Stochastic Parameters of Flash Floods Formation in the North of the Black Sea Coast
- 作者: Kuksina L.V.1, Beljakova P.A.2, Golosov V.N.1, Zhdanova E.J.1, Ivanov M.M.1, Gurinov A.L.3
-
隶属关系:
- Lomonosov Moscow State University (MSU)
- Water Problems Institute of the Russian Academy of Sciences (WPI RAS)
- Institute of Geography, Russian Academy of Sciences (IGRAS)
- 期: 卷 155, 编号 2 (2023)
- 页面: 3-24
- 栏目: Articles
- URL: https://journals.eco-vector.com/0869-6071/article/view/658221
- DOI: https://doi.org/10.31857/S0869607123020064
- EDN: https://elibrary.ru/ADZFLS
- ID: 658221
如何引用文章
全文:
详细
Abstract—
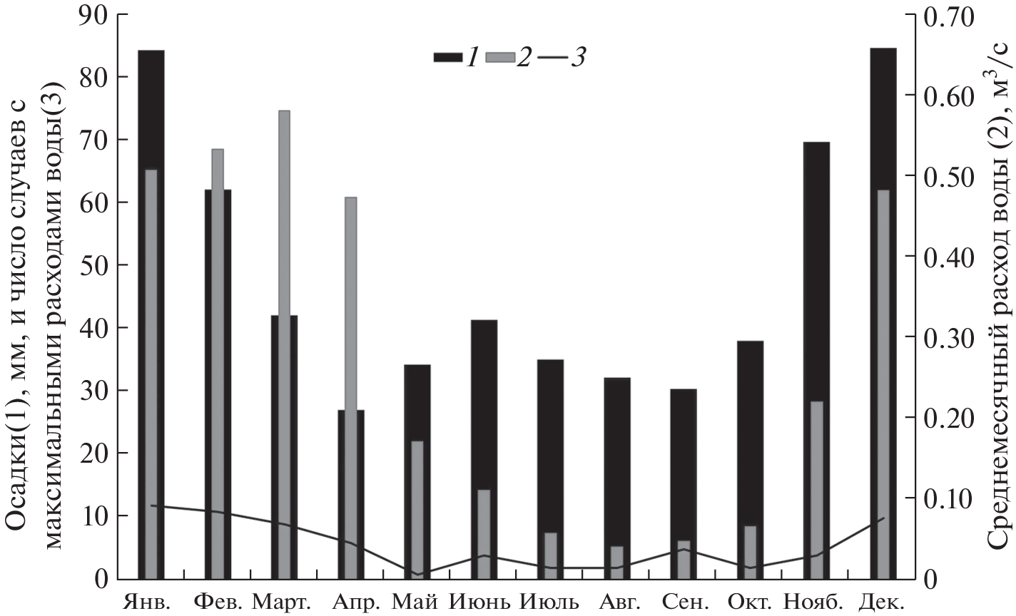
Flash floods are one of the most dangerous hydrometeorological events all over the World. In the current paper stochastic parameters of flash floods formation are studied on the basis of data on flash floods in 1990–2021 in the small river basins of the Caucasus and Crimea Black Sea Coast. The main factor of flash floods formation is heavy rain, but in some cases its occurrence could depend on critical combination of various factors. Flash floods are usually formed in summer-autumn period in the studied region with the maximum of observed events in August. They are characterised by very rapid water level rise of about 1.2–1.3 m/h. Sediment yield during one flash flood could be compared with mean annual values. Statistical analysis of precipitation long ranges demonstrates probability of more often flash floods occurrence in the region in comparison with observed events.
作者简介
L. Kuksina
Lomonosov Moscow State University (MSU)
编辑信件的主要联系方式.
Email: ludmilakuksina@gmail.com
Russia, Moscow
P. Beljakova
Water Problems Institute of the Russian Academy of Sciences (WPI RAS)
编辑信件的主要联系方式.
Email: pobel@mail.ru
Russia, Moscow
V. Golosov
Lomonosov Moscow State University (MSU)
编辑信件的主要联系方式.
Email: gollossov@gmail.com
Russia, Moscow
E. Zhdanova
Lomonosov Moscow State University (MSU)
编辑信件的主要联系方式.
Email: ekaterinzhdanova214@gmail.com
Russia, Moscow
M. Ivanov
Lomonosov Moscow State University (MSU)
编辑信件的主要联系方式.
Email: ivanovm@bk.ru
Russia, Moscow
A. Gurinov
Institute of Geography, Russian Academy of Sciences (IGRAS)
编辑信件的主要联系方式.
Email: gurinov.artem@gmail.com
Russia, Moscow
参考
- Alekseyevskiy N.I., Krylenko I.N., Belikov V.V., Kochetkov V.V., Norin S.V. Chislennoye gidrodinamicheskoye modelirovaniye navodneniya v g. Krymske 6–7 iyulya 2012 g. // Gidrotekhnicheskoye stroitel’stvo. 2014. № 3. S. 29–35.
- Alekseyevskiy N.I., Magritskiy D.V., Kolterman K.P., Toropov P.A., Shkol’nyy D.I., Belyakova P.A. Navodneniya na Chernomorskom poberezh’ye Krasnodarskogo kraya // Vodnyye resursy. 2016. T. 43. № 1. S. 1–14.
- Alekseyevskiy N.I., Magritskiy D.V., Koltermann K.P., Krylenko I.N., Yumina N.M., Aybulatov D.N., Yefremova N.A. Stroyeniye i opasnyye gidrologicheskiye yavleniya v Chernomorskoy prirodno-ekonomicheskoy zone poberezh’ya // Prirodnyye i sotsial’nyye riski v beregovoy zone Chernogo i Azovskogo morey. 2012. S. 4–16.
- Anisimov A.Ye., Yefimov V.V., L’vova M.V. Verifikatsiya dannykh distantsionnogo zondirovaniya GPM IMERG i kolichestvennyye otsenki atmosfernykh osadkov v Krymskom regione v teploye vremya goda // Morskoy gidrofizicheskiy zhurnal. 2021. T. 37. № 4. S. 490–504. https://doi.org/10.22449/0233-7584-2021-4-490-504
- Arkhipkin V.S., Dobrolyubov S.A., Mukhametov S.S., Nedosapov A.A., Samborskiy T.V., Samsonov T.Ye., Serebryannikova Ye.A., Surkova G.A. Ekstremal’nyy dozhdevoy pavodok v basseyne r. Ashamba i yego vliyaniye na rel’yef dna i strukturu vod morya v rayone g. Gelendzhik // Vestnik MGU. Seriya 5. Geografiya. 2013. T. 5. № 3. S. 27–34.
- Barinov A.Yu. Geomorfologicheskiy analiz livnevoy seleopasnosti tseli Shirokaya balka (Chernomorskoye poberezh’ye Kavkaza) // Geomorfologiya. 2010. № 2. S. 19–26.
- Bityukov N.A., Tkachenko Yu.Yu., Denisov V.A. Maksimal’nyy i minimal’nyy stok na rekakh Sochinskogo Prichernomor’ya // Izvestiya vuzov. Severo-Kavkazskiy region. Seriya: Yestestvennyye nauki. 2019. № 4(204). URL: https://cyberleninka.ru/article/n/maksimalnyy-i-minimalnyy-stok-na-rekah-sochinskogo-prichernomorya (data obrashcheniya: 23.10.2021).
- Bolgov M.V., Korobkina Ye.A. Rekonstruktsiya dozhdevogo pavodka na reke Adagum na osnove matematicheskikh modeley formirovaniya stoka // Vodnoye khozyaystvo Rossii. 2013. № 3. S. 87–102.
- Vakhrushev B.A. Rayonirovaniye karsta Krymskogo poluostrova // Speleologiya i karstologiya. 2009. № 3. S. 39–46.
- Vishnevskaya I.A., Denisov L.V., Dolgov S.V., Koronkevich N.I., Shaporenko S.I., Kireyeva M.B., Frolova N.L., Rets Ye.P., Golubchikov S.N. Geografo-gidrologicheskaya otsenka navodneniy v rossiyskom Prichernomor’ye //Izvestiya Rossiyskoy akademii nauk. Seriya geograficheskaya. 2016. (1). 131–146.
- Vorob’yev Yu.L., Akimov V.A., Sokolov Yu.I. Katastroficheskiye navodneniya nachala XXI veka: uroki i vyvody. M.: OOO “DEKS-PRESS”, 2003. 352 s.
- Georgiyevskiy V.Yu., Tkachenko Yu.Yu. Katastroficheskiy pavodok v basseyne r. Adagum 6–7 iyulya 2012 g. i yego prichiny navodneniye v basseyne r. Adagum. 2012. 42 s. http://meteoweb.ru/biblio/27.pdf.
- Dzhaoshvili S.H. Reki Chernogo morya. Tekhnicheskiy otchet № 71. Yevropeyskoye agentstvo po okhrane okruzhayushchey sredy. 2002. 58 s.
- Doklad o klimaticheskikh riskakh na territorii RF. Sankt-Peterburg, 2017. 106 s.
- Yermakova G.S., Gorelits O.V., Zhbakov K.K., Zemlyanov I.V., Milyutina I.Yu. Ekstremal’nyye pavodki na rekakh Kryma v 2021 godu // Vodnyye resursy. 2022. T. 49. № 4. S. 460–473. https://doi.org/10.31857/S0321059622040046
- Izvestiya. URL: https://iz.ru/1180696/2021-06-18/odin-chelovek-pogib-v-rezultate-podtoplenii-v-ialte (data obrashcheniya: 09.10.2021).
- Klimchuk A.B., Timokhina Ye.I., Amelichev G.N. i dr. Ggipogennyy karst Predgornogo Kryma i yego geomorfologicheskaya rol’. 2013. 204 s.
- Klyukin A.A. Ekzogeodinamika Kryma. 2007. 320 s.
- Klyukin A.A. Ekstremal’nyye proyavleniya neblagopriyatnykh i opasnykh ekzogennykh protsessov v KHKH veke v Krymu // Geopolitika i ekogeodinamika regionov. 2005. S. 27–38.
- Kononova N.K. Tsirkulyatsiya atmosfery kak faktor stikhiynykh bedstviy na Severnom Kavkaze v XXI veke // Geopolitika i ekogeodinamika regionov. 2012. T. 8. № 1–2. S. 72–103.
- Kotlyakov V.M., Desinov L.V., Dolgov S.V., Koronkevich N.I., Likhachova E.A., Makkaveyev A.N., Medvedev A.A., Rudakov V.A. Navodneniye 6–7 iyulya 2012 goda v gorode Krymske // Izvestiyai RAN. Seriya geograficheskaya. 2012. № 6. S. 80–88.
- Kuksina L.V., Golosov V.N., Zhdanova Ye.Yu., Tsyplenkov A.S. Gidrologo-klimaticheskiye faktory formirovaniya ekstremal’nykh erozionnykh sobytiy v gornom Krymu // Vestnik Moskovskogo universiteta. Seriya 5. Geografiya. 2021. № 5. С. 36-50.
- Kuksina L.V., Golosov V.N., Kuznetsova Yu.S. Livnevyye pavodki v gorakh: izuchennost’, rasprostraneniye, faktory formirovaniya // Geografiya i prirodnyye resursy, 2017. S. № 1. S. 25–35. https://doi.org/10.21782/GIPR0206-1619-2017-1(25-35)
- Matishov G.G., Kleshchenkov A.V. Kubanskiy pavodkovyy krizis. Klimat, geomorfologiya, prognoz. Krymsk, iyul’ 2012 g. Rostov-na-Donu: YUNTS RAN. 2012. 128 s.
- Metodicheskiye ukazaniya respublikanskogo i territorial’nogo upravleniya po gidrometeorologii i kontrolyu prirodnoy sredy № 92. Opredeleniye maksimal’nykh raskhodov vody po metkam urovnya vysokikh vod / Sost. B.M. Dobroumov, G.A. Lyubimov. L.: Gidrometeoizdat, 1979. s. 61.
- Ovcharuk V.A., Todorova Ye.I. Statisticheskiye parametry maksimal’nykh raskhodov vody i sloyev pavodochnogo stoka dlya rek Gornogo Kryma // Geopolitika i ekogeodinamika regionov. 2014. 10(1). S. 766–770.
- Panov D.V., Bazelyuk A.A., Lur’ye P.M. Reki Chernomoroskogo poberezh’ya Kavkaza: gidrografiya i rezhim stoka. Rostov-na-Donu, 2012. 605 s.
- Semenov V.A., Aloshina M.A. Stsenarnyye prognozy izmeneniy temperaturnogo i gidrologicheskogo rezhima Kryma v XXI veke po dannym modeley klimata CMIP6 // Vodnyye resursy. 2022. T. 49. № 4. S. 506–516. https://doi.org/10.31857/S0321059622040174
- Tkachenko Yu.Yu. Opasnyye gidrometeorologicheskiye yavleniya na Chernomorskom poberezh’ye, svyazannyye s vypadeniyem sil’nykh osadkov // Prirodnyye i sotsial’nyye riski v beregovoy zone Chernogo i Azovskogo morey. 2012. S. 42–45.
- Federal’naya sluzhba po gidrometeorologii i monitoringu okruzhayushchey sredy URL: www.meteo.ru (data obrashcheniya: 14.11.2020).
- Tsyplenkov A.S., Ivanova N.N., Botavin D.V., Kuznetsova Yu.S., Golosov V.N. Gidrometeorologicheskiye predposylki i geomorfologicheskiye posledstviya ekstremal’nogo pavodka v basseyne maloy reki v zone vlazhnykh subtropikov (na primere r. Tsanyk, rayon Sochi) // Vestnik Sankt-Peterburgskogo universiteta. Nauki o Zemle. 2021. 66(1). S. 144–166. https://doi.org/10.21638/spbu07.2021.109
- Chernyavskiy A.S. Selevoy morfolitogenez na Chernomorskom poberezh’ye Kavkaza (v predelakh Krasnodarskogo kraya). Avtoreferat na soiskaniye uchenoy stepeni kandidata geograficheskikh nauk. Krasnodar: Tsentr Universervis, 2010. 23 s.
- Shvarev S.V., Kharchenko S.V., Golosov V.N. Prichiny i posledstviya tekhnogennoy aktivizatsii seley v 2006–2019 gg. na vodosbore pritoka ruch. Sulimovskiy (rayon pos. Krasnaya Polyana, Zapadnyy Kavkaz) // Georisk. 2020. T. 14. № 2. S. 66–76.
- Shnyparkov A.L., Seliverstov Yu.G., Sokratov S.A., Perov V.F. Selevoy risk na Chernomorskom poberezh’ye Kavkaza // Vestnik Moskovskogo universiteta. Seriya 5. Geografiya. 2013. № 3. S. 42–48.
- Ekspert Yug. URL: https://expertsouth.ru/news/navodneniya-na-kubani-zabytye-uroki-krymskogo-pavodka/ (data obrashcheniya: 11.10.2021).
- Aleshina M.A., Toropov P.A., Semenov V.A. Temperature and humidity regime changes on the Black Sea coast in 1982–2014. Rus. Meteor. Hydrol., 2018. 4. 41–53. https://doi.org/10.3103/S1068373918040040
- Alexeevsky N., Magritsky D.V., Koltermann K.P., Krylenko I., Toropov P. Causes and systematic of inundations of the Krasnodar territory on the Russian Black Sea coast. Nat. Hazards Earth Syst. Sci. 2016. 16. 1289–1308.
- Archer D., Fowler H. Characterising flash flood response to intense rainfall and impacts using historical information and gauged data in Britain. Journal of Flood Risk Management, 2015. https://doi.org/10.1111/jfr3.12187
- Baburin V.L., Gavrilova S.A., Koltermann P., Seliverstov Y.G., Sokratov S.A., Shnyparkov A.L. Quantification of economic and social risks of debris flows for the Black Sea coastal region of the North Caucasus // Geography, environment, sustainability. 2014. 7. P. 108–122.
- Baran-Zgłobicka B., Godziszewska D., Zgłobicki W. The Flash Floods Risk in the Local Spatial Planning (Case Study: Lublin Upland, E Poland). Resources 2021. 10. 14. https://doi.org/10.3390/resources10020014
- Belyakova P., Shikhov A., Perminov S., Moreydo V. Accuracy assessment of heavy rainfall forecasting in the Western Caucasus with ICON-Eu regional atmospheric model for short-term flood forecasting // IOP Conference Series: Earth and Environmental Science. 2020. V. 611. https://doi.org/012049. 10.1088/1755-1315/611/1/012049
- Borga M., Stoffel M., Marchi L., Marra F., Jakob M. Hydrogeomorphic Response to Extreme Rainfall in Headwater Systems: Flash Floods and Debris Flows. Journal of Hydrology 2014. 518. 194–205. https://doi.org/10.1016/j.jhydrol.2014.05.022
- Cohen H., Laronne J.B. High rates of sediment transport by flashfloods in the Southern Judean Desert, Israel. Hydrological Processes, 2005. 19. 1687–1702.
- Cohen H., Laronne J.B., Reid I. Simplicity and complexity of bed load response during flash floods in a gravel bed ephemeral river: A 10 year field study, Water Resources Research, 2010. 46. W11542.
- Costa J.E., Jarrett R.D. An evaluation of selected extraordinary floods in the United States reported by the US geological survey and implications for future Advancement of Flood Science. US Geological Survey, Scientific Investigations Report, 2008. № 5164 52 p.
- Doocy S., Daniels A., Murray S., Kirsch T.D. The Human Impact of Floods: A Historical Review of Events 1980-2009 and Systematic Literature Review. PLoS Curr 2013. 5. https://doi.org/10.1371/currents.dis.f4deb457904936b07c09daa98ee8171a.
- Gaume E., Bain V., Bernardara P., Newinger O., Barbuc M., Bateman A., Blaškovičová L., Blöschl G., Borga M., Dumitrescu A. et al. A Compilation of Data on European Flash Floods. Journal of Hydrology 2009. 367. 70–78. https://doi.org/10.1016/j.jhydrol.2008.12.028
- Gergedava B.A. Types of clastokarst caves of the Caucasus. Soviet Geography, 1988. 29(5). 514–528. https://doi.org/10.1080/00385417.1988.10640723
- Global Precipitation Measurement. Available online: https://gpm.nasa.gov/data/imerg (accessed on 23 September 2021).
- Groisman P.Y., Knight R.W., Easterling D.R., Karl T.R., Hegerl G.C., Razuvaev V.N. Trends in Intense Precipitation in the Climate Record. Journal of Climate 2005. 18. 1326–1350. https://doi.org/10.1175/JCLI3339.1
- Groisman P.Y., Knight R.W., Karl T.R., Easterling D.R., Sun B., Lawrimore J.H. Contemporary Changes of the Hydrological Cycle over the Contiguous United States: Trends Derived from In Situ Observations. Journal of Hydrometeorology 2004. 5. 64–85. https://doi.org/10.1175/1525-7541(2004)005<0064:CCOTHC>2.0.CO;2
- IPCC SIX Assessment Report. Available online: https://www.ipcc.ch/report/ar6/wg1/ (accessed on 9 September 2021).
- Jarett R. Errors in slope-area computations of peak discharges in mountain streams. J. Hydrol., 1987. 96 (1–4). 53–67. https://doi.org/10.1016/0022-1694(87)90143-0
- Jonkman S.N. Global Perspectives on Loss of Human Life Caused by Floods. Nat Hazards 2005. 34. 151–175. https://doi.org/10.1007/s11069-004-8891-3
- Korshenko E., Zhurbas V., Osadchiev A., Belyakova P. Fate of river-borne floating litter during the flooding event in the northeastern part of the Black Sea in October 2018. Marine Pollution Bulletin, 2020. 160. https://doi.org/111678. 10.1016/j.marpolbul.2020.111678
- Kuksina L., Golosov V. Flash Floods: Formation, Study and Distribution // E3S Web Conf. 2020. V. 163. https://doi.org/10.1051/e3sconf/202016302005
- Li X., Hu Q. Spatiotemporal Changes in Extreme Precipitation and Its Dependence on Topography over the Poyang Lake Basin, China. Advances in Meteorology, 2019. e1253932. https://doi.org/10.1155/2019/1253932
- Lumbroso D., Gaume E. Reducing the uncertainty in indirect estimates of extreme flash flood discharges. J. Hydrol, 2012. 414–415. 16–30. https://doi.org/10.1016/j.jhydrol.2011.08.048
- Marchi L., Borga M., Preciso E., Gaume E. Characterisation of selected extreme flash floods in Europe and implications for flood risk management. J. Hydrol. 2010. 394(1–2). 118–133.
- Meredith E.P., Semenov V.A., Maraun D., Park W., Chernokulsky A.V. Crucial Role of Black Sea Warming in Amplifying the 2012 Krymsk Precipitation Extreme. Nature Geosci 2015. 8. 615–619. https://doi.org/10.1038/ngeo2483
- Mueller E.N., Pfister A. Increasing Occurrence of High-Intensity Rainstorm Events Relevant for the Generation of Soil Erosion in a Temperate Lowland Region in Central Europe. Journal of Hydrology 2011. 411. 266–278. https://doi.org/10.1016/j.jhydrol.2011.10.005
- Poesen J.W.A., Hooke J.M. Erosion, Flooding and Channel Management in Mediterranean Environments of Southern Europe. Progress in Physical Geography: Earth and Environment 1997. 21. 157–199. https://doi.org/10.1177/030913339702100201
- Rajah K., O’Leary T., Turner A., Petrakis G., Leonard M., Westra S. Changes to the Temporal Distribution of Daily Precipitation. Geophysical Research Letters 2014. 41. 8887–8894. https://doi.org/10.1002/2014GL062156
- Soto A.U., Madrid-Aris M. Roughness coefficient in mountain rivers. American Society of Civil Engineering. Hydraulics Engineering, 1994. 652–656.
- Sungmin O., Ulrich F. Assessment of spatial uncertainty of heavy rainfall at catchment scale using a dense gauge network. Hydrol. Earth Syst. Sci., 2019. 23. 2863–2875, https://doi.org/10.5194/hess-23-2863-2019
- Tashilova A., Ashabokov B., Kesheva L., Teunova N.V. Analysis of climate change in the Caucasus region: and of the 20th–beginning of the 21th century. Climate, 2019. 7(11). https://doi.org/cli7010011
- The Flood Observatory Available online: http://floodobservatory.colorado.edu/ (accessed on 18 January 2022).
- Tripoli G.J., Medaglia C.M., Dietrich S., Mugnai A., Panegrossi G., Pinori S., Smith E.A. The 9–10 November 2001 Algerian Flood A Numerical Study. American meteorological society, 2005. 1229–1236.
- US Department of Commerce, N. Flash Flooding Definition Available online: https://www.weather.gov/phi/FlashFloodingDefinition (accessed on 18 January 2022).
- Vkontakte. Available online: https://vk.com/wall-42886009_1149515 (accessed on 17 August 2021).
- Voskresenskaya E., Vyshkvarkova E. Extreme precipitation over the Crimean peninsula. Quaternary International, 2016. https://doi.org/10.1016/j.quaint.2015.09.097
- Vyshkareva E. Changes in extreme precipitation over the North Caucasus and the Crimean Peninsula during 1961–2018. Quarterly Journal of the Hungarian Meteorological Service, 2021. 125. 2. 321–336.
- Zolina O., Simmer C., Belyaev K., Kapala A., Gulev S. Improving estimates of heavy and extreme precipitation using daily records from European rain gauges. J. Hydrometeorol. 2009. 10. 701–716. https://doi.org/10.1175/2008JHM1055.1
补充文件






