density of combustion products ( ρпс, kg/m3) is represented by the following equation:
ρпс = , (9)
where is the theoretical volume of nitrogen in combustion products, m3/kgfuel; is the volume of triatomic gases in combustion products, m3/kgfuel; is the volume of water vapor in combustion products, m3/kgfuel; is the amount of excess air for combustion of 1 kg of fuel, m3/kgfuel; Т is the temperature, K; and p is the pressure, Pa.
The volume values of the components can be determined according to the following equations [7]:
- the theoretical volume of nitrogen in combustion products, m3/kg:
, (10)
where V0 the theoretical volume of dry air, m3/kg, required for complete combustion of fuel (at an excess air coefficient α = 1), is described as follows:
(11)
where C, S, H and O are the contents of carbon, sulfur, hydrogen, and oxygen, respectively, in the fuel, %;
- excess air volume, m3/kg:
; (12)
- the theoretical volume of triatomic gases in combustion products, m3/kg:
; (13)
- the theoretical volume of water vapor in combustion products, m3/kg:
(14)
where W is the water content of the fuel, %; dвл and is the air moisture content, g/kg of dry gases.
As an example, the values of the volumes of diesel fuel combustion products for the excess air coefficient α = 1,7 are summarized in Table 1.
Table 1. Values of combustion products volume per 1 kg of fuel
8.67 | 1.61 | 1.40 | 7.68 |
The mass of a component of a mixture is determined using the following equation:
, (15)
where is the volume of the mixture component, m3; and is the mass fraction of the mixture component:
, (16)
where is the molar mass of the mixture component, kg/mol; and; is the volume fraction of a gas mixture component:
, (17)
where is the pressure of the vapor–gas mixture, Pa:
. (18)
According to the data in Table 1, the masses of the components were calculated and are summarized in Table 2.
Table 2. Values of combustion products mass per 1 kg of fuel
, kg/kgтопл | , kg/kgтопл | , kg/kgтопл | , kg/kgтопл |
10.87 | 3.17 | 1.13 | 9.97 |
To determine the mass transfer coefficient, criterion equations were used, obtained on the basis of the triple analogy of the similarity of the processes of heat transfer and mass transfer [5]:
, (19)
where is the Nusselt diffusion criterion; d is the characteristic size (the cylinder diameter in the problem under consideration), m; and D is the diffusion coefficient, m2/s.
Diffusion coefficient (D) [8]:
D = , (20)
where D0 is the diffusion coefficient under normal conditions, m2/s; Т is the temperature, K; = 273 K; p is the pressure, Pa; and p0 = 101325 Pa.
Because air and combustion products have similar properties, D0 = 0,0216 m2/s and u = 0,8 are accepted [4]. Then:
, (21)
where is the Nusselt diffusion criterion; is the Nusselt diffusion criterion obtained on the basis of the triple analogy; is the volume fraction of dry gases; and is an indicator characterizing the difference in partial pressures.
For the case of gas flow in a pipe, which is closest to the case of combustion product flow in the cylinder of a piston engine, the Nusselt diffusion criterion, obtained on the basis of the triple analogy, is determined using the following equation [5]:
, (22)
where Re is the Reynolds criterion; is the Prandtl diffusion criterion; and is the volume fraction of water vapor.
In this case, the Reynolds criterion is given as follows:
, (23)
where V is the speed of the medium movement, m/s; and is the mixture viscosity, m2/s.
The speeds of the medium movement and piston movement can be equated [5]:
V = , (24)
where n is the crankshaft rotation speed, rpm; ω and is the angular speed of rotation of the crankshaft, rad/s:
. (25)
With an excess air coefficient α = 1,7, the composition of combustion products is close to average [7]. The viscosity of combustion products is approximated by the equation:
, (26)
where is the temperature of combustion products, °С.
The Prandtl diffusion criterion is represented by the following equations:
, (27)
, (28)
where is the partial pressure of dry gases, Pa.
, (29)
where is the partial pressure of vapor away from the wall, Pa; and is the partial pressure of vapor at the phase interface, Pa.
. (30)
Considering Amagat’s and Avogadro’s law, we obtain:
pг = (31)
= . (32)
According to accepted assumption No. 3, the partial pressure on the cylinder wall is equal to the saturation pressure at the water vapor saturation temperature equal to the coolant temperature. The saturation pressure equation for the temperature range from -60°C to 0°C has an exponential form [9]:
, кПа (33)
where is the coolant temperature, °С.
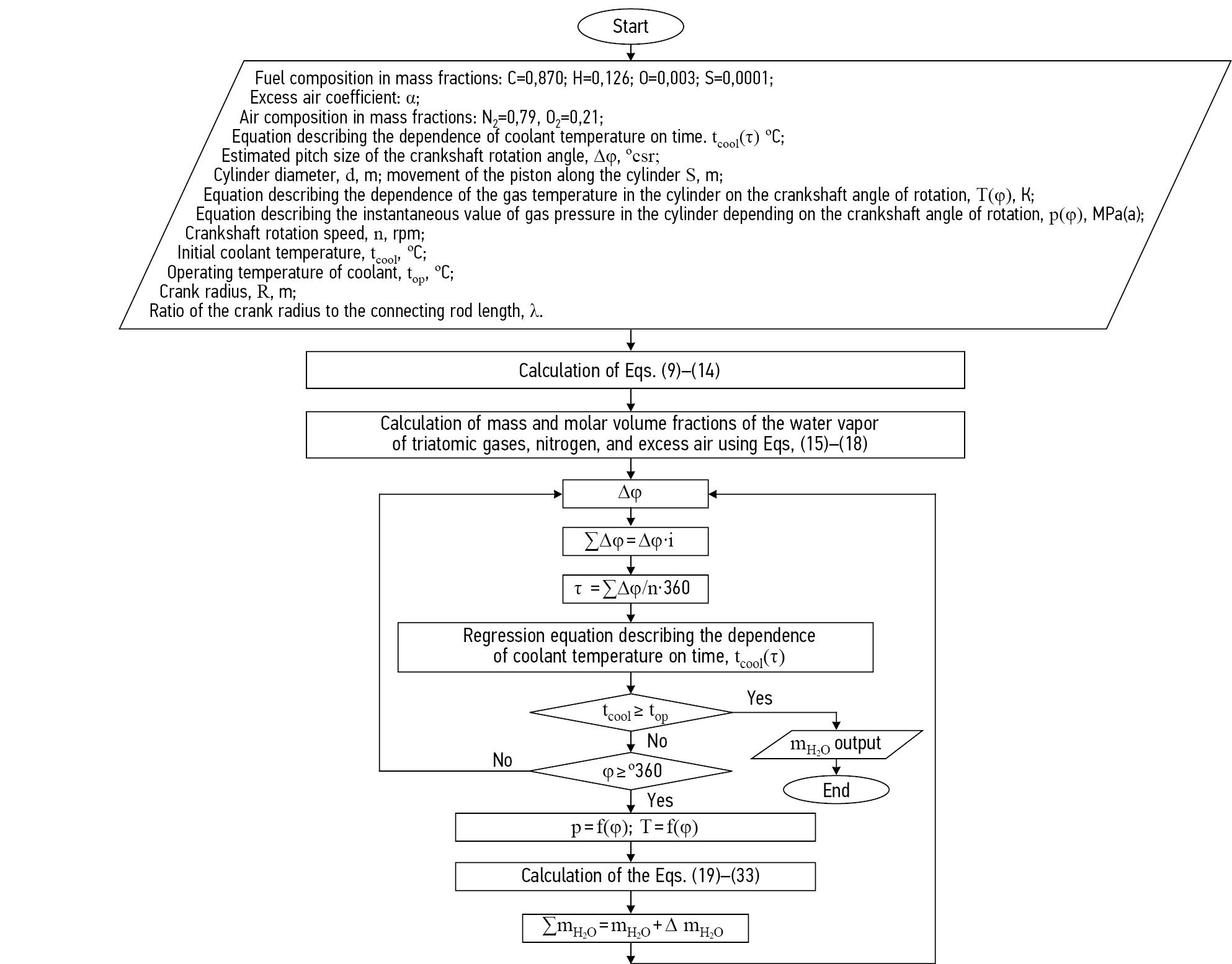
Fig. 1. A diagram of the algorithm of the mathematical model of condensation processes in a cylinder of a piston engine.
For diesel fuel combustion products , where εг is the ratio of the partial pressure of dry gases to the total pressure of the mixture. According to [5], the coefficients in Eq. (21) are А = 0,71; k = – 0,9; and l = – 0,1.
The described dependencies, in a certain sequence, are summarized in the diagram shown in Fig. 1 and jointly represent an algorithm of a mathematical model.
DISCUSSION
The relative mass concentration of vapors away from the condensation surface is a variable quantity because the mass of gas in the cylinder is limited, and there is no replenishment of new substances. Consequently, at each subsequent moment, the partial pressure of water vapor decreases depending on the already condensed mass of water.
Pressure and temperature differences are important factors. The diffusion coefficient depends on temperature and pressure. In turn, the pressure in the cylinder is determined by the partial pressure of water vapor. Thus, the partial pressure of water vapor changes because of not only condensation but also to a greater extent the combustion and expansion processes of gases.
Moreover, the number of equations in this model is large, and simply writing the resulting equation is very cumbersome.
Using a mathematical model, the dependence of the water mass on the change in the state of aggregation, depending on the initial temperature of the warmed-up engine, was constructed graphically. This dependence is presented in Fig. 2.
Fig. 2. Dependence of the mass of water on the change of the aggregate state, from the initial temperature, during the engine warm-up period of the engine.
Because of the factors listed above, the model is practically implemented using numerical integration with an angle step Δφ using the trapezoidal method with a sequential calculation of concentrations and partial pressures.
The mathematical model implementation in relation to the KamAZ-740.30 engine with a working volume of 10.9 L at −32 °C enabled determination of the estimated amount of water by changing the state of aggregation, which amounted to 2.9 g.
The activity and presence or absence of condensation processes depend on a set of factors. Temperature and pressure differences determine significant destabilizing conditions. A substantive and profound examination of such processes raises several currently unanswered questions. It would be reasonable to ask what happens to liquid water under combustion chamber conditions. It is unknown what part of the water is sent to the exhaust gas system and what part is sent to the crankcase space through the interfaces of the cylinder–piston group parts.
Significant destabilizing conditions can lead to a partial or complete reverse process of changing the states. Multiple changes in the states of one group of molecules are possible, depending on the modes and instantaneous positions of the crank mechanism as well as the location of this group in the volume of the cylinder, within the working cycle. Condensation processes in piston engines are described elsewhere [2, 4]. A well known mathematical model has been proposed for the condensation process in the crankcase space of a piston engine heated at subzero temperatures in a cold climate [7].
CONCLUSION
A mathematical model for the condensation process in a cylinder was developed for the first time; it represents new scientific knowledge and can be used to determine the mass of water condensing on the surface of the liner during a warmup period.
This model is applicable when designing engines specifically oriented to conditions of negative temperatures. Northern technology must be adapted for use under these conditions. The solution to the problem is seen in the use of thermal preparation means that prevent such phenomena. On the basis of the calculation results, we can conclude on the activity of processes initiated by negative temperatures, determine whether means of thermal preparation of engines are needed, and determine the required power of these means and the acceptable coolants and energy sources for their operation.
ADDITIONAL INFORMATION
Authors’ contribution. A.V. Kolunin ― search for publications, writing the text of the manuscript; E.S. Lazarev ― expert opinion, approval of the final version; V.N. Kaminsky ― editing the text of the manuscript, creating images; M.S. Korytov ― editing the text of the manuscript; A.O. Ruzimov ― creating images. Authors confirm the compliance of their authorship with the ICMJE international criteria. All authors made a substantial contribution to the conception of the work, acquisition, analysis, interpretation of data for the work, drafting and revising the work, final approval of the version to be published and agree to be accountable for all aspects of the work.
Competing interests. The authors declare that they have no competing interests.
Funding source. This study was not supported by any external sources of funding.
ДОПОЛНИТЕЛЬНО
Вклад авторов. А.В. Колунин ― поиск публикаций по теме статьи, написание текста рукописи; Е.С. Лазарев ― экспертная оценка, утверждение финальной версии; В.Н. Каминский ― редактирование текста рукописи, создание изображений; М.С. Корытов ― редактирование текста рукописи; А.О. Рузимов ― создание изображений. Авторы подтверждают соответствие своего авторства международным критериям ICMJE (все авторы внесли существенный вклад в разработку концепции, проведение исследования и подготовку статьи, прочли и одобрили финальную версию перед публи- кацией).
Конфликт интересов. Авторы декларируют отсутствие явных и потенциальных конфликтов интересов, связанных с публикацией настоящей статьи.
Источник финансирования. Авторы заявляют об отсутствии внешнего финансирования при проведении исследования.
About the authors
Alexander V. Kolunin
Moscow Polytechnic University
Author for correspondence.
Email: kolunin2003@mail.ru
ORCID iD: 0000-0001-7151-8489
SPIN-code: 7483-9619
Associate Professor of the Power Plants for Transport and Small Energy Department
Russian Federation, 38 Bolshaya Semenovskaya street , 107023 MoscowEvgeniy S. Lazarev
Omsk State Transport University
Email: Incoe@yandex.ru
ORCID iD: 0000-0002-0226-3678
SPIN-code: 7069-0551
Senior Lecturer of the Heat Power and Thermal Engineering Department
Russian Federation, OmskValery N. Kaminskiy
Moscow Polytechnic University
Email: kamr@mail.ru
ORCID iD: 0000-0002-5430-4304
SPIN-code: 8509-5210
Dr. Sci. (Tech.), Professor of the Power Plants for Transport and Small Energy Department
Russian Federation, 38 Bolshaya Semenovskaya street , 107023 MoscowMichael S. Korytov
Siberian State Automobile and Highway University
Email: kms142@mail.ru
ORCID iD: 0000-0002-5104-7568
SPIN-code: 2921-4760
Associate Professor, Dr. Sci. (Tech.), Professor of the Road Transportation Department
Russian Federation, OmskAndrey O. Ruzimov
Ministry of Defense of the Russian Federation
Email: ruzim2009@mail.ru
ORCID iD: 0000-0002-2960-767X
Employee
Russian Federation, MoscowReferences
- Kolunin AV, Gelver SA, Buryan IA. The influence of the Arctic climate on the watering of motor oils in the operating conditions of motor transport. J. Phys.: Conf. Ser. 2019;1260:062012. doi: 10.1088/1742-6596/1260/6/062012
- Kolunin AV, Dudkin VM, Korneev SV. Water pollution and colloidal stability of motor oils. Chem Technol Fuels Oils. 2006;42:273–275. doi: 10.1007/s10553-006-0071-6
- Kolunin A.V., Kaminsky V.N., Kostyukov A.V., et al. Mathematical model of the condensation process in the crankcase space of a piston engine heated at negative temperatures of a cold climate. J. Phys.: Conf. Ser. 2021;1260:112011. doi: 10.1088/1742-6596/1260/11/112011
- Schlichting G. Boundary layer theory. Moscow: Nauka; 1974. (In Russ).
- Isachenko VP. Heat exchange during condensation. Moscow: Energiya; 1977.(In Russ).
- Kolchin AI, Demidov VP. Calculation of automobile and tractor engines. Moscow: Vysshaya shkola; 1980.(In Russ).
- Thermal calculation of boilers (normative method) 3rd ed. Saint Petersburg: NPO CCTI; 1998.(In Russ).
- Grigoriev VA., Zorin VM. Theoretical foundations of heat engineering. Thermal engineering experiment. Guide. 2nd ed. Moscow: Energoatomizdat; 1988. (In Russ).
- AVOK Reference manual. Moscow: LLC IIP AVOK-PRESS; 2014. (In Russ).
Supplementary files





