The method of the vehicle suspension system damping element load characteristic synthesizing
- Authors: Chetverikov M.V.1,2, Maksimov R.O.1,2, Rubanov P.S.1,2
-
Affiliations:
- Moscow Polytechnic University
- KAMAZ Innovation Center
- Issue: Vol 91, No 5 (2024)
- Pages: 596-610
- Section: Theory, designing, testing
- Submitted: 26.03.2024
- Accepted: 26.10.2024
- Published: 06.12.2024
- URL: https://journals.eco-vector.com/0321-4443/article/view/629308
- DOI: https://doi.org/10.17816/0321-4443-629308
- ID: 629308
Cite item
Abstract
BACKGROUND: Nowadays the problem of improving the ride smoothness of vehicles is relevant. The main way of solution is to carry out synthesis of design parameters of suspensions. To carry out such works and to obtain the most satisfactory properties, the new methods of synthesis of load curves of vehicle suspension devices are necessary.
AIM: Development of the new method of synthesizing the curves of a damper of the vehicle suspension.
METHODS: The study deals with the problem of controlling vibrations on their transfer paths by determining the required load curve of a vehicle suspension damper. Analytical methods and simulation modeling methods are applied in the solution process.
RESULTS: As a result of the study, the new method based on the building the range of permissible damping values and selection of the curve on its basis has been created. Based on the obtained method, a number of nonlinear curves of the damper of the primary system of vehicle suspension and selection of the most suitable one regarding to ride smoothness were formed.
CONCLUSION: As a result of the study, the new method of synthesizing the curves of the damper has been obtained. As a result of the comparative evaluation, the efficiency of the new method is confirmed. For the considered study object, the difference in ride smoothness is up to 25%.
Full Text
Введение
Вопрос повышения эффективности транспортировки пассажиров и грузов стоит перед человечеством уже достаточно долгое время, и к сегодняшнему дню предложен ряд решений, способствующих этому. В области автомобильного транспорта наиболее актуальным способом повышения эффективности является повышение мощности автомобиля. За счёт повышения мощности возрастает средняя скорость движения транспортного средства (ТС), однако, при её увеличении возникают проблемы, связанные с вибробезопасностью и в целом плавностью хода ТС. В целях борьбы с вибрациями на путях их распространения необходимо разрабатывать новые методы проектирования систем подрессоривания.
Одним из способов повышения плавности хода является снижение уровня демпфирования в системе [1, 2]. Однако, одновременно с данным снижением повышается риск возникновения раскачивания ТС, что негативным образом сказывается на здоровье водителя и пассажиров [3, 4] и безопасности движения.
Современные методы проектирования демпфирующих устройств предлагают задание характеристик путем назначения величин коэффициентов демпфирования согласно рекомендациям в виде интервала эмпирических значений тех или иных параметров для различных объектов проектирования. При этом, многие инженеры прибегают к выбору средних значений данных параметров из указанных интервалов, независимо от типа ТС. Однако, такие решения не позволяют учитывать возможности обеспечения наиболее эффективных показателей плавности хода.
С целью получения наиболее высоких показателей плавности хода ТС разработана методика синтеза нагрузочной характеристики демпфирующего элемента системы подрессоривания, позволяющая учесть влияние выбора значений различных входных параметров на общую картину плавности хода ТС.
Задачами данного исследования являются:
- определение набора основных реперных точек для построения нагрузочной характеристики;
- формирование спектра нагрузочных характеристик, проходящих через реперные точки;
- подбор оптимальной характеристики из спектра при помощи имитационного моделирования динамики ТС.
Областью исследования в данной работе является динамика ТС с колёсной формулой 4х2, относящиеся к классу грузовых автомобилей. Объектом исследования является передняя первичная система подрессоривания, в которой в качестве демпфирующего элемента выступает двухтрубный амортизатор.
Методы
Описание метода построения демпфирующей характеристики амортизатора
Нагрузочная характеристика амортизатора включает четыре участка: два при закрытых разгрузочных клапанах и два, соответствующие клапанным режимам ходов сжатия и отбоя амортизатора, начало которых определено условием: м/с, где — скорость перемещения штока амортизатора, — скорость поршня со штоком при открытии разгрузочных клапанов [5].
Для построения нагрузочных характеристик амортизатора (зависимостей сил на штоке от скорости штока), обеспечивающих высокую плавность хода ТС требуется выяснить допустимый диапазон рабочих характеристик. Для этого необходимо определить реперные точки каждой характеристики, которые задаются условием начала клапанных режимов ходов сжатия и отбоя, а также нулевым положением (точкой (0;0)). Для определения сил, действующих в этих точках необходимо задаться рядом параметров [5], таких как:
- собственная частота колебаний подвески , которая определяется как , где — жёсткость подвески; — масса, приходящаяся на данную подвеску в статическом положении ТС. Если данная собственная частота известна из расчетов, проделанных ранее при проектировании упругих элементов подвески, то необходимо принять её значение;
- коэффициент относительного затухания (для передней подвески грузовых автомобилей );
- отношение коэффициентов при отбое и сжатии (для передней подвески грузовых автомобилей );
- показатель степени при открытых разгрузочных клапанах (в общем случае );
- передаточное отношение подвески по ходу (для зависимой подвески грузового автомобиля ).
Для формирования выборки необходимо задать по два значения для коэффициентов и – максимальное и минимальное, соответственно. С данными параметрами необходимо определить приведённый к месту приложения силы (колесу) коэффициент сопротивления амортизатора: . Далее необходимо определить коэффициент сопротивления амортизатора: . Сам коэффициент определяется по формуле:
, (1)
где — коэффициент сопротивления амортизатора при сжатии; — коэффициент сопротивления амортизатора при отбое, причём .
Пользуясь этим соотношением, определяем :
. (2)
Далее находим силу, при которой откроются разгрузочные клапаны на ходе сжатия по формуле:
. (3)
Аналогичным образом, определив , находим силу, при которой откроются разгрузочные клапаны на ходе отбоя по формуле:
. (4)
Таким образом формируется выборка из различных значений сил. Сгруппировав их по соответствующим значениям и , выявляем крайние значения: минимальные и максимальные — и строим диапазон допустимых значений, представленный на рис. 1.
Рис. 1. Синтезированные допустимые диапазоны расположения характеристики амортизатора.
Fig. 1. Synthesized permissible ranges of damper curves.
На основании полученных при синтезе точек строится нелинейная характеристика амортизатора согласно методике, описанной в [6]. В качестве примера рассмотрим двухтрубный амортизатор, расчётная схема которого показана на рис. 2.
Рис. 2. Расчётная схема двухтрубного амортизатора: — давление газа; , — давление в полости над и под поршнем, соответственно; — давление в гидравлической полости гидроаккумулятора; , — площадь поршневой и штоковой полостей цилиндра, соответственно; — площадь газовой полости гидроаккумулятора; — сила сухого трения; — сила на штоке.
Fig. 2. Calculation scheme of the two-tube damper: — gas pressure; , —pressure in the cavity above and below the piston, respectively; — pressure in the hydraulic cavity of the hydraulic accumulator; , — area of the piston and rod cavities of the cylinder, respectively; — area of the gas cavity of the hydraulic accumulator; — dry friction force; — force at the rod.
С целью построения нагрузочной характеристики амортизатора на всем диапазоне перемещения его штока, данное перемещение описывается уравнением, представляющим собой гармоническую функцию, определяемую выражением:
, (5)
где — максимальный ход штока, м; — частота перемещения поршня, рад/с; — фаза гармонического процесса перемещения поршня.
Параметры газа, находящегося в гидроаккумуляторе, описываются уравнением политропного процесса:
, (6)
где — давление газа, Па; — объем газа, м3; — показатель политропы.
Давление, создаваемое в гидроаккумуляторе в процессе работы амортизатора, описывается уравнением политропного процесса:
, (7)
где — давление газа, Па; — давление в гидравлической полости гидроаккумулятора, Па; — начальное давление газа, Па; — начальный объём газовой полости гидроаккумулятора; — площадь поршневой полости цилиндра; — площадь штоковой полости цилиндра; — перемещение штока; — показатель политропы.
Расходы жидкости через дроссели 1 и 2 связаны с перепадами давления на входе и выходе через известные зависимости:
; (8)
; (9)
где — плотность рабочей жидкости, кг/м3; — коэффициент расхода через дроссель; — площадь проходного сечения дросселя 1; — площадь проходного сечения дросселя 2.
Расходы жидкости через дроссели 1 и 2 в зависимости от перемещения штока описываются уравнениями:
; (10)
. (11)
Приравняв выражения (10) и (11), получаем выражения для и :
; (12)
. (13)
Пользуясь расчётной схемой, показанной на рис. 2, выражаем силу на штоке:
. (14)
Все значения геометрических размеров в данном расчёте можно принять на основании рекомендаций из источника [5].
По полученным уравнениям определяем зависимости сил от скоростей перемещения штока амортизатора, показанные на рис. 3.
Рис. 3. Зависимости демпфирующих сил от скоростей перемещения штока амортизатора.
Fig. 3. Dependencies of damping forces on damper rod velocities.
Из полученного диапазона необходимо подобрать оптимальную демпфирующую характеристику, удовлетворяющую требованиям плавности хода ТС путем подбора вариантов из сформированного спектра от наиболее приближённого к оси абсцисс к наиболее отдалённому до момента выполнения требований по вибробезопасности на низких частотах колебаний.
Подбор требуемой характеристики
Для подбора требуемой демпфирующей характеристики и подтверждения работоспособности и эффективности метода было произведено имитационное моделирование на динамической модели транспортного средства в разных весовых состояниях с различными характеристиками амортизатора, представленными на рис. 3. Характеристику, наиболее приближённую к оси абсцисс (с наименьшими силами на штоке) будем называть минимальной, а характеристику, наиболее отдалённую от оси абсцисс — максимальной.
Технические характеристики автомобиля представлены в табл. 1.
Таблица 1. Технические характеристики транспортного средства
Table 1. Technical specification of the vehicle
Характеристика | Значение |
Снаряжённая масса ТС, кг | 9150 |
Полная масса ТС, кг | 19500 |
Снаряжённая масса прицепа, кг | 7200 |
Технически допустимая полная масса автопоезда, кг | 44000 |
Колёсная база ТС, мм | 3780 |
Колея 1-й оси (передней) ТС, мм | 2100 |
Колея 2-й оси (задней) ТС, мм | 1848 |
Колёсные базы полуприцепа, мм | 2×1310 |
Расстояние от сцепного устройства до 1-ой оси полуприцепа, мм | 6390 |
Колея осей полуприцепа, мм | 3×2040 |
С данными характеристиками было произведено сравнение плавности хода ТС по двум критериям: комфортабельность [7], и вибробезопасность [8] на различных скоростях движения по двум типам дорожной поверхности: по дороге 1-ой категории и по дороге 2-ой категории неровностей. Данный выбор типов опорных оснований обусловлен режимами эксплуатации ТС. Результаты испытаний по критерию комфортабельности представлены на рис. 4.
Рис. 4. Графики уровней комфорта ТС в зависимости от скорости движения ТС для амортизатора с минимальной и максимальной характеристиками: a — для одиночного ТС по дороге 1-ой категории неровностей; b — для автопоезда снаряжённой массы по дороге 1-й категории неровностей; c — для автопоезда полной массы по дороге 1-й категории неровностей; d — для одиночного ТС по дороге 2-й категории неровностей; e — для автопоезда снаряжённой массы по дороге 2-й категории неровностей; f — для автопоезда полной массы по дороге 2-ой категории неровностей.
Fig. 4. Graphs of vehicle comfort levels as a function of vehicle velocity for the damper with minimal and maximal damping: a — for a single vehicle on the road of the 1st unevenness category; b — for a curb-weight road train on the road of the 1st unevenness category; c — for a full-weight road train on the road of the 1st unevenness category; d — for a single vehicle on the road of the 2nd unevenness category; e — for a curb-weight road train on the road of the 2nd unevenness category; f — for a full-weight road train of on the road of the 2nd unevenness category.
Из результатов испытаний по критерию комфортабельности можно заключить, что наиболее высокий уровень комфорта достигается при применении амортизатора с наиболее приближенной к оси абсцисс характеристикой. Численная разница в результатах представлена в табл. 2.
Таблица 2. Различие уровней комфортабельности при применении амортизаторов с минимальной и максимальной характеристиками
Table 2. Difference between comfort levels with using dampers with minimal and maximal damping
Дорога 1 | Одиночное ТС | до 25% |
Автопоезд снаряжённой массы | до 22% | |
Автопоезд полной массы | до 19% | |
Дорога 2 | Одиночное ТС | до 17% |
Автопоезд снаряжённой массы | до 16% | |
Автопоезд полной массы | до 10% |
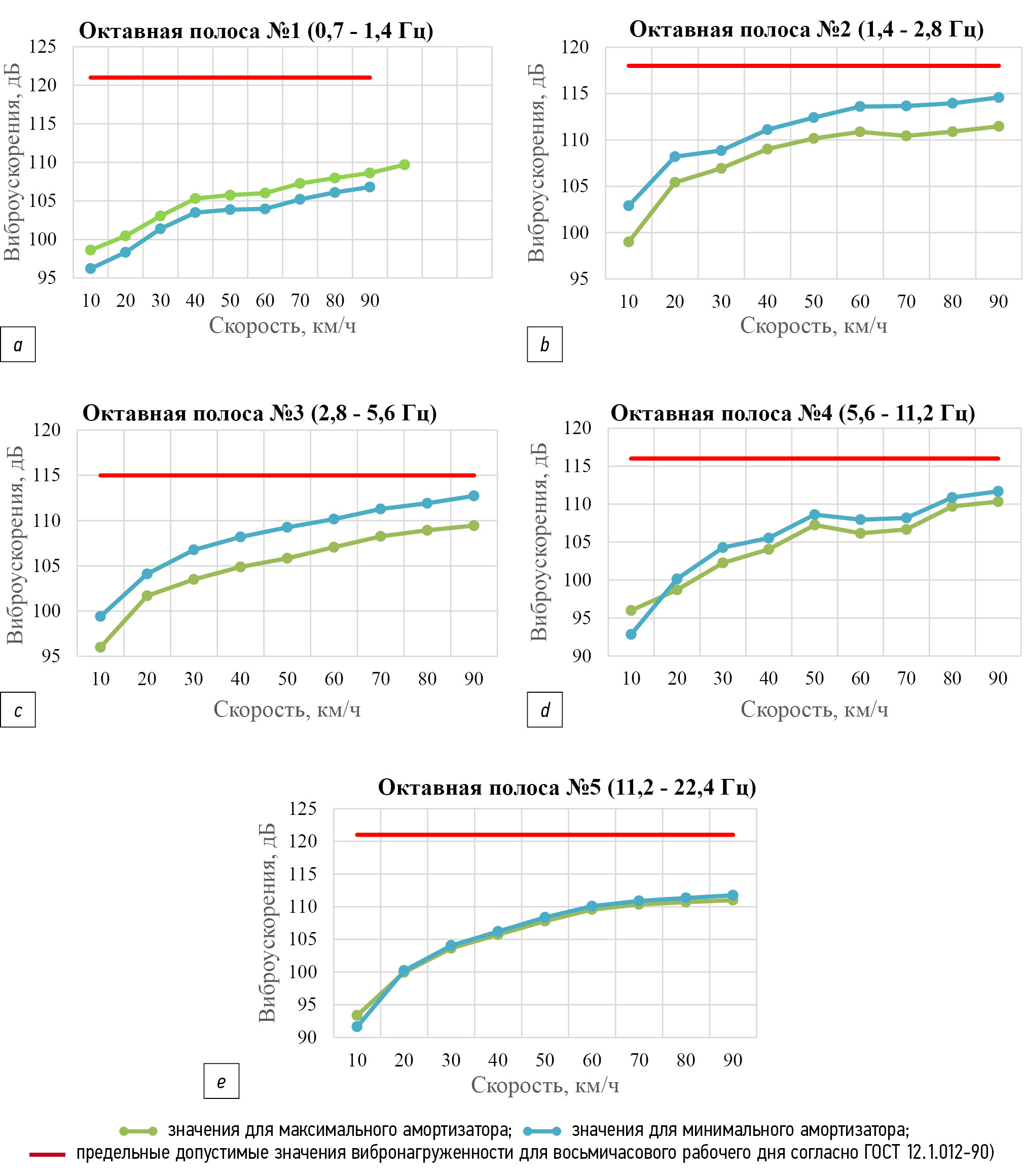
Однако, при применении минимальной характеристикой существует риск возникновения раскачиваний, что приводит к развитию «морской болезни». Для проверки возможности возникновения данного явления было необходимо воспользоваться критерием вибробезопасности по первой октавной полосе частот (при низких частотах колебаний системы). При этом имеет смысл провести проверку выполнения требований по вибробезопасности выбранной характеристики на всех октавных полосах. Результаты испытаний представлены на рис. 5–10.
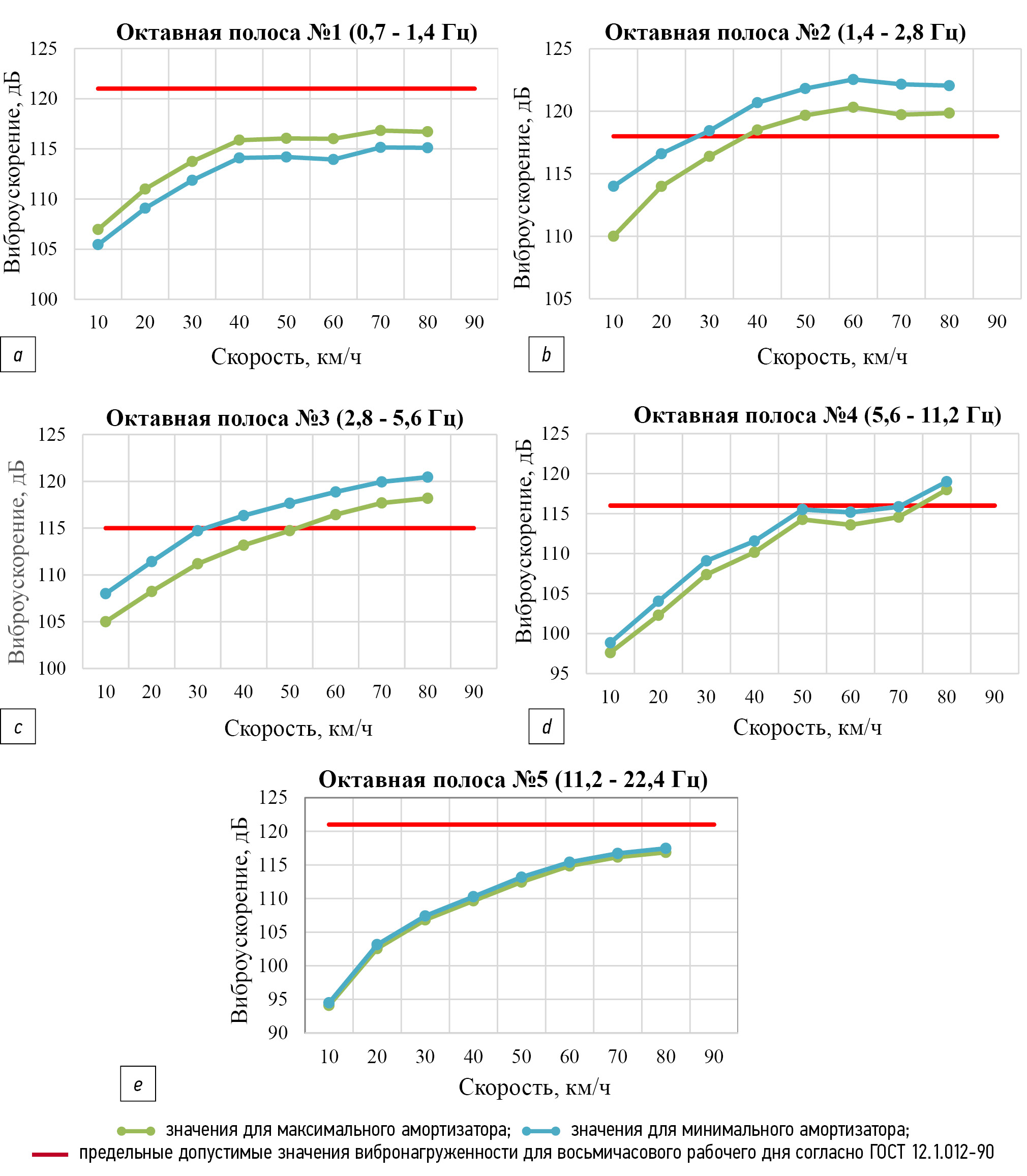
Рис. 5. Уровни вибронагруженности кабины при движении одиночного ТС по дороге первой категории неровностей: а — первая октавная полоса частот; b — вторая октавная полоса частот; c — третья октавная полоса частот; d — четвёртая октавная полоса частот; e — пятая октавная полоса частот.
Fig. 5. Levels of cabin vibration loading when a single vehicle moves on the road of the first unevenness category: а — the first octave frequency band; b — the second octave frequency band; c — the third octave frequency band; d — the fourth octave frequency band; e — the fifth octave frequency band.
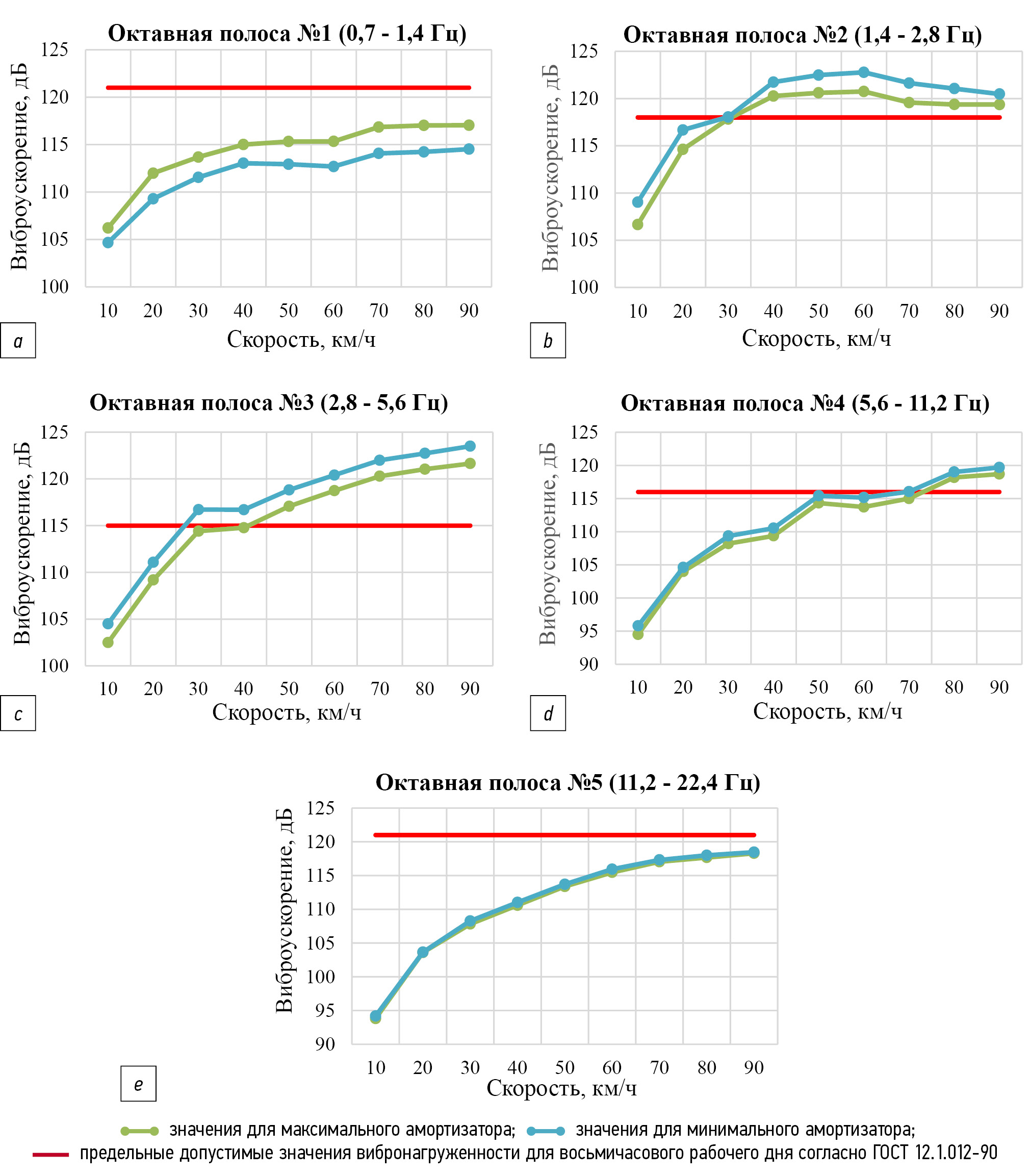
Рис. 6. Уровни вибронагруженности кабины при движении автопоезда снаряжённой массы по дороге первой категории неровностей: a — первая октавная полоса частот; b — вторая октавная полоса частот; c — третья октавная полоса частот; d — четвёртая октавная полоса частот; e — пятая октавная полоса частот.
Fig. 6. Levels of cabin vibration loading when a curb-weight road train moves on the road of the first unevenness category: a — the first octave frequency band; b — the second octave frequency band; c — the third octave frequency band; d — the fourth octave frequency band; e — the fifth octave frequency band.
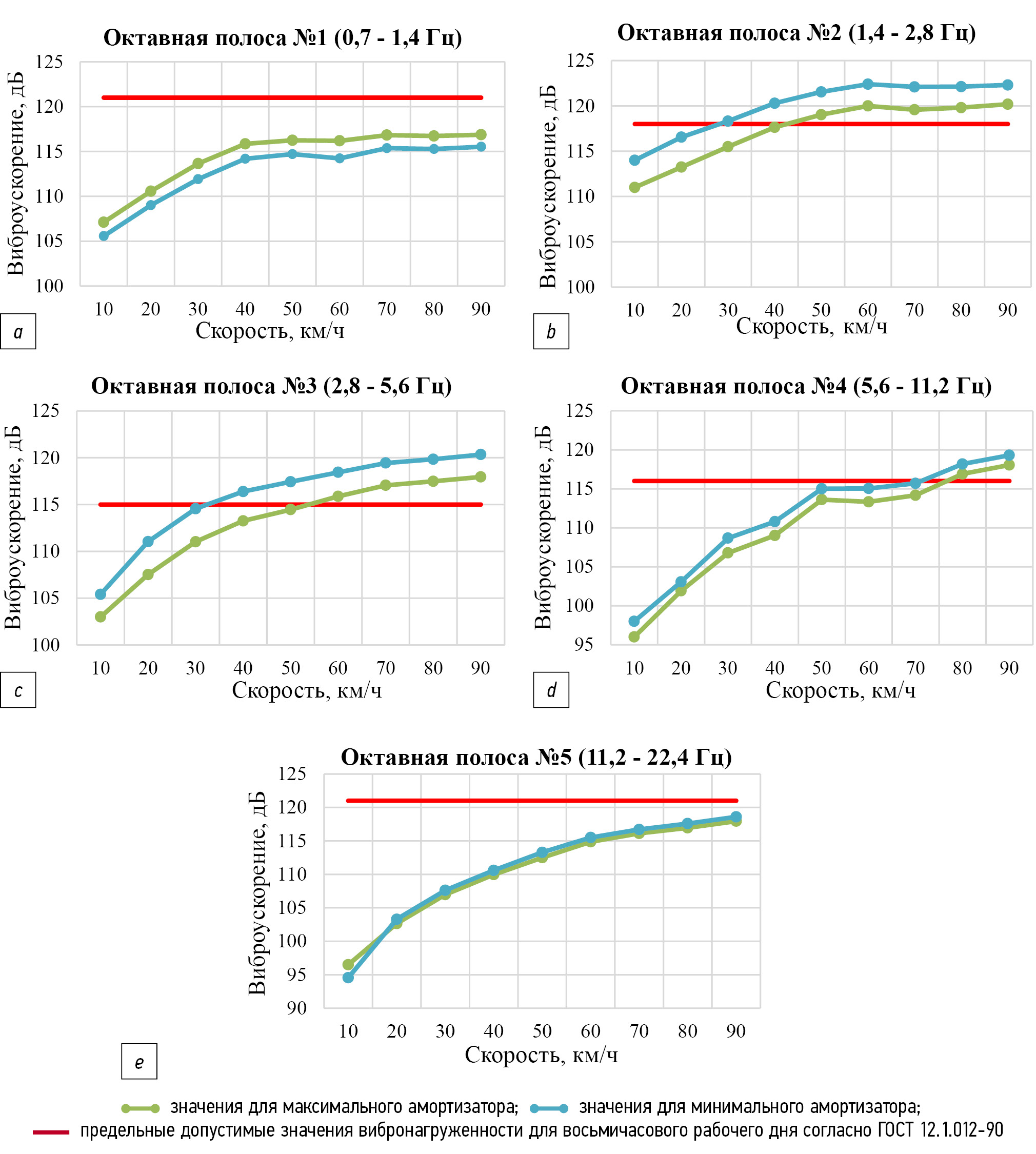
Рис. 7. Уровни вибронагруженности кабины при движении автопоезда полной массы по дороге первой категории неровностей: a — первая октавная полоса частот; b — вторая октавная полоса частот; c — третья октавная полоса частот; d — четвёртая октавная полоса частот; e — пятая октавная полоса частот.
Fig. 7. Levels of cabin vibration loading when a full-weight road train moves on a road of the first unevenness category: a — the first octave frequency band; b — the second octave frequency band; c — the third octave frequency band; d — the fourth octave frequency band; e — the fifth octave frequency band.
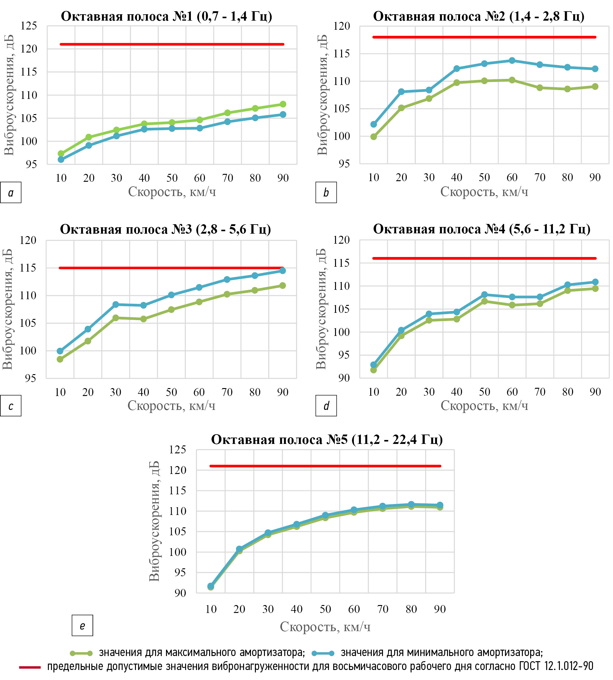
Рис. 8. Уровни вибронагруженности кабины при движении одиночного ТС по дороге второй категории неровностей: а — первая октавная полоса частот; b — вторая октавная полоса частот; c — третья октавная полоса частот; d — четвёртая октавная полоса частот; e — пятая октавная полоса частот.
Fig. 8. Levels of cabin vibration loading when a single vehicle moves on the road of the second category of unevenness: а — the first octave frequency band; b — the second octave frequency band; c — the third octave frequency band; d — the fourth octave frequency band; e — the fifth octave frequency band.
Рис. 9. Уровни вибронагруженности кабины при движении автопоезда снаряжённой массы по дороге второй категории неровностей: а — первая октавная полоса частот; b — вторая октавная полоса частот; c — третья октавная полоса частот; d — четвёртая октавная полоса частот; e — пятая октавная полоса частот.
Fig. 9. Levels of cabin vibration loading when a curb-weight road train moves on the road of the second unevenness category: а — the first octave frequency band; b — the second octave frequency band; c — the third octave frequency band; d — the fourth octave frequency band; e — the fifth octave frequency band.
Рис. 10. Уровни вибронагруженности кабины при движении автопоезда полной массы по дороге второй категории неровностей: а — первая октавная полоса частот; b — вторая октавная полоса частот; c — третья октавная полоса частот; d — четвёртая октавная полоса частот; e — пятая октавная полоса частот.
Fig. 10. Levels of cabin vibration loading when a full-weight road train moves on a road of the second unevenness category: а — the first octave frequency band; b — the second octave frequency band; c — the third octave frequency band; d — the fourth octave frequency band; e — the fifth octave frequency band.
Результаты
На основании полученных результатов по вибронагруженности кабины, можно заключить, что ТС во всех весовых состояниях со всеми типами демпфирующих элементов удовлетворяет требованиям по вибробезопасности при движении по дороге первой категории неровностей (позволяет водителю осуществлять работу без вреда здоровью на протяжении 8 часов) [8]. При этом, при движении по дороге второй категории неровностей минимальная характеристика амортизатора передней первичной подвески позволяет снизить уровень вибронагруженности от 1 до 5 дБ в зависимости от скорости движения и весового состояния ТС.
Из представленных графиков видно, что минимальная характеристика амортизатора значительно превосходит максимальную по обеспечению уровня плавности хода. При этом риск возникновения раскачивания при движении по дороге первой категории неровностей минимален, поскольку значения ускорений не превышают максимально допустимую величину на первых октавных полосах частот во всех весовых состояниях.
Заключение
В результате проведённого исследования разработана и подтверждена методика формирования нагрузочной характеристики демпфирующего элемента, для которой:
- определён набор основных реперных точек, определяющих переключение клапанного режима дросселирования;
- сформирован спектр нагрузочных характеристик, проходящих через указанные точки;
- подобрана оптимальная характеристика из указанного спектра для конкретного ТС при помощи имитационного моделирования динамики ТС.
Данная методика позволяет подобрать демпфирующую характеристику амортизатора, обеспечивающую наиболее высокие показатели плавности хода. Исходя из результатов анализа можно сделать вывод, что различия в плавности хода ТС между возможными допустимыми характеристиками амортизаторов передней первичной подвески могут достигать от 10 до 25% в зависимости от весового состояния ТС и типа неровностей дорожной поверхности. Кроме того, может наблюдаться различие в уровнях вибронагруженности в диапазоне от 1 до 5 дБ. Данные различия могут свидетельствовать о необходимости проведения качественного подбора оптимальной характеристики амортизатора и недопустимости применения средних значений тех или иных рекомендуемых коэффициентов при проектировании.
Дополнительная информация
Вклад авторов. М.В. Четвериков — создание методики, проведение динамического моделирования, анализ результатов, написание текста и редактирование статьи; Р.О. Максимов — обзор литературы, сбор и анализ литературных источников, создание методики, редактирование статьи; П.С. Рубанов — создание модели амортизатора, редактирование текста рукописи, экспертная оценка. Все авторы подтверждают соответствие своего авторства международным критериям ICMJE (все авторы внесли существенный вклад в разработку концепции, проведение исследования и подготовку статьи, прочли и одобрили финальную версию перед публикацией).
Конфликт интересов. Авторы декларируют отсутствие явных и потенциальных конфликтов интересов, связанных с проведенным исследованием и публикацией настоящей статьи.
Источник финансирования. Авторы заявляют об отсутствии внешнего финансирования при проведении исследования и подготовке публикации.
Additional information
Authors’ contribution. M.V. Chetverikov — creating a methodology, modeling, analyzing of the results, writing the text and editing the manuscript; R.O. Maksimov — creating a methodology, literature review, collection and analysis of literary sources, editing the manuscript; P.S. Rubanov — creating the model of the shock absorber, editing the text of the manuscript, expert opinion. All authors made a substantial contribution to the conception of the work, acquisition, analysis, interpretation of data for the work, drafting and revising the work, final approval of the version to be published and agree to be accountable for all aspects of the work.
Competing interests. The authors declare that they have no competing interests.
Funding source. This study was not supported by any external sources of funding.
About the authors
Mikhail V. Chetverikov
Moscow Polytechnic University; KAMAZ Innovation Center
Author for correspondence.
Email: mihchet@gmail.com
ORCID iD: 0000-0003-3723-1171
SPIN-code: 7949-0814
Postgraduate of the Ground Vehicles Department, Design Engineer
Russian Federation, Moscow; MoscowRoman O. Maksimov
Moscow Polytechnic University; KAMAZ Innovation Center
Email: romychmaximov@gmail.com
ORCID iD: 0009-0003-4947-790X
SPIN-code: 7384-6758
Postgraduate of the Ground Vehicles Department, Design Engineer
Russian Federation, Moscow; MoscowPavel S. Rubanov
Moscow Polytechnic University; KAMAZ Innovation Center
Email: rubanov_ps@bk.ru
ORCID iD: 0009-0000-2055-2046
SPIN-code: 6955-1901
Postgraduate of the Ground Vehicles Department, Design Engineer
Russian Federation, Moscow; MoscowReferences
- Yu M, Evangelou S, Dini D. Advances in active suspension systems for road vehicles. Engineering. 2023;33:160–177. doi: 10.1016/j.eng.2023.06.014
- Maksimov RO. Improving the comfort of truck drivers by using controlled cab suspension shock absorbers. Gruzovik. 2023;12:15–23. (In Russ.) doi: 10.36652/1684-1298-2023-12-15-23
- Ieluzzi M, Turco P, Montiglio M. Development of a heavy truck semi-active suspension control. Control Engineering Practice. 2006;3:305–312.
- Sarach EB, Krokhin ME, Lychagov AA, et al. Method for selecting the damping characteristics of the pneumohydraulic suspension system of a wheeled vehicle. Izvestiya MGTU «MAMI». 2023;17(2):147–156. doi: 10.17816/2074-0530-192488
- Afanasyev BA, Belousov BN, Zheglov LF, et al. Design of all-wheel drive wheeled vehicles. In 3 Vols. Moscow: MGTU im NE Baumana; 2008;3. (In Russ.)
- Zhileykin M.M., Kotiev G.O. Modeling of vehicle systems. Moscow: MGTU im NE Baumana; 2020 (In Russ.)
- GOST 31191.1-2004 (ISO 2631-1:1997). Vibration and impact. Measuring general vibration and assessing its effect on a person Part 1. General requirements: national standard of the Russian Federation: data input. 2008-07-01. Federal Agency for Technical Regulation and Metrology. Moscow: Nauchno-issledovatelskiy tsentr kontrolya i diagnostiki tekhnicheskikh sistem; 2009 (In Russ.)
- GOST 12.1.012-90. Vibration safety. General requirements: state standard of the Union of Soviet Socialist Republics: date of introduction: 01.07.91. System of labor safety standards. Moscow: Standartinform; 2006 (In Russ.)
Supplementary files













