Теоретическое исследование рабочего процесса многовариантного капустоуборочного комбайна
- Авторы: Алатырев А.С.1, Алатырев С.С.1, Кручинкина И.С.1
-
Учреждения:
- Чувашский государственный аграрный университет
- Выпуск: Том 91, № 4 (2024)
- Страницы: 485-492
- Раздел: Экономика, организация и технология производства
- Статья получена: 19.02.2024
- Статья одобрена: 06.09.2024
- Статья опубликована: 05.11.2024
- URL: https://journals.eco-vector.com/0321-4443/article/view/627166
- DOI: https://doi.org/10.17816/0321-4443-627166
- ID: 627166
Цитировать
Полный текст
Аннотация
Введение. Предложен многовариантный капустоуборочный комбайн блочно-модульной конструкции применительно для малых форм хозяйствования в овощеводстве. При этом предусматривается комплектование капустоуборочного комбайна в трех исполнениях: с элеватором, с продольным транспортером нижнего расположения, с элеватором и продольным транспортером верхнего расположения.
Цель исследования — моделирование рабочего процесса многовариантного капустоуборочного комбайна для выявления основных его технологических параметров, обеспечивающих эффективность его функционирования.
Материалы и методы. Рабочий процесс многовариантного капустоуборочного комбайна представлен как функционирование некоторой физической системы, состояние которой меняется в ходе выполнения технологического процесса с течением времени в зависимости от стохастических факторов. Процесс последовательного перехода системы из одного состояния в другое рассмотрен на основе теории массового обслуживания в зависимости от интенсивности движения потока кочанов в технологической линии машины и интенсивности обслуживания этого потока. В работе определены предельные вероятности состояний модели и вычислены стохастические показатели ее функционирования.
Результаты и обсуждение. Исходя из результатов расчетов стохастических показателей функционирования модели установлено оптимальное число обслуживающего персонала n = 2 чел., когда предельная вероятность обслуживания кочанов может составлять до 0,934.
Заключение. Смоделирован рабочий процесс многовариантного капустоуборочного комбайна как стационарный стохастический процесс массового обслуживания. По результатам исследований рекомендуется принять число обслуживающего персонала за столом доработки комбайна n = 2 .
Полный текст
ВВЕДЕНИЕ
Белокочанная капуста — самая доступная, богатая витаминами сельскохозяйственная культура, является одной из основных овощных культур, выращиваемых в нашей стране с давних времен [1].
В настоящее время лидерами по производству капусты являются Московская, Волгоградская, Ульяновская, Ростовская области и Республика Марий Эл [2]. В целом по стране ее производят около 4 млн т. При этом душевое потребление кочанной капусты составляет лишь 37% от потребной санитарной нормы [3]. Однако, дальнейшее динамическое увеличение ее товарного производства в современных условиях, когда основное производство овощей переместилось в сектор малых форм хозяйствования, стало проблемным из-за отсутствия специальной эффективной уборочной техники. В этой связи нами предложен многовариантный капустоуборочный комбайн блочно-модульной конструкции [4], применительно для малых форм хозяйствования.
Комплектование предложенного капустоуборочного комбайна состоялось из следующих блоков: режущего аппарата, стола доработки с механическим транспортер-обрезчиком, элеватора со специальным отгрузочным устройством, продольных транспортеров нижнего и верхнего расположений.
При этом комплектовался капустоуборочный комбайн в трех исполнениях:
- с элеватором (рис. 1);
Рис. 1. Схема компоновки многовариантного капустоуборочного комбайна с элеватором: 1 — режущий аппарат; 2 — стол доработки с транспортер-обрезчиком; 3 — элеватор.
Fig. 1. Layout diagram of the multivariate cabbage harvester with an elevator: 1 — a cutting machine; 2 — a completion table with a conveyor-cutter; 3 — the elevator.
- с продольным транспортером нижнего расположения (рис. 2);
Рис. 2. Схема компоновки многовариантного капустоуборочного комбайна с продольным транспортером нижнего расположения: 1 — режущий аппарат; 2 — транспортер-обрезчик; 3 — блок продольного транспортера.
Fig. 2. Layout diagram of the multivariate cabbage harvester with a lower longitudinal transporter: 1 — a cutting device; 2 — a conveyor-cutter; 3 — a longitudinal conveyor block.
- с элеватором и продольным транспортером верхнего расположения (рис. 3).
Рис. 3. Схема компоновки многовариантного капустоуборочного комбайна с продольным транспортером верхнего расположения: 1 — режущий аппарат; 2 — транспортер-обрезчик; 3 — блок продольного транспортера верхнего расположения.
Fig. 3. Layout diagram of the multivariate cabbage harvester with a top-mounted longitudinal transporter: 1 — a cutting device; 2 — a conveyor-cutter; 3 — an upper longitudinal conveyor block.
При этом возможны различные варианты выполнения рабочего процесса данным капустоуборочным комбайном [4].
ЦЕЛЬ ИССЛЕДОВАНИЙ
Эффективность функционирования данного комбайна существенно зависит от уровня научной обоснованности его рабочего процесса. Поэтому целью исследований является моделирование рабочего процесса многовариантного капустоуборочного комбайна для выявления основных его технологических параметров.
МАТЕРИАЛЫ И МЕТОДЫ
Рабочий процесс многовариантного капустоуборочного комбайна, на наш взгляд, можно рассматривать как функционирование некоторой физической системы, стояние которой меняется в ходе выполнения технологического процесса в ней с течением времени t в зависимости от ряда действующих стохастических факторов, т. е. система может находиться в дискретных состояниях в некоторые моменты времени через определенные интервалы (здесь ), как показано на рис. 4.
Рис. 4. Схема перехода физической системы машинной уборки кочанной капусты в дискретные состояния по времени t.
Fig. 4. Scheme of the transition of the physical system of machine harvesting of cabbage into discrete states over time t.
Факторами, сопровождающими рассматриваемую физическую систему при переходах из одного состояния в другое, могут являться, например, параметры расположения растений капусты в рядах, геометрия самих рядов, рабочая скорость капустоуборочного агрегата, технологическая и техническая надежность работы капустоуборочного комбайна, интенсивность работы и число обслуживающего персонала, участвующего в технологическом процессе машинной уборки капусты, и т.д.
Для того, чтобы выяснить основные параметры, характеризующие эффективность функционирования рассматриваемой системы, представим процесс машинной многовариантной уборки кочанной капусты в виде совокупности последовательно выполняемых операций (рис. 5).
Рис. 5. Процесс многовариантной машинной уборки кочанной капусты.
Fig. 5. The process of multivariate machine harvesting of cabbage.
Как видно из рис. 5, рабочий процесс капустоуборочного комбайна, как правило, начинается от операции выравнивания растений капусты перед срезом. Это связано тем, что в силу разных причин часть растений капусты к началу уборочной компании имеет полеглость, оказывается отклоненной от положения, определяемого агротребованиями.
Операции отсеивания капустных листьев, инспектирования и доработки кочанов в потоке также вызваны тем, что при машинной уборке капусты в продукции 15…20% составляют отходы (листья капусты, потерявшие связь с кочанами, остатки сорной растительности, кочаны, пораженные различными болезнями). Кроме того, часть кочанов требует доработки до товарного вида.
Процесс последовательного перехода системы из одного состояния в другое также можно рассматривать как поток стохастических событий, протекающих с некоторой интенсивностью , т.е. средним числом событий, происходящих за единицу времени.
В частности, в капустоуборочном комбайне в качестве такого потока событий можно рассматривать событие поточного движения капустной массы, состоящей из кочанов капусты и сопутствующих отходов, подвергающихся воздействию со стороны рабочих органов и обслуживающего персонала в технологической линии машины.
Генератором потока стохастических событий в капустоуборочном комбайне является режущий аппарат (рис. 6), движущийся по убираемому ряду капусты рабочей скоростью .
Рис. 6. Технологическая схема работы режущего аппарата многовариантного капустоуборочного комбайна.
Fig. 6. Technological diagram of the operation of the cutting device of the multivariate cabbage harvester.
При этом лифтеры 1 и направляющие 2 выравнивают растения капусты и подводят к клиновидным колеблющимся ножам 3. Ножи при совместном действии выводят растения капусты в плоскость симметрии (в середину) режущего аппарата и срезают кочаны вместе с розеточными листьями [5].
Далее при совместном действии выносного транспортера 4, нижнего отклоняющего барабана 5 с ребордами 6 и прижимного эластичного сетчатого транспортера 7 кочаны капусты вместе с капустной листвой направляются потоком на стол доработки.
При этом интенсивность потока событий в общем случае также является стохастической величиной, зависящей от времени:
.
Такой поток стохастических событий следует отнести к сложным потокам. Для простейших потоков .
Поток событий, протекающий в капустоуборочных комбайнах, в большей степени в целях идеализации процесса можно отнести к простейшим потокам.
Так, интенсивность потока кочанов, имеющего место в технологической линии капустоуборочного комбайна, можно выразить как постоянную величину в зависимости от средней рабочей скорости его и среднего расстояния между растениями капусты в рядках формулой:
, (1)
так как эти величины статистически незначимо отличаются от математических ожиданий их распределения.
В капустоуборочном комбайне интенсивность воздействия обслуживающего персонала на поток кочанов можно выразить также постоянной величиной исходя из среднего значения времени воздействия следующей формулой:
. (2)
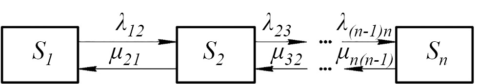
При анализе стохастических процессов с дискретными состояниями и непрерывным временем протекания t (таковыми являются процессы, протекающие в капустоуборочном комбайне) удобно пользоваться геометрической схемой, показанной на рис. 7, называемой в теории вероятности графом состояний систем [6].
Рис. 7. Динамика изменения состояний процесса, протекающего в капустоуборочном комбайне, как граф дискретных состояний физической системы.
Fig. 7. Dynamics of changes in the states of a process occurring in the cabbage harvester as a graph of discrete states of a physical system.
Здесь каждое состояние физической системы обведено прямоугольниками, а ее возможные переходы из состояния в состояние изображены стрелками, соединяющими эти прямоугольники. У каждой стрелки проставлена интенсивность протекания стохастического события, в частности, по стрелкам вправо — , а по стрелкам влево — .
Таким образом, заметим, что в графе состояний системы возможны ее переходы в прямом и обратном направлениях. При переходе в прямом направлении физическая система окажется в новом, более высоком по порядку состоянии, а перейдя справа налево система возвращается в предыдущие состояния.
Очевидно, рассматриваемая физическая система в любой момент времени будет характеризоваться вероятностями стохастических состояний , как функции времени:
.
Причем, при любом t имеет место равенство:
, (3)
так как вероятность нахождения системы в этой совокупности состояний в любой момент времени равна 1.
Исходя из теории вероятности известно, что с истечением некоторого времени в рассматриваемой физической системе будет устанавливаться некий предельный стационарный режим, т. е. каждое из состояний приобретает некоторую постоянную предельную величину вероятности:
,
где — порядковые номера состояний системы.
Предельные вероятности состояний физической системы можно вычислить, составив на основании графа состояний системы, представленной на рис. 7, систему дифференциальных уравнений вида [6]:
(4)
Учитывая то, что в установившемся режиме все вероятности состояний физической системы постоянны, правые части уравнений (4) приравняем 0. Тогда данная система дифференциальных уравнений превратится в систему линейных алгебраических уравнений вида:
(5)
В этом случае выражение (3) примет вид:
. (6)
Уравнения (5) и (6) дают возможность вычислить все предельные значения вероятностей состояний системы .
Для этого из первого уравнения системы (5) выразим :
, (7)
из второго с учетом (7) получим:
, (8)
из третьего с учетом (8):
. (9)
Далее аналогично можно выразить предельную вероятность состояния данной физической системы для любого k от 2 до n, т.е. справедливо будет равенство:
. (10)
Заметим, что в числителе полученной формулы стоит произведение всех интенсивностей протекания стохастических событий перехода состояния физической системы , стоящих у стрелок, направленных слева направо, от до , в знаменателе произведение всех интенсивностей , стоящих у стрелок, идущих справа налево. Используя это свойство, предельные вероятности всех состояний физической системы можно выразить в зависимости от предельной вероятности начального состояния . В частности, для справедливо будет выражение:
. (11)
Далее, подставив выражения (7)–(11) в равенство (6), получим:
. (12)
Теперь остальные предельные вероятности состояний выражаются при известной по соответствующим формулам (7)–(11).
Далее в качестве примера рассмотрим операцию инспектирования и доработки кочанов в рабочем процессе уборки капусты (см. рис. 5), в которой принимаем:
, (13)
, (14)
где λ и μ определяются согласно выражениям соответственно (1) и (2).
Тогда граф состояний модели будет иметь вид, представленный на рис. 8:
Рис. 8. Граф состояний модели инспектирования и доработки кочанов капусты на переборочном столе многовариантного капустоуборочного комбайна.
Fig. 8. State graph of a model for inspecting and refining cabbage heads on the refining table of the multivariate cabbage harvester.
Исходя из графа, представленного на рис. 8, с учетом равенств (13) и (14) вместо зависимостей (7)–(10) и (12) представим следующие выражения:
, (15)
где — предельная вероятность состояния модели , когда весь обслуживающий персонал не задействован в данной технологической операции; — предельные вероятности состояний модели , когда задействованы в технологической операции 1, 2, …, n рабочих соответственно.
Анализируя зависимости (15), выразим показатели эффективности функционирования стохастической модели инспектирования и доработки кочанов капусты в многовариантном капустоуборочном комбайне.
Так, если наступит момент, когда рабочих будут заняты обслуживанием кочанов, тогда некоторые кочаны в потоке могут быть не обслужены. Тогда вероятность отказа может быть представлена в виде:
. (16)
При этом вероятность того, что все кочаны в потоке будут обслужены, дополняет до единицы:
. (17)
Тогда абсолютная пропускная способность переборочного стола
. (18)
РЕЗУЛЬТАТЫ И ОБСУЖДЕНИЕ
Показатели функционирования, рассчитанные по формулам (16), (17), (18) и последней формулой из системы (15) при и , представлены в табл.1.
Таблица 1. Показатели эффективности функционирования стохастической модели при инспектировании и доработке кочанов на переборочном столе многовариантного капустоуборочного комбайна
Table 1. Table. Indicators of functioning efficiency of the stochastic model for inspecting and refining cabbage heads on the refining table of the multivariate cabbage harvester
n | 1 | 2 | 3 | 4 | 5 |
0,493 | 0,391 | 0,365 | 0,358 | 0,357 | |
0,508 | 0,207 | 0,066 | 0,017 | 0,004 | |
0,492 | 0,793 | 0,934 | 0,983 | 0,996 | |
А | 0,148 | 0,238 | 0,280 | 0,295 | 0,299 |
Исходя из результатов расчетов, приведенных в табл., можно считать оптимальным число обслуживающего персонала от 2 до 3 чел., когда предельная вероятность обслуживания кочанов может составить до 0,934. Однако, при этом следует учесть тот факт, что в потоке кочанов только до 25% нуждается доработки [1], поэтому рекомендуем принять число обслуживающего персонала n = 2. Это подтвердилось в полевых испытаниях опытного образца разработанного капустоуборочного комбайна (рис. 9).
Рис. 9. Обслуживание многовариантного капустоуборочного комбайна за столом доработки двумя рабочими.
Fig. 9. Servicing a multivariate cabbage harvester at the refining table by two workers.
ЗАКЛЮЧЕНИЕ
Таким образом, в заключении отметим, что смоделирован рабочий процесс многовариантного капустоуборочного комбайна как стационарный стохастический процесс массового обслуживания. По результатам моделирования рекомендуется принять число обслуживающего персонала за столом доработки комбайна n = 2.
ДОПОЛНИТЕЛЬНАЯ ИНФОРМАЦИЯ
Вклад авторов. А.С. Алатырев — анализ публикаций по теме статьи, написание текста рукописи; И.С. Кручинкина — создание изображений, редактирование текста рукописи; С.С. Алатырев — экспертная оценка, утверждение финальной версии. Авторы подтверждают соответствие своего авторства международным критериям ICMJE (все авторы внесли существенный вклад в разработку концепции, проведение исследования и подготовку статьи, прочли и одобрили финальную версию перед публикацией).
Конфликт интересов. Авторы декларируют отсутствие явных и потенциальных конфликтов интересов.
Источники финансирования. Авторы заявляют об отсутствии внешнего финансирования при проведении исследования.
ADDITIONAL INFORMATION
Authors’ contribution. A.S. Alatyrev — analysis of publications on the topic of the article, writing the text of the manuscript; I.S. Kruchinkina — creating images, editing the text of the manuscript; S.S. Alatyrev — expert opinion, approval of the final version. All authors confirm their authorship compliance with the ICMJE international criteria (all authors made a significant contribution to the conceptualization, research and preparation of the article, read and approved the final version before publication).
Competing interests. The authors declare the absence of obvious and potential conflicts of interest.
Funding source. The authors declare that there is no external funding for the study.
Об авторах
Алексей Сергеевич Алатырев
Чувашский государственный аграрный университет
Автор, ответственный за переписку.
Email: Leha.alatyrev@mail.ru
ORCID iD: 0000-0003-3059-9352
SPIN-код: 8101-2562
канд. техн. наук, заведующий кафедрой «Транспортно-технологические машины и комплексы»
Россия, 4280003, Чебоксары, ул. К. Маркса, д. 29Сергей Сергеевич Алатырев
Чувашский государственный аграрный университет
Email: S_Alatyrev1955@mail.ru
ORCID iD: 0000-0002-4694-2381
SPIN-код: 7789-5968
д-р техн. наук, профессор кафедры «Транспортно-технологические машины и комплексы»
Россия, 4280003, Чебоксары, ул. К. Маркса, д. 29Ирина Сергеевна Кручинкина
Чувашский государственный аграрный университет
Email: irinka58.84@mail.ru
ORCID iD: 0000-0003-4995-8706
SPIN-код: 1986-5266
канд. техн. наук, доцент кафедры «Математика, физика и информационные технологии»
Россия, 4280003, Чебоксары, ул. К. Маркса, д. 29Список литературы
- Алатырев С.С., Кручинкина И.С., Алатырев А.С. Техника и технологии для уборки кочанной капусты: обзор, теория, технологический расчет, развитие. Чебоксары: ЧГУ им. И.Н. Ульянова, 2020.
- Капуста: площади и сборы в России в 2001–2020 гг. Экспертно-аналитический центр агробизнеса, 2020. Дата обращения: 05.04.2023. Режим доступа: https://ab-centre.ru/news/kapusta-ploschadi-i-sbory-v-rossii-v-2001-2020-gg
- Онежкина О.Н. Функционирование и развитие рынка овощной продукции: дис. … канд. эконом. наук. Ставрополь, 2020.
- Кручинкина И.С., Алатырев А.С., Алатырев С.С., Григорьев А.О. Производственная проверка многовариантного капустоуборочного комбайна // Вестник Воронежского государственного аграрного университета. 2021. Т. 14, № 1(68). С. 27–40. doi: 10.53914/issn2071-2243_2021_1_27
- Алатырев С.С., Кручинкина И.С., Алатырев А.С. Бережная машинная уборка капусты // Вестник Казанского государственного аграрного университета. 2020. Т. 15, № 2(58). С. 72–76. doi: 10.12737/2073-0462-2020-72-76
- Вентцель Е.С. Исследование операций. М.: Советское радио. 1972.
Дополнительные файлы











