Determination of the optimal composition of mixed fuel based on the environmental performance of a diesel engine
- Authors: Plotnikov S.A.1, Buzikov S.V.1, Kozlov I.S.1
-
Affiliations:
- Vyatka State University
- Issue: Vol 88, No 1 (2021)
- Pages: 14-22
- Section: Articles
- Submitted: 28.04.2021
- Published: 15.02.2021
- URL: https://journals.eco-vector.com/0321-4443/article/view/66588
- DOI: https://doi.org/10.31992/0321-4443-2021-1-14-22
- ID: 66588
Cite item
Abstract
The use of rapeseed oil (RO) in tractor engines and other agricultural machinery in its pure form or a mixture of RO with diesel fuel (DF) imposes a number of limitations associated with some difference in physical and chemical properties. Therefore, the most promising is the use of mixed fuel (MF) consisting of DF and RO. The purpose of these studies is to determine the optimal composition of the MF, consisting of DF and RM by optimizing the approximated dependences of the environmental indicators of a diesel engine. To solve this problem, bench tests of the operation of the D-245.5S diesel engine (4ChN 11,0/12,5) were carried out. The following determined environmental performance indicators of a diesel engine are selected: soot (С), nitrogen oxides (NOx), unburned hydrocarbons (CxHy), carbon dioxide (CO2) and carbon monoxide (CO). The studies were carried out on various compositions of MF, consisting of 80 % DF and 20 % RO, 55 % DF and 45 % RO, 20 % DF and 80 % RO by weight, respectively. As a result of the bench tests, two load characteristics were obtained, the one at a speed of n = 1400 min–1 corresponding to the value of the maximum torque, and the second at a speed of n = 1800 min–1 corresponding to the value of the rated power, as well as the external speed characteristic of the D-245.5S tractor diesel engine (4ChN 11,0/12,5). The analysis of the obtained experimental data revealed the dependence of environmental indicators on the rotational speed of the diesel engine crankshaft, the average effective pressure and the addition of RO in MF by weight. Using the least squares method, the approximated mathematical dependences of the ecological indicators of a diesel engine are determined. The analysis of the obtained dependencies showed that: the increase in the crankshaft speed n, the proportion of RO in MF and a decrease in the average effective pressure pe, leads to a decrease in soot С to 4,0 %, nitrogen oxides NOx to 100,0 ppm, unburned hydrocarbons CxHy to 1,0 ppm, carbon dioxide CO2 up to 2 % and an increase in carbon monoxide CO up to 0,16 %. As a result of solving the obtained system of equations for the approximated dependences of environmental indicators, the optimal addition of RO to MF of up to 35 % by weight was determined.
Full Text
Introduction
Current innovative agricultural production has seen an increase in both operational and environmental requirements in the equipment used. In addition to a modernization of the design and the technological schemes of the machines, the depletion of traditional energy resources and compliance with increasingly stringent environmental requirements necessitates the development and study of new alternative motor fuels, including mixed fuels (MFs), e.g., botanical oils [1].
The use of rapeseed oil (RO) in its pure form or in a mixture with diesel fuel (DF) in tractor engines and other agricultural machinery has restrictions associated with different physical and chemical properties [1], i.e., the formation of toxic substances in the exhaust gases of diesel engines can differ. The use of pure RO as a motor fuel for diesel engines is challenging as it requires the development of special power systems [2]. Therefore, MFs consisting of DF and RO are promising, and the determination of the optimal amount of RO in MFs has garnered significant interest. Studies [3–9], on the D-245.12S diesel engine for the optimization of MF composition consisting of DF and RO, report: “A method is proposed for optimizing the composition of these mixtures, based on the determination of the generalized optimality criterion, calculated as the sum of partial criteria characterizing the concentration of nitrogen oxides and soot in the exhaust gases, as well as the total conditional aggressiveness factor of the exhaust gases, determined as the sum of the relative specific emissions of standardized toxic components and smoke opacity at maximum torque” [3–9]. The minimum value of the generalized optimality criterion and the conditional aggressiveness coefficient for a MF with a RO content of 60% have been previously determined [3–9]. However, the determination of the optimal RO content in MFs when the diesel engine operates at other loads and high-speed operating modes is still of interest.
An effective, accurate, and proven method for processing experimental data is approximation, which can be used, with a sufficient degree of probability, to determine, by interpolating and extrapolating, the optimal values of controlled parameters under given optimization conditions [10–12].
Therefore, this study aims to determine the optimal composition of MFs composed of DF and RO by optimizing approximated dependences of environmental indicators of a diesel engine.
Research methods and tools
Bench tests on the operation of a D-245.5S diesel engine, with a dimension of 4ChN 11.0/12.5, were performed. The determined environmental performance indicators of the diesel engine, i.e., soot (C), nitrogen oxides (NOx), unburned hydrocarbons (CxHy), carbon dioxide (CO2), and carbon monoxide (CO), were selected.
The bench testing setup consisted of a RAPIDO load bench, a SAK N670 balanced pendulum machine, and an installed D-245.5S diesel engine, with a dimension of 4ChN 11.0/12.5, as well as devices for determining the smoke opacity and toxicity of exhaust gases, the mass-flow rate of air and fuel, oil pressures and temperatures, coolants, exhaust gases, and weights. At the time of testing, all devices passed state verification.
Studies were performed on various compositions of MFs, i.e., pure DF at stage 1, and then different mass contents of RO in the MF. The investigated compositions consisted of 80 % DF and 20 % RO, 55 % DF and 45 % RO, and 20 % DF and 80 % RO, by weight. Bench tests were performed in accordance with GOST 18509-88 “Tractor and Combine Diesels. Bench Test Methods (with Amendment No. 1).” The MFs were prepared by mixing mass fractions of the constituent components of DF and RO. Then, the DF tank was filled with this composition.
Since pure RO, as well as its mixtures with DF, has a lower specific calculated heat of combustion compared with pure DF, to ensure correct passport values of the effective power and maximum torque, the cycle feed was increased by the difference in value of the lowest calculated specific heat of combustion between the MF and pure DF. When testing various MF compositions, the high pressure fuel pump was adjusted by changing the active stroke of the plunger to increase the cyclic feed.
Control characteristics of the diesel engine were obtained on the above-mentioned MF compositions, and the values of the setting angle of the fuel injection used to equal to 26° were determined.
Results and discussion
Two load characteristics were obtained from the bench tests, one at a rotational rate of n = 1400 min-1 corresponding to the maximum torque value, and another at a rotational rate of n = 1800 min-1 corresponding to the rated power value. The external speed characteristics of the tractor diesel D-245.5S, with a dimension of 4ChN 11.0/12.5, operating on MFs with various RO additives were also determined.
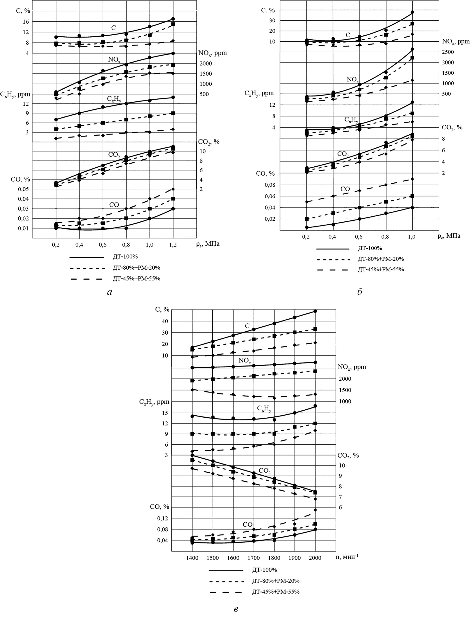
Figure 1 shows graphs of the dependence of the environmental performance of the diesel engine at n = 1400 min-1 and n = 1800 min-1 with various MF compositions on the load and the crankshaft speed.
Fig. 1. Characteristics of the D-245.5S diesel engine (4ChN 11,0/12,5) when operating on MF with various RO additives: a – load performance at n = 1400 min–1; b – loadperformance at n = 1800 min–1; c – full-load curve
Analysis of the environmental indicators in Fig. 1a showed that increasing the load from 0.2 to 1.2 MPa with a RO content of 55 % decreased exhaust gas concentrations (soot C from 17.10 to 6.9 %, nitrogen oxides NOx from 2490 to 307 ppm, unburned hydrocarbons CxHy from 14.0 to 1.0 ppm, and carbon dioxide CO2 from 10.97 to 2.70%) and increased the carbon monoxide CO concentration from 0.01 to 0.05%.
Figure 1b shows that increasing the load from 0.2 to 1.0 MPa with a RO content of 55 % decreased exhaust gas concentrations (soot C from 38.03 to 6.8 %, nitrogen oxides NOx from 2630 to 131 ppm, unburned hydrocarbons CxHy from 13.0 to 1.0 ppm, and carbon dioxide CO2 from 8.77 to 2.09 %) and increased carbon monoxide CO concentrations from 0.01 to 0.09 %.
An analysis of the dependences (Fig. 1c) revealed that by decreasing n from 1400 to 2000 min-1 and increasing the RO content to 55 %, the concentration of soot C in the exhaust gases decreased from 48.57 to 8.70 %, the unburned hydrocarbons CxHy decreased from 17.0 to 4.0 ppm, and the nitrogen oxides NOx decreased from 2730 to 1510 ppm. By increasing n from 1400 to 2000 min-1 and increasing the RO content to 55 %, the concentration of carbon monoxide CO in the exhaust gases increased from 0.03 to 0.15 %, and the carbon dioxide CO2 decreased from 10.97 to 6.80 %.
To determine the optimal MF composition for the investigated diesel engine, we approximated the dependences of the environmental indicators on n, the average effective pressure (pe), and the RO content in the MF (RO %).
An analysis of the available methods for approximating experimental data showed that approximation by a function to determine additional values that differ from the experimental data, where the function does not pass through the interpolation nodes, but is still reliable, results in a mathematical dependence that allows for multiparameter optimization [13].
The least squares method (LSM) can be used to obtain accurate values of functions when there is sufficiently reliable experimental data [14]. This mathematical method is based on minimizing the sum of squares of the deviations of functions from desired variables, and is used to solve overdetermined systems of equations, i.e., when the number of equations exceeds the number of unknown quantities, for solving ordinary (not overdetermined) nonlinear systems of equations, as well as for approximating the point values of functions based on sample data [15].
Deviations of the approximated functions of the obtained environmental indicators of the diesel engine, depending on the selected factors, are as follows:
, (1)
where ei is the deviation of the experimental data (% or ppm) from the values calculated by the approximated function, yi is the experimental value of the environmental indicators of diesel, С, NOx, CxHy, CO2, CO, [%, ppm, ppm, %, %], respectively, and is the value of the environmental indicators of the diesel engine, C, NOx, CxHy, CO2, CO, [%, ppm, ppm, %, %], respectively, of the approximated function.
The goal was to determine values of ni, pei, and ROi where the sum of the squares of the deviations of Eq. (1) are minimized:
(2)
The obtained experimental values of the environmental indicators of the diesel engine are represented by three-dimensional data arrays, and the values of the array elements are the values of the environmental indicators. An optimized second order function was determined based on the LSM, with the form:
(3)
where a, b, c, d, f, g, h, i, j and k are the required coefficients.
Taking into account Eq. (3), we obtained functions representing the sum of the squares of the deviations of the known experimental data from the corresponding data obtained from the approximated dependences.
By substituting Eq. (3) into Eq. (2) we obtained the following:
(4)
To determine the desired coefficients in Eq. (3) based on the vanishing minimum point of the derivatives of the functions C, NOx, CxHy, CO2, and CO, we determined the following system of equations:
(5)
After removal of the parentheses in the system of Eqs. (5) and equating it to zero, a complex system of equations was obtained. To solve this system, we used the Gauss–Newton algorithm, where:
- first we zeroed the polynomials for the desired coefficient a, starting with equation 2, and determined the coefficients for equation 1;
- then, equation 1 was multiplied by the corresponding coefficient and was added to the lower one, thus, the polynomials at the desired coefficient a were reduced;
- continuing the transformation, we determined the coefficients for equation 2 in the new system, such that the polynomials at the desired coefficient b were canceled from equations 3 and below.
As a result of transformation by the Gauss–Newton algorithm, we obtained the desired coefficients in Eq. (3) for C, NOx, CxHy, CO2, and CO:
(6)
The resulting system of Eqs. (6) represents the mathematical dependences of the environmental indicators of the D-245.5S diesel engine, with a dimension of 4ChN 11.0/12.5, from pe, the mass of RO in MF, and n.
The accuracy of the approximation of the obtained system of Eqs. (6) of the environmental indicators calculated by the LSM was 97.24 %, the Durbin-Watson coefficient was 1.85, and the average absolute error was 1.71, which indicated a satisfactory convergence of the experimental data obtained with the calculated mathematical model. A graphical interpretation of the obtained dependencies of the environmental indicators calculated by Eqs. (6) is shown in Fig. 2.
Fig. 2. Dependences of: a – soot С, %; b – nitrogen oxides NOx, ppm; c - unburned hydrocarbons CxHy, ppm; d – carbon dioxide CO2; %, e – carbon monoxide CO, % on the average effective pressure pe, MPa, the share of RO by mass in MF, % and the crankshaft rotation speed n, min–1 of D-245.5S diesel engine (4ChN 11,0/12,5)
An analysis of the obtained dependences (Fig. 2) revealed that an increase in n and the proportion of RO in the MF, and a decrease in pe, led to decreases in soot C up to 4.0%, nitrogen oxides NOx up to 100.0 ppm, unburned hydrocarbons CxHy up to 1.0 ppm, carbon dioxide CO2 up to 2 %, and an increase in carbon monoxide CO up to 0.16%.
To determine the optimal composition of a MF consisting of DF and RO we solved a system of equations where the main condition was to determine the values n, RO, and pe at the minimum possible values of all environmental indicators:
(7)
After the joint solution of the system of Eqs. (6), under the condition of Eq. (7), optimal values of n, RO and pe were obtained, where the minimum values of the environmental indicators of the diesel engine were achieved.
Since the determination of the mutual minima of a system of equations presupposes the presence of an interval due to the set of solutions, the most probable optimal solution was determined based on the optimality criterion (k-optimum), where the most probable value was greater than 0.96.
The optimal solution of the system of Eqs. (6) with the conditions of Eq. (7) is shown in Fig. 3.
Fig. 3. Dependence of the optimality criterion (k-optimum) on the average effective pressure pe, MPa, the share of RO by mass in MF, % and the crankshaft rotation speed n, min–1 of D-245.5S diesel engine (4ChN 11,0/12,5)
An analysis of the dependence presented in Fig. 3 showed that the optimal composition of the MF is with a RO content up to 35 % by weight, which ensured the minimum environmental performance of the D-245.5S diesel engine, with a dimension of 4ChN 11.0/12.5.
Conclusions
- The dependences of the environmental performance of a D-245.5S diesel engine, with a dimension of 4ChN 11.0/12.5, were experimentally determined to be a crankshaft rotation frequency of n = 1400 min-1 corresponding to the maximum torque value and a crankshaft rotation frequency of n = 1800 min-1 corresponding to the rated power value, under different loads and RO additives in the MF.
- An analysis of the experimental data revealed a dependence of the environmental indicators on the rotational speed of the diesel engine crankshaft, the average effective pressure, and the RO content in the MF, by weight.
- Using the LSM, approximated mathematical dependences of the environmental indicators of the diesel engine were determined, which revealed that increasing the crankshaft speed n and the proportion of RO in the MF, and decreasing the average effective pressure pe, led to decreases in soot C up to 4.0 %, nitrogen oxides NOx up to 100.0 ppm, unburned hydrocarbons CxHy up to 1.0 ppm, carbon dioxide CO2 up to 2 %, and an increase in carbon monoxide CO up to 0.16 %.
- By solving the obtained system of equations for the approximated dependencies of environmental indicators, the optimal RO content of the MF was determined to be up to 35 % by weight.
About the authors
S. A. Plotnikov
Vyatka State University
Email: shamilvb@mail.ru
Dsc in Engineering
Russian Federation, KirovSh. V. Buzikov
Vyatka State University
Email: shamilvb@mail.ru
PhD in Engineering
Russian Federation, KirovI. S. Kozlov
Vyatka State University
Author for correspondence.
Email: shamilvb@mail.ru
Russian Federation, Kirov
References
- Plotnikov S.A. i dr. Study of the operation of an autotractor diesel engine 4CHN 11, 0/12, 5 on mixtures of diesel fuel with rapeseed oil. Molochnokhozyaystvennyy vestnik. 2017. No 1 (25) (In Russ.).
- Matiyevskiy D.D. i dr. The use of rapeseed oil-based fuels in diesel engines. Polzunovskiy vestnik. 2006. No 4, pp. 118 (In Russ.).
- Markov V.A., Devyanin S.N., Kas’kov S.I. Optimization of the composition of mixtures of petroleum diesel fuel with vegetable oils. Izvestiya vysshikh uchebnykh zavedeniy. Mashinostroyeniye. 2016. No 7 (676), pp. 28−44 (In Russ.).
- Markov V.A., Markova V.V., Sivachev V.M., Sivachev S.M. Optimization of the composition of blended biofuels for diesel engines. Bezopasnost’ v tekhnosfere. 2014. No 6, pp. 19−30 (In Russ.).
- Markov V.A. i dr. Optimization of the composition of multicomponent biofuels for diesel engines of agricultural vehicles. Izvestiya vysshikh uchebnykh zavedeniy. Mashinostroyeniye. 2013. No 12, pp. 51–63 (In Russ.).
- Markov V.A. i dr. Optimization of the composition of blended biofuels based on vegetable oils for diesel engines. NBI-technologies. 2014. No 4 (In Russ.).
- Ivashchenko N.A. i dr. Optimization of mixed biofuel composition based on oil for transport diesel. Materials of the reports on the Intern. Conf., dedicated to the 100th anniversary of the engine-building school of the Bauman’s MSTU. Moscow. 2007, pp. 366−371 (In Russ.).
- Adgamov I.F., Shatalov K.V., Kostyleva O.V. Optimization of the diesel mixed fuel composition. Ekspluatatsiya avtotraktornoy i sel’skokhozyaystvennoy tekhniki: opyt, problemy, innovatsii, perspektivy. 2017, pp. 6−9 (In Russ.).
- Markov V.A., Devyanin S.N., Bykovskaya L.I. Optimization of the composition of multicomponent blended biofuels for diesel engines of agricultural machinery. Izvestiya vysshikh uchebnykh zavedeniy. Mashinostroyeniye. 2013. No 12 (In Russ.).
- Reza Miri S., Mousavi Seyedi S., Ghobadian B. Effects of biodiesel fuel synthesized from non-edible rapeseed oil on performance and emission variables of diesel engines. Journal of Cleaner Production. 2017. Vol. 142.
- Hellier P., Ladommatos N., Yusaf T. The influence of straight vegetable oil fatty acid composition on compression ignition combustion and emissions. Fuel. 2015. Vol. 143.
- Szabados G., Bereczky Á. Experimental investigation of physicochemical properties of diesel, biodiesel and TBK-biodiesel fuels and combustion and emission analysis in CI internal combustion engine. Renewable Energy. 2018. Vol. 121.
- Grechukhin A.N., Kuts V.V., Razumov M.S. Solving the problem of approximating curvilinear surfaces by layers with constant and variable sections when forming using additive methods. Vestnik Bryanskogo gosudarstvennogo tekhnicheskogo universiteta. 2019. No 3 (76) (In Russ.).
- Chuban M., Sheychenko R., Graborov R. Response surface approximation models in optimization studies of mechanical engineering structures. Vіsnik Natsіonal’nogo tekhnіchnogo unіversitetu «KHPІ». Serіya: Novі rіshennya u suchasnikh tekhnologіyakh. 2015. No 62, pp. 46−51 (In Russ.).
- Golubinskiy A.N. Methods for approximating experimental data and building models. Vestnik Voronezhskogo instituta MVD Rossii. 2007. No 2 (In Russ.).
Supplementary files






