Duration and geodynamic nature of giant Central Asian batholiths: geological and geochronological studies of the Khangai batholith
- 作者: Yarmolyuk V.V.1, Kozlovsky A.M.1, Travin A.V.2,3,4, Kirnozova T.I.5, Fugzan M.M.5, Kozakov I.K.6, Plotkina Y.V.6, Eenzhin G.7, Oyunchimeg T.7, Sviridova O.E.1
-
隶属关系:
- Institute of Geology of Ore Deposits, Petrography, Mineralogy, and Geochemistry, Russian Academy of Sciences
- Sobolev Institute of Geology and Mineralogy, Siberian Branch, Russian Academy of Sciences
- Novosibirsk State University
- Tomsk State University
- Vernadsky Institute of Geochemistry and Analytical Chemistry, Russian Academy of Sciences
- Institute of Precambrian Geology and Geochronology, Russian Academy of Sciences
- Institute of Paleontology and Geology, Mongolian Academy of Sciences
- 期: 卷 27, 编号 1 (2019)
- 页面: 79-102
- 栏目: Articles
- URL: https://journals.eco-vector.com/0869-592X/article/view/11316
- DOI: https://doi.org/10.31857/S0869-592X27179-102
- ID: 11316
如何引用文章
全文:
详细
In the Late Paleozoic and Early Mesozoic, during about 100 m.y., the world’s three largest batholiths (Angara-Vitim, Khangai, and Khentei, each up to 1 000 000 km3 in volume) had formed within the limits of the Central Asian orogenic belt. Considering the case of the Khangai batholith, the problem of how, when, and why such an extensive granite formation took place is analyzed. The geochronological data for granitoids of the batholith by U–Pb (ID-TIMS) and 40Ar/39Ar dating methods are systematized to distinguish three age groups of rocks. These rock groups are correlated to the geological events occurred in the region. The earliest group includes granitoids formed in the interval of 302–283 Ma. They tend to the western and southern framings of the batholith and correspond to the fragments of two igneous belts that crossed the region, where the batholith formed later, and reached the areas far beyond. The youngest group of igneous rocks (230–200 Ma) is developed in the eastern periphery of the batholith and corresponds to the marginal part of the large Early Mesozoic Mongol-Transbaikalian igneous zone, with the main part being located far away to the east of there. Igneous complexes that formed in the interval of 273–238 Ma correspond to the batholith proper. They are concentrated within the zone of 350 × 400 km in size and are represented by rocks of two associations: granite-granodiorite (Khangai complex) and granite-leucogranite (Sharaus Gol complex). The coeval analogs of these rocks are reported only in the framing of the batholith.
The comparison between the Khangai batholith and two other giant ones (Angara-Vitim and Khentei) revealed their similarity in terms of structure and evolution. They are all composed of similar rock associations and are of comparable sizes and age intervals of formation. For example, the Angara-Vitim and Khentei batholiths formed mainly in the intervals of 305–275 and 229–195 Ma, respectively. The obtained estimates of formation time of ~30 m.y. should seemingly be considered as the time necessary for chambers of anatectic magmas, which to certain degree formed giant (~1 000 000 km3 in volume) batholiths, to cool down in the Earth’s interior. The formation of giant batholiths is attributed to the effect of mantle plumes on the lithosphere of a young fold zone that appeared as a result of accretionary-collisional events in the marginal part of the Siberian paleocontinent.
全文:
ВВЕДЕНИЕ
В позднем палеозое и раннем мезозое на протяжении около 100 млн лет в пределах Центрально-Азиатского орогенного пояса (ЦАОП) возникло три крупнейших батолита мира – Ангаро-Витимский, Хангайский и Хэнтейский. Они представляют скопления отдельных плутонов, сложенных гранитоидами широкого диапазона составов от тоналитов и гранодиоритов до граносиенитов и лейкогранитов. Площадь каждого из батолитов оценивается более чем в 150 000 км2, слагающие их отдельные массивы на глубине сливаются в единые гигантские плитообразные тела мощностью от 5 до 15 км (Турутанов и др., 2007; Турутанов, 2011), что позволяет оценить объем каждого из них до 1 млн км3 и более. Образование таких гигантских объемов магматических пород вызывает вполне оправданный интерес, так как без расшифровки механизмов и условий их образования невозможно раскрыть особенности геологической и геодинамической истории соответствующих территорий. При решении этих вопросов на первое место выдвигаются проблемы геохронологические; и это совершенно естественно, так как понимание природы батолитов зависит от времени, последовательности и продолжительности проявления процессов батолитообразования.
Появление систематических геохронологических данных впервые позволило говорить о возрастной позиции рассматриваемых батолитов в шкале важнейших геологических событий в регионе. Так, было показано, что возраст Ангаро-Витимского батолита является не позднедокембрийским–раннепалеозойским, как считалось, а позднекаменноугольным–раннепермским (Ярмолюк и др., 1997а, 1997б; Цыганков и др., 2010; Цыганков, 2014; Litvinovsky et al., 2011; Ковач и др., 2012). Был определен раннемезозойский возраст гранитоидов Хэнтейского батолита (Ярмолюк и др., 2002; Коваленко и др., 2003), были намечены возрастные границы формирования Хангайского батолита (Оролмаа и др., 2008; Поляков и др., 2008; Яpмолюк и дp., 2008, 2013а, 2013б; Изох и др., 2011). Наряду с несомненными позитивными результатами таких исследований, расширение круга объектов, вовлеченных в геохронологические исследования, выявило ряд новых проблем, связанных, прежде всего, с абсолютизацией числовых данных и с отсутствием их должного геологического анализа. Так, появление данных о присутствии в пределах территорий, занятых батолитами, гранитоидов разных возрастных групп стало основанием для развития представлений о полихронном батолитообразовании, растянутом во времени на сотни млн лет.
В данной статье приведены новые геохронологические данные по гранитоидам Хангайского батолита и его ближайшего обрамления, выполнен их совместный анализ с ранее полученными результатами и на этой основе рассмотрены проблемы длительности формирования гигантских батолитов Центральной Азии, а также положения батолитов в общей шкале региональных геологических событий.
ОБЩАЯ ХАРАКТЕРИСТИКА ХАНГАЙСКОГО БАТОЛИТА
Подобно другим гигантским батолитам Центральной Азии, Хангайский батолит является элементом более крупной Хангайской магматической области (Ярмолюк, Коваленко, 2003а, 2003б; Ярмолюк и др., 2013в). Эта область охватывает территорию около 250 000 км2и характеризуется зонально-концентрическим строением (рис. 1). Центральную ее часть образует собственно Хангайский батолит, а периферию формируют Гоби-Алтайская и Северо-Монгольская рифтовые зоны с характерным для таких зон бимодальным (базальт-щелочно-риолитовым) и щелочно-гранитоидным магматизмом.
Рис. 1. Схема строения Хангайской зональной магматической области.
1 – мезозойско-кайнозойские впадины; 2 – допозднепалеозойские складчатые комплексы Центрально-Азиатского орогенного пояса; 3 – гранитоидные массивы Хангайского батолита; 4 – рифтовые зоны (ГАРЗ – Гоби-Алтайская, СМРЗ – Северо-Монгольская) с выходами бимодальных вулканических ассоциаций и щелочных гранитов; 5 – раннемезозойские вулканические поля и массивы гранитоидов; 6 – границы континентальных блоков Хангайской группы террейнов (Сон – Сонгинский, Дз – Дзабханский, Тар – Тарбагатайский, Хан – Хангайский); 7 – основные разломы; 8 – номер массива в табл. 3 и значение возраста в млн лет. На врезке показана схема размещения Хангайского магматического ареала в Центрально-Азиатском орогенном поясе.
Хангайский батолит – центральный и крупнейший фрагмент одноименной магматической области зонального строения. Он объединяет многочисленные массивы гранитоидов, сгруппированные на общей площади около 450 × 360 км (рис. 1). Батолит приурочен к композитному докембрийскому террейну (или Хангайской группе террейнов), включающему блоки раннедокембрийской коры (Байдарикский и Табагатайский), а также ранне- и позднебайкальские структуры, развитые по обрамлению раннедокембрийских блоков и сшивающие их (Козаков и др., 2007, 2011, 2013, 2017; Ярмолюк и др., 2017б). Осевую часть составного террейна образует Хангайский прогиб, выполненный терригенными отложениями девона и раннего карбона (Геология…, 1973). Последние представлены главным образом алевролитами и песчаниками с редкими прослоями конгломератов, кварцитов и эффузивов кислого и среднего состава (хангайская серия). Основание прогиба не вскрыто.
В строении Хангайского батолита выделяется несколько комплексов магматических пород (Геология…, 1973; Тектоника…, 1974; Федорова, 1977; Dergunov et al., 2001). Ранний (тарбагатайский) комплекс сложен гранодиоритами, тоналитами, плагиогранитами и в составе ранних фаз включает габбро и габбро-диориты. Основной объем в строении батолита занимают породы хангайского комплекса, представленные средне-крупнозернистыми порфировидными роговообманково-биотитовыми и биотитовыми гранодиоритами и гранитами, связанными между собой фациальными переходами. Завершающими в формировании батолита стали субщелочные лейкократовые граниты шараусгольского комплекса. Дополнительная систематика гранитоидов батолита была дана в работах (Карта…, 1989; Геологические…, 1995). Она предусматривает разделение гранитоидов батолита в соответствии с их составом на две магматические формации: гранит-гранодиоритовую, включавшую главным образом породы хангайского комплекса, и гранит-лейкогранитовую, соответствующую преимущественно породам шараусгольского комплекса.
Особое место в строении батолита занимают синплутонические интрузии мафических пород – дайки, штоки, небольшие массивы. Они распространены практически повсеместно, но в разном объемном выражении и характеризуются зонами смешения расплавов (зонами минглинга) на контактах с гранитоидами батолита. В последние годы нами в строении центральных участков батолита были установлены также щелочные граниты, имеющие большое геохимическое сродство с породами периферических рифтовых зон магматического ареала (Ярмолюк и др., 2013б, 2016).
Возрастная позиция гранитоидов батолита, как и последовательность формирования магматических комплексов, была установлена главным образом на основе их соотношений с отложениями Хангайского прогиба, а также соотношений между отдельными массивами. Этими соотношениями обоснован послекарбоновый возраст гранитоидов центральных участков батолита, которые прорывают карбоновые отложения хангайской серии. Возрастная позиция гранитов, связанных с блоками раннедокембрийских и байкальских структур, менее определенная. Это даже привело к пересмотру возраста гранитоидов северной части батолита, развитых в поле раннедокембрийских пород Тарбагатайского блока. На среднемасштабных геологических картах, составленных в последние десятилетия ХХ столетия, они были определены как кембрийские, и эта точка зрения была отражена на карте (Atlas…, 2008).
Еще совсем недавно в литературе имелось немного геохронологических данных для такого гиганта, как Хангайский батолит. Было получено несколько U–Pb определений возраста для гранитоидов восточной и юго-восточной частей батолита (Budnikov et al., 1999; Оролмаа и др., 2008; Яpмолюк и дp., 2008), а также ряд Rb–Sr, K–Ar, Sm–Nd и U–Pb оценок возраста для гранитоидов из района Баянхонгорской зоны (Arakawa et al., 1999; Takahashi et al., 2000; Jahn et al., 2004; Оролмаа и др., 2008). При этом в работах (Arakawa et al., 1999; Takahashi et al., 2000; Jahn et al., 2004) приводятся данные Rb–Sr изохронного датирования, основанные на изотопных определениях валового состава пород разобщенных гранитоидных массивов батолита. Поэтому эти датировки являлись ориентировочными и не могли быть использованы в качестве оценок времени становления конкретных массивов и, соответственно, для установления длительности гранитоидного магматизма в целом. Наряду с гранитами были исследованы также базитовые интрузии центральных участков батолита, для которых были получены 40Ar/39Ar и U–Th–Pb (SIMS) определения возраста (Изох и др., 2011; Шелепаев и др., 2015), показавшие их одновременное формирование с гранитоидами батолита.
Наиболее достоверные данные были получены в последнее время для гранитоидов центральной части батолита (Ярмолюк и др., 2008, 2013а, 2013б), а также для ряда гранитоидов А-типа, развитых в его краевых участках (Сальникова и др., 2014; Kozlovsky et al., 2015). Так, в центре батолита, соответствующем Хангайскому прогибу, U–Pb методом по циркону (ID-TIMS) определен возраст наиболее крупных плутонов: Тацаин-Гольского (246 ± 2 млн лет), Эрдэнэ-Цогтского (240 ± 1 млн лет), Эгин-Дабинского (246 ± 10 млн лет), Цэцэрлэгского (255 ± 1 млн лет), Хойт-Тамирского (255 ± 1 млн лет). На рис. 1 эти массивы соответственно показаны под номерами с 9 по 13. Получены оценки возраста гранитоидов А-типа следующих массивов: Джаргалантского (246 ± 1 млн лет), Тосонценгельского (268 ± 1 млн лет) и Улан-Улинского (283 ± 1 млн лет), представленных на рис. 1 соответственно под номерами 4, 5, 22.
Полученные к настоящему времени оценки возраста пород Хангайского батолита характеризуются значительным разбросом от 302 до 228 млн лет. Однако эти геохронологические определения остаются не вполне представительными, так как в основном характеризуют центральную и юго-восточную части батолита. Поэтому нами были продолжены систематические геохронологические исследования пород батолита в разных его участках. При этом решались задачи возрастной характеристики как гранитных массивов северной части батолита, связанных с Тарбагатайским блоком и считавшихся раннепалеозойскими (Atlas…, 2008), так и крупнейших плутонов южной и западной частей батолита, остававшихся геохронологически неизученными. Эти исследования изменили представления и о формационном расчленении пород батолита. Наряду с массивами, относимыми к хангайскому или шараусгольскому комплексам (к гранит-гранодиоритовой и гранит-лейкогранитовой формациям соответственно), мы выделили также отдельную группу гранитоидов А-типа, которые не являются типичными для батолита и были установлены в его строении в последние годы (Ярмолюк и др., 2013б). Такие граниты были обнаружены нами как в центральных участках батолита, так и особенно широко в его краевых участках, развитие которых происходило под влиянием рифтогенных процессов, протекавших в Гоби-Алтайской и Северо-Монгольской рифтовых зонах Хангайского зонального магматического ареала. Исследования опирались на данные U–Pb метода датирования по циркону (ID-TIMS) и 40Ar/39Ar метода по амфиболу. Первый метод наиболее прецизионный из существующих на сегодняшний день и традиционно используется для определения возраста магматических пород. Второй также можно использовать для этой цели, так как амфибол обладает наибольшей среди К-содержащих минералов температурой закрытия K–Ar изотопной системы (более 550°С). В изученных породах он кристаллизовался на магматической стадии и практически лишен вторичных изменений. Эти породы не были подвержены высокотемпературным постмагматическим преобразованиям и кристаллизовались главным образом в гипабиссальных условиях, что предполагает быстрое их охлаждение до температуры менее 550°С.
МЕТОДЫ ИССЛЕДОВАНИЯ
Выделение акцессорного циркона проводили по стандартной методике с использованием тяжелых жидкостей. U–Pb геохронологические исследования (ID-TIMS) выполнены в ГЕОХИ РАН (г. Москва).
Химическое разложение цирконов и выделение U, Pb выполняли по модифицированной методике (Krogh, 1973). Изотопный анализ выполнен на многоколлекторном масс-спектрометре TRITON TI. Точность определения содержаний U и Pb составила 0.5%. Холостое загрязнение не превышало 0.1 нг Pb и 0.05 нг U. Обработку экспериментальных данных проводили по программам “PbDAT” и “ISOPLOT” (Ludwig, 1991, 2003). Поправки на обычный свинец введены в соответствии с модельными величинами (Stacey, Kramers, 1975). Все ошибки приведены на уровне 2s.
Изучение внешней и внутренней морфологии цирконов проводили с помощью электронного сканирующего микроскопа ABT-55 (Япония) с катодолюминесцентной приставкой Gatan (Германия) в ИГГД РАН (Санкт-Петербург). Режимы съемки: ускоряющее напряжение – 25 кВ, рабочее расстояние – 25 мм.
40Ar/39Ar исследования проводили в ИГМ СО РАН (г. Новосибирск) по методике (Травин и др., 2009). Навески минеральных фракций совместно с навесками стандартного образца биотита МСА-11 (ОСО № 129-88), используемого в качестве монитора, заворачивали в алюминиевую фольгу, помещали в кварцевые ампулы. Биотит МСА-11 был аттестован в качестве 40Ar/39Ar монитора с помощью стандартных образцов мусковита Bern 4m, биотита LP-6. В качестве его интегрального возраста принято среднее результатов калибровки, составившее 311.0 ± 1.5 млн лет. Ампулы с образцами запаивали после откачки с прогревом до 200°С, затем помещали в алюминиевый пенал, заполненный для защиты от тепловых нейтронов карбидом бора, и облучали в охлаждаемом водой канале научного реактора ВВР-К типа Физико-технического института при Томском политехническом университете. Градиент нейтронного потока не превышал 0.5% в размере образца. Эксперимент по ступенчатому прогреву проводили в кварцевом реакторе с печью внешнего прогрева, температура прогрева контролировалась термопреобразователем ТХА/ТХК с точностью ± 1°С. Холостой опыт по 40Ar (10 мин при 1200°С) не превышал 5 × 10-10 нсм3. Очистку аргона производили с помощью ZrAl SAES-геттеров. Изотопный состав аргона измеряли на масс-спектрометре Noble gas 5400. Ошибки измерений, приведенные в тексте и на рисунках, соответствуют интервалу ± 1σ.
ОБЪЕКТЫ И РЕЗУЛЬТАТЫ РЕПЕРНОГО ДАТИРОВАНИЯ
В ходе геохронологических исследований мы исходили из того, что, во-первых, возрастные данные необходимо было получить для пород главных формационных комплексов батолита и, во-вторых, объекты датирования должны были более или менее равномерно характеризовать все его крупные сегменты. Такие сегменты четко согласуются с тектоническими блоками, вмещающими массивы батолита, – Тарбагатайским, Хангайским, Сонгинским и Дзабханским. Схема районирования отражена на рис. 1. Ниже приведена краткая характеристика изученных массивов, в том числе тех, которые стали объектами новых геохронологических исследований, в соответствии с их принадлежностью различным блокам.
Тарбагатайский блок
Более 70% площади этого блока слагают разные по составу гранитоиды. Их массивы характеризуются дискордантными взаимоотношениями с вмещающими докембрийскими комплексами. На карте (Карта…, 1989) массивы отнесены к гранит-гранодиоритовой и гранит-лейкогранитовой формациям по преобладающему составу пород и сопоставляются с хангайским и шараусгольским комплексами соответственно (Геологические…, 1995).
Массивы гранодиорит-гранитовой формации были изучены в разных участках Тарбагатайского блока. Наиболее крупный (70 × 30 км) из них Орохын-Дабинский (по названию перевала) плутон слагает водораздельную часть хр. Тарбагатай к северу от оз. Тэрхийн-Цаган-Нур (№ 1 на рис. 1). Массив прорывает раннедокембрийские гнейсы и гнейсограниты идерского комплекса (Козаков и др., 2011), а также анортозиты протерозойского Муст-Улинского массива. В строении массива участвуют серые порфировидные, гнейсовидные или равномернозернистые биотитовые и биотит-роговообманковые граниты и гранодиориты, характерные для массивов хангайского комплекса. U–Pb геохронологические исследования (ID-TIMS) порфировидных гранитов с крупными вкрапленниками калиевого полевого шпата показали возраст становления массива 256 ± 1 млн лет (Ярмолюк и др., 2013б).
Терхин-Гольский массив – крупный (20 × 10 км) плутон (№ 2 на рис. 1), граничащий с востока с Муст-Улинским анортозитовым массивом. Терхин-Гольский массив сложен биотит-роговообманковыми порфировидными серыми и розовато-серыми монцонитами, гранодиоритами и гранитами, часто с крупными порфировыми выделениями калиевого полевого шпата. Определение возраста пород массива выполнено на основе 40Ar/39Ar геохронологических исследований амфибола из пробы ХАН-10/36 среднезернистых биотит-амфиболовых монцонитов (табл. 1). В спектре ступенчатого прогрева амфибола отмечается отчетливое трехступенчатое плато, охватывающее 95.4% выделенного 39Ar и соответствующее возрасту 247 ± 3 млн лет (рис. 2a). Образующие плато ступени обладают постоянным отношением Ca/K, что фиксирует однородность позиции калия в структуре датируемого минерала. Учитывая магматический генезис амфибола и отсутствие наложенных деформаций, этот возраст принимается как время становления Терхин-Гольского массива.
Таблица 1. Результаты 40Ar/39Ar геохронологических исследований амфиболов из гранитоидов и вулканических пород Хангайского региона
T°C | 40Ar(STP)×10-9 | 40Ar/39Ar | ±1σ | 38Ar/39Ar | ±1σ | 37Ar/39Ar | ±1σ | 36Ar/39Ar | ±1σ | Ca/K | ∑39Ar (%) | Возраст (млн лет) | ±1σ |
Терхин-Гольский массив, монцонит ХАН-10/36, навеска 142,03 мг, J = 0.004273 ± 0.000048; интегральный возраст = 248 ± 3 млн лет; возраст плато (1000–1130°С) = 247 ± 3 млн лет | |||||||||||||
500 | 7,6 | 148,97 | 4,08 | 0,0616 | 0,0282 | 239,1 | 29,3 | 0,08555 | 0,02032 | 860,8 | 0,3 | 765,5 | 35,3 |
700 | 6,9 | 51,67 | 0,86 | 0,0065 | 0,012 | 38,7 | 17,7 | 0,02171 | 0,01211 | 139,1 | 1 | 319 | 23,8 |
900 | 14,7 | 37,04 | 0,17 | 0,024 | 0,0019 | 13,4 | 4,9 | 0,02414 | 0,00327 | 48,1 | 3,3 | 216,9 | 7 |
1000 | 260,1 | 34,73 | 0,02 | 0,0173 | 0,0001 | 5,9 | 0,3 | 0,00134 | 0,00029 | 21,1 | 46 | 247 | 2,7 |
1050 | 245,3 | 34,5 | 0,02 | 0,0183 | 0,0002 | 5,7 | 0,2 | 0,0024 | 0,00039 | 20,5 | 86,6 | 243,3 | 2,7 |
1130 | 83,8 | 35,65 | 0,04 | 0,0186 | 0,0007 | 7,3 | 1,2 | 0,00241 | 0,00081 | 26,2 | 100 | 251 | 3,1 |
Дархан-Улинский массив, щелочной гранит ХАН-06/6, навеска 99,63 мг, J = 0.004229 ± 0.000047; интегральный возраст = 270 ± 3 млн лет; возраст плато (700–975°С) = 267 ± 3 млн лет | |||||||||||||
550 | 24 | 90,97 | 0,48 | 0,03472 | 0,00356 | 2,9 | 4,6 | 0,09998 | 0,0044 | 10,5 | 2,1 | 416,6 | 9,1 |
700 | 43,9 | 44,18 | 0,14 | 0,02034 | 0,00081 | 1,5 | 3,3 | 0,02224 | 0,00221 | 5,3 | 10 | 266,3 | 5,2 |
800 | 88,2 | 38,19 | 0,06 | 0,01521 | 0,00064 | 3,5 | 1,1 | 0,00153 | 0,00073 | 12,5 | 28,4 | 267,1 | 3,1 |
900 | 99,4 | 39,4 | 0,04 | 0,01571 | 0,00081 | 1 | 1,2 | 0,00646 | 0,00078 | 3,8 | 48,4 | 265,5 | 3,1 |
975 | 246,5 | 40,39 | 0,02 | 0,0171 | 0,00018 | 2,1 | 0,5 | 0,00884 | 0,00032 | 7,4 | 96,9 | 267,4 | 2,8 |
1130 | 16,3 | 41,72 | 0,18 | 0,01298 | 0,00412 | 0,3 | 3,7 | 0,01795 | 0,00355 | 1 | 100 | 258,4 | 7,5 |
Батцэнгельский массив, щелочной гранит БТЦ-1/17, навеска 145,28 мг, J = 0.004565 ± 0.000055; интегральный возраст = 219 ± 3 млн лет; возраст плато (800–1130°С) = 220 ± 3 млн лет | |||||||||||||
500 | 7 | 64,25 | 0,67 | 0,06998 | 0,00884 | 1,039 | 0,436 | 0,14816 | 0,01049 | 3,7 | 1,3 | 161,2 | 23,2 |
600 | 10,8 | 37,3 | 0,15 | 0,01664 | 0,00484 | 0,797 | 0,169 | 0,03936 | 0,00387 | 2,9 | 4,6 | 199,9 | 8,8 |
700 | 24,3 | 36,19 | 0,09 | 0,02027 | 0,00303 | 1,88 | 0,068 | 0,0253 | 0,00242 | 6,8 | 12,4 | 222,2 | 5,8 |
800 | 72,3 | 30,45 | 0,02 | 0,01749 | 0,00076 | 0,952 | 0,008 | 0,00659 | 0,00063 | 3,4 | 40 | 220,7 | 2,9 |
875 | 122,8 | 29,64 | 0,02 | 0,01685 | 0,00027 | 0,285 | 0,004 | 0,00418 | 0,00047 | 1 | 88,1 | 220 | 2,7 |
1050 | 13,7 | 37,26 | 0,11 | 0,02165 | 0,00343 | 0,643 | 0,041 | 0,02965 | 0,00298 | 2,3 | 92,3 | 220,6 | 6,9 |
1130 | 21,5 | 32,57 | 0,09 | 0,02338 | 0,00202 | 0,622 | 0,078 | 0,01526 | 0,00276 | 2,2 | 100 | 217,4 | 6,5 |
Баян-Булакский массив, кварцевый диорит ХАН-09/43, навеска 155,5 мг, J = 0.003887 ± 0.000040; интегральный возраст = 250 ± 3 млн лет; возраст плато (1000–1140°С) = 260 ± 3 млн лет | |||||||||||||
500 | 7,6 | 60,58 | 0,9 | 0,05208 | 0,00694 | 1,82 | 0,67 | 0,14096 | 0,00942 | 6,5 | 1,4 | 128,1 | 17,9 |
625 | 10,3 | 44,54 | 0,17 | 0,03923 | 0,00419 | 1,15 | 0,62 | 0,06556 | 0,00547 | 4,1 | 4 | 168,4 | 10,5 |
725 | 10,2 | 48,78 | 0,19 | 0,0417 | 0,00254 | 2,36 | 0,2 | 0,06437 | 0,00733 | 8,5 | 6,3 | 197,5 | 13,8 |
825 | 14,7 | 43,06 | 0,15 | 0,02703 | 0,00571 | 1,27 | 0,44 | 0,04645 | 0,00407 | 4,6 | 10,1 | 194,8 | 7,8 |
925 | 14,4 | 38,86 | 0,1 | 0,02226 | 0,00245 | 5,81 | 0,36 | 0,02024 | 0,00343 | 20,9 | 14,2 | 217 | 6,7 |
1000 | 36,7 | 43,47 | 0,1 | 0,02031 | 0,00174 | 9,6 | 0,11 | 0,01018 | 0,00094 | 34,6 | 23,6 | 263,5 | 3,1 |
1070 | 219,3 | 40,54 | 0,02 | 0,01949 | 0,00018 | 8,19 | 0,02 | 0,00288 | 0,00023 | 29,5 | 83,8 | 258,9 | 2,5 |
1140 | 58,7 | 40,19 | 0,04 | 0,02095 | 0,00058 | 6,35 | 0,07 | 0,00228 | 0,00066 | 22,9 | 100 | 257,8 | 2,7 |
Гулинский массив, гранодиорит ХАН-10/20, навеска 178,29 мг, J = 0.005549 ± 0.000080; интегральный возраст = 293 ± 4 млн лет; возраст плато = 293 ± 4 млн лет | |||||||||||||
500 | 13,9 | 92,35 | 0,69 | 0,06091 | 0,0063 | 7,1 | 3,84 | 0,17101 | 0,00719 | 25,6 | 1,1 | 376,5 | 17,9 |
650 | 14,8 | 54,27 | 0,3 | 0,03733 | 0,00588 | 0,43 | 1,88 | 0,07796 | 0,00538 | 1,5 | 3 | 288,3 | 14,1 |
800 | 13,3 | 39,79 | 0,17 | 0,01042 | 0,00546 | 1,08 | 2,21 | 0,03686 | 0,00392 | 3,9 | 5,4 | 268,3 | 10,7 |
900 | 10,9 | 42,7 | 0,08 | 0,03278 | 0,0056 | 6,44 | 1,2 | 0,03112 | 0,00155 | 23,2 | 7,2 | 307,7 | 5,6 |
1000 | 52,7 | 33,39 | 0,02 | 0,01737 | 0,00038 | 10,32 | 0,53 | 0,00438 | 0,00057 | 37,2 | 18,5 | 295,7 | 4,2 |
1065 | 169,4 | 32,37 | 0,02 | 0,01826 | 0,00018 | 9,08 | 0,14 | 0,00214 | 0,00048 | 32,7 | 55,8 | 292,6 | 4,1 |
1130 | 196,1 | 31,66 | 0,02 | 0,01717 | 0,00015 | 8,31 | 0,05 | 0,00002 | 0,00042 | 29,9 | 100 | 291,9 | 4 |
Хара-Нурский массив, щелочной гранит ХАН-08/35, навеска 149,09 мг, J = 0.004046 ± 0.000043; интегральный возраст = 288 ± 3 млн лет; возраст плато (800–1130°С) = 288 ± 3 млн лет | |||||||||||||
500 | 15,6 | 130,47 | 0,92 | 0,06554 | 0,01195 | 5,22 | 4,47 | 0,29726 | 0,00577 | 18,8 | 0,9 | 287,1 | 10,5 |
650 | 21,3 | 62,84 | 0,28 | 0,03363 | 0,00518 | 0,14 | 1,94 | 0,06983 | 0,00347 | 0,5 | 3,5 | 284,4 | 7 |
800 | 136,7 | 50,47 | 0,03 | 0,02356 | 0,00042 | 0,83 | 0,31 | 0,02539 | 0,00047 | 3 | 23,9 | 289,1 | 3 |
850 | 121 | 47,47 | 0,02 | 0,02072 | 0,00033 | 0,89 | 0,29 | 0,0157 | 0,00029 | 3,2 | 43,1 | 288,3 | 2,9 |
925 | 175,4 | 47,72 | 0,03 | 0,02167 | 0,00018 | 1,09 | 0,22 | 0,01567 | 0,00033 | 3,9 | 70,9 | 289,9 | 2,9 |
1000 | 9,9 | 51,9 | 0,33 | 0,03367 | 0,00416 | 5,23 | 4 | 0,03995 | 0,00496 | 18,8 | 72,4 | 271,2 | 9,7 |
1130 | 179,5 | 49,02 | 0,02 | 0,02138 | 0,00011 | 2,53 | 0,2 | 0,02142 | 0,00022 | 9,1 | 100 | 287,5 | 2,9 |
Дулан-Улинское вулканическое поле, трахит ХАН-09/18, навеска 120,75 мг, J = 0.004099 ± 0.000044; интегральный возраст = 287 ± 3 млн лет; возраст плато (1000–1050°С) = 289 ± 3 млн лет | |||||||||||||
500 | 9,5 | 96,35 | 1,37 | 0,11148 | 0,01091 | 11,96 | 3,99 | 0,21752 | 0,00779 | 43,1 | 0,8 | 222,9 | 14,3 |
600 | 15,8 | 120,91 | 1,02 | 0,09552 | 0,01573 | 6,28 | 3,37 | 0,31671 | 0,01193 | 22,6 | 1,9 | 191,5 | 23 |
750 | 18,4 | 308,79 | 5,92 | 0,25361 | 0,02092 | 0,48 | 14,03 | 0,93787 | 0,02455 | 1,7 | 2,4 | 220,1 | 32,6 |
900 | 19,6 | 171,11 | 2,03 | 0,12141 | 0,01261 | 8,13 | 6,49 | 0,46307 | 0,0115 | 29,3 | 3,4 | 237,2 | 19,7 |
1000 | 22,7 | 79,13 | 0,16 | 0,03721 | 0,00495 | 4,77 | 1,42 | 0,12552 | 0,00282 | 17,2 | 5,8 | 286,8 | 6 |
1050 | 45,2 | 50,09 | 0,06 | 0,02657 | 0,00166 | 5,68 | 0,3 | 0,02666 | 0,00228 | 20,4 | 13,3 | 287,9 | 5,1 |
1100 | 174,2 | 46,32 | 0,02 | 0,02401 | 0,00028 | 6,64 | 0,2 | 0,01365 | 0,00026 | 23,9 | 44,8 | 288,4 | 2,9 |
1150 | 289,8 | 44 | 0,02 | 0,02033 | 0,0002 | 6,37 | 0,06 | 0,00438 | 0,0001 | 22,9 | 100 | 291 | 2,9 |
Примечание. J – параметр, характеризующий величину нейтронного потока.
Рис. 2. Результаты 40Ar/39Ar геохронологических исследований амфиболов из гранитоидов и вулканических пород Хангайского региона.
Алаг-Увер-Улинское поле даек (№ 6 на рис. 1) выделяется на западном склоне горного массива Алаг-Увер-Ула в 12 км к юго-востоку от сомона Шине-Идэр. Дайки представлены вертикальными телами мощностью от 0.5 до 1.5 м, ориентированными в субширотном направлении. Предполагается, что дайки являются апофизами более крупного массива гранитоидов, слагающих горный массив Алаг-Увер-Ула. Наблюдаемая ширина дайкового пояса превышает 100 м. Дайки прорывают контактовую зону между светло-серыми гнейсами ранненеопротерозойского комплекса и диоритами предположительно раннепалеозойского возраста. Они сложены светло-серыми и розовато-серыми мелкозернистыми аплитовидными, местами пегматоидными биотитовыми гранитами, которые характерны для пород хангайского комплекса. Датирование пород дайкового поля выполнено U–Pb методом (ID-TIMS) по циркону из пегматоидных биотитовых гранитов (проба 7023). Габитус идиоморфных кристаллов циркона варьирует от длиннопризматического до короткопризматического, Кудл. = 2–4.5. Огранение представлено комбинацией призм {100}, {110} и дипирамид {111}, {101}, {021}. Катодолюминесцентное исследование внутреннего строения кристаллов циркона выявило тонкую осцилляционную зональность, а также присутствие в отдельных зернах реликтов (рис. 3а). Для изотопного анализа были использованы две навески циркона из размерной фракции 100–150 мкм, а также кристаллы, подвергнутые предварительной кислотной обработке в течение 8 часов (Mattinson, 1994). Точки изотопного состава изученного циркона (табл. 2, № 1–3) располагаются на дискордии, нижнее пересечение которой с конкордией отвечает возрасту 256 ± 8 млн лет, СКВО = 0.021 (рис. 3а). Верхнее пересечение дискордии с конкордией соответствует возрасту 630 ± 14 млн лет. Учитывая магматический генезис циркона и наличие унаследованных ядер, полученная оценка возраста по нижнему пересечению дискордии с конкордией 256 ± 8 млн лет принимается как время становления гранитоидных даек Алаг-Увер-Улинского поля.
Таблица 2. Результаты U–Pb ID-TIMS исследований цирконов из гранитоидов Хангайского региона
№ п/п | Размер фракции (мкм) и ее характеристика | Навеска, мг | Содержание, мкг/г | Изотопные отношения | Возраст, млн лет по отношениям | ||||||||
Pb | U | 206Pb/204Pb | 206Pb/207Pb | 206Pb/208Pb | 207Pb/235U | 206Pb/238U | Rho | 207Pb/235U | 206Pb/238U | 207Pb/206Pb | |||
Алаг-Увер-Улинское дайковое поле, пегматоидный гранит 7023 | |||||||||||||
1 | –150+100 | 1.3 | 26.2 | 346.3 | 2304 | 15.616±1 | 4.979±2 | 0.5532±13 | 0.0694±2 | 0.8 | 447±4 | 433±4 | 522±4 |
2 | –150+100 | 1.0 | 27.3 | 349.3 | 5565 | 16.430±3 | 5.332±1 | 0.5890±12 | 0.0733±1 | 0.95 | 469±5 | 455±4 | 541±1 |
3 | +75, СР 8 час | 3.7 | 17538 | 17.755±7 | 5.578±9 | 0.4249±11 | 0.0555±1 | 0.96 | 373±4 | 364±4 | 434±2 | ||
Богдын-Гольский массив, монцодиорит 7873 | |||||||||||||
4 | –100+75 | 1.9 | 19.0 | 325 | 761 | 13.762±3 | 2.3476±1 | 0.3330±6 | 0.0451±8 | 0.85 | 292±6 | 285±6 | 351±3 |
5 | –100+75 | 1.3 | 22.0 | 389 | 1505 | 16.147±4 | 2.5079±1 | 0.3160±6 | 0.0438±8 | 0.93 | 279±6 | 277±6 | 297±2 |
6 | –150+100, СР | 3.2 | 5545 | 18.398±3 | 2.6401±3 | 0.3106±7 | 0.0434±8 | 0.83 | 275±2 | 274±2 | 275±3 | ||
Примечание. Все ошибки приведены на уровне 2s. СР – селективное растворение.
Рис. 3. Результаты U–Pb геохронологических исследований циркона (ID-TIMS) из гранитоидов Хангайского батолита: морфология кристаллов (верхний ряд фотографий), катодолюминесцентные изображения внутреннего строения кристаллов (нижний ряд фотографий) и диаграммы с конкордией.
Возраст пород гранит-лейкогранитовой формации был оценен на примере Джаргалантского массива, расположенного в районе сомона Джаргалант (№ 4 на рис. 1). Массив сложен красными и розовыми биотитсодержащими граносиенитами и лейкогранитами. Его размеры составляют 15 × 7 км, и он прорывает гранитоиды Орохын-Дабинского массива. Возраст массива определен на основе U–Pb датирования циркона (ID-TIMS) из граносиенитов и составил 246 ± 1 млн лет (Ярмолюк и др., 2013б; Сальникова и др., 2014).
Гранитоиды А-типа в пределах блока представляют породы Тосонценгельского, Дархан-Улинского и Батцэнгельского массивов.
Тосонценгельский массив расположен в области наложения Северо-Монгольской рифтовой зоны на северный край батолита (№ 5 на рис. 1). Массив прорывает поздненеопротерозойско-кембрийские островодужные комплексы Идерской зоны и вулканические толщи позднего палеозоя и сложен средне-крупнозернистыми щелочными гранитами. Его возраст установлен на основе U–Pb датирования циркона (ID-TIMS) и составил 268 ± 1 млн лет (Ярмолюк и др., 2013б; Сальникова и др., 2014).
Дархан-Улинский массив расположен в центре Хангайского нагорья у западного края оз. Тэрхийн-Цаган-Нур (№ 3 на рис. 1). В рельефе ему соответствует г. Дархан-Ула. Массив в поперечнике составляет около 2 км, вмещающими для него служат палеопротерозойские анортозиты Муст-Улинского массива. Дархан-Улинский массив сложен серыми среднезернистыми эгирин-арфведсонитовыми щелочными гранитами, в которых местами отмечаются небольшие жильные тела мелкозернистых щелочных гранитов. Геохронологические исследования пород массива были выполнены 40Ar/39Ar методом по арфведсониту, выделенному из пробы ХАН-06/6 среднезернистых щелочных гранитов. Арфведсонит образует удлиненные идиоморфные кристаллы размером до 3 мм. 95% выделенного 39Ar образуют четырехступенчатое плато (табл. 1, рис. 2б), отвечающее возрасту 267 ± 3 млн лет (интегральный возраст составляет 270 ± 3 млн лет). Низкие отношения Са/K показывают щелочной характер амфибола, однородность состава и структурной позиции К в нем. Учитывая магматический генезис амфибола и отсутствие видимых вторичных изменений, определенный по плато возраст может рассматриваться как время становления щелочных гранитов Дархан-Улинского массива.
Батцэнгельский массив (№ 7 на рис. 1) расположен в центральных участках батолита на левобережье р. Хойт-Тамир в районе западного обрамления раннемезозойской Батцэнгельской впадины. Массив в поперечнике достигает 6 км и прорывает вулканическую базальт-щелочно-риолитовую толщу, залегающую в низах разреза вулканических комплексов впадины. Массив сложен светло-серыми средне- крупнозернистыми арфведсонитовыми щелочными гранитами. Геохронологические исследования пород массива были выполнены 40Ar/39Ar методом по арфведсониту, выделенному из среднезернистых щелочных гранитов пробы БТЦ-1/17, характеризующей центральные участки массива. Арфведсонит образует идиоморфные кристаллы размером до 3 мм без видимых вторичных изменений. В 40Ar/39Ar возрастном спектре выделяется четырехступенчатое высокотемпературное плато, охватывающее 88% выделенного 39Ar (табл. 1, рис. 2в). Все ступени возрастного спектра имеют низкие отношения Са/K, что характерно для щелочного амфибола. Определенный по плато возраст составляет 220 ± 3 млн лет, интегральный возраст 219 ± 3 млн лет. Поскольку арфведсонит имеет все признаки кристаллизации из расплава, а становление массива происходило в гипабиссальных условиях, определенный по плато возраст принимается как время внедрения щелочных гранитов Батцэнгельского массива.
Хангайский блок
Этот блок представлен структурами Хангайского прогиба, расположенными между Тарбагатайским и Дзабханским раннедокембрийскими блоками. Прогиб выполнен вулканогенно-кремнистыми комплексами девона и терригенными отложениями раннего и среднего карбона, выделяемыми как xангайcкая cеpия (Тектоника…, 1974; Федорова, 1977). Массивы этой части батолита имеют четкие нижние возрастные ограничения, так как прорывают породы хангайской серии. Здесь серия крупных массивов, являющихся эталонными для всего батолита, была исследована геохронологическими методами.
Гранодиорит-гранитовая формация (хангайский интрузивный комплекс) была изучена на примере Тацин-Гольского, Эрдэнэ-Цогтского и Хойт-Тамирского массивов. Тацин-Гольский массив является крупнейшим (>3000 км2) в юго-восточной части Хангайского батолита. Он расположен в верховьях р. Тацин-Гол (№ 9 на рис. 1) и сложен роговообманково-биотитовыми и биотитовыми гранодиоритами, монцогранитами и гранитами, сформировавшимися в две фазы внедрения. В составе первой фазы преобладают гранодиориты, но также присутствуют кварцевые диориты и тоналиты. Породы второй фазы представлены средне-крупнозернистыми монцогранитами и гранитами, как правило, с отчетливой порфировидной структурой. Возраст массива оценен на основе U–Pb датирования циркона (ID-TIMS) из гранитов второй фазы и составил 246 ± 2 млн лет (Ярмолюк и др., 2013а).
Эрдэнэ-Цогтский массив расположен на левом берегу р. Туин-Гол ниже сомона Эрдэнэ-Цогт (№ 10 на рис. 1). Массив прорывает среднепалеозойские терригенные толщи Хангайского прогиба. Он сложен среднезернистыми биотит-роговообманковыми гранодиоритами и биотитовыми гранитами. Возраст массива, определенный U–Pb методом (ID-TIMS) по циркону из этих гранитов, составляет 240 ± 1 млн лет (Ярмолюк и др., 2013а).
Хойт-Тамирский массив (~600 км2) расположен на левобережье р. Хойт-Тамир среди осадочных толщ Хангайского прогиба (№ 13 на рис. 1). Он сложен биотитовыми и роговообманково-биотитовыми гранодиоритами, адамелитами и гранитами нормального ряда щелочности. Возраст массива, оцененный U–Pb методом (ID-TIMS) по циркону из гранитов, составил 255 ± 1 млн лет (Ярмолюк и др., 2008).
Гранит-лейкогранитовая формация (шараусгольский комплекс) изучен на примере Эгин-Дабинского и Цэцэрлэгского массивов, одних из крупнейших в составе батолита.
Эгин-Дабинский массив (>2500 км2) расположен в центральной части Хангайского нагорья (№ 11 на рис. 1). В его строении выделяются породы двух фаз. Ранняя представлена роговообманково-биотитовыми гранодиоритами и кварцевыми диоритами, поздняя – светло-серыми мелкозернистыми биотитовыми гранитами (более 80% площади массива). Возраст массива определен U–Pb методом по циркону (ID-TIMS) из гранитов поздней фазы и составил 246 ± 10 млн лет (Ярмолюк и др., 2013а).
Цэцэрлэгский массив (~1000 км2) сложен довольно однообразными по петрографическому составу светло-розовыми средне-крупнозернистыми неясно порфировидными биотитовыми или лейкократовыми субщелочными гранитами, граносиенитами и гранодиоритами, которые прорывают девонские и раннекаменноугольные терригенные отложения Хангайской серии (№ 12 на рис. 1). Возраст пород массива оценен U–Pb методом по циркону (ID-TIMS) и составил 255 ± 1 млн лет (Ярмолюк и др., 2008).
Дзабханский блок
Этот блок, выделяемый также как микроконтинент, характеризуется развитием раннедокембрийских и поздненеопротерозойских комплексов (Козаков и др., 2007, 2015, 2017). Он отделен от структур Хангайского блока Баянхонгорской офиолитовой зоной. Блок насыщен выходами гранитоидов хангайского и шараусгольского комплексов, однако возрастная позиция крупнейших массивов этой территории за редким исключением (Ярмолюк и др., 2008, 2013а) оставалась неопределенной. Здесь объектами исследований стали Баян-Булакский, Гулинский и Улан-Улинский массивы, представляющие разные формационные типы гранитоидов.
Баян-Булакский массив (№ 23 на рис. 1) расположен непосредственно к юго-востоку от сомона Баян-Булак. Его размеры в поперечнике превышают 30 км. Массив сложен светло-серыми лейкократовыми гранитами и гранодиоритами и на карте (Карта…, 1989) отнесен к гранодиорит-гранитовой формации (к хангайскому интрузивному комплексу). В строении массива участвуют также отдельные тела биотит-амфиболовых кварцевых диоритов, характеризующиеся зонами минглинга на контакте с гранитоидами. Возраст пород определен 40Ar/39Ar методом по роговой обманке из кварцевых диоритов (проба ХАН-09/43). Роговая обманка образует идиоморфные кристаллы размером до 2 × 7 мм. Центральные части некоторых кристаллов перекристаллизованы, в них фиксируются прорастания вторичного амфибола или тонкодисперсные Fe–Ti оксиды. Наиболее чистые ограненные кристаллы были отобраны для 40Ar/39Ar датирования. В спектре ступенчатого прогрева роговой обманки наблюдается серия низкотемпературных ступеней с низкими отношениями Ca/K и трехступенчатое высокотемпературное плато, включающее 86% выделенного 39Ar при высоком отношении Ca/K (табл. 1, рис. 2г). Рассчитанный по плато возраст составляет 260 ± 3 млн лет, интегральный возраст несколько моложе – 250 ± 3 млн лет, вероятно вследствие вторичных изменений роговой обманки, отразившихся в низкотемпературных ступенях возрастного и Ca/K спектров. В связи с этим возраст 260 ± 3 млн лет, определенный по плато, принимается как время кристаллизации кварцевых диоритов Баян-Булакского массива. Поскольку эти породы находятся в зонах минглинга с гранитами главной фазы, что фиксирует совместное внедрение разных по составу расплавов, полученный возраст может рассматриваться как время становления также гранитов главной фазы Баян-Булакского массива.
Гулинский массив – крупный (40 × 40 км) плутон изометричной формы, расположенный непосредственно к востоку от сомона Гулин (№ 24 на рис. 1). Он сложен серыми гранодиоритами, граносиенитами и лейкократовыми гранитами, которым подчинены тела диоритов ранних фаз внедрения. Породы массива пронизаны системой даек северо-восточного простирания, которые за пределами массива не прослеживаются. По составу они варьируют от диоритов и монцонитов до мелкозернистых граносиенитов. В целом породная ассоциация Гулинского массива отнесена к гранит-лейкогранитовой формации (к шараусгольскому комплексу) (Карта…, 1989). Определение возраста пород массива было выполнено на основе 40Ar/39Ar геохронологических исследований роговой обманки, выделенной из пробы ХАН-10/20 мелко-среднезернистых амфибол-биотитовых гранодиоритов главной фазы. Кристаллы роговой обманки идиоморфны, размером до 1 мм. В спектре ступенчатого прогрева (табл. 1, рис. 2д) низкотемпературные ступени характеризуются пониженными отношениями Ca/K, свидетельствующими о незначительном участии наложенной на амфибол калиевой фазы. Три высокотемпературные ступени с высоким отношением Ca/K охватывают 92% выделенного 39Ar и формируют плато, отвечающее возрасту 293 ± 4 млн лет. Интегральный возраст, учитывающий низкотемпературные ступени, такой же. Принимая во внимание магматический генезис роговой обманки, хорошую сохранность K–Ar изотопной системы и отсутствие свидетельств позднего прогрева, есть все основания рассматривать полученный возраст как время становления Гулинского массива.
Гранитоиды А-типа в пределах этого блока представлены Улан-Улинским массивом щелочных гранитов (№ 22 на рис. 1), расположенным в юго-западной краевой зоне батолита. В его строении участвуют серые средне-крупнозернистые щелочно-полевошпатовые амфиболовые граниты, содержащие многочисленные дайки монцогаббро и микрогранитов, в том числе композитные с зонами минглинга. Возраст щелочных гранитов был определен U–Pb методом по циркону (ID-TIMS) и составил 283 ± 1 млн лет (Сальникова и др., 2014; Kozlovsky et al., 2015).
Сонгинский блок
Основу блока составляют, как правило, сильно метаморфизованные неопротерозойские островодужные комплексы, аккретированные в структуру Хангайского композитного террейна к началу позднего неопротерозоя (Ярмолюк и др., 2017б). В пределах блока располагается самое крупное скопление гранитоидов западной части Хангайского батолита. По составу они варьируют от гранодиоритов до щелочных гранитов, возраст которых ранее определялся в широком возрастном диапазоне от неопротерозоя до позднего палеозоя. Нами проведены исследования ряда крупных массивов, наиболее ярко представляющих все разнообразие формационных типов гранитоидов этой части батолита.
Гранит-гранодиоритовая формация (хангайский комплекс) охарактеризована Богдын-Гольским массивом (№ 30 на рис. 1), расположенным на левом берегу р. Богдын-Гол в 15 км ниже аймачного центра Улясутай. Породы этого массива отмечаются по западному обрамлению крупного более молодого массива гранит-лейкогранитовой формации, а также в провесах его кровли. Вероятно, поэтому возрастная позиция Богдын-Гольского массива оставалась неопределенной, и на различных картах он отнесен к неопротерозою, кембрию или ранней перми. Среди пород массива доминируют биотитовые граниты с подчиненными монцодиоритами и гранодиоритами. Объектом U–Pb датирования по циркону (ID-TIMS) стали среднезернистые массивные амфибол-биотитовые монцодиориты (проба 7873). Циркон в монцодиоритах представлен идиоморфными кристаллами двух морфотипов: (1) короткопризматическим (Кудл. ≈ 1.2) с преимущественным развитием дипирамид {101}, {111}, {201}; (2) призматическим с Кудл. до 3 и огранением, представленным призмой {100} и дипирамидами {101} и {111}. Катодолюминесцентное исследование выявило тонкую осцилляционную зональность (рис. 3б). Три навески цирконов были отобраны для U–Pb изотопных определений (табл. 2), в том числе одна была предварительно подвергнута кислотной обработке (Mattinson, 1994). Точки изотопного состава изученного циркона располагаются на дискордии, нижнее пресечение которой с конкордией отвечает возрасту 273 ± 1 млн лет, СКВО = 0.0022 (верхнее пресечение – 1372 ± 130 млн лет). При этом точка изотопного состава циркона после кислотной обработки располагается практически на конкордии (точка 6 на рис. 3б). Смещение изотопного состава циркона вверх по дискордии, вероятно, обусловлено присутствием древних унаследованных ядер. Таким образом, определенный по нижнему пересечению дискордии и конкордии возраст 273 ± 1 млн лет принимается как наиболее точная оценка времени становления монцодиоритов Богдын-Гольского массива.
Гранит-лейкогранитовую формацию представляют породы Ханджаргалантского плутона (№ 27 на рис. 1) в верховьях р. Идер. Плутон имеет крупные (40 × 20 км) размеры; и хотя на карте (Карта..., 1989) он отнесен к гранит-гранодиоритовой формации, от пород последней он отличается по составу и сложен красными и розовыми биотитовыми граносиенитами и гранитами, типичными для гранит-лейкогранитовой формации (шараусгольского комплекса). U–Pb геохронологические исследования циркона (ID-TIMS) из среднезернистых биотитовых гранитов этого массива показали возраст 268 ± 1 млн лет (Ярмолюк и др., 2013б).
Гранитоиды А-типа в Сонгинском блоке в основном тяготеют к западной окраине батолита, где с ними сопряжены вулканические поля, также представляющие А-тип магматических ассоциаций. Здесь были изучены Яругин-Гольский и Хара-Нурский массивы, а также породы Дулан-Улинского вулканического комплекса.
Яругин-Гольский массив (№ 26 на рис. 1) расположен в западной краевой части Хангайского батолита. Его размеры 8 × 4 км. Массив прорывает кислую вулканическую толщу позднего палеозоя, породы которой подвержены сильному ороговикованию. С юга он с неясными соотношениями контактирует с гранодиоритами хангайского комплекса. В строении массива участвуют розовато-серые лейкократовые щелочно-полевошпатовые граниты с небольшим количеством биотита. Их структура варьирует от мелко-среднезернистой вблизи контактов массива до средне-крупнозернистой. По своему составу породы массива соответствуют гранитоидам А-типа. Возраст массива, определенный U–Pb методом (ID-TIMS) по циркону из средне-крупнозернистых розовато-серых щелочно-полевошпатовых биотитовых гранитов, составляет 302 ± 8 млн лет (Ярмолюк и др., 2013а).
Хара-Нурский массив (№ 29 на рис. 1) расположен вблизи западного края батолита на южном берегу оз. Хара-Нур. Его размеры 17 × 7 км. Массив локализован в поле выходов вулканических и субвулканических пород позднего палеозоя и сложен средне- и крупнозернистыми светло-серыми и серыми щелочными арфведсонитовыми гранитами. Для 40Ar/39Ar геохронологических исследований из центральных участков массива была взята проба ХАН-08/35 щелочных гранитов, из которой были выделены кристаллы арфведсонита размером до 1 мм удлиненного габитуса. 96.5% выделившегося 39Ar образуют пятиступенчатое плато, отвечающее возрасту 288 ± 3 млн лет, при таком же интегральном возрасте (табл. 1, рис. 2е). Отсутствие наложенной на амфибол минерализации и его щелочной состав фиксируются в стабильном и низком отношении Ca/K (рис. 2е). Первично-магматическая природа арфведсонита и гипабиссальные условия становления массива позволяют рассматривать полученный по арфведсониту возраст в качестве оценки времени кристаллизации щелочных гранитов Хара-Нурского массива.
Вулканический комплекс, развитый в западном обрамлении Хангайского батолита (№ 28 на рис. 1), был изучен в районе г. Дулан-Ула в 30 км к юго-востоку от сомона Эрдене-Хаирхан. Его представляет мощная (более 2000 м) вулканическая толща, полого погружающаяся к югу. В составе толщи участвуют лавы, туфы и игнимбриты трахитов и риолитов, отдельные пачки терригенных пород, в том числе конгломераты, а также андезиты и базальты, преобладающие в верхней части разреза. Датирование вулканического комплекса было проведено 40Ar/39Ar методом по амфиболу, выделенному из пробы ХАН-09/18 порфировых трахитов, характеризующих среднюю часть вулканического разреза. Трахиты содержат около 20% вкрапленников плагиоклаза альбит-олигоклазового состава, калиевого полевого шпата и роговой обманки. Последняя образует идиоморфные кристаллы размером до 1 мм. В спектре ступенчатого прогрева роговой обманки фиксируется отчетливое четырехступенчатое плато, охватывающее 94% выделившегося 39Ar (табл. 1, рис. 2ж). Образующие плато ступени характеризуются стабильным Ca/K отношением, свидетельствующим об однородности датируемого минерала и структурной позиции калия в нем. Рассчитанный по плато возраст составляет 289 ± 3 млн лет. Учет низкотемпературных ступеней незначительно уменьшает значение интегрального возраста – 287 ± 3 млн лет. Поскольку вкрапленники роговой обманки лишены вторичных изменений, а вся вулканическая толща лишь полого наклонена, что свидетельствует об отсутствии возможного поствулканического прогрева и нарушения K–Ar изотопной системы, рассчитанное по плато значение возраста 289 ± 3 млн лет принимается нами как время вулканических излияний в западном обрамлении Хангайского батолита.
ОБСУЖДЕНИЕ
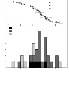
В таблице 3 систематизированы имеющиеся геохронологические данные для магматических пород, которые развиты в поле распространения Хангайского батолита и могут быть соотнесены с конкретными массивами или вулканическими полями. Эти данные обобщены на гистограмме, построенной из расчета количества определений возраста, приходящихся на интервал 5 млн лет (рис. 4). Прежде всего следует отметить хорошую согласованность геохронологических данных, полученных разными методами, вне зависимости от температур закрытия изотопных систем. Отчетливо видно, что представленные геохронологические данные формируют три группы значений возрастов: 302–283, 273–238 и менее 230 млн лет. Образование этих групп гранитов во времени разделено амагматичными интервалами. Выделенные возрастные группы пород характеризуются разными закономерностями распространения в пределах Хангайского батолита и его ближайшего окружения, что позволяет сделать выводы об условиях их появления.
Таблица 3. Сводная таблица результатов геохронологических исследований позднепалеозойских–раннемезозойских интрузивных массивов и вулканических серий в пределах Хангайской группы террейнов
№ на рис. 1 | Массив/поле | ° с.ш. | ° в.д. | Порода | Метод датирования (лаборатория)* | Возраст, млн лет | Ссылка |
Тарбагатайский блок | |||||||
1 | Орохын-Дабинский | 48,2839 | 99,3866 | Гранит | U–Pb ID-TIMS Zr (1) | 256±1 | Ярмолюк и др., 2013б |
2 | Терхин-Гольский | 48,0980 | 99,1684 | Монцонит | 40Ar/39Ar Amph (2) | 247±3 | Эта статья |
3 | Дархан-Улинский | 48,1235 | 99,4689 | Щелочной гранит | 40Ar/39Ar Amph (2) | 267±3 | Эта статья |
4 | Джаргалантский | 48,4837 | 99,3681 | Граносиенит | U–Pb ID-TIMS Zr (1) | 246±1 | Ярмолюк и др., 2013б; Сальникова и др., 2014 |
5 | Тосонценгельский | 48,7499 | 98,0388 | Щелочной гранит | U–Pb ID-TIMS Zr (1) | 268±1 | Ярмолюк и др., 2013б; Сальникова и др., 2014 |
6 | Алаг-Увер-Улинское поле даек | 48,9134 | 99,6189 | Пегматоидный гранит | U–Pb ID-TIMS Zr (3) | 256±8 | Эта статья |
7 | Батцэнгельский | 47,9109 | 101,5754 | Щелочной гранит | 40Ar/39Ar Amph (2) | 220±3 | Эта статья |
8 | Орцог-Улинский | 47,8796 | 102,0983 | Габбро | 40Ar/39Ar Bt (2) | 258±7 | Шелепаев и др., 2015 |
8 | Орцог-Улинский | 47,8796 | 102,0983 | Габбро | U–Pb SIMS Zr (4) | 272±2 | Шелепаев и др., 2015 |
Хангайский блок | |||||||
9 | Тацин-Гольский | 46,3236 | 101,7575 | Гранит | U–Pb ID-TIMS Zr (1) | 246±2 | Ярмолюк и др., 2013а |
10 | Эрдэнэ-Цогтский | 46,3224 | 100,8135 | Гранит | U–Pb ID-TIMS Zr (1) | 240±1 | Ярмолюк и др., 2013а |
11 | Эгин-Дабинский | 47,1903 | 99,8350 | Гранит | U–Pb ID-TIMS Zr (1) | 246±10 | Ярмолюк и др., 2013а |
12 | Цэцэрлэгский | 47,6105 | 101,0527 | Гранит | U–Pb ID-TIMS Zr (1) | 255±1 | Ярмолюк и др., 2008 |
13 | Хойт-Тамирский | 47,7350 | 100,9271 | Гранит | U–Pb ID-TIMS Zr (1) | 255±1 | Ярмолюк и др., 2008 |
14 | Нарин Тэл | 45,9472 | 101,5281 | Гранит | U–Pb SIMS Zr (5) | 229±6 | Jahn et al., 2004 |
15 | Хурмэн гол | 47,4506 | 100,2810 | Кварцевый монцодиорит | 40Ar/39Ar Amph (2) | 238±3 | Оролмаа и др., 2008 |
16 | Хархоринский | 46,9664 | 102,8215 | Граносиенит | U–Pb ID-TIMS Zr (1) | 228±3 | Ярмолюк и др., 2008 |
Дзабханский блок | |||||||
17 | Нижне-Байдарикский | 46,2451 | 99,3481 | Кварцевый монцонит | U–Pb ID-TIMS Zr (1) | 242±2 | Ярмолюк и др., 2008 |
18 | Усгэхийнский | 45,4978 | 101,7184 | Кварцевый диорит | U–Pb ID-TIMS Zr (1) | 261±2 | Ярмолюк и др., 2008 |
19 | Буянт-Гольский | 47,3588 | 97,6820 | Кварцевый монцонит | U–Pb ID-TIMS Zr (1) | 258±2 | Ярмолюк и др., 2013а |
20 | Бу-Цаганский | 46,1565 | 98,7492 | Монцодиорит | U–Pb ID-TIMS Zr (1) | 253±2 | Ярмолюк и др., 2008 |
21 | Дзара-Улинский | 46,5800 | 96,9800 | Монцогаббро | 40Ar/39Ar Bt (2) | 262±2 | Изох и др., 2011 |
21 | Дзара-Улинский | 46,5800 | 96,9800 | Монцогаббро | U–Pb SIMS Zr (4) | 269±4 | Изох и др., 2011 |
22 | Улан-Улинский | 46,5207 | 96,8302 | Щелочной гранит | U–Pb ID-TIMS Zr (1) | 283±1 | Kozlovsky et al., 2015; Сальникова и др., 2014 |
23 | Баян-Булакский | 46,6703 | 98,2573 | Кварцевый диорит | 40Ar/39Ar Amph (2) | 260±3 | Эта статья |
24 | Гулинский | 46,5298 | 97,5035 | Гранодиорит | 40Ar/39Ar Amph (2) | 293±4 | Эта статья |
25 | Дзадгай-Нурский | 45,9225 | 98,7017 | Монцогаббро | 40Ar/39Ar Bt (2) | 248±2 | Шелепаев и др., 2015 |
Сонгинский блок | |||||||
26 | Яругин-Гольский | 47,9160 | 96,6545 | Щелочно-полевошпатовый гранит | U–Pb ID-TIMS Zr (1) | 302±8 | Ярмолюк и др., 2013а |
27 | Ханджаргалантский | 48,1658 | 97,2074 | Гранит | U–Pb ID-TIMS Zr (1) | 268±1 | Ярмолюк и др., 2013б |
28 | Дулан-Улинское вулканическое поле | 48,0082 | 96,0848 | Трахит | 40Ar/39Ar Amph (2) | 289±3 | Эта статья |
29 | Хара-Нурский | 48,2641 | 96,2835 | Щелочной гранит | 40Ar/39Ar Amph (2) | 288±3 | Эта статья |
30 | Богдын-Гольский | 47,6865 | 96,6566 | Монцодиорит | U–Pb ID-TIMS Zr (3) | 273±1 | Эта статья |
Примечание. *Лаборатория, где выполнены геохронологические исследования: 1 – ИГГД РАН, Санкт-Петербург; 2 – ИГМ СО РАН, Новосибирск; 3 – ГЕОХИ РАН, Москва; 4 – ВСЕГЕИ, Санкт-Петербург; 5 – Chinese Academy of Geological Sciences, Beijing.
Рис. 4. Гистограмма числа определений возраста в интервале 5 млн лет для позднепалеозойских–раннемезозойских гранитоидов и вулканических пород Хангайского региона в соответствии с табл. 3. В верхней части гистограммы представлены индивидуальные определения возраста, полученные различными методами, с их аналитическими ошибками.
Массивы возрастной группы 302–283 млн лет прослеживаются вдоль западного и южного краев батолита. В целом это небольшие по размерам плутоны (n × 100 км2), сложенные породами, обладающими характеристиками как гранитоидов А-типа (щелочные агпаитовые и щелочно-полевошпатовые граниты), так и пород монцонитовой специфики (гранодиориты, монцониты, граносиениты). На схеме (рис. 5) показано распределение магматических пород, формирование которых произошло в Центральной Азии в начале ранней перми одновременно с гранитоидами рассматриваемой возрастной группы. Можно отметить две разновидности магматических ассоциаций, занимающих разную пространственную и структурную позицию. Одна группа ассоциаций, включающая гранодиориты и монцограниты, тяготеет к структурам раннепермского Центрально-Монгольского вулканического пояса (Моссаковский, 1975; Моссаковский, Томуртогоо, 1976; Tomurtogoo, 2006; Оролмаа и др., 2008). Ему, в частности, соответствует крупная Бу-Цаганская впадина, которая расположена в Байдарикском блоке среди плутонов батолита и выполнена нижнепермскими вулканическими породами андезибазальт-риолитовой серии (Гаврилова, Оролмаа, 1991). К обрамлению впадины тяготеет Гулинский массив гранитов и гранодиоритов с монцонитами, возраст которого составляет 293 млн лет. Такие же гранитоиды участвуют в строении вулканоплутонических ассоциаций Бу-Цаганской мульды (Гаврилова, Оролмаа, 1991), что позволяет связать образование Гулинского массива с формированием Центрально-Монгольского вулканического пояса.
Рис. 5. Соотношение гранитоидов Хангайского батолита с областями раннепермского магматизма Центрально-Азиатского орогенного пояса.
1 – гранитоиды Хангайского батолита (Хан); 2–5 – области раннепермского магматизма: 2 – гранитоиды Ангаро-Витимского батолита (А-В), 3 – траппы Таримского кратона (Тар), 4 – зоны рифтогенного щелочно-гранитного и бимодального магматизма, 5 – Центрально-Монгольский вулканоплутонический пояс; 6 – кратоны; 7 – складчатое обрамление кратонов; 8 – палеоокеанические области Палеоазиатского океана; 9 – разломы.
Второй тип ассоциаций выделяется высокой щелочностью пород и представлен массивами щелочных и щелочно-полевошпатовых гранитов, а также бимодальными вулканическими сериями, сложенными трахибазальтами, трахиандезибазальтами и риолитами повышенной щелочности. Следует отметить, что ассоциации этого типа широко распространены в пределах Центральной Азии. Они отвечают нескольким возрастным уровням, связанным с заложением и развитием разных по возрасту рифтовых зон, которые входят в структуру позднепалеозойской–раннемезозойской рифтовой системы Центральной Азии (Козловский и др., 2005, 2012; Jahn et al., 2009; Ярмолюк и др., 2013в; Kozlovsky et al., 2015). Наиболее широко среди них распространены комплексы пород повышенной щелочности ранней перми, возникшие в интервале между 300 и 280 млн лет назад. Их выходы образуют сложно ветвящийся пояс проявлений щелочного магматизма и рифтовых структур, который протягивается между раннепермскими Таримской и Ангаро-Витимской крупными магматическими провинциями на расстоянии более 2500 км (рис. 5). Юго-западный сегмент этого пояса, попадающий в область влияния Таримских траппов, представлен структурами Гоби-Тяньшаньской рифтовой зоны и раннепермскими щелочно-гранитовыми комплексами зоны Главного Монгольского линеамента. Северо-восточному сегменту соответствует Восточно-Саянская зона щелочного магматизма, тяготеющая к Ангаро-Витимскому зональному магматическому ареалу (Ярмолюк и др., 2016).
Хангайский батолит располагается в зоне влияния центрального сегмента этого пояса, структура которого более или менее определилась в последние годы на основе новых геохронологических данных. Так, был установлен раннепермский (279–293 млн лет) возраст большинства щелочных гранитов Гоби-Алтайской рифтовой зоны (Kozlovsky et al., 2015), а также ряда массивов Северо-Монгольской рифтовой зоны (наши неопубликованные данные). Эти рифтовые зоны обрамляют Хангайский батолит с юга и севера. Между их западными окончаниями располагается западный край Хангайского батолита, в пределах которого собственно и распространены раннепермские гранитоиды А-типа (массивы Яругин-Гольский, Хара-Нурский, Улан-Улинский). К этой же полосе выходов принадлежит Дулан-Улинская вулканическая ассоциация, сложенная андезибазальтами, трахитами и риолитами А-типа, которые по геохимическим характеристикам близки к породам бимодальных ассоциаций Гоби-Алтайской рифтовой зоны. В строении этой ассоциации отмечаются многочисленные дайки умеренно-титанистых базальтоидов, образующие пояс субмеридиональной ориентировки, что указывает на ее связь с процессами растяжения. Таким образом, магматические ассоциации, возникшие в интервале 302–283 млн лет назад в пределах западной части Хангайского батолита, являются составной часть протяженного пояса щелочного и рифтогенного магматизма, соединившего Ангаро-Витимскую и Таримскую крупные магматические провинции. Формирование последних связывается с активностью мантийных плюмов (Zhang et al., 2008; Yu et al., 2011; Ярмолюк и др., 2013в), что позволяет рассматривать соединяющий их пояс щелочного магматизма в качестве трансрегиональной рифтогенной структуры, которая была инициирована взаимодействием этих плюмов, по-видимому, по механизму, предложенному (Burke, Dewey, 1973). Очевидно, что проявления раннепермского щелочно-гранитоидного магматизма в районе западной периферии Хангайского батолита контролировались процессами не только более ранними, но и более масштабными по охвату территории, чем те, которые сформировали батолит.
Гранитоиды с возрастом менее 230 млн лет сосредоточены в восточной части Хангайского батолита (рис. 6). Их выходы сопряжены с одновозрастными полями вулканических пород (228–206 млн лет; Ярмолюк и др., 2017а), которые выполняют ряд впадин и грабенов. Магматические комплексы этой группы выделяются повышенной щелочностью. Среди интрузивных пород здесь преобладают сиениты, граносиениты и щелочные граниты, а в вулканических сериях доминируют трахибазальты, трахиты, трахидациты и риолиты А-типа. Вулканические толщи залегают с размывом и корой выветривания на гранитоидах Хангайского батолита, что указывает на их образование после структурной перестройки в регионе, приведшей к глубокой денудации батолита. Позднетриасовая вспышка магматизма связывается с образованием раннемезозойского (T3–J1) Хэнтейского зонального магматического ареала, периферическая часть которого перекрыла область развития гранитов Хангайского батолита (рис. 6) (Ярмолюк и др., 2017а).
Рис. 6. Соотношение гранитоидов Хангайского батолита с областями раннемезозойского магматизма Центрально-Азиатского орогенного пояса.
1 – гранитоиды Хангайского батолита (Хан); 2 – гранитоиды Хэнтейского батолита (Хэн); 3 – области раннемезозойского рифтогенного щелочно-гранитового и бимодального магматизма; 4 – кратоны; 5 – складчатое обрамление кратонов; 6 – палеоокеанические области Монголо-Охотского океана; 7 – разломы; 8 – граница раннемезозойского Хэнтейского зонального магматического ареала.
Массивы с возрастом 273–238 млн лет слагают преобладающую часть батолита в пределах Хангайской группы террейнов, в том числе те из них, которые на карте (Atlas…, 2008) отнесены к другим возрастным группам, например к раннему палеозою в Тарбагатайском блоке. Граниты этого возраста собственно и образуют Хангайский батолит, который, как это было принято ранее (Геология…, 1973; Тектоника…, 1974; Федорова, 1977; Карта…, 1989), объединяет многочисленные массивы гранитоидов, компактно сформировавшихся на площади около 150 000 км2 (рис. 1). Эти ассоциации группируются в ряд магматических комплексов (геологических формаций), среди которых преобладают породы хангайского и шараусгольского комплексов (гранодиорит-гранитовая и гранитовая; гранит-лейкогранитовая и гранит-лейкогранитовая с граносиенитами формации соответственно). В соответствии с геологическими соотношениями гранитоиды шараусгольского комплекса считались более поздними. Однако, согласно полученным возрастным оценкам, породы обоих комплексов формировались в пределах общего для них достаточно широкого возрастного интервала. Согласно приведенным данным, интервал между 273 и 238 млн лет назад следует рассматривать как время, в течение которого произошло образование Хангайского батолита.
Полихронны ли батолиты Центрально-Азиатского орогенного пояса?
Этот вопрос встает в связи с тем, что в пределах гигантских батолитов Центральной Азии выявлено участие многочисленных гранитоидных комплексов, общий интервал формирования которых в пределах той или иной площади может превышать 100 млн лет (Цыганков и др., 2010; Цыганков, 2014; Руднев, 2013). Это является основанием для их объединения в рамках полихронных батолитов, что влечет за собой представления об особых условиях формирования соответствующих участков земной коры. Геохронологические исследования в пределах Хангайского батолита также показали присутствие в его пределах гранитоидов разного возраста с общим интервалом формирования, по меньшей мере, 80 млн лет (между ~300 и ~220 млн лет). Однако, как показал анализ геологических связей, разновозрастные группы гранитоидов принадлежат разным геологическим обстановкам. Распространение массивов ранней группы (~300–280 млн лет), с одной стороны, контролировалось Центрально-Монгольским вулкано-плутоническим поясом, а с другой стороны – поясом рифтогенных структур, связавшим Таримскую и Ангаро-Витимскую магматические провинции (рис. 5). Поздняя группа (<220 млн лет) представляет продукты магматического ареала, наложенного на восточную окраину Хангайского батолита (рис. 6). И только граниты с возрастом ~270–240 млн лет можно отнести к Хангайскому батолиту.
Близкое решение было получено для Ангаро-Витимского батолита, в строении которого выделяется две основные возрастные группы пород ~330–310 млн лет и ~305–275 млн лет (Ярмолюк и др., 1997а, 1997б; Цыганков и др., 2010). Первая из них связывается со становлением активной окраины и является фрагментом соответствующего ей магматического пояса. Вторая, как и гранитоиды Хангайского батолита, возникла под воздействием на литосферу мантийного плюма (Цыганков и др., 2010; Litvinovsky et al., 2011; Ярмолюк и др., 2013в).
Эти примеры позволяют сделать вывод, что представления о полихронности батолитов возникают при отсутствии корреляционного анализа связей гранитообразования с другими геологическими процессами в регионах. При этом собственно процесс батолитообразования, очевидно, имеет сравнительно узкие возрастные рамки. Для Хангайского батолита он оценивается интервалом около 30 млн лет. Близкая продолжительность (~ 30 млн лет) была установлена также для Ангаро-Витимского (Ковач и др., 2012) и Хэнтейского батолитов (Ярмолюк и др., 2002; Коваленко и др., 2003). Подобное сходство оценок отражает близкие условия образования этих батолитов. Следует напомнить, что согласно геофизическим данным (Турутанов и др., 2007; Турутанов, 2011) объем каждого из батолитов оценивается до 1 млн км3 и, возможно, более. Можно предположить, что установленный для этих батолитов сопоставимый возрастной интервал формирования отражает то время, которое необходимо для остывания в глубинах Земли гигантских объемов анатектических магм, в том числе перемещенных к поверхности и участвовавших в образовании батолитов.
Геодинамическая природа гигантских батолитов Центральной Азии
В позднем палеозое–раннем мезозое в пределах Центрально-Азиатского орогенного пояса возникла позднепалеозойская–раннемезозойская Центрально-Азиатская рифтовая система, охватившая практически весь пояс. В ее строении участвуют Таримская трапповая провинция, многочисленные рифтовые зоны, а также заключенные внутри рифтовой системы гигантские батолиты Ангаро-Витимский (Литвиновский и др., 1992), Хангайский и Хэнтейский (Ярмолюк, Коваленко, 2003а, 2003б). Подобная сопряженность процессов рифтогенеза и батолитообразования указывает на то, что возникновение батолитов в значительной степени было связано с теми же механизмами, которые контролировали появление рифтовой системы. Ранее было показано, что основной причиной формирования Центрально-Азиатской рифтовой системы стали процессы раскола, инициированные мантийными плюмами (Добрецов, 2011). Их появление в основании региона в начале перми (300–280 млн лет назад) связывается с надвиганием окраины континента, представленной структурами ЦАОП, на океаническую область, содержащую ряд горячих точек мантии (Kuzmin et al., 2010). Перекрытые мантийные плюмы инициировали образование Таримской и Ангаро-Витимской крупных магматических провинций, а также связавшего их пояса щелочно-гранитоидного магматизма (рис. 5). Последний, как было показано выше, проследовал также через Хангайскую группу террейнов, где ему отвечают гранитоиды А-типа, возникшие в интервале 302–283 млн лет. Как мы полагаем (Kuzmin et al., 2010), последующее перемещение континента привело к тому, что во второй половине перми (в интервале 270–240 млн лет назад) над плюмом, контролировавшим до этого развитие Таримской трапповой провинции, оказалась территория Хангая, где возник Хангайский зональный магматический ареал. Дальнейшее перемещение континента привело к образованию в позднем триасе–ранней юре (230–195 млн лет назад) Монголо-Забайкальской зональной магматической области, ядром которой является Хэнтейский батолит (рис. 6).
Показателем связи зональных магматических ареалов с плюмовой активностью служит то, что их формирование контролировалось пространственно локализованными источниками тепла и мантийного магматизма. Воздействие таких источников на литосферу определило изолированный характер процессов крупномасштабного корового анатексиса и, как следствие, батолитообразования; специфику рифтогенеза, ограниченного периферией батолитов; однотипный базитовый магматизм в пределах разных структурных зон зональных ареалов (Ярмолюк и др., 2016).
Образование системы зональных ареалов в ЦАОП поднимает вопрос, почему же здесь внутриплитные процессы привели к столь неожиданному эффекту, как формирование батолитов, совершенно не типичных для такого рода активности? Следует отметить, что, несмотря на возникновение упомянутых зональных ареалов в разное время и в разных по строению участках складчатой периферии Сибирского континента, они имели близкие геологические условия формирования (Ярмолюк и др., 2013в, 2016). Каждый из них возник в пределах территорий, претерпевших сравнительно недавнюю орогению. Так, позднекарбоновый–раннепермский Ангаро-Витимский батолит возник в зоне Икат-Богдаринского прогиба, который завершил свое развитие в раннем карбоне в связи с герцинским тектогенезом (Руженцев и др., 2012). Позднепермский Хангайский батолит сформировался в зоне выклинивания Хангайского прогиба, замыкание которого произошло к середине карбона (Тектоника…, 1974). Позднетриасовый Хэнтейский батолит запечатывает структуры Хэнтейского прогиба – западной оконечности Монголо-Охотского пояса, завершившего здесь свое развитие в конце перми (Руженцев и др., 2009; Bazhenov et al., 2016). Во всех случаях орогенные процессы прекратились не более чем за 60 млн лет до возникновения зональных магматических ареалов и их батолитовых ядер. С большой вероятностью можно говорить о том, что соответствующие орогенно-коллизионные структуры обладали увеличенной мощностью коры. Такое их строение могло стать причиной деламинации литосферы, сопровождавшейся образованием астеносферных ловушек, улавливавших восходящие мантийные потоки (рис. 7). Мощная континентальная кора над такими ловушками блокировала подъем мантийных магм к поверхности. Эти магмы в основном локализовались в низах коры, подслаивали ее и стали источником тепла, вызвавшего масштабное коровое плавление. Они также взаимодействовали с анатектическими магмами, определив варьирующие геохимические и изотопные характеристики гранитоидов (Ярмолюк и др., 2016) и все многообразие их петрохимических разновидностей.
Рис. 7. Модель формирования Хангайского гранитоидного батолита при коровом анатексисе за счет андерплейтинга мантийных магм в области деламинации корней орогена.
ЗАКЛЮЧЕНИЕ
Проведенные систематические исследования магматических пород Хангайского батолита показали, что в его строении участвуют три возрастные группы массивов.
Ранняя включает гранитоиды, возникшие в диапазоне 302–283 млн лет назад. Эта группа представлена фрагментами двух магматических поясов, которые в ходе своего формирования пересекли территорию будущего батолита. Один из них отвечает раннепермскому Центрально-Монгольскому вулканоплутоническому поясу, западная оконечность которого протянулась вдоль южного обрамления Хангайского нагорья. Образование другого пояса было вызвано рифтогенными процессами, охватившими территорию между Таримской и Ангаро-Витимской крупными магматическими провинциями. Отвечающие ему проявления магматизма прослеживаются вдоль западного края батолита.
Самая молодая группа магматических пород сформировалась в интервале 230–200 млн лет. Она представлена магматическими породами повышенной щелочности: щелочными гранитами, граносиенитами, базальт-трахитовыми и бимодальными базальт-щелочно-риолитовыми ассоциациями, которые распространены по восточной периферии батолита. Вулканические породы с корой выветривания в основании перекрывают граниты Хангайского батолита, что свидетельствует о существенных структурных перестройках территории перед их формированием.
Собственно к батолиту относятся магматические комплексы, возникшие в интервале 273–238 млн лет. Они занимают компактную область 350 × 400 км2 и представлены породами широкого диапазона состава от основных до кислых и от низкощелочных до щелочных. Преобладающим развитием среди них пользуются породы двух ассоциаций – гранит-гранодиоритовой (или хангайский комплекс) и гранит-лейкогранитовой (или шараусгольский комплекс). В соответствии с геофизическими данными объем пород батолита оценивается до 1 млн км3.
Сопоставление Хангайского батолита с другими батолитами-гигантами ЦАОП – Ангаро-Витимским и Хэнтейским – выявило большое сходство в их строении и развитии. Все батолиты сложены близкими ассоциациями пород, включающими, помимо преобладающих пород гранодиорит-гранит-лейкогранитового ряда, также мафические синплутонические интрузии и щелочные граниты. Сопоставимы они также по размерам и возрастным интервалам формирования. Так, Ангаро-Витимский батолит в основном сформировался в интервале 305–275 млн лет, а Хэнтейский – в интервале 229–195 млн лет. В пределах площади развития этих батолитов отмечаются проявления пород других возрастных групп, которые, как и в случае Хангайского батолита, отвечают фрагментам магматических поясов иных этапов развития соответствующих территорий. Полученные оценки продолжительности существования батолитов ~ 30 млн лет, по-видимому, следует рассматривать как время, необходимое для остывания в глубинах Земли гигантских объемов анатектических магм, принявших участие в образовании этих батолитов.
Формирование батолитов-гигантов в пределах ЦАОП стало результатом воздействия мантийных плюмов на литосферу молодой складчатой области, возникшей в результате аккреционно-коллизионных событий в краевой части Сибирского палеоконтинента.
Работа выполнена при финансовой поддержке Российского научного фонда (проект № 16-17-10186). Исследования мезозойских гранитов были выполнены при поддержке Российского фонда фундаментальных исследований (проект 18-55-91004).
作者简介
V. Yarmolyuk
Institute of Geology of Ore Deposits, Petrography, Mineralogy, and Geochemistry, Russian Academy of Sciences
编辑信件的主要联系方式.
Email: yarm@igem.ru
俄罗斯联邦, Moscow
A. Kozlovsky
Institute of Geology of Ore Deposits, Petrography, Mineralogy, and Geochemistry, Russian Academy of Sciences
Email: amk@igem.ru
俄罗斯联邦, Moscow
A. Travin
Sobolev Institute of Geology and Mineralogy, Siberian Branch, Russian Academy of Sciences; Novosibirsk State University; Tomsk State University
Email: amk@igem.ru
俄罗斯联邦, Novosibirsk; Tomsk
T. Kirnozova
Vernadsky Institute of Geochemistry and Analytical Chemistry, Russian Academy of Sciences
Email: amk@igem.ru
俄罗斯联邦, Moscow
M. Fugzan
Vernadsky Institute of Geochemistry and Analytical Chemistry, Russian Academy of Sciences
Email: amk@igem.ru
俄罗斯联邦, Moscow
I. Kozakov
Institute of Precambrian Geology and Geochronology, Russian Academy of Sciences
Email: amk@igem.ru
俄罗斯联邦, St. Petersburg
Yu. Plotkina
Institute of Precambrian Geology and Geochronology, Russian Academy of Sciences
Email: amk@igem.ru
俄罗斯联邦, St. Petersburg
G. Eenzhin
Institute of Paleontology and Geology, Mongolian Academy of Sciences
Email: amk@igem.ru
蒙古, Ulaanbaatar
Ts. Oyunchimeg
Institute of Paleontology and Geology, Mongolian Academy of Sciences
Email: amk@igem.ru
蒙古, Ulaanbaatar
O. Sviridova
Institute of Geology of Ore Deposits, Petrography, Mineralogy, and Geochemistry, Russian Academy of Sciences
Email: amk@igem.ru
俄罗斯联邦, Moscow
参考
- Гаврилова С.П., Оролмаа Д. Пермские ассоциации вулканогенных и интрузивных пород юго-западного Хангая // Вулкано-плутонические ассоциации Центральной Монголии. М.: Наука, 1991. С. 10–72.
- Геологические формации Монголии. М.: ШАГ, 1995. 180 с.
- Геология Монгольской Народной Республики. М.: Недра, 1973. Т. 2. 751 с.
- Добрецов Н.Л. Раннепалеозойская тектоника и геодинамика Центральной Азии: роль раннепалеозойских мантийных плюмов // Геология и геофизика. 2011. Т. 52. С. 1957–1973.
- Изох А.Э., Вишневский А.В., Поляков Г.В., Шелепаев Р.А. Возрастные рубежи пикритового и пикродолеритового магматизма Западной Монголии // Геология и геофизика. 2011. Т. 52. С. 10–31.
- Карта геологических формаций Монгольской Народной Республики. Масштаб 1:1500000. Ред. Яншин А.Л. М.: ГУГК СССР, 1989.
- Коваленко В.И., Ярмолюк В.В., Сальникова Е.Б. и др. Источники магматических пород и происхождение раннемезозойского тектономагматического ареала Монголо-Забайкальской магматической области: 1. Геологическая характеристика и изотопная геохронология // Петрология. 2003. Т. 11. С. 164–178.
- Ковач В.П., Сальникова Е.Б., Рыцк Е.Ю. и др. Длительность формирования Ангаро-Витимского батолита: результаты геохронологических U-Pb исследований // Докл. АН. 2012. Т. 444. С. 184–189.
- Козаков И.К., Сальникова Е.Б., Вонг T. и др. Кристаллические комплексы нижнего докембрия Дзабханского микроконтинента Центральной Азии: возраст, источники, тектоническая позиция // Стратиграфия. Геол. корреляция. 2007. Т. 15. С. 3–24.
- Козаков И.К., Козловский А.М., Ярмолюк В.В. и др. Кристаллические комплексы Тарбагатайского блока раннекаледонского супертеррейна Центральной Азии // Петрология. 2011. Т. 19. С. 445–464.
- Козаков И.К., Сальникова Е.Б., Ярмолюк В.В. и др. Этапы формирования континентальной коры Сонгинского блока раннекаледонского супертеррейна Центральной Азии: 1. Геологические и геохронологические данные // Петрология. 2013. Т. 21. С. 227–246.
- Козаков И.К., Сальникова Е.Б., Ковач В.П. и др. Основные этапы развития и геодинамическая обстановка формирования Южно-Хангайского метаморфического пояса Центральной Азии // Петрология. 2015. Т. 23 № 4. С. 339–362.
- Козаков И.К., Кузнецов А.Б., Эрдэнэжаргал Ч. и др. Неопротерозойские комплексы фундамента шельфового чехла Дзабханского террейна восточного сегмента Центрально-Азиатского складчатого пояса // Стратиграфия. Геол. корреляция. 2017. Т. 25. С. 3–16.
- Козловский А.М., Ярмолюк В.В., Сальникова Е.Б. и др. Возраст бимодального и щелочно-гранитного магматизма Гоби-Тяньшаньской рифтовой зоны, хребет Тост, Южная Монголия // Петрология. 2005. Т. 13. С. 218–224.
- Козловский А.М., Ярмолюк В.В., Травин А.В. и др. Этапы и закономерности проявления позднепалеозойского анорогенного магматизма в герцинидах Южной Монголии // Докл. АН. 2012. Т. 445. № 3. С. 308–314.
- Литвиновский Б.А., Занвилевич А.Н., Алакшин А.М., Подладчиков Ю.Ю. Ангаро-Витимский батолит – крупнейший гранитоидный плутон. Новосибирск: Наука, 1992. 141 с.
- Моссаковский А.А. Орогенные структуры и вулканизм палеозоид Евразии и их место в процессе формирования континентальной земной коры. М.: Наука, 1975. 318 с.
- Моссаковский А.А., Томуртогоо О. Верхний палеозой Монголии. М.: Наука, 1976. 126 с.
- Оролмаа Д., Эрдэнэсайхан Г., Борисенко А.С. и др. Пермотриасовые гранитоиды и металлогения Хангая (Центральная Монголия) // Геология и геофизика. 2008. Т. 49. С. 706–720.
- Поляков Г.В., Изох А.Э., Борисенко А.С. Пермский ультрабазит-базитовый магматизм и сопутствующее Cu-Ni оруденение Гоби-Тяньшаньского пояса как результат Таримского плюма // Геология и геофизика. 2008. Т. 49. С. 605–620.
- Руднев С.Н. Раннепалеозойский магматизм Алтае-Саянской складчатой области и Озерной зоны Западной Монголии. Новосибирск: Изд-во СО РАН, 2013. 295 с.
- Руженцев С.В., Некрасов Г.Е. Тектоника Агинской зоны (Монголо-Охотский пояс) // Геотектоника. 2009. № 1. С. 39–58.
- Руженцев С.В., Минина О.Р., Некрасов Г.Е. и др. Байкало-Витимская складчатая система: строение и геодинамическая эволюция // Геотектоника. 2012. № 2. C. 3–28.
- Сальникова Е.Б., Яковлева С.З., Котов А.Б. и др. Кристаллогенезис циркона щелочных гранитов и особенности его U-Pb датирования (на примере Хангайского магматического ареала) // Петрология. 2014. Т. 22. С. 482–495.
- Тектоника Монгольской Народной Республики. М.: Наука, 1974. 284 с.
- Травин А.В., Юдин Д.С., Владимиров А.Г. и др. Термохронология Чернорудской гранулитовой зоны (Ольхонский регион, Западное Прибайкалье) // Геохимия. 2009. Т. 11. С. 1181–1199.
- Турутанов Е.Х. Ангаро-Витимский батолит: форма и размеры по гравиметрическим данным // Докл. АН. 2011. Т. 440. С. 815–818.
- Турутанов Е.Х., Гребенщикова В.И., Оглоблин Р.В. Глубинная структура и геохимия пород Хангайского гранитоидного батолита Монголии // Геодинамическая эволюция литосферы Центрально-Азиатского подвижного пояса: от океана к континенту. Иркутск: ИЗК СО РАН, 2007. Вып. 5. Т. 2. С. 133–135.
- Федорова М.Е. Геологическое положение и петрология гранитоидов Хангайского батолита. М.: Наука, 1977. 150 с.
- Цыганков А.А. Позднепалеозойские гранитоиды Западного Забайкалья: последовательность формирования, источники магм, геодинамика // Геология и геофизика. 2014. Т. 55. С. 197–227.
- Цыганков А.А., Литвиновский Б.А., Джань Б.М. и др. Последовательность магматических событий на позднепалеозойском этапе магматизма Забайкалья (результаты U-Pb изотопного датирования) // Геология и геофизика. 2010. Т. 51. С. 1249–1276.
- Шелепаев Р.А., Егорова В.В., Изох А.Э. и др. Пермские габброидные интрузивы Хангайского нагорья (Западная Монголия) // Изотопное датирование геологических процессов: новые результаты, подходы и перспективы. СПб.: Sprinter, 2015. С. 337–338.
- Ярмолюк В.В., Коваленко В.И. Батолиты и геодинамика батолитообразования в Центрально-Азиатском складчатом поясе // Геология и геофизика. 2003а. Т. 44. С. 1260–1274.
- Ярмолюк В.В., Коваленко В.И. Глубинная геодинамика, мантийные плюмы и их роль в формировании Центрально-Азиатского складчатого пояса // Петрология. 2003б. Т. 11. С. 556–586.
- Ярмолюк В.В., Будников С.В., Коваленко В.И. и др. Геохронология и геодинамическая позиция Ангаро-Витимского батолита // Петрология. 1997а. Т. 5. С. 451–466.
- Ярмолюк В.В., Коваленко В.И., Котов А.Б., Сальникова Е.Б. Ангаро-Витимский батолит: к проблеме геодинамики батолитообразования в Центрально-Азиатском складчатом поясе // Геотектоника. 1997б. № 5. С. 18–32.
- Ярмолюк В.В., Коваленко В.И., Сальникова Е.Б. и др. Тектоно-магматическая зональность, источники магматических пород и геодинамика раннемезозойской Монголо-Забайкальской области // Геотектоника. 2002. № 4. С. 42–63.
- Ярмолюк В.В., Коваленко В.И., Козаков И.К. и др. Возраст Хангайского батолита и проблема батолитообразования в Центральной Азии // Докл. АН. 2008. Т. 423. С. 92–98.
- Ярмолюк В.В., Козловский А.М., Сальникова Е.Б. и др. Возраст Хангайского батолита и проблемы полихронности батолитообразования в Центральной Азии // Докл. АН. 2013а. Т. 452. С. 646–652.
- Ярмолюк В.В., Козловский А.М., Сальникова Е.Б. и др. Участие щелочно-гранитного магматизма в формировании Хангайского батолита: данные геологических и геохронологических исследований // Докл. АН. 2013б. Т. 452. С. 543–547.
- Ярмолюк В.В., Кузьмин М.И., Козловский А.М. Позднепалеозойский–раннемезозойский внутриплитный магматизм Северной Азии: траппы, рифты, батолиты-гиганты и геодинамика их формирования // Петрология. 2013в. Т. 21. С. 115–142.
- Ярмолюк В.В., Козловский А.М., Саватенков В.М. и др. Состав, источники и геодинамическая природа гигантских батолитов Центральной Азии: по данным геохимических и изотопных Nd исследований гранитоидов Хангайского зонального магматического ареала // Петрология. 2016. Т. 24. С. 468–498.
- Ярмолюк В.В., Козловский А.М., Кудряшова Е.А. и др. Рифтогенный магматизм западной части раннемезозойской Монголо-Забайкальской магматической области: результаты геохронологических исследований // Докл. АН. 2017а. Т. 475. С. 669–675.
- Ярмолюк В.В., Козловский А.М., Лебедев В.И. Неопротерозойские магматические комплексы Сонгинского блока (Монголия): к проблеме образования и корреляции докембрийских террейнов Центрально-Азиатского орогенного пояса // Петрология. 2017б. Т. 25. № 4. С. 362–394.
- Arakawa J., Naito K., Takahashi Y. et al. New K-Ar and Rb-Sr ages of Khangay granite, central Mongolia // Mongolian Geoscientist. 1999. № 12. P. 32–35.
- Atlas of geological maps of Central Asia and adjacent areas. Geological map 1:2500000. Beijing: Geol. Publ. House, 2008.
- Bazhenov M.L., Kozlovsky A.M., Yarmolyuk V.V. et al. Late Paleozoic paleomagnetism of South Mongolia: exploring relationships between Siberia, Mongolia and North China // Gondwana Res. 2016. V. 40. P. 124–141.
- Budnikov S.V., Kovalenko V.I., Kotov A.B. et al. The age and sources of the Hangay batholith (Central Mongolia) // IGCP-420. Continental growth in the Phanerozoic: evidence from Central Asia. Second Workshop. Abstracts and excursion guidebook. Rennes: Geosciences, 1999. P. 11–12.
- Burke K., Dewey D.F. Plume generated triple junctions: key indicators in applying plate tectonics to old rocks // J. Geol. 1973. V. 81. P. 406–433.
- Dergunov A.B., Kovalenko V.V., Ruzhentsev S.V., Yarmolyuk V.V. Tectonics, Magmatism, and Metallogeny of Mongolia. London and New York: Routledge, Taylor and Francis Group, 2001. 288 р.
- Jahn B.M., Capdevila R., Liu D. et al. Sources of Phanerozoic granitoids in the transect Bayanhongor–Ulan Baator, Mongolia: geochemical and Nd isotopic evidence, and implications of Phanerozoic crustal growth // J. Asian Earth Sci. 2004. V. 23. P. 629–653.
- Jahn B.M., Litvinovsky B.A., Zanvilevich A.N., Reichow M. Alkaline granitoid magmatism in the Mongolian-Transbaikalian Belt: evolution, petrogenesis and tectonic significance // Lithos. 2009. V. 113. P. 521–539.
- Kozlovsky A.M., Yarmolyuk V.V., Salnikova E.B. et al. Late Paleozoic anorogenic magmatism of the Gobi Altai (SW Mongolia): tectonic position, geochronology and correlation with igneous activity of the Central Asian Orogenic Belt // J. Asian Earth Sci. 2015. V. 113. P. 524–541.
- Krogh T.E. A low-contamination method for hydrothermal decomposition of zircon and extraction of U and Pb for isotopic age determination // Geochim. Cosmochim. Acta. 1973. V. 37. P. 485–494.
- Kuzmin M.I., Yarmolyuk V.V., Kravchinsky V.A. Phanerozoic hot spot traces and paleogeographic reconstructions of the Siberian continent based on interaction with the African large low shear velocity province // Earth-Sci. Rev. 2010. V. 102. P. 29–59.
- Litvinovsky B.A., Tsygankov A.A., Jahn B.M. et al. Origin and evolution of overlapping calc-alkaline and alkaline magmas: the Late Palaeozoic post-collisional igneous province of Transbaikalia (Russia) // Lithos. 2011. V. 125. P. 845–874.
- Ludwig K.R. PbDat for MS-DOS, version 1.21 // U.S. Geol. Survey Open-File Rept. 88-542. 1991. 35 p.
- Ludwig K.R. Isoplot 3.70. A Geochronological Toolkit for Microsoft Excel // Berkeley Geochronology Center Spec. Publ. 2003. V. 4. P. 70.
- Mattinson J.M. A study of complex discordance in zircons using step-wise dissolution techniques // Contrib. Mineral. Petrol. 1994. V. 116. P. 117–129.
- Stacey J.S., Kramers I.D. Approximation of terrestrial lead isotope evolution by a two-stage model // Earth Planet. Sci. Lett. 1975. V. 26. P. 207–221.
- Takahashi Y., Arakawa Y., Oyungerel S., Naito K. Geochronological data of granitoids in the Bayankhongor area, central Mongolia // Bull. Geol. Soc. Japan. 2000. V. 51. Р. 167–174.
- Тоmurtogoo О. Tectonic framework of Mongolia // Structural and tectonic correlation across the Central Asian Orogenic Collage: implications for continental growth and intracontinental deformation. Second Int. Workshop and Field Excursions for IGCP 480. Abstracts and Excursions Guidebook. Ulaanbaatar: Inst. Geol and Mineral Resources, 2006. P. 18–20.
- Yu X., Yang S.F., Chen H.L. et al. Permian flood basalts from the Tarim Basin, Northwest China: SHRIMP zircon U-Pb dating and geochemical characteristics // Gondwana Res. 2011. V. 20. P. 485–497.
- Zhang C.L., Li X.H., Li Z.X. et al. A Permian layered intrusive complex in the western Tarim Block, northwestern China: product of a ca. 285-Ma mantle plume? // J. Geol. 2008. V. 116. P. 269–287.
补充文件









